„Projekt współfinansowany ze środków Europejskiego Funduszu Społecznego”
MINISTERSTWO EDUKACJI
NARODOWEJ
Joanna Kośka
Przygotowanie surowców do produkcji pieczywa
741[02].Z1.02
Poradnik dla ucznia
Wydawca
Instytut Technologii Eksploatacji – Państwowy Instytut Badawczy
Radom 2007
„Projekt współfinansowany ze środków Europejskiego Funduszu Społecznego”
1
Recenzenci:
mgr inż. Lucyna Kubicka
mgr inż. Jan Oczoś
Opracowanie redakcyjne:
mgr inż. Danuta Bajor
Konsultacja:
mgr Małgorzata Sienna
Poradnik stanowi obudowę dydaktyczną programu jednostki modułowej 741[02].Z1.02.
„Przygotowanie surowców do produkcji pieczywa”, zawartego w modułowym programie
nauczania dla zawodu piekarz.
Wydawca
Instytut Technologii Eksploatacji – Państwowy Instytut Badawczy, Radom 2007
„Projekt współfinansowany ze środków Europejskiego Funduszu Społecznego”
2
SPIS TREŚCI
1. Wprowadzenie 3
2. Wymagania wstępne 5
3. Cele kształcenia 6
4. Materiał nauczania 7
4.1. Mąka jako podstawowy surowiec w produkcji piekarskiej 7
4.1.1. Materiał nauczania 7
4.1.2. Pytania sprawdzające 11
4.1.3. Ćwiczenia 11
4.1.4. Sprawdzian postępów 15
4.2. Inne surowce stosowane w piekarstwie 16
4.2.1. Materiał nauczania 16
4.2.2. Pytania sprawdzające 21
4.2.3. Ćwiczenia 21
4.2.4. Sprawdzian postępów 23
4.3. Magazynowanie mąki i innych surowców piekarskich 24
4.3.1. Materiał nauczania 24
4.3.2. Pytania sprawdzające 29
4.3.3. Ćwiczenia 33
4.3.4. Sprawdzian postępów 33
4.4. Przygotowanie surowców do produkcji piekarskiej 34
4.4.1. Materiał nauczania 34
4.4.2. Pytania sprawdzające 38
4.4.3. Ćwiczenia 38
4.4.4. Sprawdzian postępów 42
5. Sprawdzian osiągnięć ucznia 43
6. Literatura 48
„Projekt współfinansowany ze środków Europejskiego Funduszu Społecznego”
3
1. WPROWADZENIE
Poradnik dla ucznia „Przygotowanie surowców do produkcji pieczywa” pomoże Ci
w zdobyciu wiadomości i ukształtowaniu umiejętności zgodnie z założeniami tej jednostki
modułowej. Obejmuje ona treści dotyczące surowców i materiałów pomocniczych
stosowanych w produkcji pieczywa; w szczególności ich właściwości, warunków ich
magazynowania i sposobów przygotowania do produkcji pieczywa.
Poradnik składa się z następujących elementów:
− wymagania wstępne, czyli wykaz niezbędnych umiejętności i wiadomości, które uczeń
powinien mieć opanowane, aby przystąpić do realizacji tej jednostki modułowej
− cele kształcenia, czyli wykaz umiejętności, jakie opanujesz podczas kształcenia w tej
jednostce modułowej,
− materiał nauczania, na który składają się: podstawy teoretyczne, pytania sprawdzające
wiedzę przed przystąpieniem do wykonania ćwiczenia, sposób wykonania ćwiczenia oraz
sprawdzian postępów po wykonaniu ćwiczenia
− sprawdzian osiągnięć - test zawierający zadania sprawdzające opanowanie treści objętych
programem jednostki modułowej,
− wykaz literatury, z jakiej możesz korzystać podczas kształcenia w tej jednostce
modułowej.
Podczas realizacji tej jednostki modułowej zwróć szczególną uwagę na: ocenianie jakości
mąk w piekarstwie, dokonywanie organoleptycznej oceny surowców piekarskich,
rozpoznawanie szkodników magazynowych oraz określanie sposobów ich zwalczania,
przygotowanie surowców do produkcji, obliczanie ilości surowców oraz przestrzeganie zasad
bhp.
„Projekt współfinansowany ze środków Europejskiego Funduszu Społecznego”
4
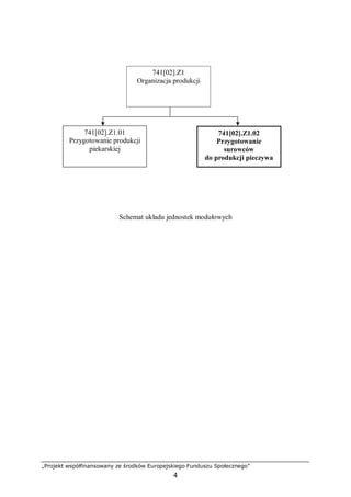
Schemat układu jednostek modułowych
741[02].Z1
Organizacja produkcji
741[02].Z1.01
Przygotowanie produkcji
piekarskiej
741[02].Z1.02
Przygotowanie
surowców
do produkcji pieczywa
„Projekt współfinansowany ze środków Europejskiego Funduszu Społecznego”
5
2. WYMAGANIA WSTĘPNE
Przystępując do realizacji programu nauczania jednostki modułowej, powinieneś umieć:
− interpretować informacje zawarte w normach,
− określać rodzaje zagrożeń dla bezpieczeństwa zdrowotnego żywności,
− charakteryzować surowce i substancje dodatkowe stosowane w przemyśle spożywczym,
− oceniać surowce stosowane w przetwórstwie spożywczym,
− określać podstawowe składniki wchodzące w skład surowców dla przemysłu
spożywczego,
− określać warunki przechowywania surowców,
− rozróżniać oraz scharakteryzować grupy i rodzaje pieczywa,
− interpretować przepisy bezpieczeństwa i higieny pracy,
− korzystać z różnych źródeł informacji.
„Projekt współfinansowany ze środków Europejskiego Funduszu Społecznego”
6
3. CELE KSZTAŁCENIA
W wyniku realizacji programu jednostki modułowej, powinieneś umieć:
− określić skład chemiczny mąki,
− określić podstawowe typy mąki według norm,
− porównać skład chemiczny mąki pszennej i żytniej,
− posłużyć się atestem mąki,
− uzasadnić konieczność ukwaszania mąki żytniej,
− określić wpływ glutenu na jakość ciasta,
− ocenić jakość glutenu,
− określić znaczenie jełczenia tłuszczów w mące,
− określić enzymy występujące w mące,
− określić czynniki wpływające na wypiekową wartość mąki pszennej i żytniej,
− wyjaśnić procesy zachodzące w cieście pod wpływem drożdży,
− ocenić jakość drożdży,
− określić technologiczną przydatność soli, środków słodzących, mleka i przetworów
mlecznych, jaj, tłuszczów, emulgatorów, przetworów ziemniaczanych, polepszaczy
i innych dodatków stosowanych w piekarstwie,
− skorzystać z receptur piekarskich,
− określić zasady przyjmowania mąki do zakładu piekarskiego,
− przyjąć surowce do magazynu,
− sporządzić dokumentację magazynową,
− określić warunki magazynowania mąki i innych surowców,
− określić przemiany zachodzące w mące i innych surowcach pod wpływem
magazynowania,
− rozpoznać szkodniki występujące w magazynie oraz określić sposoby ich zwalczania,
− wydać surowce do produkcji,
− zagospodarować surowce zgodnie z terminem przydatności,
− zastosować normatywy magazynowe,
− dobrać oraz obsłużyć maszyny i urządzenia do przygotowania surowców do produkcji,
− zinterpretować wskazania aparatury kontrolno-pomiarowej zainstalowanej
w magazynach,
− odmierzyć odpowiednią ilość surowców,
− określić i wykonać czynności dotyczące przygotowania mąki do produkcji,
− dobrać metody regulacji temperatury mąki,
− obliczyć skład mieszanki wypiekowej na podstawie wzoru,
− obliczyć temperaturę dolewki wody według prostych wzorów,
− określić wpływ temperatury wody na jakość ciasta,
− określić i wykonać czynności związane z przygotowaniem drożdży do produkcji,
− określić zasady sporządzania roztworów soli i cukru oraz innych środków słodzących,
− określić zasady przygotowania tłuszczów, jaj i przetworów z jaj do produkcji,
− określić niebezpieczeństwa związane z mikrobiologicznymi zakażeniami jaj,
− przygotować surowce do produkcji,
− określić wpływ przygotowania surowców na przebieg procesów technologicznych,
− zastosować przepisy bezpieczeństwa i higieny pracy, higieny produkcji oraz ochrony
przeciwpożarowej podczas magazynowania oraz przygotowywania surowców do
produkcji.
„Projekt współfinansowany ze środków Europejskiego Funduszu Społecznego”
7
4. MATERIAŁ NAUCZANIA
4.1. Mąka jako podstawowy surowiec w produkcji piekarskiej
4.1.1. Materiał nauczania
Podstawowym surowcem stosowanym w piekarstwie jest mąka. Otrzymuje się ją przez
zmielenie ziarna tzw. zbóż chlebowych; najczęściej pszenicy i żyta.
Wyróżniamy przemiał razowy (do mąki przechodzą wtedy wszystkie składniki ziarna –
uzyskujemy mąkę razową) i przemiał gatunkowy (rozdrobnione cząstki łusek są oddzielane
od rozdrobnionych części bielma – uzyskujemy mąkę gatunkową). Mąka uzyskana w drugim
przypadku jest jaśniejsza.
Wyciąg mąki jest to ilość mąki jaką uzyskuje się ze 100 kg ziarna. Wyrażany jest
w procentach. Np. jeżeli ze 100 kg ziarna otrzymamy 98 kg mąki, to jest to mąka o wysokim
wyciągu (98%), natomiast jeżeli ze 100 kg ziarna otrzymamy 48 kg mąki (48%), to jest to
mąka o niskim wyciągu.
Na jakość mąki wpływa przede wszystkim jakość ziarna, z którego mąkę otrzymaliśmy.
Im lepsze ziarno – tym lepsza mąka. Jakość ziarna zależy przede wszystkim od odmiany
i warunków klimatycznych. Bardzo duże znaczenie odgrywają tutaj warunki zbioru zbóż.
Często zdarza się, że na wskutek długotrwałych opadów dojrzałe zboże nie może być zebrane
i ziarno zaczyna kiełkować będąc jeszcze w kłosach. Zjawisko to nazywa się porostem. Mąka
uzyskana z ziarna porośniętego charakteryzuje się znacznie obniżoną wartością
technologiczną.
Typ mąki określa ilość gramów popiołu otrzymanego ze 100 kg mąki. 100 kg mąki typ
480 zawiera 480 g popiołu (0,48%).
Popiół jest to pozostałość po całkowitym spaleniu próbki mąki w temperaturze 900o
C.
Im wyższy wyciąg mąki – tym większa zawartość popiołu i ciemniejsza barwa mąki.
Na wartość technologiczną mąki wpływa także jej rozdrobnienie, czyli granulacja.
Wyróżniamy mąkę ziarnistą – „ostrą” w dotyku (np. mąka pszenna krupczatka) i mąkę gładką
– bez wyczuwalnej ziarnistości (np. mąka luksusowa).
Podstawowe składniki mąki
Skład mąki zależy przede wszystkim od jej pochodzenia (np. pszenica, żyto) oraz
wyciągu. Zawartość ważniejszych składników przedstawia tabela 1.
Tabela 1. Zawartość ważniejszych składników w mące [1, s. 53]
Witaminy
Woda
Białko
Tłuszcze
Cukry
Błonnik
Popiół
Ca P Fe
B1 B2 PP
Mąka o wyciągu
w % w mg
Mąka pszenna 97% 13,5 9,8 2,8 70,3 1,9 1,7 99 358 5,0 429 221 1193
Mąka pszenna 72% 13,5 9,3 2,1 73,9 0,5 0,7 61 156 2,0 206 92 817
Mąka pszenna 50% 13,5 8,7 1,7 75,2 0,4 0,5 40 115 2,0 161 51 986
Mąka żytnia 97% 13,5 7,3 2,2 73,2 1,4 1,4 131 265 4,0 306 134 798
Mąka żytnia 82% 13,5 6,4 1,9 76,5 0,8 0,9 119 195 3,0 264 99 720
Mąka żytnia 60% 13,5 5,4 1,5 78,5 0,5 0,6 53 85 2,0 136 63 843
„Projekt współfinansowany ze środków Europejskiego Funduszu Społecznego”
8
Do podstawowych składników mąki należą: węglowodany, woda, białka, tłuszcze,
związki mineralne, witaminy oraz enzymy.
Z punktu widzenia technologii najważniejszym składnikiem mąki jest skrobia. Mąka
zawiera jej 60–75%. W skład skrobi wchodzą dwa wielocukry: amyloza i amylopektyna.
Różnią się one budową i właściwościami chemicznymi. Zarówno amyloza jak i amylopektyna
zbudowane są z glukozy, jednak w cząsteczce amylozy cząsteczki glukozy połączone są
w taki sposób, że tworzą łańcuch prosty, w cząsteczce amylopektyny – rozgałęziony, co
przedstawiono na rysunku 1.
Amyloza Amylopektyna
Rys. 1. Schemat budowy cząsteczki amylozy i amylopektyny.
Amyloza łatwo rozpuszcza się w wodzie, tworzy roztwory o niewielkiej lepkości.
Amylopektyna rozpuszcza się w wodzie trudno, daje roztwory bardzo lepkie.
Dla technologa istotne są przede wszystkim następujące właściwości skrobi:
− zdolność pochłaniania wody (im większa – tym większa wydajność ciasta),
− zdolność kleikowania (jeżeli skrobia kleikuje w niskiej temperaturze, to ulega zbyt
dużemu rozkładowi przez enzymy, co może być przyczyną złej jakości pieczywa),
− zdolność scukrzania (podatność na działanie enzymów rozkładających ją na dekstryny
i maltozę).
Kolejnymi składnikami, bardzo ważnymi z punktu widzenia procesu technologicznego,
są substancje białkowe, które w połączeniu z wodą w czasie przygotowywania ciasta tworzą
gluten. Gluten składa się z białek prostych: gluteniny i gliadyny. Jest to lepka, elastyczna
i sprężysta substancja, o gąbczastej strukturze, która nadaje ciastu pszennemu elastyczność,
sprężystość i zdolność do zatrzymywania gazów – decyduje więc o jakości pieczywa.
W czasie tworzenia ciasta białka chłoną wodę, pęcznieją i tworzą uporządkowaną strukturę
zwaną siatką glutenową, wewnątrz której znajdują się napęczniałe ziarna skrobi.
O jakości glutenu decydują jego cechy fizyczne:
• elastyczność – zdolność glutenu do rozciągania i powrotu do pierwotnej postaci,
• rozpływalność – jest to przyrost średnicy kulki glutenu po 60 minutach
termostatowania w temperaturze 30o
C.
W zależności od tych cech wyróżnia się gluten słaby, mocny i normalny. Gluten słaby
szybko chłonie wodę i łatwo rozpływa się. Gluten mocny chłonie wodę powoli, jest
elastyczny oraz charakteryzuje się niewielką rozciągliwością i rozpływalnością. Ilość glutenu,
jaką otrzymuje się podczas tworzenia ciasta z określonej mąki, decyduje o jakości tej mąki.
Wielkością charakteryzującą mąkę i uwzględniającą ilość i rozpływalność glutenu jest
liczba glutenowa (LG)
LG = a ∙ (2 – 0,065R);
gdzie:
a – ilość mokrego glutenu, %,
R – rozpływalność mokrego glutenu, mm,
„Projekt współfinansowany ze środków Europejskiego Funduszu Społecznego”
9
Dla mąki słabej LG<40, średniej – LG = 40 ÷ 60, mocnej - LG>60.
Na wartość technologiczną mąki wpływ mają także enzymy zawarte w mące.
Najważniejsze z nich to amylazy – enzymy rozkładające skrobię. Wyróżniamy alfa –
amylazę, która powoduje rozrywanie łańcucha skrobiowego „od środka” w wyniku czego
powstają krótsze łańcuchy – dekstryny, oraz beta–amylazę, która nazywana jest enzymem
scukrzającym, gdyż działa od końca łańcucha skrobiowego, odrywając kolejne cząsteczki
maltozy (cukru zbudowanego z dwóch cząsteczek glukozy). Znając optymalne warunki
działania tych enzymów (kwasowość środowiska i temperatura) można odpowiednio
kierować procesem produkcji ciasta. Alfa – amylaza działa najlepiej w środowisku mało
kwaśnym i w temperaturze 51÷66o
C, natomiast beta–amylaza najlepiej działa
w środowisku o wyższej kwasowości, ale jest nieodporna na działanie podwyższonej
temperatury. Należy dodać, że aktywność enzymów w mące z ziarna porośniętego znacznie
wzrasta.
Wskaźnikiem aktywności amylaz jest liczba opadania.
Tabela 2. Podział mąki w zależności od liczby opadania [5, s. 60]
Wartość liczby opadania (LO)
mąka pszenna mąka żytnia
Aktywność amylolityczna mąki
poniżej 80 poniżej 70 bardzo wysoka aktywność alfa-amylazy
90÷150 75÷100 wysoka aktywność alfa-amylazy
175÷280 125÷200 średnia aktywność alfa-amylazy
powyżej 300 powyżej 500 niska aktywność alfa-amylazy
Ważnym składnikiem mąki są tłuszcze. Nie mają one większego znaczenia dla wartości
energetycznej ani odżywczej (ze względu na małą zawartość), ale odgrywają ważną rolę
podczas przechowywania i dojrzewania mąki. Kwasy tłuszczowe, które powstają w wyniku
rozkładu tłuszczu poprawiają jakość glutenu.
W mące występują wodorofosforany (tzw. kwaśne fosforany) potasu, wapnia i magnezu
oraz kwasy organiczne. Związki te są odpowiedzialne za kwasowość mąki. Kwasowość mąki
zależy od rodzaju ziarna, z którego pochodzi oraz od wyciągu. Kwasowość mąki żytniej jest
wyższa niż mąki pszennej. Mąka o niskim wyciągu ma niską kwasowość, mąka razowa ma
kasowość wyższą.
Istotną cechą mąki jest jej wilgotność. Mąka powinna zawierać nie więcej niż 15% wody.
Podwyższona wilgotność jest przyczyną zwiększenia aktywności enzymów oraz działalności
drobnoustrojów, co przyspiesza psucie się mąki podczas przechowywania.
Jakość mąki ocenia się metodą organoleptyczną oraz na podstawie wyników badań
laboratoryjnych. Metodą organoleptyczną ocenia się takie cechy mąki jak: wygląd (barwa,
występowanie uszkodzeń, zanieczyszczeń, szkodników), smak, zapach, stopień granulacji,
a także wilgotność (w przybliżeniu). Aby w przybliżeniu określić wilgotność mąki ściska się
ją w dłoni, a po otwarciu dłoni mąka sucha rozsypuje się. Mąka wilgotna zachowuje nadany
jej kształt.
Wartość wypiekowa mąki pszennej
Na wartość wypiekową mąki pszennej wpływają:
− zdolność do wytwarzania gazów,
− „siła mąki”,
− barwa mąki i skłonność do pociemniania,
− granulacja mąki.
Podczas fermentacji ciasta pszennego powstaje etanol i dwutlenek węgla. Ilość
dwutlenku węgla jest jednym z czynników decydujących o porowatości i objętości pieczywa.
Przebieg fermentacji zależy między innymi od zawartości w mące cukrów ulegających
„Projekt współfinansowany ze środków Europejskiego Funduszu Społecznego”
10
fermentacji. Cukrów tych (tzw. rodzimych) jest niewiele, dlatego do prawidłowego przebiegu
fermentacji konieczne jest pozyskanie cukrów z rozkładu skrobi. Zdolność mąki do
wytworzenia cukrów ze skrobi (a więc również gazów) zależy od aktywności enzymów
amylolitycznych. Fermentacja ciasta uzyskanego z mąki charakteryzującej się słabą
zdolnością rozkładu skrobi (słabą zdolnością wytwarzania gazów) zakończy się szybko;
cukrów rodzimych nie wystarczy na przeprowadzenie rozrostu kęsów oraz fermentację
w piecu. W związku z tym pieczywo wyprodukowane z takiej mąki będzie słabo wyrośnięte,
o złej porowatości i jasnej barwie skórki.
Zdolność do wytwarzania gazów oraz zdolność do ich zatrzymywania zależą też od
granulacji. Mąka „silna” charakteryzuje się drobną granulacją, mąka „słaba” ma granulację
grubszą.
„Siła mąki” związana jest ze zdolnością zatrzymywania gazów przez ciasto. Mąka „silna”
zawiera dużą ilość glutenu o dobrych cechach fizycznych, pochłania dużą ilość wody
i pozwala na wytworzenie ciasta dobrej jakości.
Barwa mąki wpływa na barwę miękiszu pieczywa. Na ogół z mąki jasnej otrzymuje się
wyroby o jasnym miękiszu, ale zdarza się, że mąka charakteryzuje się dużą zdolnością do
ciemnienia podczas prowadzenia procesu technologicznego. Skłonność mąki do ciemnienia
ma więc duży wpływ na wartość wypiekową mąki.
Granulacja mąki wpływa na jej wartość wypiekową. Rozdrobnienie mąki powinno być
związane z zawartością i jakością glutenu. Im silniejszy gluten, tym drobniejsze powinny być
cząstki mąki.
Wartość wypiekowa mąki żytniej
Na wartość wypiekową mąki żytniej, w odróżnieniu od mąki pszennej, mniejszy wpływ
mają takie cechy jak zdolność do wytwarzania i zatrzymywania gazów, barwa czy granulacja.
Zasadnicze znaczenie natomiast mają właściwości miękiszu, np. jego lepkość, wilgotność.
W mące żytniej występuje zawsze dostateczna ilość cukrów rodzimych, która jest
wystarczająca do wytworzenia odpowiedniej ilości gazu. W mące żytniej nie ma zatem
problemu braku cukrów. O jakości mąki żytniej decyduje zatem aktywność enzymów
amylolitycznych, które są odpowiedzialne za rozkład skrobi. Jeśli rozkład skrobi będzie zbyt
duży (wysoka aktywność amylaz), to może się okazać, że po fermentacji ciasta ilość
pozostałej skrobi będzie zbyt mała, aby związać wodę występującą w cieście. Skutkiem tego
będzie lepki, miękki, sprawiający wrażenie niedopieczonego miękisz. Aby osłabić aktywność
amylazy, a tym samym zapobiec nadmiernemu rozkładowi skrobi, ciasto żytnie musi mieć
kwasowość 3–4-krotnie wyższą niż ciasto pszenne, gdyż zwiększona kwasowość powoduje
zmniejszenie aktywności amylaz.
Drugim czynnikiem wpływającym na wartość wypiekową mąki żytniej jest zdolność
białek w niej zawartych do tworzenia koloidów oraz stopień rozkładu białek
Białka mąki żytniej w obecności wody pęcznieją, ulegają peptyzacji (rozkładowi do
peptydów), a część z nich przechodzi w lepki, koloidalny roztwór. Stopień peptyzacji białek
związany jest z działalnością enzymów proteolitycznych (rozkładających białka) i zależy od
kwasowości środowiska. Większa kwasowość sprzyja peptyzacji białek (oznacza to
ograniczenie tworzenia koloidów) oraz ich pęcznieniu, co wpływa korzystnie na właściwości
ciasta żytniego.
Ważnym wskaźnikiem jakości i wartości wypiekowej mąki żytniej jest ilość śluzów.
Śluzy tworzą z wodą lepki roztwór, który stanowi zasadnicze lepiszcze ciasta. Decydują one
o konsystencji ciasta żytniego, zmniejszają jego płynność w czasie i po fermentacji.
„Projekt współfinansowany ze środków Europejskiego Funduszu Społecznego”
11
4.1.2. Pytania sprawdzające
Odpowiadając na pytania, sprawdzisz, czy jesteś przygotowany do wykonania ćwiczeń.
1. Jaka jest różnica między przemiałem razowym a gatunkowym?
2. Jak zdefiniujesz pojęcie „wyciąg mąki”?
3. Jaki jest związek między typem mąki a zawartością popiołu?
4. Jakie są podstawowe składniki mąki?
5. Które składniki mąki decydują o jej wartości wypiekowej?
6. Jak zbudowana jest skrobia?
7. Jakie cechy fizyczne glutenu decydują o jego jakości?
8. Jaką rolę podczas produkcji pieczywa odgrywają enzymy zawarte w mące?
9. Jakie czynniki decydują o wartości wypiekowej mąki pszennej?
4.1.3. Ćwiczenia
Ćwiczenie 1
Porównaj skład chemiczny mąki pszennej i żytniej na podstawie tabel składu
chemicznego mąki pszennej i żytniej.
Sposób wykonania ćwiczenia
Aby wykonać ćwiczenie, powinieneś:
1) przeanalizować tabelę składu mąki pszennej i żytniej, np. zawartą w punkcie 4.1.1.
niniejszego Poradnika,
2) porównać zawartość poszczególnych składników w mące pszennej i żytniej o zbliżonym
wyciągu,
3) sformułować wnioski dotyczące zawartości poszczególnych składników w mące pszennej
i żytniej,
4) porównać zawartość poszczególnych składników w mąkach pszennych o różnych
wyciągach,
5) sformułować wnioski dotyczące zawartości poszczególnych składników w mące pszennej
w zależności od wyciągu,
6) porównać zawartość poszczególnych składników w mąkach żytnich o różnych
wyciągach,
7) sformułować wnioski dotyczące zawartości poszczególnych składników w mące żytniej
w zależności od wyciągu,
8) zaprezentować efekty pracy.
Wyposażenie stanowiska pracy:
− tabele składu chemicznego mąki (można wykorzystać tabelę zawartą w punkcie 4.1.1.
niniejszego poradnika,
− materiały biurowe.
„Projekt współfinansowany ze środków Europejskiego Funduszu Społecznego”
12
Ćwiczenie 2
Porównaj cechy próbek mąki pszennej i mąki żytniej na podstawie oceny
organoleptycznej i informacji zawartych w normach.
Sposób wykonania ćwiczenia
Aby wykonać ćwiczenie, powinieneś:
1) przeanalizować normy PN-A-74032:2002 Przetwory zbożowe – Mąka żytnia
i PN-A-74022:2003 Przetwory zbożowe – Mąka pszenna,
2) porównać na podstawie norm właściwości mąki pszennej luksusowej typ 550 i mąki
żytniej typ 580 (wypełnij tabelkę poniżej),
Tabela do ćwiczenia 2.
Lp. Cecha
Mąka pszenna luksusowa
typ 550
Mąka żytnia typ 580
1. Barwa
2. Smak
3. Zapach
4. Wilgotność
5. Kwasowość
6. Zawartość popiołu
całkowitego
7. Ilość glutenu
3) dokładnie obejrzeć próbki mąki otrzymane od nauczyciela zwracając uwagę na takie
cechy jak: barwa, smak, zapach,
4) porównać wyniki obserwacji z informacjami zawartymi w normach.
Wyposażenie stanowiska pracy:
− próbka mąki pszennej luksusowej typ 550,
− próbka mąki żytniej typ 580,
− normy: PN-A-74032:2002 Przetwory zbożowe – Mąka żytnia i PN-A-74022:2003
Przetwory zbożowe – Mąka pszenna,
− materiały biurowe.
Ćwiczenie 3
Rozróżnij rodzaje i typy próbek mąki otrzymanej od nauczyciela.
Sposób wykonania ćwiczenia
Aby wykonać ćwiczenie, powinieneś:
1) dokładnie obejrzeć próbki mąki otrzymane od nauczyciela zwracając uwagę na takie
cechy jak: barwa, zapach, smak, granulację; zapisać wyniki obserwacji,
2) przeanalizować informacje zawarte w atestach załączonych do poszczególnych próbek,
3) porównać wyniki obserwacji z wymaganiami norm PN-A-74032:2002 Przetwory
zbożowe – Mąka żytnia i PN-A-74022:2003 Przetwory zbożowe – Mąka pszenna,
4) określić rodzaje poszczególnych mąk oraz ich typy,
5) porównać uzyskane wyniki z wynikami uzyskanymi przez kolegów.
„Projekt współfinansowany ze środków Europejskiego Funduszu Społecznego”
13
Wyposażenie stanowiska pracy:
− próbki mąk,
− fragmenty atestów (wyników badań laboratoryjnych) załączone do poszczególnych
próbek,
− normy: PN-A-74032:2002 Przetwory zbożowe – Mąka żytnia i PN-A-74022:2003
Przetwory zbożowe – Mąka pszenna.
Ćwiczenie 4
Dokonaj oceny organoleptycznej mąki.
Sposób wykonania ćwiczenia
Aby wykonać ćwiczenie, powinieneś:
1) rozsypać próbkę mąki na białym papierze i ocenić jej wygląd zwracając uwagę na
następujące cechy: granulacja (mąka szorstka, gładka), barwa, obecność szkodników lub
ślady ich żerowania; zapisać obserwacje,
2) zbadać smak mąki (powinien on być lekko słodkawy, bez posmaku gorzkiego lub
kwaśnego); zapisać wynik oceny określając smak jako swoisty, nieswoisty, słodki,
kwaskowy, kwaśny, gorzkawy, gorzki,
3) zbadać zapach mąki (zapach powinien być przyjemny, swoisty, bez obcych zapachów;
zapach jełki lub stęchły wskazuje na zepsucie mąki); wynik zapisać,
4) zbadać wilgotność przez ściśnięcie w dłoni (mąka sucha, wilgotna); wynik zapisać,
5) zbadać granulację mąki (przesuwając mąkę między lekko ściśniętymi palcami: mąka
gruboziarnista daje odczucie szorstkości, mąka drobnoziarnista – odczucie gładkości,
mąka nadmiernie rozdrobniona, tzw. przeszlifowana daje odczucie śliskości; wynik
zapisać,
6) przeprowadzić badanie na obecność szkodników (mąkę obejrzeć gołym okiem oraz przez
lupę, zwracając uwagę na występowanie żywych szkodników, oprzędów lub innych
śladów żerowania szkodników); wynik zapisać,
7) porównać wyniki oceny z wymaganiami odpowiedniej normy i sformułować wnioski,
8) zaprezentować wynik ćwiczenia.
Wyposażenie stanowiska pracy:
− próbka mąki do badania,
− normy: PN-A-74032:2002 Przetwory zbożowe – Mąka żytnia i PN-A-74022:2003
Przetwory zbożowe – Mąka pszenna,
− lupa,
− arkusz białego papieru,
− materiały biurowe.
Ćwiczenie 5
Oznacz zawartość glutenu w mące pszennej otrzymanej od nauczyciela, a następnie
określ jego cechy fizyczne: elastyczność i rozpływalność i oceń na tej podstawie wartość
wypiekową badanej mąki.
Sposób wykonania ćwiczenia
Aby wykonać ćwiczenie, powinieneś:
1) odważyć 50 g badanej mąki, wsypać do porcelanowego moździerza, dodać stopniowo
25 cm3
wody wodociągowej o temperaturze 15–20o
C i wyrobić ciasto, następnie
uformować je w kulę i pozostawić zalane wodą wodociągową na 20 minut,
„Projekt współfinansowany ze środków Europejskiego Funduszu Społecznego”
14
2) wymyć gluten wygniatając ciasto w palcach pod słabym strumieniem wody
wodociągowej o temperaturze 15 -20o
C (nad sitem w celu odzyskiwania odrywających
się kawałków ciasta) przez około 15 minut,
3) sprawdzić, czy cała skrobia została wypłukana (do kropli wody obmywającej gluten
dodać kroplę płynu Lugola; gdy płyn nie zmienia barwy na szarą lub niebieską,
prowadzić wymywanie, aż do momentu, gdy wynik próby z płynem Lugola nie
potwierdzi obecności skrobi),
4) z wymytego glutenu odcisnąć wodę, a następnie zważyć go; wynik zanotować,
5) odważyć 5 g glutenu, uformować wałeczek długości około 2 cm i określić jego
elastyczność (zgodnie z instruktażem nauczyciela); wynik zanotować,
6) odważyć 5g glutenu, uformować kulkę i umieścić ją na płytce szklanej, pod którą
znajduje się papier milimetrowy i zmierzyć średnicę kulki (w milimetrach) w dwóch
prostopadłych kierunkach, wynik zanotować,
7) przykryć umieszczoną na płytce kulkę glutenu zlewką ustawioną dnem do góry (na dnie
zlewki umieścić zwilżony krążek bibuły filtracyjnej) i wstawić do termostatu
ustawionego na temperaturę 30o
C na czas 60 minut,
8) obliczyć zawartość glutenu w mące wg wzoru:
X = a∙4
gdzie:
X – zawartość glutenu wyrażona w procentach,
a – masa glutenu wyrażona w gramach,
9) zmierzyć ponownie średnicę kulki po upływie 60 minut i obliczyć rozpływalność
(różnica między średnicą zmierzoną w punkcie 7 ćwiczenia a zmierzoną w punkcie 6);
wynik zanotować,
10) uzyskane wyniki porównaj z normą PN-A-74022:2003 Przetwory zbożowe – Mąka
pszenna oraz poniższą tabelką:
Tabela do ćwiczenia 5.
Elastyczność glutenu
Stopień elastyczności Charakterystyka
I stopień gluten elastyczny, wykazujący zdolność rozciągania się na długość
5 cm i powrotu do punktu zerowego podziałki;
II stopień gluten średnio elastyczny, wykazujący zdolność rozciągania się na
długość 5 cm i powrotu tylko do połowy podziałki;
III stopień gluten mało elastyczny, wykazujący zdolność rozciągania się na
długość 5 cm lecz nie kurczący się zupełnie;
IV stopień gluten krótki, zrywający przy rozciąganiu do 5 cm;
Rozpływalność glutenu
Rodzaj mąki rozpływalność w mm
słaba >12
średnia 6÷12
mocna <6
11) sformułuj wnioski dotyczące wartości wypiekowej badanej mąki,
12) zaprezentuj efekty swojej pracy.
„Projekt współfinansowany ze środków Europejskiego Funduszu Społecznego”
15
Wyposażenie stanowiska pracy:
− próbka mąki do badania,
− norma: PN-A-74022:2003 Przetwory zbożowe – Mąka pszenna,
− waga techniczna,
− moździerz porcelanowy,
− sito,
− płytka szklana,
− zlewka,
− bibuła filtracyjna,
− płyn Lugola,
− papier milimetrowy,
− linijka,
− materiały biurowe.
4.1.4. Sprawdzian postępów
Czy potrafisz:
Tak Nie
1) określić skład chemiczny mąki?  
2) porównać skład chemiczny mąki pszennej i mąki żytniej?  
3) określić typy mąki wg norm?  
4) określić znaczenie jełczenia tłuszczów w mące?  
5) określić enzymy występujące w mące?  
6) określić czynniki wpływające na wartość wypiekową mąki?  
7) określić wartość wypiekową mąki na podstawie atestu?  
8) uzasadnić konieczność ukwaszania mąki żytniej?  
9) ocenić jakość glutenu?  
10) określić wpływ glutenu na jakość ciasta?  
„Projekt współfinansowany ze środków Europejskiego Funduszu Społecznego”
16
4.2. Inne surowce stosowane w piekarstwie
4.2.1. Materiał nauczania
Woda
Pod względem ilościowym woda, obok mąki, stanowi w produkcji piekarskiej
najważniejszy surowiec. Jej zawartość w pieczywie wynosi od 40 do 60%.
Znaczenie wody w produkcji pieczywa:
− jest rozpuszczalnikiem wszystkich rozpuszczalnych składników mąki,
− pod jej wpływem następuje pęcznienie skrobi oraz białek glutenowych mąki pszennej,
− w mące żytniej powoduje pęcznienie gum i śluzów, co nadaje ciastu odpowiednią
strukturę,
− służy do równomiernego rozprowadzenia składników ciasta.
Woda stosowana w piekarstwie powinna odpowiadać wymaganiom stawianym wodzie
do picia. Nie może zawierać szkodliwych substancji ani drobnoustrojów chorobotwórczych.
Powinna być:
− klarowna,
− bezbarwna,
− bezwonna,
− o odczynie zbliżonym do obojętnego.
Istotną informacją dla technologa jest twardość wody. Woda twarda wpływa na jakość
ciasta, zwłaszcza pszennego. Sole wapnia i magnezu, odpowiedzialne za twardość wody,
zmniejszają elastyczność i rozciągliwość glutenu, w związku z czym ciasto uzyskane
z dodatkiem takiej wody jest twarde, a pieczywo – małą porowatość i objętość.
Dodatek twardej wody do mąki powoduje zmniejszenie kwasowości ciasta, co z kolei
utrudnia początkową fazę fermentacji, ponieważ drożdże rozwijają się lepiej w środowisku
kwaśnym. Z kolei zbyt miękka woda zawiera mało związków mineralnych, które są
niezbędne do prawidłowego rozwoju drożdży.
Sól
Do produkcji pieczywa stosuje się sól kuchenną, która pod względem chemicznym jest
prawie czystym chlorkiem sodu (NaCl). Występują w niej także niewielkie ilości chlorków
i siarczanów magnezu i wapnia.
Znaczenie wody w produkcji pieczywa:
− nadaje produktom odpowiedni smak,
− poprawia jakość glutenu, a w konsekwencji – strukturę i właściwości fizyczne wyrobów,
− reguluje proces fermentacji (wpływa hamująco na rozwój drożdży).
Wyróżnia się:
− sól warzoną – otrzymywaną przez wypłukanie z ziemi w postaci solanki, którą poddaje się
zagęszczaniu, oczyszczaniu i krystalizacji; jest ona biała, krystaliczna, sypka, bez
zapachu, o słonym smaku, bez obcych posmaków (w tym gorzkiego, pochodzącego od
związków magnezu),
− sól kamienną – otrzymywaną z przez wydobycie złóż soli kamiennej w postaci brył, które
następnie rozdrabnia się i sortuje; jest ona biała, z naturalnym odcieniem szarym lub
różowym.
Oprócz tego w handlu występuje sól jodowana, tj. z dodatkiem związków jodu, aby
uzupełnić jego niedobór w diecie.
Sól stosowana w piekarstwie powinna być sucha (zawartość wody nie większa niż 1%),
sypka, bez obcych zapachów i posmaków, powinna łatwo rozpuszczać się w wodzie, a jej
roztwory nie powinny być mętne.
„Projekt współfinansowany ze środków Europejskiego Funduszu Społecznego”
17
Drożdże
Drożdże stosowane w piekarstwie są żywymi, jednokomórkowymi organizmami.
Rozmnażają się przez pączkowanie, a w niekorzystnych warunkach – przez zarodnikowanie.
Z punktu widzenia piekarstwa, najważniejszymi składnikami drożdży są enzymy, które
decydują o ich aktywności podczas przygotowania ciasta. Najważniejszymi enzymami są:
− kompleks enzymów wywołujących fermentację alkoholową (dawna nazwa tych
enzymów: zymaza),
− enzymy rozkładające cukry: sacharozę (inwertaza) i maltozę (maltaza),
− enzymy rozkładające tłuszcze (lipazy),
− enzymy rozkładające białko (proteazy).
Enzymy te, wydzielane przez drożdże, rozkładają zawarte w cieście substancje złożone
do prostszych, które przenikają do wnętrza komórki (odżywianie się drożdży). Z kolei
z komórki drożdżowej wydalana jest woda, alkohol, dwutlenek węgla oraz inne produkty.
Podstawowym składnikiem odżywczym dla drożdży jest cukier, który w warunkach
tlenowych ulega spalaniu do dwutlenku węgla i wody, natomiast w warunkach ograniczonego
dostępu tlenu (np. w cieście) pod wpływem enzymów ulega fermentacji alkoholowej.
Powstający w procesie fermentacji alkohol etylowy częściowo ulatnia się podczas pieczenia,
natomiast napęczniały gluten zatrzymuje dwutlenek węgla; powstają pęcherzyki wypełnione
gazem, spulchniające ciasto i nadające mu porowatą strukturę. Z kolei rozkład białek
i tłuszczów polepsza właściwości fizyczne oraz smak i aromat wyrobów piekarskich.
Najważniejszą właściwością drożdży jest ich zdolność do fermentowania ciasta, czyli siła
pędna. Siła pędna jest to:
− czas potrzebny do podniesienia ciasta na określoną wysokość w standardowych
warunkach, tj. określona receptura na ciasto, temperatura, wymiary formy (sposób podany
w normie),
lub:
− objętość wydzielonego dwutlenku węgla w określonym czasie (metoda uproszczona).
W produkcji piekarskiej używa się drożdży prasowanych. Awaryjnie można stosować
drożdże suszone, które jednak wcześniej należy aktywować przez rozprowadzenie w wodzie
z dodatkiem cukru i inkubację w temperaturze około 25o
C.
Inną formą występowania drożdży piekarskich są drożdże instant. Są to również drożdże
suszone, które wsypuje się wprost do dzieży i miesza z mąką (nie wymagają wstępnej
aktywacji).
Szczegółowe wymagania jakościowe dla drożdży zawarte są w normie PN–A-79002:1998.
Ogólne wymagania dla drożdży to:
− możliwie najjaśniejsza barwa,
− prawidłowy zapach, bez zapachu octowego,
− brak nieprzyjemnego lub kwaśnego smaku,
− drożdże prasowane nie powinny być obeschnięte.
Cukier i środki słodzące
Do produkcji niektórych wyrobów piekarskich stosuje się środki słodzące. Należą do
nich:
− cukier,
− miód naturalny lub sztuczny,
− syropy skrobiowe,
− syrop słodowy.
Cukier (sacharozę) otrzymuje się z buraka cukrowego lub trzciny cukrowej.
„Projekt współfinansowany ze środków Europejskiego Funduszu Społecznego”
18
Wyróżnia się:
− cukier biały konsumpcyjny; występuje jako cukier kryształ o różnej wielkości
kryształów; po zmieleniu cukru krystalicznego otrzymuje się cukier puder,
− cukier biały przemysłowy,
− cukier rafinowany (jest cukrem najczystszym).
Cukier biały konsumpcyjny powinien być czysty (bez zanieczyszczeń), barwy białej
(dopuszcza się odcień kremowy lub niebieskawy), krystaliczny, bez zbryleń i grudek,
o słodkim smaku, bez obcych zapachów.
Miód naturalny dzieli się na nektarowy, spadziowy i nektarowo – spadziowy. Odmiany
miodu określane są na podstawie pochodzenia, np. akacjowy, lipowy, gryczany. Cechami
charakterystycznymi poszczególnych odmian miodów są barwa, zapach, smak.
Miód sztuczny otrzymuje się przez inwersję sacharozy (rozkład sacharozy w środowisku
wodnym, w obecności kwasów lub enzymów – powstaje wówczas mieszanina glukozy
i fruktozy, zwana cukrem inwertowanym). Dodatek substancji barwiących i smakowo –
zapachowych nadaje mu cechy organoleptyczne zbliżone do miodu naturalnego. Miód
sztuczny może mieć konsystencję płynną lub krystaliczną.
Syropy skrobiowe otrzymuje się w wyniku niecałkowitej kwasowej lub enzymatycznej
hydrolizy skrobi. Otrzymuje się wówczas mieszaninę glukozy, maltozy i dekstryn. Syropy
skrobiowe są gęstymi, lepkimi cieczami, charakteryzującymi się dużą higroskopijnością
(zdolnością pochłaniania wody), powinny być bezbarwne, o słodkim smaku. W zależności od
zawartości dekstryn, glukozy i maltozy wyróżnia się następujące rodzaje syropów
skrobiowych: niskoscukrzony, normalnie scukrzony, średnioscukrzony, wysokoscukrzony.
Syrop (ekstrakt) słodowy jest to zagęszczony wyciąg wodny z rozdrobnionego słodu
jęczmiennego. Słód jest to ziarno poddane kiełkowaniu. W wyniku tego procesu w następuje
częściowy rozkład białek do aminokwasów i polipeptydów oraz skrobi do dekstryn i maltozy.
Mleko i przetwory mleczne
W piekarstwie oprócz mleka zastosowanie znalazły przetwory mleczne takie jak: mleko
w proszku, twaróg, śmietana i śmietanka, serwatka. Zastosowanie mleka i jego przetworów
podnosi wartość odżywczą gotowych wyrobów oraz powoduje korzystne zmiany w ich
smaku i zapachu.
Podstawowymi składnikami mleka są: woda, tłuszcz, białko, cukier mlekowy (laktoza),
sole mineralne. W obrocie handlowym znajduje się mleko znormalizowane, tj. o określonej
zawartości tłuszczu, pasteryzowane lub sterylizowane.
Mleko w proszku otrzymuje się przez zagęszczenie a następnie wysuszenie mleka.
Śmietanką nazywa się produkt tłuszczowy powstający w wyniku odwirowania mleka.
Zawiera ona od 9 do 36% tłuszczu. Przez ukwaszenie śmietanki przy użyciu bakterii
fermentacji mlekowych otrzymuje się śmietanę.
Twaróg otrzymuje się przez wytrącenie białka z mleka. W zależności od zawartości
tłuszczu wyróżnia się twaróg chudy, półtłusty i tłusty. Najczęściej spotykaną wadą twarogów
jest ich przekwaszenie, co powoduje nadmierną kruchość.
Serwatka jest produktem ubocznym powstającym przy produkcji twarogu. W piekarstwie
zastosowanie znalazła głównie serwatka w proszku, otrzymywana przez wysuszenie
zagęszczonej serwatki.
Jaja i przetwory z jaj
Stosowanie jaj w produkcji piekarskiej wpływa dodatnio na cechy organoleptyczne
wyrobów oraz wzbogaca ich wartość odżywczą. Ze względu na dużą pracochłonność przy
wybijaniu jaj świeżych, uciążliwość przechowywania oraz niebezpieczeństwo zakażenia
Salmonellą, często stosuje się przetwory z jaj: proszek jajowy i masy jajowe mrożone.
W zależności od masy, jaja dzieli się na następujące klasy wagowe:
− XL (bardzo duże, o masie co najmniej 73g),
„Projekt współfinansowany ze środków Europejskiego Funduszu Społecznego”
19
− L (duże, ważące od 63 do 73g),
− M (średnie, ważące od 53 do 63g),
− S (małe, ważące mniej niż 53g).
Określając jakość jaj bierze się pod uwagę takie cechy jak: czystość i kształt skorupy,
ewentualne jej uszkodzenia. Po wybiciu jaja ze skorupki nie powinno się wyczuwać żadnych
obcych zapachów, w szczególności siarkowodoru, świadczącego o zepsuciu jaja. W jaju
świeżym ułożenie żółtka jest centralne, nie ma na nim żadnych plam. Białko jest jasne i gęste.
W jajach nieświeżych po wybiciu żółtko jest płaskie, rozlewające się, białko rzadkie.
Wnętrze jaj można również oceniać przez prześwietlanie za pomocą owoskopu.
Proszek jajowy otrzymuje się przez wysuszenie masy jajowej. Proszek może być
otrzymywany z całych jaj, żółtek lub białek. 1 kg proszku jajowego odpowiada 80 jajom
świeżym, 1 kg proszku z żółtek – 133 żółtkom świeżym, 1 kg proszku z białek – 212 białkom
świeżym. Proszek jajowy powinien mieć konsystencję pudru, dopuszczalne są grudki
i zbrylenia, które można łatwo rozetrzeć w palcach. Smak i zapach proszku powinien
odpowiadać smakowi i zapachowi jaj świeżych.
Masy jajowe mrożone, podobnie jak proszek, występują w trzech postaciach: mrożona
masa jajowa, mrożone żółtka i mrożone białka. Otrzymuje się je przez zamrożenie masy
jajowej w temperaturze – 25o
C.
Zaletami przetworów jajecznych są:
− stała jakość,
− oszczędność czasu (nie trzeba wybijać),
− dostępność we wszystkich rodzajach (przetwory z całych jaj, żółtek, białek),
− wyeliminowanie kontaktu rąk ze skorupką,
− posiadanie gwarancji czystości mikrobiologicznych,
− łatwość użycia i magazynowania,
− duża trwałość.
Tłuszcze
Zastosowanie tłuszczu podnosi wartość odżywczą wyrobów piekarskich, wpływa na
cechy takie jak: objętość i porowatość oraz sprawia, że pieczywo wolniej czerstwieje.
Ponadto obecność tłuszczu poprawia stabilność ciasta podczas formowania, rozrostu
i w pierwszym etapie wypiekania. Najczęściej stosowanymi tłuszczami są: masło, smalec,
margaryna, oleje, tłuszcze specjalne.
Masło, najbardziej ceniony tłuszcz w produkcji piekarskiej, jest produktem pochodzenia
zwierzęcego, otrzymywanym ze śmietany. Zawiera około 82% tłuszczu (ekstra, delikatesowe,
wyborowe i stołowe). Masło śmietankowe zawiera 73% tłuszczu. Jakość masła ocenia się
uwzględniając cechy takie jak:
− zapach (delikatny, świeży, naturalny, lekko orzechowy),
− smak (wyrazisty, przyjemny),
− wygląd (jednolita barwa – kolor masła zależy m. in. od pory roku, rodzaju paszy, itp.),
− konsystencja (zwarta, łatwa do smarowania).
Smalec jest prawie czystym tłuszczem, otrzymywanym z tkanki tłuszczowej wieprzowej.
Barwa smalcu powinna być biała lub jasnokremowa, konsystencja gęsta, mazista, smak
i zapach – charakterystyczny, niedopuszczalne są obce zapachy, przypalenie, smak gorzkawy.
Oleje są tłuszczami otrzymywanymi z nasion i owoców roślin oleistych, np. rzepak,
słonecznik, soja, orzechy ziemne, oliwki. W temperaturze pokojowej oleje powinny być
klarowne, o jasnożółtej barwie, bez osadów i zawiesin. Smak i zapach powinny być typowe
dla oleju otrzymywanego z danej rośliny.
„Projekt współfinansowany ze środków Europejskiego Funduszu Społecznego”
20
Margaryna jest produktem otrzymywanym poprzez utwardzenie oleju. Jest tłuszczem
o wyglądzie i właściwościach zbliżonych do masła. Podstawowe gatunki margaryny to:
− margaryna zwykła (emulsja tłuszczu z wodą),
− margaryna mleczna (emulsja tłuszczu z ukwaszonym mlekiem).
Do margaryn tych dodaje się również sól, cukier, witaminy, barwniki, substancje
zapachowe. W piekarstwie stosuje się margarynę piekarską, która jest odpowiednikiem
margaryny zwykłej, ale bez dodatków smakowych i barwiących.
Dobrej jakości margaryna charakteryzuje się jednolitą barwą jasnokremową do
kremowożółtej, błyszczącą powierzchnią przekroju, jednolitą i stałą konsystencją, dobrą
smarownością w temperaturze pokojowej. Smak i zapach powinny być swoiste, bez obcych
zapachów i posmaków.
Tłuszcze specjalne – to tłuszcze, które mają nadane odpowiednie właściwości
funkcjonalne.
Ceres – zawiera bardzo mało wody (około 0,3%), podczas produkcji tego tłuszczu
wtłacza się powietrze, dzięki czemu uzyskana masa stanowi rodzaj piany. Jest to dodatkowy
czynnik powodujący rozrost ciasta i spulchnienie pieczywa. Charakteryzuje się słabym
smakiem i zapachem, temperatura topnienia wynosi 37o
C.
Oma – utwardzony tłuszcz roślinny z dodatkiem olejów ciekłych. Ma jednorodną,
plastyczną konsystencję, bez grudek, temperatura topnienia wynosi 28 – 35o
C.
Specjał to tłuszcz specjalny otrzymywany z olejów z dodatkiem emulgatorów: specjał 6 –
zawierający 6% lecytyny; stosowany do produkcji pieczywa wyborowego i półcukierniczego,
specjał 10 – zawierający 10% lecytyny; stosowany do produkcji pieczywa wyborowego
o niewielkiej zawartości tłuszczu.
Tłuszcz cukierniczy i piekarski – otrzymuje się z olejów roślinnych (utwardzonych
i ciekłych) oraz smalcu i tranu utwardzonego. Przeznaczony on jest do produkcji ciasta
kruchego, charakteryzuje się strukturą drobnokrystaliczną.
Emulgatory
Emulgatory są to substancje, które ułatwiają tworzenie emulsji oraz zapewniają jej
trwałość. Emulsja jest to mieszanina cieczy charakteryzująca się tym, że jedna ciecz jest
rozproszona w drugiej w postaci bardzo drobnych kropelek, przy czym żadna z cieczy nie
rozpuszcza się w drugiej, np. woda i olej. W przemyśle piekarskim emulgatory wykorzystuje
się do przygotowania emulsji tłuszczów z wodą jako dodatek do tłuszczów piekarskich oraz
jako tzw. polepszacze. Najczęściej stosowanym emulgatorem jest lecytyna, otrzymywana
z oleju rzepakowego lub sojowego. Jest to substancja o mazistej lub galaretowatej
konsystencji, barwie brunatnej lub brunatnozielonej oraz specyficznym smaku i zapachu.
Przetwory ziemniaczane
Przetwory ziemniaczane dodane do mąki poprawiają smak i zapach pieczywa,
przedłużają jego świeżość, zmiękczają strukturę miękiszu.
Ziemniaki gotowane nadają wyrobom piekarskim specyficzny smak i zapach oraz
opóźniają jego czerstwienie. Ich dodatek zwiększa chłonność wody a także skraca czas
fermentacji o 20–30%.
Sok ziemniaczany powoduje wzrost objętości pieczywa pszennego, pojaśnienie barwy
miękiszu oraz równomierną porowatość.
Skrobia ziemniaczana (mąka ziemniaczana) poprawia smak, zapach i wygląd pieczywa
oraz spowalnia proces czerstwienia.
Suszone przetwory ziemniaczane zastosowane podczas produkcji pieczywa dają efekty
podobne do stosowania ziemniaków gotowanych. Najczęściej stosuje się grysik
ziemniaczany, ziemniaczane płatki spożywcze, granulat ziemniaczany, aglomerat
ziemniaczany.
„Projekt współfinansowany ze środków Europejskiego Funduszu Społecznego”
21
Polepszacze
Polepszacze są substancjami o intensywnym działaniu, poprawiające objętość, wygląd,
strukturę i właściwości miękiszu oraz smak i zapach pieczywa. Polepszacze dzielą się na:
− substancje o charakterze utleniającym, które poprawiają właściwości pieczywa oraz
przyspieszają dojrzewanie mąki; przykładem polepszacza z tej grupy jest kwas
askorbinowy (witamina C),
− preparaty enzymatyczne, najczęściej amylolityczne, wpływające na skrócenie czasu
fermentacji; często stosuje się też mączkę słodową lub ekstrakty słodowe, które
zwiększając zdolność fermentacyjną przyczyniają się do zwiększenia objętości pieczywa,
ponadto nadają mu charakterystyczny aromat, powodują lepsze zbrązowienie skórki oraz
hamują czerstwienie,
− substancje powierzchniowo czynne, np. lecytyna, która poprawia strukturę miękiszu
pieczywa pszennego, podnosi wydajność oraz przedłuża świeżość wyrobów,
− substancje o kompleksowym działaniu, będące mieszaniną kilku składników
polepszających i dlatego bardziej aktywne, np. zwiększające objętość pieczywa,
poprawiające strukturę i barwę miękiszu oraz przedłużające trwałość pieczywa.
4.2.2. Pytania sprawdzające
Odpowiadając na pytania, sprawdzisz, czy jesteś przygotowany do wykonania ćwiczeń.
1. Jakie jest znaczenie wody w procesie produkcji pieczywa?
2. Jakim wymaganiom musi odpowiadać woda stosowana do produkcji pieczywa?
3. W jakim celu do produkcji pieczywa wykorzystuje się sól?
4. Jakie jest znaczenie enzymów występujących w drożdżach piekarskich?
5. Jakie procesy zachodzą w cieście pod wpływem drożdży?
6. Jakie właściwości drożdży są najważniejsze pod względem ich przydatności
technologicznej?
7. Jakie środki słodzące stosuje się w piekarstwie?
8. Jakie są wymagania jakościowe dla poszczególnych środków słodzących?
9. Jakie są wymagania jakościowe dla poszczególnych przetworów mleczarskich
stosowanych w piekarstwie?
10. Jakie przetwory z jaj mają zastosowanie w przemyśle piekarskim?
11. Jakie są wymagania jakościowe dla poszczególnych przetworów z jaj stosowanych
w piekarstwie?
12. W jakim celu do produkcji pieczywa dodaje się przetwory ziemniaczane?
13. Jakie rodzaje polepszaczy stosuje się w piekarstwie?
4.2.3. Ćwiczenia
Ćwiczenie 1
Dokonaj oceny organoleptycznej drożdży piekarskich prasowanych.
Sposób wykonania ćwiczenia
Aby wykonać ćwiczenie, powinieneś:
1) przeanalizować informacje dotyczące drożdży zawarte w punkcie 4.2.1. niniejszego
Poradnika,
2) przeanalizować wymagania jakościowe dla drożdży piekarskich według normy PN-87/A-
79002 Drożdże piekarskie prasowane,
„Projekt współfinansowany ze środków Europejskiego Funduszu Społecznego”
22
3) odkroić nożem niewielką porcję drożdży i określić wzrokowo barwę świeżo odkrytej
powierzchni,
4) określić zapach drożdży na powierzchni świeżo odkrojonej,
5) pobrać do ust niewielką ilość próbki z powierzchni świeżo odkrojonej próbki i ocenić
smak,
6) ocenić konsystencję nagniatając lekko cegiełkę drożdży w środku bocznej krawędzi
i obserwując zachowanie cegiełki,
7) określić przełom odłamując kawałek cegiełki drożdży,
8) porównać wyniki oceny z wymaganiami normy i sformułować wnioski dotyczące jakości
drożdży,
9) porównać własną ocenę z oceną dokonaną przez kolegę.
Wyposażenie stanowiska pracy:
− arkusz białego papieru,
− nóż,
− cegiełka drożdży piekarskich prasowanych,
− norma PN-87/A-79002 Drożdże piekarskie prasowane,
− materiały biurowe.
Ćwiczenie 2
Rozpoznaj próbki surowców piekarskich otrzymanych od nauczyciela.
Sposób wykonania ćwiczenia
Aby wykonać ćwiczenie, powinieneś:
1) przeanalizować informacje dotyczące danego surowca (grupy surowców) zawarte
w punkcie 4.2.1. niniejszego Poradnika oraz literaturze wskazanej w punkcie 6
Poradnika, np. Ambroziak Z.: Produkcja piekarsko-ciastkarska, część 1,
2) obejrzeć dokładnie próbki surowców, zwracając uwagę na charakterystyczne cechy,
3) określić znaczenie i zastosowanie w produkcji pieczywa,
4) wyniki obserwacji i zebrane informacje zapisać w poniższej tabeli:
Tabela do ćwiczenia 2.
Nazwa surowca Cechy charakterystyczne
Rola w produkcji
piekarskiej/zastosowanie
5) porównać wyniki obserwacji z wynikami uzyskanymi przez kolegów.
„Projekt współfinansowany ze środków Europejskiego Funduszu Społecznego”
23
Wyposażenie stanowiska pracy:
− próbka surowców piekarskich,
− literatura z rozdziału 6 Poradnika, np. Ambroziak Z.: Produkcja piekarsko-ciastkarska,
część 1,
− materiały biurowe.
Ćwiczenie 3
Dokonaj oceny organoleptycznej jaj.
Sposób wykonania ćwiczenia
Aby wykonać ćwiczenie, powinieneś:
1) przeanalizować informacje dotyczące jakości jaj zawarte w punkcie 4.2.1 niniejszego
Poradnika oraz literaturze wskazanej w punkcie 6,
2) przeanalizować wymagania jakościowe dla jaj świeżych wg normy PN-85/A-86503 Jaja
świeże,
3) ocenić wygląd zewnętrzny jaj: czystość i stan skorupy,
4) rozbić jajo i delikatnie wylać jego zawartość na biały talerz, ocenić barwę i konsystencję
żółtka i białka oraz zwrócić uwagę na kształt żółtka,
5) określić zapach oraz inne zaobserwowane cechy,
6) porównać wyniki oceny z wymaganiami normy i sformułować wnioski dotyczące jakości
jaj,
7) porównać własną ocenę z oceną dokonaną przez kolegę.
Wyposażenie stanowiska pracy:
− jaja do badań,
− biały talerz,
− norma PN-85/A-86503 Jaja świeże,
− literatura wskazana w punkcie 6, np. Bartnik M., Jakubczyk T.: Surowce w piekarstwie.
Podręcznik dla zasadniczej szkoły zawodowej.
4.2.4. Sprawdzian postępów
Czy potrafisz:
Tak Nie
1) rozpoznać surowce piekarskie?  
2) ocenić jakość surowców piekarskich?  
3) wyjaśnić procesy zachodzące w cieście pod wpływem drożdży?  
4) ocenić przydatność drożdży do produkcji piekarskiej?  
5) określić znaczenie poszczególnych surowców piekarskich?  
6) określić zastosowanie poszczególnych surowców piekarskich?  
„Projekt współfinansowany ze środków Europejskiego Funduszu Społecznego”
24
4.3. Magazynowanie mąki i innych surowców piekarskich
4.3.1. Materiał nauczania
Zmiany zachodzące w surowcach podczas przechowywania
Piekarnia powinna dysponować taką ilością surowców, która zapewni ciągłość produkcji.
W czasie magazynowania surowców zachodzą w nich zmiany, w zdecydowanej większości
niekorzystne.
Zmiany zachodzące podczas przechowywania można podzielić na:
− fizyczne, np. zmiany kształtu i wielkości, uszkodzenia, twardnienie, zbrylanie,
rozwarstwianie,
− fizykochemiczne, np. pochłanianie lub oddawanie pary wodnej i gazów co prowadzi
między innymi do zmiany masy, zapachu,
− chemiczne, np. utlenianie, brunatnienie nieenzymatyczne,
− biochemiczne,
− biologiczne, np. oddychanie, fermentacja, samozagrzewanie, dojrzewanie, kiełkowanie.
Najszybciej zmiany następują podczas przechowywania żywności nieprzetworzonej.
W szczególności zachodzą wówczas procesy takie jak: transpiracja (parowanie), oddychanie,
procesy rozkładu powodowane działalnością drobnoustrojów.
Transpiracja, czyli oddawanie wody otoczeniu w postaci pary, powoduje stopniową
utratę wody, co dla surowców jest raczej niekorzystne, bo wiąże się z ubytkiem masy.
Wilgotność jest jednym z czynników warunkujących przebieg procesów życiowych. Im
wilgotność surowców mniejsza - tym powolniejsze procesy parowania.
Drugim ważnym procesem zachodzącym podczas przechowywania żywności w postaci
nieprzetworzonej (np. owoce, ziarno) jest oddychanie. Polega ono głównie
na pobieraniu tlenu z powietrza, który następnie wykorzystywany jest w procesach rozkładu
węglowodanów i innych składników. Wydziela się przy tym dwutlenek węgla, woda i ciepło
oraz następuje ubytek masy. Oddychanie zachodzi szybciej przy większej wilgotności
i wyższej temperaturze. Z kolei wydzielające się ciepło może spowodować tzw.
samozagrzanie się surowca, co przyspieszy proces oddychania i stworzy dobre warunki
rozwoju drobnoustrojów.
Bardzo ważną rolę odgrywają przemiany związane z działalnością drobnoustrojów, które
wpływają na obniżenie jakości surowców. W zależności od rodzaju surowca i rodzaju
drobnoustroju przemiany te są różnorodne. Cukry mogą ulegać rozkładowi w wyniku
fermentacji z wydzieleniem alkoholu etylowego, kwasu mlekowego, kwasu masłowego lub
innych produktów. Białka rozkładają się na aminokwasy, siarkowodór i amoniak (gnicie).
Tłuszcze ulegają rozkładowi na glicerynę i kwasy tłuszczowe. Trzeba zaznaczyć,
że drobnoustroje mogą także wytwarzać tzw. toksyny. Są to produkty metabolizmu
drobnoustrojów (głównie pleśni), które wnikają w głąb surowca i pozostające w nim nawet po
usunięciu pleśni.
Zmiany zachodzące w mące podczas przechowywania
Świeżo wyprodukowana mąka przed użyciem jej do produkcji pieczywa powinna przejść
tzw. okres dojrzewania. Zachodzą w niej wówczas zmiany biochemiczne i fizyczne, które
poprawiają jej wartość wypiekową. Na szybkość zachodzenia tych zmian wpływają przede
wszystkim takie warunki magazynowania jak temperatura (im wyższa temperatura tym
szybciej przebiega proces) i wilgotność (mąka o większej wilgotności dojrzewa szybciej). Im
większy dostęp powietrza do mąki, tym szybciej następuje dojrzewanie. Na czas dojrzewania
wpływ mają następujące czynniki:
„Projekt współfinansowany ze środków Europejskiego Funduszu Społecznego”
25
− rodzaj mąki; mąka żytnia dojrzewa szybciej niż mąka pszenna,
− właściwości glutenu; mąka zawierająca mocniejszy gluten dojrzewa szybciej niż mąka
zawierająca słabszy gluten,
− wilgotność mąki; mąka o większej wilgotności dojrzewa szybciej,
− wyciąg; szybciej dojrzewa mąka o wyższym wyciągu (ciemniejsza),
− granulacja; szybciej dojrzewa mąka o grubszej granulacji.
Mąka z ziarna zdrowego i dojrzałego dojrzewa krócej niż mąka z ziarna porośniętego
i niedojrzałego.
Zmiany zachodzące w mące podczas dojrzewania związane są z częściowym rozkładem
tłuszczu, co powoduje wzrost kwasowości mąki, a następnie barwa mąki staje się jaśniejsza
w wyniku utleniania kwasów tłuszczowych. Poprawiają się właściwości glutenu – gluten
ulega wzmocnieniu.
Okres dojrzewania mąki pszennej wynosi 3do 4 tygodni (w przypadku mąki o krótkim
czasie dojrzewania – dwa tygodnie), natomiast gdy wyprodukowano ją z ziarna porośniętego
może dojrzewać 6 do 8 tygodni. Mąka żytnia często nie wymaga w ogóle dojrzewania
(np. mąka żytnia razowa), lub czas dojrzewania jest krótki; mąka jasna żytnia dojrzewa
w ciągu 5 do 7 dni.
Podczas magazynowania w mące zachodzą również niekorzystne zmiany. Mąka łatwo
chłonie wilgoć, obce zapachy, jest dobrym siedliskiem dla rozwoju drobnoustrojów, chętnie
w niej żerują szkodniki. W mące świeżo zmielonej zachodzi intensywnie proces oddychania,
który polega na przemianie cukrów do dwutlenku węgla i wody oraz oddychaniu
mikroorganizmów. Zachodzi on tym intensywniej im wyższa jest temperatura i wilgotność
oraz zawartość drobnoustrojów. Z kolei proces oddychania powoduje wzrost wilgotności
i temperatury mąki, co doprowadza do jej samozagrzewania się, zbrylania, pleśnienia,
pojawienia się stęchłego zapachu i wzrostu kwasowości.
Warunki magazynowania
Pomieszczenia magazynowe powinny być czyste i bez obcych zapachów, gdyż większość
surowców łatwo chłonie zapachy.
Jednym z czynników wpływających na jakość przechowywanych surowców jest
wilgotność powietrza w magazynie.
Do pomiaru wilgotności względnej służą higrometry lub psychrometry.
W magazynie między przechowywanymi surowcami, a powietrzem odbywa się wymiana
wilgoci. Surowce albo wchłaniają wodę z powietrza, albo ją wyparowują, aż do uzyskania
stanu równowagi z względną wilgotnością powietrza. Wyższa wilgotność powietrza
w magazynie stwarza dobre warunki dla rozwoju i działalności drobnoustrojów.
Na jakość surowców wpływa także temperatura powietrza w magazynie.
Im temperatura wyższa, tym intensywniej zachodzą wszystkie niepożądane zmiany
w przechowywanych surowcach. Zarówno wilgotność jak i temperaturę należy
w pomieszczeniach magazynowych systematycznie kontrolować za pomocą takich urządzeń
pomiarowych jak: termometr oraz higrometr lub psychrometr.
W magazynie należy zapewnić dobrą wentylację: naturalną (okna, drzwi, wywietrzniki)
lub sztuczną (wentylatory, klimatyzatory).
Aby magazyn, w którym przechowywane są surowce spełniał swą rolę musi odpowiadać
określonym wymaganiom zarówno pod względem budowy jak i wyposażenia. Ściany
i podłogi – muszą być wykonane z materiałów, które łatwo można utrzymać w czystości,
powinny być szczelne, bez pęknięć i porowatości, które mogą stać się siedliskiem
drobnoustrojów i szkodników. Ze względu na to, że światło słoneczne wpływa niekorzystnie
na produkty spożywcze, pomieszczenia magazynowe powinny być zaciemnione.
„Projekt współfinansowany ze środków Europejskiego Funduszu Społecznego”
26
Tabela 3. Warunki przechowywania wybranych surowców piekarskich [1, s. 148]
Temperatura
Wilgotność względna
powietrza, nie
większa niż
Nazwa surowca
o
C %
Czas
przechowywania, nie
dłuższy niż
jaja 8 ÷ 10 70 14 dni
jaja suszone 0 ÷ 22 75 5÷12 miesięcy
drożdże prasowane 1 ÷ 4 75 96 h
drożdże suszone do 20 75 6 miesięcy
cukier do 18 65 bez ograniczeń
syrop ziemniaczany do 15 60÷70 3 miesiące
miód sztuczny do 18 70 12 miesięcy
miód naturalny 4 ÷ 20 65÷75 12 miesięcy
margaryna zwykła 4 ÷ 10 75 40 dni
margaryna mleczna 4 ÷ 10 75 14 dni
smalec 0 ÷ 4 85 7 miesięcy
Do 6 75 90 dni
6 ÷ 12 75 60 dni
tłuszcz cukierniczy
12 ÷ 18 75 40 dni
olej do 15 75 6 miesięcy
do 10 75 3 dnimasło
-18 ÷ -22 75 3÷9 miesięcy
tłuszcz Specjał do 10 75 30 dni
marmolada 2 ÷ 15 80 10 miesięcy
mleko świeże do 10 24 h
mleko w proszku do 20 75 4 ÷ 6 miesięcy
śmietanka do 10 75 2 dni
twaróg do 10 75 24 h
Mąka powinna być składowana w pomieszczeniu suchym i chłodnym, zabezpieczonym
przed działaniem słońca, czystym, zabezpieczonym przed gryzoniami i owadami
i pasożytami. Optymalna temperatura magazynowania mąki wynosi 15÷18o
C, wilgotność
względna powietrza nie powinna przekraczać 70%.
Mąka może być dostarczana do piekarni w workach lub luzem.
Worki, w które pakowana jest mąka mogą być tkaninowe (z juty) lub papierowe
(wielowarstwowe). Worki z mąką ustawia się na drewnianych podestach (tzw. paletach). Nie
wolno ustawiać worków bezpośrednio na podłodze, gdyż sprzyja to przenikaniu wilgoci i jest
niehigieniczne; nie wolno również opierać worków o ściany. Należy je tak poukładać, aby
zapewnić możliwie najlepszy przewiew i wymianę powietrza. Ilość worków ułożonych
w stosie zależy od stanu mąki i od temperatury. Im wyższa temperatura i wilgotność – tym
mniejsza wysokość stosu, np. temperatura otoczenia jest wyższa niż10o
C, zaleca się układać
worki z mąką w stosy nie wyższe niż 10 worków przy wilgotności mąki poniżej 14% i nie
wyższe niż 8 worków, gdy wilgotność mąki przekracza 14%. Zgodnie z zasadami bhp
układanie worków z mąką w stosy przekraczające 6 worków wymaga użycia urządzeń
mechanicznych.
W przypadku większych piekarni mąkę dostarcza się luzem w specjalnych cysternach.
Składowana jest ona wówczas w specjalnych zbiornikach, tzw. silosach. Z silosów jest ona
transportowana bezpośrednio do stanowiska przygotowania ciasta.
„Projekt współfinansowany ze środków Europejskiego Funduszu Społecznego”
27
Surowce dodatkowe stosowane w produkcji pieczywa są dostarczane do piekarni
w opakowaniach przewidzianych przez producenta i w tych opakowaniach są
przechowywane.
Szkodniki magazynowe
Szkodnikami magazynowymi są gryzonie i owady oraz pajęczaki.
Najczęściej spotykanymi gryzoniami są myszy i szczury. Oprócz tego, że zjadają one
przechowywane surowce to uszkadzają opakowania i sam budynek, zanieczyszczają
pomieszczenia i surowce oraz mogą przenosić choroby. Dlatego bardzo ważne jest
zabezpieczenie budynku w taki sposób, aby nie mogły one dostać się do wewnątrz (dół drzwi
obity blachą, okna i inne otwory zabezpieczone siatką. Zwalczanie gryzoni (deratyzacja)
polega na zakładaniu pułapek oraz stosowaniu trucizn przeznaczonych do tego celu.
Do najczęściej spotykanych owadów będących szkodnikami magazynowymi należą:
wołek zbożowy, mącznik młynarek, mól ziarniak, mklik mączny.
Rys. 2. Szkodniki zbożowe [9]
a) wołek zbożowy, b) mącznik młynarek, c) mól ziarniak, d) mklik mączny
Wołek zbożowy jest to chrząszcz długości 2–5 mm barwy jasnobrązowej do czarnej
z lekkim połyskiem. Chrząszcze są odporne na działanie niskiej i wysokiej temperatury.
Mogą żyć bardzo długo w temperaturze 6–10ºC, ale w tych warunkach nie rozmnażają się.
Samica wywierca w ziarnie otwór, w którym składa jajo. Z jaja po kilku dniach wykluwa się
a) b)
c) d)
„Projekt współfinansowany ze środków Europejskiego Funduszu Społecznego”
28
larwa. Całe swoje życie spędza ona w ziarnie, żywiąc się jego zawartością. Larwa ta,
przekształca się w poczwarkę, a następnie w owada doskonałego i dopiero on wychodzi
z wyjedzonego ziarna. Najlepszym pokarmem dla larw jest pszenica, jęczmień łuskany, żyto,
jęczmień nie łuskany, owies łuskany, kukurydza, ryż, gryka i żołędzie. Chrząszcze mogą
żerować i przeżywać długie okresy czasu w rozdrobnionych produktach zbożowych. W takich
warunkach jednak larwy nie rozwijają się.
Mól ziarniak – długość ciała motyli wynosi 6–8 mm, rozpiętość skrzydeł 9–14 mm.
Przednie skrzydła są wąskie, srebrzysto-szare czasem z żółtawym odcieniem. Na powierzchni
skrzydeł występuje szereg ciemnych nieregularnie rozmieszczonych ciemnych plamek.
Gąsienica ma do 10 mm długości, jest koloru brudno-żółtego z brązową głową. Całe ciało
rzadko pokryte delikatnymi włoskami. Poczwarka długości około 5 mm spoczywa w kokonie
zbudowanym z przędzy i resztek pokarmu. Motyle są aktywne w nocy, samice składają wtedy
jaja na produkty pokarmowe, opakowania i resztki produktów. Przed przepoczwarczeniem
gąsienice wędrują w poszukiwaniu odpowiedniego miejsca i pokrywają pryzmę lub worki
grubą warstwą przędzy.
Szkodnik żeruje na ziarnie zbóż, nasionach roślin strączkowych, orzechach, nasionach
traw, suszonych owocach, suszonych grzybach, rzadko na serach i korku.
Mklik mączny – rozpiętość skrzydeł 20–25 mm, długość ciała 10–14 mm. Przednie
skrzydła szare z niebieskawym odcieniem, z poprzecznymi, czarnymi, zygzakowatymi
liniami. Gąsienica biała lub szarożółta, pokryta delikatnymi włoskami do 20mm długości.
Poczwarka do 9mm długości, początkowo jasnobrązowa, potem prawie czarna, spoczywa
w mocnym kokonie. Motyle nie pobierają pokarmu i są aktywne tylko w nocy. W dzień
siedzą nieruchomo na ścianach i opakowaniach. Samice składają jaja pojedynczo lub
w niewielkich złożach bezpośrednio na produkty lub na opakowania. Szkodnik poraża
rozdrobnione produkty pochodzenia zbożowego (mąka, płatki, kasze), a także orzechy,
suszone warzywa, suszone owoce, kakao.
Mącznik młynarek – chrząszcz długości 12–16 mm, ciemnobrązowy z tłustym
połyskiem, tylko spód ciała i odnóża nieco jaśniejsze. Larwa zaraz po wyjściu z jaja jest biała,
długości do 3 mm, z czasem osiąga 20–30 mm długości. Poczwarka typu wolnego ma długość
12–18 mm, początkowo jest mleczno-biała, a w miarę rozwoju ciemnieje. Jest to szkodnik
występujący na wszystkich produktach pochodzenia roślinnego, sporadycznie spotykany na
mięsie. Larwy mogą uszkadzać sita i opakowania. Poza zjadaniem dużych ilości pokarmu,
larwy zanieczyszczają go kałem i wylinkami.
Walka ze szkodnikami polega głównie na zapobieganiu występowaniu szkodników oraz
ich rozmnażaniu. W magazynie należy więc zachowywać czystość oraz zwracać uwagę na
jakość surowców dostarczanych do magazynu (czy nie są porażone przez szkodniki) oraz stan
opakowań. Szkodniki można zwalczać metodami chemicznymi, najczęściej w postaci
trujących gazów, lub też metodami fizycznymi, polegającymi na wyodrębnieniu szkodników
za pomocą urządzeń czyszczących lub też działaniu wysoką lub niską temperaturą.
Bardzo ważnym szkodnikiem magazynowym jest należący do roztoczy rozkruszek
mączny. Ma on kształt owalny, barwę białą, a wielkość osobnika dojrzałego wynosi
najczęściej 0,5 mm. Jest trudno widoczny gołym okiem. Rozkruszki rozwijają się i żerują nie
tylko na przetworach zbożowych, ale również na wielu innych produktach spożywczych.
Spożycie pokarmów zawierających rozkruszki może być groźne dla organizmu. Związane jest
to z podrażnieniem i uszkodzeniem przewodu pokarmowego przez ich ostre i twarde odnóża.
„Projekt współfinansowany ze środków Europejskiego Funduszu Społecznego”
29
Zasady pracy w magazynie
Obowiązki magazyniera:
− ustalenie miejsc magazynowania surowców,
− przyjmowanie i wydawanie surowców,
− planowanie pracy w magazynie,
− kontrolowanie jakości surowców w magazynie,
− gospodarowanie surowcami zgodnie z dopuszczalnym okresem przechowywania,
− organizowanie obrotu opakowaniami (np. worki, skrzynki),
− kontrolowanie warunków magazynowania (wilgotność, temperatura, czystość,
występowanie szkodników),
− prowadzenie dokumentacji magazynowej (dowody dostawy i wydawania surowców
z magazynu),
− przestrzeganie zasad bhp i ochrony przeciwpożarowej.
Planując pracę w magazynie bierze się pod uwagę rozplanowanie powierzchni
magazynowej uwzględniając powierzchnię podłóg, powierzchnię operacyjną (przyjmowanie,
wydawanie, ważenie, itp.) oraz powierzchnię potrzebną na przejścia (1,5–2 m). Ważnym
elementem organizacyjnym jest rozmieszczenie magazynowanych surowców:
− poszczególne gatunki i rodzaje surowców przechowywane powinny być zawsze w tym
samym miejscu,
− obok siebie nie można układać materiałów wzajemnie na siebie oddziaływujących,
− do składowanych materiałów powinien być łatwy dostęp, co ułatwia kontrolę jakości oraz
zapewni odpowiednie warunki bhp i ochrony przeciwpożarowej,
− materiały powinny być układane zawsze w ustalony sposób, co ułatwi magazynierowi
kontrolę ilościową.
Warunki bhp i ochrony przeciwpożarowej:
− właściwe ułożenie worków tak, aby nie groziły one przywaleniem pracowników,
− pomosty oraz urządzenia magazynowe powinny być w dobrym stanie technicznym,
− pomosty i schody do rozładunku i załadunku – powinny być zaopatrzone w poręcze,
− podłogi powinny być utrzymane w dobrym stanie i czystości,
− przejścia i korytarze dostatecznie oświetlone,
− zapewnienie wentylacji (zapobiega to między innymi nadmiernemu zapyleniu magazynu;
pyły stanowią materiał łatwo wybuchający),
− zabronione jest używanie otwartego ognia,
− magazyny muszą być zaopatrzone w sprzęt przeciwpożarowy, a pracownicy muszą umieć
posłużyć się nim.
4.3.2. Pytania sprawdzające
Odpowiadając na pytania, sprawdzisz, czy jesteś przygotowany do wykonania ćwiczeń.
1. Jakie są rodzaje zmian zachodzących w przechowywanej żywności?
2. Jakie zmiany w żywności zachodzą przy udziale drobnoustrojów?
3. Na czym polega proces dojrzewania mąki?
4. Jakie czynniki decydują o szybkości dojrzewania mąki?
5. Jakie niekorzystne zmiany zachodzą w przechowywanej mące?
6. Jakie urządzenia pomiarowe powinny znaleźć się w magazynie?
7. Jakie są podstawowe warunki magazynowania surowców piekarskich?
8. Jakie są sposoby magazynowania mąki?
9. Jakie szkodniki można spotkać w magazynie surowców piekarskich?
„Projekt współfinansowany ze środków Europejskiego Funduszu Społecznego”
30
10. W jaki sposób zwalcza się szkodniki magazynowe?
11. Jakie są zasady prawidłowej organizacji magazynu?
12. Jakie są podstawowe obowiązki magazyniera?
13. Jakie są podstawowe wymagania w zakresie bhp i ochrony przeciwpożarowej
w magazynie?
4.3.3. Ćwiczenia
Ćwiczenie 1
Określ warunki magazynowania mąki i innych surowców w zakładzie piekarskim.
Sposób wykonania ćwiczenia
Aby wykonać ćwiczenie, powinieneś:
1) przeanalizować informacje dotyczące warunków magazynowania surowców zawarte
w punkcie 4.3.1. niniejszego Poradnika,
2) zapoznać się podczas wizyty w zakładzie piekarskim z wymaganiami bhp i ochrony
przeciwpożarowej w magazynie zakładu piekarskiego,
3) przestrzegać zasad bhp i ochrony przeciwpożarowej podczas zwiedzania magazynu,
4) zapoznać się z zawartością magazynu mąki i innych surowców w tym zakładzie,
5) określić warunki magazynowania poszczególnych surowców wypełniając tabelkę wg
wzoru:
Tabela do ćwiczenia 1.
Lp. Nazwa surowca Temperatura Wilgotność Uwagi
6) porównać wyniki swojej pracy z kolegami.
Wyposażenie stanowiska pracy:
− materiały biurowe,
− odzież ochronna obowiązująca podczas pracy w magazynie,
− instrukcje bhp i ochrony przeciwpożarowej obowiązujące w danym zakładzie piekarskim,
− literatura wskazana w punkcie 6 niniejszego poradnika.
Ćwiczenie 2
Dobierz warunki przechowywania mąki, którą przyjąłeś do magazynu.
Sposób wykonania ćwiczenia
Aby wykonać ćwiczenie, powinieneś:
1) przeanalizować informacje dotyczące zmian zachodzących w mące podczas
przechowywania zawarte w punkcie 4.3.1. niniejszego Poradnika oraz literaturze
wskazanej w punkcie 6 Poradnika, np. Ambroziak Z.: Produkcja piekarsko-ciastkarska,
część 1,
„Projekt współfinansowany ze środków Europejskiego Funduszu Społecznego”
31
2) przeanalizować informacje dotyczące warunków przechowywania mąki zawarte
w punkcie 4.3.1. niniejszego Poradnika oraz literaturze wskazanej w punkcie 6
Poradnika, np. Ambroziak Z.: Produkcja piekarsko-ciastkarska, część 1,
3) przestrzegać zasad bhp i ochrony przeciwpożarowej podczas pracy w magazynie,
4) dokonać oceny organoleptycznej otrzymanej maki, zwracając szczególną uwagę na jej
wilgotność (ocenioną poprzez ściśnięcie w dłoni),
5) zapoznać się z atestem mąki, zwracając uwagę, czy nie jest ona otrzymana z ziarna
porośniętego, nie ma zbyt wysokiej kwasowości,
6) przeanalizować wpływ warunków magazynowania na jakość mąki:
Lp. Warunki przechowywania
Wpływ warunków przechowywania na jakość
mąki
1. zbyt wysoka wilgotność
2. zbyt wysoka temperatura
3. obce zapachy
4. inne (jakie?)
7) dobrać warunki magazynowania dostarczonej mąki,
8) porównać wyniki pracy z kolegami.
Wyposażenie stanowiska pracy:
− materiały biurowe,
− odzież ochronna obowiązująca podczas pracy w magazynie,
− instrukcje bhp i ochrony przeciwpożarowej obowiązujące w danym zakładzie piekarskim,
− atest mąki przewidzianej do magazynowania,
− próbka mąki przewidzianej do magazynowania (do oceny organoleptycznej i oceny
wilgotności),
− literatura wskazana w punkcie 6 niniejszego poradnika.
Ćwiczenie 3
Oznacz liczbę żywych rozkruszków w mące.
Sposób wykonania ćwiczenia
Aby wykonać ćwiczenie powinieneś:
1) zapoznać się ze sprzętem, w który wyposażone jest stanowisko pracy,
2) zapoznać się z informacjami dotyczącymi szkodników magazynowych zawartymi
w punkcie 4.3.1. niniejszego Poradnika,
3) odważyć na wadze technicznej 50 g mąki,
4) rozsypać odważoną mąkę na ciemnej płytce tworząc warstwę grubości ok. 4 mm
i dokładnie wygładzić jej powierzchnię za pomocą płytki szklanej,
5) ogrzać rozsypaną mąkę do temperatury nieco wyższej niż temperatura otoczenia,
„Projekt współfinansowany ze środków Europejskiego Funduszu Społecznego”
32
6) po około pół godz. obejrzeć powierzchnię maki używając lupy,
7) pamiętając, że żywe rozkruszki naruszają gładkość powierzchni mąki – policzyć liczbę
rozkruszków w badanej próbce mąki,
8) obliczyć liczbę rozkruszków w 1kg mąki,
9) zaprezentować wykonane ćwiczenie.
Wyposażenie stanowiska pracy:
– mąka zanieczyszczona biologicznie,
– waga techniczna,
– ciemna płytka,
– płytka szklana,
– suszarka laboratoryjna,
– lupa,
– zeszyt przedmiotowy,
– długopis.
Ćwiczenie 4
Oceń warunki magazynowania mąki i innych surowców piekarskich na podstawie
wskazań urządzeń kontrolno-pomiarowych zainstalowanych w magazynie oraz stanu
higieniczno-sanitarnego pomieszczeń magazynowych.
Sposób wykonania ćwiczenia
Aby wykonać ćwiczenie, powinieneś:
1) zapoznać się z informacjami dotyczącymi warunków magazynowania zawartymi
w punkcie 4.3.1. niniejszego Poradnika,
2) zapoznać się z informacjami dotyczącymi szkodników magazynowych oraz sposobami
ich zwalczania zawartymi w punkcie 4.3.1. niniejszego Poradnika,
3) zapoznać się z warunkami magazynowania surowców podczas zajęć w zakładzie
piekarskim,
4) odczytać temperaturę i wilgotność z urządzeń pomiarowych,
5) ocenić stan pomieszczeń magazynowych,
6) zwrócić uwagę na obecność szkodników magazynowych i określić sposób ich
zwalczania,
7) ocenić warunki magazynowania surowców w zakładzie piekarskim,
8) zaprezentować wyniki swojej pracy.
Wyposażenie stanowiska pracy:
− materiały biurowe,
− odzież ochronna obowiązująca podczas pracy w magazynie,
− instrukcje bhp i ochrony przeciwpożarowej obowiązujące w danym zakładzie piekarskim,
− urządzenia do pomiaru temperatury i wilgotności,
− literatura wskazana w punkcie 6 niniejszego poradnika.
„Projekt współfinansowany ze środków Europejskiego Funduszu Społecznego”
33
Ćwiczenie 5
Przyjmij surowce do magazynu zgodnie z obowiązkami magazyniera.
Sposób wykonania ćwiczenia
Aby wykonać ćwiczenie, powinieneś:
1) zapoznać się z dokumentacją magazynową obowiązującą podczas przyjmowania
surowców obowiązującą w zakładzie piekarskim,
2) przestrzegać zasad bhp i ochrony przeciwpożarowej obowiązujących w magazynie,
3) przyjąć ilościowo i jakościowo surowce pod opieką instruktora/magazyniera,
4) wypełnić dokumentację związaną z przyjęciem surowców pod nadzorem magazyniera,
5) określić warunki magazynowania przyjętych surowców,
6) zaplanować rozmieszczenie przyjętych surowców, zwracając uwagę na termin
przydatności,
7) omówić prawidłowość wykonania ćwiczenia z nauczycielem.
Wyposażenie stanowiska pracy:
− odzież ochronna obowiązująca podczas pracy w magazynie,
− instrukcje bhp i ochrony przeciwpożarowej obowiązujące w danym zakładzie piekarskim,
− komputer z oprogramowaniem wymaganym do prowadzenia dokumentacji
magazynowej,
− dokumentacja magazynowa.
4.3.4. Sprawdzian postępów
Czy potrafisz:
Tak Nie
1) przyjąć surowce do magazynu?  
2) określić warunki przechowywania mąki i innych surowców?  
3) określić zmiany zachodzące w mące podczas przechowywania?  
4) określić zmiany zachodzące w innych surowcach podczas
przechowywania?  
5) rozpoznać szkodniki magazynowe?  
6) określić sposoby zwalczania szkodników magazynowych?  
7) zinterpretować wskazania aparatury kontrolno-pomiarowej
zainstalowanej w magazynie?  
8) zagospodarować surowce zgodnie z terminem przydatności?  
„Projekt współfinansowany ze środków Europejskiego Funduszu Społecznego”
34
4.4. Przygotowanie surowców do produkcji piekarskiej
4.4.1. Materiał nauczania
Przygotowanie mąki do produkcji piekarskiej
Przygotowanie mąki do produkcji polega na:
− przesiewaniu,
− dozowaniu,
− sporządzaniu mieszanek,
− ogrzewaniu lub schładzaniu mąki.
− przesiewanie mąki ma na celu:
− oddzielenie zanieczyszczeń mechanicznych,
− spulchnienie i napowietrzenie mąki,
− wyrównanie temperatury mąki z temperaturą otoczenia.
Przesiewanie mąki polepsza chłonność wody, poprawia warunki fermentacji oraz
poprawia wydajność i jakość pieczywa.
Do przesiewania mąki stosuje się przesiewacze z zasypem workowym lub bez –
stanowiące element transportu pneumatycznego oraz przesiewacze służące do przesiewania
mąki z worków, wyposażone w kosze zasypowe i podające przesiana mąkę bezpośrednio do
dzieży. W niewielkich zakładach piekarskich stosuje się sita ręczne.
Dozowanie mąki ma na celu przestrzeganie receptury i otrzymanie wyrobów
o odpowiedniej jakości. W piekarniach rzemieślniczych stosuje się często ręczny namiar
bezpośrednio do dzieży ustawionej na wadze podłogowej. W piekarniach przemysłowych
stosuje się dozowniki. Najczęściej są to dozowniki o działaniu okresowym.
Mieszanki wypiekowe sporządza się po to, aby uzyskać mąkę o pożądanych
właściwościach wypiekowych. Sporządzanie mieszanek ma miejsce np. w sytuacji, gdy
piekarnia otrzyma partię mąki z ziarna porośniętego. Należy wówczas zmieszać taką mąkę
z mąką charakteryzującą się niską aktywnością amylolityczną, tzn. o wyższej liczbie
opadania. Podobnie w zależności od potrzeb do mąki słabej (o niskiej liczbie glutenowej)
wskazany może być dodatek mąki mocnej (o wysokiej liczbie opadania).
Skład mieszanki wypiekowej można obliczyć na podstawie uproszczonego wzoru:
CB
BA
Xc
−
−
=
gdzie:
A>B>C
A- wskaźnik jakościowy mąki z partii A,
B- żądany wskaźnik jakościowy mąki,
C- wskaźnik jakościowy mąki z partii C,
Xc - ilość kg mąki partii C, jaką należy zmieszać z 1 kg mąki z partii A aby
otrzymać mąkę o wskaźniku jakościowym B.
Przykład:
Ustal skład mieszanki wypiekowej sporządzonej z mąk: A- o liczbie glutenowej 65 i C –
o liczbie glutenowej 30. Liczba glutenowa sporządzonej mieszanki ma wynosić 50.
Rozwiązanie:
Dane:
A = 65
B = 50
C = 30
„Projekt współfinansowany ze środków Europejskiego Funduszu Społecznego”
35
Po podstawieniu do wzoru:
75,0
3050
5065
=
−
−
=Xc
Odpowiedź: Mieszankę należy sporządzić używając na jeden kg mąki o liczbie glutenowej 30
0,75 kg mąki o liczbie glutenowej 65.
Ogrzewanie mąki stosuje się wówczas, gdy jej temperatura jest niższa niż 18o
C.
W małych piekarniach mąkę podgrzewa się ustawiając worki w pobliżu pieca. W piekarniach
przemysłowych mąkę ogrzewa się podczas transportu pneumatycznego przez użycie
podgrzanego powietrza.
W przypadku samozagrzania się mąki lub zbyt wysokiej temperatury w magazynie mąkę
schładza się przez przesiewanie lub stosując schłodzone powietrze podczas transportu
pneumatycznego.
Przygotowanie wody do produkcji piekarskiej
Na przygotowanie wody do produkcji składają się następujące czynności:
− uzdatnienie wody (w przypadku, gdy zakład stosuje wodę z własnego ujęcia woda musi
być uzdatniona zgodnie z wymaganiami ustalonymi przez stację sanitarno-
-epidemiologiczną),
− odmierzenie odpowiedniej ilości wody,
− ustalenie odpowiedniej temperatury wody.
Potrzebną do wyprodukowania danej ilości ciasta ilość wody można obliczyć na
podstawie wzoru:
W
McMr
Mw
⋅
=
gdzie:
Mw – ilość wody, w dm3
(w uproszczeniu przyjmujemy, że 1 kg wody ma
objętość jednego dm3
),
Mr – ilość wody na 100 kg mąki (wynikająca z receptury), w kg
Mc – ilość wytworzonego ciasta, w kg
W – wydajność ciasta (stosunek ilości ciasta do ilości mąki), w %
Przykład:
Oblicz, ile wody należy użyć do wyprodukowania 350 kg ciasta o wydajności 150%.
Obliczenia:
Jeśli wydajność ciasta wynosi 150%, to oznacza, że na 100 kg mąki należy użyć 50 litrów
wody. Ilość wody obliczamy na podstawie przedstawionego wyżej wzoru:
7,116
150
35050
=
⋅
=Mw
Do wyprodukowania 350 kg ciasta o wydajności 150% potrzeba 116,7 litra wody.
Ilość wody potrzebna do sporządzenia określonej ilości ciasta można również obliczyć na
podstawie proporcji.
Przykład:
Oblicz, ile wody potrzeba do przygotowania 750 kg ciasta o wydajności150%.
Jeśli wydajność ciasta wynosi 150%, to oznacza, że na 100 kg mąki zużywa się 50 litrów
wody.
150 kg ciasta – 50 litrów wody
750 kg ciasta – x litrów wody
250
150
50750
=
⋅
=x
„Projekt współfinansowany ze środków Europejskiego Funduszu Społecznego”
36
Do wyprodukowania 750 kg ciasta o wydajności 150% potrzeba 250 litrów wody.
Odmierzanie odpowiedniej ilości wody może odbywać się ręcznie lub za pomocą
dozowników. Dozując wodę do ciasta należy zwrócić uwagę, że część wody potrzebnej do
produkcji ciasta należy pozostawić do sporządzenia roztworów innych surowców, np. soli,
cukru.
Aby właściwie przygotować ciasto, woda powinna mieć odpowiednią temperaturę.
Czynnikami wpływającymi na temperaturę wody są:
− temperatura mąki,
− żądana temperatura ciasta,
− temperatura otoczenia,
− pora roku,
a także – temperatura fazy poprzedniej.
Temperatura wody nie powinna przekraczać 45 ÷ 50o
C, gdyż w tej temperaturze może
dojść do obumierania komórek drożdży.
W zależności od metody sporządzania ciasta temperaturę wody można obliczyć
korzystając z uproszczonych wzorów. W przypadku metody bezpośredniej temperaturę
dolewki wody oblicza się ze wzoru:
td = 3tc – (tm + tp)
gdzie:
td – temperatura dolewki wody,
tc – żądana temperatura ciasta,
tm – temperatura mąki,
tp – temperatura pomieszczenia.
Przykład:
Ustal temperaturę dolewki wody do ciasta przygotowywanego metodą bezpośrednią, jeśli
żądana temperatura ciasta wynosi 28o
C, temperatura pomieszczenia wynosi 26o
C, temperatura
mąki wynosi 17o
C.
Obliczenia:
tc – 28 o
C,
tm – 17 o
C,
tp – 26 o
C.
td = 3tc – (tm + tp)
td = 3∙28 – (17 + 26)
td = 41
Temperatura dolewki wody powinna wznosić 41o
C.
Aby otrzymać wodę o danej temperaturze można do tego celu użyć tzw. mieszaczy.
Mieszacze są to zbiorniki wyposażone we wskaźnik poziomu, termometr oraz dwa króćce
doprowadzające wodę gorącą i zimną i króciec odprowadzający wodę do dzieży. Temperaturę
wody oraz wielkość porcji dolewaną do dzieży uzyskuje się manipulując ręcznie zaworami
i obserwując poziom cieczy oraz wskazania termometru.
Przygotowanie soli do produkcji piekarskiej
Przygotowanie soli do produkcji piekarskiej polega na rozpuszczeniu w wodzie
o temperaturze około 30o
C. Roztwór po odstaniu należy przecedzić lub przefiltrować.
Roztwór soli dozuje się objętościowo. Na podstawie gęstości (określonej za pomocą
areometru) z odpowiednich tabel odczytuje się zawartość soli w 100 ml roztworu.
„Projekt współfinansowany ze środków Europejskiego Funduszu Społecznego”
37
Przygotowanie środków słodzących do produkcji piekarskiej
Przygotowanie cukru do produkcji ciasta polega na rozpuszczeniu go w wodzie
i przecedzeniu uzyskanego roztworu.
W przypadku stosowania syropów, miodów, ekstraktu słodowego – przed dodaniem do ciasta
należy je podgrzać, aby zmniejszyć lepkość.
Przygotowanie drożdży do produkcji piekarskiej
W produkcji piekarskiej stosuje się drożdże prasowane, rzadko – suszone. Przygotowanie
drożdży do produkcji polega na sporządzeniu mleczka drożdżowego, czyli zawiesiny drożdży
w mleku lub w wodzie. Dzięki takiemu przygotowaniu ułatwione jest rozprowadzanie
drożdży w cieście oraz zapewniony równomierny przebieg fermentacji.
Drożdże prasowane należy rozkruszyć i rozprowadzić w wodzie lub mleku. Temperatura
płynu nie powinna przekraczać 30o
C.
W przypadku stosowania drożdży zamrożonych należy je przed użyciem ocieplić przez
umieszczenie ich w pomieszczeniu nieco cieplejszym (4 ÷ 8o
C). Nie wolno drożdży
rozprowadzać w gorącej wodzie, ani rozmrażać zbyt gwałtownie poprzez pozostawienie ich
np. w pobliżu grzejników czy pieca. Gwałtowne rozmrażanie drożdży prowadzi do obniżenia
zdolności rozmnażania się i zdolności fermentacyjnych.
Drożdże suszone zalewa się wodą o temperaturze 30o
C i pozostawia na 50 minut.
Stosunek ilościowy drożdży do wody powinien wynosić 1:6.
Często stosuje się także wstępną aktywację drożdży. Polega ona na dodaniu do zawiesiny
drożdży zaparzonej mąki i ewentualnie słodu oraz soli mineralnych. Aktywacja trwa od 2 do
kilku godzin, a jej celem jest pobudzenie drożdży do rozmnażania i fermentacji.
Przygotowanie tłuszczów do produkcji piekarskiej
Tłuszcze stałe stosowane do produkcji pieczywa zaleca się pogrzać do uzyskania płynnej
konsystencji. W większości piekarni tłuszcz roztapia się w naczyniach nad źródłem ciepła, np.
na taboretach podgrzewczych gazowych lub elektrycznych. Temperatura tłuszczu
dodawanego do ciasta nie powinna przekraczać 45o
C, w przeciwnym razie mogłoby dojść do
obumierania komórek drożdżowych.
Oleje i rozpuszczone tłuszcze stałe często dozuje się w postaci emulsji z wodą. Emulsję
taką przygotowuje się z dodatkiem lecytyny (która pełni funkcję emulgatora) przy użyciu
wysokoobrotowego miksera lub homogenizatora.
Przygotowanie jaj do produkcji piekarskiej
Jaja świeże przed użyciem należy:
− umyć,
− zdezynfekować,
− wybić.
Celem dezynfekcji jest zniszczenie drobnoustrojów znajdujących się na skorupce,
w szczególności Salmonelli. Dezynfekcję przeprowadza się przy użyciu środków
chemicznych, naświetlanie promieniami UV lub przez sparzanie gorącą wodą.
Umyte i zdezynfekowane jaja wybija się do niewielkiego naczynia (po kilka sztuk),
sprawdza zapach, miesza i dopiero przelewa przez sito do naczynia zbiorczego.
W przypadku, gdy w zakładzie zużywana jest bardzo duża ilość jaj, do ich mycia
i wybijania stosuje się specjalne urządzenia, np. linia Sanovo.
Masę jajową mrożoną należy przed użyciem rozmrozić w łaźni wodnej w temperaturze
około 45o
C i przecedzić przez sito. Rozmrożoną masę należy zużyć w ciągu 3–4 godzin;
rozmrożonej masy nie wolno ponownie zamrażać.
Jaja w proszku miesza się z 3–4 krotną ilością wody o temperaturze 40–45o
C.
„Projekt współfinansowany ze środków Europejskiego Funduszu Społecznego”
38
4.4.2. Pytania sprawdzające
Odpowiadając na pytania, sprawdzisz, czy jesteś przygotowany do wykonania ćwiczeń.
1. Jakie są etapy przygotowania mąki do produkcji piekarskiej?
2. Jaki jest cel przesiewania mąki?
3. Jaki jest cel sporządzania mieszanek wypiekowych?
4. Jaki jest uproszczony wzór do obliczenia składu mieszanki wypiekowej?
5. W jaki sposób reguluje się temperaturę mąki?
6. Z jakich wzorów skorzystasz obliczając ilość wody do produkcji danej ilości ciasta
o określonej wydajności?
7. Jakie czynniki wpływają na temperaturę wody stosowanej do produkcji ciasta?
8. Na czym polega przygotowanie soli do produkcji piekarskiej?
9. Na czym polega przygotowanie drożdży do produkcji piekarskiej?
10. Na czym polega przygotowanie środków słodzących do produkcji piekarskiej?
11. Na czym polega przygotowanie tłuszczów do produkcji piekarskiej?
12. Na czym polega przygotowanie jaj do produkcji piekarskiej?
4.4.3. Ćwiczenia
Ćwiczenie 1
Przygotuj mąkę do produkcji piekarskiej.
Sposób wykonania ćwiczenia
Aby wykonać ćwiczenie, powinieneś:
1) przeanalizować informacje dotyczące przygotowania mąki do produkcji zawarte
w punkcie 4.4.1. niniejszego Poradnika,
2) zapoznać się z zasadą działania urządzeń dozujących na podstawie plansz ze schematami
oraz modeli,
3) zapoznać się podczas wizyty w zakładzie piekarskim ze sposobami przygotowywania
mąki do produkcji, zwracając szczególną uwagę na urządzenia służące do przesiewania
i dozowania,
4) uzasadnić sposób dozowania mąki w tym zakładzie,
5) zapoznać się z instrukcjami obsługi urządzeń do przesiewania i dozowania mąki,
6) zapoznać się z zasadami bhp obowiązującymi podczas obsługi urządzeń do przesiewania
i dozowania mąki,
7) obsłużyć urządzenia do przesiewania i dozowania mąki pod nadzorem
instruktora/nauczyciela pamiętając o zachowaniu zasad bhp,
8) przeanalizować sposoby ogrzewania mąki w razie potrzeby w tym zakładzie,
9) przeanalizować z kolegami przebieg wykonania ćwiczenia zwracając szczególną uwagę
na te jego elementy, które sprawiły Ci najwięcej problemów.
Wyposażenie stanowiska pracy:
− schematy urządzeń dozujących,
− modele urządzeń dozujących,
− instrukcje obsługi urządzeń znajdujących się na stanowisku pracy w piekarni,
− instrukcje bhp i ochrony przeciwpożarowej na stanowisku pracy w piekarni,
− odzież ochronna obowiązująca podczas pracy w piekarni.
„Projekt współfinansowany ze środków Europejskiego Funduszu Społecznego”
39
Ćwiczenie 2
Oblicz skład mieszanki wypiekowej o liczbie opadania 200 sporządzanej z mąk
o liczbach opadania 150 i 400.
Sposób wykonania ćwiczenia
Aby wykonać ćwiczenie, powinieneś:
1) zapoznać się ze sposobem obliczania składu mieszanek zawartym w punkcie 4.4.1.
niniejszego Poradnika,
2) przeanalizować uproszczony wzór na skład mieszanki i wypisać dane,
3) wykonać obliczenia,
4) porównać wynik z wynikami uzyskanymi przez kolegów.
Wyposażenie stanowiska pracy:
− materiały biurowe,
− kalkulator.
Ćwiczenie 3
Oblicz ilość (w litrach) i temperaturę wody do produkcji 600kg ciasta o wydajności
150%. Temperatura ciasta ma wynosić 29o
C, temperatura mąki wynosi 18o
C, temperatura
pomieszczenia wynosi 25o
C.
Sposób wykonania ćwiczenia
Aby wykonać ćwiczenie, powinieneś:
1) zapoznać się ze sposobami obliczania wielkości dolewki wody i przykładami zawartymi
w punkcie 4.4.1 niniejszego Poradnika,
2) przeanalizować dane do obliczeń zawarte w treści ćwiczenia i wypisać te, które
wykorzystasz do obliczenia wielkości dolewki,
3) obliczyć wielkość dolewki wody wybranym sposobem,
4) zapoznać się ze sposobem obliczania temperatury wody i przykładem zawartym
w punkcie 4.4.1 niniejszego Poradnika,
5) przeanalizować dane do obliczeń zawarte w treści ćwiczenia i wypisać te, które
wykorzystasz do obliczenia temperatury dolewki,
6) obliczyć temperaturę wody,
7) wyniki obliczeń porównać z wynikami uzyskanymi przez kolegów i ocenić poprawność
wykonania ćwiczenia.
Wyposażenie stanowiska pracy:
– materiały biurowe,
– kalkulator.
Ćwiczenie 4
Przygotuj wodę do produkcji danego ciasta.
Sposób wykonania ćwiczenia
Aby wykonać ćwiczenie, powinieneś:
1) zapoznać się z recepturą wybranego wyrobu produkowanego w zakładzie piekarskim
(wyboru dokonać po ustaleniu z nauczycielem),
„Projekt współfinansowany ze środków Europejskiego Funduszu Społecznego”
40
2) zapoznać się ze sposobem przygotowania wody w tym zakładzie,
3) zapoznać się z instrukcją obsługi urządzeń do przygotowania wody (mieszacze,
dozatory), zwracając szczególną uwagę na zasady bhp,
4) obliczyć ilość wody potrzebną do wyprodukowania danej ilości ciasta (wynik obliczenia
przedstawić nauczycielowi),
5) obliczyć temperaturę dolewki wody (wynik przedstawić nauczycielowi),
6) przygotować wodę do produkcji pod nadzorem nauczyciela,
7) przedyskutować z kolegami sposób wykonania ćwiczenia, zwracając uwagę na te
elementy, które sprawiły Ci najwięcej problemów,
8) ocenić poprawność wykonania ćwiczenia wspólnie z nauczycielem.
Wyposażenie stanowiska pracy:
− materiały biurowe,
− odzież ochronna obowiązująca podczas pracy w zakładzie piekarskim,
− zbiór receptur piekarskich,
− kalkulator,
− instrukcje bhp i ochrony przeciwpożarowej obowiązujące w danym zakładzie piekarskim,
− instrukcje obsługi urządzeń do przygotowania surowców w danym zakładzie piekarskim,
− urządzenia służące do mieszania i dozowania wody w danym zakładzie piekarskim,
− literatura wskazana w punkcie 6 niniejszego poradnika, np. Reński A.: Piekarstwo.
Technologia dla szkół zasadniczych, cz.1,
− ewentualnie komputer z oprogramowaniem użytecznym, np. arkusz kalkulacyjny.
Ćwiczenie 5
Przygotuj wskazany przez nauczyciela surowiec do produkcji.
Sposób wykonania ćwiczenia
Aby wykonać ćwiczenie, powinieneś:
1) przeanalizować informacje dotyczące przygotowania surowców do produkcji zawarte
w punkcie 4.4.1. niniejszego Poradnika,
2) zapoznać się z recepturą wybranego wyrobu produkowanego w zakładzie piekarskim
(wyboru dokonać po ustaleniu z nauczycielem),
3) zapoznać się ze sposobem przygotowania danego surowca w tym zakładzie,
4) przygotować surowiec do produkcji pod nadzorem nauczyciela, pamiętając o zasadach
bhp,
5) przedyskutować z kolegami sposób wykonania ćwiczenia, zwracając uwagę na te
elementy, które sprawiły Ci najwięcej problemów,
6) ocenić poprawność wykonania ćwiczenia wspólnie z nauczycielem.
Wyposażenie stanowiska pracy:
− materiały biurowe,
− odzież ochronna obowiązująca podczas pracy w zakładzie piekarskim,
− zbiór receptur piekarskich,
− instrukcje bhp i ochrony przeciwpożarowej obowiązujące w danym zakładzie piekarskim,
− instrukcje obsługi urządzeń do przygotowania surowców w danym zakładzie piekarskim,
− urządzenia służące do przygotowania surowców w danym zakładzie piekarskim,
− literatura wskazana w punkcie 6 niniejszego poradnika, np. Reński A.: Piekarstwo.
Technologia dla szkół zasadniczych, cz.1,
„Projekt współfinansowany ze środków Europejskiego Funduszu Społecznego”
41
Ćwiczenie 6
Przeanalizuj wpływ przygotowania surowców na przebieg procesów technologicznych.
Sposób wykonania ćwiczenia
Aby wykonać ćwiczenie, powinieneś:
1) przeanalizować informacje dotyczące przygotowania surowców do produkcji zawarte
w punkcie 4.4.1. niniejszego Poradnika,
2) zapoznać się ze sposobami przygotowania surowców w różnych zakładach piekarskich,
3) określić wpływ przygotowania danego surowca na proces technologiczny:
Tabela do ćwiczenia 6.
Surowiec
Czynności związane
z przygotowaniem
Wpływ na proces
technologiczny
Skutki
nieprawidłowego
przygotowania
przesiewanie
dozowanie
sporządzanie mieszanek
(w razie potrzeby)
mąka
ogrzewanie (w razie
potrzeby)
ustalenie ilości
woda
ustalenie temperatury
przygotowanie mleczka
drożdżowego
drożdże
wstępna aktywacja
jaja
dezynfekcja
tłuszcz
roztapianie (w przypadku
tłuszczu stałego)
cukier, sól
sporządzenie roztworu
4) porównać i przedyskutować z kolegami wynik ćwiczenia.
„Projekt współfinansowany ze środków Europejskiego Funduszu Społecznego”
42
Wyposażenie stanowiska pracy:
− materiały biurowe,
− literatura wskazana w punkcie 6 niniejszego poradnika, np. Reński A.: Piekarstwo.
Technologia dla szkół zasadniczych, cz.1.
4.4.4. Sprawdzian postępów
Czy potrafisz:
Tak Nie
1) dobrać i obsłużyć maszyny i urządzenia do przygotowania surowców
do produkcji?  
2) odmierzyć odpowiednią ilość surowców?  
3) obliczyć skład mieszanki wypiekowej?  
4) obliczyć temperaturę dolewki wody?  
5) określić wpływ temperatury wody na jakość ciasta?  
6) określić i wykonać czynności związane z przygotowaniem drożdży
do produkcji?  
7) określić zasady przygotowania roztworów soli i cukru?  
8) określić zasady przygotowania tłuszczów i jaj do produkcji?  
9) określić niebezpieczeństwa związane z mikrobiologicznymi
zakażeniami jaj?  
10) przygotować surowce do produkcji?  
11) określić wpływ przygotowania surowców na przebieg procesów
technologicznych?  
„Projekt współfinansowany ze środków Europejskiego Funduszu Społecznego”
43
5. SPRAWDZIAN OSIĄGNIĘĆ
INSTRUKCJA DLA UCZNIA
1. Przeczytaj uważnie instrukcję.
2. Podpisz imieniem i nazwiskiem kartę odpowiedzi.
3. Zapoznaj się z zestawem zadań testowych.
4. Test zawiera 20 zadań. Do każdego zadania dołączone są 4 możliwości odpowiedzi.
Tylko jedna jest prawidłowa.
5. Udzielaj odpowiedzi na załączonej karcie odpowiedzi, stawiając w odpowiedniej rubryce
znak X. W przypadku pomyłki należy błędną odpowiedź zaznaczyć kółkiem, a następnie
ponownie zakreślić odpowiedź prawidłową.
6. Pracuj samodzielnie, bo tylko wtedy będziesz miał satysfakcję z wykonanego zadania.
7. Jeśli udzielenie odpowiedzi będzie Ci sprawiało trudność, wtedy odłóż jego rozwiązanie
na później i wróć do niego, gdy zostanie Ci wolny czas.
8. Na rozwiązanie testu masz 45 min.
Powodzenia!
ZESTAW ZADAŃ TESTOWYCH
1. Podstawowym składnikiem mąki jest
a) sacharoza.
b) skrobia.
c) amylaza.
d) popiół.
2. Na opakowaniu mąki znajduje się informacja: „Mąka pszenna. Typ 480”. Oznacza to, że
a) 100 kg tej mąki zawiera 480 g popiołu.
b) 1 kg tej mąki zawiera 480 g popiołu.
c) zawartość popiołu w tej mące wynosi 48%.
d) zawartość popiołu w tej mące wynosi 4,8%.
3. Mąka żytnia w porównaniu z mąką pszenną o tym samym wyciągu
a) ma taką samą kwasowość jak mąka pszenna.
b) ma niższą kwasowość.
c) ma wyższą kwasowość.
d) nie różni się od niej właściwościami i zawartością składników chemicznych.
4. Atest mąki pszennej zawiera między innymi następującą informację: LO = 350. Na
podstawie tego można stwierdzić, że mamy do czynienia z mąką
a) mocną.
b) słabą.
c) o niskiej aktywności alfa-amylazy.
d) o wysokiej aktywności alfa-amylazy.
„Projekt współfinansowany ze środków Europejskiego Funduszu Społecznego”
44
5. Ukwaszanie mąki żytniej jest konieczne, aby
a) przyspieszyć proces fermentacji.
b) skrobia uległa całkowitemu rozkładowi.
c) zwiększyć aktywność alfa-amylazy.
d) zmniejszyć aktywność alfa-amylazy.
6. Gluten słaby
a) szybko chłonie wodę i łatwo rozpływa się.
b) powoli chłonie wodę, jest elastyczny.
c) szybko chłonie wodę i charakteryzuje się niewielką rozciągliwością.
d) powoli chłonie wodę i charakteryzuje się niewielką rozpływalnością.
7. Do zasadniczych czynników wpływających na wartość wypiekową mąki żytniej należy
a) zdolność do wytwarzania i zatrzymywania gazów.
b) aktywność enzymów amylolitycznych.
c) siła mąki.
d) barwa.
8. Drożdże przydatne do produkcji dyskwalifikuje
a) przełom muszlowy.
b) barwa kremowa z odcieniem szarym.
c) charakterystyczny smak i zapach.
d) zapach rozkładającego się białka.
9. Z punktu widzenia piekarstwa najważniejszą właściwością drożdży jest
a) barwa.
b) siła pędna.
c) swoisty smak i zapach.
d) charakterystyczny, muszlowy przełom.
10. Pod wpływem drożdży w cieście zachodzi
a) fermentacja alkoholowa.
b) rozkład glutenu.
c) inwersja sacharozy.
d) proces wzmożonego chłonięcia wody.
11. Mąka w workach magazynowana w magazynie piekarni powinna być ułożona
a) na podłodze, z zachowaniem przejść między rzędami.
b) na drewnianych paletach tak, aby worki opierały się o ścianę.
c) na drewnianych paletach, z zachowaniem przejść między rzędami.
d) na drewnianych paletach, w stosach sięgających do sufitu.
12. Prawidłowe warunki magazynowania mąki to
a) temperatura: 15 ÷ 18o
C, wilgotność względna powietrza do 70%.
b) temperatura: 2 ÷ 6o
C, wilgotność względna powietrza powyżej 70%.
c) temperatura: 25 ÷ 28o
C, wilgotność względna powietrza 70 ÷ 80%.
d) temperatura: 18 ÷ 25o
C, wilgotność względna powietrza powyżej 70%.
„Projekt współfinansowany ze środków Europejskiego Funduszu Społecznego”
45
13. Podczas przechowywania żywności zachodzą w niej zmiany polegające między innymi
na zmianie kształtu i wielkości, powstaniu uszkodzeń, twardnieniu, zbrylaniu,
rozwarstwianiu. Tego typu zmiany zaliczamy do
a) fizycznych.
b) chemicznych.
c) biochemicznych.
d) biologicznych.
14. Dojrzewanie mąki polega na poprawie jej właściwości wypiekowych, w szczególności
a) wzrasta liczba drobnoustrojów.
b) gluten ulega wzmocnieniu.
c) wzrasta wilgotność.
d) gluten ulega osłabieniu.
15. Jednym ze szkodników magazynowych jest chrząszcz o długości 2–5 mm, barwy
jasnobrązowej do czarnej z lekkim połyskiem. Mowa jest o
a) mkliku mącznym.
b) mączniku młynarku.
c) molu ziarniaku.
d) wołku zbożowym.
16. Celem przesiewania mąki jest
a) uzyskanie mąki o pożądanych właściwościach wypiekowych, np. o określonej liczbie
opadania.
b) równomierne rozprowadzenie składników.
c) oddzielenie zanieczyszczeń mechanicznych, spulchnienie i napowietrzenie.
d) poprawa cech fizycznych glutenu.
17. Jeżeli temperatura mąki wynosi 15o
C, to przygotowanie jej do produkcji będzie polegało
na
a) jej ogrzaniu poprzez ustawienie worków w pobliżu pieca.
b) zaparzeniu części mąki.
c) dodaniu wody, wymieszaniu i ogrzaniu otrzymanej zawiesiny do temperatury około
25o
C.
d) dodaniu zawiesiny drożdży i wymieszaniu.
18. Temperatura ciasta ma wynosić 28o
C, temperatura w pomieszczeniu wynosi 25o
C,
temperatura mąki wynosi 19o
C. Temperatura dolewki wody powinna wynosić
a) 38o
C.
b) 40o
C.
c) 28o
C.
d) 4o
C.
19. Liczba glutenowa mieszanki sporządzonej z mąki A i mąki C ma wynosić 45. Liczba
glutenowa mąki A wynosi 70, a mąki C – 35. Na jeden kilogram mąki o liczbie
glutenowej 35 należy użyć
a) 2,5 kg mąki o liczbie glutenowej 70.
b) 0,4 kg mąki o liczbie glutenowej 70.
c) 0,25 kg mąki o liczbie glutenowej 70.
d) 4 kg mąki o liczbie glutenowej 70.
„Projekt współfinansowany ze środków Europejskiego Funduszu Społecznego”
46
20. Przygotowanie drożdży do produkcji polega na
a) rozprowadzeniu drożdży w solance.
b) wymieszaniu drożdży z niewielką ilością cukru.
c) rozprowadzeniu drożdży w wodzie o temperaturze około 30o
C.
d) pozostawieniu w cieple na około pół godziny.
„Projekt współfinansowany ze środków Europejskiego Funduszu Społecznego”
47
KARTA ODPOWIEDZI
Imię i nazwisko ...............................................................................
Przygotowanie surowców do produkcji pieczywa
Zakreśl poprawną odpowiedź.
Nr
zadania
Odpowiedzi Punkty
1 a b c d
2 a b c d
3 a b c d
4 a b c d
5 a b c d
6 a b c d
7 a b c d
8 a b c d
9 a b c d
10 a b c d
11 a b c d
12 a b c d
13 a b c d
14 a b c d
15 a b c d
16 a b c d
17 a b c d
18 a b c d
19 a b c d
20 a b c d
Razem:
„Projekt współfinansowany ze środków Europejskiego Funduszu Społecznego”
48
6. LITERATURA
1. Ambroziak Z.: Produkcja piekarsko-ciastkarska, część 1, WSiP, Warszawa 2004
2. Ambroziak Z.: Produkcja piekarsko-ciastkarska, część 2, WSiP, Warszawa 2004
3. Deschamps B., Deschaintre J. C.: Ciastkarstwo. Podręcznik do nauki zawodu cukiernik,
REA
4. Horubałowa A., Haber T.: Analiza techniczna w piekarstwie, WSiP, Warszawa 1990
5. Reński A.: Piekarstwo. Technologia dla szkół zasadniczych, cz.1, WSiP, Warszawa 2004
6. Reński A.: Piekarstwo. Technologia dla szkół zasadniczych, cz.2, WSiP, Warszawa 1998
7. Woźniakowski A. (red.): Receptury, normy i porady piekarskie, Wydawnictwo
Spółdzielcze 1993
8. www.pest.pl

2

  • 2.
    „Projekt współfinansowany ześrodków Europejskiego Funduszu Społecznego” MINISTERSTWO EDUKACJI NARODOWEJ Joanna Kośka Przygotowanie surowców do produkcji pieczywa 741[02].Z1.02 Poradnik dla ucznia Wydawca Instytut Technologii Eksploatacji – Państwowy Instytut Badawczy Radom 2007
  • 3.
    „Projekt współfinansowany ześrodków Europejskiego Funduszu Społecznego” 1 Recenzenci: mgr inż. Lucyna Kubicka mgr inż. Jan Oczoś Opracowanie redakcyjne: mgr inż. Danuta Bajor Konsultacja: mgr Małgorzata Sienna Poradnik stanowi obudowę dydaktyczną programu jednostki modułowej 741[02].Z1.02. „Przygotowanie surowców do produkcji pieczywa”, zawartego w modułowym programie nauczania dla zawodu piekarz. Wydawca Instytut Technologii Eksploatacji – Państwowy Instytut Badawczy, Radom 2007
  • 4.
    „Projekt współfinansowany ześrodków Europejskiego Funduszu Społecznego” 2 SPIS TREŚCI 1. Wprowadzenie 3 2. Wymagania wstępne 5 3. Cele kształcenia 6 4. Materiał nauczania 7 4.1. Mąka jako podstawowy surowiec w produkcji piekarskiej 7 4.1.1. Materiał nauczania 7 4.1.2. Pytania sprawdzające 11 4.1.3. Ćwiczenia 11 4.1.4. Sprawdzian postępów 15 4.2. Inne surowce stosowane w piekarstwie 16 4.2.1. Materiał nauczania 16 4.2.2. Pytania sprawdzające 21 4.2.3. Ćwiczenia 21 4.2.4. Sprawdzian postępów 23 4.3. Magazynowanie mąki i innych surowców piekarskich 24 4.3.1. Materiał nauczania 24 4.3.2. Pytania sprawdzające 29 4.3.3. Ćwiczenia 33 4.3.4. Sprawdzian postępów 33 4.4. Przygotowanie surowców do produkcji piekarskiej 34 4.4.1. Materiał nauczania 34 4.4.2. Pytania sprawdzające 38 4.4.3. Ćwiczenia 38 4.4.4. Sprawdzian postępów 42 5. Sprawdzian osiągnięć ucznia 43 6. Literatura 48
  • 5.
    „Projekt współfinansowany ześrodków Europejskiego Funduszu Społecznego” 3 1. WPROWADZENIE Poradnik dla ucznia „Przygotowanie surowców do produkcji pieczywa” pomoże Ci w zdobyciu wiadomości i ukształtowaniu umiejętności zgodnie z założeniami tej jednostki modułowej. Obejmuje ona treści dotyczące surowców i materiałów pomocniczych stosowanych w produkcji pieczywa; w szczególności ich właściwości, warunków ich magazynowania i sposobów przygotowania do produkcji pieczywa. Poradnik składa się z następujących elementów: − wymagania wstępne, czyli wykaz niezbędnych umiejętności i wiadomości, które uczeń powinien mieć opanowane, aby przystąpić do realizacji tej jednostki modułowej − cele kształcenia, czyli wykaz umiejętności, jakie opanujesz podczas kształcenia w tej jednostce modułowej, − materiał nauczania, na który składają się: podstawy teoretyczne, pytania sprawdzające wiedzę przed przystąpieniem do wykonania ćwiczenia, sposób wykonania ćwiczenia oraz sprawdzian postępów po wykonaniu ćwiczenia − sprawdzian osiągnięć - test zawierający zadania sprawdzające opanowanie treści objętych programem jednostki modułowej, − wykaz literatury, z jakiej możesz korzystać podczas kształcenia w tej jednostce modułowej. Podczas realizacji tej jednostki modułowej zwróć szczególną uwagę na: ocenianie jakości mąk w piekarstwie, dokonywanie organoleptycznej oceny surowców piekarskich, rozpoznawanie szkodników magazynowych oraz określanie sposobów ich zwalczania, przygotowanie surowców do produkcji, obliczanie ilości surowców oraz przestrzeganie zasad bhp.
  • 6.
    „Projekt współfinansowany ześrodków Europejskiego Funduszu Społecznego” 4 Schemat układu jednostek modułowych 741[02].Z1 Organizacja produkcji 741[02].Z1.01 Przygotowanie produkcji piekarskiej 741[02].Z1.02 Przygotowanie surowców do produkcji pieczywa
  • 7.
    „Projekt współfinansowany ześrodków Europejskiego Funduszu Społecznego” 5 2. WYMAGANIA WSTĘPNE Przystępując do realizacji programu nauczania jednostki modułowej, powinieneś umieć: − interpretować informacje zawarte w normach, − określać rodzaje zagrożeń dla bezpieczeństwa zdrowotnego żywności, − charakteryzować surowce i substancje dodatkowe stosowane w przemyśle spożywczym, − oceniać surowce stosowane w przetwórstwie spożywczym, − określać podstawowe składniki wchodzące w skład surowców dla przemysłu spożywczego, − określać warunki przechowywania surowców, − rozróżniać oraz scharakteryzować grupy i rodzaje pieczywa, − interpretować przepisy bezpieczeństwa i higieny pracy, − korzystać z różnych źródeł informacji.
  • 8.
    „Projekt współfinansowany ześrodków Europejskiego Funduszu Społecznego” 6 3. CELE KSZTAŁCENIA W wyniku realizacji programu jednostki modułowej, powinieneś umieć: − określić skład chemiczny mąki, − określić podstawowe typy mąki według norm, − porównać skład chemiczny mąki pszennej i żytniej, − posłużyć się atestem mąki, − uzasadnić konieczność ukwaszania mąki żytniej, − określić wpływ glutenu na jakość ciasta, − ocenić jakość glutenu, − określić znaczenie jełczenia tłuszczów w mące, − określić enzymy występujące w mące, − określić czynniki wpływające na wypiekową wartość mąki pszennej i żytniej, − wyjaśnić procesy zachodzące w cieście pod wpływem drożdży, − ocenić jakość drożdży, − określić technologiczną przydatność soli, środków słodzących, mleka i przetworów mlecznych, jaj, tłuszczów, emulgatorów, przetworów ziemniaczanych, polepszaczy i innych dodatków stosowanych w piekarstwie, − skorzystać z receptur piekarskich, − określić zasady przyjmowania mąki do zakładu piekarskiego, − przyjąć surowce do magazynu, − sporządzić dokumentację magazynową, − określić warunki magazynowania mąki i innych surowców, − określić przemiany zachodzące w mące i innych surowcach pod wpływem magazynowania, − rozpoznać szkodniki występujące w magazynie oraz określić sposoby ich zwalczania, − wydać surowce do produkcji, − zagospodarować surowce zgodnie z terminem przydatności, − zastosować normatywy magazynowe, − dobrać oraz obsłużyć maszyny i urządzenia do przygotowania surowców do produkcji, − zinterpretować wskazania aparatury kontrolno-pomiarowej zainstalowanej w magazynach, − odmierzyć odpowiednią ilość surowców, − określić i wykonać czynności dotyczące przygotowania mąki do produkcji, − dobrać metody regulacji temperatury mąki, − obliczyć skład mieszanki wypiekowej na podstawie wzoru, − obliczyć temperaturę dolewki wody według prostych wzorów, − określić wpływ temperatury wody na jakość ciasta, − określić i wykonać czynności związane z przygotowaniem drożdży do produkcji, − określić zasady sporządzania roztworów soli i cukru oraz innych środków słodzących, − określić zasady przygotowania tłuszczów, jaj i przetworów z jaj do produkcji, − określić niebezpieczeństwa związane z mikrobiologicznymi zakażeniami jaj, − przygotować surowce do produkcji, − określić wpływ przygotowania surowców na przebieg procesów technologicznych, − zastosować przepisy bezpieczeństwa i higieny pracy, higieny produkcji oraz ochrony przeciwpożarowej podczas magazynowania oraz przygotowywania surowców do produkcji.
  • 9.
    „Projekt współfinansowany ześrodków Europejskiego Funduszu Społecznego” 7 4. MATERIAŁ NAUCZANIA 4.1. Mąka jako podstawowy surowiec w produkcji piekarskiej 4.1.1. Materiał nauczania Podstawowym surowcem stosowanym w piekarstwie jest mąka. Otrzymuje się ją przez zmielenie ziarna tzw. zbóż chlebowych; najczęściej pszenicy i żyta. Wyróżniamy przemiał razowy (do mąki przechodzą wtedy wszystkie składniki ziarna – uzyskujemy mąkę razową) i przemiał gatunkowy (rozdrobnione cząstki łusek są oddzielane od rozdrobnionych części bielma – uzyskujemy mąkę gatunkową). Mąka uzyskana w drugim przypadku jest jaśniejsza. Wyciąg mąki jest to ilość mąki jaką uzyskuje się ze 100 kg ziarna. Wyrażany jest w procentach. Np. jeżeli ze 100 kg ziarna otrzymamy 98 kg mąki, to jest to mąka o wysokim wyciągu (98%), natomiast jeżeli ze 100 kg ziarna otrzymamy 48 kg mąki (48%), to jest to mąka o niskim wyciągu. Na jakość mąki wpływa przede wszystkim jakość ziarna, z którego mąkę otrzymaliśmy. Im lepsze ziarno – tym lepsza mąka. Jakość ziarna zależy przede wszystkim od odmiany i warunków klimatycznych. Bardzo duże znaczenie odgrywają tutaj warunki zbioru zbóż. Często zdarza się, że na wskutek długotrwałych opadów dojrzałe zboże nie może być zebrane i ziarno zaczyna kiełkować będąc jeszcze w kłosach. Zjawisko to nazywa się porostem. Mąka uzyskana z ziarna porośniętego charakteryzuje się znacznie obniżoną wartością technologiczną. Typ mąki określa ilość gramów popiołu otrzymanego ze 100 kg mąki. 100 kg mąki typ 480 zawiera 480 g popiołu (0,48%). Popiół jest to pozostałość po całkowitym spaleniu próbki mąki w temperaturze 900o C. Im wyższy wyciąg mąki – tym większa zawartość popiołu i ciemniejsza barwa mąki. Na wartość technologiczną mąki wpływa także jej rozdrobnienie, czyli granulacja. Wyróżniamy mąkę ziarnistą – „ostrą” w dotyku (np. mąka pszenna krupczatka) i mąkę gładką – bez wyczuwalnej ziarnistości (np. mąka luksusowa). Podstawowe składniki mąki Skład mąki zależy przede wszystkim od jej pochodzenia (np. pszenica, żyto) oraz wyciągu. Zawartość ważniejszych składników przedstawia tabela 1. Tabela 1. Zawartość ważniejszych składników w mące [1, s. 53] Witaminy Woda Białko Tłuszcze Cukry Błonnik Popiół Ca P Fe B1 B2 PP Mąka o wyciągu w % w mg Mąka pszenna 97% 13,5 9,8 2,8 70,3 1,9 1,7 99 358 5,0 429 221 1193 Mąka pszenna 72% 13,5 9,3 2,1 73,9 0,5 0,7 61 156 2,0 206 92 817 Mąka pszenna 50% 13,5 8,7 1,7 75,2 0,4 0,5 40 115 2,0 161 51 986 Mąka żytnia 97% 13,5 7,3 2,2 73,2 1,4 1,4 131 265 4,0 306 134 798 Mąka żytnia 82% 13,5 6,4 1,9 76,5 0,8 0,9 119 195 3,0 264 99 720 Mąka żytnia 60% 13,5 5,4 1,5 78,5 0,5 0,6 53 85 2,0 136 63 843
  • 10.
    „Projekt współfinansowany ześrodków Europejskiego Funduszu Społecznego” 8 Do podstawowych składników mąki należą: węglowodany, woda, białka, tłuszcze, związki mineralne, witaminy oraz enzymy. Z punktu widzenia technologii najważniejszym składnikiem mąki jest skrobia. Mąka zawiera jej 60–75%. W skład skrobi wchodzą dwa wielocukry: amyloza i amylopektyna. Różnią się one budową i właściwościami chemicznymi. Zarówno amyloza jak i amylopektyna zbudowane są z glukozy, jednak w cząsteczce amylozy cząsteczki glukozy połączone są w taki sposób, że tworzą łańcuch prosty, w cząsteczce amylopektyny – rozgałęziony, co przedstawiono na rysunku 1. Amyloza Amylopektyna Rys. 1. Schemat budowy cząsteczki amylozy i amylopektyny. Amyloza łatwo rozpuszcza się w wodzie, tworzy roztwory o niewielkiej lepkości. Amylopektyna rozpuszcza się w wodzie trudno, daje roztwory bardzo lepkie. Dla technologa istotne są przede wszystkim następujące właściwości skrobi: − zdolność pochłaniania wody (im większa – tym większa wydajność ciasta), − zdolność kleikowania (jeżeli skrobia kleikuje w niskiej temperaturze, to ulega zbyt dużemu rozkładowi przez enzymy, co może być przyczyną złej jakości pieczywa), − zdolność scukrzania (podatność na działanie enzymów rozkładających ją na dekstryny i maltozę). Kolejnymi składnikami, bardzo ważnymi z punktu widzenia procesu technologicznego, są substancje białkowe, które w połączeniu z wodą w czasie przygotowywania ciasta tworzą gluten. Gluten składa się z białek prostych: gluteniny i gliadyny. Jest to lepka, elastyczna i sprężysta substancja, o gąbczastej strukturze, która nadaje ciastu pszennemu elastyczność, sprężystość i zdolność do zatrzymywania gazów – decyduje więc o jakości pieczywa. W czasie tworzenia ciasta białka chłoną wodę, pęcznieją i tworzą uporządkowaną strukturę zwaną siatką glutenową, wewnątrz której znajdują się napęczniałe ziarna skrobi. O jakości glutenu decydują jego cechy fizyczne: • elastyczność – zdolność glutenu do rozciągania i powrotu do pierwotnej postaci, • rozpływalność – jest to przyrost średnicy kulki glutenu po 60 minutach termostatowania w temperaturze 30o C. W zależności od tych cech wyróżnia się gluten słaby, mocny i normalny. Gluten słaby szybko chłonie wodę i łatwo rozpływa się. Gluten mocny chłonie wodę powoli, jest elastyczny oraz charakteryzuje się niewielką rozciągliwością i rozpływalnością. Ilość glutenu, jaką otrzymuje się podczas tworzenia ciasta z określonej mąki, decyduje o jakości tej mąki. Wielkością charakteryzującą mąkę i uwzględniającą ilość i rozpływalność glutenu jest liczba glutenowa (LG) LG = a ∙ (2 – 0,065R); gdzie: a – ilość mokrego glutenu, %, R – rozpływalność mokrego glutenu, mm,
  • 11.
    „Projekt współfinansowany ześrodków Europejskiego Funduszu Społecznego” 9 Dla mąki słabej LG<40, średniej – LG = 40 ÷ 60, mocnej - LG>60. Na wartość technologiczną mąki wpływ mają także enzymy zawarte w mące. Najważniejsze z nich to amylazy – enzymy rozkładające skrobię. Wyróżniamy alfa – amylazę, która powoduje rozrywanie łańcucha skrobiowego „od środka” w wyniku czego powstają krótsze łańcuchy – dekstryny, oraz beta–amylazę, która nazywana jest enzymem scukrzającym, gdyż działa od końca łańcucha skrobiowego, odrywając kolejne cząsteczki maltozy (cukru zbudowanego z dwóch cząsteczek glukozy). Znając optymalne warunki działania tych enzymów (kwasowość środowiska i temperatura) można odpowiednio kierować procesem produkcji ciasta. Alfa – amylaza działa najlepiej w środowisku mało kwaśnym i w temperaturze 51÷66o C, natomiast beta–amylaza najlepiej działa w środowisku o wyższej kwasowości, ale jest nieodporna na działanie podwyższonej temperatury. Należy dodać, że aktywność enzymów w mące z ziarna porośniętego znacznie wzrasta. Wskaźnikiem aktywności amylaz jest liczba opadania. Tabela 2. Podział mąki w zależności od liczby opadania [5, s. 60] Wartość liczby opadania (LO) mąka pszenna mąka żytnia Aktywność amylolityczna mąki poniżej 80 poniżej 70 bardzo wysoka aktywność alfa-amylazy 90÷150 75÷100 wysoka aktywność alfa-amylazy 175÷280 125÷200 średnia aktywność alfa-amylazy powyżej 300 powyżej 500 niska aktywność alfa-amylazy Ważnym składnikiem mąki są tłuszcze. Nie mają one większego znaczenia dla wartości energetycznej ani odżywczej (ze względu na małą zawartość), ale odgrywają ważną rolę podczas przechowywania i dojrzewania mąki. Kwasy tłuszczowe, które powstają w wyniku rozkładu tłuszczu poprawiają jakość glutenu. W mące występują wodorofosforany (tzw. kwaśne fosforany) potasu, wapnia i magnezu oraz kwasy organiczne. Związki te są odpowiedzialne za kwasowość mąki. Kwasowość mąki zależy od rodzaju ziarna, z którego pochodzi oraz od wyciągu. Kwasowość mąki żytniej jest wyższa niż mąki pszennej. Mąka o niskim wyciągu ma niską kwasowość, mąka razowa ma kasowość wyższą. Istotną cechą mąki jest jej wilgotność. Mąka powinna zawierać nie więcej niż 15% wody. Podwyższona wilgotność jest przyczyną zwiększenia aktywności enzymów oraz działalności drobnoustrojów, co przyspiesza psucie się mąki podczas przechowywania. Jakość mąki ocenia się metodą organoleptyczną oraz na podstawie wyników badań laboratoryjnych. Metodą organoleptyczną ocenia się takie cechy mąki jak: wygląd (barwa, występowanie uszkodzeń, zanieczyszczeń, szkodników), smak, zapach, stopień granulacji, a także wilgotność (w przybliżeniu). Aby w przybliżeniu określić wilgotność mąki ściska się ją w dłoni, a po otwarciu dłoni mąka sucha rozsypuje się. Mąka wilgotna zachowuje nadany jej kształt. Wartość wypiekowa mąki pszennej Na wartość wypiekową mąki pszennej wpływają: − zdolność do wytwarzania gazów, − „siła mąki”, − barwa mąki i skłonność do pociemniania, − granulacja mąki. Podczas fermentacji ciasta pszennego powstaje etanol i dwutlenek węgla. Ilość dwutlenku węgla jest jednym z czynników decydujących o porowatości i objętości pieczywa. Przebieg fermentacji zależy między innymi od zawartości w mące cukrów ulegających
  • 12.
    „Projekt współfinansowany ześrodków Europejskiego Funduszu Społecznego” 10 fermentacji. Cukrów tych (tzw. rodzimych) jest niewiele, dlatego do prawidłowego przebiegu fermentacji konieczne jest pozyskanie cukrów z rozkładu skrobi. Zdolność mąki do wytworzenia cukrów ze skrobi (a więc również gazów) zależy od aktywności enzymów amylolitycznych. Fermentacja ciasta uzyskanego z mąki charakteryzującej się słabą zdolnością rozkładu skrobi (słabą zdolnością wytwarzania gazów) zakończy się szybko; cukrów rodzimych nie wystarczy na przeprowadzenie rozrostu kęsów oraz fermentację w piecu. W związku z tym pieczywo wyprodukowane z takiej mąki będzie słabo wyrośnięte, o złej porowatości i jasnej barwie skórki. Zdolność do wytwarzania gazów oraz zdolność do ich zatrzymywania zależą też od granulacji. Mąka „silna” charakteryzuje się drobną granulacją, mąka „słaba” ma granulację grubszą. „Siła mąki” związana jest ze zdolnością zatrzymywania gazów przez ciasto. Mąka „silna” zawiera dużą ilość glutenu o dobrych cechach fizycznych, pochłania dużą ilość wody i pozwala na wytworzenie ciasta dobrej jakości. Barwa mąki wpływa na barwę miękiszu pieczywa. Na ogół z mąki jasnej otrzymuje się wyroby o jasnym miękiszu, ale zdarza się, że mąka charakteryzuje się dużą zdolnością do ciemnienia podczas prowadzenia procesu technologicznego. Skłonność mąki do ciemnienia ma więc duży wpływ na wartość wypiekową mąki. Granulacja mąki wpływa na jej wartość wypiekową. Rozdrobnienie mąki powinno być związane z zawartością i jakością glutenu. Im silniejszy gluten, tym drobniejsze powinny być cząstki mąki. Wartość wypiekowa mąki żytniej Na wartość wypiekową mąki żytniej, w odróżnieniu od mąki pszennej, mniejszy wpływ mają takie cechy jak zdolność do wytwarzania i zatrzymywania gazów, barwa czy granulacja. Zasadnicze znaczenie natomiast mają właściwości miękiszu, np. jego lepkość, wilgotność. W mące żytniej występuje zawsze dostateczna ilość cukrów rodzimych, która jest wystarczająca do wytworzenia odpowiedniej ilości gazu. W mące żytniej nie ma zatem problemu braku cukrów. O jakości mąki żytniej decyduje zatem aktywność enzymów amylolitycznych, które są odpowiedzialne za rozkład skrobi. Jeśli rozkład skrobi będzie zbyt duży (wysoka aktywność amylaz), to może się okazać, że po fermentacji ciasta ilość pozostałej skrobi będzie zbyt mała, aby związać wodę występującą w cieście. Skutkiem tego będzie lepki, miękki, sprawiający wrażenie niedopieczonego miękisz. Aby osłabić aktywność amylazy, a tym samym zapobiec nadmiernemu rozkładowi skrobi, ciasto żytnie musi mieć kwasowość 3–4-krotnie wyższą niż ciasto pszenne, gdyż zwiększona kwasowość powoduje zmniejszenie aktywności amylaz. Drugim czynnikiem wpływającym na wartość wypiekową mąki żytniej jest zdolność białek w niej zawartych do tworzenia koloidów oraz stopień rozkładu białek Białka mąki żytniej w obecności wody pęcznieją, ulegają peptyzacji (rozkładowi do peptydów), a część z nich przechodzi w lepki, koloidalny roztwór. Stopień peptyzacji białek związany jest z działalnością enzymów proteolitycznych (rozkładających białka) i zależy od kwasowości środowiska. Większa kwasowość sprzyja peptyzacji białek (oznacza to ograniczenie tworzenia koloidów) oraz ich pęcznieniu, co wpływa korzystnie na właściwości ciasta żytniego. Ważnym wskaźnikiem jakości i wartości wypiekowej mąki żytniej jest ilość śluzów. Śluzy tworzą z wodą lepki roztwór, który stanowi zasadnicze lepiszcze ciasta. Decydują one o konsystencji ciasta żytniego, zmniejszają jego płynność w czasie i po fermentacji.
  • 13.
    „Projekt współfinansowany ześrodków Europejskiego Funduszu Społecznego” 11 4.1.2. Pytania sprawdzające Odpowiadając na pytania, sprawdzisz, czy jesteś przygotowany do wykonania ćwiczeń. 1. Jaka jest różnica między przemiałem razowym a gatunkowym? 2. Jak zdefiniujesz pojęcie „wyciąg mąki”? 3. Jaki jest związek między typem mąki a zawartością popiołu? 4. Jakie są podstawowe składniki mąki? 5. Które składniki mąki decydują o jej wartości wypiekowej? 6. Jak zbudowana jest skrobia? 7. Jakie cechy fizyczne glutenu decydują o jego jakości? 8. Jaką rolę podczas produkcji pieczywa odgrywają enzymy zawarte w mące? 9. Jakie czynniki decydują o wartości wypiekowej mąki pszennej? 4.1.3. Ćwiczenia Ćwiczenie 1 Porównaj skład chemiczny mąki pszennej i żytniej na podstawie tabel składu chemicznego mąki pszennej i żytniej. Sposób wykonania ćwiczenia Aby wykonać ćwiczenie, powinieneś: 1) przeanalizować tabelę składu mąki pszennej i żytniej, np. zawartą w punkcie 4.1.1. niniejszego Poradnika, 2) porównać zawartość poszczególnych składników w mące pszennej i żytniej o zbliżonym wyciągu, 3) sformułować wnioski dotyczące zawartości poszczególnych składników w mące pszennej i żytniej, 4) porównać zawartość poszczególnych składników w mąkach pszennych o różnych wyciągach, 5) sformułować wnioski dotyczące zawartości poszczególnych składników w mące pszennej w zależności od wyciągu, 6) porównać zawartość poszczególnych składników w mąkach żytnich o różnych wyciągach, 7) sformułować wnioski dotyczące zawartości poszczególnych składników w mące żytniej w zależności od wyciągu, 8) zaprezentować efekty pracy. Wyposażenie stanowiska pracy: − tabele składu chemicznego mąki (można wykorzystać tabelę zawartą w punkcie 4.1.1. niniejszego poradnika, − materiały biurowe.
  • 14.
    „Projekt współfinansowany ześrodków Europejskiego Funduszu Społecznego” 12 Ćwiczenie 2 Porównaj cechy próbek mąki pszennej i mąki żytniej na podstawie oceny organoleptycznej i informacji zawartych w normach. Sposób wykonania ćwiczenia Aby wykonać ćwiczenie, powinieneś: 1) przeanalizować normy PN-A-74032:2002 Przetwory zbożowe – Mąka żytnia i PN-A-74022:2003 Przetwory zbożowe – Mąka pszenna, 2) porównać na podstawie norm właściwości mąki pszennej luksusowej typ 550 i mąki żytniej typ 580 (wypełnij tabelkę poniżej), Tabela do ćwiczenia 2. Lp. Cecha Mąka pszenna luksusowa typ 550 Mąka żytnia typ 580 1. Barwa 2. Smak 3. Zapach 4. Wilgotność 5. Kwasowość 6. Zawartość popiołu całkowitego 7. Ilość glutenu 3) dokładnie obejrzeć próbki mąki otrzymane od nauczyciela zwracając uwagę na takie cechy jak: barwa, smak, zapach, 4) porównać wyniki obserwacji z informacjami zawartymi w normach. Wyposażenie stanowiska pracy: − próbka mąki pszennej luksusowej typ 550, − próbka mąki żytniej typ 580, − normy: PN-A-74032:2002 Przetwory zbożowe – Mąka żytnia i PN-A-74022:2003 Przetwory zbożowe – Mąka pszenna, − materiały biurowe. Ćwiczenie 3 Rozróżnij rodzaje i typy próbek mąki otrzymanej od nauczyciela. Sposób wykonania ćwiczenia Aby wykonać ćwiczenie, powinieneś: 1) dokładnie obejrzeć próbki mąki otrzymane od nauczyciela zwracając uwagę na takie cechy jak: barwa, zapach, smak, granulację; zapisać wyniki obserwacji, 2) przeanalizować informacje zawarte w atestach załączonych do poszczególnych próbek, 3) porównać wyniki obserwacji z wymaganiami norm PN-A-74032:2002 Przetwory zbożowe – Mąka żytnia i PN-A-74022:2003 Przetwory zbożowe – Mąka pszenna, 4) określić rodzaje poszczególnych mąk oraz ich typy, 5) porównać uzyskane wyniki z wynikami uzyskanymi przez kolegów.
  • 15.
    „Projekt współfinansowany ześrodków Europejskiego Funduszu Społecznego” 13 Wyposażenie stanowiska pracy: − próbki mąk, − fragmenty atestów (wyników badań laboratoryjnych) załączone do poszczególnych próbek, − normy: PN-A-74032:2002 Przetwory zbożowe – Mąka żytnia i PN-A-74022:2003 Przetwory zbożowe – Mąka pszenna. Ćwiczenie 4 Dokonaj oceny organoleptycznej mąki. Sposób wykonania ćwiczenia Aby wykonać ćwiczenie, powinieneś: 1) rozsypać próbkę mąki na białym papierze i ocenić jej wygląd zwracając uwagę na następujące cechy: granulacja (mąka szorstka, gładka), barwa, obecność szkodników lub ślady ich żerowania; zapisać obserwacje, 2) zbadać smak mąki (powinien on być lekko słodkawy, bez posmaku gorzkiego lub kwaśnego); zapisać wynik oceny określając smak jako swoisty, nieswoisty, słodki, kwaskowy, kwaśny, gorzkawy, gorzki, 3) zbadać zapach mąki (zapach powinien być przyjemny, swoisty, bez obcych zapachów; zapach jełki lub stęchły wskazuje na zepsucie mąki); wynik zapisać, 4) zbadać wilgotność przez ściśnięcie w dłoni (mąka sucha, wilgotna); wynik zapisać, 5) zbadać granulację mąki (przesuwając mąkę między lekko ściśniętymi palcami: mąka gruboziarnista daje odczucie szorstkości, mąka drobnoziarnista – odczucie gładkości, mąka nadmiernie rozdrobniona, tzw. przeszlifowana daje odczucie śliskości; wynik zapisać, 6) przeprowadzić badanie na obecność szkodników (mąkę obejrzeć gołym okiem oraz przez lupę, zwracając uwagę na występowanie żywych szkodników, oprzędów lub innych śladów żerowania szkodników); wynik zapisać, 7) porównać wyniki oceny z wymaganiami odpowiedniej normy i sformułować wnioski, 8) zaprezentować wynik ćwiczenia. Wyposażenie stanowiska pracy: − próbka mąki do badania, − normy: PN-A-74032:2002 Przetwory zbożowe – Mąka żytnia i PN-A-74022:2003 Przetwory zbożowe – Mąka pszenna, − lupa, − arkusz białego papieru, − materiały biurowe. Ćwiczenie 5 Oznacz zawartość glutenu w mące pszennej otrzymanej od nauczyciela, a następnie określ jego cechy fizyczne: elastyczność i rozpływalność i oceń na tej podstawie wartość wypiekową badanej mąki. Sposób wykonania ćwiczenia Aby wykonać ćwiczenie, powinieneś: 1) odważyć 50 g badanej mąki, wsypać do porcelanowego moździerza, dodać stopniowo 25 cm3 wody wodociągowej o temperaturze 15–20o C i wyrobić ciasto, następnie uformować je w kulę i pozostawić zalane wodą wodociągową na 20 minut,
  • 16.
    „Projekt współfinansowany ześrodków Europejskiego Funduszu Społecznego” 14 2) wymyć gluten wygniatając ciasto w palcach pod słabym strumieniem wody wodociągowej o temperaturze 15 -20o C (nad sitem w celu odzyskiwania odrywających się kawałków ciasta) przez około 15 minut, 3) sprawdzić, czy cała skrobia została wypłukana (do kropli wody obmywającej gluten dodać kroplę płynu Lugola; gdy płyn nie zmienia barwy na szarą lub niebieską, prowadzić wymywanie, aż do momentu, gdy wynik próby z płynem Lugola nie potwierdzi obecności skrobi), 4) z wymytego glutenu odcisnąć wodę, a następnie zważyć go; wynik zanotować, 5) odważyć 5 g glutenu, uformować wałeczek długości około 2 cm i określić jego elastyczność (zgodnie z instruktażem nauczyciela); wynik zanotować, 6) odważyć 5g glutenu, uformować kulkę i umieścić ją na płytce szklanej, pod którą znajduje się papier milimetrowy i zmierzyć średnicę kulki (w milimetrach) w dwóch prostopadłych kierunkach, wynik zanotować, 7) przykryć umieszczoną na płytce kulkę glutenu zlewką ustawioną dnem do góry (na dnie zlewki umieścić zwilżony krążek bibuły filtracyjnej) i wstawić do termostatu ustawionego na temperaturę 30o C na czas 60 minut, 8) obliczyć zawartość glutenu w mące wg wzoru: X = a∙4 gdzie: X – zawartość glutenu wyrażona w procentach, a – masa glutenu wyrażona w gramach, 9) zmierzyć ponownie średnicę kulki po upływie 60 minut i obliczyć rozpływalność (różnica między średnicą zmierzoną w punkcie 7 ćwiczenia a zmierzoną w punkcie 6); wynik zanotować, 10) uzyskane wyniki porównaj z normą PN-A-74022:2003 Przetwory zbożowe – Mąka pszenna oraz poniższą tabelką: Tabela do ćwiczenia 5. Elastyczność glutenu Stopień elastyczności Charakterystyka I stopień gluten elastyczny, wykazujący zdolność rozciągania się na długość 5 cm i powrotu do punktu zerowego podziałki; II stopień gluten średnio elastyczny, wykazujący zdolność rozciągania się na długość 5 cm i powrotu tylko do połowy podziałki; III stopień gluten mało elastyczny, wykazujący zdolność rozciągania się na długość 5 cm lecz nie kurczący się zupełnie; IV stopień gluten krótki, zrywający przy rozciąganiu do 5 cm; Rozpływalność glutenu Rodzaj mąki rozpływalność w mm słaba >12 średnia 6÷12 mocna <6 11) sformułuj wnioski dotyczące wartości wypiekowej badanej mąki, 12) zaprezentuj efekty swojej pracy.
  • 17.
    „Projekt współfinansowany ześrodków Europejskiego Funduszu Społecznego” 15 Wyposażenie stanowiska pracy: − próbka mąki do badania, − norma: PN-A-74022:2003 Przetwory zbożowe – Mąka pszenna, − waga techniczna, − moździerz porcelanowy, − sito, − płytka szklana, − zlewka, − bibuła filtracyjna, − płyn Lugola, − papier milimetrowy, − linijka, − materiały biurowe. 4.1.4. Sprawdzian postępów Czy potrafisz: Tak Nie 1) określić skład chemiczny mąki?   2) porównać skład chemiczny mąki pszennej i mąki żytniej?   3) określić typy mąki wg norm?   4) określić znaczenie jełczenia tłuszczów w mące?   5) określić enzymy występujące w mące?   6) określić czynniki wpływające na wartość wypiekową mąki?   7) określić wartość wypiekową mąki na podstawie atestu?   8) uzasadnić konieczność ukwaszania mąki żytniej?   9) ocenić jakość glutenu?   10) określić wpływ glutenu na jakość ciasta?  
  • 18.
    „Projekt współfinansowany ześrodków Europejskiego Funduszu Społecznego” 16 4.2. Inne surowce stosowane w piekarstwie 4.2.1. Materiał nauczania Woda Pod względem ilościowym woda, obok mąki, stanowi w produkcji piekarskiej najważniejszy surowiec. Jej zawartość w pieczywie wynosi od 40 do 60%. Znaczenie wody w produkcji pieczywa: − jest rozpuszczalnikiem wszystkich rozpuszczalnych składników mąki, − pod jej wpływem następuje pęcznienie skrobi oraz białek glutenowych mąki pszennej, − w mące żytniej powoduje pęcznienie gum i śluzów, co nadaje ciastu odpowiednią strukturę, − służy do równomiernego rozprowadzenia składników ciasta. Woda stosowana w piekarstwie powinna odpowiadać wymaganiom stawianym wodzie do picia. Nie może zawierać szkodliwych substancji ani drobnoustrojów chorobotwórczych. Powinna być: − klarowna, − bezbarwna, − bezwonna, − o odczynie zbliżonym do obojętnego. Istotną informacją dla technologa jest twardość wody. Woda twarda wpływa na jakość ciasta, zwłaszcza pszennego. Sole wapnia i magnezu, odpowiedzialne za twardość wody, zmniejszają elastyczność i rozciągliwość glutenu, w związku z czym ciasto uzyskane z dodatkiem takiej wody jest twarde, a pieczywo – małą porowatość i objętość. Dodatek twardej wody do mąki powoduje zmniejszenie kwasowości ciasta, co z kolei utrudnia początkową fazę fermentacji, ponieważ drożdże rozwijają się lepiej w środowisku kwaśnym. Z kolei zbyt miękka woda zawiera mało związków mineralnych, które są niezbędne do prawidłowego rozwoju drożdży. Sól Do produkcji pieczywa stosuje się sól kuchenną, która pod względem chemicznym jest prawie czystym chlorkiem sodu (NaCl). Występują w niej także niewielkie ilości chlorków i siarczanów magnezu i wapnia. Znaczenie wody w produkcji pieczywa: − nadaje produktom odpowiedni smak, − poprawia jakość glutenu, a w konsekwencji – strukturę i właściwości fizyczne wyrobów, − reguluje proces fermentacji (wpływa hamująco na rozwój drożdży). Wyróżnia się: − sól warzoną – otrzymywaną przez wypłukanie z ziemi w postaci solanki, którą poddaje się zagęszczaniu, oczyszczaniu i krystalizacji; jest ona biała, krystaliczna, sypka, bez zapachu, o słonym smaku, bez obcych posmaków (w tym gorzkiego, pochodzącego od związków magnezu), − sól kamienną – otrzymywaną z przez wydobycie złóż soli kamiennej w postaci brył, które następnie rozdrabnia się i sortuje; jest ona biała, z naturalnym odcieniem szarym lub różowym. Oprócz tego w handlu występuje sól jodowana, tj. z dodatkiem związków jodu, aby uzupełnić jego niedobór w diecie. Sól stosowana w piekarstwie powinna być sucha (zawartość wody nie większa niż 1%), sypka, bez obcych zapachów i posmaków, powinna łatwo rozpuszczać się w wodzie, a jej roztwory nie powinny być mętne.
  • 19.
    „Projekt współfinansowany ześrodków Europejskiego Funduszu Społecznego” 17 Drożdże Drożdże stosowane w piekarstwie są żywymi, jednokomórkowymi organizmami. Rozmnażają się przez pączkowanie, a w niekorzystnych warunkach – przez zarodnikowanie. Z punktu widzenia piekarstwa, najważniejszymi składnikami drożdży są enzymy, które decydują o ich aktywności podczas przygotowania ciasta. Najważniejszymi enzymami są: − kompleks enzymów wywołujących fermentację alkoholową (dawna nazwa tych enzymów: zymaza), − enzymy rozkładające cukry: sacharozę (inwertaza) i maltozę (maltaza), − enzymy rozkładające tłuszcze (lipazy), − enzymy rozkładające białko (proteazy). Enzymy te, wydzielane przez drożdże, rozkładają zawarte w cieście substancje złożone do prostszych, które przenikają do wnętrza komórki (odżywianie się drożdży). Z kolei z komórki drożdżowej wydalana jest woda, alkohol, dwutlenek węgla oraz inne produkty. Podstawowym składnikiem odżywczym dla drożdży jest cukier, który w warunkach tlenowych ulega spalaniu do dwutlenku węgla i wody, natomiast w warunkach ograniczonego dostępu tlenu (np. w cieście) pod wpływem enzymów ulega fermentacji alkoholowej. Powstający w procesie fermentacji alkohol etylowy częściowo ulatnia się podczas pieczenia, natomiast napęczniały gluten zatrzymuje dwutlenek węgla; powstają pęcherzyki wypełnione gazem, spulchniające ciasto i nadające mu porowatą strukturę. Z kolei rozkład białek i tłuszczów polepsza właściwości fizyczne oraz smak i aromat wyrobów piekarskich. Najważniejszą właściwością drożdży jest ich zdolność do fermentowania ciasta, czyli siła pędna. Siła pędna jest to: − czas potrzebny do podniesienia ciasta na określoną wysokość w standardowych warunkach, tj. określona receptura na ciasto, temperatura, wymiary formy (sposób podany w normie), lub: − objętość wydzielonego dwutlenku węgla w określonym czasie (metoda uproszczona). W produkcji piekarskiej używa się drożdży prasowanych. Awaryjnie można stosować drożdże suszone, które jednak wcześniej należy aktywować przez rozprowadzenie w wodzie z dodatkiem cukru i inkubację w temperaturze około 25o C. Inną formą występowania drożdży piekarskich są drożdże instant. Są to również drożdże suszone, które wsypuje się wprost do dzieży i miesza z mąką (nie wymagają wstępnej aktywacji). Szczegółowe wymagania jakościowe dla drożdży zawarte są w normie PN–A-79002:1998. Ogólne wymagania dla drożdży to: − możliwie najjaśniejsza barwa, − prawidłowy zapach, bez zapachu octowego, − brak nieprzyjemnego lub kwaśnego smaku, − drożdże prasowane nie powinny być obeschnięte. Cukier i środki słodzące Do produkcji niektórych wyrobów piekarskich stosuje się środki słodzące. Należą do nich: − cukier, − miód naturalny lub sztuczny, − syropy skrobiowe, − syrop słodowy. Cukier (sacharozę) otrzymuje się z buraka cukrowego lub trzciny cukrowej.
  • 20.
    „Projekt współfinansowany ześrodków Europejskiego Funduszu Społecznego” 18 Wyróżnia się: − cukier biały konsumpcyjny; występuje jako cukier kryształ o różnej wielkości kryształów; po zmieleniu cukru krystalicznego otrzymuje się cukier puder, − cukier biały przemysłowy, − cukier rafinowany (jest cukrem najczystszym). Cukier biały konsumpcyjny powinien być czysty (bez zanieczyszczeń), barwy białej (dopuszcza się odcień kremowy lub niebieskawy), krystaliczny, bez zbryleń i grudek, o słodkim smaku, bez obcych zapachów. Miód naturalny dzieli się na nektarowy, spadziowy i nektarowo – spadziowy. Odmiany miodu określane są na podstawie pochodzenia, np. akacjowy, lipowy, gryczany. Cechami charakterystycznymi poszczególnych odmian miodów są barwa, zapach, smak. Miód sztuczny otrzymuje się przez inwersję sacharozy (rozkład sacharozy w środowisku wodnym, w obecności kwasów lub enzymów – powstaje wówczas mieszanina glukozy i fruktozy, zwana cukrem inwertowanym). Dodatek substancji barwiących i smakowo – zapachowych nadaje mu cechy organoleptyczne zbliżone do miodu naturalnego. Miód sztuczny może mieć konsystencję płynną lub krystaliczną. Syropy skrobiowe otrzymuje się w wyniku niecałkowitej kwasowej lub enzymatycznej hydrolizy skrobi. Otrzymuje się wówczas mieszaninę glukozy, maltozy i dekstryn. Syropy skrobiowe są gęstymi, lepkimi cieczami, charakteryzującymi się dużą higroskopijnością (zdolnością pochłaniania wody), powinny być bezbarwne, o słodkim smaku. W zależności od zawartości dekstryn, glukozy i maltozy wyróżnia się następujące rodzaje syropów skrobiowych: niskoscukrzony, normalnie scukrzony, średnioscukrzony, wysokoscukrzony. Syrop (ekstrakt) słodowy jest to zagęszczony wyciąg wodny z rozdrobnionego słodu jęczmiennego. Słód jest to ziarno poddane kiełkowaniu. W wyniku tego procesu w następuje częściowy rozkład białek do aminokwasów i polipeptydów oraz skrobi do dekstryn i maltozy. Mleko i przetwory mleczne W piekarstwie oprócz mleka zastosowanie znalazły przetwory mleczne takie jak: mleko w proszku, twaróg, śmietana i śmietanka, serwatka. Zastosowanie mleka i jego przetworów podnosi wartość odżywczą gotowych wyrobów oraz powoduje korzystne zmiany w ich smaku i zapachu. Podstawowymi składnikami mleka są: woda, tłuszcz, białko, cukier mlekowy (laktoza), sole mineralne. W obrocie handlowym znajduje się mleko znormalizowane, tj. o określonej zawartości tłuszczu, pasteryzowane lub sterylizowane. Mleko w proszku otrzymuje się przez zagęszczenie a następnie wysuszenie mleka. Śmietanką nazywa się produkt tłuszczowy powstający w wyniku odwirowania mleka. Zawiera ona od 9 do 36% tłuszczu. Przez ukwaszenie śmietanki przy użyciu bakterii fermentacji mlekowych otrzymuje się śmietanę. Twaróg otrzymuje się przez wytrącenie białka z mleka. W zależności od zawartości tłuszczu wyróżnia się twaróg chudy, półtłusty i tłusty. Najczęściej spotykaną wadą twarogów jest ich przekwaszenie, co powoduje nadmierną kruchość. Serwatka jest produktem ubocznym powstającym przy produkcji twarogu. W piekarstwie zastosowanie znalazła głównie serwatka w proszku, otrzymywana przez wysuszenie zagęszczonej serwatki. Jaja i przetwory z jaj Stosowanie jaj w produkcji piekarskiej wpływa dodatnio na cechy organoleptyczne wyrobów oraz wzbogaca ich wartość odżywczą. Ze względu na dużą pracochłonność przy wybijaniu jaj świeżych, uciążliwość przechowywania oraz niebezpieczeństwo zakażenia Salmonellą, często stosuje się przetwory z jaj: proszek jajowy i masy jajowe mrożone. W zależności od masy, jaja dzieli się na następujące klasy wagowe: − XL (bardzo duże, o masie co najmniej 73g),
  • 21.
    „Projekt współfinansowany ześrodków Europejskiego Funduszu Społecznego” 19 − L (duże, ważące od 63 do 73g), − M (średnie, ważące od 53 do 63g), − S (małe, ważące mniej niż 53g). Określając jakość jaj bierze się pod uwagę takie cechy jak: czystość i kształt skorupy, ewentualne jej uszkodzenia. Po wybiciu jaja ze skorupki nie powinno się wyczuwać żadnych obcych zapachów, w szczególności siarkowodoru, świadczącego o zepsuciu jaja. W jaju świeżym ułożenie żółtka jest centralne, nie ma na nim żadnych plam. Białko jest jasne i gęste. W jajach nieświeżych po wybiciu żółtko jest płaskie, rozlewające się, białko rzadkie. Wnętrze jaj można również oceniać przez prześwietlanie za pomocą owoskopu. Proszek jajowy otrzymuje się przez wysuszenie masy jajowej. Proszek może być otrzymywany z całych jaj, żółtek lub białek. 1 kg proszku jajowego odpowiada 80 jajom świeżym, 1 kg proszku z żółtek – 133 żółtkom świeżym, 1 kg proszku z białek – 212 białkom świeżym. Proszek jajowy powinien mieć konsystencję pudru, dopuszczalne są grudki i zbrylenia, które można łatwo rozetrzeć w palcach. Smak i zapach proszku powinien odpowiadać smakowi i zapachowi jaj świeżych. Masy jajowe mrożone, podobnie jak proszek, występują w trzech postaciach: mrożona masa jajowa, mrożone żółtka i mrożone białka. Otrzymuje się je przez zamrożenie masy jajowej w temperaturze – 25o C. Zaletami przetworów jajecznych są: − stała jakość, − oszczędność czasu (nie trzeba wybijać), − dostępność we wszystkich rodzajach (przetwory z całych jaj, żółtek, białek), − wyeliminowanie kontaktu rąk ze skorupką, − posiadanie gwarancji czystości mikrobiologicznych, − łatwość użycia i magazynowania, − duża trwałość. Tłuszcze Zastosowanie tłuszczu podnosi wartość odżywczą wyrobów piekarskich, wpływa na cechy takie jak: objętość i porowatość oraz sprawia, że pieczywo wolniej czerstwieje. Ponadto obecność tłuszczu poprawia stabilność ciasta podczas formowania, rozrostu i w pierwszym etapie wypiekania. Najczęściej stosowanymi tłuszczami są: masło, smalec, margaryna, oleje, tłuszcze specjalne. Masło, najbardziej ceniony tłuszcz w produkcji piekarskiej, jest produktem pochodzenia zwierzęcego, otrzymywanym ze śmietany. Zawiera około 82% tłuszczu (ekstra, delikatesowe, wyborowe i stołowe). Masło śmietankowe zawiera 73% tłuszczu. Jakość masła ocenia się uwzględniając cechy takie jak: − zapach (delikatny, świeży, naturalny, lekko orzechowy), − smak (wyrazisty, przyjemny), − wygląd (jednolita barwa – kolor masła zależy m. in. od pory roku, rodzaju paszy, itp.), − konsystencja (zwarta, łatwa do smarowania). Smalec jest prawie czystym tłuszczem, otrzymywanym z tkanki tłuszczowej wieprzowej. Barwa smalcu powinna być biała lub jasnokremowa, konsystencja gęsta, mazista, smak i zapach – charakterystyczny, niedopuszczalne są obce zapachy, przypalenie, smak gorzkawy. Oleje są tłuszczami otrzymywanymi z nasion i owoców roślin oleistych, np. rzepak, słonecznik, soja, orzechy ziemne, oliwki. W temperaturze pokojowej oleje powinny być klarowne, o jasnożółtej barwie, bez osadów i zawiesin. Smak i zapach powinny być typowe dla oleju otrzymywanego z danej rośliny.
  • 22.
    „Projekt współfinansowany ześrodków Europejskiego Funduszu Społecznego” 20 Margaryna jest produktem otrzymywanym poprzez utwardzenie oleju. Jest tłuszczem o wyglądzie i właściwościach zbliżonych do masła. Podstawowe gatunki margaryny to: − margaryna zwykła (emulsja tłuszczu z wodą), − margaryna mleczna (emulsja tłuszczu z ukwaszonym mlekiem). Do margaryn tych dodaje się również sól, cukier, witaminy, barwniki, substancje zapachowe. W piekarstwie stosuje się margarynę piekarską, która jest odpowiednikiem margaryny zwykłej, ale bez dodatków smakowych i barwiących. Dobrej jakości margaryna charakteryzuje się jednolitą barwą jasnokremową do kremowożółtej, błyszczącą powierzchnią przekroju, jednolitą i stałą konsystencją, dobrą smarownością w temperaturze pokojowej. Smak i zapach powinny być swoiste, bez obcych zapachów i posmaków. Tłuszcze specjalne – to tłuszcze, które mają nadane odpowiednie właściwości funkcjonalne. Ceres – zawiera bardzo mało wody (około 0,3%), podczas produkcji tego tłuszczu wtłacza się powietrze, dzięki czemu uzyskana masa stanowi rodzaj piany. Jest to dodatkowy czynnik powodujący rozrost ciasta i spulchnienie pieczywa. Charakteryzuje się słabym smakiem i zapachem, temperatura topnienia wynosi 37o C. Oma – utwardzony tłuszcz roślinny z dodatkiem olejów ciekłych. Ma jednorodną, plastyczną konsystencję, bez grudek, temperatura topnienia wynosi 28 – 35o C. Specjał to tłuszcz specjalny otrzymywany z olejów z dodatkiem emulgatorów: specjał 6 – zawierający 6% lecytyny; stosowany do produkcji pieczywa wyborowego i półcukierniczego, specjał 10 – zawierający 10% lecytyny; stosowany do produkcji pieczywa wyborowego o niewielkiej zawartości tłuszczu. Tłuszcz cukierniczy i piekarski – otrzymuje się z olejów roślinnych (utwardzonych i ciekłych) oraz smalcu i tranu utwardzonego. Przeznaczony on jest do produkcji ciasta kruchego, charakteryzuje się strukturą drobnokrystaliczną. Emulgatory Emulgatory są to substancje, które ułatwiają tworzenie emulsji oraz zapewniają jej trwałość. Emulsja jest to mieszanina cieczy charakteryzująca się tym, że jedna ciecz jest rozproszona w drugiej w postaci bardzo drobnych kropelek, przy czym żadna z cieczy nie rozpuszcza się w drugiej, np. woda i olej. W przemyśle piekarskim emulgatory wykorzystuje się do przygotowania emulsji tłuszczów z wodą jako dodatek do tłuszczów piekarskich oraz jako tzw. polepszacze. Najczęściej stosowanym emulgatorem jest lecytyna, otrzymywana z oleju rzepakowego lub sojowego. Jest to substancja o mazistej lub galaretowatej konsystencji, barwie brunatnej lub brunatnozielonej oraz specyficznym smaku i zapachu. Przetwory ziemniaczane Przetwory ziemniaczane dodane do mąki poprawiają smak i zapach pieczywa, przedłużają jego świeżość, zmiękczają strukturę miękiszu. Ziemniaki gotowane nadają wyrobom piekarskim specyficzny smak i zapach oraz opóźniają jego czerstwienie. Ich dodatek zwiększa chłonność wody a także skraca czas fermentacji o 20–30%. Sok ziemniaczany powoduje wzrost objętości pieczywa pszennego, pojaśnienie barwy miękiszu oraz równomierną porowatość. Skrobia ziemniaczana (mąka ziemniaczana) poprawia smak, zapach i wygląd pieczywa oraz spowalnia proces czerstwienia. Suszone przetwory ziemniaczane zastosowane podczas produkcji pieczywa dają efekty podobne do stosowania ziemniaków gotowanych. Najczęściej stosuje się grysik ziemniaczany, ziemniaczane płatki spożywcze, granulat ziemniaczany, aglomerat ziemniaczany.
  • 23.
    „Projekt współfinansowany ześrodków Europejskiego Funduszu Społecznego” 21 Polepszacze Polepszacze są substancjami o intensywnym działaniu, poprawiające objętość, wygląd, strukturę i właściwości miękiszu oraz smak i zapach pieczywa. Polepszacze dzielą się na: − substancje o charakterze utleniającym, które poprawiają właściwości pieczywa oraz przyspieszają dojrzewanie mąki; przykładem polepszacza z tej grupy jest kwas askorbinowy (witamina C), − preparaty enzymatyczne, najczęściej amylolityczne, wpływające na skrócenie czasu fermentacji; często stosuje się też mączkę słodową lub ekstrakty słodowe, które zwiększając zdolność fermentacyjną przyczyniają się do zwiększenia objętości pieczywa, ponadto nadają mu charakterystyczny aromat, powodują lepsze zbrązowienie skórki oraz hamują czerstwienie, − substancje powierzchniowo czynne, np. lecytyna, która poprawia strukturę miękiszu pieczywa pszennego, podnosi wydajność oraz przedłuża świeżość wyrobów, − substancje o kompleksowym działaniu, będące mieszaniną kilku składników polepszających i dlatego bardziej aktywne, np. zwiększające objętość pieczywa, poprawiające strukturę i barwę miękiszu oraz przedłużające trwałość pieczywa. 4.2.2. Pytania sprawdzające Odpowiadając na pytania, sprawdzisz, czy jesteś przygotowany do wykonania ćwiczeń. 1. Jakie jest znaczenie wody w procesie produkcji pieczywa? 2. Jakim wymaganiom musi odpowiadać woda stosowana do produkcji pieczywa? 3. W jakim celu do produkcji pieczywa wykorzystuje się sól? 4. Jakie jest znaczenie enzymów występujących w drożdżach piekarskich? 5. Jakie procesy zachodzą w cieście pod wpływem drożdży? 6. Jakie właściwości drożdży są najważniejsze pod względem ich przydatności technologicznej? 7. Jakie środki słodzące stosuje się w piekarstwie? 8. Jakie są wymagania jakościowe dla poszczególnych środków słodzących? 9. Jakie są wymagania jakościowe dla poszczególnych przetworów mleczarskich stosowanych w piekarstwie? 10. Jakie przetwory z jaj mają zastosowanie w przemyśle piekarskim? 11. Jakie są wymagania jakościowe dla poszczególnych przetworów z jaj stosowanych w piekarstwie? 12. W jakim celu do produkcji pieczywa dodaje się przetwory ziemniaczane? 13. Jakie rodzaje polepszaczy stosuje się w piekarstwie? 4.2.3. Ćwiczenia Ćwiczenie 1 Dokonaj oceny organoleptycznej drożdży piekarskich prasowanych. Sposób wykonania ćwiczenia Aby wykonać ćwiczenie, powinieneś: 1) przeanalizować informacje dotyczące drożdży zawarte w punkcie 4.2.1. niniejszego Poradnika, 2) przeanalizować wymagania jakościowe dla drożdży piekarskich według normy PN-87/A- 79002 Drożdże piekarskie prasowane,
  • 24.
    „Projekt współfinansowany ześrodków Europejskiego Funduszu Społecznego” 22 3) odkroić nożem niewielką porcję drożdży i określić wzrokowo barwę świeżo odkrytej powierzchni, 4) określić zapach drożdży na powierzchni świeżo odkrojonej, 5) pobrać do ust niewielką ilość próbki z powierzchni świeżo odkrojonej próbki i ocenić smak, 6) ocenić konsystencję nagniatając lekko cegiełkę drożdży w środku bocznej krawędzi i obserwując zachowanie cegiełki, 7) określić przełom odłamując kawałek cegiełki drożdży, 8) porównać wyniki oceny z wymaganiami normy i sformułować wnioski dotyczące jakości drożdży, 9) porównać własną ocenę z oceną dokonaną przez kolegę. Wyposażenie stanowiska pracy: − arkusz białego papieru, − nóż, − cegiełka drożdży piekarskich prasowanych, − norma PN-87/A-79002 Drożdże piekarskie prasowane, − materiały biurowe. Ćwiczenie 2 Rozpoznaj próbki surowców piekarskich otrzymanych od nauczyciela. Sposób wykonania ćwiczenia Aby wykonać ćwiczenie, powinieneś: 1) przeanalizować informacje dotyczące danego surowca (grupy surowców) zawarte w punkcie 4.2.1. niniejszego Poradnika oraz literaturze wskazanej w punkcie 6 Poradnika, np. Ambroziak Z.: Produkcja piekarsko-ciastkarska, część 1, 2) obejrzeć dokładnie próbki surowców, zwracając uwagę na charakterystyczne cechy, 3) określić znaczenie i zastosowanie w produkcji pieczywa, 4) wyniki obserwacji i zebrane informacje zapisać w poniższej tabeli: Tabela do ćwiczenia 2. Nazwa surowca Cechy charakterystyczne Rola w produkcji piekarskiej/zastosowanie 5) porównać wyniki obserwacji z wynikami uzyskanymi przez kolegów.
  • 25.
    „Projekt współfinansowany ześrodków Europejskiego Funduszu Społecznego” 23 Wyposażenie stanowiska pracy: − próbka surowców piekarskich, − literatura z rozdziału 6 Poradnika, np. Ambroziak Z.: Produkcja piekarsko-ciastkarska, część 1, − materiały biurowe. Ćwiczenie 3 Dokonaj oceny organoleptycznej jaj. Sposób wykonania ćwiczenia Aby wykonać ćwiczenie, powinieneś: 1) przeanalizować informacje dotyczące jakości jaj zawarte w punkcie 4.2.1 niniejszego Poradnika oraz literaturze wskazanej w punkcie 6, 2) przeanalizować wymagania jakościowe dla jaj świeżych wg normy PN-85/A-86503 Jaja świeże, 3) ocenić wygląd zewnętrzny jaj: czystość i stan skorupy, 4) rozbić jajo i delikatnie wylać jego zawartość na biały talerz, ocenić barwę i konsystencję żółtka i białka oraz zwrócić uwagę na kształt żółtka, 5) określić zapach oraz inne zaobserwowane cechy, 6) porównać wyniki oceny z wymaganiami normy i sformułować wnioski dotyczące jakości jaj, 7) porównać własną ocenę z oceną dokonaną przez kolegę. Wyposażenie stanowiska pracy: − jaja do badań, − biały talerz, − norma PN-85/A-86503 Jaja świeże, − literatura wskazana w punkcie 6, np. Bartnik M., Jakubczyk T.: Surowce w piekarstwie. Podręcznik dla zasadniczej szkoły zawodowej. 4.2.4. Sprawdzian postępów Czy potrafisz: Tak Nie 1) rozpoznać surowce piekarskie?   2) ocenić jakość surowców piekarskich?   3) wyjaśnić procesy zachodzące w cieście pod wpływem drożdży?   4) ocenić przydatność drożdży do produkcji piekarskiej?   5) określić znaczenie poszczególnych surowców piekarskich?   6) określić zastosowanie poszczególnych surowców piekarskich?  
  • 26.
    „Projekt współfinansowany ześrodków Europejskiego Funduszu Społecznego” 24 4.3. Magazynowanie mąki i innych surowców piekarskich 4.3.1. Materiał nauczania Zmiany zachodzące w surowcach podczas przechowywania Piekarnia powinna dysponować taką ilością surowców, która zapewni ciągłość produkcji. W czasie magazynowania surowców zachodzą w nich zmiany, w zdecydowanej większości niekorzystne. Zmiany zachodzące podczas przechowywania można podzielić na: − fizyczne, np. zmiany kształtu i wielkości, uszkodzenia, twardnienie, zbrylanie, rozwarstwianie, − fizykochemiczne, np. pochłanianie lub oddawanie pary wodnej i gazów co prowadzi między innymi do zmiany masy, zapachu, − chemiczne, np. utlenianie, brunatnienie nieenzymatyczne, − biochemiczne, − biologiczne, np. oddychanie, fermentacja, samozagrzewanie, dojrzewanie, kiełkowanie. Najszybciej zmiany następują podczas przechowywania żywności nieprzetworzonej. W szczególności zachodzą wówczas procesy takie jak: transpiracja (parowanie), oddychanie, procesy rozkładu powodowane działalnością drobnoustrojów. Transpiracja, czyli oddawanie wody otoczeniu w postaci pary, powoduje stopniową utratę wody, co dla surowców jest raczej niekorzystne, bo wiąże się z ubytkiem masy. Wilgotność jest jednym z czynników warunkujących przebieg procesów życiowych. Im wilgotność surowców mniejsza - tym powolniejsze procesy parowania. Drugim ważnym procesem zachodzącym podczas przechowywania żywności w postaci nieprzetworzonej (np. owoce, ziarno) jest oddychanie. Polega ono głównie na pobieraniu tlenu z powietrza, który następnie wykorzystywany jest w procesach rozkładu węglowodanów i innych składników. Wydziela się przy tym dwutlenek węgla, woda i ciepło oraz następuje ubytek masy. Oddychanie zachodzi szybciej przy większej wilgotności i wyższej temperaturze. Z kolei wydzielające się ciepło może spowodować tzw. samozagrzanie się surowca, co przyspieszy proces oddychania i stworzy dobre warunki rozwoju drobnoustrojów. Bardzo ważną rolę odgrywają przemiany związane z działalnością drobnoustrojów, które wpływają na obniżenie jakości surowców. W zależności od rodzaju surowca i rodzaju drobnoustroju przemiany te są różnorodne. Cukry mogą ulegać rozkładowi w wyniku fermentacji z wydzieleniem alkoholu etylowego, kwasu mlekowego, kwasu masłowego lub innych produktów. Białka rozkładają się na aminokwasy, siarkowodór i amoniak (gnicie). Tłuszcze ulegają rozkładowi na glicerynę i kwasy tłuszczowe. Trzeba zaznaczyć, że drobnoustroje mogą także wytwarzać tzw. toksyny. Są to produkty metabolizmu drobnoustrojów (głównie pleśni), które wnikają w głąb surowca i pozostające w nim nawet po usunięciu pleśni. Zmiany zachodzące w mące podczas przechowywania Świeżo wyprodukowana mąka przed użyciem jej do produkcji pieczywa powinna przejść tzw. okres dojrzewania. Zachodzą w niej wówczas zmiany biochemiczne i fizyczne, które poprawiają jej wartość wypiekową. Na szybkość zachodzenia tych zmian wpływają przede wszystkim takie warunki magazynowania jak temperatura (im wyższa temperatura tym szybciej przebiega proces) i wilgotność (mąka o większej wilgotności dojrzewa szybciej). Im większy dostęp powietrza do mąki, tym szybciej następuje dojrzewanie. Na czas dojrzewania wpływ mają następujące czynniki:
  • 27.
    „Projekt współfinansowany ześrodków Europejskiego Funduszu Społecznego” 25 − rodzaj mąki; mąka żytnia dojrzewa szybciej niż mąka pszenna, − właściwości glutenu; mąka zawierająca mocniejszy gluten dojrzewa szybciej niż mąka zawierająca słabszy gluten, − wilgotność mąki; mąka o większej wilgotności dojrzewa szybciej, − wyciąg; szybciej dojrzewa mąka o wyższym wyciągu (ciemniejsza), − granulacja; szybciej dojrzewa mąka o grubszej granulacji. Mąka z ziarna zdrowego i dojrzałego dojrzewa krócej niż mąka z ziarna porośniętego i niedojrzałego. Zmiany zachodzące w mące podczas dojrzewania związane są z częściowym rozkładem tłuszczu, co powoduje wzrost kwasowości mąki, a następnie barwa mąki staje się jaśniejsza w wyniku utleniania kwasów tłuszczowych. Poprawiają się właściwości glutenu – gluten ulega wzmocnieniu. Okres dojrzewania mąki pszennej wynosi 3do 4 tygodni (w przypadku mąki o krótkim czasie dojrzewania – dwa tygodnie), natomiast gdy wyprodukowano ją z ziarna porośniętego może dojrzewać 6 do 8 tygodni. Mąka żytnia często nie wymaga w ogóle dojrzewania (np. mąka żytnia razowa), lub czas dojrzewania jest krótki; mąka jasna żytnia dojrzewa w ciągu 5 do 7 dni. Podczas magazynowania w mące zachodzą również niekorzystne zmiany. Mąka łatwo chłonie wilgoć, obce zapachy, jest dobrym siedliskiem dla rozwoju drobnoustrojów, chętnie w niej żerują szkodniki. W mące świeżo zmielonej zachodzi intensywnie proces oddychania, który polega na przemianie cukrów do dwutlenku węgla i wody oraz oddychaniu mikroorganizmów. Zachodzi on tym intensywniej im wyższa jest temperatura i wilgotność oraz zawartość drobnoustrojów. Z kolei proces oddychania powoduje wzrost wilgotności i temperatury mąki, co doprowadza do jej samozagrzewania się, zbrylania, pleśnienia, pojawienia się stęchłego zapachu i wzrostu kwasowości. Warunki magazynowania Pomieszczenia magazynowe powinny być czyste i bez obcych zapachów, gdyż większość surowców łatwo chłonie zapachy. Jednym z czynników wpływających na jakość przechowywanych surowców jest wilgotność powietrza w magazynie. Do pomiaru wilgotności względnej służą higrometry lub psychrometry. W magazynie między przechowywanymi surowcami, a powietrzem odbywa się wymiana wilgoci. Surowce albo wchłaniają wodę z powietrza, albo ją wyparowują, aż do uzyskania stanu równowagi z względną wilgotnością powietrza. Wyższa wilgotność powietrza w magazynie stwarza dobre warunki dla rozwoju i działalności drobnoustrojów. Na jakość surowców wpływa także temperatura powietrza w magazynie. Im temperatura wyższa, tym intensywniej zachodzą wszystkie niepożądane zmiany w przechowywanych surowcach. Zarówno wilgotność jak i temperaturę należy w pomieszczeniach magazynowych systematycznie kontrolować za pomocą takich urządzeń pomiarowych jak: termometr oraz higrometr lub psychrometr. W magazynie należy zapewnić dobrą wentylację: naturalną (okna, drzwi, wywietrzniki) lub sztuczną (wentylatory, klimatyzatory). Aby magazyn, w którym przechowywane są surowce spełniał swą rolę musi odpowiadać określonym wymaganiom zarówno pod względem budowy jak i wyposażenia. Ściany i podłogi – muszą być wykonane z materiałów, które łatwo można utrzymać w czystości, powinny być szczelne, bez pęknięć i porowatości, które mogą stać się siedliskiem drobnoustrojów i szkodników. Ze względu na to, że światło słoneczne wpływa niekorzystnie na produkty spożywcze, pomieszczenia magazynowe powinny być zaciemnione.
  • 28.
    „Projekt współfinansowany ześrodków Europejskiego Funduszu Społecznego” 26 Tabela 3. Warunki przechowywania wybranych surowców piekarskich [1, s. 148] Temperatura Wilgotność względna powietrza, nie większa niż Nazwa surowca o C % Czas przechowywania, nie dłuższy niż jaja 8 ÷ 10 70 14 dni jaja suszone 0 ÷ 22 75 5÷12 miesięcy drożdże prasowane 1 ÷ 4 75 96 h drożdże suszone do 20 75 6 miesięcy cukier do 18 65 bez ograniczeń syrop ziemniaczany do 15 60÷70 3 miesiące miód sztuczny do 18 70 12 miesięcy miód naturalny 4 ÷ 20 65÷75 12 miesięcy margaryna zwykła 4 ÷ 10 75 40 dni margaryna mleczna 4 ÷ 10 75 14 dni smalec 0 ÷ 4 85 7 miesięcy Do 6 75 90 dni 6 ÷ 12 75 60 dni tłuszcz cukierniczy 12 ÷ 18 75 40 dni olej do 15 75 6 miesięcy do 10 75 3 dnimasło -18 ÷ -22 75 3÷9 miesięcy tłuszcz Specjał do 10 75 30 dni marmolada 2 ÷ 15 80 10 miesięcy mleko świeże do 10 24 h mleko w proszku do 20 75 4 ÷ 6 miesięcy śmietanka do 10 75 2 dni twaróg do 10 75 24 h Mąka powinna być składowana w pomieszczeniu suchym i chłodnym, zabezpieczonym przed działaniem słońca, czystym, zabezpieczonym przed gryzoniami i owadami i pasożytami. Optymalna temperatura magazynowania mąki wynosi 15÷18o C, wilgotność względna powietrza nie powinna przekraczać 70%. Mąka może być dostarczana do piekarni w workach lub luzem. Worki, w które pakowana jest mąka mogą być tkaninowe (z juty) lub papierowe (wielowarstwowe). Worki z mąką ustawia się na drewnianych podestach (tzw. paletach). Nie wolno ustawiać worków bezpośrednio na podłodze, gdyż sprzyja to przenikaniu wilgoci i jest niehigieniczne; nie wolno również opierać worków o ściany. Należy je tak poukładać, aby zapewnić możliwie najlepszy przewiew i wymianę powietrza. Ilość worków ułożonych w stosie zależy od stanu mąki i od temperatury. Im wyższa temperatura i wilgotność – tym mniejsza wysokość stosu, np. temperatura otoczenia jest wyższa niż10o C, zaleca się układać worki z mąką w stosy nie wyższe niż 10 worków przy wilgotności mąki poniżej 14% i nie wyższe niż 8 worków, gdy wilgotność mąki przekracza 14%. Zgodnie z zasadami bhp układanie worków z mąką w stosy przekraczające 6 worków wymaga użycia urządzeń mechanicznych. W przypadku większych piekarni mąkę dostarcza się luzem w specjalnych cysternach. Składowana jest ona wówczas w specjalnych zbiornikach, tzw. silosach. Z silosów jest ona transportowana bezpośrednio do stanowiska przygotowania ciasta.
  • 29.
    „Projekt współfinansowany ześrodków Europejskiego Funduszu Społecznego” 27 Surowce dodatkowe stosowane w produkcji pieczywa są dostarczane do piekarni w opakowaniach przewidzianych przez producenta i w tych opakowaniach są przechowywane. Szkodniki magazynowe Szkodnikami magazynowymi są gryzonie i owady oraz pajęczaki. Najczęściej spotykanymi gryzoniami są myszy i szczury. Oprócz tego, że zjadają one przechowywane surowce to uszkadzają opakowania i sam budynek, zanieczyszczają pomieszczenia i surowce oraz mogą przenosić choroby. Dlatego bardzo ważne jest zabezpieczenie budynku w taki sposób, aby nie mogły one dostać się do wewnątrz (dół drzwi obity blachą, okna i inne otwory zabezpieczone siatką. Zwalczanie gryzoni (deratyzacja) polega na zakładaniu pułapek oraz stosowaniu trucizn przeznaczonych do tego celu. Do najczęściej spotykanych owadów będących szkodnikami magazynowymi należą: wołek zbożowy, mącznik młynarek, mól ziarniak, mklik mączny. Rys. 2. Szkodniki zbożowe [9] a) wołek zbożowy, b) mącznik młynarek, c) mól ziarniak, d) mklik mączny Wołek zbożowy jest to chrząszcz długości 2–5 mm barwy jasnobrązowej do czarnej z lekkim połyskiem. Chrząszcze są odporne na działanie niskiej i wysokiej temperatury. Mogą żyć bardzo długo w temperaturze 6–10ºC, ale w tych warunkach nie rozmnażają się. Samica wywierca w ziarnie otwór, w którym składa jajo. Z jaja po kilku dniach wykluwa się a) b) c) d)
  • 30.
    „Projekt współfinansowany ześrodków Europejskiego Funduszu Społecznego” 28 larwa. Całe swoje życie spędza ona w ziarnie, żywiąc się jego zawartością. Larwa ta, przekształca się w poczwarkę, a następnie w owada doskonałego i dopiero on wychodzi z wyjedzonego ziarna. Najlepszym pokarmem dla larw jest pszenica, jęczmień łuskany, żyto, jęczmień nie łuskany, owies łuskany, kukurydza, ryż, gryka i żołędzie. Chrząszcze mogą żerować i przeżywać długie okresy czasu w rozdrobnionych produktach zbożowych. W takich warunkach jednak larwy nie rozwijają się. Mól ziarniak – długość ciała motyli wynosi 6–8 mm, rozpiętość skrzydeł 9–14 mm. Przednie skrzydła są wąskie, srebrzysto-szare czasem z żółtawym odcieniem. Na powierzchni skrzydeł występuje szereg ciemnych nieregularnie rozmieszczonych ciemnych plamek. Gąsienica ma do 10 mm długości, jest koloru brudno-żółtego z brązową głową. Całe ciało rzadko pokryte delikatnymi włoskami. Poczwarka długości około 5 mm spoczywa w kokonie zbudowanym z przędzy i resztek pokarmu. Motyle są aktywne w nocy, samice składają wtedy jaja na produkty pokarmowe, opakowania i resztki produktów. Przed przepoczwarczeniem gąsienice wędrują w poszukiwaniu odpowiedniego miejsca i pokrywają pryzmę lub worki grubą warstwą przędzy. Szkodnik żeruje na ziarnie zbóż, nasionach roślin strączkowych, orzechach, nasionach traw, suszonych owocach, suszonych grzybach, rzadko na serach i korku. Mklik mączny – rozpiętość skrzydeł 20–25 mm, długość ciała 10–14 mm. Przednie skrzydła szare z niebieskawym odcieniem, z poprzecznymi, czarnymi, zygzakowatymi liniami. Gąsienica biała lub szarożółta, pokryta delikatnymi włoskami do 20mm długości. Poczwarka do 9mm długości, początkowo jasnobrązowa, potem prawie czarna, spoczywa w mocnym kokonie. Motyle nie pobierają pokarmu i są aktywne tylko w nocy. W dzień siedzą nieruchomo na ścianach i opakowaniach. Samice składają jaja pojedynczo lub w niewielkich złożach bezpośrednio na produkty lub na opakowania. Szkodnik poraża rozdrobnione produkty pochodzenia zbożowego (mąka, płatki, kasze), a także orzechy, suszone warzywa, suszone owoce, kakao. Mącznik młynarek – chrząszcz długości 12–16 mm, ciemnobrązowy z tłustym połyskiem, tylko spód ciała i odnóża nieco jaśniejsze. Larwa zaraz po wyjściu z jaja jest biała, długości do 3 mm, z czasem osiąga 20–30 mm długości. Poczwarka typu wolnego ma długość 12–18 mm, początkowo jest mleczno-biała, a w miarę rozwoju ciemnieje. Jest to szkodnik występujący na wszystkich produktach pochodzenia roślinnego, sporadycznie spotykany na mięsie. Larwy mogą uszkadzać sita i opakowania. Poza zjadaniem dużych ilości pokarmu, larwy zanieczyszczają go kałem i wylinkami. Walka ze szkodnikami polega głównie na zapobieganiu występowaniu szkodników oraz ich rozmnażaniu. W magazynie należy więc zachowywać czystość oraz zwracać uwagę na jakość surowców dostarczanych do magazynu (czy nie są porażone przez szkodniki) oraz stan opakowań. Szkodniki można zwalczać metodami chemicznymi, najczęściej w postaci trujących gazów, lub też metodami fizycznymi, polegającymi na wyodrębnieniu szkodników za pomocą urządzeń czyszczących lub też działaniu wysoką lub niską temperaturą. Bardzo ważnym szkodnikiem magazynowym jest należący do roztoczy rozkruszek mączny. Ma on kształt owalny, barwę białą, a wielkość osobnika dojrzałego wynosi najczęściej 0,5 mm. Jest trudno widoczny gołym okiem. Rozkruszki rozwijają się i żerują nie tylko na przetworach zbożowych, ale również na wielu innych produktach spożywczych. Spożycie pokarmów zawierających rozkruszki może być groźne dla organizmu. Związane jest to z podrażnieniem i uszkodzeniem przewodu pokarmowego przez ich ostre i twarde odnóża.
  • 31.
    „Projekt współfinansowany ześrodków Europejskiego Funduszu Społecznego” 29 Zasady pracy w magazynie Obowiązki magazyniera: − ustalenie miejsc magazynowania surowców, − przyjmowanie i wydawanie surowców, − planowanie pracy w magazynie, − kontrolowanie jakości surowców w magazynie, − gospodarowanie surowcami zgodnie z dopuszczalnym okresem przechowywania, − organizowanie obrotu opakowaniami (np. worki, skrzynki), − kontrolowanie warunków magazynowania (wilgotność, temperatura, czystość, występowanie szkodników), − prowadzenie dokumentacji magazynowej (dowody dostawy i wydawania surowców z magazynu), − przestrzeganie zasad bhp i ochrony przeciwpożarowej. Planując pracę w magazynie bierze się pod uwagę rozplanowanie powierzchni magazynowej uwzględniając powierzchnię podłóg, powierzchnię operacyjną (przyjmowanie, wydawanie, ważenie, itp.) oraz powierzchnię potrzebną na przejścia (1,5–2 m). Ważnym elementem organizacyjnym jest rozmieszczenie magazynowanych surowców: − poszczególne gatunki i rodzaje surowców przechowywane powinny być zawsze w tym samym miejscu, − obok siebie nie można układać materiałów wzajemnie na siebie oddziaływujących, − do składowanych materiałów powinien być łatwy dostęp, co ułatwia kontrolę jakości oraz zapewni odpowiednie warunki bhp i ochrony przeciwpożarowej, − materiały powinny być układane zawsze w ustalony sposób, co ułatwi magazynierowi kontrolę ilościową. Warunki bhp i ochrony przeciwpożarowej: − właściwe ułożenie worków tak, aby nie groziły one przywaleniem pracowników, − pomosty oraz urządzenia magazynowe powinny być w dobrym stanie technicznym, − pomosty i schody do rozładunku i załadunku – powinny być zaopatrzone w poręcze, − podłogi powinny być utrzymane w dobrym stanie i czystości, − przejścia i korytarze dostatecznie oświetlone, − zapewnienie wentylacji (zapobiega to między innymi nadmiernemu zapyleniu magazynu; pyły stanowią materiał łatwo wybuchający), − zabronione jest używanie otwartego ognia, − magazyny muszą być zaopatrzone w sprzęt przeciwpożarowy, a pracownicy muszą umieć posłużyć się nim. 4.3.2. Pytania sprawdzające Odpowiadając na pytania, sprawdzisz, czy jesteś przygotowany do wykonania ćwiczeń. 1. Jakie są rodzaje zmian zachodzących w przechowywanej żywności? 2. Jakie zmiany w żywności zachodzą przy udziale drobnoustrojów? 3. Na czym polega proces dojrzewania mąki? 4. Jakie czynniki decydują o szybkości dojrzewania mąki? 5. Jakie niekorzystne zmiany zachodzą w przechowywanej mące? 6. Jakie urządzenia pomiarowe powinny znaleźć się w magazynie? 7. Jakie są podstawowe warunki magazynowania surowców piekarskich? 8. Jakie są sposoby magazynowania mąki? 9. Jakie szkodniki można spotkać w magazynie surowców piekarskich?
  • 32.
    „Projekt współfinansowany ześrodków Europejskiego Funduszu Społecznego” 30 10. W jaki sposób zwalcza się szkodniki magazynowe? 11. Jakie są zasady prawidłowej organizacji magazynu? 12. Jakie są podstawowe obowiązki magazyniera? 13. Jakie są podstawowe wymagania w zakresie bhp i ochrony przeciwpożarowej w magazynie? 4.3.3. Ćwiczenia Ćwiczenie 1 Określ warunki magazynowania mąki i innych surowców w zakładzie piekarskim. Sposób wykonania ćwiczenia Aby wykonać ćwiczenie, powinieneś: 1) przeanalizować informacje dotyczące warunków magazynowania surowców zawarte w punkcie 4.3.1. niniejszego Poradnika, 2) zapoznać się podczas wizyty w zakładzie piekarskim z wymaganiami bhp i ochrony przeciwpożarowej w magazynie zakładu piekarskiego, 3) przestrzegać zasad bhp i ochrony przeciwpożarowej podczas zwiedzania magazynu, 4) zapoznać się z zawartością magazynu mąki i innych surowców w tym zakładzie, 5) określić warunki magazynowania poszczególnych surowców wypełniając tabelkę wg wzoru: Tabela do ćwiczenia 1. Lp. Nazwa surowca Temperatura Wilgotność Uwagi 6) porównać wyniki swojej pracy z kolegami. Wyposażenie stanowiska pracy: − materiały biurowe, − odzież ochronna obowiązująca podczas pracy w magazynie, − instrukcje bhp i ochrony przeciwpożarowej obowiązujące w danym zakładzie piekarskim, − literatura wskazana w punkcie 6 niniejszego poradnika. Ćwiczenie 2 Dobierz warunki przechowywania mąki, którą przyjąłeś do magazynu. Sposób wykonania ćwiczenia Aby wykonać ćwiczenie, powinieneś: 1) przeanalizować informacje dotyczące zmian zachodzących w mące podczas przechowywania zawarte w punkcie 4.3.1. niniejszego Poradnika oraz literaturze wskazanej w punkcie 6 Poradnika, np. Ambroziak Z.: Produkcja piekarsko-ciastkarska, część 1,
  • 33.
    „Projekt współfinansowany ześrodków Europejskiego Funduszu Społecznego” 31 2) przeanalizować informacje dotyczące warunków przechowywania mąki zawarte w punkcie 4.3.1. niniejszego Poradnika oraz literaturze wskazanej w punkcie 6 Poradnika, np. Ambroziak Z.: Produkcja piekarsko-ciastkarska, część 1, 3) przestrzegać zasad bhp i ochrony przeciwpożarowej podczas pracy w magazynie, 4) dokonać oceny organoleptycznej otrzymanej maki, zwracając szczególną uwagę na jej wilgotność (ocenioną poprzez ściśnięcie w dłoni), 5) zapoznać się z atestem mąki, zwracając uwagę, czy nie jest ona otrzymana z ziarna porośniętego, nie ma zbyt wysokiej kwasowości, 6) przeanalizować wpływ warunków magazynowania na jakość mąki: Lp. Warunki przechowywania Wpływ warunków przechowywania na jakość mąki 1. zbyt wysoka wilgotność 2. zbyt wysoka temperatura 3. obce zapachy 4. inne (jakie?) 7) dobrać warunki magazynowania dostarczonej mąki, 8) porównać wyniki pracy z kolegami. Wyposażenie stanowiska pracy: − materiały biurowe, − odzież ochronna obowiązująca podczas pracy w magazynie, − instrukcje bhp i ochrony przeciwpożarowej obowiązujące w danym zakładzie piekarskim, − atest mąki przewidzianej do magazynowania, − próbka mąki przewidzianej do magazynowania (do oceny organoleptycznej i oceny wilgotności), − literatura wskazana w punkcie 6 niniejszego poradnika. Ćwiczenie 3 Oznacz liczbę żywych rozkruszków w mące. Sposób wykonania ćwiczenia Aby wykonać ćwiczenie powinieneś: 1) zapoznać się ze sprzętem, w który wyposażone jest stanowisko pracy, 2) zapoznać się z informacjami dotyczącymi szkodników magazynowych zawartymi w punkcie 4.3.1. niniejszego Poradnika, 3) odważyć na wadze technicznej 50 g mąki, 4) rozsypać odważoną mąkę na ciemnej płytce tworząc warstwę grubości ok. 4 mm i dokładnie wygładzić jej powierzchnię za pomocą płytki szklanej, 5) ogrzać rozsypaną mąkę do temperatury nieco wyższej niż temperatura otoczenia,
  • 34.
    „Projekt współfinansowany ześrodków Europejskiego Funduszu Społecznego” 32 6) po około pół godz. obejrzeć powierzchnię maki używając lupy, 7) pamiętając, że żywe rozkruszki naruszają gładkość powierzchni mąki – policzyć liczbę rozkruszków w badanej próbce mąki, 8) obliczyć liczbę rozkruszków w 1kg mąki, 9) zaprezentować wykonane ćwiczenie. Wyposażenie stanowiska pracy: – mąka zanieczyszczona biologicznie, – waga techniczna, – ciemna płytka, – płytka szklana, – suszarka laboratoryjna, – lupa, – zeszyt przedmiotowy, – długopis. Ćwiczenie 4 Oceń warunki magazynowania mąki i innych surowców piekarskich na podstawie wskazań urządzeń kontrolno-pomiarowych zainstalowanych w magazynie oraz stanu higieniczno-sanitarnego pomieszczeń magazynowych. Sposób wykonania ćwiczenia Aby wykonać ćwiczenie, powinieneś: 1) zapoznać się z informacjami dotyczącymi warunków magazynowania zawartymi w punkcie 4.3.1. niniejszego Poradnika, 2) zapoznać się z informacjami dotyczącymi szkodników magazynowych oraz sposobami ich zwalczania zawartymi w punkcie 4.3.1. niniejszego Poradnika, 3) zapoznać się z warunkami magazynowania surowców podczas zajęć w zakładzie piekarskim, 4) odczytać temperaturę i wilgotność z urządzeń pomiarowych, 5) ocenić stan pomieszczeń magazynowych, 6) zwrócić uwagę na obecność szkodników magazynowych i określić sposób ich zwalczania, 7) ocenić warunki magazynowania surowców w zakładzie piekarskim, 8) zaprezentować wyniki swojej pracy. Wyposażenie stanowiska pracy: − materiały biurowe, − odzież ochronna obowiązująca podczas pracy w magazynie, − instrukcje bhp i ochrony przeciwpożarowej obowiązujące w danym zakładzie piekarskim, − urządzenia do pomiaru temperatury i wilgotności, − literatura wskazana w punkcie 6 niniejszego poradnika.
  • 35.
    „Projekt współfinansowany ześrodków Europejskiego Funduszu Społecznego” 33 Ćwiczenie 5 Przyjmij surowce do magazynu zgodnie z obowiązkami magazyniera. Sposób wykonania ćwiczenia Aby wykonać ćwiczenie, powinieneś: 1) zapoznać się z dokumentacją magazynową obowiązującą podczas przyjmowania surowców obowiązującą w zakładzie piekarskim, 2) przestrzegać zasad bhp i ochrony przeciwpożarowej obowiązujących w magazynie, 3) przyjąć ilościowo i jakościowo surowce pod opieką instruktora/magazyniera, 4) wypełnić dokumentację związaną z przyjęciem surowców pod nadzorem magazyniera, 5) określić warunki magazynowania przyjętych surowców, 6) zaplanować rozmieszczenie przyjętych surowców, zwracając uwagę na termin przydatności, 7) omówić prawidłowość wykonania ćwiczenia z nauczycielem. Wyposażenie stanowiska pracy: − odzież ochronna obowiązująca podczas pracy w magazynie, − instrukcje bhp i ochrony przeciwpożarowej obowiązujące w danym zakładzie piekarskim, − komputer z oprogramowaniem wymaganym do prowadzenia dokumentacji magazynowej, − dokumentacja magazynowa. 4.3.4. Sprawdzian postępów Czy potrafisz: Tak Nie 1) przyjąć surowce do magazynu?   2) określić warunki przechowywania mąki i innych surowców?   3) określić zmiany zachodzące w mące podczas przechowywania?   4) określić zmiany zachodzące w innych surowcach podczas przechowywania?   5) rozpoznać szkodniki magazynowe?   6) określić sposoby zwalczania szkodników magazynowych?   7) zinterpretować wskazania aparatury kontrolno-pomiarowej zainstalowanej w magazynie?   8) zagospodarować surowce zgodnie z terminem przydatności?  
  • 36.
    „Projekt współfinansowany ześrodków Europejskiego Funduszu Społecznego” 34 4.4. Przygotowanie surowców do produkcji piekarskiej 4.4.1. Materiał nauczania Przygotowanie mąki do produkcji piekarskiej Przygotowanie mąki do produkcji polega na: − przesiewaniu, − dozowaniu, − sporządzaniu mieszanek, − ogrzewaniu lub schładzaniu mąki. − przesiewanie mąki ma na celu: − oddzielenie zanieczyszczeń mechanicznych, − spulchnienie i napowietrzenie mąki, − wyrównanie temperatury mąki z temperaturą otoczenia. Przesiewanie mąki polepsza chłonność wody, poprawia warunki fermentacji oraz poprawia wydajność i jakość pieczywa. Do przesiewania mąki stosuje się przesiewacze z zasypem workowym lub bez – stanowiące element transportu pneumatycznego oraz przesiewacze służące do przesiewania mąki z worków, wyposażone w kosze zasypowe i podające przesiana mąkę bezpośrednio do dzieży. W niewielkich zakładach piekarskich stosuje się sita ręczne. Dozowanie mąki ma na celu przestrzeganie receptury i otrzymanie wyrobów o odpowiedniej jakości. W piekarniach rzemieślniczych stosuje się często ręczny namiar bezpośrednio do dzieży ustawionej na wadze podłogowej. W piekarniach przemysłowych stosuje się dozowniki. Najczęściej są to dozowniki o działaniu okresowym. Mieszanki wypiekowe sporządza się po to, aby uzyskać mąkę o pożądanych właściwościach wypiekowych. Sporządzanie mieszanek ma miejsce np. w sytuacji, gdy piekarnia otrzyma partię mąki z ziarna porośniętego. Należy wówczas zmieszać taką mąkę z mąką charakteryzującą się niską aktywnością amylolityczną, tzn. o wyższej liczbie opadania. Podobnie w zależności od potrzeb do mąki słabej (o niskiej liczbie glutenowej) wskazany może być dodatek mąki mocnej (o wysokiej liczbie opadania). Skład mieszanki wypiekowej można obliczyć na podstawie uproszczonego wzoru: CB BA Xc − − = gdzie: A>B>C A- wskaźnik jakościowy mąki z partii A, B- żądany wskaźnik jakościowy mąki, C- wskaźnik jakościowy mąki z partii C, Xc - ilość kg mąki partii C, jaką należy zmieszać z 1 kg mąki z partii A aby otrzymać mąkę o wskaźniku jakościowym B. Przykład: Ustal skład mieszanki wypiekowej sporządzonej z mąk: A- o liczbie glutenowej 65 i C – o liczbie glutenowej 30. Liczba glutenowa sporządzonej mieszanki ma wynosić 50. Rozwiązanie: Dane: A = 65 B = 50 C = 30
  • 37.
    „Projekt współfinansowany ześrodków Europejskiego Funduszu Społecznego” 35 Po podstawieniu do wzoru: 75,0 3050 5065 = − − =Xc Odpowiedź: Mieszankę należy sporządzić używając na jeden kg mąki o liczbie glutenowej 30 0,75 kg mąki o liczbie glutenowej 65. Ogrzewanie mąki stosuje się wówczas, gdy jej temperatura jest niższa niż 18o C. W małych piekarniach mąkę podgrzewa się ustawiając worki w pobliżu pieca. W piekarniach przemysłowych mąkę ogrzewa się podczas transportu pneumatycznego przez użycie podgrzanego powietrza. W przypadku samozagrzania się mąki lub zbyt wysokiej temperatury w magazynie mąkę schładza się przez przesiewanie lub stosując schłodzone powietrze podczas transportu pneumatycznego. Przygotowanie wody do produkcji piekarskiej Na przygotowanie wody do produkcji składają się następujące czynności: − uzdatnienie wody (w przypadku, gdy zakład stosuje wodę z własnego ujęcia woda musi być uzdatniona zgodnie z wymaganiami ustalonymi przez stację sanitarno- -epidemiologiczną), − odmierzenie odpowiedniej ilości wody, − ustalenie odpowiedniej temperatury wody. Potrzebną do wyprodukowania danej ilości ciasta ilość wody można obliczyć na podstawie wzoru: W McMr Mw ⋅ = gdzie: Mw – ilość wody, w dm3 (w uproszczeniu przyjmujemy, że 1 kg wody ma objętość jednego dm3 ), Mr – ilość wody na 100 kg mąki (wynikająca z receptury), w kg Mc – ilość wytworzonego ciasta, w kg W – wydajność ciasta (stosunek ilości ciasta do ilości mąki), w % Przykład: Oblicz, ile wody należy użyć do wyprodukowania 350 kg ciasta o wydajności 150%. Obliczenia: Jeśli wydajność ciasta wynosi 150%, to oznacza, że na 100 kg mąki należy użyć 50 litrów wody. Ilość wody obliczamy na podstawie przedstawionego wyżej wzoru: 7,116 150 35050 = ⋅ =Mw Do wyprodukowania 350 kg ciasta o wydajności 150% potrzeba 116,7 litra wody. Ilość wody potrzebna do sporządzenia określonej ilości ciasta można również obliczyć na podstawie proporcji. Przykład: Oblicz, ile wody potrzeba do przygotowania 750 kg ciasta o wydajności150%. Jeśli wydajność ciasta wynosi 150%, to oznacza, że na 100 kg mąki zużywa się 50 litrów wody. 150 kg ciasta – 50 litrów wody 750 kg ciasta – x litrów wody 250 150 50750 = ⋅ =x
  • 38.
    „Projekt współfinansowany ześrodków Europejskiego Funduszu Społecznego” 36 Do wyprodukowania 750 kg ciasta o wydajności 150% potrzeba 250 litrów wody. Odmierzanie odpowiedniej ilości wody może odbywać się ręcznie lub za pomocą dozowników. Dozując wodę do ciasta należy zwrócić uwagę, że część wody potrzebnej do produkcji ciasta należy pozostawić do sporządzenia roztworów innych surowców, np. soli, cukru. Aby właściwie przygotować ciasto, woda powinna mieć odpowiednią temperaturę. Czynnikami wpływającymi na temperaturę wody są: − temperatura mąki, − żądana temperatura ciasta, − temperatura otoczenia, − pora roku, a także – temperatura fazy poprzedniej. Temperatura wody nie powinna przekraczać 45 ÷ 50o C, gdyż w tej temperaturze może dojść do obumierania komórek drożdży. W zależności od metody sporządzania ciasta temperaturę wody można obliczyć korzystając z uproszczonych wzorów. W przypadku metody bezpośredniej temperaturę dolewki wody oblicza się ze wzoru: td = 3tc – (tm + tp) gdzie: td – temperatura dolewki wody, tc – żądana temperatura ciasta, tm – temperatura mąki, tp – temperatura pomieszczenia. Przykład: Ustal temperaturę dolewki wody do ciasta przygotowywanego metodą bezpośrednią, jeśli żądana temperatura ciasta wynosi 28o C, temperatura pomieszczenia wynosi 26o C, temperatura mąki wynosi 17o C. Obliczenia: tc – 28 o C, tm – 17 o C, tp – 26 o C. td = 3tc – (tm + tp) td = 3∙28 – (17 + 26) td = 41 Temperatura dolewki wody powinna wznosić 41o C. Aby otrzymać wodę o danej temperaturze można do tego celu użyć tzw. mieszaczy. Mieszacze są to zbiorniki wyposażone we wskaźnik poziomu, termometr oraz dwa króćce doprowadzające wodę gorącą i zimną i króciec odprowadzający wodę do dzieży. Temperaturę wody oraz wielkość porcji dolewaną do dzieży uzyskuje się manipulując ręcznie zaworami i obserwując poziom cieczy oraz wskazania termometru. Przygotowanie soli do produkcji piekarskiej Przygotowanie soli do produkcji piekarskiej polega na rozpuszczeniu w wodzie o temperaturze około 30o C. Roztwór po odstaniu należy przecedzić lub przefiltrować. Roztwór soli dozuje się objętościowo. Na podstawie gęstości (określonej za pomocą areometru) z odpowiednich tabel odczytuje się zawartość soli w 100 ml roztworu.
  • 39.
    „Projekt współfinansowany ześrodków Europejskiego Funduszu Społecznego” 37 Przygotowanie środków słodzących do produkcji piekarskiej Przygotowanie cukru do produkcji ciasta polega na rozpuszczeniu go w wodzie i przecedzeniu uzyskanego roztworu. W przypadku stosowania syropów, miodów, ekstraktu słodowego – przed dodaniem do ciasta należy je podgrzać, aby zmniejszyć lepkość. Przygotowanie drożdży do produkcji piekarskiej W produkcji piekarskiej stosuje się drożdże prasowane, rzadko – suszone. Przygotowanie drożdży do produkcji polega na sporządzeniu mleczka drożdżowego, czyli zawiesiny drożdży w mleku lub w wodzie. Dzięki takiemu przygotowaniu ułatwione jest rozprowadzanie drożdży w cieście oraz zapewniony równomierny przebieg fermentacji. Drożdże prasowane należy rozkruszyć i rozprowadzić w wodzie lub mleku. Temperatura płynu nie powinna przekraczać 30o C. W przypadku stosowania drożdży zamrożonych należy je przed użyciem ocieplić przez umieszczenie ich w pomieszczeniu nieco cieplejszym (4 ÷ 8o C). Nie wolno drożdży rozprowadzać w gorącej wodzie, ani rozmrażać zbyt gwałtownie poprzez pozostawienie ich np. w pobliżu grzejników czy pieca. Gwałtowne rozmrażanie drożdży prowadzi do obniżenia zdolności rozmnażania się i zdolności fermentacyjnych. Drożdże suszone zalewa się wodą o temperaturze 30o C i pozostawia na 50 minut. Stosunek ilościowy drożdży do wody powinien wynosić 1:6. Często stosuje się także wstępną aktywację drożdży. Polega ona na dodaniu do zawiesiny drożdży zaparzonej mąki i ewentualnie słodu oraz soli mineralnych. Aktywacja trwa od 2 do kilku godzin, a jej celem jest pobudzenie drożdży do rozmnażania i fermentacji. Przygotowanie tłuszczów do produkcji piekarskiej Tłuszcze stałe stosowane do produkcji pieczywa zaleca się pogrzać do uzyskania płynnej konsystencji. W większości piekarni tłuszcz roztapia się w naczyniach nad źródłem ciepła, np. na taboretach podgrzewczych gazowych lub elektrycznych. Temperatura tłuszczu dodawanego do ciasta nie powinna przekraczać 45o C, w przeciwnym razie mogłoby dojść do obumierania komórek drożdżowych. Oleje i rozpuszczone tłuszcze stałe często dozuje się w postaci emulsji z wodą. Emulsję taką przygotowuje się z dodatkiem lecytyny (która pełni funkcję emulgatora) przy użyciu wysokoobrotowego miksera lub homogenizatora. Przygotowanie jaj do produkcji piekarskiej Jaja świeże przed użyciem należy: − umyć, − zdezynfekować, − wybić. Celem dezynfekcji jest zniszczenie drobnoustrojów znajdujących się na skorupce, w szczególności Salmonelli. Dezynfekcję przeprowadza się przy użyciu środków chemicznych, naświetlanie promieniami UV lub przez sparzanie gorącą wodą. Umyte i zdezynfekowane jaja wybija się do niewielkiego naczynia (po kilka sztuk), sprawdza zapach, miesza i dopiero przelewa przez sito do naczynia zbiorczego. W przypadku, gdy w zakładzie zużywana jest bardzo duża ilość jaj, do ich mycia i wybijania stosuje się specjalne urządzenia, np. linia Sanovo. Masę jajową mrożoną należy przed użyciem rozmrozić w łaźni wodnej w temperaturze około 45o C i przecedzić przez sito. Rozmrożoną masę należy zużyć w ciągu 3–4 godzin; rozmrożonej masy nie wolno ponownie zamrażać. Jaja w proszku miesza się z 3–4 krotną ilością wody o temperaturze 40–45o C.
  • 40.
    „Projekt współfinansowany ześrodków Europejskiego Funduszu Społecznego” 38 4.4.2. Pytania sprawdzające Odpowiadając na pytania, sprawdzisz, czy jesteś przygotowany do wykonania ćwiczeń. 1. Jakie są etapy przygotowania mąki do produkcji piekarskiej? 2. Jaki jest cel przesiewania mąki? 3. Jaki jest cel sporządzania mieszanek wypiekowych? 4. Jaki jest uproszczony wzór do obliczenia składu mieszanki wypiekowej? 5. W jaki sposób reguluje się temperaturę mąki? 6. Z jakich wzorów skorzystasz obliczając ilość wody do produkcji danej ilości ciasta o określonej wydajności? 7. Jakie czynniki wpływają na temperaturę wody stosowanej do produkcji ciasta? 8. Na czym polega przygotowanie soli do produkcji piekarskiej? 9. Na czym polega przygotowanie drożdży do produkcji piekarskiej? 10. Na czym polega przygotowanie środków słodzących do produkcji piekarskiej? 11. Na czym polega przygotowanie tłuszczów do produkcji piekarskiej? 12. Na czym polega przygotowanie jaj do produkcji piekarskiej? 4.4.3. Ćwiczenia Ćwiczenie 1 Przygotuj mąkę do produkcji piekarskiej. Sposób wykonania ćwiczenia Aby wykonać ćwiczenie, powinieneś: 1) przeanalizować informacje dotyczące przygotowania mąki do produkcji zawarte w punkcie 4.4.1. niniejszego Poradnika, 2) zapoznać się z zasadą działania urządzeń dozujących na podstawie plansz ze schematami oraz modeli, 3) zapoznać się podczas wizyty w zakładzie piekarskim ze sposobami przygotowywania mąki do produkcji, zwracając szczególną uwagę na urządzenia służące do przesiewania i dozowania, 4) uzasadnić sposób dozowania mąki w tym zakładzie, 5) zapoznać się z instrukcjami obsługi urządzeń do przesiewania i dozowania mąki, 6) zapoznać się z zasadami bhp obowiązującymi podczas obsługi urządzeń do przesiewania i dozowania mąki, 7) obsłużyć urządzenia do przesiewania i dozowania mąki pod nadzorem instruktora/nauczyciela pamiętając o zachowaniu zasad bhp, 8) przeanalizować sposoby ogrzewania mąki w razie potrzeby w tym zakładzie, 9) przeanalizować z kolegami przebieg wykonania ćwiczenia zwracając szczególną uwagę na te jego elementy, które sprawiły Ci najwięcej problemów. Wyposażenie stanowiska pracy: − schematy urządzeń dozujących, − modele urządzeń dozujących, − instrukcje obsługi urządzeń znajdujących się na stanowisku pracy w piekarni, − instrukcje bhp i ochrony przeciwpożarowej na stanowisku pracy w piekarni, − odzież ochronna obowiązująca podczas pracy w piekarni.
  • 41.
    „Projekt współfinansowany ześrodków Europejskiego Funduszu Społecznego” 39 Ćwiczenie 2 Oblicz skład mieszanki wypiekowej o liczbie opadania 200 sporządzanej z mąk o liczbach opadania 150 i 400. Sposób wykonania ćwiczenia Aby wykonać ćwiczenie, powinieneś: 1) zapoznać się ze sposobem obliczania składu mieszanek zawartym w punkcie 4.4.1. niniejszego Poradnika, 2) przeanalizować uproszczony wzór na skład mieszanki i wypisać dane, 3) wykonać obliczenia, 4) porównać wynik z wynikami uzyskanymi przez kolegów. Wyposażenie stanowiska pracy: − materiały biurowe, − kalkulator. Ćwiczenie 3 Oblicz ilość (w litrach) i temperaturę wody do produkcji 600kg ciasta o wydajności 150%. Temperatura ciasta ma wynosić 29o C, temperatura mąki wynosi 18o C, temperatura pomieszczenia wynosi 25o C. Sposób wykonania ćwiczenia Aby wykonać ćwiczenie, powinieneś: 1) zapoznać się ze sposobami obliczania wielkości dolewki wody i przykładami zawartymi w punkcie 4.4.1 niniejszego Poradnika, 2) przeanalizować dane do obliczeń zawarte w treści ćwiczenia i wypisać te, które wykorzystasz do obliczenia wielkości dolewki, 3) obliczyć wielkość dolewki wody wybranym sposobem, 4) zapoznać się ze sposobem obliczania temperatury wody i przykładem zawartym w punkcie 4.4.1 niniejszego Poradnika, 5) przeanalizować dane do obliczeń zawarte w treści ćwiczenia i wypisać te, które wykorzystasz do obliczenia temperatury dolewki, 6) obliczyć temperaturę wody, 7) wyniki obliczeń porównać z wynikami uzyskanymi przez kolegów i ocenić poprawność wykonania ćwiczenia. Wyposażenie stanowiska pracy: – materiały biurowe, – kalkulator. Ćwiczenie 4 Przygotuj wodę do produkcji danego ciasta. Sposób wykonania ćwiczenia Aby wykonać ćwiczenie, powinieneś: 1) zapoznać się z recepturą wybranego wyrobu produkowanego w zakładzie piekarskim (wyboru dokonać po ustaleniu z nauczycielem),
  • 42.
    „Projekt współfinansowany ześrodków Europejskiego Funduszu Społecznego” 40 2) zapoznać się ze sposobem przygotowania wody w tym zakładzie, 3) zapoznać się z instrukcją obsługi urządzeń do przygotowania wody (mieszacze, dozatory), zwracając szczególną uwagę na zasady bhp, 4) obliczyć ilość wody potrzebną do wyprodukowania danej ilości ciasta (wynik obliczenia przedstawić nauczycielowi), 5) obliczyć temperaturę dolewki wody (wynik przedstawić nauczycielowi), 6) przygotować wodę do produkcji pod nadzorem nauczyciela, 7) przedyskutować z kolegami sposób wykonania ćwiczenia, zwracając uwagę na te elementy, które sprawiły Ci najwięcej problemów, 8) ocenić poprawność wykonania ćwiczenia wspólnie z nauczycielem. Wyposażenie stanowiska pracy: − materiały biurowe, − odzież ochronna obowiązująca podczas pracy w zakładzie piekarskim, − zbiór receptur piekarskich, − kalkulator, − instrukcje bhp i ochrony przeciwpożarowej obowiązujące w danym zakładzie piekarskim, − instrukcje obsługi urządzeń do przygotowania surowców w danym zakładzie piekarskim, − urządzenia służące do mieszania i dozowania wody w danym zakładzie piekarskim, − literatura wskazana w punkcie 6 niniejszego poradnika, np. Reński A.: Piekarstwo. Technologia dla szkół zasadniczych, cz.1, − ewentualnie komputer z oprogramowaniem użytecznym, np. arkusz kalkulacyjny. Ćwiczenie 5 Przygotuj wskazany przez nauczyciela surowiec do produkcji. Sposób wykonania ćwiczenia Aby wykonać ćwiczenie, powinieneś: 1) przeanalizować informacje dotyczące przygotowania surowców do produkcji zawarte w punkcie 4.4.1. niniejszego Poradnika, 2) zapoznać się z recepturą wybranego wyrobu produkowanego w zakładzie piekarskim (wyboru dokonać po ustaleniu z nauczycielem), 3) zapoznać się ze sposobem przygotowania danego surowca w tym zakładzie, 4) przygotować surowiec do produkcji pod nadzorem nauczyciela, pamiętając o zasadach bhp, 5) przedyskutować z kolegami sposób wykonania ćwiczenia, zwracając uwagę na te elementy, które sprawiły Ci najwięcej problemów, 6) ocenić poprawność wykonania ćwiczenia wspólnie z nauczycielem. Wyposażenie stanowiska pracy: − materiały biurowe, − odzież ochronna obowiązująca podczas pracy w zakładzie piekarskim, − zbiór receptur piekarskich, − instrukcje bhp i ochrony przeciwpożarowej obowiązujące w danym zakładzie piekarskim, − instrukcje obsługi urządzeń do przygotowania surowców w danym zakładzie piekarskim, − urządzenia służące do przygotowania surowców w danym zakładzie piekarskim, − literatura wskazana w punkcie 6 niniejszego poradnika, np. Reński A.: Piekarstwo. Technologia dla szkół zasadniczych, cz.1,
  • 43.
    „Projekt współfinansowany ześrodków Europejskiego Funduszu Społecznego” 41 Ćwiczenie 6 Przeanalizuj wpływ przygotowania surowców na przebieg procesów technologicznych. Sposób wykonania ćwiczenia Aby wykonać ćwiczenie, powinieneś: 1) przeanalizować informacje dotyczące przygotowania surowców do produkcji zawarte w punkcie 4.4.1. niniejszego Poradnika, 2) zapoznać się ze sposobami przygotowania surowców w różnych zakładach piekarskich, 3) określić wpływ przygotowania danego surowca na proces technologiczny: Tabela do ćwiczenia 6. Surowiec Czynności związane z przygotowaniem Wpływ na proces technologiczny Skutki nieprawidłowego przygotowania przesiewanie dozowanie sporządzanie mieszanek (w razie potrzeby) mąka ogrzewanie (w razie potrzeby) ustalenie ilości woda ustalenie temperatury przygotowanie mleczka drożdżowego drożdże wstępna aktywacja jaja dezynfekcja tłuszcz roztapianie (w przypadku tłuszczu stałego) cukier, sól sporządzenie roztworu 4) porównać i przedyskutować z kolegami wynik ćwiczenia.
  • 44.
    „Projekt współfinansowany ześrodków Europejskiego Funduszu Społecznego” 42 Wyposażenie stanowiska pracy: − materiały biurowe, − literatura wskazana w punkcie 6 niniejszego poradnika, np. Reński A.: Piekarstwo. Technologia dla szkół zasadniczych, cz.1. 4.4.4. Sprawdzian postępów Czy potrafisz: Tak Nie 1) dobrać i obsłużyć maszyny i urządzenia do przygotowania surowców do produkcji?   2) odmierzyć odpowiednią ilość surowców?   3) obliczyć skład mieszanki wypiekowej?   4) obliczyć temperaturę dolewki wody?   5) określić wpływ temperatury wody na jakość ciasta?   6) określić i wykonać czynności związane z przygotowaniem drożdży do produkcji?   7) określić zasady przygotowania roztworów soli i cukru?   8) określić zasady przygotowania tłuszczów i jaj do produkcji?   9) określić niebezpieczeństwa związane z mikrobiologicznymi zakażeniami jaj?   10) przygotować surowce do produkcji?   11) określić wpływ przygotowania surowców na przebieg procesów technologicznych?  
  • 45.
    „Projekt współfinansowany ześrodków Europejskiego Funduszu Społecznego” 43 5. SPRAWDZIAN OSIĄGNIĘĆ INSTRUKCJA DLA UCZNIA 1. Przeczytaj uważnie instrukcję. 2. Podpisz imieniem i nazwiskiem kartę odpowiedzi. 3. Zapoznaj się z zestawem zadań testowych. 4. Test zawiera 20 zadań. Do każdego zadania dołączone są 4 możliwości odpowiedzi. Tylko jedna jest prawidłowa. 5. Udzielaj odpowiedzi na załączonej karcie odpowiedzi, stawiając w odpowiedniej rubryce znak X. W przypadku pomyłki należy błędną odpowiedź zaznaczyć kółkiem, a następnie ponownie zakreślić odpowiedź prawidłową. 6. Pracuj samodzielnie, bo tylko wtedy będziesz miał satysfakcję z wykonanego zadania. 7. Jeśli udzielenie odpowiedzi będzie Ci sprawiało trudność, wtedy odłóż jego rozwiązanie na później i wróć do niego, gdy zostanie Ci wolny czas. 8. Na rozwiązanie testu masz 45 min. Powodzenia! ZESTAW ZADAŃ TESTOWYCH 1. Podstawowym składnikiem mąki jest a) sacharoza. b) skrobia. c) amylaza. d) popiół. 2. Na opakowaniu mąki znajduje się informacja: „Mąka pszenna. Typ 480”. Oznacza to, że a) 100 kg tej mąki zawiera 480 g popiołu. b) 1 kg tej mąki zawiera 480 g popiołu. c) zawartość popiołu w tej mące wynosi 48%. d) zawartość popiołu w tej mące wynosi 4,8%. 3. Mąka żytnia w porównaniu z mąką pszenną o tym samym wyciągu a) ma taką samą kwasowość jak mąka pszenna. b) ma niższą kwasowość. c) ma wyższą kwasowość. d) nie różni się od niej właściwościami i zawartością składników chemicznych. 4. Atest mąki pszennej zawiera między innymi następującą informację: LO = 350. Na podstawie tego można stwierdzić, że mamy do czynienia z mąką a) mocną. b) słabą. c) o niskiej aktywności alfa-amylazy. d) o wysokiej aktywności alfa-amylazy.
  • 46.
    „Projekt współfinansowany ześrodków Europejskiego Funduszu Społecznego” 44 5. Ukwaszanie mąki żytniej jest konieczne, aby a) przyspieszyć proces fermentacji. b) skrobia uległa całkowitemu rozkładowi. c) zwiększyć aktywność alfa-amylazy. d) zmniejszyć aktywność alfa-amylazy. 6. Gluten słaby a) szybko chłonie wodę i łatwo rozpływa się. b) powoli chłonie wodę, jest elastyczny. c) szybko chłonie wodę i charakteryzuje się niewielką rozciągliwością. d) powoli chłonie wodę i charakteryzuje się niewielką rozpływalnością. 7. Do zasadniczych czynników wpływających na wartość wypiekową mąki żytniej należy a) zdolność do wytwarzania i zatrzymywania gazów. b) aktywność enzymów amylolitycznych. c) siła mąki. d) barwa. 8. Drożdże przydatne do produkcji dyskwalifikuje a) przełom muszlowy. b) barwa kremowa z odcieniem szarym. c) charakterystyczny smak i zapach. d) zapach rozkładającego się białka. 9. Z punktu widzenia piekarstwa najważniejszą właściwością drożdży jest a) barwa. b) siła pędna. c) swoisty smak i zapach. d) charakterystyczny, muszlowy przełom. 10. Pod wpływem drożdży w cieście zachodzi a) fermentacja alkoholowa. b) rozkład glutenu. c) inwersja sacharozy. d) proces wzmożonego chłonięcia wody. 11. Mąka w workach magazynowana w magazynie piekarni powinna być ułożona a) na podłodze, z zachowaniem przejść między rzędami. b) na drewnianych paletach tak, aby worki opierały się o ścianę. c) na drewnianych paletach, z zachowaniem przejść między rzędami. d) na drewnianych paletach, w stosach sięgających do sufitu. 12. Prawidłowe warunki magazynowania mąki to a) temperatura: 15 ÷ 18o C, wilgotność względna powietrza do 70%. b) temperatura: 2 ÷ 6o C, wilgotność względna powietrza powyżej 70%. c) temperatura: 25 ÷ 28o C, wilgotność względna powietrza 70 ÷ 80%. d) temperatura: 18 ÷ 25o C, wilgotność względna powietrza powyżej 70%.
  • 47.
    „Projekt współfinansowany ześrodków Europejskiego Funduszu Społecznego” 45 13. Podczas przechowywania żywności zachodzą w niej zmiany polegające między innymi na zmianie kształtu i wielkości, powstaniu uszkodzeń, twardnieniu, zbrylaniu, rozwarstwianiu. Tego typu zmiany zaliczamy do a) fizycznych. b) chemicznych. c) biochemicznych. d) biologicznych. 14. Dojrzewanie mąki polega na poprawie jej właściwości wypiekowych, w szczególności a) wzrasta liczba drobnoustrojów. b) gluten ulega wzmocnieniu. c) wzrasta wilgotność. d) gluten ulega osłabieniu. 15. Jednym ze szkodników magazynowych jest chrząszcz o długości 2–5 mm, barwy jasnobrązowej do czarnej z lekkim połyskiem. Mowa jest o a) mkliku mącznym. b) mączniku młynarku. c) molu ziarniaku. d) wołku zbożowym. 16. Celem przesiewania mąki jest a) uzyskanie mąki o pożądanych właściwościach wypiekowych, np. o określonej liczbie opadania. b) równomierne rozprowadzenie składników. c) oddzielenie zanieczyszczeń mechanicznych, spulchnienie i napowietrzenie. d) poprawa cech fizycznych glutenu. 17. Jeżeli temperatura mąki wynosi 15o C, to przygotowanie jej do produkcji będzie polegało na a) jej ogrzaniu poprzez ustawienie worków w pobliżu pieca. b) zaparzeniu części mąki. c) dodaniu wody, wymieszaniu i ogrzaniu otrzymanej zawiesiny do temperatury około 25o C. d) dodaniu zawiesiny drożdży i wymieszaniu. 18. Temperatura ciasta ma wynosić 28o C, temperatura w pomieszczeniu wynosi 25o C, temperatura mąki wynosi 19o C. Temperatura dolewki wody powinna wynosić a) 38o C. b) 40o C. c) 28o C. d) 4o C. 19. Liczba glutenowa mieszanki sporządzonej z mąki A i mąki C ma wynosić 45. Liczba glutenowa mąki A wynosi 70, a mąki C – 35. Na jeden kilogram mąki o liczbie glutenowej 35 należy użyć a) 2,5 kg mąki o liczbie glutenowej 70. b) 0,4 kg mąki o liczbie glutenowej 70. c) 0,25 kg mąki o liczbie glutenowej 70. d) 4 kg mąki o liczbie glutenowej 70.
  • 48.
    „Projekt współfinansowany ześrodków Europejskiego Funduszu Społecznego” 46 20. Przygotowanie drożdży do produkcji polega na a) rozprowadzeniu drożdży w solance. b) wymieszaniu drożdży z niewielką ilością cukru. c) rozprowadzeniu drożdży w wodzie o temperaturze około 30o C. d) pozostawieniu w cieple na około pół godziny.
  • 49.
    „Projekt współfinansowany ześrodków Europejskiego Funduszu Społecznego” 47 KARTA ODPOWIEDZI Imię i nazwisko ............................................................................... Przygotowanie surowców do produkcji pieczywa Zakreśl poprawną odpowiedź. Nr zadania Odpowiedzi Punkty 1 a b c d 2 a b c d 3 a b c d 4 a b c d 5 a b c d 6 a b c d 7 a b c d 8 a b c d 9 a b c d 10 a b c d 11 a b c d 12 a b c d 13 a b c d 14 a b c d 15 a b c d 16 a b c d 17 a b c d 18 a b c d 19 a b c d 20 a b c d Razem:
  • 50.
    „Projekt współfinansowany ześrodków Europejskiego Funduszu Społecznego” 48 6. LITERATURA 1. Ambroziak Z.: Produkcja piekarsko-ciastkarska, część 1, WSiP, Warszawa 2004 2. Ambroziak Z.: Produkcja piekarsko-ciastkarska, część 2, WSiP, Warszawa 2004 3. Deschamps B., Deschaintre J. C.: Ciastkarstwo. Podręcznik do nauki zawodu cukiernik, REA 4. Horubałowa A., Haber T.: Analiza techniczna w piekarstwie, WSiP, Warszawa 1990 5. Reński A.: Piekarstwo. Technologia dla szkół zasadniczych, cz.1, WSiP, Warszawa 2004 6. Reński A.: Piekarstwo. Technologia dla szkół zasadniczych, cz.2, WSiP, Warszawa 1998 7. Woźniakowski A. (red.): Receptury, normy i porady piekarskie, Wydawnictwo Spółdzielcze 1993 8. www.pest.pl