Miscellaneous Dynamics
         Questions
e.g. (i) (1992) – variable angular velocity
                            The diagram shows a model train T that is
                            moving around a circular track, centre O
                            and radius a metres.
                            The train is travelling at a constant speed of
                            u m/s. The point N is in the same plane as
                            the track and is x metres from the nearest
                            point on the track. The line NO produced
                            meets the track at S.
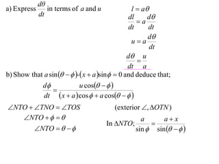
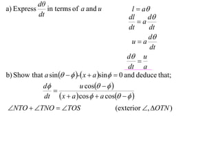
Let TNS   and TOS   as in the diagram
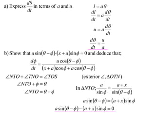
dθ
a) Express      in terms of a and u
             dt
dθ
a) Express      in terms of a and u   l  a
             dt
dθ
a) Express      in terms of a and u    l  a
             dt                       dl     d
                                         a
                                      dt     dt
dθ
a) Express      in terms of a and u     l  a
             dt                        dl     d
                                          a
                                       dt     dt
                                              d
                                        ua
                                               dt
                                      d u
                                          
                                      dt a
dθ
a) Express      in terms of a and u              l  a
             dt                                 dl     d
                                                   a
                                                dt     dt
                                                       d
                                                 ua
                                                        dt
                                               d u
                                                   
                                               dt a
b) Show that a sin    - x  a sin  0 and deduce that;
            d              u cos   
                 
             dt  x  a  cos   a cos   
dθ
a) Express      in terms of a and u              l  a
             dt                                 dl     d
                                                   a
                                                dt     dt
                                                       d
                                                 ua
                                                        dt
                                               d u
                                                   
                                               dt a
b) Show that a sin    - x  a sin  0 and deduce that;
            d              u cos   
                 
             dt  x  a  cos   a cos   
NTO  TNO  TOS                      (exterior , OTN )
dθ
a) Express      in terms of a and u              l  a
             dt                                 dl     d
                                                   a
                                                dt     dt
                                                       d
                                                 ua
                                                        dt
                                               d u
                                                   
                                               dt a
b) Show that a sin    - x  a sin  0 and deduce that;
            d              u cos   
                 
             dt  x  a  cos   a cos   
NTO  TNO  TOS                      (exterior , OTN )
   NTO    
       NTO    
dθ
a) Express      in terms of a and u              l  a
             dt                                 dl     d
                                                   a
                                                dt     dt
                                                       d
                                                 ua
                                                        dt
                                               d u
                                                   
                                               dt a
b) Show that a sin    - x  a sin  0 and deduce that;
            d              u cos   
                 
             dt  x  a  cos   a cos   
NTO  TNO  TOS                      (exterior , OTN )
   NTO                                      a      ax
                                      In NTO;      
       NTO                                sin  sin    
dθ
a) Express      in terms of a and u              l  a
             dt                                 dl     d
                                                   a
                                                dt     dt
                                                       d
                                                 ua
                                                        dt
                                               d u
                                                   
                                               dt a
b) Show that a sin    - x  a sin  0 and deduce that;
            d              u cos   
                 
             dt  x  a  cos   a cos   
NTO  TNO  TOS                        (exterior , OTN )
   NTO                                      a      ax
                                      In NTO;      
       NTO                                sin  sin    
                                           a sin      a  x  sin 
                          a sin      a  x  sin   0
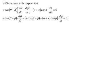
differentiate with respect to t
              d  d   a  x  cos  d  0
a cos                           
              dt dt                     dt
differentiate with respect to t

a cos    d  d   a  x  cos  d  0
                                        
               dt dt                       dt
                d                                      d
a cos         a cos     a  x  cos      0
                dt                                      dt
differentiate with respect to t

a cos    d  d   a  x  cos  d  0
                                        
               dt dt                       dt
                d                                      d
a cos         a cos     a  x  cos      0
                dt                                      dt
a cos     a  x  cos   d  a cos     u
                                   dt                    a
differentiate with respect to t

a cos    d  d   a  x  cos  d  0
                                        
               dt dt                       dt
                d                                      d
a cos         a cos     a  x  cos      0
                dt                                      dt
a cos     a  x  cos   d  a cos     u
                                   dt                    a
                                   d            u cos   
                                      
                                   dt a cos     a  x  cos 
differentiate with respect to t

a cos    d  d   a  x  cos  d  0
                                         
               dt dt                       dt
                d                                      d
a cos         a cos     a  x  cos      0
                dt                                      dt
 a cos     a  x  cos   d  a cos     u
                                    dt                   a
                                    d           u cos   
                                       
                                    dt a cos     a  x  cos 
                d
c) Show that        0 when NT is tangential to the track.
                dt
   when NT is a tangent;
differentiate with respect to t

a cos    d  d   a  x  cos  d  0
                                         
               dt dt                       dt
                d                                      d
a cos         a cos     a  x  cos      0
                dt                                      dt
 a cos     a  x  cos   d  a cos     u
                                    dt                   a
                                    d           u cos   
                                       
                                    dt a cos     a  x  cos 
                d
c) Show that        0 when NT is tangential to the track.
                dt                                                      T

                                                  N                     O
differentiate with respect to t

a cos    d  d   a  x  cos  d  0
                                         
               dt dt                       dt
                d                                      d
a cos         a cos     a  x  cos      0
                dt                                      dt
 a cos     a  x  cos   d  a cos     u
                                    dt                   a
                                    d           u cos   
                                       
                                    dt a cos     a  x  cos 
                d
c) Show that        0 when NT is tangential to the track.
                dt                                                      T
   when NT is a tangent;

                                                  N                     O
differentiate with respect to t

a cos    d  d   a  x  cos  d  0
                                         
               dt dt                       dt
                d                                      d
a cos         a cos     a  x  cos      0
                dt                                      dt
 a cos     a  x  cos   d  a cos     u
                                    dt                   a
                                    d           u cos   
                                       
                                    dt a cos     a  x  cos 
                d
c) Show that        0 when NT is tangential to the track.
                dt                                                      T
   when NT is a tangent;
  NTO  90           (tangent  radius)
                                                   N                    O
differentiate with respect to t

a cos    d  d   a  x  cos  d  0
                                         
               dt dt                       dt
                d                                      d
a cos         a cos     a  x  cos      0
                dt                                      dt
 a cos     a  x  cos   d  a cos     u
                                    dt                   a
                                    d           u cos   
                                       
                                    dt a cos     a  x  cos 
                d
c) Show that        0 when NT is tangential to the track.
                dt                                                      T
   when NT is a tangent;
  NTO  90           (tangent  radius)
                                                   N                    O
     90
differentiate with respect to t

a cos    d  d   a  x  cos  d  0
                                         
               dt dt                       dt
                d                                      d
a cos         a cos     a  x  cos      0
                dt                                      dt
 a cos     a  x  cos   d  a cos     u
                                    dt                   a
                                    d           u cos   
                                       
                                    dt a cos     a  x  cos 
                d
c) Show that         0 when NT is tangential to the track.
                dt                                                      T
   when NT is a tangent;
  NTO  90            (tangent  radius)
                                                   N                    O
     90
 d             u cos 90
     
  dt a cos 90  a  x  cos 
differentiate with respect to t

a cos    d  d   a  x  cos  d  0
                                         
               dt dt                       dt
                d                                      d
a cos         a cos     a  x  cos       0
                dt                                      dt
 a cos     a  x  cos   d  a cos     u
                                    dt                   a
                                    d           u cos   
                                       
                                    dt a cos     a  x  cos 
                d
c) Show that         0 when NT is tangential to the track.
                dt                                                      T
   when NT is a tangent;
  NTO  90            (tangent  radius)
                                                   N                    O
     90
 d             u cos 90                                  d
                                                            0
  dt a cos 90  a  x  cos                             dt
d) Suppose that x = a
                                                             3
   Show that the train’s angular velocity about N when   is
   times the angular velocity about N when   0          2   5
d) Suppose that x = a
                                                             3
   Show that the train’s angular velocity about N when   is
   times the angular velocity about N when   0          2   5
             
  when  
             2
d) Suppose that x = a
                                                             3
   Show that the train’s angular velocity about N when   is
   times the angular velocity about N when   0          2   5
               
    when  
               2
                   T



      
N                  O
d) Suppose that x = a
                                                             3
   Show that the train’s angular velocity about N when   is
   times the angular velocity about N when   0          2   5
               
    when  
               2
                   T

                   a
      
N                  O
d) Suppose that x = a
                                                             3
   Show that the train’s angular velocity about N when   is
   times the angular velocity about N when   0          2   5
               
    when  
               2
                   T

                   a
      
N                  O
          2a
d) Suppose that x = a
                                                             3
   Show that the train’s angular velocity about N when   is
   times the angular velocity about N when   0          2   5
                
    when  
                2
                    T

          5a        a
      
N                   O
           2a
d) Suppose that x = a
                                                             3
   Show that the train’s angular velocity about N when   is
   times the angular velocity about N when   0          2   5
                
    when  
                2
                    T           2
                        cos  
          5a                     5
                    a
      
N                   O
           2a
d) Suppose that x = a
                                                             3
   Show that the train’s angular velocity about N when   is
   times the angular velocity about N when   0          2   5
                
    when  
                2
                    T           2
                        cos  
          5a                     5
                    a
                           
                     cos    
                         
                                1
N
           2a
                    O    2       5
d) Suppose that x = a
                                                             3
   Show that the train’s angular velocity about N when   is
   times the angular velocity about N when   0          2   5
                
    when  
                                                         
                2
                    T                             u cos    
                                2       d             2    
                        cos              
                                 5      dt             
          5a        a                        a cos     2a cos 
                                                  2     
                           
                     cos    
                         
                                1
N
           2a
                    O    2       5
d) Suppose that x = a
                                                             3
   Show that the train’s angular velocity about N when   is
   times the angular velocity about N when   0          2   5
                
    when  
                                                         
                2
                    T                             u cos    
                                2       d             2    
                        cos              
                                 5      dt             
          5a        a                        a cos     2a cos 
                                                  2     
                           
                      cos    
                                   1
                                                   1 
N
           2a
                    O    2        5              u 
                                                     5
                                                1   2a  2 
                                             a    
                                                5         5
d) Suppose that x = a
                                                             3
   Show that the train’s angular velocity about N when   is
   times the angular velocity about N when   0          2   5
                
    when  
                                                         
                2
                    T                             u cos    
                                2       d             2    
                        cos              
                                 5      dt             
          5a        a                        a cos     2a cos 
                                                  2     
                           
                      cos    
                                   1
                                                   1 
N
           2a
                    O    2        5              u 
                                                     5
                                                1   2a  2 
                                              a    
                                                5         5
                                               u
                                            
                                              5a
d) Suppose that x = a
                                                             3
   Show that the train’s angular velocity about N when   is
   times the angular velocity about N when   0          2   5
                 
     when  
                                                          
                 2
                     T                             u cos    
                                 2       d             2    
                         cos              
                                  5      dt             
           5a        a                        a cos     2a cos 
                                                   2     
                            
                       cos    
                                    1
                                                    1 
N
            2a
                     O    2        5              u 
                                                      5
    when   0                                   1   2a  2 
                                               a    
                                                 5         5
                                                u
                                             
                                               5a
d) Suppose that x = a
                                                             3
   Show that the train’s angular velocity about N when   is
   times the angular velocity about N when   0          2   5
                 
     when  
                                                          
                 2
                     T                             u cos    
                                 2       d             2    
                         cos              
                                  5      dt             
           5a        a                        a cos     2a cos 
                                                   2     
                            
                       cos    
                                    1
                                                    1 
N
            2a
                     O    2        5              u 
                                                      5
    when   0                                   1   2a  2 
                                               a    
    d         u cos 0                           5         5
       
     dt a cos 0  2a cos 0                      u
                                             
                                               5a
d) Suppose that x = a
                                                             3
   Show that the train’s angular velocity about N when   is
   times the angular velocity about N when   0          2   5
                 
     when  
                                                          
                 2
                     T                             u cos    
                                 2       d             2    
                         cos              
                                  5      dt             
           5a        a                        a cos     2a cos 
                                                   2     
                            
                       cos    
                                    1
                                                    1 
N
            2a
                     O    2        5              u 
                                                      5
    when   0                                   1   2a  2 
                                               a    
    d         u cos 0                           5         5
       
     dt a cos 0  2a cos 0                      u
          u                                  
                                              5a
          3a
d) Suppose that x = a
                                                             3
   Show that the train’s angular velocity about N when   is
   times the angular velocity about N when   0          2   5
                 
     when  
                                                          
                 2
                     T                             u cos    
                                 2       d             2    
                         cos              
                                  5      dt             
           5a        a                        a cos     2a cos 
                                                   2     
                            
                       cos    
                                    1
                                                    1 
N
            2a
                     O    2        5              u 
                                                      5
    when   0                                   1   2a  2 
                                               a    
    d         u cos 0                           5         5
       
     dt a cos 0  2a cos 0                      u
          u                                  
                                              5a
          3a
          5 u
        
          3 5a
d) Suppose that x = a
                                                             3
   Show that the train’s angular velocity about N when   is
   times the angular velocity about N when   0          2   5
              
   when  
                                                             
              2
                    T                                 u cos    
                               2           d              2    
                      cos                   
                                5          dt              
        5a          a                            a cos     2a cos 
                                                      2     
                            
                      cos    
                                     1
                                                       1 
N
         2a
                    O     2         5                u 
                                                         5
  when   0                                        1   2a  2 
                                                 a    
  d         u cos 0                                5         5
     
   dt a cos 0  2a cos 0                          u
         u                                     
                                                 5a
        3a                                                     3
                         Thus the angular velocity when   is times
        5 u                                                   2 5
       
        3 5a             the angular velocity when   0
(ii) (2000)          A string of length l is initially vertical and has a mass
                     P of m kg attached to it. The mass P is given a
                     horizontal velocity of magnitude V and begins to
                     move along the arc of a circle in a counterclockwise
                     direction.
                     Let O be the centre of this circle and A the initial
                                                                          ds
                     position of P. Let s denote the arc length AP, v       ,
                                                                          dt
  AOP and let the tension in the string be T. The acceleration due to
 gravity is g and there are no frictional forces acting on P.
 For parts a) to d), assume the mass is moving along the circle.
(ii) (2000)         A string of length l is initially vertical and has a mass
                     P of m kg attached to it. The mass P is given a
                     horizontal velocity of magnitude V and begins to
                     move along the arc of a circle in a counterclockwise
                     direction.
                     Let O be the centre of this circle and A the initial
                                                                           ds
                     position of P. Let s denote the arc length AP, v        ,
                                                                           dt
  AOP and let the tension in the string be T. The acceleration due to
 gravity is g and there are no frictional forces acting on P.
 For parts a) to d), assume the mass is moving along the circle.
                                                               d 2s 1 d  1 2 
a) Show that the tangential acceleration of P is given by 2               v 
                                                               dt    l d  2 
(ii) (2000)         A string of length l is initially vertical and has a mass
                     P of m kg attached to it. The mass P is given a
                     horizontal velocity of magnitude V and begins to
                     move along the arc of a circle in a counterclockwise
                     direction.
                     Let O be the centre of this circle and A the initial
                                                                           ds
                     position of P. Let s denote the arc length AP, v        ,
                                                                           dt
  AOP and let the tension in the string be T. The acceleration due to
 gravity is g and there are no frictional forces acting on P.
 For parts a) to d), assume the mass is moving along the circle.
                                                               d 2s 1 d  1 2 
a) Show that the tangential acceleration of P is given by 2               v 
                                                               dt    l d  2 
  s  l
(ii) (2000)         A string of length l is initially vertical and has a mass
                     P of m kg attached to it. The mass P is given a
                     horizontal velocity of magnitude V and begins to
                     move along the arc of a circle in a counterclockwise
                     direction.
                     Let O be the centre of this circle and A the initial
                                                                           ds
                     position of P. Let s denote the arc length AP, v        ,
                                                                           dt
  AOP and let the tension in the string be T. The acceleration due to
 gravity is g and there are no frictional forces acting on P.
 For parts a) to d), assume the mass is moving along the circle.
                                                               d 2s 1 d  1 2 
a) Show that the tangential acceleration of P is given by 2               v 
                                                               dt    l d  2 
  s  l
    ds
 v
     dt
    d
 l
    dt
(ii) (2000)         A string of length l is initially vertical and has a mass
                     P of m kg attached to it. The mass P is given a
                     horizontal velocity of magnitude V and begins to
                     move along the arc of a circle in a counterclockwise
                     direction.
                     Let O be the centre of this circle and A the initial
                                                                           ds
                     position of P. Let s denote the arc length AP, v        ,
                                                                           dt
  AOP and let the tension in the string be T. The acceleration due to
 gravity is g and there are no frictional forces acting on P.
 For parts a) to d), assume the mass is moving along the circle.
                                                               d 2s 1 d  1 2 
a) Show that the tangential acceleration of P is given by 2               v 
                                                               dt    l d  2 
  s  l            d s dv
                      2
                          
      ds            dt  2
                            dt
  v
      dt
     d
  l
      dt
(ii) (2000)         A string of length l is initially vertical and has a mass
                     P of m kg attached to it. The mass P is given a
                     horizontal velocity of magnitude V and begins to
                     move along the arc of a circle in a counterclockwise
                     direction.
                     Let O be the centre of this circle and A the initial
                                                                           ds
                     position of P. Let s denote the arc length AP, v        ,
                                                                           dt
  AOP and let the tension in the string be T. The acceleration due to
 gravity is g and there are no frictional forces acting on P.
 For parts a) to d), assume the mass is moving along the circle.
                                                               d 2s 1 d  1 2 
a) Show that the tangential acceleration of P is given by 2               v 
                                                               dt    l d  2 
  s  l            d s dv
                      2
                          
      ds            dt  2
                            dt
  v                        dv d
      dt                      
     d                     d dt
  l
      dt
(ii) (2000)         A string of length l is initially vertical and has a mass
                     P of m kg attached to it. The mass P is given a
                     horizontal velocity of magnitude V and begins to
                     move along the arc of a circle in a counterclockwise
                     direction.
                     Let O be the centre of this circle and A the initial
                                                                           ds
                     position of P. Let s denote the arc length AP, v        ,
                                                                           dt
  AOP and let the tension in the string be T. The acceleration due to
 gravity is g and there are no frictional forces acting on P.
 For parts a) to d), assume the mass is moving along the circle.
                                                               d 2s 1 d  1 2 
a) Show that the tangential acceleration of P is given by 2               v 
                                                               dt    l d  2 
  s  l            d s dv
                      2
                          
      ds            dt  2
                            dt
  v                        dv d
      dt                      
     d                     d dt
  l
      dt                    dv v
                              
                            d l
(ii) (2000)         A string of length l is initially vertical and has a mass
                     P of m kg attached to it. The mass P is given a
                     horizontal velocity of magnitude V and begins to
                     move along the arc of a circle in a counterclockwise
                     direction.
                     Let O be the centre of this circle and A the initial
                                                                           ds
                     position of P. Let s denote the arc length AP, v        ,
                                                                           dt
  AOP and let the tension in the string be T. The acceleration due to
 gravity is g and there are no frictional forces acting on P.
 For parts a) to d), assume the mass is moving along the circle.
                                                               d 2s 1 d  1 2 
a) Show that the tangential acceleration of P is given by 2               v 
                                                               dt    l d  2 
  s  l            d s dv
                      2                       1 dv
                                             v
                        
      ds            dt 2 dt                   l d
  v                       dv d
      dt                     
     d                    d dt
  l
      dt                   dv v
                             
                           d l
(ii) (2000)         A string of length l is initially vertical and has a mass
                     P of m kg attached to it. The mass P is given a
                     horizontal velocity of magnitude V and begins to
                     move along the arc of a circle in a counterclockwise
                     direction.
                     Let O be the centre of this circle and A the initial
                                                                           ds
                     position of P. Let s denote the arc length AP, v        ,
                                                                           dt
  AOP and let the tension in the string be T. The acceleration due to
 gravity is g and there are no frictional forces acting on P.
 For parts a) to d), assume the mass is moving along the circle.
                                                               d 2s 1 d  1 2 
a) Show that the tangential acceleration of P is given by 2               v 
                                                               dt    l d  2 
  s  l            d s dv
                      2                       1 dv
                                             v
                        
      ds            dt 2 dt                   l d
  v                                          1 dv d 1
      dt                   dv d               v2        
                                            l d dv  2 
     d                    d dt
  l
      dt                   dv v
                             
                           d l
(ii) (2000)         A string of length l is initially vertical and has a mass
                     P of m kg attached to it. The mass P is given a
                     horizontal velocity of magnitude V and begins to
                     move along the arc of a circle in a counterclockwise
                     direction.
                     Let O be the centre of this circle and A the initial
                                                                           ds
                     position of P. Let s denote the arc length AP, v        ,
                                                                           dt
  AOP and let the tension in the string be T. The acceleration due to
 gravity is g and there are no frictional forces acting on P.
 For parts a) to d), assume the mass is moving along the circle.
                                                               d 2s 1 d  1 2 
a) Show that the tangential acceleration of P is given by 2               v 
                                                               dt    l d  2 
  s  l            d s dv
                      2                       1 dv
                                             v
                        
      ds            dt 2 dt                   l d
  v                                          1 dv d 1
      dt                   dv d               v2        
                                            l d dv  2 
     d                    d dt
  l                                          1 d 1 2 
      dt                   dv v                    v 
                                            l d  2 
                           d l
1 d 1 2 
b) Show that the equation of motion of P is       v    g sin 
                                            l d  2 
1 d 1 2 
b) Show that the equation of motion of P is       v    g sin 
                                            l d  2 
1 d 1 2 
b) Show that the equation of motion of P is       v    g sin 
                                            l d  2 
       T
1 d 1 2 
b) Show that the equation of motion of P is       v    g sin 
                                            l d  2 
       T

            mg
1 d 1 2 
b) Show that the equation of motion of P is       v    g sin 
                                            l d  2 
       T
               
            mg
1 d 1 2 
b) Show that the equation of motion of P is       v    g sin 
                                            l d  2 
       T
               
            mg
                        mg sin 
1 d 1 2 
b) Show that the equation of motion of P is       v    g sin 
                                            l d  2 
       T                      m
                               s
               
            mg
                        mg sin 
1 d 1 2 
b) Show that the equation of motion of P is       v    g sin 
                                            l d  2 
       T                      m
                               s                  m   mg sin 
                                                   s
               
            mg
                        mg sin 
1 d 1 2 
b) Show that the equation of motion of P is       v    g sin 
                                            l d  2 
       T                      m
                               s                  m   mg sin 
                                                    s
               
            mg                                        g sin 
                                                   s
                        mg sin 
1 d 1 2 
b) Show that the equation of motion of P is       v    g sin 
                                            l d  2 
       T                      m
                               s                  m   mg sin 
                                                    s
               
            mg                                        g sin 
                                                   s
                        mg sin 
                                          1 d 1 2 
                                                v    g sin 
                                          l d  2 
1 d 1 2 
b) Show that the equation of motion of P is       v    g sin 
                                            l d  2 
        T                         m
                                   s                  m   mg sin 
                                                        s
                 
              mg                                          g sin 
                                                       s
                            mg sin 
                                              1 d 1 2 
                                                    v    g sin 
                                              l d  2 
c) Deduce that V 2  v 2  2 gl 1  cos 
1 d 1 2 
b) Show that the equation of motion of P is       v    g sin 
                                            l d  2 
        T                         m
                                   s                  m   mg sin 
                                                        s
                 
              mg                                          g sin 
                                                       s
                            mg sin 
                                              1 d 1 2 
                                                    v    g sin 
                                              l d  2 
c) Deduce that V 2  v 2  2 gl 1  cos 
   1 d 1 2 
         v    g sin 
   l d  2 
1 d 1 2 
b) Show that the equation of motion of P is       v    g sin 
                                            l d  2 
        T                         m
                                   s                  m   mg sin 
                                                        s
                 
              mg                                          g sin 
                                                       s
                            mg sin 
                                              1 d 1 2 
                                                    v    g sin 
                                              l d  2 
c) Deduce that V 2  v 2  2 gl 1  cos 
   1 d 1 2 
         v    g sin 
   l d  2 
     d 1 2 
        v    gl sin 
    d  2 
1 d 1 2 
b) Show that the equation of motion of P is       v    g sin 
                                            l d  2 
        T                          m
                                    s                 m   mg sin 
                                                        s
                 
              mg                                          g sin 
                                                       s
                              mg sin 
                                              1 d 1 2 
                                                    v    g sin 
                                              l d  2 
c) Deduce that V 2  v 2  2 gl 1  cos 
   1 d 1 2 
           v    g sin 
   l d  2 
     d 1 2 
         v    gl sin 
    d  2 
     1 2
        v  gl cos  c
      2
        v 2  2 gl cos  c
1 d 1 2 
b) Show that the equation of motion of P is       v    g sin 
                                            l d  2 
        T                          m
                                    s                 m   mg sin 
                                                        s
                 
              mg                                          g sin 
                                                       s
                              mg sin 
                                              1 d 1 2 
                                                    v    g sin 
                                              l d  2 
c) Deduce that V 2  v 2  2 gl 1  cos 
                                                when   0, v  V
   1 d 1 2 
           v    g sin                      V 2  2 gl  c
   l d  2 
                                                c  V 2  2 gl
     d 1 2 
         v    gl sin 
    d  2 
     1 2
        v  gl cos  c
      2
        v 2  2 gl cos  c
1 d 1 2 
b) Show that the equation of motion of P is       v    g sin 
                                            l d  2 
        T                          m
                                    s                     m   mg sin 
                                                            s
                 
              mg                                              g sin 
                                                           s
                              mg sin 
                                                1 d 1 2 
                                                      v    g sin 
                                                l d  2 
c) Deduce that V 2  v 2  2 gl 1  cos 
                                                    when   0, v  V
   1 d 1 2 
           v    g sin                         V 2  2 gl  c
   l d  2 
                                                    c  V 2  2 gl
     d 1 2 
         v    gl sin                     v 2  2 gl cos  V 2  2 gl
    d  2 
     1 2                                      V 2  v 2  2 gl  2 gl cos
        v  gl cos  c
      2                                       V 2  v 2  2 gl 1  cos 
        v 2  2 gl cos  c
1 2
d) Explain why T-mg cos θ  mv
                           l
1 2
d) Explain why T-mg cos θ  mv
                           l
1 2
d) Explain why T-mg cos θ  mv
                           l
      T
1 2
d) Explain why T-mg cos θ  mv
                           l
      T     mg cos
1 2
d) Explain why T-mg cos θ  mv
                           l
      T     mg cos
    m
     x
1 2
d) Explain why T-mg cos θ  mv
                           l
      T     mg cos              m  T  mg cos
                                  x
    m
     x
1 2
d) Explain why T-mg cos θ  mv
                           l
      T     mg cos                    m  T  mg cos
                                         x
     m
       x                 But, the resultant force towards the centre is
                         centripetal force.
1 2
d) Explain why T-mg cos θ  mv
                           l
      T     mg cos                    m  T  mg cos
                                         x
     m
       x                 But, the resultant force towards the centre is
                         centripetal force.
                                       mv 2
                                             T  mg cos
                                         l
                                              1 2
                              T  mg cos  mv
                                              l
1 2
d) Explain why T-mg cos θ  mv
                           l
      T     mg cos                    m  T  mg cos
                                         x
     m
       x                 But, the resultant force towards the centre is
                         centripetal force.
                                       mv 2
                                             T  mg cos
                                         l
                                              1 2
                              T  mg cos  mv
                                              l
e) Suppose that V 2  3 gl. Find the value of  at which T  0
1 2
d) Explain why T-mg cos θ  mv
                           l
      T     mg cos                    m  T  mg cos
                                         x
     m
       x                 But, the resultant force towards the centre is
                         centripetal force.
                                       mv 2
                                             T  mg cos
                                         l
                                              1 2
                              T  mg cos  mv
                                              l
e) Suppose that V 2  3 gl. Find the value of  at which T  0
 T  mg cos  mV 2  2 gl 1  cos 
                 1
                 l
1 2
d) Explain why T-mg cos θ  mv
                           l
      T     mg cos                    m  T  mg cos
                                         x
     m
       x                 But, the resultant force towards the centre is
                         centripetal force.
                                       mv 2
                                             T  mg cos
                                         l
                                              1 2
                              T  mg cos  mv
                                              l
e) Suppose that V 2  3 gl. Find the value of  at which T  0
 T  mg cos  mV 2  2 gl 1  cos 
                 1
                 l
                1
 0  mg cos  m3 gl  2 gl 1  cos 
                l
1 2
d) Explain why T-mg cos θ  mv
                           l
      T     mg cos                    m  T  mg cos
                                         x
     m
       x                 But, the resultant force towards the centre is
                         centripetal force.
                                       mv 2
                                             T  mg cos
                                         l
                                              1 2
                              T  mg cos  mv
                                              l
e) Suppose that V 2  3 gl. Find the value of  at which T  0
 T  mg cos  mV 2  2 gl 1  cos 
                 1
                 l
                1
 0  mg cos  m3 gl  2 gl 1  cos 
                l
     mg cos  m g  2 g cos 
1 2
d) Explain why T-mg cos θ  mv
                           l
      T     mg cos                    m  T  mg cos
                                         x
     m
       x                 But, the resultant force towards the centre is
                         centripetal force.
                                       mv 2
                                             T  mg cos
                                         l
                                              1 2
                              T  mg cos  mv
                                              l
e) Suppose that V 2  3 gl. Find the value of  at which T  0
 T  mg cos  mV 2  2 gl 1  cos 
                 1
                 l
                1
 0  mg cos  m3 gl  2 gl 1  cos 
                l
     mg cos  m g  2 g cos 
    3mg cos   mg
1 2
d) Explain why T-mg cos θ  mv
                           l
      T     mg cos                    m  T  mg cos
                                         x
     m
       x                 But, the resultant force towards the centre is
                         centripetal force.
                                       mv 2
                                             T  mg cos
                                         l
                                              1 2
                              T  mg cos  mv
                                              l
e) Suppose that V 2  3 gl. Find the value of  at which T  0
 T  mg cos  mV 2  2 gl 1  cos 
                 1
                 l                                   cos  
                                                               1
                1
 0  mg cos  m3 gl  2 gl 1  cos                       3
                l
     mg cos  m g  2 g cos 
    3mg cos   mg
1 2
d) Explain why T-mg cos θ  mv
                           l
      T     mg cos                    m  T  mg cos
                                         x
     m
       x                 But, the resultant force towards the centre is
                         centripetal force.
                                       mv 2
                                             T  mg cos
                                         l
                                              1 2
                              T  mg cos  mv
                                              l
e) Suppose that V 2  3 gl. Find the value of  at which T  0
 T  mg cos  mV 2  2 gl 1  cos 
                 1
                 l                                   cos  
                                                               1
                1
 0  mg cos  m3 gl  2 gl 1  cos                       3
                l                                     1.911radians
     mg cos  m g  2 g cos 
    3mg cos   mg
f) Consider the situation in part e). Briefly describe, in words, the path of
   P after the tension T becomes zero.
f) Consider the situation in part e). Briefly describe, in words, the path of
   P after the tension T becomes zero.
  When T = 0, the particle would undergo projectile motion, i.e. it
  would follow a parabolic arc.
  Its initial velocity would be tangential to the circle with magnitude;
f) Consider the situation in part e). Briefly describe, in words, the path of
   P after the tension T becomes zero.
  When T = 0, the particle would undergo projectile motion, i.e. it
  would follow a parabolic arc.
  Its initial velocity would be tangential to the circle with magnitude;
               1 2
  T  mg cos  mv
               l
f) Consider the situation in part e). Briefly describe, in words, the path of
   P after the tension T becomes zero.
  When T = 0, the particle would undergo projectile motion, i.e. it
  would follow a parabolic arc.
  Its initial velocity would be tangential to the circle with magnitude;
                   1 2
  T  mg cos  mv
                   l
           1   1 mv 2
     mg  
          3 l
f) Consider the situation in part e). Briefly describe, in words, the path of
   P after the tension T becomes zero.
  When T = 0, the particle would undergo projectile motion, i.e. it
  would follow a parabolic arc.
  Its initial velocity would be tangential to the circle with magnitude;
                   1 2
  T  mg cos  mv
                   l
           1   1 mv 2
     mg  
          3 l
                   gl
             v2 
                    3
                      gl
              v
                      3
f) Consider the situation in part e). Briefly describe, in words, the path of
   P after the tension T becomes zero.
  When T = 0, the particle would undergo projectile motion, i.e. it
  would follow a parabolic arc.
  Its initial velocity would be tangential to the circle with magnitude;
                   1 2
  T  mg cos  mv
                   l
           1   1 mv 2
     mg  
          3 l
                   gl
             v2 
                    3
                      gl
              v
                      3
f) Consider the situation in part e). Briefly describe, in words, the path of
   P after the tension T becomes zero.
  When T = 0, the particle would undergo projectile motion, i.e. it
  would follow a parabolic arc.
  Its initial velocity would be tangential to the circle with magnitude;
                   1 2
  T  mg cos  mv
                   l
           1   1 mv 2
     mg  
          3 l
                   gl
             v2 
                    3
                      gl
              v
                      3
f) Consider the situation in part e). Briefly describe, in words, the path of
   P after the tension T becomes zero.
  When T = 0, the particle would undergo projectile motion, i.e. it
  would follow a parabolic arc.
  Its initial velocity would be tangential to the circle with magnitude;
                   1 2
  T  mg cos  mv
                   l
           1   1 mv 2
     mg  
          3 l
                   gl
             v2 
                    3
                      gl
              v
                      3
f) Consider the situation in part e). Briefly describe, in words, the path of
   P after the tension T becomes zero.
  When T = 0, the particle would undergo projectile motion, i.e. it
  would follow a parabolic arc.
  Its initial velocity would be tangential to the circle with magnitude;
                   1 2
  T  mg cos  mv
                   l
           1   1 mv 2
     mg  
          3 l
                   gl
             v2 
                    3
                      gl
              v
                      3
f) Consider the situation in part e). Briefly describe, in words, the path of
   P after the tension T becomes zero.
  When T = 0, the particle would undergo projectile motion, i.e. it
  would follow a parabolic arc.
  Its initial velocity would be tangential to the circle with magnitude;
                   1 2
  T  mg cos  mv
                   l
           1   1 mv 2
     mg  
          3 l
                   gl
             v2 
                    3
                      gl
              v
                      3
(iii) (2003)
     A particle of mass m is thrown from the top, O, of a very tall building
     with an initial velocity u at an angle of  to the horizontal. The
     particle experiences the effect of gravity, and a resistance
     proportional to its velocity in both directions.
                         The equations of motion in the horizontal and
                         vertical directions are given respectively by
                                    kx and    ky  g
                                 x               y      
                          where k is a constant and the acceleration due
                          to gravity is g.
                               (You are NOT required to show these)
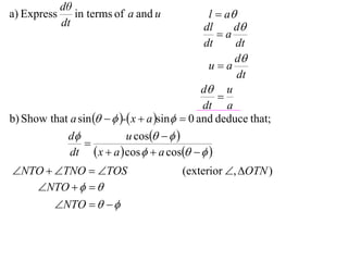
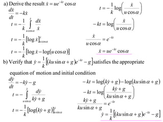
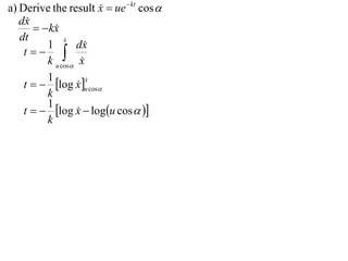
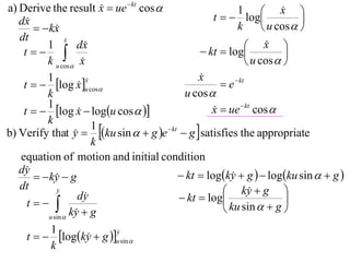
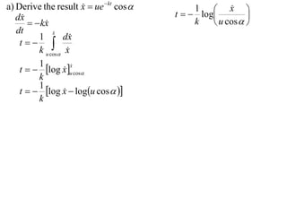
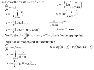
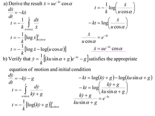
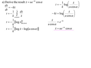
a) Derive the result x  ue  kt cos 
                     
a) Derive the result x  ue  kt cos 
                     
   dx
    
        kx
           
   dt
a) Derive the result x  ue  kt cos 
                     
   dx
    
        kx
           
   dt         x
              
         1       dx
    t 
         k u cos x
                  
a) Derive the result x  ue  kt cos 
                        
   dx
         kx
            
   dt          x
               
          1       dx 
    t 
          k u cos x
          1
    t   log x u cos
                      x
                      
                   
          k
a) Derive the result x  ue  kt cos 
                        
   dx
         kx
            
   dt          x
               
          1       dx 
    t 
          k u cos x
          1
    t   log x u cos
                      x
                      
                   
          k
          1
    t   log x  logu cos  
                   
          k
a) Derive the result x  ue  kt cos 
                                                      x 
                                         t   log
                                              1        
   dx                                                     
         kx
                                             k    u cos  
   dt          x
               
          1       dx 
    t 
          k u cos x
          1
    t   log x u cos
                      x
                      
                   
          k
          1
    t   log x  logu cos  
                   
          k
a) Derive the result x  ue  kt cos 
                                                                    x 
                                                t   log
                                                       1             
   dx                                                                   
         kx
                                                      k         u cos  
   dt          x
               
          1       dx                                       x  
    t                                     kt  log               
          k u cos x                                       u cos  
          1                                 x
                                            
    t   log x u cos                           e  kt
                      x
                      
                   
          k                              u cos 
          1
    t   log x  logu cos  
                                              x  ue  kt cos 
                                                
          k
a) Derive the result x  ue  kt cos 
                                                                       x 
                                                   t   log
                                                          1             
   dx                                                                      
         kx
                                                         k         u cos  
   dt          x
               
          1        dx                                         x  
    t                                        kt  log               
          k u cos x                                          u cos  
          1                                    x
                                               
    t   log x u cos                              e  kt
                      x
                      
                   
          k                                u cos 
          1
    t   log x  logu cos  
                                                  x  ue  kt cos 
                                                   
          k
b) Verify that y  ku sin   g e  kt  g  satisfies the appropriate
                        1
                  
                        k
   equation of motion and initial condition
a) Derive the result x  ue  kt cos 
                                                                       x 
                                                   t   log
                                                          1             
   dx                                                                      
         kx
                                                         k         u cos  
   dt          x
               
          1        dx                                         x  
    t                                        kt  log               
          k u cos x                                          u cos  
          1                                    x
                                               
    t   log x u cos                              e  kt
                      x
                      
                   
          k                                u cos 
          1
    t   log x  logu cos  
                                                  x  ue  kt cos 
                                                   
          k
b) Verify that y  ku sin   g e  kt  g  satisfies the appropriate
                        1
                  
                        k
   equation of motion and initial condition
   dy
         ky  g
            
   dt
a) Derive the result x  ue  kt cos 
                                                                       x 
                                                   t   log
                                                          1             
   dx                                                                      
         kx                                            k         u cos  
   dt             x
                  
          1           dx                                      x  
    t                                        kt  log               
          k u cos x                                          u cos  
          1                                    x
                                               
    t   log x u cos                              e  kt
                         x
                         
                      
          k                                u cos 
          1
    t   log x  logu cos  
                                                  x  ue  kt cos 
                                                   
          k
b) Verify that y  ku sin   g e  kt  g  satisfies the appropriate
                           1
                     
                           k
   equation of motion and initial condition
   dy
         ky  g
              
   dt         y
                      dy
     t 
           u sin 
                    ky  g
                     
a) Derive the result x  ue  kt cos 
                                                                       x 
                                                   t   log
                                                          1             
   dx                                                                      
         kx                                            k         u cos  
   dt             x
                  
          1           dx                                      x  
    t                                        kt  log               
          k u cos x                                          u cos  
          1                                    x
                                               
    t   log x u cos                              e  kt
                         x
                         
                      
          k                                u cos 
          1
    t   log x  logu cos  
                                                  x  ue  kt cos 
                                                   
          k
b) Verify that y  ku sin   g e  kt  g  satisfies the appropriate
                           1
                     
                           k
   equation of motion and initial condition
   dy
         ky  g
              
   dt         y
                      dy
     t 
           u sin 
                    ky  g
                     
            1
     t   logky  g u sin 
                               y
                               
                         
            k
a) Derive the result x  ue  kt cos 
                                                                       x 
                                                   t   log
                                                          1             
   dx                                                                      
         kx                                            k         u cos  
   dt             x
                  
          1           dx                                      x  
    t                                        kt  log               
          k u cos x                                          u cos  
          1                                    x
                                               
    t   log x u cos                              e  kt
                         x
                         
                      
          k                                u cos 
          1
    t   log x  logu cos  
                                                  x  ue  kt cos 
                                                   
          k
b) Verify that y  ku sin   g e  kt  g  satisfies the appropriate
                           1
                     
                           k
   equation of motion and initial condition
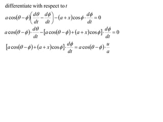
   dy                                    kt  logky  g   logku sin   g 
         ky  g
                                                       
   dt         y
                      dy
     t 
           u sin 
                    ky  g
                     
            1
     t   logky  g u sin 
                               y
                               
                         
            k
a) Derive the result x  ue  kt cos 
                                                                       x 
                                                   t   log
                                                          1             
   dx                                                                      
         kx                                            k         u cos  
   dt             x
                  
          1           dx                                      x  
    t                                        kt  log               
          k u cos x                                          u cos  
          1                                    x
                                               
    t   log x u cos                              e  kt
                         x
                         
                      
          k                                u cos 
          1
    t   log x  logu cos  
                                                  x  ue  kt cos 
                                                   
          k
b) Verify that y  ku sin   g e  kt  g  satisfies the appropriate
                           1
                     
                           k
   equation of motion and initial condition
   dy                                    kt  logky  g   logku sin   g 
         ky  g
                                                       
   dt         y                                      ky  g 
                      dy                  kt  log                    
     t                                             ku sin   g 
           u sin 
                    ky  g
                     
            1
     t   logky  g u sin 
                               y
                               
                         
            k
a) Derive the result x  ue  kt cos 
                                                                       x 
                                                   t   log
                                                          1             
   dx                                                                      
         kx                                            k         u cos  
   dt             x
                  
          1           dx                                      x  
    t                                        kt  log               
          k u cos x                                          u cos  
          1                                    x
                                               
    t   log x u cos                              e  kt
                         x
                         
                      
          k                                u cos 
          1
    t   log x  logu cos  
                                                  x  ue  kt cos 
                                                   
          k
b) Verify that y  ku sin   g e  kt  g  satisfies the appropriate
                           1
                     
                           k
   equation of motion and initial condition
   dy                                    kt  logky  g   logku sin   g 
         ky  g
                                                       
   dt         y                                      ky  g 
                      dy                  kt  log                    
     t                                             ku sin   g 
           u sin 
                    ky  g
                                         ky  g
                                           
                                                      e  kt
            1
     t   logky  g u sin 
                         
                               y
                                      ku sin   g
            k
a) Derive the result x  ue  kt cos 
                                                                        x 
                                                   t   log
                                                           1             
   dx                                                                       
         kx                                             k         u cos  
   dt             x
                  
          1           dx                                      x   
    t                                        kt  log                
          k u cos x                                           u cos  
          1                                    x
                                               
    t   log x u cos                              e  kt
                         x
                         
                      
          k                                u cos 
          1
    t   log x  logu cos  
                                                  x  ue  kt cos 
                                                   
          k
b) Verify that y  ku sin   g e  kt  g  satisfies the appropriate
                           1
                     
                           k
   equation of motion and initial condition
   dy                                    kt  logky  g   logku sin   g 
         ky  g
                                                        
   dt         y                                        ky  g 
                                                                
                      dy                  kt  log                     
     t                                               ku sin   g 
           u sin 
                    ky  g
                                         ky  g
                                           
                                                        e  kt
            1
     t   logky  g u sin 
                         
                               y
                                      ku sin   g
                                                     y  ku sin   g e  kt  g 
                                                           1
            k                                        
                                                           k
c) Find the value of t when the particle reaches its maximum height
c) Find the value of t when the particle reaches its maximum height
  Maximum height occurs when y  0
                             
c) Find the value of t when the particle reaches its maximum height
  Maximum height occurs when y  0
                              
       1
  t   logky  g u sin 
                      0
              
       k
c) Find the value of t when the particle reaches its maximum height
  Maximum height occurs when y  0 
       1
  t   logky  g u sin 
                       0
               
       k
       1
  t   log g   logku sin   g 
       k
c) Find the value of t when the particle reaches its maximum height
  Maximum height occurs when y  0 
        1
  t   logky  g u sin 
                       0
               
        k
        1
  t   log g   logku sin   g 
        k
      1  ku sin   g 
   t  log                 
      k           g        
c) Find the value of t when the particle reaches its maximum height
   Maximum height occurs when y  0 
         1
   t   logky  g u sin 
                        0
                 
         k
         1
   t   log g   logku sin   g 
         k
       1  ku sin   g 
    t  log                 
       k           g        
d) What is the limiting value of the horizontal displacement of the
   particle?
c) Find the value of t when the particle reaches its maximum height
   Maximum height occurs when y  0 
         1
   t   logky  g u sin 
                        0
                 
         k
         1
   t   log g   logku sin   g 
         k
       1  ku sin   g 
    t  log                 
       k           g        
d) What is the limiting value of the horizontal displacement of the
   particle?
    x  ue  kt cos 
    
   dx
       ue  kt cos 
   dt
c) Find the value of t when the particle reaches its maximum height
   Maximum height occurs when y  0 
          1
   t   logky  g u sin 
                          0
                    
          k
          1
   t   log g   logku sin   g 
          k
        1  ku sin   g 
    t  log                 
        k              g    
d) What is the limiting value of the horizontal displacement of the
                                                 
   particle?
                                 x  lim u cos   e  kt dt
      x  ue  kt cos 
                                     t 
                                                 0

   dx
         ue  kt cos 
   dt
c) Find the value of t when the particle reaches its maximum height
   Maximum height occurs when y  0 
          1
   t   logky  g u sin 
                          0
                    
          k
          1
   t   log g   logku sin   g 
          k
        1  ku sin   g 
    t  log                 
        k              g    
d) What is the limiting value of the horizontal displacement of the
                                                 
   particle?
                                 x  lim u cos   e  kt dt
      x  ue  kt cos 
                                     t 
                                                 0
                                                               t
   dx                            x  lim u cos   e  kt 
                                                     1
         ue cos 
              kt
                                                  k         0
   dt                                 t                   
c) Find the value of t when the particle reaches its maximum height
   Maximum height occurs when y  0 
          1
   t   logky  g u sin 
                          0
                    
          k
          1
   t   log g   logku sin   g 
          k
        1  ku sin   g 
    t  log                 
        k              g    
d) What is the limiting value of the horizontal displacement of the
                                                   
   particle?
                                 x  lim u cos   e  kt dt
      x  ue  kt cos 
                                     t 
                                                   0
                                                                t
   dx                            x  lim u cos   e  kt 
                                                      1
         ue cos 
              kt
                                                    k        0
   dt                                 t                    
                                           u cos 
                                 x  lim            e kt  1
                                     t      k
c) Find the value of t when the particle reaches its maximum height
   Maximum height occurs when y  0 
          1
   t   logky  g u sin 
                          0
                    
          k
          1
   t   log g   logku sin   g 
          k
        1  ku sin   g 
    t  log                 
        k              g    
d) What is the limiting value of the horizontal displacement of the
                                                   
   particle?
                                 x  lim u cos   e  kt dt
      x  ue  kt cos 
                                     t 
                                                   0
                                                                t
   dx                            x  lim u cos   e  kt 
                                                      1
         ue cos 
              kt
                                                    k        0
   dt                                 t                    
                                           u cos 
                                 x  lim            e kt  1
                                     t      k
                                      u cos 
                                 x
                                          k
Exercise 9E; 1 to 4, 7

Exercise 9F; 1, 2, 4, 7, 9, 12, 14, 16, 20, 22, 25

X2 T07 07 miscellaneous dynamics questions

  • 1.
    Miscellaneous Dynamics Questions e.g. (i) (1992) – variable angular velocity The diagram shows a model train T that is moving around a circular track, centre O and radius a metres. The train is travelling at a constant speed of u m/s. The point N is in the same plane as the track and is x metres from the nearest point on the track. The line NO produced meets the track at S. Let TNS   and TOS   as in the diagram
  • 2.
    dθ a) Express in terms of a and u dt
  • 3.
    dθ a) Express in terms of a and u l  a dt
  • 4.
    dθ a) Express in terms of a and u l  a dt dl d a dt dt
  • 5.
    dθ a) Express in terms of a and u l  a dt dl d a dt dt d ua dt d u  dt a
  • 6.
    dθ a) Express in terms of a and u l  a dt dl d a dt dt d ua dt d u  dt a b) Show that a sin    - x  a sin  0 and deduce that; d u cos     dt  x  a  cos   a cos   
  • 7.
    dθ a) Express in terms of a and u l  a dt dl d a dt dt d ua dt d u  dt a b) Show that a sin    - x  a sin  0 and deduce that; d u cos     dt  x  a  cos   a cos    NTO  TNO  TOS (exterior , OTN )
  • 8.
    dθ a) Express in terms of a and u l  a dt dl d a dt dt d ua dt d u  dt a b) Show that a sin    - x  a sin  0 and deduce that; d u cos     dt  x  a  cos   a cos    NTO  TNO  TOS (exterior , OTN ) NTO     NTO    
  • 9.
    dθ a) Express in terms of a and u l  a dt dl d a dt dt d ua dt d u  dt a b) Show that a sin    - x  a sin  0 and deduce that; d u cos     dt  x  a  cos   a cos    NTO  TNO  TOS (exterior , OTN ) NTO     a ax In NTO;  NTO     sin  sin    
  • 10.
    dθ a) Express in terms of a and u l  a dt dl d a dt dt d ua dt d u  dt a b) Show that a sin    - x  a sin  0 and deduce that; d u cos     dt  x  a  cos   a cos    NTO  TNO  TOS (exterior , OTN ) NTO     a ax In NTO;  NTO     sin  sin     a sin      a  x  sin  a sin      a  x  sin   0
  • 11.
    differentiate with respectto t  d  d   a  x  cos  d  0 a cos       dt dt  dt
  • 12.
    differentiate with respectto t a cos    d  d   a  x  cos  d  0    dt dt  dt d d a cos      a cos     a  x  cos   0 dt dt
  • 13.
    differentiate with respectto t a cos    d  d   a  x  cos  d  0    dt dt  dt d d a cos      a cos     a  x  cos   0 dt dt a cos     a  x  cos   d  a cos     u dt a
  • 14.
    differentiate with respectto t a cos    d  d   a  x  cos  d  0    dt dt  dt d d a cos      a cos     a  x  cos   0 dt dt a cos     a  x  cos   d  a cos     u dt a d u cos     dt a cos     a  x  cos 
  • 15.
    differentiate with respectto t a cos    d  d   a  x  cos  d  0    dt dt  dt d d a cos      a cos     a  x  cos   0 dt dt a cos     a  x  cos   d  a cos     u dt a d u cos     dt a cos     a  x  cos  d c) Show that  0 when NT is tangential to the track. dt when NT is a tangent;
  • 16.
    differentiate with respectto t a cos    d  d   a  x  cos  d  0    dt dt  dt d d a cos      a cos     a  x  cos   0 dt dt a cos     a  x  cos   d  a cos     u dt a d u cos     dt a cos     a  x  cos  d c) Show that  0 when NT is tangential to the track. dt T N O
  • 17.
    differentiate with respectto t a cos    d  d   a  x  cos  d  0    dt dt  dt d d a cos      a cos     a  x  cos   0 dt dt a cos     a  x  cos   d  a cos     u dt a d u cos     dt a cos     a  x  cos  d c) Show that  0 when NT is tangential to the track. dt T when NT is a tangent; N O
  • 18.
    differentiate with respectto t a cos    d  d   a  x  cos  d  0    dt dt  dt d d a cos      a cos     a  x  cos   0 dt dt a cos     a  x  cos   d  a cos     u dt a d u cos     dt a cos     a  x  cos  d c) Show that  0 when NT is tangential to the track. dt T when NT is a tangent; NTO  90 (tangent  radius) N O
  • 19.
    differentiate with respectto t a cos    d  d   a  x  cos  d  0    dt dt  dt d d a cos      a cos     a  x  cos   0 dt dt a cos     a  x  cos   d  a cos     u dt a d u cos     dt a cos     a  x  cos  d c) Show that  0 when NT is tangential to the track. dt T when NT is a tangent; NTO  90 (tangent  radius) N O     90
  • 20.
    differentiate with respectto t a cos    d  d   a  x  cos  d  0    dt dt  dt d d a cos      a cos     a  x  cos   0 dt dt a cos     a  x  cos   d  a cos     u dt a d u cos     dt a cos     a  x  cos  d c) Show that  0 when NT is tangential to the track. dt T when NT is a tangent; NTO  90 (tangent  radius) N O     90 d u cos 90  dt a cos 90  a  x  cos 
  • 21.
    differentiate with respectto t a cos    d  d   a  x  cos  d  0    dt dt  dt d d a cos      a cos     a  x  cos   0 dt dt a cos     a  x  cos   d  a cos     u dt a d u cos     dt a cos     a  x  cos  d c) Show that  0 when NT is tangential to the track. dt T when NT is a tangent; NTO  90 (tangent  radius) N O     90 d u cos 90 d   0 dt a cos 90  a  x  cos  dt
  • 22.
    d) Suppose thatx = a  3 Show that the train’s angular velocity about N when   is times the angular velocity about N when   0 2 5
  • 23.
    d) Suppose thatx = a  3 Show that the train’s angular velocity about N when   is times the angular velocity about N when   0 2 5  when   2
  • 24.
    d) Suppose thatx = a  3 Show that the train’s angular velocity about N when   is times the angular velocity about N when   0 2 5  when   2 T  N O
  • 25.
    d) Suppose thatx = a  3 Show that the train’s angular velocity about N when   is times the angular velocity about N when   0 2 5  when   2 T a  N O
  • 26.
    d) Suppose thatx = a  3 Show that the train’s angular velocity about N when   is times the angular velocity about N when   0 2 5  when   2 T a  N O 2a
  • 27.
    d) Suppose thatx = a  3 Show that the train’s angular velocity about N when   is times the angular velocity about N when   0 2 5  when   2 T 5a a  N O 2a
  • 28.
    d) Suppose thatx = a  3 Show that the train’s angular velocity about N when   is times the angular velocity about N when   0 2 5  when   2 T 2 cos   5a 5 a  N O 2a
  • 29.
    d) Suppose thatx = a  3 Show that the train’s angular velocity about N when   is times the angular velocity about N when   0 2 5  when   2 T 2 cos   5a 5 a   cos       1 N 2a O 2  5
  • 30.
    d) Suppose thatx = a  3 Show that the train’s angular velocity about N when   is times the angular velocity about N when   0 2 5  when      2 T u cos  2 d 2  cos    5 dt   5a a a cos     2a cos  2    cos       1 N 2a O 2  5
  • 31.
    d) Suppose thatx = a  3 Show that the train’s angular velocity about N when   is times the angular velocity about N when   0 2 5  when      2 T u cos  2 d 2  cos    5 dt   5a a a cos     2a cos  2   cos     1     1  N 2a O 2  5 u    5  1   2a  2  a      5  5
  • 32.
    d) Suppose thatx = a  3 Show that the train’s angular velocity about N when   is times the angular velocity about N when   0 2 5  when      2 T u cos  2 d 2  cos    5 dt   5a a a cos     2a cos  2   cos     1     1  N 2a O 2  5 u    5  1   2a  2  a      5  5 u  5a
  • 33.
    d) Suppose thatx = a  3 Show that the train’s angular velocity about N when   is times the angular velocity about N when   0 2 5  when      2 T u cos  2 d 2  cos    5 dt   5a a a cos     2a cos  2   cos     1     1  N 2a O 2  5 u    5 when   0  1   2a  2  a      5  5 u  5a
  • 34.
    d) Suppose thatx = a  3 Show that the train’s angular velocity about N when   is times the angular velocity about N when   0 2 5  when      2 T u cos  2 d 2  cos    5 dt   5a a a cos     2a cos  2   cos     1     1  N 2a O 2  5 u    5 when   0  1   2a  2  a     d u cos 0  5  5  dt a cos 0  2a cos 0 u  5a
  • 35.
    d) Suppose thatx = a  3 Show that the train’s angular velocity about N when   is times the angular velocity about N when   0 2 5  when      2 T u cos  2 d 2  cos    5 dt   5a a a cos     2a cos  2   cos     1     1  N 2a O 2  5 u    5 when   0  1   2a  2  a     d u cos 0  5  5  dt a cos 0  2a cos 0 u u   5a 3a
  • 36.
    d) Suppose thatx = a  3 Show that the train’s angular velocity about N when   is times the angular velocity about N when   0 2 5  when      2 T u cos  2 d 2  cos    5 dt   5a a a cos     2a cos  2   cos     1     1  N 2a O 2  5 u    5 when   0  1   2a  2  a     d u cos 0  5  5  dt a cos 0  2a cos 0 u u   5a 3a 5 u   3 5a
  • 37.
    d) Suppose thatx = a  3 Show that the train’s angular velocity about N when   is times the angular velocity about N when   0 2 5  when      2 T u cos  2 d 2  cos    5 dt   5a a a cos     2a cos  2   cos     1     1  N 2a O 2  5 u    5 when   0  1   2a  2  a     d u cos 0  5  5  dt a cos 0  2a cos 0 u u   5a 3a  3 Thus the angular velocity when   is times 5 u 2 5   3 5a the angular velocity when   0
  • 38.
    (ii) (2000) A string of length l is initially vertical and has a mass P of m kg attached to it. The mass P is given a horizontal velocity of magnitude V and begins to move along the arc of a circle in a counterclockwise direction. Let O be the centre of this circle and A the initial ds position of P. Let s denote the arc length AP, v  , dt   AOP and let the tension in the string be T. The acceleration due to gravity is g and there are no frictional forces acting on P. For parts a) to d), assume the mass is moving along the circle.
  • 39.
    (ii) (2000) A string of length l is initially vertical and has a mass P of m kg attached to it. The mass P is given a horizontal velocity of magnitude V and begins to move along the arc of a circle in a counterclockwise direction. Let O be the centre of this circle and A the initial ds position of P. Let s denote the arc length AP, v  , dt   AOP and let the tension in the string be T. The acceleration due to gravity is g and there are no frictional forces acting on P. For parts a) to d), assume the mass is moving along the circle. d 2s 1 d  1 2  a) Show that the tangential acceleration of P is given by 2   v  dt l d  2 
  • 40.
    (ii) (2000) A string of length l is initially vertical and has a mass P of m kg attached to it. The mass P is given a horizontal velocity of magnitude V and begins to move along the arc of a circle in a counterclockwise direction. Let O be the centre of this circle and A the initial ds position of P. Let s denote the arc length AP, v  , dt   AOP and let the tension in the string be T. The acceleration due to gravity is g and there are no frictional forces acting on P. For parts a) to d), assume the mass is moving along the circle. d 2s 1 d  1 2  a) Show that the tangential acceleration of P is given by 2   v  dt l d  2  s  l
  • 41.
    (ii) (2000) A string of length l is initially vertical and has a mass P of m kg attached to it. The mass P is given a horizontal velocity of magnitude V and begins to move along the arc of a circle in a counterclockwise direction. Let O be the centre of this circle and A the initial ds position of P. Let s denote the arc length AP, v  , dt   AOP and let the tension in the string be T. The acceleration due to gravity is g and there are no frictional forces acting on P. For parts a) to d), assume the mass is moving along the circle. d 2s 1 d  1 2  a) Show that the tangential acceleration of P is given by 2   v  dt l d  2  s  l ds v dt d l dt
  • 42.
    (ii) (2000) A string of length l is initially vertical and has a mass P of m kg attached to it. The mass P is given a horizontal velocity of magnitude V and begins to move along the arc of a circle in a counterclockwise direction. Let O be the centre of this circle and A the initial ds position of P. Let s denote the arc length AP, v  , dt   AOP and let the tension in the string be T. The acceleration due to gravity is g and there are no frictional forces acting on P. For parts a) to d), assume the mass is moving along the circle. d 2s 1 d  1 2  a) Show that the tangential acceleration of P is given by 2   v  dt l d  2  s  l d s dv 2  ds dt 2 dt v dt d l dt
  • 43.
    (ii) (2000) A string of length l is initially vertical and has a mass P of m kg attached to it. The mass P is given a horizontal velocity of magnitude V and begins to move along the arc of a circle in a counterclockwise direction. Let O be the centre of this circle and A the initial ds position of P. Let s denote the arc length AP, v  , dt   AOP and let the tension in the string be T. The acceleration due to gravity is g and there are no frictional forces acting on P. For parts a) to d), assume the mass is moving along the circle. d 2s 1 d  1 2  a) Show that the tangential acceleration of P is given by 2   v  dt l d  2  s  l d s dv 2  ds dt 2 dt v dv d dt   d d dt l dt
  • 44.
    (ii) (2000) A string of length l is initially vertical and has a mass P of m kg attached to it. The mass P is given a horizontal velocity of magnitude V and begins to move along the arc of a circle in a counterclockwise direction. Let O be the centre of this circle and A the initial ds position of P. Let s denote the arc length AP, v  , dt   AOP and let the tension in the string be T. The acceleration due to gravity is g and there are no frictional forces acting on P. For parts a) to d), assume the mass is moving along the circle. d 2s 1 d  1 2  a) Show that the tangential acceleration of P is given by 2   v  dt l d  2  s  l d s dv 2  ds dt 2 dt v dv d dt   d d dt l dt dv v   d l
  • 45.
    (ii) (2000) A string of length l is initially vertical and has a mass P of m kg attached to it. The mass P is given a horizontal velocity of magnitude V and begins to move along the arc of a circle in a counterclockwise direction. Let O be the centre of this circle and A the initial ds position of P. Let s denote the arc length AP, v  , dt   AOP and let the tension in the string be T. The acceleration due to gravity is g and there are no frictional forces acting on P. For parts a) to d), assume the mass is moving along the circle. d 2s 1 d  1 2  a) Show that the tangential acceleration of P is given by 2   v  dt l d  2  s  l d s dv 2 1 dv   v  ds dt 2 dt l d v dv d dt   d d dt l dt dv v   d l
  • 46.
    (ii) (2000) A string of length l is initially vertical and has a mass P of m kg attached to it. The mass P is given a horizontal velocity of magnitude V and begins to move along the arc of a circle in a counterclockwise direction. Let O be the centre of this circle and A the initial ds position of P. Let s denote the arc length AP, v  , dt   AOP and let the tension in the string be T. The acceleration due to gravity is g and there are no frictional forces acting on P. For parts a) to d), assume the mass is moving along the circle. d 2s 1 d  1 2  a) Show that the tangential acceleration of P is given by 2   v  dt l d  2  s  l d s dv 2 1 dv   v  ds dt 2 dt l d v 1 dv d 1 dt dv d     v2      l d dv  2  d d dt l dt dv v   d l
  • 47.
    (ii) (2000) A string of length l is initially vertical and has a mass P of m kg attached to it. The mass P is given a horizontal velocity of magnitude V and begins to move along the arc of a circle in a counterclockwise direction. Let O be the centre of this circle and A the initial ds position of P. Let s denote the arc length AP, v  , dt   AOP and let the tension in the string be T. The acceleration due to gravity is g and there are no frictional forces acting on P. For parts a) to d), assume the mass is moving along the circle. d 2s 1 d  1 2  a) Show that the tangential acceleration of P is given by 2   v  dt l d  2  s  l d s dv 2 1 dv   v  ds dt 2 dt l d v 1 dv d 1 dt dv d     v2      l d dv  2  d d dt l 1 d 1 2  dt dv v   v    l d  2  d l
  • 48.
    1 d 12  b) Show that the equation of motion of P is  v    g sin  l d  2 
  • 49.
    1 d 12  b) Show that the equation of motion of P is  v    g sin  l d  2 
  • 50.
    1 d 12  b) Show that the equation of motion of P is  v    g sin  l d  2  T
  • 51.
    1 d 12  b) Show that the equation of motion of P is  v    g sin  l d  2  T mg
  • 52.
    1 d 12  b) Show that the equation of motion of P is  v    g sin  l d  2  T  mg
  • 53.
    1 d 12  b) Show that the equation of motion of P is  v    g sin  l d  2  T  mg mg sin 
  • 54.
    1 d 12  b) Show that the equation of motion of P is  v    g sin  l d  2  T m s  mg mg sin 
  • 55.
    1 d 12  b) Show that the equation of motion of P is  v    g sin  l d  2  T m s m   mg sin  s  mg mg sin 
  • 56.
    1 d 12  b) Show that the equation of motion of P is  v    g sin  l d  2  T m s m   mg sin  s  mg    g sin  s mg sin 
  • 57.
    1 d 12  b) Show that the equation of motion of P is  v    g sin  l d  2  T m s m   mg sin  s  mg    g sin  s mg sin  1 d 1 2   v    g sin  l d  2 
  • 58.
    1 d 12  b) Show that the equation of motion of P is  v    g sin  l d  2  T m s m   mg sin  s  mg    g sin  s mg sin  1 d 1 2   v    g sin  l d  2  c) Deduce that V 2  v 2  2 gl 1  cos 
  • 59.
    1 d 12  b) Show that the equation of motion of P is  v    g sin  l d  2  T m s m   mg sin  s  mg    g sin  s mg sin  1 d 1 2   v    g sin  l d  2  c) Deduce that V 2  v 2  2 gl 1  cos  1 d 1 2   v    g sin  l d  2 
  • 60.
    1 d 12  b) Show that the equation of motion of P is  v    g sin  l d  2  T m s m   mg sin  s  mg    g sin  s mg sin  1 d 1 2   v    g sin  l d  2  c) Deduce that V 2  v 2  2 gl 1  cos  1 d 1 2   v    g sin  l d  2  d 1 2   v    gl sin  d  2 
  • 61.
    1 d 12  b) Show that the equation of motion of P is  v    g sin  l d  2  T m s m   mg sin  s  mg    g sin  s mg sin  1 d 1 2   v    g sin  l d  2  c) Deduce that V 2  v 2  2 gl 1  cos  1 d 1 2   v    g sin  l d  2  d 1 2   v    gl sin  d  2  1 2 v  gl cos  c 2 v 2  2 gl cos  c
  • 62.
    1 d 12  b) Show that the equation of motion of P is  v    g sin  l d  2  T m s m   mg sin  s  mg    g sin  s mg sin  1 d 1 2   v    g sin  l d  2  c) Deduce that V 2  v 2  2 gl 1  cos  when   0, v  V 1 d 1 2   v    g sin  V 2  2 gl  c l d  2  c  V 2  2 gl d 1 2   v    gl sin  d  2  1 2 v  gl cos  c 2 v 2  2 gl cos  c
  • 63.
    1 d 12  b) Show that the equation of motion of P is  v    g sin  l d  2  T m s m   mg sin  s  mg    g sin  s mg sin  1 d 1 2   v    g sin  l d  2  c) Deduce that V 2  v 2  2 gl 1  cos  when   0, v  V 1 d 1 2   v    g sin  V 2  2 gl  c l d  2  c  V 2  2 gl d 1 2   v    gl sin  v 2  2 gl cos  V 2  2 gl d  2  1 2 V 2  v 2  2 gl  2 gl cos v  gl cos  c 2 V 2  v 2  2 gl 1  cos  v 2  2 gl cos  c
  • 64.
    1 2 d) Explainwhy T-mg cos θ  mv l
  • 65.
    1 2 d) Explainwhy T-mg cos θ  mv l
  • 66.
    1 2 d) Explainwhy T-mg cos θ  mv l T
  • 67.
    1 2 d) Explainwhy T-mg cos θ  mv l T mg cos
  • 68.
    1 2 d) Explainwhy T-mg cos θ  mv l T mg cos m x
  • 69.
    1 2 d) Explainwhy T-mg cos θ  mv l T mg cos m  T  mg cos x m x
  • 70.
    1 2 d) Explainwhy T-mg cos θ  mv l T mg cos m  T  mg cos x m x But, the resultant force towards the centre is centripetal force.
  • 71.
    1 2 d) Explainwhy T-mg cos θ  mv l T mg cos m  T  mg cos x m x But, the resultant force towards the centre is centripetal force. mv 2  T  mg cos l 1 2 T  mg cos  mv l
  • 72.
    1 2 d) Explainwhy T-mg cos θ  mv l T mg cos m  T  mg cos x m x But, the resultant force towards the centre is centripetal force. mv 2  T  mg cos l 1 2 T  mg cos  mv l e) Suppose that V 2  3 gl. Find the value of  at which T  0
  • 73.
    1 2 d) Explainwhy T-mg cos θ  mv l T mg cos m  T  mg cos x m x But, the resultant force towards the centre is centripetal force. mv 2  T  mg cos l 1 2 T  mg cos  mv l e) Suppose that V 2  3 gl. Find the value of  at which T  0 T  mg cos  mV 2  2 gl 1  cos  1 l
  • 74.
    1 2 d) Explainwhy T-mg cos θ  mv l T mg cos m  T  mg cos x m x But, the resultant force towards the centre is centripetal force. mv 2  T  mg cos l 1 2 T  mg cos  mv l e) Suppose that V 2  3 gl. Find the value of  at which T  0 T  mg cos  mV 2  2 gl 1  cos  1 l 1 0  mg cos  m3 gl  2 gl 1  cos  l
  • 75.
    1 2 d) Explainwhy T-mg cos θ  mv l T mg cos m  T  mg cos x m x But, the resultant force towards the centre is centripetal force. mv 2  T  mg cos l 1 2 T  mg cos  mv l e) Suppose that V 2  3 gl. Find the value of  at which T  0 T  mg cos  mV 2  2 gl 1  cos  1 l 1 0  mg cos  m3 gl  2 gl 1  cos  l  mg cos  m g  2 g cos 
  • 76.
    1 2 d) Explainwhy T-mg cos θ  mv l T mg cos m  T  mg cos x m x But, the resultant force towards the centre is centripetal force. mv 2  T  mg cos l 1 2 T  mg cos  mv l e) Suppose that V 2  3 gl. Find the value of  at which T  0 T  mg cos  mV 2  2 gl 1  cos  1 l 1 0  mg cos  m3 gl  2 gl 1  cos  l  mg cos  m g  2 g cos  3mg cos   mg
  • 77.
    1 2 d) Explainwhy T-mg cos θ  mv l T mg cos m  T  mg cos x m x But, the resultant force towards the centre is centripetal force. mv 2  T  mg cos l 1 2 T  mg cos  mv l e) Suppose that V 2  3 gl. Find the value of  at which T  0 T  mg cos  mV 2  2 gl 1  cos  1 l cos   1 1 0  mg cos  m3 gl  2 gl 1  cos  3 l  mg cos  m g  2 g cos  3mg cos   mg
  • 78.
    1 2 d) Explainwhy T-mg cos θ  mv l T mg cos m  T  mg cos x m x But, the resultant force towards the centre is centripetal force. mv 2  T  mg cos l 1 2 T  mg cos  mv l e) Suppose that V 2  3 gl. Find the value of  at which T  0 T  mg cos  mV 2  2 gl 1  cos  1 l cos   1 1 0  mg cos  m3 gl  2 gl 1  cos  3 l   1.911radians  mg cos  m g  2 g cos  3mg cos   mg
  • 79.
    f) Consider thesituation in part e). Briefly describe, in words, the path of P after the tension T becomes zero.
  • 80.
    f) Consider thesituation in part e). Briefly describe, in words, the path of P after the tension T becomes zero. When T = 0, the particle would undergo projectile motion, i.e. it would follow a parabolic arc. Its initial velocity would be tangential to the circle with magnitude;
  • 81.
    f) Consider thesituation in part e). Briefly describe, in words, the path of P after the tension T becomes zero. When T = 0, the particle would undergo projectile motion, i.e. it would follow a parabolic arc. Its initial velocity would be tangential to the circle with magnitude; 1 2 T  mg cos  mv l
  • 82.
    f) Consider thesituation in part e). Briefly describe, in words, the path of P after the tension T becomes zero. When T = 0, the particle would undergo projectile motion, i.e. it would follow a parabolic arc. Its initial velocity would be tangential to the circle with magnitude; 1 2 T  mg cos  mv l   1   1 mv 2  mg    3 l
  • 83.
    f) Consider thesituation in part e). Briefly describe, in words, the path of P after the tension T becomes zero. When T = 0, the particle would undergo projectile motion, i.e. it would follow a parabolic arc. Its initial velocity would be tangential to the circle with magnitude; 1 2 T  mg cos  mv l   1   1 mv 2  mg    3 l gl v2  3 gl v 3
  • 84.
    f) Consider thesituation in part e). Briefly describe, in words, the path of P after the tension T becomes zero. When T = 0, the particle would undergo projectile motion, i.e. it would follow a parabolic arc. Its initial velocity would be tangential to the circle with magnitude; 1 2 T  mg cos  mv l   1   1 mv 2  mg    3 l gl v2  3 gl v 3
  • 85.
    f) Consider thesituation in part e). Briefly describe, in words, the path of P after the tension T becomes zero. When T = 0, the particle would undergo projectile motion, i.e. it would follow a parabolic arc. Its initial velocity would be tangential to the circle with magnitude; 1 2 T  mg cos  mv l   1   1 mv 2  mg    3 l gl v2  3 gl v 3
  • 86.
    f) Consider thesituation in part e). Briefly describe, in words, the path of P after the tension T becomes zero. When T = 0, the particle would undergo projectile motion, i.e. it would follow a parabolic arc. Its initial velocity would be tangential to the circle with magnitude; 1 2 T  mg cos  mv l   1   1 mv 2  mg    3 l gl v2  3 gl v 3
  • 87.
    f) Consider thesituation in part e). Briefly describe, in words, the path of P after the tension T becomes zero. When T = 0, the particle would undergo projectile motion, i.e. it would follow a parabolic arc. Its initial velocity would be tangential to the circle with magnitude; 1 2 T  mg cos  mv l   1   1 mv 2  mg    3 l gl v2  3 gl v 3
  • 88.
    f) Consider thesituation in part e). Briefly describe, in words, the path of P after the tension T becomes zero. When T = 0, the particle would undergo projectile motion, i.e. it would follow a parabolic arc. Its initial velocity would be tangential to the circle with magnitude; 1 2 T  mg cos  mv l   1   1 mv 2  mg    3 l gl v2  3 gl v 3
  • 89.
    (iii) (2003) A particle of mass m is thrown from the top, O, of a very tall building with an initial velocity u at an angle of  to the horizontal. The particle experiences the effect of gravity, and a resistance proportional to its velocity in both directions. The equations of motion in the horizontal and vertical directions are given respectively by    kx and    ky  g x  y  where k is a constant and the acceleration due to gravity is g. (You are NOT required to show these)
  • 90.
    a) Derive theresult x  ue  kt cos  
  • 91.
    a) Derive theresult x  ue  kt cos   dx    kx  dt
  • 92.
    a) Derive theresult x  ue  kt cos   dx    kx  dt x  1 dx t  k u cos x 
  • 93.
    a) Derive theresult x  ue  kt cos   dx   kx  dt x  1 dx  t  k u cos x 1 t   log x u cos x   k
  • 94.
    a) Derive theresult x  ue  kt cos   dx   kx  dt x  1 dx  t  k u cos x 1 t   log x u cos x   k 1 t   log x  logu cos    k
  • 95.
    a) Derive theresult x  ue  kt cos   x  t   log 1  dx     kx  k  u cos   dt x  1 dx  t  k u cos x 1 t   log x u cos x   k 1 t   log x  logu cos    k
  • 96.
    a) Derive theresult x  ue  kt cos   x  t   log 1  dx     kx  k  u cos   dt x  1 dx   x   t   kt  log  k u cos x  u cos   1 x  t   log x u cos  e  kt x   k u cos  1 t   log x  logu cos    x  ue  kt cos   k
  • 97.
    a) Derive theresult x  ue  kt cos   x  t   log 1  dx     kx  k  u cos   dt x  1 dx  x   t   kt  log  k u cos x  u cos   1 x  t   log x u cos  e  kt x   k u cos  1 t   log x  logu cos    x  ue  kt cos   k b) Verify that y  ku sin   g e  kt  g  satisfies the appropriate 1  k equation of motion and initial condition
  • 98.
    a) Derive theresult x  ue  kt cos   x  t   log 1  dx     kx  k  u cos   dt x  1 dx  x   t   kt  log  k u cos x  u cos   1 x  t   log x u cos  e  kt x   k u cos  1 t   log x  logu cos    x  ue  kt cos   k b) Verify that y  ku sin   g e  kt  g  satisfies the appropriate 1  k equation of motion and initial condition dy   ky  g  dt
  • 99.
    a) Derive theresult x  ue  kt cos   x  t   log 1  dx     kx  k  u cos   dt x  1 dx  x   t   kt  log  k u cos x   u cos   1 x  t   log x u cos  e  kt x   k u cos  1 t   log x  logu cos    x  ue  kt cos   k b) Verify that y  ku sin   g e  kt  g  satisfies the appropriate 1  k equation of motion and initial condition dy   ky  g  dt y dy t  u sin  ky  g 
  • 100.
    a) Derive theresult x  ue  kt cos   x  t   log 1  dx     kx  k  u cos   dt x  1 dx  x   t   kt  log  k u cos x   u cos   1 x  t   log x u cos  e  kt x   k u cos  1 t   log x  logu cos    x  ue  kt cos   k b) Verify that y  ku sin   g e  kt  g  satisfies the appropriate 1  k equation of motion and initial condition dy   ky  g  dt y dy t  u sin  ky  g  1 t   logky  g u sin  y   k
  • 101.
    a) Derive theresult x  ue  kt cos   x  t   log 1  dx     kx  k  u cos   dt x  1 dx  x   t   kt  log  k u cos x   u cos   1 x  t   log x u cos  e  kt x   k u cos  1 t   log x  logu cos    x  ue  kt cos   k b) Verify that y  ku sin   g e  kt  g  satisfies the appropriate 1  k equation of motion and initial condition dy  kt  logky  g   logku sin   g    ky  g   dt y dy t  u sin  ky  g  1 t   logky  g u sin  y   k
  • 102.
    a) Derive theresult x  ue  kt cos   x  t   log 1  dx     kx  k  u cos   dt x  1 dx  x   t   kt  log  k u cos x   u cos   1 x  t   log x u cos  e  kt x   k u cos  1 t   log x  logu cos    x  ue  kt cos   k b) Verify that y  ku sin   g e  kt  g  satisfies the appropriate 1  k equation of motion and initial condition dy  kt  logky  g   logku sin   g    ky  g   dt y  ky  g  dy  kt  log  t   ku sin   g  u sin  ky  g  1 t   logky  g u sin  y   k
  • 103.
    a) Derive theresult x  ue  kt cos   x  t   log 1  dx     kx  k  u cos   dt x  1 dx  x   t   kt  log  k u cos x   u cos   1 x  t   log x u cos  e  kt x   k u cos  1 t   log x  logu cos    x  ue  kt cos   k b) Verify that y  ku sin   g e  kt  g  satisfies the appropriate 1  k equation of motion and initial condition dy  kt  logky  g   logku sin   g    ky  g   dt y  ky  g  dy  kt  log  t   ku sin   g  u sin  ky  g  ky  g   e  kt 1 t   logky  g u sin   y  ku sin   g k
  • 104.
    a) Derive theresult x  ue  kt cos   x  t   log 1  dx     kx  k  u cos   dt x  1 dx  x   t   kt  log  k u cos x   u cos   1 x  t   log x u cos  e  kt x   k u cos  1 t   log x  logu cos    x  ue  kt cos   k b) Verify that y  ku sin   g e  kt  g  satisfies the appropriate 1  k equation of motion and initial condition dy  kt  logky  g   logku sin   g    ky  g   dt y  ky  g   dy  kt  log  t   ku sin   g  u sin  ky  g  ky  g   e  kt 1 t   logky  g u sin   y  ku sin   g y  ku sin   g e  kt  g  1 k  k
  • 105.
    c) Find thevalue of t when the particle reaches its maximum height
  • 106.
    c) Find thevalue of t when the particle reaches its maximum height Maximum height occurs when y  0 
  • 107.
    c) Find thevalue of t when the particle reaches its maximum height Maximum height occurs when y  0  1 t   logky  g u sin  0  k
  • 108.
    c) Find thevalue of t when the particle reaches its maximum height Maximum height occurs when y  0  1 t   logky  g u sin  0  k 1 t   log g   logku sin   g  k
  • 109.
    c) Find thevalue of t when the particle reaches its maximum height Maximum height occurs when y  0  1 t   logky  g u sin  0  k 1 t   log g   logku sin   g  k 1  ku sin   g  t  log  k  g 
  • 110.
    c) Find thevalue of t when the particle reaches its maximum height Maximum height occurs when y  0  1 t   logky  g u sin  0  k 1 t   log g   logku sin   g  k 1  ku sin   g  t  log  k  g  d) What is the limiting value of the horizontal displacement of the particle?
  • 111.
    c) Find thevalue of t when the particle reaches its maximum height Maximum height occurs when y  0  1 t   logky  g u sin  0  k 1 t   log g   logku sin   g  k 1  ku sin   g  t  log  k  g  d) What is the limiting value of the horizontal displacement of the particle? x  ue  kt cos   dx  ue  kt cos  dt
  • 112.
    c) Find thevalue of t when the particle reaches its maximum height Maximum height occurs when y  0  1 t   logky  g u sin  0  k 1 t   log g   logku sin   g  k 1  ku sin   g  t  log  k  g  d) What is the limiting value of the horizontal displacement of the  particle? x  lim u cos   e  kt dt x  ue  kt cos   t  0 dx  ue  kt cos  dt
  • 113.
    c) Find thevalue of t when the particle reaches its maximum height Maximum height occurs when y  0  1 t   logky  g u sin  0  k 1 t   log g   logku sin   g  k 1  ku sin   g  t  log  k  g  d) What is the limiting value of the horizontal displacement of the  particle? x  lim u cos   e  kt dt x  ue  kt cos   t  0 t dx x  lim u cos   e  kt  1  ue cos   kt  k 0 dt t   
  • 114.
    c) Find thevalue of t when the particle reaches its maximum height Maximum height occurs when y  0  1 t   logky  g u sin  0  k 1 t   log g   logku sin   g  k 1  ku sin   g  t  log  k  g  d) What is the limiting value of the horizontal displacement of the  particle? x  lim u cos   e  kt dt x  ue  kt cos   t  0 t dx x  lim u cos   e  kt  1  ue cos   kt  k 0 dt t    u cos  x  lim  e kt  1 t  k
  • 115.
    c) Find thevalue of t when the particle reaches its maximum height Maximum height occurs when y  0  1 t   logky  g u sin  0  k 1 t   log g   logku sin   g  k 1  ku sin   g  t  log  k  g  d) What is the limiting value of the horizontal displacement of the  particle? x  lim u cos   e  kt dt x  ue  kt cos   t  0 t dx x  lim u cos   e  kt  1  ue cos   kt  k 0 dt t    u cos  x  lim  e kt  1 t  k u cos  x k
  • 116.
    Exercise 9E; 1to 4, 7 Exercise 9F; 1, 2, 4, 7, 9, 12, 14, 16, 20, 22, 25