Zero order & first order
pharmacokinetics
Available on Slideshare
from May 09, 2017 09.30 PM
Amit ka PPT
(Amit’s PPT)
Dr. Amit Ratn Gangwal Jain
(MPharm., PhD.)
Absorption of drug
The systemic drug absorption from the GIT
or other extra-vascular site is dependent on
1. the physicochemical properties of the drug,
2. the type and design of dosage form &
3. the anatomy and physiology of the drug
absorption site.
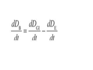
• The rate of change in the amount of drug
in the body (dDB/dt), depends on the
relative rates of drug absorption and
elimination.
• The net rate of drug accumulation in the
body at any time is equal to the rate of
drug absorption minus the rate of drug
elimination, regardless of whether
absorption rate is zero order or first order.
• DGI : The amount of drug in the
gastrointestinal tract
• DE : The amount of drug eliminated.
• During the absorption phase of a
plasma level–time curve the rate of
drug absorption is greater than the rate
of drug elimination.
• During the absorption phase,
elimination occurs whenever drug is
present in the plasma, even though
absorption predominates.
Zero order kinetics
In 0 order kinetics a constant amount of
drug is eliminated/per unit time.
This is a state
at which the rate of an
enzyme reaction is
independent of the
concentration of the
substrate/drug
administered.
Zero-order process takes
place at a fixed rate,
independent of the
existing concentration/
initial concentration
Half life depends on initial drug
concentration. At some time, the zero
order process comes to an end. E. g. :
IV infusions, controlled/sustained drug
delivery systems, carrier based
processes after saturation.
For example 10mg of a drug may be
eliminated per hour, this rate of
elimination is constant and is
independent of the total drug
concentration in the body (plasma).
To make it seem easier
• A patient was given 100 mg of drug A orally. Assume
that the drug absorption follows zero-order kinetics at
a rate of 10 mg/min. It means for every minute, 10 mg
of the drug will undergo absorption.
• It means after 6 minutes, 6 x 10 mg = 60 mg drug will
be absorbed.
• Similarly 80 mg will be absorbed after 8 minutes.
• It means it will take 10 minutes for complete
absorption of drug and the process comes to an end.
• It means in each unit time a fixed amount of drug will
be absorbed, come what may (in normal physiological
conditions).
• First-order process takes place at a
constant proportion of the drug
concentration available at that time so
the process is dependent on the initial
concentration.
First order kinetics
• Half life does not depend on concentration
and is a constant value. E. g. : absorption,
distribution, metabolism and excretion (not
linked with carrier or unsaturable state if
linked with carriers).
• A patient was given 100 mg of drug orally and it was assumed to be
following I order kinetics then a proportion of 10% per minute, of the
existing concentration at that time will be absorbed.
• So, in first minute 10% of initial drug i.e., 10 mg will be absorbed.
• In the second minute again 10% will be absorbed but here the drug
remained for absorption (after first minute) is 100-10=90 mg only. So
10% of 90 mg will be absorbed in the second minute. Then how much it
will be: 9 mg. So, at the end of second minute, 81 mg will be remained
for absorption.
• In third minute again 10%, but 10% of 81 mg i.e., 8.1 mg will be
absorbed.
• Similarly in 4th minute, 10% of 72.9 mg i.e., 7.29 mg will be absorbed.
• After some time, if 1 mg is remained to be absorbed, then also 10% of
that 1 mg only will be absorbed. That means the first-order process
never comes to an end since it takes place at certain proportion of the
concentration existing at that time.
To make it seem easier
To sum the process, I am using few well
illustrated images from net with
acknowledging their source with.
https://i.ytimg.com/vi/XEotDfKhNTw/
maxresdefault.jpg
• Source for last image.
Next image shows drug
absorption.
https://i.ytimg.com/vi/3Bw6kci87Wk/
maxresdefault.jpg
• These images explain the concept very
beautifully, so I am not writing even a single
word from my side. Thanks to original
creator.
Next image shows drug
elimination.
http://tmedweb.tulane.edu/pharmwik
i/lib/exe/fetch.php/pk.png
http://www.themednote.com/wp-
content/gallery/basic-science/pharmacoloy/pharm-
basic/drug-metabolism.jpg
What is the trend ?
• For most sites of administration drug
absorption follows first order kinetics &
for most routes of elimination the
process also is first order or
exponential.
sepia.unil.ch/pharmacology/index.php?id=94
95% of the drugs (at therapeutic dose) are
eliminated by first order elimination kinetics.
A few substances reflect zero-
order elimination kinetics as their elimination
process is saturated.
Examples are Ethanol, Phenytoin, Salicylates,
Cisplatin, Fluoxetin, Omeprazol.
In pharmacokinetics, the overall rate of
drug absorption may be described as
either a I order or 0 order process.
Most pharmacokinetic models presume
first-order absorption unless zero-order
model assumption improves the model
appreciably or has been verified
experimentally.
Why it is so ?
For most drugs, absorption and
elimination follow first order kinetics
because the drug concentration is not
sufficient to saturate the mechanism
for absorption or elimination. If the
process saturates, then zero order
kinetics fits the model.
Zero order and first order kinetiks

Zero order and first order kinetiks

  • 1.
    Zero order &first order pharmacokinetics Available on Slideshare from May 09, 2017 09.30 PM Amit ka PPT (Amit’s PPT) Dr. Amit Ratn Gangwal Jain (MPharm., PhD.)
  • 2.
  • 3.
    The systemic drugabsorption from the GIT or other extra-vascular site is dependent on 1. the physicochemical properties of the drug, 2. the type and design of dosage form & 3. the anatomy and physiology of the drug absorption site.
  • 4.
    • The rateof change in the amount of drug in the body (dDB/dt), depends on the relative rates of drug absorption and elimination. • The net rate of drug accumulation in the body at any time is equal to the rate of drug absorption minus the rate of drug elimination, regardless of whether absorption rate is zero order or first order.
  • 6.
    • DGI :The amount of drug in the gastrointestinal tract • DE : The amount of drug eliminated. • During the absorption phase of a plasma level–time curve the rate of drug absorption is greater than the rate of drug elimination. • During the absorption phase, elimination occurs whenever drug is present in the plasma, even though absorption predominates.
  • 8.
    Zero order kinetics In0 order kinetics a constant amount of drug is eliminated/per unit time. This is a state at which the rate of an enzyme reaction is independent of the concentration of the substrate/drug administered. Zero-order process takes place at a fixed rate, independent of the existing concentration/ initial concentration
  • 9.
    Half life dependson initial drug concentration. At some time, the zero order process comes to an end. E. g. : IV infusions, controlled/sustained drug delivery systems, carrier based processes after saturation. For example 10mg of a drug may be eliminated per hour, this rate of elimination is constant and is independent of the total drug concentration in the body (plasma).
  • 10.
    To make itseem easier • A patient was given 100 mg of drug A orally. Assume that the drug absorption follows zero-order kinetics at a rate of 10 mg/min. It means for every minute, 10 mg of the drug will undergo absorption. • It means after 6 minutes, 6 x 10 mg = 60 mg drug will be absorbed. • Similarly 80 mg will be absorbed after 8 minutes. • It means it will take 10 minutes for complete absorption of drug and the process comes to an end. • It means in each unit time a fixed amount of drug will be absorbed, come what may (in normal physiological conditions).
  • 11.
    • First-order processtakes place at a constant proportion of the drug concentration available at that time so the process is dependent on the initial concentration. First order kinetics • Half life does not depend on concentration and is a constant value. E. g. : absorption, distribution, metabolism and excretion (not linked with carrier or unsaturable state if linked with carriers).
  • 12.
    • A patientwas given 100 mg of drug orally and it was assumed to be following I order kinetics then a proportion of 10% per minute, of the existing concentration at that time will be absorbed. • So, in first minute 10% of initial drug i.e., 10 mg will be absorbed. • In the second minute again 10% will be absorbed but here the drug remained for absorption (after first minute) is 100-10=90 mg only. So 10% of 90 mg will be absorbed in the second minute. Then how much it will be: 9 mg. So, at the end of second minute, 81 mg will be remained for absorption. • In third minute again 10%, but 10% of 81 mg i.e., 8.1 mg will be absorbed. • Similarly in 4th minute, 10% of 72.9 mg i.e., 7.29 mg will be absorbed. • After some time, if 1 mg is remained to be absorbed, then also 10% of that 1 mg only will be absorbed. That means the first-order process never comes to an end since it takes place at certain proportion of the concentration existing at that time. To make it seem easier
  • 13.
    To sum theprocess, I am using few well illustrated images from net with acknowledging their source with.
  • 14.
  • 15.
    Next image showsdrug absorption.
  • 17.
    https://i.ytimg.com/vi/3Bw6kci87Wk/ maxresdefault.jpg • These imagesexplain the concept very beautifully, so I am not writing even a single word from my side. Thanks to original creator.
  • 18.
    Next image showsdrug elimination.
  • 19.
  • 20.
  • 21.
    What is thetrend ? • For most sites of administration drug absorption follows first order kinetics & for most routes of elimination the process also is first order or exponential.
  • 22.
    sepia.unil.ch/pharmacology/index.php?id=94 95% of thedrugs (at therapeutic dose) are eliminated by first order elimination kinetics. A few substances reflect zero- order elimination kinetics as their elimination process is saturated. Examples are Ethanol, Phenytoin, Salicylates, Cisplatin, Fluoxetin, Omeprazol.
  • 23.
    In pharmacokinetics, theoverall rate of drug absorption may be described as either a I order or 0 order process. Most pharmacokinetic models presume first-order absorption unless zero-order model assumption improves the model appreciably or has been verified experimentally.
  • 24.
    Why it isso ? For most drugs, absorption and elimination follow first order kinetics because the drug concentration is not sufficient to saturate the mechanism for absorption or elimination. If the process saturates, then zero order kinetics fits the model.