Á ÒØ ¬ Ø ÓÒ Ó È Ö Ñ Ø Ö× Ò ÝÒ Ñ
ËÝר Ñ× Ú ËÐ Ò ¹ÅÓ Ì Ò ÕÙ ×
º ÈÓÞÒÝ ½
¸ º Ë Ø ×× Ð¾
¸ ĺ Ö Ñ Ò¿
¸ º Ú Ð ¿
Ò Âº × Ó Ö½
½
Ô ÖØÑ ÒØ ÓÒØÖÓÐ ÙØÓÑ Ø Ó¸ ÁÆÎ ËÌ Î¹ÁÈÆ¸ ȹ½ ¹ ¼¸ Ú ÁÈÆ¹¾ ¼ ¸
Óк Ë Ò È ÖÓ Ø Ò Ó ºÈº ¼ ¼¼¼¸ Å Ü Ó º º¸ Å Ü Ó
ÔÓÞÒÝ ´ × Ó Öµ ØÖк ÒÚ ×Ø ÚºÑܺ
¾
Ð ØÖ Ð Ò Ò Ö Ò Ô ÖØÑ ÒØ¸ ÍÒ Ú Ö× ØÝ Ó Ð Ñ Ò ÀÙÒØ×Ú ÐÐ ¸
ÀÙÒØ×Ú ÐÐ ¸ Ä ¿ ÍË × Ø ×× Ð ºÙ º Ù
¿
Ô ÖØÑ ÒØ Ó ÓÒØÖÓи Ú × ÓÒ Ó Ð ØÖ Ð Ò Ò Ö Ò ¸ ÙÐØ
ÁÒ Ò Ö ¸ ÍÒ Ú Ö× Æ ÓÒ Ð ÙØÓÒÓÑ Å Ü Ó¸ Ù ÍÒ Ú Ö× Ø Ö ¸
¼ ½¼¸ Å Ü Ó º º¸ Å Ü Ó Ð Ö Ñ Ò´ Ú Ð µ × ÖÚ ÓÖºÙÒ ÑºÑÜ
½ ÁÒØÖÓ Ù Ø ÓÒ
½º½ ÖÓÙÒ ÓÒ Á ÒØ ¬ Ø ÓÒ
ÅÓ ÖÒ Á ÒØ ¬ Ø ÓÒ Ì ÓÖÝ ´ ½½ ¸ ½¾ ¸ ½¼ µ × ÐÐÝ Ð× Û Ø Ø ÔÖÓ Ð Ñ
Ó Ø Æ ÒØ ÜØÖ Ø ÓÒ Ó × Ò Ð Ò ×Ýר Ñ× ÝÒ Ñ ÔÖÓÔ ÖØ × × ÓÒ
Ú Ð Ð Ø Ñ ×ÙÖ Ñ ÒØ×º ÝÒ Ñ ×Ýר Ñ ÒØ ¬ Ø ÓÒ × ØÖ Ø ÓÒ ÐÐÝ
ÓÒ ÖÒ Û Ø ØÛÓ ××Ù × ×Ø Ñ Ø ÓÒ Ó Ô Ö Ñ Ø Ö× × ÓÒ Ö Ø Ò Óѹ
ÔÐ Ø ×Ø Ø ×Ô Ñ ×ÙÖ Ñ ÒØ× Ò ¸ ר Ø ×Ø Ñ Ø ÓÒ ´¬ÐØ Ö Ò µ Ó ÓÑÔÐ Ø ÐÝ
ÒÓÛÒ ÒÓÒÐ Ò Ö ÝÒ Ñ ×º
Ì × ÔØ Ö Ð× Û Ø Ø ¬Öר Ð ×× Ó ÒØ ¬ Ø ÓÒ ÔÖÓ Ð Ñ׸ Ò Ñ Ðݸ
Ø ×Ø Ñ Ø ÓÒ Ó Ô Ö Ñ Ø Ö× ´ÔÓ×× ÐÝ Ø Ñ ¹Ú ÖÝ Ò µ Ó ÝÒ Ñ ×Ýר Ñ׸ ÓÚ¹
ÖÒ Ý ÒÓÒÐ Ò Ö Ø ÖÑ Ò ×Ø ÓÖ ×ØÓ ×Ø Ç Û Ø Ð Ò Ö ÙÒ ÒÓÛÒ Ô ¹
Ö Ñ Ø Ö× Ò Ø Ö Ø¹ Ò × º
È Ö Ñ Ø Ö ÒØ ¬ Ø ÓÒ ÓÖ « Ö ÒØ Ð ×× × Ó ÒÓÒÐ Ò Ö ×Ýר Ñ× × Ò
ÜØ Ò× Ú ÐÝ ×ØÙ ÙÖ Ò Ø Ð ×Ø Ø Ö ×º × ÐÐݸ Ø Ð ×× Ó Ð Ò¹
Ö Ò ÒÓÒÐ Ò Ö ×Ýר Ñ× Û Ó× ÝÒ Ñ × Ô Ò Ð Ò ÖÐÝ ÓÒ Ø ÙÒ ÒÓÛÒ
Ô Ö Ñ Ø Ö× Û × ÓÒ× Ö ¸ Ò ÜØ ÖÒ Ð ÒÓ × Û × ××ÙÑ ØÓ ×ØÓ ×Ø
´× ¸ ÓÖ Ü ÑÔÐ ¸ ½½ ¸ ½¿ µº ÁÒ Ô Ô Ö ¾¼ Ø ÓÒÚ Ö Ò ÔÖÓÔ ÖØ × Ó Ð ×Ø
×ÕÙ Ö × ´ÄËŵ × Ö Ø Ø Ñ ÔÖÓ ÙÖ Ò Ø ÔÖ × Ò Ó ×ØÓ ×Ø ÒÓ × Û Ö
×ØÙ º Ì Ö Ð Ø ÓÒ× Ô ØÛ Ò ÒÓÒÐ Ò Ö ÙÒ Ø ÓÒ Ò Ñ Ü ÑÙÑ Ú ÐÙ
Ó Ø ÒÓ × Ò× ØÝ ÙÒ Ø ÓÒ Û × ×Ø Ð × ØÓ Ù Ö ÒØ ÓÒÚ Ö Ò º ÁÒ ¾½
Ñ ÐÝ Ó Ó × ÖÚ Ö¹ × Ô Ö Ñ Ø Ö ÒØ ¬ Ö× Û ÜÔÐÓ Ø Ø ¹ÔÖ ÓÖ
ÒÓÛÒ Ô Ö Ñ Ø Ö Ô Ò Ò × Û × ÒØÖÓ Ù ØÓ ÑÔÖÓÚ Ø ÒØ ¬ Ø ÓÒ
Ô Ö ÓÖÑ Ò º ÄÝ ÔÙÒÓڹРÔÔÖÓ Û × ×Ù ×Ø Ò ¾¾ ØÓ ÓÒרÖÙ Ø
ר Ð ÔØ Ú Ð ÓÖ Ø Ñ ÓÖ Ô Ö Ñ Ø Ö ×Ø Ñ Ø ÓÒ ÓÖ Ø × Û Ò ÒÓ
C. Edwards et al. (Eds.): Advances in Variable Structure, LNCIS 334, pp. 313–347, 2006.
© Springer-Verlag Berlin Heidelberg 2006
ÜØ ÖÒ Ð Ô ÖØÙÖ Ø ÓÒ× Û Ö ÔÖ × ÒØº Ö ÒØ ØÝÔ ÔÖÓ ÙÖ ØÓ Ø Ö Û Ø
Ò Ø ÓÒ Ð ×Ø Ø ×Ô ×Ø Ñ ØÓÖ Ó ÄÙ Ò Ö Ö ×ØÖÙ ØÙÖ Û Ö ÔÔÐ ØÓ
Ö Ð Þ ×ÝÑÔØÓØ Ô Ö Ñ Ø Ö ÓÒÚ Ö Ò º
Ê Ñ Ö ½º Ò Ö Ð ØÙÖ Ó Ø ÔÙ Ð Ø ÓÒ× × Ö ÓÚ × Ø Ø Ü Ø
ר Ø ×Ô Ú ØÓÖ Ñ ×ÙÖ Ñ ÒØ× Ö ××ÙÑ ØÓ Ú Ð Ð º
½º¾ ÅÓØ Ú Ø ÓÒ
× Û ÐÖ Ý Ñ ÒØ ÓÒ ÓÚ ¸ Ù×Ù ÐÐÝ ÐÐ ×Ø Ø × Ó ÝÒ Ñ ×Ýר Ñ ØÓ
ÒØ ¬ Ö ××ÙÑ ØÓ Ñ ×ÙÖ ÓÒ¹Ð Ò Ü ØÐÝ Û Ø ÓÙØ ÒÝ ÓÙØÔÙØ
רÙÖ Ò × ´× ÓÖ Ü ÑÔÐ ¾ ¸ ¾ ¸ ¾ µº ÅÓÖ ÓÚ Ö¸ ÔÖ Ø ÐÐÝ ÐÐ Ø ¹
Ò Õ٠׸ ÔÔÐ ÓÖ ×Ù ×× ÙÐ Ô Ö Ñ ØÖ ÒØ ¬ Ø ÓÒ¸ Ñ Ò Ø ¬Ò Ð
Ö ÔÖ × ÒØ Ø ÓÒ Ó Ø ÓÒ× Ö ÝÒ Ñ × Ò Ø ¸ ×Ó¹ ÐÐ ¸ ÒÓÖÑ Ð Ö Ö ×¹
× ÓÒ ÓÖÑ ¸ Ø Ø ×¸
ÞØ ¤Ø³Ø · Ø
Û Ö ÞØ × Ò Ö Ð Þ ÓÙØÔÙØ Ó Ø ×Ýר Ѹ ³Ø × Ö Ö ××ÓÖ ¸ Ø ×
רÙÖ Ò ÒÓ × Ò ¤Ø × Ñ ØÖ Ü ÙÒ Ø ÓÒ ´ ÓÒר ÒØµ ØÓ ÒØ ¬ º
ÓØ Ú Ö Ð × ÞØ Ò ³Ø Ö ××ÙÑ ØÓ Ñ ×ÙÖ Ð ´ Ú Ð Ð µ ÓÒ¹Ð Ò º
Á Ø ÝÒ Ñ × Ó Ø ×Ýר Ñ Û Ø ÙÒ ÒÓÛÒ Ô Ö Ñ Ø Ö× × Ú Ò Ò ÒÓÖÑ Ð
Ö Ö ×× ÓÒ ÓÖÑ ¸ Ø Ò ×ÓÑ Û ÐÐ ÒÓÛÒ ÔÔÖÓ ×¸ × ÐÐÝ Ø Ä ×Ø ËÕÙ Ö
Å Ø Ó × ´ÄËŵ ÓÖ ÓÒר ÒØ Ô Ö Ñ Ø Ö ÒØ ¬ Ø ÓÒ ÓÖ ÄËÅ Û Ø Ñ ØÖ Ü
ÓÖ ØØ Ò ØÓÖ ½ ¸ ½ ¸ Ñ Ý ÔÔÐ º
ÁÒ Ø × Ö Ø Ø Ñ × ¸ Û Ò Ø ÝÒ Ñ ×¸ ÓÖ Ü ÑÔÐ ¸ Ö Ú Ò Ý
Ø ÓÐÐÓÛ Ò « Ö Ò ÕÙ Ø ÓÒ
ÜØ·½ ÜØ · ØÜØ · ØÙØ · Ø
Û Ñ Ý ¬Ò Ø Ú Ö Ð × Ô ÖØ Ô Ø Ò Ò ÒÓÖÑ Ð Ö Ö ×× ÓÒ ÓÖÑ × Óй
ÐÓÛ×
ÞØ ÜØ·½  ÜØ
¤Ø Ø
ººº Ø
³Ø ÜØ
ººº ÙØ
ÁÒ Ø Ò ÐÓ ÓÙ× ÓÒØ ÒÙÓÙ× Ø Ñ × ¸ Û Ò ×Ýר Ñ ÝÒ Ñ × × Ú Ò Ý
Ø ÓÐÐÓÛ Ò Ç
ÜØ ØÜØ · ØÙØ · Ø
ØÓ Ó Ø Ò Ø ÒÓÖÑ Ð Ö Ö ×× ÓÒ ÓÖÑ Û Ò ØÓ ÛÖ Ø
ÞØ ÜØ
¤Ø Ø
ººº Ø
³Ø ÜØ
ººº ÙØ
314 A. Poznyak et al.
Á ÒØ ¬ Ø ÓÒ Ó È Ö Ñ Ø Ö× Ò ÝÒ Ñ ËÝר Ñ× ¿½
Ì × Ñ Ò× Ø Ø Û × ÓÙÐ Ñ ×ÙÖ ÒÓØ ÓÒÐÝ Ø Ô Ö ´ÜØ ÙØµ¸ ÙØ Ð×Ó ÜØº
Ì × × Ø ÔÖ Ò Ô Ð ÔÖÓ Ð Ñ Ò Ø ÓÒØ ÒÙÓÙ× Ø Ñ Ô Ö Ñ Ø Ö ÒØ ¬ Ø ÓÒº
ÁÒ Ø ÓÒר ÒØ Ô Ö Ñ Ø Ö × ¸ Ø × ÔÖÓ Ð Ñ Ñ Ý ×Ù ×× ÙÐÐÝ ÓÚ Ö ÓÑ
Ý × ÑÔÐ ÒØ Ö Ø ÓÒ Ó Ø ÝÒ Ñ ÕÙ Ø ÓÒ¸ º º¸
ÜØ·  ÜØ
Ø·
× Ø
Ü× × ·
Ø·
× Ø
Ù× × ·
Ø·
× Ø
× ×
ËÓ¸ Ø ÓÖÖ ×ÔÓÒ Ò ÒÓÖÑ Ð Ö Ö ×× ÓÒ ÓÖÑ ×
ÞØ ÜØ·  ÜØ
¤Ø ººº
³Ø
Ê Ø·
× Ø Ü× ×
ººº
Ê Ø·
× Ø Ù× ×
ÓÖ Ø Ñ ¹Ú ÖÝ Ò Ô Ö Ñ Ø Ö× Ø × ØÖ Ú ÒØÐÝ Ò ÒÓØ ÔÔÐ Ò ÓÒ
Ò × ØÓ Ú Ò ×Ø Ñ Ø Ó Ø Ö Ú Ø Ú ÜØ ØÓ ÔÔÐÝ Ø ÒÓÛÒ ÒØ ¬ Ø ÓÒ
Ñ Ø Ó ×º Ì × Ò ÓÒ ×Ù ×× ÙÐÐÝ Ý Ø ÔÔÐ Ø ÓÒ Ó ËÐ Ò ¹ÅÓ
Ø Ò ÕÙ × Û ÔÖÓÚ Ø Ü Ø ÓÒ¹Ð Ò ×Ø Ñ Ø ÓÒ Ó Ø Ö Ú Ø Ú ÜØ Ò
¬Ò Ø Ø Ñ Û Ñ Ý × ×Ñ ÐÐ × × Ö º
Ì Ò ÜØ × Ø ÓÒ× ÑÓÒ×ØÖ Ø ÓÛ Ø ËÐ Ò ÅÓ ÔÔÖÓ Ò ÔÔÐ
ÓÖ Ô Ö Ñ ØÖ ÒØ ¬ Ø ÓÒ Ó Ç Ò Ø ÔÖ × Ò Ó Ø ÖÑ Ò ×Ø ÓÙÒ
Ò ×ØÓ ×Ø ÒÓ × ×º
¾ Á ÒØ ¬ Ø ÓÒ Ó Ì Ñ ÁÒÚ Ö ÒØ È Ö Ñ Ø Ö×
¾º½ È Ö Ñ Ø Ö Á ÒØ ¬ Ø ÓÒ Ú Öר Ò Ë ÓÒ ÇÖ Ö ËÐ Ò
ÅÓ ×
ËÙÔÔÓ× Ø Ø ÝÒ Ñ × Ó Ò ÆÒ ×Ýר Ñ Û Ø ÓÙÒ Ô Ö Ñ Ø Ö× Ò
Ö Ð Þ × ×Ýר Ñ Ó ¬Öר ÓÖ Ö « Ö ÒØ Ð ÕÙ Ø ÓÒ×
Ü Ø³Ø´Üµ · شܵ
Ý Ü ´½µ
Û Ø Ü ¾ ÊÒ¸ ³Ø´Üµ ¾ ÊÒ Ò Ø´Üµ ¾ ÊÒ Ö ÒÓÛÒ Ä Ô× ØÞ Ú ØÓÖ ¬ Р׸
Ý ¾ ÊÒ × Ñ ×ÙÖ Ñ ÒØ Ú ØÓÖ Ò Ø × ÓÒר ÒØ Ñ ØÖ ܺ
Ì ÔÖÓ Ð Ñ × ØÓ × Ò ×Ð Ò ÑÓ Ô Ö Ñ Ø Ö Ó × ÖÚ Ö ÓÖ Ø ×Ýר Ñ
´½µ Ø Ø ÔÖÓÚ × Ø Ð ×Ø ×ÝÑÔØÓØ ר Ñ Ø ÓÒ ÖÖÓÖ ÝÒ Ñ ×¸ º º
Ð Ñ
Ø ½
­
­
­ Ø   Ø
­
­
­ ¼ ´¾µ
Û Ö Ø × Ø ×Ø Ñ Ø Ó Ø
××ÙÑÔØ ÓÒ ½º Ì ÓÐÐÓÛ Ò ÓÒ Ø ÓÒ× Ö ××ÙÑ ØÓ ÓÐ ÓÖ Ø
ÔÐ ÒØ ´½µ
´ µ Ø × ÓÒר ÒØ Ñ ØÖ Ü
´ µ ³Ø´Üµ · Ü
´ µ ³Ø´Üµ
´ µ Ñ ØÖ Ü ¨´Ø½ ØÒµ ¾ ÊÒ¢Ò Ú Ò Ý
¨´Ø½ ØÒµ ¨´³Ø½
´Üؽ µ ³Ø¾
´Üؾ µ ³ØÒ ´ÜØÒµµ ´¿µ
× ÒÓÒ× Ò ÙÐ Ö ÓÖ Ø½ ØÒ Û Ø Ø½ ؼ ¼
Öר ÇÖ Ö ËÐ Ò ÅÓ × ÔÔÐ Ø ÓÒ
Ì Ô Ö Ñ Ø Ö ×Ø Ñ Ø ÓÒ Ð ÓÖ Ø Ñ ÓÖ Ø ÔÐ ÒØ Ú Ò Ý ´½µ Ø Ø Ó Ý×
××ÙÑÔØ ÓÒ ½ × ÓÖÑÙÐ Ø Ò Ø ÓÐÐÓÛ Ò Ø ÓÖ Ñº
Ì ÓÖ Ñ ½º Á ××ÙÑÔØ ÓÒ ½ × × Ø ×¬ ÓÖ Ø ÔÐ ÒØ Ò ´½µ Ø Ò Ø ÓÒר ÒØ
Ñ ØÖ Ü Ò Ü ØÐÝ ×Ø Ñ Ø Ø ØÒ Ý
¢
Í Õ ´Ø½ ØÒµ  ©´Ø½ ØÒµ
£
¨ ½
´Ø½ ØÒµ
´ µ
Û Ö
©´Ø½ ØÒµ
¢
ؽ
´Üؽ µ ØÒ ´ÜØÒµ
£
¾ ÊÒ¢Ò
Í Õ ´Ø½ ØÒµ Ù Õ Ø½ Ù Õ ØÒ ¾ ÊÒ¢Ò ´ µ
Û Ø Ø½ ØÖ ØÖ
´¼µ
Ò Ù Õ Ø ¾ ÊÒ ×Ø Ò Ò ÓÖ Ø ÕÙ Ú Ð ÒØ ÓÒØÖÓÐ
¹ Ò Ø Ó × ÖÚ Ö
ØÜ Ù Ü´¼µ ¼
٠شܵ · ´ · ·
´ · Ü µµ
Ý  Ü
´ µ
ÈÖÓÓ Ó Ì ÓÖ Ñ ½ × Ú Ò Ò Ø ÔÔ Ò Ü
Ê Ñ Ö ¾º Ì ÕÙ Ú Ð ÒØ ÓÒØÖÓÐ Ù ÕØ Ò ´ µ¸´ µ Ò ×Ø Ñ Ø Ý ÐÓÛ Ô ××
¬ÐØ Ö Ò ´ÄÈ µ ¹ Ó Ø Ö ÕÙ Ò Ý ×Û Ø Ò Ô ÖØ Ó Ø ÓÒØÖÓÐ Ù
Ò ´ µ Ò Ò Ø ØÓ Ø ÒÓÛÒ ÓÒØ ÒÙÓÙ× Ú ØÓÖ ¬ Рشܵ
Ù Õ Ø Ø´Üµ · ÄÈ ´Úµ
Ú ´ · ·
´« · ¬ Ü µµ ´ µ
Ì ÕÙ Ú Ð ÒØ ÓÒØÖÓÐ ×Ø Ñ Ø Ù Õ Ø Ñ Ý ÓÒÚ Ö ØÓ Ù Õ Ø ÓÒÐÝ ×ÝÑÔ¹
ØÓØ ÐÐÝ Ù ØÓ Ø ÝÒ Ñ Ð ÔÖÓÔ ÖØ × Ó Ø ÄÈ º Í×Ù ÐÐݸ ÓÒÐÝ ÞÓÒ ÓÒ¹
Ú Ö Ò Ò Ú ¸ º º
Ù Õ Ø  Ù Õ Ø Ç´ µ ´ µ
316 A. Poznyak et al.
Á ÒØ ¬ Ø ÓÒ Ó È Ö Ñ Ø Ö× Ò ÝÒ Ñ ËÝר Ñ× ¿½
× Ø Ñ Ò Ö × ×º ÈÖ Ø ÐÐÝ Õº ´½ µ ÓÐ × Ø Ö Ø ØÖ Ò× ÒØ Ö ×ÔÓÒ× Ò Ø
ÄÈ × ÓÙØ¸ º º ÓÖ Ø ØÖ · Ì ¸ Û Ö Ì Û Ø ×Ø Ò Ò ÓÖ Ø Ø Ñ
ÓÒר ÒØ Ó Ø ÄÈ ½ º ËÓ¸ Ù× Ò Ø ÕÙ Ú Ð ÒØ ÓÒØÖÓÐ ×Ø Ñ Ø ´½¿µ¸ Ø
Ñ ØÖ Ü Ò Ð×Ó ÓÒÐÝ ×Ø Ñ Ø ÔÔÖÓÜ Ñ Ø Ðݸ º º
Í Õ ´Ø½ ØÒµ  ©´Ø½ ØÒµ ¨ ½
´Ø½ ØÒµ
´ µ
Û Ö
Í Õ ´Ø½ ØÒµ Ù Õ Ø½ Ù Õ ØÒ ¾ ÊÒ¢Ò
ؽ ØÖ · Ì Ò
­
­
­  
­
­
­ Ç´ µ
Ê Ñ Ö ¿º ÁÒ Ø Ó × ÖÚ Ö ´ µ¸ ÜØ ÜØ ÓÐ × Ò Ø ×Ð Ò ÑÓ ¼¸ Ò
Ù Õ Ø ×Ø Ñ Ø × ÜØ º º ÜØ Ù Õ Ø Ø ØÖ ËÓ¸ Ø Ð ÓÖ Ø Ñ Ò ´ µ Ò ´ µ
Ö ÔÖ × ÒØ× ØÖ Ø ÓÒ Ð ËÅ ¹ × « Ö ÒØ ØÓÖ ¸ º
ËÙÔ Ö ÌÛ ×Ø Ò Ø Ò ÕÙ
ÁÒ ÓÖ Ö ØÓ ÚÓ ÄÈ × Ò ´½¿µ Ø Ø Ý Ð ÓÒÐÝ ÔÔÖÓÜ Ñ Ø ×Ø Ñ Ø ÓÒ Ó Ø
Ñ ØÖ Ü Ò ´½µ¸ Ø × Ò ¬ Ð ØÓ Ù× × ÓÒ ÓÖ Ö ×Ð Ò ÑÓ ÓÒØÖÓÐÐ Ö
ÔÖÓÚ Ò ¬Ò Ø Ø Ñ ÓÒÚ Ö Ò ØÓ Ø ×Ð Ò Ú Ö Ð Ò Ø× Ö Ú Ø Ú
Ý Ñ Ò× Ó ÓÒØ ÒÙÓÙ× ÓÒØÖÓÐ Ò Ø Ô Ö Ñ Ø Ö Ó × ÖÚ Ø ÓÒ Ð ÓÖ Ø Ñº Ì
ËÇËŹ × Ô Ö Ñ Ø Ö ×Ø Ñ Ø ÓÒ Ð ÓÖ Ø Ñ ÓÖ Ø ÔÐ ÒØ Ú Ò Ý ´½µ Ø Ø
Ó Ý× ××ÙÑÔØ ÓÒ ½ × ÓÖÑÙÐ Ø Ò Ø ÓÐÐÓÛ Ò Ø ÓÖ Ñº
Ì ÓÖ Ñ ¾º Á ××ÙÑÔØ ÓÒ ½ × × Ø ×¬ ÓÖ Ø ÔÐ ÒØ ´½µ Ø Ò Ø ÓÒר ÒØ
Ñ ØÖ Ü Ò Ü ØÐÝ ×Ø Ñ Ø Ø ØÒ Ý
¢
ʹؽ ØÒµ  ©´Ø½ ØÒµ
£
¨ ½
´Ø½ ØÒµ
´½¼µ
Û Ö
©´Ø½ ØÒµ
¢
ؽ
´Üؽ µ ØÒ ´ÜØÒµ
£
¾ ÊÒ¢Ò
ʹؽ ØÒµ ÙØ½ ÙØÒ ¾ ÊÒ¢Ò ´½½µ
Û Ø ÙØ Ù½ ؽ ÙÒ ØÒ
Ì ¾ ÊÒ Ò
Ù « ½ ¾
× Ò´ µ · ¬ Ú · Ø ´Üµ
Ú × Ò´ µ ½ Ò
´½¾µ
«
Õ
¾
¬  ·
´¬· ·
µ´½·Õµ
´½ Õµ
¬ ·
½ Ò
´½¿µ
Ö ÔÖ × ÒØ Ò Ø ÓÒØÖÓÐ Ò Ø Ó × ÖÚ Ö
ØÜ Ù Ü´¼µ ¼
Ý  Ü ´½ µ
ÙÖ Ò Ø × ÓÒ ÓÖ Ö ×Ð Ò ÑÓ ¼
ÈÖÓÓ Ó Ì ÓÖ Ñ ¾ × Ú Ò Ò Ø ÔÔ Ò Üº
Ê Ñ Ö º Ì Ö × ÒÓ Ò ØÓ ¬ÐØ Ö ÙØ Û Ò ×Ø Ñ Ø Ò Ø Ñ ØÖ Ü Ò ´½¼µ¸
× Ò ÙØ Ò ´½¾µ × ÐÖ Ý ÓÒØ ÒÙÓÙ× Ù ØÓ Ø ÒØ Ö Ø ÓÒ Ó Ö ÕÙ Ò Ý
×Û Ø Ò Ô ÖØ Ó Ø ÓÒØÖÓÐ Ò ´½¾µº
Ê Ñ Ö º Ì ÓÒØÖÓÐ ÙÒ Ø ÓÒ ´½¾µ¸ Û × ÐÐ Ø ×ÙÔ Ö¹ØÛ ר Ò ÓÒ¹
ØÖÓÐÐ Ö ¸ Ü ØÐÝ ×Ø Ñ Ø × ÜØ º º ÜØ ÙØ Ò Ø × ÓÒ ÓÖ Ö ×Ð Ò ÑÓ
¼º ËÓ¸ Ø Ð ÓÖ Ø Ñ Ò ´½¾µ¹´½ µ × Ò Ü Ø × ÓÒ ËÇËŹ ×
« Ö ÒØ ØÓÖ º
¾º¾ ËÙÔ Ö ÌÛ ×Ø Ò × Ç × ÖÚ Ö ÓÖ Å Ò Ð ËÝר Ñ×
ÈÖÓ Ð Ñ ËØ Ø Ñ ÒØ
ÓÒ× Ö Ø Ò Ö Ð ÑÓ Ð Ó × Ð Ö × ÓÒ ÓÖ Ö Ñ Ò Ð ×Ýר Ñ
Å´ÕµÕ· ´Õ ÕµÕ· È´Õµ · ´Õµ · ¡´Ø Õ Õµ Ù ´½ µ
Û Ö Õ ¾ ÊÒ × Ú ØÓÖ Ó Ò Ö Ð Þ ÓÓÖ Ò Ø ×¸ Å´Õµ × Ø Ò ÖØ
Ñ ØÖ ܸ ´Õ Õµ × Ø Ñ ØÖ Ü Ó ÓÖ ÓÐ × Ò ÒØÖ Ù Ð ÓÖ ×¸ È´Õµ × Ø
ÓÙÐÓÑ Ö Ø ÓÒ Û ÓÙÐ ÓÒØ Ò Ö Ð Ý Ø ÖÑ× Ô Ò Ò ÓÒ Õ¸ ´Õµ × Ø
Ö Ú Ø Ø ÓÒ Ð ÓÖ × Ø ÖѸ ¡Ø´Õ Õµ × Ò ÙÒ ÖØ ÒØÝ Ø ÖÑ Ò Ù × Ø ØÓÖÕÙ
ÔÖÓ Ù Ý Ø ØÙ ØÓÖ׺ Ì ÓÒØÖÓÐ ÒÔÙØ Ù × ××ÙÑ ØÓ Ú Ò Ý ×ÓÑ
ÒÓÛÒ ÙÒ Ø ÓÒº ÆÓØ Ø Ø Å´Õµ × ÒÚ ÖØ Ð ¸ × Ò Å´Õµ ÅÌ´Õµ
× ×ØÖ ØÐÝ ÔÓ× Ø Ú ¬Ò Ø º Ð×Ó ÓØ Ö Ø ÖÑ× Ö ×ÙÔÔÓ× ØÓ ÙÒ ÖØ Ò¸
ÙØ Ø ÓÖÖ ×ÔÓÒ Ò ÒÓÑ Ò Ð ÙÒ Ø ÓÒ× ÅÒ´Õµ¸ Ò´Õ Õµ¸ÈÒ´Õµ¸ Ò´Õµ Ö
××ÙÑ ÒÓÛÒº
ÁÒØÖÓ Ù Ò Ø Ú Ö Ð × Ü½ Õ¸ ܾ Õ¸ Ø ÑÓ Ð ´½ µ Ò Ö ÛÖ ØØ Ò
Ò Ø ×Ø Ø ×Ô ÓÖÑ
ܽ ܾ
ܾ شܽ ܾ Ùµ · شܽ ܾ Ùµ Ù ÍØ´Ü½ ܾµ ´½ µ
Ý Ü½
Û Ö Ø ÒÓÑ Ò Ð Ô ÖØ Ó Ø ×Ýר Ñ ÝÒ Ñ × Ö Ö ÔÖ × ÒØ Ý Ø ÙÒ Ø ÓÒ
شܽ ܾ Ùµ  Å ½
Ò ´Ü½µ Ҵܽ ܾµÜ¾ · Ҵܽµ  Ù
ÓÒØ Ò Ò Ø ÒÓÛÒ ÒÓÑ Ò Ð ÙÒ Ø ÓÒ× ÅÒ¸ Ò¸ Ò¸ Û Ð Ø ÙÒ ÖØ ÒØÝ
× ÓÒ ÒØÖ Ø Ò Ø Ø ÖÑ Ø´Ü½ ܾ Ùµº Ì ×Ýר Ñ ´½ µ × ÙÒ ÖרÓÓ Ò
Ð ÔÔÓÚ × Ò× ½ º ÁØ × ××ÙÑ Ø Ø Ø ÙÒ Ø ÓÒ Ø´Ü½ ܾ ÍØ´Ü½ ܾµµ Ò
Ø Ô ÖØÙÖ Ø ÓÒ Ø´Ü½ ܾ ÍØ´Ü½ ܾµµ Ö Ä × Ù ¹Ñ ×ÙÖ Ð Ò ÙÒ ÓÖÑÐÝ
ÓÙÒ Ò ÒÝ ÓÑÔ Ø Ö ÓÒ Ó Ø ×Ø Ø ×Ô Ü½¸ ܾ º
Ì Ø × × ØÓ × Ò ¬Ò Ø ¹Ø Ñ ÓÒÚ Ö ÒØ Ó × ÖÚ Ö Ó Ø Ú ÐÓ ØÝ
Õ ÓÖ Ø ÓÖ Ò Ð ×Ýר Ñ ´½ µ¸ Û Ò ÓÒÐÝ Ø ÔÓ× Ø ÓÒ Õ Ò Ø ÒÓÑ Ò Ð
318 A. Poznyak et al.
Á ÒØ ¬ Ø ÓÒ Ó È Ö Ñ Ø Ö× Ò ÝÒ Ñ ËÝר Ñ× ¿½
ÑÓ Ð Ö Ú Ð Ð º ÁÒ ÓØ Ö ÛÓÖ ×¸ Ø ×Ø Ø Ü¾ Ó Ø ×Ýר Ñ ´½ µ × ØÓ
Ó × ÖÚ ¸ Û Ð ÓÒÐÝ Ø ×Ø Ø Ü½ × Ú Ð Ð º ÇÒÐÝ Ø × Ð Ö × Ü½ ܾ ¾
Ê × ÓÒ× Ö ÓÖ × ÑÔÐ ØÝ Ö ×ÓÒ׺ ÁÒ Ø Ú ØÓÖ × Ø Ó × ÖÚ Ö× Ö
ÓÒרÖÙ Ø Ò Ü ØÐÝ Ø × Ñ Û Ý ÓÖ ÔÓ× Ø ÓÒ Ú Ö Ð Ü½ Ò Ô Ö ÐРк
Ç × ÖÚ Ö × Ò
ÁÒ Ø × × Ø ÓÒ Ø ×ÙÔ Ö¹ØÛ ר Ò Ð ÓÖ Ø Ñ × ÑÓ ¬ Ò ÓÖ Ö ØÓ Ó Ø Ò
ÖÓ Ùר ÓÒÚ Ö Ò Ó Ø ×Ø Ñ Ø ×Ø Ø × ØÓ Ø Ö Ð ×Ø Ø ×º Ì ÔÖÓÔÓ×
×ÙÔ Ö¹ØÛ ר Ò Ó × ÖÚ Ö × Ø ÓÖÑ
ܽ ܾ · Þ½
ܾ شܽ ܾ Ùµ · Þ¾
´½ µ
Û Ö Ü½ Ò Ü¾ Ö Ø ×Ø Ø ×Ø Ñ Ø ÓÒ׸ Ò Ø ÓÖÖ Ø ÓÒ Ú Ö Ð × Þ½ Ò
Þ¾ Ö Ð ÙÐ Ø Ý Ø ×ÙÔ Ö¹ØÛ ר Ò Ð ÓÖ Ø Ñ
Þ½ ¬ ܽ  Ü½
½ ¾
× Ò´Ü½  Ü½µ
Þ¾ «× Ҵܽ  Ü½µ
´½ µ
ÁØ × ××ÙÑ Ø Ø Ø Ø Ò Ø Ð ÑÓÑ ÒØ ܽ ܽ Ò Ü¾ ¼º Ì Ò Ü½
ܽ  Ü½ Ò Ü¾ ܾ  Ü¾ Û Ó Ø Ò Ø ÕÙ Ø ÓÒ× ÓÖ Ø ÖÖÓÖ ×Ýר Ñ
ܽ ܾ  ¬ ܽ
½ ¾
× Ò´Ü½µ
ܾ شܽ ܾ ܾµ  «× Ҵܽµ
´½ µ
Û Ö Ø´Ü½ ܾ ܾµ Ø´Ü ÍØ´Üµµ   شܽ ܾ ÍØ´Üµµ · Ø´Ü ÍØ´Üµµ Ò Ü
´Ü½ ܾµº ËÙÔÔÓ× Ø Ø Ø ×Ýר Ñ ×Ø Ø × Ò ××ÙÑ ØÓ ÓÙÒ ¸ Ø Ò
ÓÒר ÒØ ·
× Ù Ö ÒØ ØÓ Ü ×Ø¸ ×Ù Ø Ø Ø Ò ÕÙ Ð ØÝ
شܽ ܾ ܾµ ·
´¾¼µ
ÓÐ × ÓÖ ÒÝ ÔÓ×× Ð Ø¸ ܽ¸ ܾ Ò Ü¾ ¾×ÙÔ Ü¾ º
Ê Ñ Ö º ËÙ ××ÙÑÔØ ÓÒ Ó ×Ø Ø ÓÙÒ Ò ×× × ØÖÙ ¸ ¸ ÓÖ Ü ÑÔÐ ×Ý×¹
Ø Ñ ´½ µ × Á Ë ×Ø Ð ¸ Ò Ø ÓÒØÖÓÐ ÒÔÙØ Ù ÍØ´Ü½ ܾµ × ÓÙÒ º
ÁÒ ×ÓÑ × × Ø ÓÒר ÒØ ·
Ò ÓÙÒ ÖÓÑ Ô Ý× Ð Ö ×ÓÒ Ò ¸ ¸ ÓÖ
Ü ÑÔÐ ¸ Ø Ñ Ü ÑÙÑ ÔÓ×× Ð Ð Ö Ø ÓÒ Ò Ø ×Ýר Ñ × ÔÖ ÓÖ ÒÓÛÒº
ÆÓØ Ø Ø Ø ×Ø Ñ Ø ÓÒ ÓÒר ÒØ ·
Ó × ÒÓØ Ô Ò ÓÒ Ø ÒÓÑ Ò Ð Ð ×¹
Ø ØÝ Ò ÓÒØÖÓÐ Ø ÖÑ׺
Ä Ø « Ò ¬ × Ø × Ý Ø Ò ÕÙ Ð Ø ×
« ·
¬
Õ
¾
«  ·
´«· ·
µ´½·Ôµ
´½ Ôµ
´¾½µ
Û Ö Ô × ×ÓÑ Ó× Ò ÓÒר ÒØ¸ ¼ Ô ½º
Ì ÓÖ Ñ ¿º Ì Ó × ÖÚ Ö ´½ µ¸´½ µ ÓÖ Ø ×Ýר Ñ ´½ µ Ò×ÙÖ × Ø ¬Ò Ø
Ø Ñ ÓÒÚ Ö Ò Ó ×Ø Ñ Ø ×Ø Ø × ØÓ Ø Ö Ð ×Ø Ø ×¸ º º ´Ü½ ܾµ ´Ü½ ܾµ
Ì ÔÖÓÓ Ó Ì ÓÖ Ñ ¿ × Ú Ò Ò Ø ÔÔ Ò Üº
Ê Ñ Ö º Ì ¬Ò Ø Ø Ñ ÓÒÚ Ö Ò Ó Ø Ó × ÖÚ Ö ÐÐÓÛ× Ø Ó × ÖÚ Ö Ò
Ø ÓÒØÖÓÐ ØÓ × Ò × Ô Ö Ø Ðݸ º º Ø × Ô Ö Ø ÓÒ ÔÖ Ò ÔÐ × × Ø ×¬ Ø
Ð ×Ø ÓÖ ÙÔÔ Ö ÓÙÒ ÓÒØÖÓÐ Ð Û׺ Ì ÓÒÐÝ Ö ÕÙ Ö Ñ ÒØ ÓÖ Ø× ÑÔÐ Ñ Ò¹
Ø Ø ÓÒ × Ø ÓÙÒ Ò ×× Ó Ø ÙÒ Ø ÓÒ Ø´Ü½ ܾ ܾ Ùµ Ò Ø ÓÔ Ö Ø ÓÒ Ð
ÓÑ Òº Á Ø ×Ø Ø ÓÒØÖÓÐÐ Ö × ÒÓÛÒ ØÓ ר Ð Þ Ø ÔÖÓ ×׸ ÓÒ
ÔÓ×× Ð ØÝ × ØÓ ÓÓ× Ø Ó × ÖÚ Ö ÝÒ Ñ × ×Ø ÒÓÙ ØÓ ÔÖÓÚ ÓÖ Ø
Ü Ø Ú ÐÙ Ø ÓÒ Ó Ø Ú ÐÓ ØÝ ÓÖ Ø ×Ø Ø × Ð Ú ×ÓÑ Ó× Ò ÓÑ Ò
Ò Û ×Ø Ð Þ Ø ÓÒ × ××ÙÖ º Ì × × × ÐÝ Ô Ö ÓÖÑ Ò × ÑÙÐ Ø ÓÒ ´×
Ø Ü ÑÔÐ ÐÓÛµº
Ê Ñ Ö º Ì ×Ø Ò Ö ¾¹×Ð Ò ¹ÑÓ ¹ × « Ö ÒØ ØÓÖ ¾ Ò Ð×Ó
ÑÔÐ Ñ ÒØ Ö ØÓ ר Ñ Ø Ø Ú ÐÓ ØÝº Ø Ø × Ñ Ø Ñ ¸ Ø ÔÖÓÔÓ×
Ó × ÖÚ Ö Ö ÕÙ Ö × ×Ñ ÐÐ Ö Ò× Ò × ÑÓÖ ÙÖ Ø ¸ × Ò Ø Ð ×Ø ØÝ Ø ÖÑ
Å ½
´Õµ ´Õµ Ó × ÒÓØ Ò­Ù Ò Ø Ó Ó Òº
Ê Ñ Ö º ÒÓØ Ö Û Ý ØÓ ÓÓ× « Ò × ØÓ Ø « ½
·
¸ ¬ ¾ ´ ·
µ½ ¾
Û Ø ×ÓÑ ÔÖÓÔ ÖÐÝ ÔÖ Ø ÖÑ Ò ÓÒר ÒØ× ½¸ ¾ º ÁÒ Ô ÖØ ÙÐ Ö¸ ½ ½ ½¸
¾ ½ × Ú Ð Ó ¾ º
Ì Ó × ÖÚ Ö³× ¬Ò Ø Ø Ñ ÓÒÚ Ö Ò Ò×ÙÖ × Ø Ó × ÖÚ Ö ÝÒ Ñ × Ú Ò¹
× Ò ¬Ò Ø Ø Ñ ¸ Ð ØØ Ò ÛÓÖ Ø ÓÒØÖÓÐ ÓÚ Ö Ø ×Ýר Ñ× Ö Ð ÝÒ Ñ × Ò
¬Ò Ø Ø Ñ º Ì × ÓÒÚ Ö Ò Û ÐÐ ÐÐÓÛ Ô ÖØÙÖ Ø ÓÒ Ò Ô Ö Ñ Ø Ö ÒØ ¬¹
Ø ÓÒº
È ÖØÙÖ Ø ÓÒ Ò È Ö Ñ Ø Ö Á ÒØ ¬ Ø ÓÒ
Ì ÓÒÚ Ö Ò Ó Ü¾ ØÓ ܾ Ò ¬Ò Ø Ø Ñ Ò×ÙÖ × Ø Ø Ø ÕÙ Ð ØÝ
ܾ شܽ ܾ Ùµ   شܽ ܾ Ùµ · شܽ ܾµ  Þ¾ ¼
ÓÐ × Ø Ö ×ÓÑ ¬Ò Ø Ø Ñ º Ì Ò
Þ¾ شܽ ܾ Ùµ   شܽ ܾ Ùµ · شܽ ܾµ ´¾¾µ
ÁØ Û × ××ÙÑ Ø Ø Ø Ø ÖÑ Þ¾ Ò × Ø ¸ Ø ÓÖ Ø ÐÐÝ Ò¬Ò Ø ¸
Ö ÕÙ Ò Ýº ÀÓÛ Ú Ö¸ Ò Ö Ð ØÝ¸ Ú Ö ÓÙ× ÑÔ Ö Ø ÓÒ× Ñ Ø ×Ø Ø Ó× ÐÐ Ø
Ò ×ÓÑ Ú Ò ØÝ Ó Ø ÒØ Ö× Ø ÓÒ Ò ÓÑÔÓÒ ÒØ× Ó Þ¾ Ö ×Û Ø Ø ¬Ò Ø
Ö ÕÙ Ò Ý¸ Ø × Ó× ÐÐ Ø ÓÒ × Ò ×ÐÓÛ Ö ÕÙ Ò Ý ÓÑÔÓÒ ÒØ×º
Ì Ö ÕÙ Ò Ý Ø ÖÑ Þ¾ × ¬ÐØ Ö ÓÙØ Ò Ø ÑÓØ ÓÒ Ò Ø ×Ð Ò
ÑÓ × Ø ÖÑ Ò Ý Ø ×ÐÓÛ ÓÑÔÓÒ ÒØ º ÁØ × ××ÙÑ Ø Ø Ø ÕÙ Ú¹
Ð ÒØ ÓÒØÖÓÐ × ÐÓ× ØÓ Ø ×ÐÓÛ ÓÑÔÓÒ ÒØ Ó Ø Ö Ð ÓÒØÖÓÐ Û Ñ Ý
Ö Ú Ý ¬ÐØ Ö Ò ÓÙØ Ø ¹ Ö ÕÙ Ò Ý ÓÑÔÓÒ ÒØ Ù× Ò ÐÓÛÔ ×× ¬ÐØ Öº
320 A. Poznyak et al.
Á ÒØ ¬ Ø ÓÒ Ó È Ö Ñ Ø Ö× Ò ÝÒ Ñ ËÝר Ñ× ¿¾½
Ì ¬ÐØ Ö Ø Ñ ÓÒר ÒØ × ÓÙÐ ×ÙÆ ÒØÐÝ ×Ñ ÐÐ ØÓ ÔÖ × ÖÚ Ø ×ÐÓÛ
ÓÑÔÓÒ ÒØ ÙÒ ×ØÓÖØ ÙØ Ð Ö ÒÓÙ ØÓ Ð Ñ Ò Ø Ø Ö ÕÙ Ò Ý Óѹ
ÔÓÒ ÒØº Ì Ù× Ø ÓÒ Ø ÓÒ× ¼ Û Ö × Ø ¬ÐØ Ö Ø Ñ ÓÒר ÒØ¸ Ò
Æ ¼¸ Û Ö Æ × Ø × ÑÔÐ ÒØ ÖÚ Ð¸ ÑÙר ÙЬÐÐ ØÓ ÜØÖ Ø Ø ×ÐÓÛ
ÓÑÔÓÒ ÒØ ÕÙ Ð ØÓ Ø ÕÙ Ú Ð ÒØ ÓÒØÖÓÐ Ò ØÓ ¬ÐØ Ö ÓÙØ Ø Ö ÕÙ Ò Ý
ÓÑÔÓÒ ÒØº
ÁÒ ÓÖ Ö ØÓ ×ÓÐÚ Ø Ô ÖØÙÖ Ø ÓÒ Ò Ô Ö Ñ Ø Ö ÒØ ¬ Ø ÓÒ ÔÖÓ Ð Ñ׸
×Ýר Ñ ´½ µ Ò ÛÖ ØØ Ò ×
ܽ ܾ
ܾ ³Ø´Ü½ ܾ Ùµ ·
Û Ö × Ú ØÓÖ Ó Ô Ö Ñ Ø Ö׸ ³Ø´Ü½ ܾ Ùµ × Ú ØÓÖ Ó Û Ðй ÒÓÛÒ
ÙÒ Ø ÓÒ× Ó ´Ü½ ܾ Ø Ùµ º º ÐÐ Ø ×Ø Ø ÙÒ Ø ÓÒ× Ò Ø Ñ Ò Ð ×Ýר Ѹ
Ò × Ô ÖØÙÖ Ø ÓÒ Ø ÖѺ ÁÒØÖÓ Ù Ò Ò Û ÒÓØ Ø ÓÒ¸ Ø ×ÙÔ Ö¹ØÛ ר Ò
Ó × ÖÚ Ö × Ú Ò Ý
ܽ ܾ · ¬ ܽ
½ ¾
× Ò´Ü½µ
ܾ ³Ø´Ü½ ܾ Ùµ · «× Ҵܽµ
Û Ö Ö Ø ÒÓÑ Ò Ð Ú ÐÙ × Ó Ø Ú ØÓÖ º
Ì ¬Ò Ø Ø Ñ ÓÒÚ Ö Ò Ó Ü½ Ò Ü¾ Ò Ð × ÕÙ Ø ÓÒ ´¾¾µ ØÓ
ÛÖ ØØ Ò Ò Ø ÓÖÑ
Þ¾ «× Ҵܽµ ¡ ³Ø´Ü½ ܾ Ùµ ·
Û Ö ¡   ¸ ³Ø´Ü½ ܾ Ùµ × ÒÓÒÐ Ò Ö Ú ØÓÖ ÓÒØ Ò Ò ÐÐ Ø ÙÒ ¹
Ø ÓÒ× Ó Ø ×Ø Ø × Ò Þ¾ × Ø ¬ÐØ Ö Ú Ö× ÓÒ Ó Þ¾º
Ï Ò ÙÒ ÖØ ÒØ × Ò Ô ÖØÙÖ Ø ÓÒ× Ö ÔÖ × ÒØ × ÑÙÐØ Ò ÓÙ×ÐÝ ÓÒ Ø
×Ýר Ѹ Þ¾ Ú × Ò ×Ø Ñ Ø ÓÒ Ó Ø ×ÙÑ Ó ÓØ º
ÁØ × ÔÓ×× Ð ØÓ ÒØ Ý ÜØ ÖÒ Ð Ô ÖØÙÖ Ø ÓÒ× ÓÖ Ô Ö Ñ ØÖ ÙÒ ÖØ ÒØ ׸
ÓÒÐÝ ÓÒ Ó Ø × ÔÔ Ö× Ò Ø ×Ýר Ѻ
Ï Ò Ø Ô Ö Ñ Ø Ö× Ó Ø ×Ýר Ñ Ö ØÓØ ÐÐÝ ÒÓÛÒ¸ Ø Ø ÖÑ ¡ ¼¸
Ò
Þ¾ ´¾¿µ
Ò Ø Ô ÖØÙÖ Ø ÓÒ × ÒØ ¬ × Ø ×ÐÓÛ ÓÑÔÓÒ ÒØ Ó Ø ÕÙ Ú Ð ÒØ
ÓÒØÖÓÐ Þ¾º
Á ¼ Ò ÓÒÐÝ ÒÓÑ Ò Ð Ú ÐÙ × Ó Ø ×Ýר Ñ Ô Ö Ñ Ø Ö× Ö ÒÓÛÒ¸ Ø
Ú ÐÙ Ó Þ¾ × Ú Ò Ý
Þ¾ ¡ ³Ø´Ü½ ܾ Ùµ ´¾ µ
ÒÓØ Ø Ø Þ¾ × × Ð Ö Ú ÐÙ ¸ Ò Ò Ñ ÒÝ × × Ø Ô Ö Ñ ØÖ ÙÒ ÖØ ÒØÝ
× Ú ØÓÖ Ø Ø × Ø × ¸ Ø × ÔÓ×× Ð ØÓ ÓÒרÖÙ Ø Ò Ð ÓÖ Ø Ñ ÓÖ
Ô Ö Ñ ØÖ ÒØ ¬ Ø ÓÒ ÖÓÑ Ø Ú ÐÙ Ó Þ¾ Ò Ø Ñ ×ÙÖ Ñ ÒØ× Ó ³º
Ì ÑÓ Ð ×ØÖÙ ØÙÖ ÓÖ Ð Ò Ö Ö Ö ×× ÓÒ ¿ Ò ÛÖ ØØ Ò ×
Ø ³Ø ´¾ µ
Û Ö Ø × Ñ ×ÙÖ Ð ÕÙ ÒØ ØÝ¸ ³Ø × Ò Ò¹Ú ØÓÖ Ó ÒÓÛÒ ÕÙ ÒØ Ø × Ò
× Ò Ò¹Ú ØÓÖ Ó ÙÒ ÒÓÛÒ Ô Ö Ñ Ø Ö׺
Ì ÔÔÐ Ø ÓÒ Ó Ð Ò Ö Ö Ö ×× ÓÒ Ð ÓÖ Ø Ñ× Ð Ø Ð ×Ø ×ÕÙ Ö Ñ Ø Ó
ØÓ ÒØ Ý ÝÒ Ñ Ð ×Ýר Ñ× × ÓÒ Ø ÓÒ Ý Ø Ú Ð Ð ØÝ ØÓ Ø Ñ ¹
×ÙÖ Ñ ÒØ× Ó Ø ×Ø Ø Ö Ú Ø Ú × ´Ú ØÓÖ Ø ÓÖ Ø Ò Ö Ð ÑÓ Ð Ó Ð Ò Ö
Ö Ö ×× ÓÒµ¸ ÓÒ Ø ÓÒ Ø Ø Ò Ñ ÒÝ × × ÒÒÓØ ÙЬÐÐ º
Ì Ù× Ó ÕÙ Ø ÓÒ ´¾ µ ÔÖÓÚ × Ø ÑÓ Ð ×ØÖÙ ØÙÖ ´¾ µ Ò ×× ÖÝ ØÓ
ÓÒרÖÙ Ø Ò Ð ÓÖ Ø Ñ ØÓ ÒØ Ý Ø ×Ýר Ñ Ô Ö Ñ Ø Ö× Ú Ø ÒØ ¬ Ø ÓÒ
Ó Ø Ô Ö Ñ Ø Ö ÙÒ ÖØ ÒØ ׺
Ì Ø × Û Ò ¡ × ÓÒר ÒØ Ú ÐÙ ¸ Ò Ø × × Ù× Ò Ø ÙÜ Ð ÖÝ
Ú Ö Ð ÓÖ ÒØ Ö Ø ÓÒ Û Ø Ö ×Ô Ø ØÓ Ø Ñ ¸ Ø Ú Ö Ú ÐÙ × Ó Ø Ð ×Ø
ÕÙ Ø ÓÒ Ö Ú Ò Ý
½
Ø
Ø
¼
Þ¾ ³Ì ¡
½
Ø
Ø
¼
³ ³Ì ´¾ µ
Ø Ö ÓÖ ¸ Ø Ô Ö Ñ Ø Ö× Ò ×Ø Ñ Ø ×
¡
Ø
¼
Þ¾ ³Ì
Ø
¼
³ ³Ì
 ½
´¾ µ
Û Ö ¡ × Ø ×Ø Ñ Ø ÓÒ Ó ¡ º ¬Ò  Ø
Ê Ø
¼
³ ³Ì  ½
Û × Ø ×¬ ×
Ø ÔÖÓÔ ÖØ ×
  ½
Ø  Ø Á
  ½
Ø  Ø ·   ½
Ø  Ø ¼
Ô Ö Ñ Ø Ö ×Ø Ñ Ø ÓÒ Ð ÓÖ Ø Ñ Ò ÛÖ ØØ Ò¸ ÖÓÑ ÕÙ Ø ÓÒ ´¾ µ ×
¡
Ø
¼
Þ¾ ³Ì  Ø · ٠ճ̠Ø
Í× Ò ÕÙ Ø ÓÒ ´¾ µ Û Ò ÛÖ Ø
¡ ¡   ½
Ø  Ø · Þ¾³Ì Ø
Ò Ø Ò ÖÓÑ Ø ÕÙ Ð Ø × ÓÖ  Ø Ú Ò ÓÚ ¸ Ø ÝÒ Ñ ÜÔÖ ×× ÓÒ ØÓ
ÓÑÔÙØ ¡ × Ú Ò Ý
¡  ¡ ³ · Þ¾ ³Ì Ø ´¾ µ
ÝÒ Ñ ÓÖÑ ØÓ ¬Ò  Ø ×
 Ø   Ø³³Ì Ø ´¾ µ
Ì Ù× Ó ÕÙ Ø ÓÒ× ´¾ µ Ò ´¾ µ Ò×ÙÖ × Ø ×ÝÑÔØÓØ ÓÒÚ Ö Ò Ó ¡
ØÓ ¡ º
322 A. Poznyak et al.
Á ÒØ ¬ Ø ÓÒ Ó È Ö Ñ Ø Ö× Ò ÝÒ Ñ ËÝר Ñ× ¿¾¿
ÁÒ ÓÖ Ö ØÓ Ó Ø Ò Ø ÓÒÚ Ö Ò ÔÖÓÓ Ò ÓÒ Ø ÓÒ× ÓÖ Ø Ñ Ø Ó
Û Ò Ö ÛÖ Ø Þ¾ Ò Ø ÓÐÐÓÛ Ò ÓÖÑ
Þ¾ Þ¾ · ´¿¼µ
Û Ö × Ø « Ö Ò Ù× Ý Ø ¬ÐØÖ Ø ÓÒ Ò Þ¾ × Ø ¬ÐØ Ö Ú Ö× ÓÒº
Ì Ú Ö Ú ÐÙ × Ó Ø Ö Ð Þ¾ × Ø × Ý
Ø
¼
Þ¾ ³Ì ¡
Ø
¼
³ ³Ì
Ø Ò
¡
Ø
¼
Þ¾ ³Ì  Ø
ËÙ ×Ø ØÙØ Ò ÖÓÑ ÕÙ Ø ÓÒ ´¿¼µ¸ Ø Ö Ð ¡ × Ú Ò Ý
¡
Ø
¼
Þ¾ ³Ì ·
Ø
¼
³Ì  Ø ´¿½µ
Ì Ò Þ¾ ¡ ³¸ ÕÙ Ø ÓÒ ´¿½µ × ÛÖ ØØ Ò ×
¡ ¡
Ø
¼
³ ³Ì ·
Ø
¼
³Ì  Ø
Ì × Ú × Ø Ò ÜØ ÕÙ Ð ØÝ
¡ ¡ ·
Ø
¼
³Ì  Ø ´¿¾µ
Ì ÓÒÚ Ö Ò ÓÒ Ø ÓÒ× Ù ÖÓÑ ÕÙ Ø ÓÒ ´¿¾µ Ö
¯ ×ÙÔ Ø Ø ½º
¯ ½
Ø
Ê Ø
¼
³Ì ¼ × Ø ½º
Ì ¬Öר ÓÒ Ø ÓÒ¸ Ö ÕÙ Ö × Ø ÒÓÒ¹× Ò ÙÐ Ö ØÝ Ó Ø Ñ ØÖ Ü   ½
ØÊ Ø
¼
³ ³Ì º ÁÒØÖÓ Ù Ò Ø ÖÑ ¼ ½¸ Û Ö ÔÖ × ÒØ× ×Ñ ÐÐ ÓÒ¹
ר ÒØ¸ Ø ÒØ Ö Ð × ÛÖ ØØ Ò ×
  ½
Ø
Ø
¼
 
³ ³Ì ¡
· Á
Û Ö Á × Ø ÙÒ Ø ÖÝ Ñ ØÖ ܸ Ò Ò Ø × × Ø Ú ÐÙ Ó   ½
Ø × ÐÛ Ý×
ÒÓÒ¹× Ò ÙÐ Öº
ÁÒ ÕÙ Ø ÓÒ ´¾ µ¸ Ø Ú ÐÙ Ó × Ú Ò Ò Ø Ò Ø Ð ÓÒ Ø ÓÒ׸ Ò Ø ×
×
 ¼
 ½
Á
ÆÓØ Ø Ø¸ Ø ÒØÖÓ Ù Ø ÓÒ Ó Ò×ÙÖ × Ø Ø Ø ÓÒ Ø ÓÒ ×ÙÔ  Ø ½
ÓР׸ ÙØ Ó × ÒÓØ Ò×ÙÖ Ø ÓÒÚ Ö Ò Ó Ø ×Ø Ñ Ø Ô Ö Ñ Ø Ö× ØÓ Ø
Ö Ð Ú Ð٠׺ ÓÒÚ Ö Ò Ó Ø ×Ø Ñ Ø Ú ÐÙ × ØÓ Ø Ö Ð Ú ÐÙ × × Ò×ÙÖ
Ý Ø Ô Ö× ×Ø ÒØ Ü Ø Ø ÓÒ ÓÒ Ø ÓÒ ¿ º
Ì × ÓÒ ÓÒ Ø ÓÒ Ò×ÙÖ × Ø Ø Ø ¬ÐØ Ö Ò ÔÖÓ ×× Ó × ÒÓØ ÑÔ Ø
ÓÒ Ø Ô Ö Ñ Ø Ö ÒØ ¬ Ø ÓÒº
Ì Ñ Ø Ó ÔÖÓÔÓ× ¬Ò × ¡ ¸ ×Ù Ø Ø Ø Ö Ð Ô Ö Ñ Ø Ö× Ö Ú Ò
Ý · ¡ º
¿ Á ÒØ ¬ Ø ÓÒ Ó Ì Ñ Î ÖÝ Ò È Ö Ñ Ø Ö×
¿º½ Ì Ñ ¹Î ÖÝ Ò Å ØÖ Ü Ç × ÖÚ Ø ÓÒ Ð ÓÖ Ø Ñ×
ÓÒ× Ö Ø Ñ ØÖ Ü Ø Ò ´½µ Ú Ò Ý
Ø Ø ½ Ò ½ Ò ´¿¿µ
Û Ø Ø Ø Ñ ¹Ú ÖÝ Ò ÙÒ ÒÓÛÒ ÓÙÒ Ô Ö Ñ Ø Ö׺ Ð×Ó¸ Ø × ××ÙÑ Ø Ø
Ø ·
º ÁØ × ÛÓÖØ ÒÓØ Ò Ø Ø Ø ÓÒר ÒØ Ñ ØÖ Ü ×Ø Ñ Ø ÓÒ Ð ÓÖ Ø Ñ×
Ú Ò Ý Ì ÓÖ Ñ× ½ Ò ¾ Ö ÔÔÐ Ð ÓÖ Ø ÔÔÖÓÜ Ñ Ø ÒØ ¬ Ø ÓÒ Ó
Ø ×ÐÓÛÐÝ Ú ÖÝ Ò Ñ ØÖ Ü Øº ÁÒ Ø × × Ø Ô Ö Ñ Ø Ö ×Ø Ñ Ø ÓÒ Ð ÓÖ Ø Ñ¸
ÓÖ Ü ÑÔÐ ´½¼µ¹´½ µ¸ Ò ÔÔÐ ÓÖ ×Ø Ñ Ø ÓÒ Ó Ø Ñ ØÖ Ü Ø ÓÒ Ø
ÓÒ× ÙØ Ú ÒØ ÖÚ Ð× ¡Ø ØÒ  Ø½ ½ ¾ º ËÙÔÔÓ× Ø Ø ××ÙÑÔØ ÓÒ ½
ÓÐ × ÔÔÖÓÜ Ñ Ø ÐÝ Ø ÐÐ Ø × Ø Ñ ¹ ÒØ ÖÚ Ð׺ ÁØ Ý Ð × Ø ÓÐÐÓÛ Ò × Ö Ø
× ÕÙ Ò Ó Ñ ØÖ Ü Ø ×Ø Ñ Ø ×
´ØÒ½µ ´ØÒ½·¡Ø¾µ ´ØÒ½·¡Ø¾· ·Ø µ
Æ ÜØ¸ Ò Ø × × Ø ÓÒ Û ÓÒ× Ö Ô ÖØ ÙÐ Ö × Ó Ø ÔÐ ÒØ ´½µ Û Ø
Ø Ñ ¹Ú ÖÝ Ò Ñ ØÖ Ü Ø¸ Û × ÒÓØ Ò ×× Ö ÐÝ ×ÐÓÛ¹Ú ÖÝ Ò º Ì ÔÐ ÒØ ݹ
Ò Ñ × ÙÒ Ö ÓÒ× Ö Ø ÓÒ Ö Ú Ò Ý Ø Ð Ò Ö × Ð Ö « Ö ÒØ Ð ÕÙ Ø ÓÒ
Û Ø ÙÒ ÒÓÛÒ ÓÙÒ Ø Ñ ¹Ú ÖÝ Ò Ó Æ ÒØ×
Õ´Òµ
· ´Ò ½µ ØÕ´Ò ½µ
· · ¼ ØÕ Ø
Ý Õ ´¿ µ
Û Ö Ø ¾ Ê × ÒÓÛÒ Ä Ô× ØÞ ÙÒ Ø ÓÒ Ò Ý ¾ Ê × Ø ÓÙØÔÙØ Ñ ×ÙÖ ¹
Ñ ÒØº Õº ´¿ µ Ò Ö Ð Þ Ò ×Ø Ø Ú Ö Ð ÓÖÑ Ø ´½µ ½ Û Ø
´Øµ
¾
  ´Ò ½µ Ø ½ ¼ ¼
  ´Ò ¾µ Ø ¼ ½ ¼
  ½ Ø ¼ ¼ ½
  ¼ Ø ¼ ¼ ¼
¿
³Ø´Üµ Ü ¾ ÊÒ
شܵ ¼ ¼ Ø Ì ´¿ µ
324 A. Poznyak et al.
Á ÒØ ¬ Ø ÓÒ Ó È Ö Ñ Ø Ö× Ò ÝÒ Ñ ËÝר Ñ× ¿¾
Ì ÓÙØÔÙØ Ý ¾ Ê Ò ´¿ µ × ÒØ ¬ ×
Ý Ü½ ´¿ µ
ÁÒ Ø × × Ø ÓÒ Û ÓÒ× Ö Ø Ø ÖÑ Ò ×Ø × Ó Ø ÔÐ ÒØ ´½µ¸ ´¿ µ¸
´¿ µ Ø Ø Ó Ý× Ø ÓÐÐÓÛ Ò
××ÙÑÔØ ÓÒ ¾º Ì ÓÐÐÓÛ Ò ÓÒ Ø ÓÒ× Ö ××ÙÑ ØÓ ÓÐ ÓÖ Ø
ÔÐ ÒØ ´½µ¸ ´¿ µ¸ ´¿ µ
´ µ Ø ×Ø Ø × Ü½ ÜÒ Ó Ø ÔÐ ÒØ ´½µ¸ ´¿ µ Ö Ú Ð Ð ÓÖ Ñ ×ÙÖ Ñ ÒØ¸
º º
Ý Ü ´¿ µ
´ µ Ü ·
´ µ Ø ¼ Ò  ½
´ µ ·
½
Ò Ç × ÖÚ Ø ÓÒ Ð ÓÖ Ø Ñ × ÓÒ ÌÖ Ø ÓÒ Ð ËÐ Ò ÅÓ ×
Ì Ô Ö Ñ Ø Ö ×Ø Ñ Ø ÓÒ Ð ÓÖ Ø Ñ ÓÖ Ø ÔÐ ÒØ Ú Ò Ý ´½µ¸ ´¿ µ¸ ´¿ µ Ø Ø
Ó Ý× ××ÙÑÔØ ÓÒ ¾ × ÓÖÑÙÐ Ø Ò Ø ÓÐÐÓÛ Ò Ø ÓÖ Ñ
Ì ÓÖ Ñ º Á ××ÙÑÔØ ÓÒ ¾ × × Ø ×¬ ÓÖ Ø ÔÐ ÒØ ´½µ¸ ´¿ µ¸ ´¿ µ Ò
ܽ Ø ¼ Ø ØÖ ØÖ
´¼µ
¸ Ø Ò Ø Ð Ñ ÒØ× Ó Ø Ø Ñ ¹Ú ÖÝ Ò Ñ ØÖ Ü
Ø Ò Ü ØÐÝ ×Ø Ñ Ø Ý
Ø  Ù Õ Ø  ÖØ
ܽ Ø
´¿ µ
Û Ö
Ø
¢
´Ò ½µ Ø ´Ò ¾µ Ø ¼ Ø
£Ì ÖØ ܾ Ü¿ ÜÒ ¼ Ì
Û Ø Ù Õ Ø ¾ ÊÒ Ò ØÖ Ö ÔÖ × ÒØ Ø ÕÙ Ú Ð ÒØ ÓÒØÖÓÐ Ò Ö Ò Ø Ñ
Ö ×Ô Ø Ú ÐÝ ¹ Ò Ø Ó × ÖÚ Ö
ØÜ Ù · Ø Ü´¼µ ¼
ÙØ ´ · ·
Ü µ
Ý  Ü
´¿ µ
ÈÖÓÓ Ó Ì ÓÖ Ñ × Ú Ò Ò Ø ÔÔ Ò Üº
Ê Ñ Ö ½¼º Ì ÕÙ Ú Ð ÒØ ÓÒØÖÓÐ Ù Õ Ø Ò ´¿ µ Ò ×Ø Ñ Ø Ý ÐÓÛ Ô ××
¬ÐØ Ö Ò ´ÄÈ µ ¹ Ó Ø Ö ÕÙ Ò Ý ×Û Ø Ò ÓÒØÖÓÐ Ù Ò ´¿ µ
Ù Õ Ø ÄÈ ´Ùص ´ ¼µ
Ì ÕÙ Ú Ð ÒØ ÓÒØÖÓÐ ×Ø Ñ Ø Ù Õ Ø ÓÒÚ Ö × ØÓ Ù Õ Ø ÓÒÐÝ ×ÝÑÔØÓØ ÐÐÝ
Ù ØÓ Ø ÝÒ Ñ Ð ÔÖÓÔ ÖØ × Ó ÄÈ º Í×Ù ÐÐÝ ÓÒÐÝ ÞÓÒ ÓÒÚ Ö Ò ×
Ú Ð ¸ Ò Õº ´ µ ÓÐ × ÓÖ ÄÈ Ò ´ ¼µ × Ø Ñ Ò Ö × ×º ÈÖ Ø ÐÐÝ Õº
´ µ ÓÐ × Ø Ö Ø ØÖ Ò× ÒØ Ö ×ÔÓÒ× Ò Ø ÄÈ × ÓÙØ¸ Ò Ø Ð Ñ ÒØ× Ó
Ø Ø Ñ ¹Ú ÖÝ Ò Ñ ØÖ Ü Ø Ò ´½µ Ò ´¿ µ Ö ×Ø Ñ Ø ÓÖ Ø ØÖ·Ì Ì
¸ Ú Ø ×Ð Ò ÑÓ Ô Ö Ñ Ø Ö Ó × ÖÚ Ö ´¿ µ¹´ ¼µ ×
Ø  Ù Õ Ø  ÖØ
ܽ Ø
´ ½µ
Ò Ø   Ø Ç´ µ × Ø Ñ Ò Ö × ×º
Ê Ñ Ö ½½º ÌÓ ÚÓ × Ò ÙÐ Ö Ø × Ò Ø × Û Ò Ü½ Ø ÖÓ×× × Þ ÖÓ¸ Õº ´ ½µ
Ò ×Ð ØÐÝ ÑÓ ¬ ØÓ
Ø  ´Ù Õ Ø  Öصܽ Ø
ܾ
½ Ø · ­
­ ¼
Ç × ÖÚ Ø ÓÒ Ð ÓÖ Ø Ñ × ÓÒ Ë ÓÒ ÇÖ Ö ËÐ Ò ÅÓ ×
Ì Ù× Ó Ø ÓÖ Ö ×Ð Ò ÑÓ Ø Ò ÕÙ ¸ Ò Ô ÖØ ÙÐ Ö Ø ×ÙÔ Ö¹
ØÛ ר Ò Ð ÓÖ Ø Ñ ¸ ÚÓ × ¬ÐØ Ö Ò Ó Ø ÕÙ Ú Ð ÒØ ÓÒØÖÓÐ Ò ´¿ µ¸ ´ ¼µ
Ò Ú × Ü Ø Ø Ñ ¹Ú ÖÝ Ò Ñ ØÖ Ü ×Ø Ñ Ø ÓÒ Ò ¬Ò Ø Ø Ñ º Ì ËÇËŹ
× Ô Ö Ñ Ø Ö ×Ø Ñ Ø ÓÒ Ð ÓÖ Ø Ñ ÓÖ Ø ÔÐ ÒØ Ú Ò Ý ´½µ¸ ´¿ µ¸ ´¿ µ
Ø Ø Ó Ý× ××ÙÑÔØ ÓÒ ¾ × ÓÖÑÙÐ Ø Ò Ø ÓÐÐÓÛ Ò Ì ÓÖ Ñº
Ì ÓÖ Ñ º Á ××ÙÑÔØ ÓÒ ¾ × × Ø ×¬ ÓÖ Ø ÔÐ ÒØ ´½µ¸ ´¿ µ¸ ´¿ µ Ò
ܽ Ø ¼ Ø ØÖ¸ Ø Ò Ø Ð Ñ ÒØ× Ó Ø Ø Ñ ¹Ú ÖÝ Ò Ñ ØÖ Ü Ø Ò
Ü ØÐÝ ×Ø Ñ Ø Ý
Ø  ÙØ  ÖØ
ܽØ
´ ¾µ
Û Ö
Ø
¢
´Ò ½µ Ø ´Ò ¾µ Ø ¼ Ø
£Ì ÖØ ܾ Ü¿ ÜÒ ¼ Ì
Û Ø
ÙØ Ù½ Ø ÙÒ Ø Ì ¾ ÊÒ
ר Ò Ò ÓÖ Ø ÓÒØÖÓÐ
Ù « ½ ¾
× Ò´ µ · ¬ Ú
Ú × Ò´ µ ½ Ò
´ ¿µ
Û Ö
326 A. Poznyak et al.
Á ÒØ ¬ Ø ÓÒ Ó È Ö Ñ Ø Ö× Ò ÝÒ Ñ ËÝר Ñ× ¿¾
«
Õ
¾
¬  ´ Ò  · · ·
½ µ ·· ·
½
´¬· ´ Ò  · ·
·
½ µ ·
·
·
½ µ´½·Õµ
´½ Õµ
¬ ´ Ò  · · ·
½ µ ·
· ·
½ ½ Ò  ½
´ µ
Ò ØÖ Ö ÔÖ × ÒØ× Ø Ö Ò Ø Ñ Ò Ø Ó × ÖÚ Ö
ØÜ Ù · Ø Ü´¼µ ¼
Ý  Ü ´ µ
ÈÖÓÓ Ó Ì ÓÖ Ñ × Ú Ò Ò Ø ÔÔ Ò Üº
Ê Ñ Ö ½¾º ÓÒØÖÓÐ ÙØ × ÓÒØ ÒÙÓÙ× ÙÖ Ò Ø × ÓÒ ÓÖ Ö ×Ð Ò ÑÓ
Ø Ø Ó ÙÖ× Ò Ø Ó × ÖÚ Ö ´ µ Ò ¬Ò Ø Ø Ñ ØÖº ËÓ¸ Ø Ö × ÒÓ Ò ØÓ Ù×
ÄÈ ¸ Ò Ø Ñ ØÖ Ü ×Ø Ñ Ø Ó Ø × Ü Ø Ò ´ ¾µº
Ê Ñ Ö ½¿º ÁØ × ÛÓÖØ ÒÓØ Ò Ø Ø Ù ÕØ · Ø Ò Ù · Ø Ú ÐÙ Ø Ö Ú Ø Ú ×
Ó Ø Ú ØÓÖ ×Ø Ø Ó Ø ÔÐ ÒØ ´½µ¸ ´¿ µ Ò Ø ØÖ Ø ÓÒ Ð Ò ÓÖ Ö
×Ð Ò ÑÓ ×Ø Ñ Ø ÓÒ Ð ÓÖ Ø Ñ׸ Ò Ö ÔÖ × ÒØ ×Ð Ò ÑÓ « Ö ÒØ ØÓÖ×
¸ ¸ º
¿º¾ Á ÒØ ¬ Ø ÓÒ Ó Ë Ð Ö È Ö Ñ Ø Ö Ò Ë Ò Ð Ñ Ò× ÓÒ Ð
ËØÓ ×Ø ËÝר Ñ×
Ä Ø ª Ø Ø ¼ È Ú Ò ¬ÐØ Ö ÔÖÓ Ð ØÝ ×Ô Û Ö ×Ø Ò Ö
ÖÓÛÒ Ò ÑÓØ ÓÒ ´ÏØ Ø ¼µ ´Û Ø Ï¼ ¼µ × ¬Ò º Ø Ø ¼ × ××ÙÑ ØÓ
Ø Ò ØÙÖ Ð ¬ÐØ Ö Ò Ö Ø Ý ´ÏØ Ø ¼µ Ò Ù Ñ ÒØ Ý Ø È¹ÒÙÐÐ
× Ø× ÖÓÑ º ÓÒ× Ö Ø ×ØÓ ×Ø Ð Ò Ö ÓÒØÖÓÐÐ ÓÒØ ÒÙÓÙ×¹Ø Ñ ×Ýר Ñ
Û Ø Ø ÝÒ Ñ × ÜØ ¾ Ê Ú Ò Ý
ÜØ ܼ ·
Ø
¼
³´Ü µ · ·
Ø
¼
Ï ´ µ
ÓÖ¸ Ò ×ÝÑ ÓÐ ÓÖѸ
ÜØ Ø³Ø´ÜØµ · Ø Ø · Ï ´ µ
Û Ö Ø × Ñ ×ÙÖ Ð ÓÙÒ ´ Ø ·
µ Ü Ø Ø ÓÒ ÒÔÙØ¸ ³Ø × ÒÓÛÒ
ÒÓÒÐ Ò Ö Ä Ô× ØÞ ÙÒ Ø ÓÒº Ì ÙÒ Ø ÓÒ Ø × ××ÙÑ ØÓ Ø Ñ ¹Ú ÖÝ Ò
Û Ø ÙÒ ÒÓÛÒ ÓÙÒ Ô Ö Ñ Ø Ö׸ Ø Ø ×¸ Ø ·
º
Ì ÓÐÐÓÛ Ò ××ÙÑÔØ ÓÒ× Û ÐÐ Ù× Ø ÖÓÙ ÓÙØ Ø Ö ×Ø Ó Ø × × Ø ÓÒ
½º ÓÖ ÐÐ Ü ³´Üµ Ä Ü
¾º Ì ÔÐ ÒØ ´ µ¸´ µ × ÕÙ Ö Ø ÐÐÝ ×Ø Ð ¸ Ø Ø ×¸
×ÙÔ
Ø ¼
Ò
ÜØ ¾
Ó
·
¾ ½
Ì ÔÖÓ Ð Ñ × ØÓ × Ò Ò ×Ø Ñ Ø Ø Ó Ø Ø Ñ Ú ÖÝ Ò Ô Ö Ñ Ø Ö Ø¸
× ÓÒÐÝ ÓÒ Ø Ñ ×ÙÖ Ð ×Ø Ø Ü´Øµ Ò Ø Ü Ø Ø ÓÒ ÒÔÙØ ظ Ø Ø
ÔÖÓÚ × Ø Ð ×Ø ×ÝÑÔØÓØ ר Ñ Ø ÓÒ ÖÖÓÖ ÝÒ Ñ × Û Ø ÔÖÓ Ð ØÝ ÓÒ ¸
º º
Ð Ñ
Ø ½ Ø   Ø ¼ × ´ µ
ËÐ Ò ÅÓ ÓÒØÖÓÐ Ó ÙÜ Ð ÖÝ ËÝר Ñ ÓÖ Ò Ø ¹Ì Ñ
ÌÖ ØÓÖÝ ÌÖ Ò
Ä Ø Ù× ÒØÖÓ Ù Ø ÓÐÐÓÛ Ò ÙÜ Ð ÖÝ ÔÖÓ ×× ÜØ Ú Ò Ý
ÜØ ÙØ Ø Ü¼ ܼ ´ µ
´Û Ö ÙØ × ØÓ Ø ÖÑ Ò µ Ò Ø ÖÖÓÖ ¡Ø ÜØ  ÜØÛ Ó× ÝÒ Ñ × Ö
ÓÚ ÖÒ Ý
¡ Ø³Ø · Ø  Ù Ø · ÏØ ´ ¼µ
ÁÒ ÓÖ Ö ØÓ × Ò Ø ÓÒØÖÓÐ ÙØ Ò Ø Ó × ÖÚ Ö ´ µ Ø Ø ÔÖÓÚ × ¡Ø
×
¼ Ø Ð ×Ø ×ÝÑÔØÓØ ÐÐÝ Û Ø ÔÖÓ Ð ØÝ ÓÒ ¸ Ø ÓÐÐÓÛ Ò ÄÝ ÔÙÒÓÚ¹Ð
ÙÒ Ø ÓÒ × ÒØÖÓ Ù
Î
½
¾
¡¾
· ¬ Ü ¬ ¼ ´ ½µ
Ý ÁØÓ³× ÓÖÑÙÐ Ø× « Ö ÒØ Ð ×
ÎØ ´¡Ø ¡Øµ · ´¬× Ò´ÜØµ ÜØµ ·
¾
¾
Ø
¡Ø ´ ·
³Ø · ·
µ · ´¬× Ò´ÜØµ  ¡Ø ÙØµ ·
¾
¾
Ø
 ´¡Ø ÏØµ
´ ¾µ
À Ö
¾
¾
Ø Ö ÔÖ × ÒØ× Ø ×Ó¹ ÐÐ ¸ ÁØÓ³× Ø ÖѸ Û × ÒÓØ ÑÙÐØ ÔÐ Ý ¡Ø
× ÐÐ Ø ÓØ Ö Ø ÖÑ× Ó Ø Ú Ò ÝÒ Ñ × ´ µ Ö º Ë Ð Ø Ò ÙØ
ÙØ Ø× Ò¡Ø · Ø× ÒÜØ ´ ¿µ
ÓÑÔ Ò× Ø × ÓÖ Ø× « Ø ÓÒ ÎØ º Ì ÙÒ Ø ÓÒ× Ø Ò Ø Û ÐÐ × Ò
ÐÓÛº ËÙ ×Ø ØÙØ Ò ´ ¿µ ÒØÓ ´ ¾µ ÑÔÐ ×
Ê ¡Ø ´ ·
³Ø · ·
µ · ´¬× Ò´ÜØµ  ¡Ø ÙØµ ·
¾
¾
¡Ø ´ ·
³Ø · ·
µ · ¬× Ò´ÜØµ  ¡Ø Ø× Ò¡Ø · Ø× ÒÜØ
·
¾
¾
¡Ø ´ ·
³Ø · ·
  ص·
¬ Ø   Ø ¡Ø × Ò´ÜØµ× Ò¡Ø · ¬ Ø ·
¾
¾
´ µ
328 A. Poznyak et al.
Á ÒØ ¬ Ø ÓÒ Ó È Ö Ñ Ø Ö× Ò ÝÒ Ñ ËÝר Ñ× ¿¾
Ì Ò
Ø ·
³Ø · ·
· ¼ ´ µ
Ò ´ µ ÓÒ Ò Ó Ø Ò
Ê   ¡Ø · ¬ Ø ·
¾
¾
·
¬ ´ ·
³Ø · ·
· µ   Ø ¡Ø × Ò´ÜØµ× Ò¡Ø
´ µ
Ò ÐÐݸ Ø × × Ð Ø ÓÖ Ø ¼ × ÓÐÐÓÛ×
µ ¡Ø  ¬ Æ ¼
Ø
¬ ´ ·
³Ø · ·
· µ ·
¾
¾
· × Ò´ÜØµ× Ò¡Ø
¡Ø  ¬× Ò´ÜØµ× Ò¡Ø
´ µ
µ ¡Ø  ¬ Æ
Ø
¬ ´ ·
³Ø · ·
· µ ·
¾
¾
· × Ò´ÜØµ× Ò¡Ø
Æ
´ µ
ÖÓÑ ´ ¾µ¹´ µ Ò ××ÙÑÔØ ÓÒ ½ Û Ó Ø Ò
Ê   ¡Ø   ´ ¡Ø  ¬ Ƶ · ´Ö¼ · Ö½ ÜØ µ ´ ¡Ø  ¬ Ƶ
Ö¼
ƾ
¾
· · ¾¬´ ·
· µ Ö½ ¾¬ ·
Ä
Ö Ø Ö ×Ø ÙÒ Ø ÓÒ
Ø Ø Ý Ð × Ø ÓÐÐÓÛ Ò
ÎØ  ´ ¡Ø · ´ ¡Ø  ¬ Ƶµ Ø·
´Ö¼ · Ö½ ÜØ µ ´ ¡Ø  ¬ Ƶ Ø  ´¡Ø ÏØµ
´ µ
ÓÖ¸ ÕÙ Ú Ð ÒØÐݸ Û Ø ÔÖÓ Ð ØÝ ÓÒ
ÎØ μ  
Ê Ø
¼
¡  
Ê Ø
¼
´ ¡  ¬ Ƶ ·Ê Ø
¼
´Ö¼ · Ö½ ÜØ µ ´ ¡  ¬ Ƶ  
Ê Ø
¼
´¡Ø ÏØµ
´ ¼µ
Æ ÜØ¸ Ù× Ò Ø ÔÖÓÔ ÖØÝ Ó Ø ÁØÓ³× ÒØ Ö Ð¸ Û Ó Ø Ò Ø Ñ Ø Ñ Ø Ð
ÜÔ Ø Ø ÓÒ
Ø
¼
´¡Ø ÏØµ ¼ ´ ½µ
Û Ò ÔÔÐ ØÓ ´ ¼µ¸ Ý Ð × Ø ÓÐÐÓÛ Ò Ò ÕÙ Ð ØÝ
½
¾
¡Ø ¾
ÎØ μ  
Ê Ø
¼
´ ¡  ¬ Ƶ ·Ê Ø
¼
´Ö¼ · Ö½ Ü µ ´ ¡  ¬ Ƶ
μ  
Ê Ø
¼
È ´ ¡  ¬ Ƶ ·
Ê Ø
¼
Ö Ò
´Ö¼ · Ö½ Ü µ¾
Ó Ô
È ´ ¡  ¬ Ƶ
´ ¾µ
ÖÓÑ ´ ¾µ Ò ××ÙÑÔØ ÓÒ ¾¸ Ò Ò Ú Û Ó Ø ÔÖÓÔ ÖØ ×
Ü
È ¡  ¬ Ü Ô ¡  ¬ ´Üµ Ã
È ´ ¡  ¬ Ƶ ÃÆ à Ơ½
Û Ó Ø Ò
ÚØ ¡Ø ¾
¾ μ  ¾
Ê Ø
¼
´½  ÃƵ ·
Ê Ø
¼
Õ
Ö¾
¼
· Ö¾
½
·
¾
Ô
ÃÆ
´ ¿µ
Ë Ð Ø Ò Æ ¼ ×Ñ ÐÐ ÒÓÙ ×Ù Ø Ø Ø ÓÐÐÓÛ Ò Ò ÕÙ Ð ØÝ × Ú Ð
  Ã · ¾
Õ
ུ־
¼
· Ö¾
½
·
¾ µ
Ô
Æ ¼ ´ µ
Û Ó Ø Ò
ÚØ ¡Ø ¾
¾ μ 
¾   Ã · ¾
Õ
ུ־
¼
· Ö¾
½
·
¾ µ
Ô
Æ Ø
¾ μ  ¾ Ø
´ µ
Õº´ µ ÑÔÐ ×
Ø ¼ ÓÖ ÐÐ Ø Ø
μ
´ µ
Õ׺´ µ Ò ´ µ Ý Ð
¡Ø
× ÓÖ ÐÐ Ø Ø ´ µ
ÆÓÛ Û Ö Ö Ý ØÓ ÓÖÑÙÐ Ø Ø Ñ Ò Ö ×ÙÐØ¸ Û × Ù× ÓÖ Ú ÐÓÔ Ò
Ø Ø Ñ ¹Ú ÖÝ Ò Ô Ö Ñ Ø Ö ×Ø Ñ Ø ÓÒ Ð ÓÖ Ø Ñ׺
Ì ÓÖ Ñ º Ë Ð Ø Ò Ø ÙÜ Ð ÖÝ ÓÒØÖÓÐ ÙØ Ò ´ µ × ×Ù ×Ø Ò ´ ¿µ¹
´ µ¸ Ø Ð ØÖ Ò ÔÖÓ ×× Ò ´ µ ÓÐ × ÓÖ ÒÝ Ø Ø Û Ø ÔÖÓ Ð ØÝ
ÓÒ º
Ê Ñ Ö ½ º ËØ ÖØ Ò ÖÓÑ Ø × ÔÓ ÒØ¸ ÓÖ ÒÝ Ø Ø Û Ò ÒØÖÓ Ù Ø
×Ó¹ ÐÐ ¸ ÕÙ Ú Ð ÒØ ÓÒØÖÓÐ Ù´ Õµ
Ø ÙØ Û Ñ ÒØ Ò× Ø ÕÙ Ð ØÝ
¡ Ø³Ø · Ø  Ù´ Õµ
Ø Ø · ÏØ
× ¼ ´ µ
Û Ø ÔÖÓ Ð ØÝ ÓÒ ¸ ÓÖ Ò ÒØ Ö Ð ÓÖÑ
Ê Ø
¼ Ø³Ø · Ø  Ù´ Õµ
Ø Ø
Ê Ø
¼ Ø ´³Øµ · Ø   ´Ù´ Õµ
Ø µ Ø ¼ ´ µ
Ð ÖÐÝ Ø ÕÙ Ú Ð ÒØ ÓÒØÖÓÐ Ù´ Õµ
Ø ÓÒØ Ò× ÐÐ Ò ×× ÖÝ Ò ÓÖÑ Ø ÓÒ ÓÒ
Ø
330 A. Poznyak et al.
Á ÒØ ¬ Ø ÓÒ Ó È Ö Ñ Ø Ö× Ò ÝÒ Ñ ËÝר Ñ× ¿¿½
Ð ÓÖ Ø Ñ× ÓÖ Ì Ñ ¹Î ÖÝ Ò È Ö Ñ Ø Ö Á ÒØ ¬ Ø ÓÒ
× ÓÒ ´ µ Ò ´ µ Û ÔÖÓÔÓ× Ø ÓÐÐÓÛ Ò ØÛÓ Ð ÓÖ Ø Ñ× ÓÖ ÒØ ¬ ¹
Ø ÓÒ Ó Ø Ø Ñ ¹Ú ÖÝ Ò Ô Ö Ñ Ø Ö Ø Ù× Ò Ø ÕÙ Ú Ð ÒØ ÓÒØÖÓÐ ÔÔÖÓ
½º Ì Ö Ø Ñ Ø Ó Ø Ø × × Ù×× Ò ×ÓÑ Ø Ð Ò ½ ¸ ½ ¸ Ý Ð ×
Ø ÓÐÐÓÛ Ò Ô Ö Ñ Ø Ö ÒØ ¬ Ø ÓÒ Ð ÓÖ Ø Ñ Ò Ø ×ØÓ ×Ø ×
ÙÒ Ö ×ØÙ Ý
Ø
´Ù´ Õµ
Ø µ   Ø
´³Øµ
´ ¼µ
ÓÖ¸ Ù× Ò Ø Ö ÙÐ Ö Þ Ø ÓÒ Ñ Ø Ó ¸ Ò ÔÔÖÓÜ Ñ Ø Ô Ö Ñ Ø Ö ÒØ ¬¹
Ø ÓÒ ÓÖÑÙÐ × Ó Ø Ò ×
´½µ
Ø
´Ù´ Õµ
Ø   ص³Ø
³¾
Ø ·
¼ ´ ½µ
´Ø ×Ñ ÐÐ Ô Ö Ñ Ø Ö × ÒØÖÓ Ù Ö ØÓ ÚÓ × Ò ÙÐ Ö Ø ×µº
¾º Ì ÄËÅ Û Ø ÓÖ ØØ Ò ØÓÖ Ø Ø × × Ö Ò Ø ÛÓÖ Ò ½
Ý Ð × Ø ÐØ ÖÒ Ø Ú Ô Ö Ñ Ø Ö ÒØ ¬ Ø ÓÒ Ð ÓÖ Ø Ñ Ò Ø ×ØÓ ×Ø
× ÙÒ Ö ×ØÙ Ý
´¾µ
Ø
Ê Ø
¼
Ø  ´Ù´ Õµ
  µ³
Ê Ø
¼
Ø  ³¾ ·
¼ ´ ¾µ
Û Ö Ø ÓÖ ØØ Ò ØÓÖ ¾ ´¼ ½µ × × Ð Ø ØÓ ÔÖÓÚ Ø ×Ø ÔÓ×¹
× Ð ÕÙ Ð ØÝ Ó Ø Ô Ö Ñ Ø Ö ×Ø Ñ Ø º
Ê Ñ Ö ½ º ÆÓØ Ø Ø Ø ×Ø Ñ Ø ´ ¾µ Ñ Ý Ö ÛÖ ØØ Ò Ò Ø ÓÖÑ
´¾µ
Ø Ø Ø
Ø
Ê Ø
¼
Ø  ´Ù´ Õµ
  µ³
  ½
Ø
Ê Ø
¼
Ø  ³¾
·
Û Ø Ö Ö Ø « Ö ÒØ Ø ÓÒ Ð × ØÓ Ø ÓÐÐÓÛ Ò « Ö ÒØ Ð ÓÖÑ Ó Ø
Ð ÓÖ Ø Ñ ´ ¾µ
Ø
´¾µ
Ø ´Ù´ Õµ
Ø   ´¾µ
Ø ³Ø   ص³Ø Ø
 Ø  ´ Ø³¾
· ÐÒ µ Ø  ¼
 ½
´ ¿µ
Ü ÑÔÐ ×
º½ ËÙÔ Ö¹ØÛ ר Ò × Ç × ÖÚ Ö
ÌÓ ÙÒ Öר Ò ËÙÔ Ö¹ÌÛ ×Ø Ò × Ç × ÖÚ Ö × Ò¸ ÓÒ× Ö Ô Ò ÙÐÙÑ
×Ýר Ñ Û Ø ÓÙÐÓÑ Ö Ø ÓÒ Ò ÜØ ÖÒ Ð Ô ÖØÙÖ Ø ÓÒ× Ú Ò Ý Ø ÕÙ ¹
Ø ÓÒ
½
Â
  Ä
× Ò   Î×
Â
  È×
Â
× Ò´ µ · Ú ´ µ
Û Ö Ø Ú ÐÙ × Å ½ ½¸ ½ ¸ Ä ¼ ¸  Åľ
¼ ½¸ ÎË ¼ ½ ¸
È× ¼ Û Ö Ø Ò Ò Ú × Ò ÙÒ ÖØ Ò ÜØ ÖÒ Ð Ô ÖØÙÖ Ø ÓÒ¸ Ú ½º
ÁÒ Ø × ÑÙÐ Ø ÓÒ Ú Û × Ø Ò ØÓ Ú ¼ × Ò¾Ø · ¼ Ó× Øº Ä Ø Ø ×Ýר Ñ
´ µ Ö Ú Ò Ý Ø ØÛ ר Ò ÓÒØÖÓÐÐ Ö
 ¿¼× Ò´   µ  ½ × Ò´   µ ´ µ
Û Ö × ÒØ Ò Óר Ö Ø Ö Ö Ò × Ò Ð׺ Ì ×Ýר Ñ Ò
Ö ÛÖ ØØ Ò ×
ܽ ܾ
ܾ
½
   Ä × Òܽ   Î×
 ܾ   È×
Â × Ò´Ü¾µ · Ú
Ì Ù׸ Ø ÔÖÓÔÓ× Ú ÐÓ ØÝ Ó × ÖÚ Ö ´× Ê Ñ Ö µ × Ø ÓÖÑ
ܽ ܾ · ´ ·
µ½ ¾
ܽ
½ ¾
× Ò´Ü½  Ü½µ
ܾ
½
ÂÒ   ÄÒ × Òܽ   Î×Ò
ÂÒ Ü¾ · ½ ½ ·
× Ò´Ü½  Ü½µ
Û Ö ÅÒ ½¸ ÄÒ ½¸ ÂÒ ÅÒľ
Ò ½¸ Î×Ò ¼ ¾¸ È×Ò ¼ Ö Ø
ÒÓÛÒ ÒÓÑ Ò Ð Ú ÐÙ × Ó Ø Ô Ö Ñ Ø Ö׸ Ò ·
× ØÓ ×× Ò º ××ÙÑ
Ð×Ó Ø Ø Ø × ÒÓÛÒ Ø Ø Ø Ö Ð Ô Ö Ñ Ø Ö× « Ö ÖÓÑ Ø ÒÓÛÒ Ú ÐÙ × Ý
ÒÓØ ÑÓÖ Ø Ò ½¼±º Ì Ò Ø Ð Ú ÐÙ × Ü½ ܽ ¼ Ò Ü¾ ½¸ ܾ ¼
Û Ö Ø Ò Ø Ø ¼º Ë Ò ÐÓÒ × ØÓ Ø ÒØ ÖÚ Ð ¼ Ò ¾ ¸ ÐÓÒ × ØÓ
ÓÑÔ Ø × Ø ´ Ö Ò µº Ì Ù׸ Ó Ú ÓÙ×Ðݸ Ø ÝÒ Ñ ×Ýר Ñ ´ µ × Á Ë ×Ø Ð º
×Ý Ð ÙÐ Ø ÓÒ× × ÓÛ Ø Ø Ø Ú Ò ÓÒØÖÓÐÐ Ö Ò×ÙÖ × ¸ Ò Ø
Ò ÕÙ Ð ØÝ ¼ × × Ø ×¬ ¸ Û Ò Ø ÒÓÑ Ò Ð Ú ÐÙ × Ó Ø Ô Ö Ñ Ø Ö× Ò
Ø Ö Ñ Ü Ñ Ð ÔÓ×× Ð Ú Ø ÓÒ× Ö Ø Ò ÒØÓ ÓÙÒØº Ì Ò Ü¾ ¼¸
ܾ ½ ¼ ÓÒ × Ø Ø ½
   Ä × Òܽ   Î×
 ܾ   È×
Â × Ò´Ü¾µ · Ú  
½
ÂÒ · ÄÒ × Òܽ · Î×Ò
ÂÒ Ü¾ ¼ ·
º Ì Ö ÓÖ ¸ Ø Ó × ÖÚ Ö Ô Ö Ñ Ø Ö×
« Ò ¬ ½½ Û Ö Ó× Òº Ë ÑÙÐ Ø ÓÒ Ù×ØÑ ÒØ ´× Ê Ñ Ö ½µ
× ÓÛ× Ø Ø ·
Ò Ø Ú ÐÙ × « Ò Ö ×ÙÆ ÒØº ÆÓØ Ø Ø
Ø Ø ÖÑ× Å Ä
Â × Òܽ Ò ½
Â Ö ÙÐÐÝ Ø Ò ÒØÓ ÓÙÒØ ÓÖ Ø Ó Ó Ø
« Ö ÒØ ØÓÖ Ô Ö Ñ Ø Ö× ¾ Ù× Ò ÑÙ Ð Ö Ö Ó Æ ÒØ× ØÓ Ù× º Ì
Ô Ö ÓÖÑ Ò Ó Ø Ó × ÖÚ Ö Û Ø Ø × ÑÔÐ Ò ÒØ ÖÚ Ð Æ ¼ ¼¼¼¼½ × × ÓÛÒ
Ò º ½¸ Ø ¬Ò Ø ¹Ø Ñ ÓÒÚ Ö Ò Ó Ø ×Ø Ñ Ø Ú ÐÓ ØÝ ØÓ Ø Ö Ð ÓÒ
× ÑÓÒ×ØÖ Ø Ò º ¾¸ Ò Ø º ¿ × ÓÛ× Ø ÓÒÚ Ö Ò Ò Ø ÔÐ Ò
ܽ Ú× Ü¾º
ÓÖ Ô Ö Ñ ØÖ ÒØ ¬ Ø ÓÒ¸ ÓÒ× Ö Ø × Ò Û ÓÒÐÝ Ø ÖÝ Ö ¹
Ø ÓÒ Ô Ö Ñ Ø Ö × ÙÒ ÒÓÛÒº Ð×Ó ××ÙÑ Ø Ö Ö ÒÓ ÜØ ÖÒ Ð Ô ÖØÙÖ Ø ÓÒ×
Ø Ò ÓÒ Ø ×Ýר Ѹ Ø × × Ú´Øµ ¼º Ì Ò Ø Ó × ÖÚ Ö Ò ÛÖ ØØ Ò ×
ܽ ܾ · ¿ ´ ·
µ½ ¾
ܽ
½ ¾
× Ò´Ü½  Ü½µ
ܾ
½
   Ä × Òܽ   Î×
 ܾ   È×Ò
Â × Ò´Ü¾µ · ½ ·
× Ò´Ü½  Ü½µ
ÆÓØ ¸ Ø Ø ÖÑ× Ô Ò ÒØ ÓÒ Ò Ü½ Ö ÒÓØ Ø Ò ÒØÓ ÓÙÒØ Û Ò Ó ¹
Ø Ò Ò ·
º ÁÒ Ø × × ·
¼ ¿½¼¿ Ò « ½ ¿ Ò ¬ ½ ¾¼ º ÓÖ
332 A. Poznyak et al.
Á ÒØ ¬ Ø ÓÒ Ó È Ö Ñ Ø Ö× Ò ÝÒ Ñ ËÝר Ñ× ¿¿¿
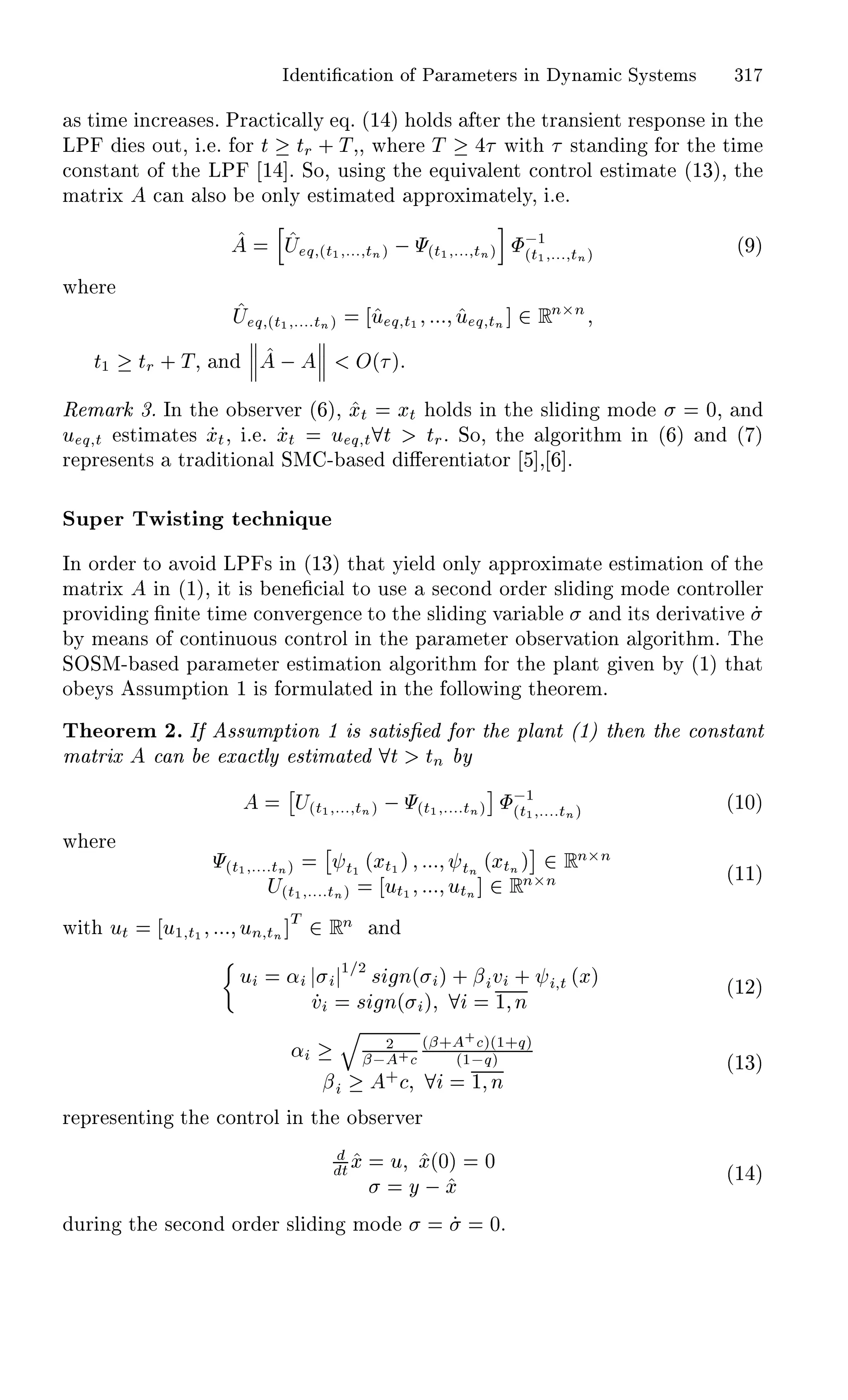
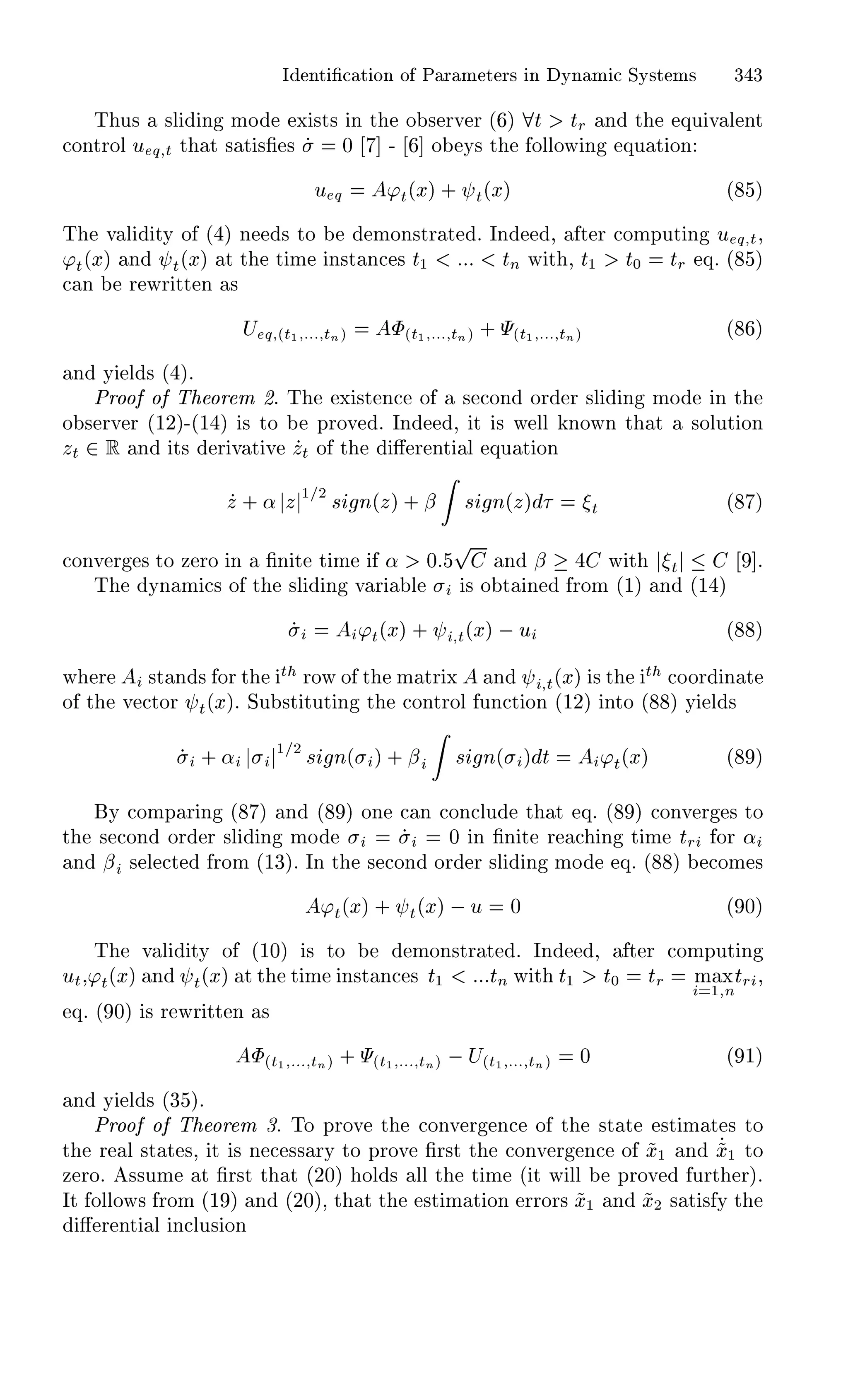
0 0.5 1 1.5
−0.2
0
0.2
0.4
0.6
0.8
1
1.2
t[s]
θ
2
estimation error
º ½º ר Ñ Ø ÓÒ ÖÖÓÖ ÓÖ Ü¾º
0 0.5 1 1.5
−0.2
0
0.2
0.4
0.6
0.8
1
1.2
t[s]
θ2
θ2
estimated
º ¾º Ê Ð Ò ×Ø Ñ Ø Ú ÐÓ ØÝº
Ø × Ô Ö Ñ Ø Ö Ú ÐÙ × Ø ×ÝÑÔØÓØ ÓÒÚ Ö Ò Ó Ø Ô Ö Ñ Ø Ö ÒØ ¹
¬ Ø ÓÒ Ð ÓÖ Ø Ñ ´½ µ¸ ´½ µ × × ÓÛÒ Ò º ¸ Ò Ø ¬ÐØ Ö Ò ÓÒ Ø ÓÒ ×
× ÓÛÒ Ò º º Ì ×ÝÑÔØÓØ ÓÒÚ Ö Ò × ÓÛÒ Ò º ÐÐÓÛ× Ù× ØÓ ¬Ò
Ø Ú ÐÙ Ó Ø Ô Ö Ñ Ø Ö ¡ È×
   È×
 º
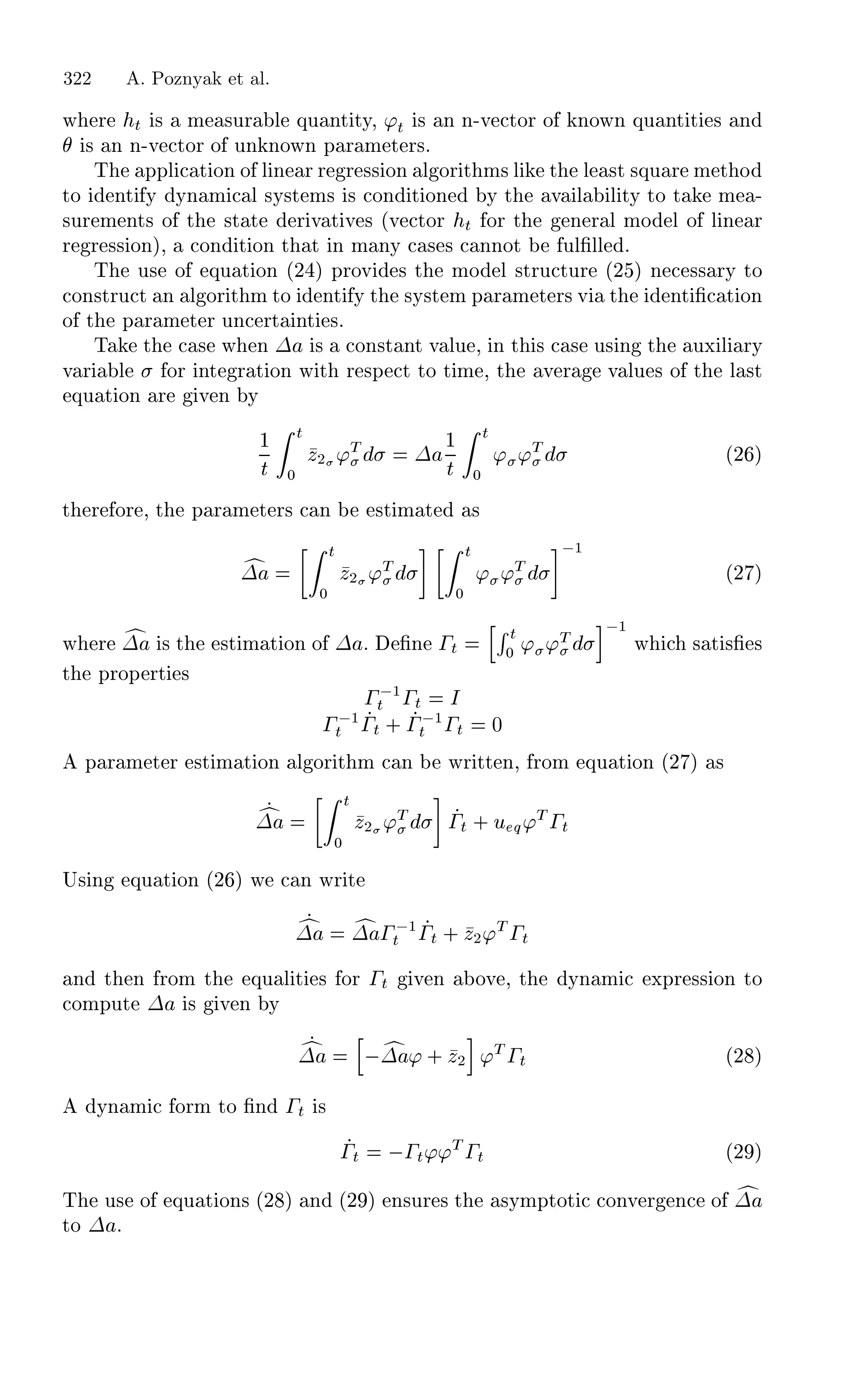
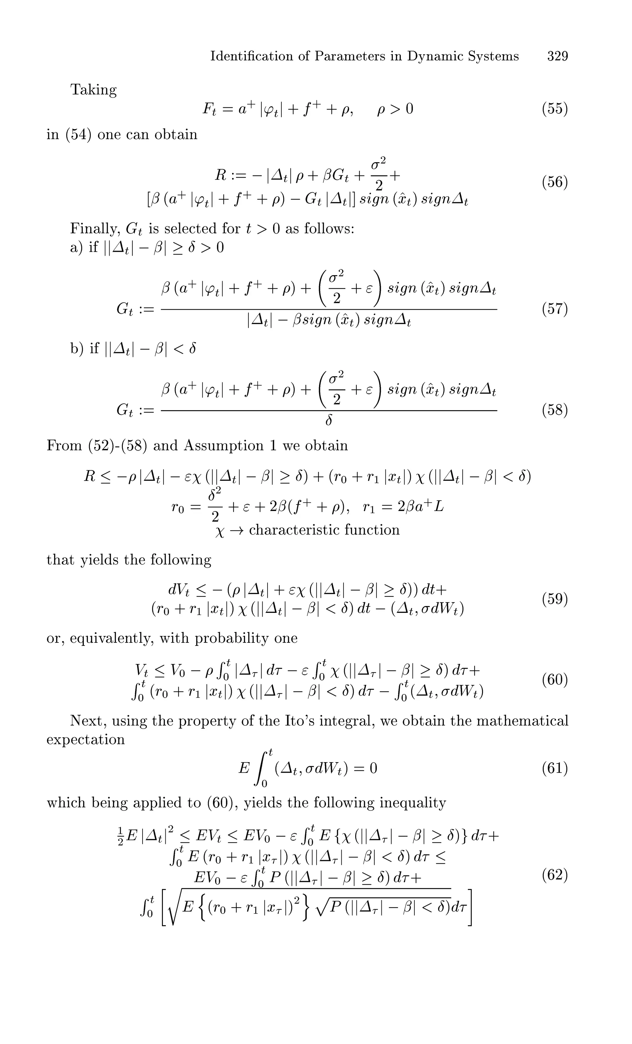
−2 0 2 4 6 8 10 12 14 16
x 10
−3
−0.2
0
0.2
0.4
0.6
0.8
1
1.2
x1
estimation error
x2
estimationerror
º ¿º Ö Ô Ó Ü½ Ú× Ü¾º
0 5 10 15 20 25 30
0
1
2
3
4
5
6
7
t[s]
[Kgm2
/s2
]
Estimación del Parámetro
º º È Ö Ñ Ø Ö ×Ø Ñ Ø ÓÒ ¡È×
Â
º¾ Ì Ñ ¹Î ÖÝ Ò Å ØÖ Ü ´Øµ Ó × ÖÚ Ø ÓÒ
Ì ÄÌÎ ×Ýר Ñ Ò ´ µ¸ ´ ¾µ Ò ´ ¼µ × ÓÒ× Ö Û Ò Ò ¾¸ ܽ´¼µ ¿ ¼¸
ܾ´¼µ ¸ ´Øµ ¼ Ò × ÑÙÐ Ø Û Ø ´Øµ × Ù×× Ò ÒÓ × Ú ØÓÖ Û Ø
Þ ÖÓ Ñ Ò Ò ¼º¼¾ ר Ò Ö Ú Ø ÓÒº Ì ÙÒ ÒÓÛÒ Ø Ñ ¹Ú ÖÝ Ò Ô Ö Ñ ¹
Ø Ö× ¼´Øµ Ò ½´Øµ Ö ¬Ò Ò Ø × ÑÙÐ Ø ÓÒ׺
334 A. Poznyak et al.
Á ÒØ ¬ Ø ÓÒ Ó È Ö Ñ Ø Ö× Ò ÝÒ Ñ ËÝר Ñ× ¿¿
0 5 10 15 20 25 30
−4
−3
−2
−1
0
1
2
3
4
5
6
t[s]
1/t ∫ ε φ
º º Ì Ú ÐÙ Ó ½
Ø
Ê
´ µ³´ µÌ º
¼´Øµ ¼ ½  ¼ ¾ ¡½´Ø  ¾µ · ¼ ¿ ¡½´Ø   µ·
½´Ø  ¾ µ  ½´Ø  ¿ µ ¼ ½× Ò½¼Ø
½´Øµ ¼ ¾ · ¼ ¾ ¡½´Ø  ½ µ  ¼ ¿ ¡½´Ø  ¿µ·
½´Ø  ½ µ  ½´Ø  ¾ µ ¼ ¾× Ò¾¼Ø
´ µ
Ì × ÑÙÐ Ø ÓÒ× Û Ö Ô Ö ÓÖÑ Ù× Ò Ò ÙÐ Ö Ñ Ø Ó Û Ø ×Ø Ô × Þ
½¼  º ØÖ Ø ÓÒ Ð ËÅ ¹ × Ô Ö Ñ Ø Ö Ó × ÖÚ Ö × × Ò Ò ´¿ µ Ò
´ ¼µ Û Ø ÓÒØÖÓÐ
Ù ½¼× Ò´ µ ½ ¾ ´ µ
Ì ÄÈ ÝÒ Ñ × × Ø Ò Ò ØÖ Ò× Ö ÙÒ Ø ÓÒ ÓÖÑ Ø × ½ ´¼ ¼¼ × · ½µº
Ì Ö ×ÙÐØ× Ó Ø × ÑÙÐ Ø ÓÒ× ØÓ Ó Ø Ò Ø ×Ø Ñ Ø × Ó ¼´Øµ Ò ½´Øµ
Ú Ø Ô Ö Ñ Ø Ö Ó × ÖÚ Ö ´¿ µ Ò ´ ¼µ Ö × ÓÛÒ Ò ÙÖ × Ò º À
ÙÖ Ý¸ ÖÓ Ù×ØÒ ×× ØÓ ÒÓ × ¸ Û Ø ÞÓÒ ÓÒÚ Ö Ò × ÓÒ¬ÖÑ º Ì
Ö ÕÙ Ò Ý ÓÒØÖÓÐ ×Û Ø Ò × × Ò ¬ ÒØÐÝ ØØ ÒÙ Ø Ý Ø ÄÈ º
Ì ËÇËŹ × Ô Ö Ñ Ø Ö Ó × ÖÚ Ö × × Ò Ò ´ ¾µ¹´ µ Û Ø ÓÒØÖÓÐ
Ù ¼ ½ ¾
× Ò´ µ · ½¼Ú
Ú × Ò´ µ ½ ¾
´ µ
ÁÒ ÓÖ Ö ØÓ Ö Ù « Ø Ó Ø Ñ ×ÙÖ Ñ ÒØ ÒÓ × Ø ÓÒØÖÓÐ ÙÒ Ø ÓÒ×
´ µ Û Ö ¬ÐØ Ö Ý Ø ÄÈ ¸ Û Ö Ø ÝÒ Ñ × Ö Ø Ò Ò ØÖ Ò× Ö
ÙÒ Ø ÓÒ ÓÖÑ Ø ½ ´¼ ¼¼ × · ½µ º Ì × ÑÙÐ Ø ÓÒ× Û Ö Ô Ö ÓÖÑ Ù× Ò Ò
ÙÐ Ö Ñ Ø Ó Û Ø ×Ø Ô × Þ ½¼  º Ì Ö ×ÙÐØ× Ó Ø × ÑÙÐ Ø ÓÒ× ÓÖ Ø
Ô Ö Ñ Ø Ö Ó × ÖÚ Ö ´ ¾µ¹´ µ¸ ´ µ Ö × ÓÛÒ Ò ÙÖ × Ò º À ¹
ÙÖ Ý¸ ÖÓ Ù×ØÒ ×× Û Ø Ö ×Ô Ø ØÓ ÒÓ × ×Ø Ñ Ø × Û Ø ÞÓÒ ÓÒÚ Ö Ò ×
ÓÒ¬ÖÑ º
º¿ ÓÒר ÒØ Å ØÖ Ü Ç × ÖÚ Ø ÓÒ Ð ÓÖ Ø Ñ
Ì ÆÒ ×Ýר Ñ Ò ´½µ × ÓÒ× Ö ÓÖ Ò ¾ ܽ´¼µ ¿ ¼ ܾ´¼µ ¸
³½´Üµ ܽ · ¼ ¾× Òܾ ³¾´Üµ ܾ · ¼ ¿× Òܽ ¼ ؽ ¼ × Ø¾ ¼×
Ò × ÑÙÐ Ø Û Ø ´Øµ × Ù×× Ò ÒÓ × Ú ØÓÖ Û Ø Þ ÖÓ Ñ Ò Ò ¼º¼¼¾
ר Ò Ö Ú Ø ÓÒº Ì ÙÒ ÒÓÛÒ Ñ ØÖ Ü × ¬Ò Ò Ø × ÑÙÐ Ø ÓÒ× ×
 ½ ¿¼ ½ ¼
¿ ¿¼   ¼
´ µ
Ì × ÑÙÐ Ø ÓÒ× Û Ö Ô Ö ÓÖÑ Ù× Ò Ò ÙÐ Ö Ñ Ø Ó Û Ø ×Ø Ô × Þ ½¼ 
Ú ËÅ ¹ × Ò ËÇËŹ × Ô Ö Ñ Ø Ö ×Ø Ñ Ø ÓÒ× Ð ÓÖ Ø Ñ Û Ø ÓÒ¹
ØÖÓÐ× Ú Ò Ý ´ µ Ò ´ µº Ì Ö ×ÙÐØ× Ö ÔÖ × ÒØ Ò Ì Ð × ½ Ò ¾
Ì Ð ½
ËÇËÅ Ó × ÖÚ Ö ÆÓ Ñ ×ÙÖ Ñ ÒØ ÒÓ × Ù×× Ò Ñ ×ÙÖ Ñ ÒØ ÒÓ ×
 ½ ¿¾ ½
¿ ¿   ¼
 ½ ½ ½ ¿
¿ ¼½   ¿½
Ì Ð ¾
ËÇËÅ Ó × ÖÚ Ö ÆÓ Ñ ×ÙÖ Ñ ÒØ ÒÓ × Ù×× Ò Ñ ×ÙÖ Ñ ÒØ ÒÓ ×
 ½ ¾ ½
¿ ¿½   ½
 ½ ¾¾ ½ ¼
¿ ½  
× ÓÒ ÙÖ × ¹ Ò Ì Ð × ½ Ò ¾ ÓÒ Ò ÓÒ ÐÙ Ø Ø ÓØ й
ÓÖ Ø Ñ× ÔÖÓÚ ÖÓ Ùר ØÓ ÒÓ × Ô Ö Ñ Ø Ö ×Ø Ñ Ø ×º Ì ÙÖ Ý Ó Ø
Ô Ö Ñ Ø Ö ×Ø Ñ Ø ÓÒ Ú Ý Ø ËÇËŹ × ×Ø Ñ ØÓÖ × Ö Ø Ò
Ø ÓÒ Ú Ú ØÖ Ø ÓÒ Ð ËÅ ¹ × Ó × ÖÚ Öº
º º ר Ñ Ø ÓÒ Ó ¼ Ú Ø ØÖ Ø ÓÒ Ð ËÅ ¹ × Ô Ö Ñ Ø Ö Ó × ÖÚ Ö
336 A. Poznyak et al.
Á ÒØ ¬ Ø ÓÒ Ó È Ö Ñ Ø Ö× Ò ÝÒ Ñ ËÝר Ñ× ¿¿
º º ר Ñ Ø ÓÒ Ó ½ Ú Ø ØÖ Ø ÓÒ Ð ËÅ ¹ × Ô Ö Ñ Ø Ö Ó × ÖÚ Ö
º º ר Ñ Ø ÓÒ Ó ¼ Ú Ø ËÇËŹ × Ô Ö Ñ Ø Ö Ó × ÖÚ Ö
º Ë Ð Ö È Ö Ñ Ø Ö Á ÒØ ¬ Ø ÓÒ Ó ËØÓ ×Ø ËÝר Ñ×
º Ë ÑÙÐ Ø ÓÒ × Ø ÙÔ
µ Ë Ð Ø Ò ´½µ Ø × ×Ø Ô¹ ÙÒ Ø ÓÒ Û Ø Ð Ú Ð× × Ò ÙÖ × ½¿ Ò ½
µ Ø ½¼× Ò´¿Øµ · ½¾ ¼ ¾ ³´Üµ Ü
µ Ì ¬ ¼ ¼½ ¼ ¼¼½  ½
½¼¼ ·
¾ ·
¾ Ò ´ µº
µ ÌÓ Ö ØÖ Ú Ù´ Õµ
Ø ¸ Ø ÓÒØÖÓÐ Ø ÓÒ ÙØ Ò ´ µ × ÔÖÓ ×× Ý ÐÓÛ Ô ××
¬ÐØ Ö
Ù´ Õµ
Ø  Ù´ Õµ
Ø · ÙØ ´ ¼µ
Û Ø ¼ ¼
º º ר Ñ Ø ÓÒ Ó ½ Ú Ø ØÖ Ø ÓÒ Ð ËÇËŹ × Ô Ö Ñ Ø Ö Ó × ÖÚ Ö
Ì Ö ×ÙÐØ× Ó Ø × ÑÙÐ Ø ÓÒ× Ö × ÓÛÒ Ò ÙÖ × ½¼¹½ º ÖÓÑ ÙÖ
½¼ ÓÒ Ò × Ø Ø Ø ×Ø Ø ×Ø Ñ ØÓÖ ´ µ ÔÖ Ø ÐÐÝ Ü ØÐÝ ÓÐÐÓÛ× Ø
Ú Ò ÝÒ Ñ × Ò ´ µ ÓР׺ À Ö ÕÙ Ò Ý ×Û Ø Ò ÓÒØÖÓÐ ´ ¿µ Ò Ø
×Ð Ò ÑÓ ¸ ¡Ø
× ¼ ÓÖ ÐÐ Ø Ø × Ò ÙÖ ½½º ÓÒØÖ ÙØ ÓÒ Ó Ø
Ø ÖÑ Ø× ÒÜØ × Ð ÖÐÝ Ó × ÖÚ º Ì ÕÙ Ú Ð ÒØ ÓÒØÖÓÐ × ÑÓÒ×ØÖ Ø Ò
ÙÖ ½¾º ÇÒ Ò × Ö × Ù Ð Ó ×ØÓ ×Ø ÝÒ Ñ × Ò Ö ÕÙ Ò Ý
ÓÒØÖÓк
Ì Ö ×ÙÐØ× Ó Ø Ø Ñ ¹Ú ÖÝ Ò Ô Ö Ñ Ø Ö ÒØ ¬ Ø ÓÒ Ò ×ØÓ ×Ø
×Ýר Ñ Ù× Ò Ø Ð ÓÖ Ø Ñ ´ ½µ Ö × ÓÛÒ Ò ÙÖ ½¿º ÇÒ Ò × Ø
Ö × Ù Ð « Ø Ó ×ØÓ ×Ø ÔÖÓ ×× Ò Ö ÕÙ Ò Ý ×Û Ø Ò ÓÒØÖÓк
ÙÖ ½ Ô Ø× Ø ×Ø Ñ Ø ´ ¿µ Ù× Ò Ø ÄËÅ Ñ Ø Ó Û Ø Ø ÓÖ ØØ Ò
ØÓÖ ½ º
Ì ÕÙ Ð ØÝ Ó ÓØ Ô Ö Ñ Ø Ö ÒØ ¬ Ø ÓÒ Ð ÓÖ Ø Ñ× × Ò Ú ÐÙ Ø
Ù× Ò Ø ÓÐÐÓÛ Ò Ô Ö ÓÖÑ Ò Ò Ü
´ µ
Ø
½
Ø ·
Ø
¼
  ´ µ
¾
¼ ¼¼¼½ ½ ¾
× ÓÒ Ø Ö ×ÙÐØ× Ó Ø × ÑÙÐ Ø ÓÒ× Û Ó Ø Ò
´½µ
Ø ¾¼ ¼ ½½¼ ´¾µ
Ø ¾¼ ¼ ¼¼ ¼¼½
Ì × × ÓÛ× Ø Ø Ø ÄÅ˹ÔÖÓ ÙÖ Û Ø Ø ÓÖ ØØ Ò ØÓÖ Ô Ö ÓÖÑ× × ¹
Ò ¬ ÒØÐÝ ØØ Ö Ø Ò Ø Ö Ø Ñ Ø Ó º
ÓÒ ÐÙ× ÓÒ
Ì × ÔØ Ö ÑÓÒ×ØÖ Ø × ÓÛ ÑÓ ÖÒ ÔÔÖÓ × ×Ù × ËÐ Ò ÅÓ
Ø Ò ÕÙ × ×Ù ×× ÙÐÐÝ ÛÓÖ Û Ò ÔÔÐ ØÓ ØÖ Ø ÓÒ Ð ¬ Ð Ó Ð ×× Ð
338 A. Poznyak et al.
º Ë ÑÙÐ Ø ÓÒ Ö ×ÙÐØ×
Á ÒØ ¬ Ø ÓÒ Ó È Ö Ñ Ø Ö× Ò ÝÒ Ñ ËÝר Ñ× ¿¿
º ½¼º Ì ØÖ ØÓÖ × ÜØ Ò ÜØ
º ½½º ÓÒØÖÓÐ ÙØ
ÓÒØÖÓÐ Ø ÓÖÝ × Ø ÒØ ¬ Ø ÓÒ Ó Ô Ö Ñ Ø Ö× Ó Ç × Û Ø Ø ÖÑ Ò ×¹
Ø ÓÖ Ú Ò ×ØÓ ×Ø ÒÓ × º Ì × ÔÔÖÓ ÔÖÓÚ × Ò Ü Ø Ö Ú Ø Ú ´ÓÖ¸
« Ö ÒØ Ð Ò Ø ×ØÓ ×Ø × µ ר Ñ Ø Ò ¬Ò Ø ´×Ñ ÐÐ ÒÓÙ µ Ø Ñ Ø Ø
Ô ÖÑ Ø× Ö ÖÖ Ò Ñ ÒØ Ó Ø Ò Ø Ð ÝÒ Ñ × ØÓ Ø ×Ø Ò Ö Ö Ö ×× ÓÒ ÓÖѺ
Ï Ò Ö ÔÖ × ÒØ Ò Ø × ÓÖÑ Ø ÒØ ¬ Ø ÓÒ ÔÖÓ Ð Ñ× Ñ Ø Ø ÔÔÐ ¹
Ø ÓÒ Ó ×Ø Ò Ö ×Ø Ñ Ø ÓÒ Ø Ò ÕÙ × ×Ù × × ÑÔÐ Ú Ö× ÓÒ Ó ÄËÅ ÓÖ ÄËÅ
Û Ø Å ØÖ Ü ÓÖ ØØ Ò º Ë Ú Ö Ð ÒÙÑ Ö Ð Ü ÑÔÐ × × ÓÛ Ø « Ø Ú Ò ×× Ó
Ø × ÒÓÒ¹×Ø Ò Ö Ø Ò ÕÙ º
º ½¾º ÕÙ Ú Ð ÒØ ÓÒØÖÓÐ Ó Ø Ò Ý Ø ¬ÐØ Ö ´ ¼µº
º ½¿º Ì Ø Ñ ¹Ú ÖÝ Ò Ô Ö Ñ Ø Ö Ø ´Ø ר Ô¹ ÙÒ Ø ÓÒµ Ò Ø× ר Ñ Ø ´½µ
Ø
Ê Ö Ò ×
½º º º Ð ÔÔÓÚ¸ « Ö ÒØ Ð ÕÙ Ø ÓÒ× Û Ø × ÓÒØ ÒÙÓÙ× Ê Ø¹ Ò Ë ×¸ ÓÖ¹
Ö Ø¸ Ì Æ Ø ÖÐ Ò × ÃÐÙÛ Ö Ñ ÈÙ Ð × Ö× ½ º
¾º º Ä Ú ÒØ¸ ÊÓ Ùר Ü Ø « Ö ÒØ Ø ÓÒ Ú ×Ð Ò ÑÓ Ø Ò ÕÙ ¸ ÙØÓÑ Ø ¸
¿ ´¿µ¸ ½ ¸ ÔÔº ¿ ¹¿ º
¿º ̺ ËÓ ÖרÖÓѸ Ⱥ ËØÓ ¸ ËÝר Ñ Á ÒØ ¬ Ø ÓÒ¸ ÈÖ ÒØ À ÐÐ ÁÒØ ÖÒ Ø ÓÒ Ð
½ º
º κ ÍØ Ò¸ ËÐ Ò ÅÓ × ÓÒØÖÓÐ Ò Ì Ö ÔÔÐ Ø ÓÒ× ØÓ Î Ö Ð ËØÖÙ ØÙÖ
ËÝר Ñ׸ Å Ö¸ ÅÓ× ÓÛ¸ ½ º
340 A. Poznyak et al.
Á ÒØ ¬ Ø ÓÒ Ó È Ö Ñ Ø Ö× Ò ÝÒ Ñ ËÝר Ñ× ¿ ½
º ½ º Ì Ø Ñ ¹Ú ÖÝ Ò Ô Ö Ñ Ø Ö Ø´Ø ×Ø Ô¹ ÙÒ Ø ÓÒµ Ò Ø× ר Ñ Ø ´¾µ
Ø
º κ ÍØ Ò¸ º ÙÐ Ò Ö¸ º Ë ¸ ËÐ Ò ÅÓ ÓÒØÖÓÐ Ò Ð ØÖÓÑ Ò Ð ËÝר Ñ׸
ÄÓÒ ÓÒ¸ ÍÃ Ì ÝÐÓÖ ² Ö Ò × ½ º
º º Û Ö × Ò Ëº ËÔÙÖ ÓÒ¸ ËÐ Ò ÅÓ ÓÒØÖÓи Ì ÝÐÓÖ ² Ö Ò ×¸ Ö ×ØÓи
È ¸ ½ º
º º ÃÓ× ÓÙ Ò º ÒÓ Ö¸ ËÐ Ò ÑÓ Ó × ÖÚ Ö× ÓÖ Ð ×× Ó ÒÓÒÐ Ò Ö
×Ýר Ñ׸ ÈÖÓ Ò × Ó Ñ Ö Ò ÓÒØÖÓÐ ÓÒ Ö Ò ¸ ¾¼¼¾¸ ÔÔº ¾½¼ ¹ ¾½½½º
º º ÐÓÖ Ø¹ÈÓÒØ ظ º Ä ÑÒ ¹Ä ÖÖ Ù ¸ È Ö Ñ Ø Ö Á ÒØ ¬ Ø ÓÒ Å Ø Ó ¹
ÓÐÓ Ý Í× Ò ËÐ Ò ÅÓ Ç × ÖÚ Ö× ¸ ÁÒØº ÂÓÙÖÒ Ð Ó ÓÒØÖÓи ÚÓк ¸ ÆÓº ½ ¸
¾¼¼½¸ ÔÔº ½ ¿¹½ ¿º
º º Ä Ú ÒØ¸ ÊÓ Ùר Ü Ø « Ö ÒØ Ø ÓÒ Ú ×Ð Ò ÑÓ Ø Ò ÕÙ ¸ ÙØÓÑ Ø¹
¸ ¿ ´¿µ¸ ½ ¸ ÔÔº ¿ ¹¿ º
½¼º ĺ Ä ÙÒ ¸ ³ ×ÝÑÔØÓØ Ú ÓÖ Ó Ø ÜØ Ò Ã ÐÑ Ò ÐØ Ö × È Ö Ñ ¹
Ø Ö ×Ø Ñ ØÓÖ ÓÖ Ä Ò Ö ËÝר Ñ׳¸ Á ÌÖ Ò׺ ÙØº ÓÒØÖÓи ¹¾ ¸ ¿ ¹ ¼¸
´½ µº
½½º ĺ Ä ÙÒ ¸ Ò Ëº ÙÒÒ Ö××ÓÒ¸ ³ ÔØ Ø ÓÒ Ò ÌÖ Ò Ò ×Ýר Ñ Á ÒØ ¬ Ø ÓÒ
¹ ËÙÖÚ Ý³¸ ÙØÓÑ Ø ¸ ¾ ¸ ¹¾½¸ ´½ ¼µº
½¾º Ⱥ Ý Ó«¸ Ò Èº º È Ö ×¸ ³Á ÒØ ¬ Ø ÓÒ Ò ËÝר Ñ È Ö Ñ Ø Ö ×Ø Ñ Ø ÓÒ
Ï Ö Ó Ï ËØ Ò ÆÓÛ ³ ´ ØÓÖ Ðµ¸ ÙØÓÑ Ø ¸ ¾ ¸ ¿¹ ¸ ´½ ¼µº
½¿º º Ä Ò Àº º Ò¸ Á ÒØ ¬ Ø ÓÒ Ò ËØÓ ×Ø ÔØ Ú ÓÒØÖÓк ÓרÓÒ
Ö Ù× Ö¸½ ½º
½ º Ϻ ĺ ÖÓ Ò¸ ÅÓ ÖÒ ÓÒØÖÓÐ Ì ÓÖݸ ¿Ö Ø ÓÒ¸ ÈÖ ÒØ À Ðи Æ Û Â Ö× Ý¸
½ ½º
½ º º º Ë Ø ×× Ð¸ Ò º ˺ ÈÓÞÒÝ ¸ È Ö Ñ Ø Ö Á ÒØ ¬ Ø ÓÒ Ó ÆÒ Ì Ñ
Î ÖÝ Ò ËÝר Ñ× Í× Ò ÌÖ Ø ÓÒ Ð Ò À ÇÖ Ö ËÐ Ò ÅÓ ×¸ ÈÖÓ Ò ×
Ó Ñ Ö Ò ÓÒØÖÓÐ ÓÒ Ö Ò ¸ ÚÓк ¸ ¾¼¼ ¸ ÔÔº ¾ ¿¿¹¾ ¿ º
½ º º º Ë Ø ×× Ð¸ Ò º ˺ ÈÓÞÒÝ ¸ È Ö Ñ Ø Ö ÒØ ¬ Ø ÓÒ Ó Ð Ò Ö Ø Ñ
Ú ÖÝ Ò ×Ýר Ñ× Ú ØÖ Ø ÓÒ Ð Ò ÓÖ Ö ×Ð Ò ÑÓ ×¸ ÈÖÓ Ò × Ó
Ø ÁÒØ ÖÒ Ø ÓÒ Ð ÏÓÖ × ÓÔ ÓÒ Î Ö Ð ËØÖÙ ØÙÖ ËÝר Ñ׸ ËÔ Ò¸ Î ÐÐ ÒÓÚ ¸
Ë ÔØ Ñ Ö ¹ ¸ ¾¼¼ º
½ º ź º ÙÒ Ò ÌºËº À Ò¸ Ê Ð Ø Ñ Ô Ö Ñ Ø Ö× ÒØ ¬ Ø ÓÒ Ó × Ô ÝÒ Ñ
Ù× Ò Ø ÜØ Ò Ã ÐÑ Ò ¬ÐØ Ö Ò Ø × ÓÒ ÓÖ Ö ¬ÐØ Ö¸ Á ÓÒ Ö Ò º
ÓÒ ÓÒØÖÓÐ ÔÔÐ Ø ÓÒ× ¹ ÈÖÓ Ò ×¸ κ¾¸ ¾¼¼¿¸ ÔÔº ½¾ ¹½¾ ¼º
½ º º ˺ ÈÓÞÒÝ ¸ Ò Âº Šи Å ØÖ Ü ÓÖ ØØ Ò ØÓÖ¸ ÁÒØº ÂÓÙÖÒ Ð Ó ËÝ×¹
Ø Ñ× Ë Ò ¸ ÚÓк ¿¼¸ ÆÓ ¾¸ ½ ¸ ÔÔº ½ ¹½ º
½ º º ˺ ÈÓÞÒÝ ¸ Ò Âº Šи Å ØÖ Ü ÓÖ ØØ Ò Û Ø ÔØ Ø ÓÒ¸ ÁÒØº ÂÓÙÖÒ Ð
Ó ËÝר Ñ× Ë Ò ¸ ÚÓк ¿¼¸ ÆÓº ¸ ½ ¸ ÔÔº ¹ º
¾¼º º ˺ ÈÓÞÒÝ ¸ ³ ר Ñ Ø Ò È Ö Ñ Ø Ö× Ó ÙØÓÖ Ö ×× ÓÒ ÈÖÓ ×× Ý Ø
Å Ø Ó Ó Ä ×Ø ËÕÙ Ö ×³¸ ÁÒØº º Ë Áº¸ ½ ¼¸ ½½¸ ¹ º
¾½º ˺ Ë ÓÐ ×РѸ ³Ç × ÖÚ Ö × È Ö Ñ Ø Ö Á ÒØ ¬ Ö ÓÖ ÆÓÒÐ Ò Ö ËÝר Ñ×
Û Ø È Ö Ñ Ø Ö Ô Ò Ò ×³¸ Á ÌÖ Ò׺ ÙØº ÓÒØÖÓи ¹ ¼¸ ¿ ¾¹ ¸
½ º
¾¾º ËÓÒ ¸ º º¸ ÔØ Ú È Ö Ñ Ø Ö ×Ø Ñ ØÓÖ× ÓÖ Ð ×× Ó ÆÓÒÐ Ò Ö ËÝר Ñ׸
ÁÒØº º ÔØº ÓÒØÖÓÐ Ë Ò Ð ÈÖÓ ×׺¸ ½½¸ ½¹ ¸ ½ º
¾¿º º ˺ ÈÓÞÒÝ ¸ ËØÓ ×Ø ÓÙØÔÙØ ÒÓ × « Ø× Ò ×Ð Ò ÑÓ ×Ø Ø ×Ø Ñ Ø ÓÒ¸
ÁÒØº ÂÓÙÖÒ Ð ÓÒØÖÓи ÚÓк ¸ »½¼¸ ¾¼¼¿¸ ÔÔº ¹½¼¼¼º
¾ º º Ò×ÓÙ×× Ò¸ ËØÓ ×Ø ÓÒØÖÓÐ Ó È ÖØ ÐÐÝ Ç × ÖÚ Ð ËÝר Ñ׸ Ñ Ö
ÍÒ Ú Ö× ØÝ ÈÖ ×׸ Ñ Ö ¸ Íø ½ ¾º
¾ º ź × Ò¸ Å º Ö ¸ ÇÔØ Ñ Ð ¬ÐØ Ö Ò Ò ÓÒØÖÓÐ ÓÖ Ø Ö Ö ÔÓÐݹ
ÒÓÑ Ð ×Ýר Ѹ ÝÒ Ñ × Ó ÓÒØ ÒÙÓÙ׸ × Ö Ø ¸ Ò ÁÑÔÙÐ× Ú ËÝר Ñ׸ ÚÓк
½¼ ¸ ¾¼¼¿¸ ÔÔº ¿¹ ¼º
¾ º ź × Ò¸ ÇÔØ Ñ Ð ¬ÐØ Ö Ò ÓÖ ÔÓÐÝÒÓÑ Ð ×Ýר Ñ ×Ø Ø ×¸ ËÅ ÌÖ Ò× Ø ÓÒ׺
º Ó ÝÒ Ñ ËÝר Ñ׸ Å ×ÙÖ Ñ ÒØ¸ Ò ÓÒØÖÓи ÚÓк ½¾ ¸ ¾¼¼¿¸ ÔÔº ½¾¿¹½¾ º
¾ º ź κ × Ò Ò Åº Ë Ð Ö¸ ÇÔØ Ñ Ð ¬ÐØ Ö Ò ÓÖ Ô ÖØ ÐÐÝ Ñ ×ÙÖ ÔÓÐÝÒÓÑ Ð
×Ýר Ñ ×Ø Ø ×¸ ÈÖÓ Ò × Ó Ñ Ö Ò ÓÒØÖÓÐ ÓÒ Ö Ò ¸ ÚÓк ¸ ¾¼¼ ¸ ÔÔº
¼¾¾¹ ¼¾ º
ÔÔ Ò Ü ÔÖÓÓ ×
ÈÖÓÓ Ó Ì ÓÖ Ñ ½º Ì Ü ×Ø Ò Ó ×Ð Ò ÑÓ Ò Ø Ó × ÖÚ Ö ´ µ × ØÓ
ÔÖÓÚ º ÓÖ Ø ×Ð Ò Ú Ö Ð ÝÒ Ñ × Ó Ø Ò ÖÓÑ ´½µ Ò ´ µ
³Ø´Üµ · شܵ  Ù ´ ½µ
Ì ÓÒØÖÓÐ ÙÒ Ø ÓÒ ´ µ Ñ × Ø Ò ÕÙ Ð ØÝ
Î  
Ô
¾Î ´ ¾µ
Ú Ð ¸ Û Ö
Î
½
¾
Ì ´ ¿µ
× ÄÝ ÔÙÒÓÚ ÙÒ Ø ÓÒ ÓÖ ´ ½µº Ì × Ñ Ò× Ø Ø Ø ÓÖ Ò Ó ´ ½µ × ÐÓ ÐÐÝ
×ÝÑÔØÓØ ÐÐÝ ×Ø Ð Û Ø ¬Ò Ø Ö Ò Ø Ñ
ØÖ
Ô
¾Î ´¼µ ´¼µ
´ µ
342 A. Poznyak et al.
Á ÒØ ¬ Ø ÓÒ Ó È Ö Ñ Ø Ö× Ò ÝÒ Ñ ËÝר Ñ× ¿ ¿
Ì Ù× ×Ð Ò ÑÓ Ü ×Ø× Ò Ø Ó × ÖÚ Ö ´ µ Ø ØÖ Ò Ø ÕÙ Ú Ð ÒØ
ÓÒØÖÓÐ Ù Õ Ø Ø Ø × Ø ×¬ × ¼ ¹ Ó Ý× Ø ÓÐÐÓÛ Ò ÕÙ Ø ÓÒ
Ù Õ ³Ø´Üµ · شܵ ´ µ
Ì Ú Ð ØÝ Ó ´ µ Ò × ØÓ ÑÓÒ×ØÖ Ø º ÁÒ ¸ Ø Ö ÓÑÔÙØ Ò Ù Õ Ø¸
³Ø´Üµ Ò Ø´Üµ Ø Ø Ø Ñ Òר Ò × Ø½ ØÒ Û Ø ¸ ؽ ؼ ØÖ Õº ´ µ
Ò Ö ÛÖ ØØ Ò ×
Í Õ ´Ø½ ØÒµ ¨´Ø½ ØÒµ · ©´Ø½ ØÒµ ´ µ
Ò Ý Ð × ´ µº
ÈÖÓÓ Ó Ì ÓÖ Ñ ¾º Ì Ü ×Ø Ò Ó × ÓÒ ÓÖ Ö ×Ð Ò ÑÓ Ò Ø
Ó × ÖÚ Ö ´½¾µ¹´½ µ × ØÓ ÔÖÓÚ º ÁÒ ¸ Ø × Û ÐÐ ÒÓÛÒ Ø Ø ×ÓÐÙØ ÓÒ
ÞØ ¾ Ê Ò Ø× Ö Ú Ø Ú ÞØ Ó Ø « Ö ÒØ Ð ÕÙ Ø ÓÒ
Þ · « Þ ½ ¾
× Ò´Þµ · ¬ × Ò´Þµ Ø ´ µ
ÓÒÚ Ö × ØÓ Þ ÖÓ Ò ¬Ò Ø Ø Ñ « ¼
Ô
Ò ¬ Û Ø Ø º
Ì ÝÒ Ñ × Ó Ø ×Ð Ò Ú Ö Ð × Ó Ø Ò ÖÓÑ ´½µ Ò ´½ µ
³Ø´Üµ · شܵ  Ù ´ µ
Û Ö ×Ø Ò × ÓÖ Ø Ø ÖÓÛ Ó Ø Ñ ØÖ Ü Ò Ø´Üµ × Ø Ø ÓÓÖ Ò Ø
Ó Ø Ú ØÓÖ Ø´Üµº ËÙ ×Ø ØÙØ Ò Ø ÓÒØÖÓÐ ÙÒ Ø ÓÒ ´½¾µ ÒØÓ ´ µ Ý Ð ×
· « ½ ¾
× Ò´ µ · ¬ × Ò´ µ Ø ³Ø´Üµ ´ µ
Ý ÓÑÔ Ö Ò ´ µ Ò ´ µ ÓÒ Ò ÓÒ ÐÙ Ø Ø Õº ´ µ ÓÒÚ Ö × ØÓ
Ø × ÓÒ ÓÖ Ö ×Ð Ò ÑÓ ¼ Ò ¬Ò Ø Ö Ò Ø Ñ ØÖ ÓÖ «
Ò ¬ × Ð Ø ÖÓÑ ´½¿µº ÁÒ Ø × ÓÒ ÓÖ Ö ×Ð Ò ÑÓ Õº ´ µ ÓÑ ×
³Ø´Üµ · شܵ  Ù ¼ ´ ¼µ
Ì Ú Ð ØÝ Ó ´½¼µ × ØÓ ÑÓÒ×ØÖ Ø º ÁÒ ¸ Ø Ö ÓÑÔÙØ Ò
ÙØ¸³Ø´Üµ Ò Ø´Üµ Ø Ø Ø Ñ Òר Ò × Ø½ ØÒ Û Ø Ø½ ؼ ØÖ Ñ Ü
½ ÒØÖ ¸
Õº ´ ¼µ × Ö ÛÖ ØØ Ò ×
¨´Ø½ ØÒµ · ©´Ø½ ØÒµ  Í´Ø½ ØÒµ ¼ ´ ½µ
Ò Ý Ð × ´¿ µº
ÈÖÓÓ Ó Ì ÓÖ Ñ ¿º ÌÓ ÔÖÓÚ Ø ÓÒÚ Ö Ò Ó Ø ×Ø Ø ×Ø Ñ Ø × ØÓ
Ø Ö Ð ×Ø Ø ×¸ Ø × Ò ×× ÖÝ ØÓ ÔÖÓÚ ¬Öר Ø ÓÒÚ Ö Ò Ó Ü½ Ò Ü½ ØÓ
Þ ÖÓº ××ÙÑ Ø ¬Öר Ø Ø ´¾¼µ ÓÐ × ÐÐ Ø Ø Ñ ´ Ø Û ÐÐ ÔÖÓÚ ÙÖØ Öµº
ÁØ ÓÐÐÓÛ× ÖÓÑ ´½ µ Ò ´¾¼µ¸ Ø Ø Ø ×Ø Ñ Ø ÓÒ ÖÖÓÖ× Ü½ Ò Ü¾ × Ø × Ý Ø
« Ö ÒØ Ð Ò ÐÙ× ÓÒ
ܽ ܾ  ¬ ܽ
½ ¾
× Ò´Ü½µ
ܾ ¾   ·
· ·
 «× Ҵܽµ
´ ¾µ
ÖÓÑ Ö ÓÒ ÐÐ « Ö ÒØ Ð Ò ÐÙ× ÓÒ× Ö ÙÒ ÖרÓÓ Ò Ø Ð ÔÔÓÚ × Ò× ¸
Û Ñ Ò× Ø Ø Ø Ö Ø Ò × × ÒÐ Ö Ø ×ÓÑ ÔÓ ÒØ× Ò ÓÖ Ö ØÓ
× Ø × Ý Ø ÙÔÔ Ö × Ñ ÓÒØ ÒÙ ØÝ ÔÖÓÔ ÖØÝ ½ ¸ Ò Ô ÖØ ÙÐ Ö Ø × ÓÒ ÓÖÑÙÐ
Ó ´ ¾µ ØÙÖÒ× ÒØÓ Ü¾ ¾  «  ·
«· ·
Û Ø Ü½ ¼º ÆÓØ Ø Ø Ø ×ÓÐÙØ ÓÒ
Ó ´ ¾µ Ü ×Ø× ÓÖ ÒÝ Ò Ø Ð ÓÒ Ø ÓÒ Ò × Ò¬Ò Ø ÐÝ ÜØ Ò Ð Ò Ø Ñ ½ º
ÓÑÔÙØ Ò Ø Ö Ú Ø Ú Ó Ü½ Û Ø Ü½ ¼ Ú ×
ܽ ¾   · ·
 ´
½
¾
¬
ܽ
ܽ
½ ¾
· «× Òܽµ ´ ¿µ
Ì ØÖ Ú Ð ÒØ ØÝ Ø Ü Ü× ÒÜ × Ù× Ö º Ì Ò ÐÙ× ÓÒ ´ ¿µ Ó × ÒÓØ
Ö Ñ Ñ Ö ÒÝØ Ò ÓÙØ Ø Ö Ð ×Ýר Ѹ ÙØ Ò Ù× ØÓ × Ö Ø
Ñ ÓÖ ÒØ ÙÖÚ Ö ÛÒ Ò Ø º ½ º ÆÓØ Ø Ø Ø Ø Ò Ø Ð ÑÓÑ ÒØ ܽ ¼
Ò Ü¾ ܾ   ¼ ܾº Ì ØÖ ØÓÖÝ ÒØ Ö× Ø Ð ¹ÔÐ Ò Ü½ ¼ Û Ø
ÔÓ× Ø Ú Ò Ø Ð Ú ÐÙ Ó Ü¾ Ò Ø Ð ¹ÔÐ Ò Ü½ ¼ ÓØ ÖÛ × º
Ä Ø Ü½ ¼ Ø Ò Û Ø Ü½ ¼ Ø ØÖ ØÓÖÝ × ÓÒ¬Ò ØÛ Ò Ø Ü ×
ܽ ¼¸ ܽ ¼ Ò Ø ØÖ ØÓÖÝ Ó Ø ÕÙ Ø ÓÒ Ü½  ´«   ·
µ¸ × º
½ Ð Ò ´ µº Ä Ø Ü½Å Ø ÒØ Ö× Ø ÓÒ Ó Ø × ÙÖÚ Û Ø Ø Ü × Ü½ ¼º
Ç Ú ÓÙ×Ðݸ ¾´«  ·
µÜ½Å ܾ
½¼
¸ Û Ö Ü½¼ ¼ × Ø Ú ÐÙ Ó Ü½ Û Ø Ü½ ¼º
ÁØ × ×Ý ØÓ × Ø Ø ÓÖ Ü½ ¼¸ ܽ ¼
ܽ
·
 «× Òܽ   ½
¾
¬
ܽ
ܽ
½ ¾
¼
Ì Ù׸ Ø ØÖ ØÓÖÝ ÔÔÖÓ × Ø Ü × Ü½ ¼
Ì Ñ ÓÖ ÒØ ÙÖÚ ÓÖ Ü½ ¼¸ ܽ ¼ × × Ö Ý Ø ÕÙ Ø ÓÒ ´×
º ½ µ
ܾ
½ ¾´«   ·
µ´Ü½Å  Ü½µ Û Ø Ü½ ¼
Ì Ñ ÓÖ ÒØ ÙÖÚ ÓÖ Ü½ ¼ ܽ ¼ ÓÒ× ×Ø× Ó ØÛÓ Ô ÖØ×º ÁÒ Ø ¬Öר Ô ÖØ
Ø ÔÓ ÒØ Òר ÒØÐÝ ÖÓÔ× ÓÛÒ ÖÓÑ ´Ü½Å ¼µ ØÓ Ø ÔÓ ÒØ ´Ü½Å  ¾
¬´ ·
·
«µÜ½ ¾
½Å µ Û Ö ¸ Ò Ø ÛÓÖר × ¸ Ø Ö Ø Ò × Ó Ò ÐÙ× ÓÒ ´ ¿µ ×
ÕÙ Ð ØÓ Þ ÖÓ¸ × º ½ Ð Ò ´ µº Ì × ÓÒ Ô ÖØ Ó Ø Ñ ÓÖ ÒØ ÙÖÚ × Ø
ÓÖ ÞÓÒØ Ð × Ñ ÒØ ØÛ Ò Ø ÔÓ ÒØ× ´Ü½Å  ¾
¬´ ·
· «µÜ½ ¾
½Å µ ´Ü½Å ܽе
Ò ´¼ ܽе¸ × º ½ Ð Ò ´ µº
ÓÒ Ø ÓÒ ´¾½µ ÑÔÐ × Ø Ø
ܽÅ
ܽ¼
½  Ô
½ · Ô
½
Ì Ð ×Ø Ò ÕÙ Ð ØÝ Ò×ÙÖ × Ø ÓÒÚ Ö Ò Ó Ø ×Ø Ø ´Ü½ ܽ µ ØÓ ܽ
ܽ ¼ Ò ¸ ÑÓÖ ÓÚ Ö¸ Ø ÓÒÚ Ö Ò Ó ¦½¼ ܽ º ÌÓ ÔÖÓÚ Ø ¬Ò Ø Ø Ñ Ó
344 A. Poznyak et al.
Á ÒØ ¬ Ø ÓÒ Ó È Ö Ñ Ø Ö× Ò ÝÒ Ñ ËÝר Ñ× ¿
x1
~
x1
~
a
b
c
x1
~
0
x1
~
M
x1 =- x1/2~
x1
~
M
M1
º ½ º Å ÓÖ ÒØ ÙÖÚ ÓÖ ¬Ò Ø Ø Ñ ÓÒÚ Ö Ò Ó × ÖÚ Ö
ÓÒÚ Ö Ò ÓÒ× Ö Ø ÝÒ Ñ × Ó Ü¾º Ç Ú ÓÙ×Ðݸ ܾ ܽ Ø Ø ÑÓÑ ÒØ×
Û Ò Ü½ ¼ Ò Ø Ò ÒØÓ ÓÙÒØ Ø Ø
ܾ ´Ü½ ܾ ܾ Ùµ  «× Òܽ
Ñ Ò×
¼ «   ·
ܾ « · ·
ÓÐ × Ò ×Ñ ÐÐ Ú Ò ØÝ Ó Ø ÓÖ Òº Ì Ù×
ܽ ´«   ·
µØ
Û Ö Ø × Ø Ø Ñ ÒØ ÖÚ Ð ØÛ Ò Ø ×Ù ×× Ú ÒØ Ö× Ø ÓÒ Ó Ø ØÖ ¹
ØÓÖÝ Û Ø Ø Ü × Ü½ ¼º À Ò
Ø
ܽ
´«   ·µ
Ò Ø ØÓØ Ð ÓÒÚ Ö Ò Ø Ñ × Ú Ò Ý
Ì
ܽ
´«   ·µ
ËÓ Ì × ¬Ò Ø Ò Ø ×Ø Ñ Ø ×Ø Ø × ÓÒÚ Ö ØÓ Ø Ö Ð ×Ø Ø × Ò ¬Ò Ø
Ø Ñ º
Ì ÔÖÓÓ Û × × ÓÒ Ò ÕÙ Ð ØÝ ´¾¼µº × ÓÐÐÓÛ× ÖÓÑ Ø ÓÚ ÓÒ× ¹
Ö Ø ÓÒ¸ ×ÙÆ ÒØÐÝ Ð Ö ·
ÔÖÓÚ × ÓÖ Ü¾ ܾ ¼ ܾ ؼ ¸ Û Ö Ø¼ ×
Ø Ò Ø Ð Ø Ñ º Ì × ÑÔÐ × Ø Ø Ü¾ ܾ ¼ · ܾ ¾×ÙÔ Ü¾ À Ò ¸ Ø
×Ù ×Ø Ó Ó ·
× Ú Ð º
ÈÖÓÓ Ó Ì ÓÖ Ñ º ÓÖ Ø ×Ð Ò Ú Ö Ð ÝÒ Ñ × Ó Ø Ò ÖÓÑ ´½µ¸
´¿ µ¸ ´¿ µ Ò ´¿ µ
ØÜ  Ù ´ µ
Ø ÓÒØÖÓÐ ÙÒ Ø ÓÒ Ù ÖÓÑ ´¿ µ Ñ × Ø Ò ÕÙ Ð ØÝ
É  
Ô
¾É ´ µ
Ú Ð ¸ Û Ö
É
½
¾
Ì ´ µ
× ÄÝ ÔÙÒÓÚ ÙÒ Ø ÓÒ ÓÖ ´ µº Ì × Ñ Ò× Ø Ø Ø ÓÖ Ò Ó ´ µ × ÐÓ ÐÐÝ
×ÝÑÔØÓØ ÐÐÝ ×Ø Ð Û Ø ¬Ò Ø Ö Ò Ø Ñ
ØÖ
Ô
¾É´¼µ ´¼µ
´ µ
ËÓ¸ ×Ð Ò ÑÓ Ü ×Ø× Ò Ø Ó × ÖÚ Ö ´ ¼µ Ø ØÖº Ð×Ó¸ Ø × ×Ý ØÓ
× ÓÛ Ø Ø Ø ÐØ ÖÒ Ø Ú ÓÒØÖÓÐ
Ù ´ · Ü ·½ µ× Ò´ µ ½ Ò  ½
ÙÒ Ò ·
ÈÒ ½
¼ Ü ·½ × Ò´ Òµ
´ µ
Û Ö
Ø ¼ Ò  ½ ´ µ
Ò × × Ð Ø ØÓ Ú Ú Ò Ö Ò Ø Ñ ×Ø Ñ Ø Ý
ØÖ
´¼µ
¼ Ò  ½ ´½¼¼µ
ÔÖÓÚ × Ü ×Ø Ò Ó Ø ×Ð Ò ÑÓ ¼ Ò Ø Ó × ÖÚ Ö ´ ¼µ Û Ø ¬Ò Ø
Ö Ò Ø Ñ
ØÖ Ñ Ü
¼ Ò ½
ØÖ ´½¼½µ
Ì ×Ð Ò Ú Ö Ð ÝÒ Ñ × ´ µ Ö ÓÚ ÖÒ Ò Ø ×Ð Ò ÑÓ ¼
Ý Ø ÕÙ Ú Ð ÒØ ÓÒØÖÓÐ ¹
Ù Õ ØÜ ´½¼¾µ
Õº ´½¼¾µ Ñ Ý Ö ÛÖ ØØ Ò ×
Ù Õ Ø Ø · ÖØ ´½¼¿µ
Û Ö Ø Ñ ØÖ Ü × Ú Ò Ý
 Ü½ ¡ÁÒ¢Ò ´½¼ µ
ËÓÐÚ Ò ´½¼¿µ Ò ´½¼ µ ÓÖ Ø Ý Ð × ´¿ µ Ø ØÖº
346 A. Poznyak et al.
Á ÒØ ¬ Ø ÓÒ Ó È Ö Ñ Ø Ö× Ò ÝÒ Ñ ËÝר Ñ× ¿
ÈÖÓÓ Ó Ì ÓÖ Ñ º Ø Ö ×Ù ×Ø ØÙØ Ò Ø ×ÙÔ Ö¹ØÛ ר Ò ÓÒØÖÓÐ ´ ¿µ¹´ µ
ÒØÓ Ø ×Ð Ò Ú Ö Ð « Ö ÒØ Ð ÕÙ Ø ÓÒ
ØÜ  Ù ´½¼ µ
Û Ö Ø ×Ø Ò × ÓÖ Ø Ø ÖÓÛ Ó Ø Ñ ØÖ Ü Ø¸ Û Ó Ø Ò
· « ½ ¾
× Ò´ µ · ¬ Ú ØÜ
Ú × Ò´ µ
´½¼ µ
Õ ´½¼ µ × Ø × Ñ ÓÖÑ Ø × Õº ´ µ¸ Ò ¸ Ø Ò ÒØÓ ÓÙÒØ ´ µ¸
ÓÒÚ Ö × ØÓ Ø × ÓÒ ÓÖ Ö ×Ð Ò ÑÓ ¼ Ò Ø ¬Ò Ø Ø Ñ ØÖ
º ÁÒ Ø ×Ð Ò ÑÓ ¸ º º Ø ØÖ¸ØÖ Ñ ÜØÖ
½ Ò
¸ Õº ´½¼ µ ÓÑ ×
Ù ØÜ µ Ù ØÜ ´½¼ µ
Û Ö Ù Ù½ Ù¾ ÙÒ Ì
Ê ÛÖ Ø Ò Õº ´½¼ µ Ò Ø ÓÖÑ
ÙØ Ø · ÖØ
 Ü½ ¡ÁÒÜÒ
´½¼ µ
Ò ×ÓÐÚ Ò Ø ÓÖ Ø Û Ó Ø Ò ´ ¾µº

Var structchapter

  • 1.
    Á ÒØ ¬Ø ÓÒ Ó È Ö Ñ Ø Ö× Ò ÝÒ Ñ ËÝר Ñ× Ú ËÐ Ò ¹ÅÓ Ì Ò ÕÙ × º ÈÓÞÒÝ ½ ¸ º Ë Ø ×× Ð¾ ¸ ĺ Ö Ñ Ò¿ ¸ º Ú Ð ¿ Ò Âº × Ó Ö½ ½ Ô ÖØÑ ÒØ ÓÒØÖÓÐ ÙØÓÑ Ø Ó¸ ÁÆÎ ËÌ Î¹ÁÈÆ¸ ȹ½ ¹ ¼¸ Ú ÁÈÆ¹¾ ¼ ¸ Óк Ë Ò È ÖÓ Ø Ò Ó ºÈº ¼ ¼¼¼¸ Å Ü Ó º º¸ Å Ü Ó ÔÓÞÒÝ ´ × Ó Öµ ØÖк ÒÚ ×Ø ÚºÑܺ ¾ Ð ØÖ Ð Ò Ò Ö Ò Ô ÖØÑ ÒØ¸ ÍÒ Ú Ö× ØÝ Ó Ð Ñ Ò ÀÙÒØ×Ú ÐÐ ¸ ÀÙÒØ×Ú ÐÐ ¸ Ä ¿ ÍË × Ø ×× Ð ºÙ º Ù ¿ Ô ÖØÑ ÒØ Ó ÓÒØÖÓи Ú × ÓÒ Ó Ð ØÖ Ð Ò Ò Ö Ò ¸ ÙÐØ ÁÒ Ò Ö ¸ ÍÒ Ú Ö× Æ ÓÒ Ð ÙØÓÒÓÑ Å Ü Ó¸ Ù ÍÒ Ú Ö× Ø Ö ¸ ¼ ½¼¸ Å Ü Ó º º¸ Å Ü Ó Ð Ö Ñ Ò´ Ú Ð µ × ÖÚ ÓÖºÙÒ ÑºÑÜ ½ ÁÒØÖÓ Ù Ø ÓÒ ½º½ ÖÓÙÒ ÓÒ Á ÒØ ¬ Ø ÓÒ ÅÓ ÖÒ Á ÒØ ¬ Ø ÓÒ Ì ÓÖÝ ´ ½½ ¸ ½¾ ¸ ½¼ µ × ÐÐÝ Ð× Û Ø Ø ÔÖÓ Ð Ñ Ó Ø Æ ÒØ ÜØÖ Ø ÓÒ Ó × Ò Ð Ò ×Ýר Ñ× ÝÒ Ñ ÔÖÓÔ ÖØ × × ÓÒ Ú Ð Ð Ø Ñ ×ÙÖ Ñ ÒØ×º ÝÒ Ñ ×Ýר Ñ ÒØ ¬ Ø ÓÒ × ØÖ Ø ÓÒ ÐÐÝ ÓÒ ÖÒ Û Ø ØÛÓ ××Ù × ×Ø Ñ Ø ÓÒ Ó Ô Ö Ñ Ø Ö× × ÓÒ Ö Ø Ò Óѹ ÔÐ Ø ×Ø Ø ×Ô Ñ ×ÙÖ Ñ ÒØ× Ò ¸ ר Ø ×Ø Ñ Ø ÓÒ ´¬ÐØ Ö Ò µ Ó ÓÑÔÐ Ø ÐÝ ÒÓÛÒ ÒÓÒÐ Ò Ö ÝÒ Ñ ×º Ì × ÔØ Ö Ð× Û Ø Ø ¬Öר Ð ×× Ó ÒØ ¬ Ø ÓÒ ÔÖÓ Ð Ñ׸ Ò Ñ Ðݸ Ø ×Ø Ñ Ø ÓÒ Ó Ô Ö Ñ Ø Ö× ´ÔÓ×× ÐÝ Ø Ñ ¹Ú ÖÝ Ò µ Ó ÝÒ Ñ ×Ýר Ñ׸ ÓÚ¹ ÖÒ Ý ÒÓÒÐ Ò Ö Ø ÖÑ Ò ×Ø ÓÖ ×ØÓ ×Ø Ç Û Ø Ð Ò Ö ÙÒ ÒÓÛÒ Ô ¹ Ö Ñ Ø Ö× Ò Ø Ö Ø¹ Ò × º È Ö Ñ Ø Ö ÒØ ¬ Ø ÓÒ ÓÖ « Ö ÒØ Ð ×× × Ó ÒÓÒÐ Ò Ö ×Ýר Ñ× × Ò ÜØ Ò× Ú ÐÝ ×ØÙ ÙÖ Ò Ø Ð ×Ø Ø Ö ×º × ÐÐݸ Ø Ð ×× Ó Ð Ò¹ Ö Ò ÒÓÒÐ Ò Ö ×Ýר Ñ× Û Ó× ÝÒ Ñ × Ô Ò Ð Ò ÖÐÝ ÓÒ Ø ÙÒ ÒÓÛÒ Ô Ö Ñ Ø Ö× Û × ÓÒ× Ö ¸ Ò ÜØ ÖÒ Ð ÒÓ × Û × ××ÙÑ ØÓ ×ØÓ ×Ø ´× ¸ ÓÖ Ü ÑÔÐ ¸ ½½ ¸ ½¿ µº ÁÒ Ô Ô Ö ¾¼ Ø ÓÒÚ Ö Ò ÔÖÓÔ ÖØ × Ó Ð ×Ø ×ÕÙ Ö × ´ÄËŵ × Ö Ø Ø Ñ ÔÖÓ ÙÖ Ò Ø ÔÖ × Ò Ó ×ØÓ ×Ø ÒÓ × Û Ö ×ØÙ º Ì Ö Ð Ø ÓÒ× Ô ØÛ Ò ÒÓÒÐ Ò Ö ÙÒ Ø ÓÒ Ò Ñ Ü ÑÙÑ Ú ÐÙ Ó Ø ÒÓ × Ò× ØÝ ÙÒ Ø ÓÒ Û × ×Ø Ð × ØÓ Ù Ö ÒØ ÓÒÚ Ö Ò º ÁÒ ¾½ Ñ ÐÝ Ó Ó × ÖÚ Ö¹ × Ô Ö Ñ Ø Ö ÒØ ¬ Ö× Û ÜÔÐÓ Ø Ø ¹ÔÖ ÓÖ ÒÓÛÒ Ô Ö Ñ Ø Ö Ô Ò Ò × Û × ÒØÖÓ Ù ØÓ ÑÔÖÓÚ Ø ÒØ ¬ Ø ÓÒ Ô Ö ÓÖÑ Ò º ÄÝ ÔÙÒÓڹРÔÔÖÓ Û × ×Ù ×Ø Ò ¾¾ ØÓ ÓÒרÖÙ Ø ×Ø Ð ÔØ Ú Ð ÓÖ Ø Ñ ÓÖ Ô Ö Ñ Ø Ö ×Ø Ñ Ø ÓÒ ÓÖ Ø × Û Ò ÒÓ C. Edwards et al. (Eds.): Advances in Variable Structure, LNCIS 334, pp. 313–347, 2006. © Springer-Verlag Berlin Heidelberg 2006
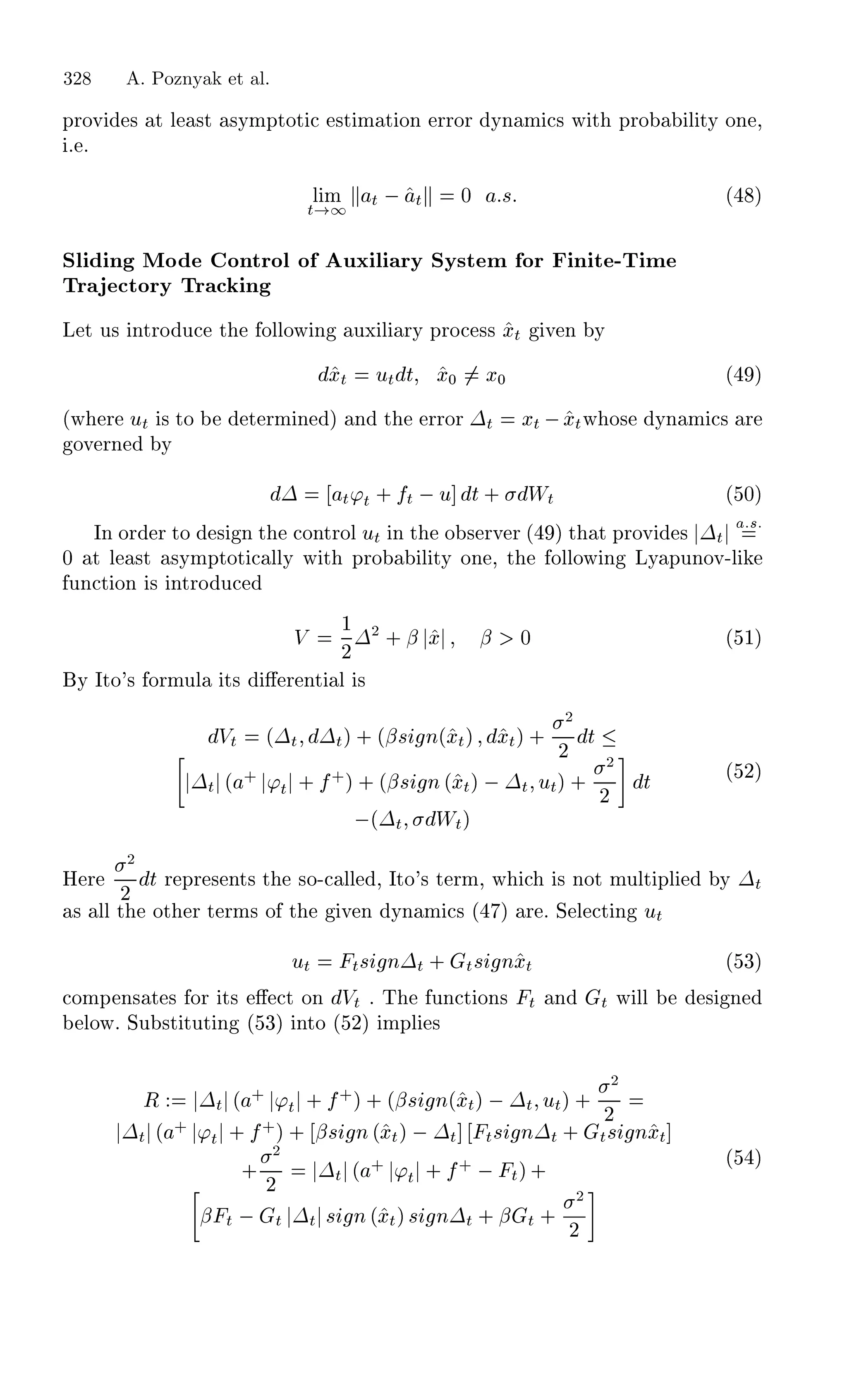
  • 2.
    ÜØ ÖÒ ÐÔ ÖØÙÖ Ø ÓÒ× Û Ö ÔÖ × ÒØº Ö ÒØ ØÝÔ ÔÖÓ ÙÖ ØÓ Ø Ö Û Ø Ò Ø ÓÒ Ð ×Ø Ø ×Ô ×Ø Ñ ØÓÖ Ó ÄÙ Ò Ö Ö ×ØÖÙ ØÙÖ Û Ö ÔÔÐ ØÓ Ö Ð Þ ×ÝÑÔØÓØ Ô Ö Ñ Ø Ö ÓÒÚ Ö Ò º Ê Ñ Ö ½º Ò Ö Ð ØÙÖ Ó Ø ÔÙ Ð Ø ÓÒ× × Ö ÓÚ × Ø Ø Ü Ø ×Ø Ø ×Ô Ú ØÓÖ Ñ ×ÙÖ Ñ ÒØ× Ö ××ÙÑ ØÓ Ú Ð Ð º ½º¾ ÅÓØ Ú Ø ÓÒ × Û ÐÖ Ý Ñ ÒØ ÓÒ ÓÚ ¸ Ù×Ù ÐÐÝ ÐÐ ×Ø Ø × Ó ÝÒ Ñ ×Ýר Ñ ØÓ ÒØ ¬ Ö ××ÙÑ ØÓ Ñ ×ÙÖ ÓÒ¹Ð Ò Ü ØÐÝ Û Ø ÓÙØ ÒÝ ÓÙØÔÙØ רÙÖ Ò × ´× ÓÖ Ü ÑÔÐ ¾ ¸ ¾ ¸ ¾ µº ÅÓÖ ÓÚ Ö¸ ÔÖ Ø ÐÐÝ ÐÐ Ø ¹ Ò Õ٠׸ ÔÔÐ ÓÖ ×Ù ×× ÙÐ Ô Ö Ñ ØÖ ÒØ ¬ Ø ÓÒ¸ Ñ Ò Ø ¬Ò Ð Ö ÔÖ × ÒØ Ø ÓÒ Ó Ø ÓÒ× Ö ÝÒ Ñ × Ò Ø ¸ ×Ó¹ ÐÐ ¸ ÒÓÖÑ Ð Ö Ö ×¹ × ÓÒ ÓÖÑ ¸ Ø Ø ×¸ ÞØ ¤Ø³Ø · Ø Û Ö ÞØ × Ò Ö Ð Þ ÓÙØÔÙØ Ó Ø ×Ýר Ѹ ³Ø × Ö Ö ××ÓÖ ¸ Ø × ×ØÙÖ Ò ÒÓ × Ò ¤Ø × Ñ ØÖ Ü ÙÒ Ø ÓÒ ´ ÓÒר ÒØµ ØÓ ÒØ ¬ º ÓØ Ú Ö Ð × ÞØ Ò ³Ø Ö ××ÙÑ ØÓ Ñ ×ÙÖ Ð ´ Ú Ð Ð µ ÓÒ¹Ð Ò º Á Ø ÝÒ Ñ × Ó Ø ×Ýר Ñ Û Ø ÙÒ ÒÓÛÒ Ô Ö Ñ Ø Ö× × Ú Ò Ò ÒÓÖÑ Ð Ö Ö ×× ÓÒ ÓÖÑ ¸ Ø Ò ×ÓÑ Û ÐÐ ÒÓÛÒ ÔÔÖÓ ×¸ × ÐÐÝ Ø Ä ×Ø ËÕÙ Ö Å Ø Ó × ´ÄËŵ ÓÖ ÓÒר ÒØ Ô Ö Ñ Ø Ö ÒØ ¬ Ø ÓÒ ÓÖ ÄËÅ Û Ø Ñ ØÖ Ü ÓÖ ØØ Ò ØÓÖ ½ ¸ ½ ¸ Ñ Ý ÔÔÐ º ÁÒ Ø × Ö Ø Ø Ñ × ¸ Û Ò Ø ÝÒ Ñ ×¸ ÓÖ Ü ÑÔÐ ¸ Ö Ú Ò Ý Ø ÓÐÐÓÛ Ò « Ö Ò ÕÙ Ø ÓÒ ÜØ·½ ÜØ · ØÜØ · ØÙØ · Ø Û Ñ Ý ¬Ò Ø Ú Ö Ð × Ô ÖØ Ô Ø Ò Ò ÒÓÖÑ Ð Ö Ö ×× ÓÒ ÓÖÑ × Óй ÐÓÛ× ÞØ ÜØ·½  ÜØ ¤Ø Ø ººº Ø ³Ø ÜØ ººº ÙØ ÁÒ Ø Ò ÐÓ ÓÙ× ÓÒØ ÒÙÓÙ× Ø Ñ × ¸ Û Ò ×Ýר Ñ ÝÒ Ñ × × Ú Ò Ý Ø ÓÐÐÓÛ Ò Ç ÜØ ØÜØ · ØÙØ · Ø ØÓ Ó Ø Ò Ø ÒÓÖÑ Ð Ö Ö ×× ÓÒ ÓÖÑ Û Ò ØÓ ÛÖ Ø ÞØ ÜØ ¤Ø Ø ººº Ø ³Ø ÜØ ººº ÙØ 314 A. Poznyak et al.
  • 3.
    Á ÒØ ¬Ø ÓÒ Ó È Ö Ñ Ø Ö× Ò ÝÒ Ñ ËÝר Ñ× ¿½ Ì × Ñ Ò× Ø Ø Û × ÓÙÐ Ñ ×ÙÖ ÒÓØ ÓÒÐÝ Ø Ô Ö ´ÜØ ÙØµ¸ ÙØ Ð×Ó ÜØº Ì × × Ø ÔÖ Ò Ô Ð ÔÖÓ Ð Ñ Ò Ø ÓÒØ ÒÙÓÙ× Ø Ñ Ô Ö Ñ Ø Ö ÒØ ¬ Ø ÓÒº ÁÒ Ø ÓÒר ÒØ Ô Ö Ñ Ø Ö × ¸ Ø × ÔÖÓ Ð Ñ Ñ Ý ×Ù ×× ÙÐÐÝ ÓÚ Ö ÓÑ Ý × ÑÔÐ ÒØ Ö Ø ÓÒ Ó Ø ÝÒ Ñ ÕÙ Ø ÓÒ¸ º º¸ ÜØ·  ÜØ Ø· × Ø Ü× × · Ø· × Ø Ù× × · Ø· × Ø × × ËÓ¸ Ø ÓÖÖ ×ÔÓÒ Ò ÒÓÖÑ Ð Ö Ö ×× ÓÒ ÓÖÑ × ÞØ ÜØ·  ÜØ ¤Ø ººº ³Ø Ê Ø· × Ø Ü× × ººº Ê Ø· × Ø Ù× × ÓÖ Ø Ñ ¹Ú ÖÝ Ò Ô Ö Ñ Ø Ö× Ø × ØÖ Ú ÒØÐÝ Ò ÒÓØ ÔÔÐ Ò ÓÒ Ò × ØÓ Ú Ò ×Ø Ñ Ø Ó Ø Ö Ú Ø Ú ÜØ ØÓ ÔÔÐÝ Ø ÒÓÛÒ ÒØ ¬ Ø ÓÒ Ñ Ø Ó ×º Ì × Ò ÓÒ ×Ù ×× ÙÐÐÝ Ý Ø ÔÔÐ Ø ÓÒ Ó ËÐ Ò ¹ÅÓ Ø Ò ÕÙ × Û ÔÖÓÚ Ø Ü Ø ÓÒ¹Ð Ò ×Ø Ñ Ø ÓÒ Ó Ø Ö Ú Ø Ú ÜØ Ò ¬Ò Ø Ø Ñ Û Ñ Ý × ×Ñ ÐÐ × × Ö º Ì Ò ÜØ × Ø ÓÒ× ÑÓÒ×ØÖ Ø ÓÛ Ø ËÐ Ò ÅÓ ÔÔÖÓ Ò ÔÔÐ ÓÖ Ô Ö Ñ ØÖ ÒØ ¬ Ø ÓÒ Ó Ç Ò Ø ÔÖ × Ò Ó Ø ÖÑ Ò ×Ø ÓÙÒ Ò ×ØÓ ×Ø ÒÓ × ×º ¾ Á ÒØ ¬ Ø ÓÒ Ó Ì Ñ ÁÒÚ Ö ÒØ È Ö Ñ Ø Ö× ¾º½ È Ö Ñ Ø Ö Á ÒØ ¬ Ø ÓÒ Ú Öר Ò Ë ÓÒ ÇÖ Ö ËÐ Ò ÅÓ × ËÙÔÔÓ× Ø Ø ÝÒ Ñ × Ó Ò ÆÒ ×Ýר Ñ Û Ø ÓÙÒ Ô Ö Ñ Ø Ö× Ò Ö Ð Þ × ×Ýר Ñ Ó ¬Öר ÓÖ Ö « Ö ÒØ Ð ÕÙ Ø ÓÒ× Ü Ø³Ø´Üµ · شܵ Ý Ü ´½µ Û Ø Ü ¾ ÊÒ¸ ³Ø´Üµ ¾ ÊÒ Ò Ø´Üµ ¾ ÊÒ Ö ÒÓÛÒ Ä Ô× ØÞ Ú ØÓÖ ¬ Р׸ Ý ¾ ÊÒ × Ñ ×ÙÖ Ñ ÒØ Ú ØÓÖ Ò Ø × ÓÒר ÒØ Ñ ØÖ ܺ Ì ÔÖÓ Ð Ñ × ØÓ × Ò ×Ð Ò ÑÓ Ô Ö Ñ Ø Ö Ó × ÖÚ Ö ÓÖ Ø ×Ýר Ñ ´½µ Ø Ø ÔÖÓÚ × Ø Ð ×Ø ×ÝÑÔØÓØ ר Ñ Ø ÓÒ ÖÖÓÖ ÝÒ Ñ ×¸ º º Ð Ñ Ø ½ ­ ­ ­ Ø   Ø ­ ­ ­ ¼ ´¾µ Û Ö Ø × Ø ×Ø Ñ Ø Ó Ø ××ÙÑÔØ ÓÒ ½º Ì ÓÐÐÓÛ Ò ÓÒ Ø ÓÒ× Ö ××ÙÑ ØÓ ÓÐ ÓÖ Ø ÔÐ ÒØ ´½µ
  • 4.
    ´ µ Ø× ÓÒר ÒØ Ñ ØÖ Ü ´ µ ³Ø´Üµ · Ü ´ µ ³Ø´Üµ ´ µ Ñ ØÖ Ü ¨´Ø½ ØÒµ ¾ ÊÒ¢Ò Ú Ò Ý ¨´Ø½ ØÒµ ¨´³Ø½ ´Üؽ µ ³Ø¾ ´Üؾ µ ³ØÒ ´ÜØÒµµ ´¿µ × ÒÓÒ× Ò ÙÐ Ö ÓÖ Ø½ ØÒ Û Ø Ø½ ؼ ¼ Öר ÇÖ Ö ËÐ Ò ÅÓ × ÔÔÐ Ø ÓÒ Ì Ô Ö Ñ Ø Ö ×Ø Ñ Ø ÓÒ Ð ÓÖ Ø Ñ ÓÖ Ø ÔÐ ÒØ Ú Ò Ý ´½µ Ø Ø Ó Ý× ××ÙÑÔØ ÓÒ ½ × ÓÖÑÙÐ Ø Ò Ø ÓÐÐÓÛ Ò Ø ÓÖ Ñº Ì ÓÖ Ñ ½º Á ××ÙÑÔØ ÓÒ ½ × × Ø ×¬ ÓÖ Ø ÔÐ ÒØ Ò ´½µ Ø Ò Ø ÓÒר ÒØ Ñ ØÖ Ü Ò Ü ØÐÝ ×Ø Ñ Ø Ø ØÒ Ý ¢ Í Õ ´Ø½ ØÒµ  ©´Ø½ ØÒµ £ ¨ ½ ´Ø½ ØÒµ ´ µ Û Ö ©´Ø½ ØÒµ ¢ ؽ ´Üؽ µ ØÒ ´ÜØÒµ £ ¾ ÊÒ¢Ò Í Õ ´Ø½ ØÒµ Ù Õ Ø½ Ù Õ ØÒ ¾ ÊÒ¢Ò ´ µ Û Ø Ø½ ØÖ ØÖ ´¼µ Ò Ù Õ Ø ¾ ÊÒ ×Ø Ò Ò ÓÖ Ø ÕÙ Ú Ð ÒØ ÓÒØÖÓÐ ¹ Ò Ø Ó × ÖÚ Ö ØÜ Ù Ü´¼µ ¼ ٠شܵ · ´ · · ´ · Ü µµ Ý  Ü ´ µ ÈÖÓÓ Ó Ì ÓÖ Ñ ½ × Ú Ò Ò Ø ÔÔ Ò Ü Ê Ñ Ö ¾º Ì ÕÙ Ú Ð ÒØ ÓÒØÖÓÐ Ù ÕØ Ò ´ µ¸´ µ Ò ×Ø Ñ Ø Ý ÐÓÛ Ô ×× ¬ÐØ Ö Ò ´ÄÈ µ ¹ Ó Ø Ö ÕÙ Ò Ý ×Û Ø Ò Ô ÖØ Ó Ø ÓÒØÖÓÐ Ù Ò ´ µ Ò Ò Ø ØÓ Ø ÒÓÛÒ ÓÒØ ÒÙÓÙ× Ú ØÓÖ ¬ Рشܵ Ù Õ Ø Ø´Üµ · ÄÈ ´Úµ Ú ´ · · ´« · ¬ Ü µµ ´ µ Ì ÕÙ Ú Ð ÒØ ÓÒØÖÓÐ ×Ø Ñ Ø Ù Õ Ø Ñ Ý ÓÒÚ Ö ØÓ Ù Õ Ø ÓÒÐÝ ×ÝÑÔ¹ ØÓØ ÐÐÝ Ù ØÓ Ø ÝÒ Ñ Ð ÔÖÓÔ ÖØ × Ó Ø ÄÈ º Í×Ù ÐÐݸ ÓÒÐÝ ÞÓÒ ÓÒ¹ Ú Ö Ò Ò Ú ¸ º º Ù Õ Ø  Ù Õ Ø Ç´ µ ´ µ 316 A. Poznyak et al.
  • 5.
    Á ÒØ ¬Ø ÓÒ Ó È Ö Ñ Ø Ö× Ò ÝÒ Ñ ËÝר Ñ× ¿½ × Ø Ñ Ò Ö × ×º ÈÖ Ø ÐÐÝ Õº ´½ µ ÓÐ × Ø Ö Ø ØÖ Ò× ÒØ Ö ×ÔÓÒ× Ò Ø ÄÈ × ÓÙØ¸ º º ÓÖ Ø ØÖ · Ì ¸ Û Ö Ì Û Ø ×Ø Ò Ò ÓÖ Ø Ø Ñ ÓÒר ÒØ Ó Ø ÄÈ ½ º ËÓ¸ Ù× Ò Ø ÕÙ Ú Ð ÒØ ÓÒØÖÓÐ ×Ø Ñ Ø ´½¿µ¸ Ø Ñ ØÖ Ü Ò Ð×Ó ÓÒÐÝ ×Ø Ñ Ø ÔÔÖÓÜ Ñ Ø Ðݸ º º Í Õ ´Ø½ ØÒµ  ©´Ø½ ØÒµ ¨ ½ ´Ø½ ØÒµ ´ µ Û Ö Í Õ ´Ø½ ØÒµ Ù Õ Ø½ Ù Õ ØÒ ¾ ÊÒ¢Ò Ø½ ØÖ · Ì Ò ­ ­ ­   ­ ­ ­ Ç´ µ Ê Ñ Ö ¿º ÁÒ Ø Ó × ÖÚ Ö ´ µ¸ ÜØ ÜØ ÓÐ × Ò Ø ×Ð Ò ÑÓ ¼¸ Ò Ù Õ Ø ×Ø Ñ Ø × ÜØ º º ÜØ Ù Õ Ø Ø ØÖ ËÓ¸ Ø Ð ÓÖ Ø Ñ Ò ´ µ Ò ´ µ Ö ÔÖ × ÒØ× ØÖ Ø ÓÒ Ð ËÅ ¹ × « Ö ÒØ ØÓÖ ¸ º ËÙÔ Ö ÌÛ ×Ø Ò Ø Ò ÕÙ ÁÒ ÓÖ Ö ØÓ ÚÓ ÄÈ × Ò ´½¿µ Ø Ø Ý Ð ÓÒÐÝ ÔÔÖÓÜ Ñ Ø ×Ø Ñ Ø ÓÒ Ó Ø Ñ ØÖ Ü Ò ´½µ¸ Ø × Ò ¬ Ð ØÓ Ù× × ÓÒ ÓÖ Ö ×Ð Ò ÑÓ ÓÒØÖÓÐÐ Ö ÔÖÓÚ Ò ¬Ò Ø Ø Ñ ÓÒÚ Ö Ò ØÓ Ø ×Ð Ò Ú Ö Ð Ò Ø× Ö Ú Ø Ú Ý Ñ Ò× Ó ÓÒØ ÒÙÓÙ× ÓÒØÖÓÐ Ò Ø Ô Ö Ñ Ø Ö Ó × ÖÚ Ø ÓÒ Ð ÓÖ Ø Ñº Ì ËÇËŹ × Ô Ö Ñ Ø Ö ×Ø Ñ Ø ÓÒ Ð ÓÖ Ø Ñ ÓÖ Ø ÔÐ ÒØ Ú Ò Ý ´½µ Ø Ø Ó Ý× ××ÙÑÔØ ÓÒ ½ × ÓÖÑÙÐ Ø Ò Ø ÓÐÐÓÛ Ò Ø ÓÖ Ñº Ì ÓÖ Ñ ¾º Á ××ÙÑÔØ ÓÒ ½ × × Ø ×¬ ÓÖ Ø ÔÐ ÒØ ´½µ Ø Ò Ø ÓÒר ÒØ Ñ ØÖ Ü Ò Ü ØÐÝ ×Ø Ñ Ø Ø ØÒ Ý ¢ ʹؽ ØÒµ  ©´Ø½ ØÒµ £ ¨ ½ ´Ø½ ØÒµ ´½¼µ Û Ö ©´Ø½ ØÒµ ¢ ؽ ´Üؽ µ ØÒ ´ÜØÒµ £ ¾ ÊÒ¢Ò Í´Ø½ ØÒµ ÙØ½ ÙØÒ ¾ ÊÒ¢Ò ´½½µ Û Ø ÙØ Ù½ ؽ ÙÒ ØÒ Ì ¾ ÊÒ Ò Ù « ½ ¾ × Ò´ µ · ¬ Ú · Ø ´Üµ Ú × Ò´ µ ½ Ò ´½¾µ « Õ ¾ ¬  · ´¬· · µ´½·Õµ ´½ Õµ ¬ · ½ Ò ´½¿µ Ö ÔÖ × ÒØ Ò Ø ÓÒØÖÓÐ Ò Ø Ó × ÖÚ Ö ØÜ Ù Ü´¼µ ¼ Ý  Ü ´½ µ ÙÖ Ò Ø × ÓÒ ÓÖ Ö ×Ð Ò ÑÓ ¼
  • 6.
    ÈÖÓÓ Ó ÌÓÖ Ñ ¾ × Ú Ò Ò Ø ÔÔ Ò Üº Ê Ñ Ö º Ì Ö × ÒÓ Ò ØÓ ¬ÐØ Ö ÙØ Û Ò ×Ø Ñ Ø Ò Ø Ñ ØÖ Ü Ò ´½¼µ¸ × Ò ÙØ Ò ´½¾µ × ÐÖ Ý ÓÒØ ÒÙÓÙ× Ù ØÓ Ø ÒØ Ö Ø ÓÒ Ó Ö ÕÙ Ò Ý ×Û Ø Ò Ô ÖØ Ó Ø ÓÒØÖÓÐ Ò ´½¾µº Ê Ñ Ö º Ì ÓÒØÖÓÐ ÙÒ Ø ÓÒ ´½¾µ¸ Û × ÐÐ Ø ×ÙÔ Ö¹ØÛ ר Ò ÓÒ¹ ØÖÓÐÐ Ö ¸ Ü ØÐÝ ×Ø Ñ Ø × ÜØ º º ÜØ ÙØ Ò Ø × ÓÒ ÓÖ Ö ×Ð Ò ÑÓ ¼º ËÓ¸ Ø Ð ÓÖ Ø Ñ Ò ´½¾µ¹´½ µ × Ò Ü Ø × ÓÒ ËÇËŹ × « Ö ÒØ ØÓÖ º ¾º¾ ËÙÔ Ö ÌÛ ×Ø Ò × Ç × ÖÚ Ö ÓÖ Å Ò Ð ËÝר Ñ× ÈÖÓ Ð Ñ ËØ Ø Ñ ÒØ ÓÒ× Ö Ø Ò Ö Ð ÑÓ Ð Ó × Ð Ö × ÓÒ ÓÖ Ö Ñ Ò Ð ×Ýר Ñ Å´ÕµÕ· ´Õ ÕµÕ· È´Õµ · ´Õµ · ¡´Ø Õ Õµ Ù ´½ µ Û Ö Õ ¾ ÊÒ × Ú ØÓÖ Ó Ò Ö Ð Þ ÓÓÖ Ò Ø ×¸ Å´Õµ × Ø Ò ÖØ Ñ ØÖ ܸ ´Õ Õµ × Ø Ñ ØÖ Ü Ó ÓÖ ÓÐ × Ò ÒØÖ Ù Ð ÓÖ ×¸ È´Õµ × Ø ÓÙÐÓÑ Ö Ø ÓÒ Û ÓÙÐ ÓÒØ Ò Ö Ð Ý Ø ÖÑ× Ô Ò Ò ÓÒ Õ¸ ´Õµ × Ø Ö Ú Ø Ø ÓÒ Ð ÓÖ × Ø ÖѸ ¡Ø´Õ Õµ × Ò ÙÒ ÖØ ÒØÝ Ø ÖÑ Ò Ù × Ø ØÓÖÕÙ ÔÖÓ Ù Ý Ø ØÙ ØÓÖ׺ Ì ÓÒØÖÓÐ ÒÔÙØ Ù × ××ÙÑ ØÓ Ú Ò Ý ×ÓÑ ÒÓÛÒ ÙÒ Ø ÓÒº ÆÓØ Ø Ø Å´Õµ × ÒÚ ÖØ Ð ¸ × Ò Å´Õµ ÅÌ´Õµ × ×ØÖ ØÐÝ ÔÓ× Ø Ú ¬Ò Ø º Ð×Ó ÓØ Ö Ø ÖÑ× Ö ×ÙÔÔÓ× ØÓ ÙÒ ÖØ Ò¸ ÙØ Ø ÓÖÖ ×ÔÓÒ Ò ÒÓÑ Ò Ð ÙÒ Ø ÓÒ× ÅÒ´Õµ¸ Ò´Õ Õµ¸ÈÒ´Õµ¸ Ò´Õµ Ö ××ÙÑ ÒÓÛÒº ÁÒØÖÓ Ù Ò Ø Ú Ö Ð × Ü½ Õ¸ ܾ Õ¸ Ø ÑÓ Ð ´½ µ Ò Ö ÛÖ ØØ Ò Ò Ø ×Ø Ø ×Ô ÓÖÑ Ü½ ܾ ܾ شܽ ܾ Ùµ · شܽ ܾ Ùµ Ù ÍØ´Ü½ ܾµ ´½ µ Ý Ü½ Û Ö Ø ÒÓÑ Ò Ð Ô ÖØ Ó Ø ×Ýר Ñ ÝÒ Ñ × Ö Ö ÔÖ × ÒØ Ý Ø ÙÒ Ø ÓÒ Ø´Ü½ ܾ Ùµ  Å ½ Ò ´Ü½µ Ҵܽ ܾµÜ¾ · Ҵܽµ  Ù ÓÒØ Ò Ò Ø ÒÓÛÒ ÒÓÑ Ò Ð ÙÒ Ø ÓÒ× ÅÒ¸ Ò¸ Ò¸ Û Ð Ø ÙÒ ÖØ ÒØÝ × ÓÒ ÒØÖ Ø Ò Ø Ø ÖÑ Ø´Ü½ ܾ Ùµº Ì ×Ýר Ñ ´½ µ × ÙÒ ÖרÓÓ Ò Ð ÔÔÓÚ × Ò× ½ º ÁØ × ××ÙÑ Ø Ø Ø ÙÒ Ø ÓÒ Ø´Ü½ ܾ ÍØ´Ü½ ܾµµ Ò Ø Ô ÖØÙÖ Ø ÓÒ Ø´Ü½ ܾ ÍØ´Ü½ ܾµµ Ö Ä × Ù ¹Ñ ×ÙÖ Ð Ò ÙÒ ÓÖÑÐÝ ÓÙÒ Ò ÒÝ ÓÑÔ Ø Ö ÓÒ Ó Ø ×Ø Ø ×Ô Ü½¸ ܾ º Ì Ø × × ØÓ × Ò ¬Ò Ø ¹Ø Ñ ÓÒÚ Ö ÒØ Ó × ÖÚ Ö Ó Ø Ú ÐÓ ØÝ Õ ÓÖ Ø ÓÖ Ò Ð ×Ýר Ñ ´½ µ¸ Û Ò ÓÒÐÝ Ø ÔÓ× Ø ÓÒ Õ Ò Ø ÒÓÑ Ò Ð 318 A. Poznyak et al.
  • 7.
    Á ÒØ ¬Ø ÓÒ Ó È Ö Ñ Ø Ö× Ò ÝÒ Ñ ËÝר Ñ× ¿½ ÑÓ Ð Ö Ú Ð Ð º ÁÒ ÓØ Ö ÛÓÖ ×¸ Ø ×Ø Ø Ü¾ Ó Ø ×Ýר Ñ ´½ µ × ØÓ Ó × ÖÚ ¸ Û Ð ÓÒÐÝ Ø ×Ø Ø Ü½ × Ú Ð Ð º ÇÒÐÝ Ø × Ð Ö × Ü½ ܾ ¾ Ê × ÓÒ× Ö ÓÖ × ÑÔÐ ØÝ Ö ×ÓÒ׺ ÁÒ Ø Ú ØÓÖ × Ø Ó × ÖÚ Ö× Ö ÓÒרÖÙ Ø Ò Ü ØÐÝ Ø × Ñ Û Ý ÓÖ ÔÓ× Ø ÓÒ Ú Ö Ð Ü½ Ò Ô Ö ÐРк Ç × ÖÚ Ö × Ò ÁÒ Ø × × Ø ÓÒ Ø ×ÙÔ Ö¹ØÛ ר Ò Ð ÓÖ Ø Ñ × ÑÓ ¬ Ò ÓÖ Ö ØÓ Ó Ø Ò ÖÓ Ùר ÓÒÚ Ö Ò Ó Ø ×Ø Ñ Ø ×Ø Ø × ØÓ Ø Ö Ð ×Ø Ø ×º Ì ÔÖÓÔÓ× ×ÙÔ Ö¹ØÛ ר Ò Ó × ÖÚ Ö × Ø ÓÖÑ Ü½ ܾ · Þ½ ܾ شܽ ܾ Ùµ · Þ¾ ´½ µ Û Ö Ü½ Ò Ü¾ Ö Ø ×Ø Ø ×Ø Ñ Ø ÓÒ׸ Ò Ø ÓÖÖ Ø ÓÒ Ú Ö Ð × Þ½ Ò Þ¾ Ö Ð ÙÐ Ø Ý Ø ×ÙÔ Ö¹ØÛ ר Ò Ð ÓÖ Ø Ñ Þ½ ¬ ܽ  Ü½ ½ ¾ × Ò´Ü½  Ü½µ Þ¾ «× Ҵܽ  Ü½µ ´½ µ ÁØ × ××ÙÑ Ø Ø Ø Ø Ò Ø Ð ÑÓÑ ÒØ ܽ ܽ Ò Ü¾ ¼º Ì Ò Ü½ ܽ  Ü½ Ò Ü¾ ܾ  Ü¾ Û Ó Ø Ò Ø ÕÙ Ø ÓÒ× ÓÖ Ø ÖÖÓÖ ×Ýר Ñ Ü½ ܾ  ¬ ܽ ½ ¾ × Ò´Ü½µ ܾ شܽ ܾ ܾµ  «× Ҵܽµ ´½ µ Û Ö Ø´Ü½ ܾ ܾµ Ø´Ü ÍØ´Üµµ   شܽ ܾ ÍØ´Üµµ · Ø´Ü ÍØ´Üµµ Ò Ü ´Ü½ ܾµº ËÙÔÔÓ× Ø Ø Ø ×Ýר Ñ ×Ø Ø × Ò ××ÙÑ ØÓ ÓÙÒ ¸ Ø Ò ÓÒר ÒØ · × Ù Ö ÒØ ØÓ Ü ×Ø¸ ×Ù Ø Ø Ø Ò ÕÙ Ð ØÝ شܽ ܾ ܾµ · ´¾¼µ ÓÐ × ÓÖ ÒÝ ÔÓ×× Ð Ø¸ ܽ¸ ܾ Ò Ü¾ ¾×ÙÔ Ü¾ º Ê Ñ Ö º ËÙ ××ÙÑÔØ ÓÒ Ó ×Ø Ø ÓÙÒ Ò ×× × ØÖÙ ¸ ¸ ÓÖ Ü ÑÔÐ ×Ý×¹ Ø Ñ ´½ µ × Á Ë ×Ø Ð ¸ Ò Ø ÓÒØÖÓÐ ÒÔÙØ Ù ÍØ´Ü½ ܾµ × ÓÙÒ º ÁÒ ×ÓÑ × × Ø ÓÒר ÒØ · Ò ÓÙÒ ÖÓÑ Ô Ý× Ð Ö ×ÓÒ Ò ¸ ¸ ÓÖ Ü ÑÔÐ ¸ Ø Ñ Ü ÑÙÑ ÔÓ×× Ð Ð Ö Ø ÓÒ Ò Ø ×Ýר Ñ × ÔÖ ÓÖ ÒÓÛÒº ÆÓØ Ø Ø Ø ×Ø Ñ Ø ÓÒ ÓÒר ÒØ · Ó × ÒÓØ Ô Ò ÓÒ Ø ÒÓÑ Ò Ð Ð ×¹ Ø ØÝ Ò ÓÒØÖÓÐ Ø ÖÑ׺ Ä Ø « Ò ¬ × Ø × Ý Ø Ò ÕÙ Ð Ø × « · ¬ Õ ¾ «  · ´«· · µ´½·Ôµ ´½ Ôµ ´¾½µ Û Ö Ô × ×ÓÑ Ó× Ò ÓÒר ÒØ¸ ¼ Ô ½º
  • 8.
    Ì ÓÖ Ñ¿º Ì Ó × ÖÚ Ö ´½ µ¸´½ µ ÓÖ Ø ×Ýר Ñ ´½ µ Ò×ÙÖ × Ø ¬Ò Ø Ø Ñ ÓÒÚ Ö Ò Ó ×Ø Ñ Ø ×Ø Ø × ØÓ Ø Ö Ð ×Ø Ø ×¸ º º ´Ü½ ܾµ ´Ü½ ܾµ Ì ÔÖÓÓ Ó Ì ÓÖ Ñ ¿ × Ú Ò Ò Ø ÔÔ Ò Üº Ê Ñ Ö º Ì ¬Ò Ø Ø Ñ ÓÒÚ Ö Ò Ó Ø Ó × ÖÚ Ö ÐÐÓÛ× Ø Ó × ÖÚ Ö Ò Ø ÓÒØÖÓÐ ØÓ × Ò × Ô Ö Ø Ðݸ º º Ø × Ô Ö Ø ÓÒ ÔÖ Ò ÔÐ × × Ø ×¬ Ø Ð ×Ø ÓÖ ÙÔÔ Ö ÓÙÒ ÓÒØÖÓÐ Ð Û׺ Ì ÓÒÐÝ Ö ÕÙ Ö Ñ ÒØ ÓÖ Ø× ÑÔÐ Ñ Ò¹ Ø Ø ÓÒ × Ø ÓÙÒ Ò ×× Ó Ø ÙÒ Ø ÓÒ Ø´Ü½ ܾ ܾ Ùµ Ò Ø ÓÔ Ö Ø ÓÒ Ð ÓÑ Òº Á Ø ×Ø Ø ÓÒØÖÓÐÐ Ö × ÒÓÛÒ ØÓ ר Ð Þ Ø ÔÖÓ ×׸ ÓÒ ÔÓ×× Ð ØÝ × ØÓ ÓÓ× Ø Ó × ÖÚ Ö ÝÒ Ñ × ×Ø ÒÓÙ ØÓ ÔÖÓÚ ÓÖ Ø Ü Ø Ú ÐÙ Ø ÓÒ Ó Ø Ú ÐÓ ØÝ ÓÖ Ø ×Ø Ø × Ð Ú ×ÓÑ Ó× Ò ÓÑ Ò Ò Û ×Ø Ð Þ Ø ÓÒ × ××ÙÖ º Ì × × × ÐÝ Ô Ö ÓÖÑ Ò × ÑÙÐ Ø ÓÒ ´× Ø Ü ÑÔÐ ÐÓÛµº Ê Ñ Ö º Ì ×Ø Ò Ö ¾¹×Ð Ò ¹ÑÓ ¹ × « Ö ÒØ ØÓÖ ¾ Ò Ð×Ó ÑÔÐ Ñ ÒØ Ö ØÓ ר Ñ Ø Ø Ú ÐÓ ØÝº Ø Ø × Ñ Ø Ñ ¸ Ø ÔÖÓÔÓ× Ó × ÖÚ Ö Ö ÕÙ Ö × ×Ñ ÐÐ Ö Ò× Ò × ÑÓÖ ÙÖ Ø ¸ × Ò Ø Ð ×Ø ØÝ Ø ÖÑ Å ½ ´Õµ ´Õµ Ó × ÒÓØ Ò­Ù Ò Ø Ó Ó Òº Ê Ñ Ö º ÒÓØ Ö Û Ý ØÓ ÓÓ× « Ò × ØÓ Ø « ½ · ¸ ¬ ¾ ´ · µ½ ¾ Û Ø ×ÓÑ ÔÖÓÔ ÖÐÝ ÔÖ Ø ÖÑ Ò ÓÒר ÒØ× ½¸ ¾ º ÁÒ Ô ÖØ ÙÐ Ö¸ ½ ½ ½¸ ¾ ½ × Ú Ð Ó ¾ º Ì Ó × ÖÚ Ö³× ¬Ò Ø Ø Ñ ÓÒÚ Ö Ò Ò×ÙÖ × Ø Ó × ÖÚ Ö ÝÒ Ñ × Ú Ò¹ × Ò ¬Ò Ø Ø Ñ ¸ Ð ØØ Ò ÛÓÖ Ø ÓÒØÖÓÐ ÓÚ Ö Ø ×Ýר Ñ× Ö Ð ÝÒ Ñ × Ò ¬Ò Ø Ø Ñ º Ì × ÓÒÚ Ö Ò Û ÐÐ ÐÐÓÛ Ô ÖØÙÖ Ø ÓÒ Ò Ô Ö Ñ Ø Ö ÒØ ¬¹ Ø ÓÒº È ÖØÙÖ Ø ÓÒ Ò È Ö Ñ Ø Ö Á ÒØ ¬ Ø ÓÒ Ì ÓÒÚ Ö Ò Ó Ü¾ ØÓ ܾ Ò ¬Ò Ø Ø Ñ Ò×ÙÖ × Ø Ø Ø ÕÙ Ð ØÝ ܾ شܽ ܾ Ùµ   شܽ ܾ Ùµ · شܽ ܾµ  Þ¾ ¼ ÓÐ × Ø Ö ×ÓÑ ¬Ò Ø Ø Ñ º Ì Ò Þ¾ شܽ ܾ Ùµ   شܽ ܾ Ùµ · شܽ ܾµ ´¾¾µ ÁØ Û × ××ÙÑ Ø Ø Ø Ø ÖÑ Þ¾ Ò × Ø ¸ Ø ÓÖ Ø ÐÐÝ Ò¬Ò Ø ¸ Ö ÕÙ Ò Ýº ÀÓÛ Ú Ö¸ Ò Ö Ð ØÝ¸ Ú Ö ÓÙ× ÑÔ Ö Ø ÓÒ× Ñ Ø ×Ø Ø Ó× ÐÐ Ø Ò ×ÓÑ Ú Ò ØÝ Ó Ø ÒØ Ö× Ø ÓÒ Ò ÓÑÔÓÒ ÒØ× Ó Þ¾ Ö ×Û Ø Ø ¬Ò Ø Ö ÕÙ Ò Ý¸ Ø × Ó× ÐÐ Ø ÓÒ × Ò ×ÐÓÛ Ö ÕÙ Ò Ý ÓÑÔÓÒ ÒØ×º Ì Ö ÕÙ Ò Ý Ø ÖÑ Þ¾ × ¬ÐØ Ö ÓÙØ Ò Ø ÑÓØ ÓÒ Ò Ø ×Ð Ò ÑÓ × Ø ÖÑ Ò Ý Ø ×ÐÓÛ ÓÑÔÓÒ ÒØ º ÁØ × ××ÙÑ Ø Ø Ø ÕÙ Ú¹ Ð ÒØ ÓÒØÖÓÐ × ÐÓ× ØÓ Ø ×ÐÓÛ ÓÑÔÓÒ ÒØ Ó Ø Ö Ð ÓÒØÖÓÐ Û Ñ Ý Ö Ú Ý ¬ÐØ Ö Ò ÓÙØ Ø ¹ Ö ÕÙ Ò Ý ÓÑÔÓÒ ÒØ Ù× Ò ÐÓÛÔ ×× ¬ÐØ Öº 320 A. Poznyak et al.
  • 9.
    Á ÒØ ¬Ø ÓÒ Ó È Ö Ñ Ø Ö× Ò ÝÒ Ñ ËÝר Ñ× ¿¾½ Ì ¬ÐØ Ö Ø Ñ ÓÒר ÒØ × ÓÙÐ ×ÙÆ ÒØÐÝ ×Ñ ÐÐ ØÓ ÔÖ × ÖÚ Ø ×ÐÓÛ ÓÑÔÓÒ ÒØ ÙÒ ×ØÓÖØ ÙØ Ð Ö ÒÓÙ ØÓ Ð Ñ Ò Ø Ø Ö ÕÙ Ò Ý Óѹ ÔÓÒ ÒØº Ì Ù× Ø ÓÒ Ø ÓÒ× ¼ Û Ö × Ø ¬ÐØ Ö Ø Ñ ÓÒר ÒØ¸ Ò Æ ¼¸ Û Ö Æ × Ø × ÑÔÐ ÒØ ÖÚ Ð¸ ÑÙר ÙЬÐÐ ØÓ ÜØÖ Ø Ø ×ÐÓÛ ÓÑÔÓÒ ÒØ ÕÙ Ð ØÓ Ø ÕÙ Ú Ð ÒØ ÓÒØÖÓÐ Ò ØÓ ¬ÐØ Ö ÓÙØ Ø Ö ÕÙ Ò Ý ÓÑÔÓÒ ÒØº ÁÒ ÓÖ Ö ØÓ ×ÓÐÚ Ø Ô ÖØÙÖ Ø ÓÒ Ò Ô Ö Ñ Ø Ö ÒØ ¬ Ø ÓÒ ÔÖÓ Ð Ñ׸ ×Ýר Ñ ´½ µ Ò ÛÖ ØØ Ò × Ü½ ܾ ܾ ³Ø´Ü½ ܾ Ùµ · Û Ö × Ú ØÓÖ Ó Ô Ö Ñ Ø Ö׸ ³Ø´Ü½ ܾ Ùµ × Ú ØÓÖ Ó Û Ðй ÒÓÛÒ ÙÒ Ø ÓÒ× Ó ´Ü½ ܾ Ø Ùµ º º ÐÐ Ø ×Ø Ø ÙÒ Ø ÓÒ× Ò Ø Ñ Ò Ð ×Ýר Ѹ Ò × Ô ÖØÙÖ Ø ÓÒ Ø ÖѺ ÁÒØÖÓ Ù Ò Ò Û ÒÓØ Ø ÓÒ¸ Ø ×ÙÔ Ö¹ØÛ ר Ò Ó × ÖÚ Ö × Ú Ò Ý Ü½ ܾ · ¬ ܽ ½ ¾ × Ò´Ü½µ ܾ ³Ø´Ü½ ܾ Ùµ · «× Ҵܽµ Û Ö Ö Ø ÒÓÑ Ò Ð Ú ÐÙ × Ó Ø Ú ØÓÖ º Ì ¬Ò Ø Ø Ñ ÓÒÚ Ö Ò Ó Ü½ Ò Ü¾ Ò Ð × ÕÙ Ø ÓÒ ´¾¾µ ØÓ ÛÖ ØØ Ò Ò Ø ÓÖÑ Þ¾ «× Ҵܽµ ¡ ³Ø´Ü½ ܾ Ùµ · Û Ö ¡   ¸ ³Ø´Ü½ ܾ Ùµ × ÒÓÒÐ Ò Ö Ú ØÓÖ ÓÒØ Ò Ò ÐÐ Ø ÙÒ ¹ Ø ÓÒ× Ó Ø ×Ø Ø × Ò Þ¾ × Ø ¬ÐØ Ö Ú Ö× ÓÒ Ó Þ¾º Ï Ò ÙÒ ÖØ ÒØ × Ò Ô ÖØÙÖ Ø ÓÒ× Ö ÔÖ × ÒØ × ÑÙÐØ Ò ÓÙ×ÐÝ ÓÒ Ø ×Ýר Ѹ Þ¾ Ú × Ò ×Ø Ñ Ø ÓÒ Ó Ø ×ÙÑ Ó ÓØ º ÁØ × ÔÓ×× Ð ØÓ ÒØ Ý ÜØ ÖÒ Ð Ô ÖØÙÖ Ø ÓÒ× ÓÖ Ô Ö Ñ ØÖ ÙÒ ÖØ ÒØ ׸ ÓÒÐÝ ÓÒ Ó Ø × ÔÔ Ö× Ò Ø ×Ýר Ѻ Ï Ò Ø Ô Ö Ñ Ø Ö× Ó Ø ×Ýר Ñ Ö ØÓØ ÐÐÝ ÒÓÛÒ¸ Ø Ø ÖÑ ¡ ¼¸ Ò Þ¾ ´¾¿µ Ò Ø Ô ÖØÙÖ Ø ÓÒ × ÒØ ¬ × Ø ×ÐÓÛ ÓÑÔÓÒ ÒØ Ó Ø ÕÙ Ú Ð ÒØ ÓÒØÖÓÐ Þ¾º Á ¼ Ò ÓÒÐÝ ÒÓÑ Ò Ð Ú ÐÙ × Ó Ø ×Ýר Ñ Ô Ö Ñ Ø Ö× Ö ÒÓÛÒ¸ Ø Ú ÐÙ Ó Þ¾ × Ú Ò Ý Þ¾ ¡ ³Ø´Ü½ ܾ Ùµ ´¾ µ ÒÓØ Ø Ø Þ¾ × × Ð Ö Ú ÐÙ ¸ Ò Ò Ñ ÒÝ × × Ø Ô Ö Ñ ØÖ ÙÒ ÖØ ÒØÝ × Ú ØÓÖ Ø Ø × Ø × ¸ Ø × ÔÓ×× Ð ØÓ ÓÒרÖÙ Ø Ò Ð ÓÖ Ø Ñ ÓÖ Ô Ö Ñ ØÖ ÒØ ¬ Ø ÓÒ ÖÓÑ Ø Ú ÐÙ Ó Þ¾ Ò Ø Ñ ×ÙÖ Ñ ÒØ× Ó ³º Ì ÑÓ Ð ×ØÖÙ ØÙÖ ÓÖ Ð Ò Ö Ö Ö ×× ÓÒ ¿ Ò ÛÖ ØØ Ò × Ø ³Ø ´¾ µ
  • 10.
    Û Ö Ø× Ñ ×ÙÖ Ð ÕÙ ÒØ ØÝ¸ ³Ø × Ò Ò¹Ú ØÓÖ Ó ÒÓÛÒ ÕÙ ÒØ Ø × Ò × Ò Ò¹Ú ØÓÖ Ó ÙÒ ÒÓÛÒ Ô Ö Ñ Ø Ö׺ Ì ÔÔÐ Ø ÓÒ Ó Ð Ò Ö Ö Ö ×× ÓÒ Ð ÓÖ Ø Ñ× Ð Ø Ð ×Ø ×ÕÙ Ö Ñ Ø Ó ØÓ ÒØ Ý ÝÒ Ñ Ð ×Ýר Ñ× × ÓÒ Ø ÓÒ Ý Ø Ú Ð Ð ØÝ ØÓ Ø Ñ ¹ ×ÙÖ Ñ ÒØ× Ó Ø ×Ø Ø Ö Ú Ø Ú × ´Ú ØÓÖ Ø ÓÖ Ø Ò Ö Ð ÑÓ Ð Ó Ð Ò Ö Ö Ö ×× ÓÒµ¸ ÓÒ Ø ÓÒ Ø Ø Ò Ñ ÒÝ × × ÒÒÓØ ÙЬÐÐ º Ì Ù× Ó ÕÙ Ø ÓÒ ´¾ µ ÔÖÓÚ × Ø ÑÓ Ð ×ØÖÙ ØÙÖ ´¾ µ Ò ×× ÖÝ ØÓ ÓÒרÖÙ Ø Ò Ð ÓÖ Ø Ñ ØÓ ÒØ Ý Ø ×Ýר Ñ Ô Ö Ñ Ø Ö× Ú Ø ÒØ ¬ Ø ÓÒ Ó Ø Ô Ö Ñ Ø Ö ÙÒ ÖØ ÒØ ׺ Ì Ø × Û Ò ¡ × ÓÒר ÒØ Ú ÐÙ ¸ Ò Ø × × Ù× Ò Ø ÙÜ Ð ÖÝ Ú Ö Ð ÓÖ ÒØ Ö Ø ÓÒ Û Ø Ö ×Ô Ø ØÓ Ø Ñ ¸ Ø Ú Ö Ú ÐÙ × Ó Ø Ð ×Ø ÕÙ Ø ÓÒ Ö Ú Ò Ý ½ Ø Ø ¼ Þ¾ ³Ì ¡ ½ Ø Ø ¼ ³ ³Ì ´¾ µ Ø Ö ÓÖ ¸ Ø Ô Ö Ñ Ø Ö× Ò ×Ø Ñ Ø × ¡ Ø ¼ Þ¾ ³Ì Ø ¼ ³ ³Ì  ½ ´¾ µ Û Ö ¡ × Ø ×Ø Ñ Ø ÓÒ Ó ¡ º ¬Ò  Ø Ê Ø ¼ ³ ³Ì  ½ Û × Ø ×¬ × Ø ÔÖÓÔ ÖØ ×   ½ Ø  Ø Á   ½ Ø  Ø ·   ½ Ø  Ø ¼ Ô Ö Ñ Ø Ö ×Ø Ñ Ø ÓÒ Ð ÓÖ Ø Ñ Ò ÛÖ ØØ Ò¸ ÖÓÑ ÕÙ Ø ÓÒ ´¾ µ × ¡ Ø ¼ Þ¾ ³Ì  Ø · Ù Õ³Ì Ø Í× Ò ÕÙ Ø ÓÒ ´¾ µ Û Ò ÛÖ Ø ¡ ¡   ½ Ø  Ø · Þ¾³Ì Ø Ò Ø Ò ÖÓÑ Ø ÕÙ Ð Ø × ÓÖ  Ø Ú Ò ÓÚ ¸ Ø ÝÒ Ñ ÜÔÖ ×× ÓÒ ØÓ ÓÑÔÙØ ¡ × Ú Ò Ý ¡  ¡ ³ · Þ¾ ³Ì Ø ´¾ µ ÝÒ Ñ ÓÖÑ ØÓ ¬Ò  Ø ×  Ø   Ø³³Ì Ø ´¾ µ Ì Ù× Ó ÕÙ Ø ÓÒ× ´¾ µ Ò ´¾ µ Ò×ÙÖ × Ø ×ÝÑÔØÓØ ÓÒÚ Ö Ò Ó ¡ ØÓ ¡ º 322 A. Poznyak et al.
  • 11.
    Á ÒØ ¬Ø ÓÒ Ó È Ö Ñ Ø Ö× Ò ÝÒ Ñ ËÝר Ñ× ¿¾¿ ÁÒ ÓÖ Ö ØÓ Ó Ø Ò Ø ÓÒÚ Ö Ò ÔÖÓÓ Ò ÓÒ Ø ÓÒ× ÓÖ Ø Ñ Ø Ó Û Ò Ö ÛÖ Ø Þ¾ Ò Ø ÓÐÐÓÛ Ò ÓÖÑ Þ¾ Þ¾ · ´¿¼µ Û Ö × Ø « Ö Ò Ù× Ý Ø ¬ÐØÖ Ø ÓÒ Ò Þ¾ × Ø ¬ÐØ Ö Ú Ö× ÓÒº Ì Ú Ö Ú ÐÙ × Ó Ø Ö Ð Þ¾ × Ø × Ý Ø ¼ Þ¾ ³Ì ¡ Ø ¼ ³ ³Ì Ø Ò ¡ Ø ¼ Þ¾ ³Ì  Ø ËÙ ×Ø ØÙØ Ò ÖÓÑ ÕÙ Ø ÓÒ ´¿¼µ¸ Ø Ö Ð ¡ × Ú Ò Ý ¡ Ø ¼ Þ¾ ³Ì · Ø ¼ ³Ì  Ø ´¿½µ Ì Ò Þ¾ ¡ ³¸ ÕÙ Ø ÓÒ ´¿½µ × ÛÖ ØØ Ò × ¡ ¡ Ø ¼ ³ ³Ì · Ø ¼ ³Ì  Ø Ì × Ú × Ø Ò ÜØ ÕÙ Ð ØÝ ¡ ¡ · Ø ¼ ³Ì  Ø ´¿¾µ Ì ÓÒÚ Ö Ò ÓÒ Ø ÓÒ× Ù ÖÓÑ ÕÙ Ø ÓÒ ´¿¾µ Ö ¯ ×ÙÔ Ø Ø ½º ¯ ½ Ø Ê Ø ¼ ³Ì ¼ × Ø ½º Ì ¬Öר ÓÒ Ø ÓÒ¸ Ö ÕÙ Ö × Ø ÒÓÒ¹× Ò ÙÐ Ö ØÝ Ó Ø Ñ ØÖ Ü   ½ ØÊ Ø ¼ ³ ³Ì º ÁÒØÖÓ Ù Ò Ø ÖÑ ¼ ½¸ Û Ö ÔÖ × ÒØ× ×Ñ ÐÐ ÓÒ¹ ר ÒØ¸ Ø ÒØ Ö Ð × ÛÖ ØØ Ò ×   ½ Ø Ø ¼   ³ ³Ì ¡ · Á Û Ö Á × Ø ÙÒ Ø ÖÝ Ñ ØÖ ܸ Ò Ò Ø × × Ø Ú ÐÙ Ó   ½ Ø × ÐÛ Ý× ÒÓÒ¹× Ò ÙÐ Öº ÁÒ ÕÙ Ø ÓÒ ´¾ µ¸ Ø Ú ÐÙ Ó × Ú Ò Ò Ø Ò Ø Ð ÓÒ Ø ÓÒ׸ Ò Ø × ×  ¼  ½ Á
  • 12.
    ÆÓØ Ø Ø¸Ø ÒØÖÓ Ù Ø ÓÒ Ó Ò×ÙÖ × Ø Ø Ø ÓÒ Ø ÓÒ ×ÙÔ  Ø ½ ÓР׸ ÙØ Ó × ÒÓØ Ò×ÙÖ Ø ÓÒÚ Ö Ò Ó Ø ×Ø Ñ Ø Ô Ö Ñ Ø Ö× ØÓ Ø Ö Ð Ú Ð٠׺ ÓÒÚ Ö Ò Ó Ø ×Ø Ñ Ø Ú ÐÙ × ØÓ Ø Ö Ð Ú ÐÙ × × Ò×ÙÖ Ý Ø Ô Ö× ×Ø ÒØ Ü Ø Ø ÓÒ ÓÒ Ø ÓÒ ¿ º Ì × ÓÒ ÓÒ Ø ÓÒ Ò×ÙÖ × Ø Ø Ø ¬ÐØ Ö Ò ÔÖÓ ×× Ó × ÒÓØ ÑÔ Ø ÓÒ Ø Ô Ö Ñ Ø Ö ÒØ ¬ Ø ÓÒº Ì Ñ Ø Ó ÔÖÓÔÓ× ¬Ò × ¡ ¸ ×Ù Ø Ø Ø Ö Ð Ô Ö Ñ Ø Ö× Ö Ú Ò Ý · ¡ º ¿ Á ÒØ ¬ Ø ÓÒ Ó Ì Ñ Î ÖÝ Ò È Ö Ñ Ø Ö× ¿º½ Ì Ñ ¹Î ÖÝ Ò Å ØÖ Ü Ç × ÖÚ Ø ÓÒ Ð ÓÖ Ø Ñ× ÓÒ× Ö Ø Ñ ØÖ Ü Ø Ò ´½µ Ú Ò Ý Ø Ø ½ Ò ½ Ò ´¿¿µ Û Ø Ø Ø Ñ ¹Ú ÖÝ Ò ÙÒ ÒÓÛÒ ÓÙÒ Ô Ö Ñ Ø Ö׺ Ð×Ó¸ Ø × ××ÙÑ Ø Ø Ø · º ÁØ × ÛÓÖØ ÒÓØ Ò Ø Ø Ø ÓÒר ÒØ Ñ ØÖ Ü ×Ø Ñ Ø ÓÒ Ð ÓÖ Ø Ñ× Ú Ò Ý Ì ÓÖ Ñ× ½ Ò ¾ Ö ÔÔÐ Ð ÓÖ Ø ÔÔÖÓÜ Ñ Ø ÒØ ¬ Ø ÓÒ Ó Ø ×ÐÓÛÐÝ Ú ÖÝ Ò Ñ ØÖ Ü Øº ÁÒ Ø × × Ø Ô Ö Ñ Ø Ö ×Ø Ñ Ø ÓÒ Ð ÓÖ Ø Ñ¸ ÓÖ Ü ÑÔÐ ´½¼µ¹´½ µ¸ Ò ÔÔÐ ÓÖ ×Ø Ñ Ø ÓÒ Ó Ø Ñ ØÖ Ü Ø ÓÒ Ø ÓÒ× ÙØ Ú ÒØ ÖÚ Ð× ¡Ø ØÒ  Ø½ ½ ¾ º ËÙÔÔÓ× Ø Ø ××ÙÑÔØ ÓÒ ½ ÓÐ × ÔÔÖÓÜ Ñ Ø ÐÝ Ø ÐÐ Ø × Ø Ñ ¹ ÒØ ÖÚ Ð׺ ÁØ Ý Ð × Ø ÓÐÐÓÛ Ò × Ö Ø × ÕÙ Ò Ó Ñ ØÖ Ü Ø ×Ø Ñ Ø × ´ØÒ½µ ´ØÒ½·¡Ø¾µ ´ØÒ½·¡Ø¾· ·Ø µ Æ ÜØ¸ Ò Ø × × Ø ÓÒ Û ÓÒ× Ö Ô ÖØ ÙÐ Ö × Ó Ø ÔÐ ÒØ ´½µ Û Ø Ø Ñ ¹Ú ÖÝ Ò Ñ ØÖ Ü Ø¸ Û × ÒÓØ Ò ×× Ö ÐÝ ×ÐÓÛ¹Ú ÖÝ Ò º Ì ÔÐ ÒØ ݹ Ò Ñ × ÙÒ Ö ÓÒ× Ö Ø ÓÒ Ö Ú Ò Ý Ø Ð Ò Ö × Ð Ö « Ö ÒØ Ð ÕÙ Ø ÓÒ Û Ø ÙÒ ÒÓÛÒ ÓÙÒ Ø Ñ ¹Ú ÖÝ Ò Ó Æ ÒØ× Õ´Òµ · ´Ò ½µ ØÕ´Ò ½µ · · ¼ ØÕ Ø Ý Õ ´¿ µ Û Ö Ø ¾ Ê × ÒÓÛÒ Ä Ô× ØÞ ÙÒ Ø ÓÒ Ò Ý ¾ Ê × Ø ÓÙØÔÙØ Ñ ×ÙÖ ¹ Ñ ÒØº Õº ´¿ µ Ò Ö Ð Þ Ò ×Ø Ø Ú Ö Ð ÓÖÑ Ø ´½µ ½ Û Ø ´Øµ ¾   ´Ò ½µ Ø ½ ¼ ¼   ´Ò ¾µ Ø ¼ ½ ¼   ½ Ø ¼ ¼ ½   ¼ Ø ¼ ¼ ¼ ¿ ³Ø´Üµ Ü ¾ ÊÒ Ø´Üµ ¼ ¼ Ø Ì ´¿ µ 324 A. Poznyak et al.
  • 13.
    Á ÒØ ¬Ø ÓÒ Ó È Ö Ñ Ø Ö× Ò ÝÒ Ñ ËÝר Ñ× ¿¾ Ì ÓÙØÔÙØ Ý ¾ Ê Ò ´¿ µ × ÒØ ¬ × Ý Ü½ ´¿ µ ÁÒ Ø × × Ø ÓÒ Û ÓÒ× Ö Ø Ø ÖÑ Ò ×Ø × Ó Ø ÔÐ ÒØ ´½µ¸ ´¿ µ¸ ´¿ µ Ø Ø Ó Ý× Ø ÓÐÐÓÛ Ò ××ÙÑÔØ ÓÒ ¾º Ì ÓÐÐÓÛ Ò ÓÒ Ø ÓÒ× Ö ××ÙÑ ØÓ ÓÐ ÓÖ Ø ÔÐ ÒØ ´½µ¸ ´¿ µ¸ ´¿ µ ´ µ Ø ×Ø Ø × Ü½ ÜÒ Ó Ø ÔÐ ÒØ ´½µ¸ ´¿ µ Ö Ú Ð Ð ÓÖ Ñ ×ÙÖ Ñ ÒØ¸ º º Ý Ü ´¿ µ ´ µ Ü · ´ µ Ø ¼ Ò  ½ ´ µ · ½ Ò Ç × ÖÚ Ø ÓÒ Ð ÓÖ Ø Ñ × ÓÒ ÌÖ Ø ÓÒ Ð ËÐ Ò ÅÓ × Ì Ô Ö Ñ Ø Ö ×Ø Ñ Ø ÓÒ Ð ÓÖ Ø Ñ ÓÖ Ø ÔÐ ÒØ Ú Ò Ý ´½µ¸ ´¿ µ¸ ´¿ µ Ø Ø Ó Ý× ××ÙÑÔØ ÓÒ ¾ × ÓÖÑÙÐ Ø Ò Ø ÓÐÐÓÛ Ò Ø ÓÖ Ñ Ì ÓÖ Ñ º Á ××ÙÑÔØ ÓÒ ¾ × × Ø ×¬ ÓÖ Ø ÔÐ ÒØ ´½µ¸ ´¿ µ¸ ´¿ µ Ò Ü½ Ø ¼ Ø ØÖ ØÖ ´¼µ ¸ Ø Ò Ø Ð Ñ ÒØ× Ó Ø Ø Ñ ¹Ú ÖÝ Ò Ñ ØÖ Ü Ø Ò Ü ØÐÝ ×Ø Ñ Ø Ý Ø  Ù Õ Ø  ÖØ Ü½ Ø ´¿ µ Û Ö Ø ¢ ´Ò ½µ Ø ´Ò ¾µ Ø ¼ Ø £Ì ÖØ ܾ Ü¿ ÜÒ ¼ Ì Û Ø Ù Õ Ø ¾ ÊÒ Ò ØÖ Ö ÔÖ × ÒØ Ø ÕÙ Ú Ð ÒØ ÓÒØÖÓÐ Ò Ö Ò Ø Ñ Ö ×Ô Ø Ú ÐÝ ¹ Ò Ø Ó × ÖÚ Ö ØÜ Ù · Ø Ü´¼µ ¼ ÙØ ´ · · Ü µ Ý  Ü ´¿ µ ÈÖÓÓ Ó Ì ÓÖ Ñ × Ú Ò Ò Ø ÔÔ Ò Üº Ê Ñ Ö ½¼º Ì ÕÙ Ú Ð ÒØ ÓÒØÖÓÐ Ù Õ Ø Ò ´¿ µ Ò ×Ø Ñ Ø Ý ÐÓÛ Ô ×× ¬ÐØ Ö Ò ´ÄÈ µ ¹ Ó Ø Ö ÕÙ Ò Ý ×Û Ø Ò ÓÒØÖÓÐ Ù Ò ´¿ µ
  • 14.
    Ù Õ ØÄÈ ´Ùص ´ ¼µ Ì ÕÙ Ú Ð ÒØ ÓÒØÖÓÐ ×Ø Ñ Ø Ù Õ Ø ÓÒÚ Ö × ØÓ Ù Õ Ø ÓÒÐÝ ×ÝÑÔØÓØ ÐÐÝ Ù ØÓ Ø ÝÒ Ñ Ð ÔÖÓÔ ÖØ × Ó ÄÈ º Í×Ù ÐÐÝ ÓÒÐÝ ÞÓÒ ÓÒÚ Ö Ò × Ú Ð ¸ Ò Õº ´ µ ÓÐ × ÓÖ ÄÈ Ò ´ ¼µ × Ø Ñ Ò Ö × ×º ÈÖ Ø ÐÐÝ Õº ´ µ ÓÐ × Ø Ö Ø ØÖ Ò× ÒØ Ö ×ÔÓÒ× Ò Ø ÄÈ × ÓÙØ¸ Ò Ø Ð Ñ ÒØ× Ó Ø Ø Ñ ¹Ú ÖÝ Ò Ñ ØÖ Ü Ø Ò ´½µ Ò ´¿ µ Ö ×Ø Ñ Ø ÓÖ Ø ØÖ·Ì Ì ¸ Ú Ø ×Ð Ò ÑÓ Ô Ö Ñ Ø Ö Ó × ÖÚ Ö ´¿ µ¹´ ¼µ × Ø  Ù Õ Ø  ÖØ Ü½ Ø ´ ½µ Ò Ø   Ø Ç´ µ × Ø Ñ Ò Ö × ×º Ê Ñ Ö ½½º ÌÓ ÚÓ × Ò ÙÐ Ö Ø × Ò Ø × Û Ò Ü½ Ø ÖÓ×× × Þ ÖÓ¸ Õº ´ ½µ Ò ×Ð ØÐÝ ÑÓ ¬ ØÓ Ø  ´Ù Õ Ø  Öصܽ Ø Ü¾ ½ Ø · ­ ­ ¼ Ç × ÖÚ Ø ÓÒ Ð ÓÖ Ø Ñ × ÓÒ Ë ÓÒ ÇÖ Ö ËÐ Ò ÅÓ × Ì Ù× Ó Ø ÓÖ Ö ×Ð Ò ÑÓ Ø Ò ÕÙ ¸ Ò Ô ÖØ ÙÐ Ö Ø ×ÙÔ Ö¹ ØÛ ר Ò Ð ÓÖ Ø Ñ ¸ ÚÓ × ¬ÐØ Ö Ò Ó Ø ÕÙ Ú Ð ÒØ ÓÒØÖÓÐ Ò ´¿ µ¸ ´ ¼µ Ò Ú × Ü Ø Ø Ñ ¹Ú ÖÝ Ò Ñ ØÖ Ü ×Ø Ñ Ø ÓÒ Ò ¬Ò Ø Ø Ñ º Ì ËÇËŹ × Ô Ö Ñ Ø Ö ×Ø Ñ Ø ÓÒ Ð ÓÖ Ø Ñ ÓÖ Ø ÔÐ ÒØ Ú Ò Ý ´½µ¸ ´¿ µ¸ ´¿ µ Ø Ø Ó Ý× ××ÙÑÔØ ÓÒ ¾ × ÓÖÑÙÐ Ø Ò Ø ÓÐÐÓÛ Ò Ì ÓÖ Ñº Ì ÓÖ Ñ º Á ××ÙÑÔØ ÓÒ ¾ × × Ø ×¬ ÓÖ Ø ÔÐ ÒØ ´½µ¸ ´¿ µ¸ ´¿ µ Ò Ü½ Ø ¼ Ø ØÖ¸ Ø Ò Ø Ð Ñ ÒØ× Ó Ø Ø Ñ ¹Ú ÖÝ Ò Ñ ØÖ Ü Ø Ò Ü ØÐÝ ×Ø Ñ Ø Ý Ø  ÙØ  ÖØ Ü½Ø ´ ¾µ Û Ö Ø ¢ ´Ò ½µ Ø ´Ò ¾µ Ø ¼ Ø £Ì ÖØ ܾ Ü¿ ÜÒ ¼ Ì Û Ø ÙØ Ù½ Ø ÙÒ Ø Ì ¾ ÊÒ ×Ø Ò Ò ÓÖ Ø ÓÒØÖÓÐ Ù « ½ ¾ × Ò´ µ · ¬ Ú Ú × Ò´ µ ½ Ò ´ ¿µ Û Ö 326 A. Poznyak et al.
  • 15.
    Á ÒØ ¬Ø ÓÒ Ó È Ö Ñ Ø Ö× Ò ÝÒ Ñ ËÝר Ñ× ¿¾ « Õ ¾ ¬  ´ Ò  · · · ½ µ ·· · ½ ´¬· ´ Ò  · · · ½ µ · · · ½ µ´½·Õµ ´½ Õµ ¬ ´ Ò  · · · ½ µ · · · ½ ½ Ò  ½ ´ µ Ò ØÖ Ö ÔÖ × ÒØ× Ø Ö Ò Ø Ñ Ò Ø Ó × ÖÚ Ö ØÜ Ù · Ø Ü´¼µ ¼ Ý  Ü ´ µ ÈÖÓÓ Ó Ì ÓÖ Ñ × Ú Ò Ò Ø ÔÔ Ò Üº Ê Ñ Ö ½¾º ÓÒØÖÓÐ ÙØ × ÓÒØ ÒÙÓÙ× ÙÖ Ò Ø × ÓÒ ÓÖ Ö ×Ð Ò ÑÓ Ø Ø Ó ÙÖ× Ò Ø Ó × ÖÚ Ö ´ µ Ò ¬Ò Ø Ø Ñ ØÖº ËÓ¸ Ø Ö × ÒÓ Ò ØÓ Ù× ÄÈ ¸ Ò Ø Ñ ØÖ Ü ×Ø Ñ Ø Ó Ø × Ü Ø Ò ´ ¾µº Ê Ñ Ö ½¿º ÁØ × ÛÓÖØ ÒÓØ Ò Ø Ø Ù ÕØ · Ø Ò Ù · Ø Ú ÐÙ Ø Ö Ú Ø Ú × Ó Ø Ú ØÓÖ ×Ø Ø Ó Ø ÔÐ ÒØ ´½µ¸ ´¿ µ Ò Ø ØÖ Ø ÓÒ Ð Ò ÓÖ Ö ×Ð Ò ÑÓ ×Ø Ñ Ø ÓÒ Ð ÓÖ Ø Ñ׸ Ò Ö ÔÖ × ÒØ ×Ð Ò ÑÓ « Ö ÒØ ØÓÖ× ¸ ¸ º ¿º¾ Á ÒØ ¬ Ø ÓÒ Ó Ë Ð Ö È Ö Ñ Ø Ö Ò Ë Ò Ð Ñ Ò× ÓÒ Ð ËØÓ ×Ø ËÝר Ñ× Ä Ø ª Ø Ø ¼ È Ú Ò ¬ÐØ Ö ÔÖÓ Ð ØÝ ×Ô Û Ö ×Ø Ò Ö ÖÓÛÒ Ò ÑÓØ ÓÒ ´ÏØ Ø ¼µ ´Û Ø Ï¼ ¼µ × ¬Ò º Ø Ø ¼ × ××ÙÑ ØÓ Ø Ò ØÙÖ Ð ¬ÐØ Ö Ò Ö Ø Ý ´ÏØ Ø ¼µ Ò Ù Ñ ÒØ Ý Ø È¹ÒÙÐÐ × Ø× ÖÓÑ º ÓÒ× Ö Ø ×ØÓ ×Ø Ð Ò Ö ÓÒØÖÓÐÐ ÓÒØ ÒÙÓÙ×¹Ø Ñ ×Ýר Ñ Û Ø Ø ÝÒ Ñ × ÜØ ¾ Ê Ú Ò Ý ÜØ ܼ · Ø ¼ ³´Ü µ · · Ø ¼ Ï ´ µ ÓÖ¸ Ò ×ÝÑ ÓÐ ÓÖѸ ÜØ Ø³Ø´ÜØµ · Ø Ø · Ï ´ µ Û Ö Ø × Ñ ×ÙÖ Ð ÓÙÒ ´ Ø · µ Ü Ø Ø ÓÒ ÒÔÙØ¸ ³Ø × ÒÓÛÒ ÒÓÒÐ Ò Ö Ä Ô× ØÞ ÙÒ Ø ÓÒº Ì ÙÒ Ø ÓÒ Ø × ××ÙÑ ØÓ Ø Ñ ¹Ú ÖÝ Ò Û Ø ÙÒ ÒÓÛÒ ÓÙÒ Ô Ö Ñ Ø Ö׸ Ø Ø ×¸ Ø · º Ì ÓÐÐÓÛ Ò ××ÙÑÔØ ÓÒ× Û ÐÐ Ù× Ø ÖÓÙ ÓÙØ Ø Ö ×Ø Ó Ø × × Ø ÓÒ ½º ÓÖ ÐÐ Ü ³´Üµ Ä Ü ¾º Ì ÔÐ ÒØ ´ µ¸´ µ × ÕÙ Ö Ø ÐÐÝ ×Ø Ð ¸ Ø Ø ×¸ ×ÙÔ Ø ¼ Ò ÜØ ¾ Ó · ¾ ½ Ì ÔÖÓ Ð Ñ × ØÓ × Ò Ò ×Ø Ñ Ø Ø Ó Ø Ø Ñ Ú ÖÝ Ò Ô Ö Ñ Ø Ö Ø¸ × ÓÒÐÝ ÓÒ Ø Ñ ×ÙÖ Ð ×Ø Ø Ü´Øµ Ò Ø Ü Ø Ø ÓÒ ÒÔÙØ ظ Ø Ø
  • 16.
    ÔÖÓÚ × ØÐ ר ×ÝÑÔØÓØ ר Ñ Ø ÓÒ ÖÖÓÖ ÝÒ Ñ × Û Ø ÔÖÓ Ð ØÝ ÓÒ ¸ º º Ð Ñ Ø ½ Ø   Ø ¼ × ´ µ ËÐ Ò ÅÓ ÓÒØÖÓÐ Ó ÙÜ Ð ÖÝ ËÝר Ñ ÓÖ Ò Ø ¹Ì Ñ ÌÖ ØÓÖÝ ÌÖ Ò Ä Ø Ù× ÒØÖÓ Ù Ø ÓÐÐÓÛ Ò ÙÜ Ð ÖÝ ÔÖÓ ×× ÜØ Ú Ò Ý ÜØ ÙØ Ø Ü¼ ܼ ´ µ ´Û Ö ÙØ × ØÓ Ø ÖÑ Ò µ Ò Ø ÖÖÓÖ ¡Ø ÜØ  ÜØÛ Ó× ÝÒ Ñ × Ö ÓÚ ÖÒ Ý ¡ Ø³Ø · Ø  Ù Ø · ÏØ ´ ¼µ ÁÒ ÓÖ Ö ØÓ × Ò Ø ÓÒØÖÓÐ ÙØ Ò Ø Ó × ÖÚ Ö ´ µ Ø Ø ÔÖÓÚ × ¡Ø × ¼ Ø Ð ×Ø ×ÝÑÔØÓØ ÐÐÝ Û Ø ÔÖÓ Ð ØÝ ÓÒ ¸ Ø ÓÐÐÓÛ Ò ÄÝ ÔÙÒÓڹРÙÒ Ø ÓÒ × ÒØÖÓ Ù Î ½ ¾ ¡¾ · ¬ Ü ¬ ¼ ´ ½µ Ý ÁØÓ³× ÓÖÑÙÐ Ø× « Ö ÒØ Ð × ÎØ ´¡Ø ¡Øµ · ´¬× Ò´ÜØµ ÜØµ · ¾ ¾ Ø ¡Ø ´ · ³Ø · · µ · ´¬× Ò´ÜØµ  ¡Ø ÙØµ · ¾ ¾ Ø  ´¡Ø ÏØµ ´ ¾µ À Ö ¾ ¾ Ø Ö ÔÖ × ÒØ× Ø ×Ó¹ ÐÐ ¸ ÁØÓ³× Ø ÖѸ Û × ÒÓØ ÑÙÐØ ÔÐ Ý ¡Ø × ÐÐ Ø ÓØ Ö Ø ÖÑ× Ó Ø Ú Ò ÝÒ Ñ × ´ µ Ö º Ë Ð Ø Ò ÙØ ÙØ Ø× Ò¡Ø · Ø× ÒÜØ ´ ¿µ ÓÑÔ Ò× Ø × ÓÖ Ø× « Ø ÓÒ ÎØ º Ì ÙÒ Ø ÓÒ× Ø Ò Ø Û ÐÐ × Ò ÐÓÛº ËÙ ×Ø ØÙØ Ò ´ ¿µ ÒØÓ ´ ¾µ ÑÔÐ × Ê ¡Ø ´ · ³Ø · · µ · ´¬× Ò´ÜØµ  ¡Ø ÙØµ · ¾ ¾ ¡Ø ´ · ³Ø · · µ · ¬× Ò´ÜØµ  ¡Ø Ø× Ò¡Ø · Ø× ÒÜØ · ¾ ¾ ¡Ø ´ · ³Ø · ·   ص· ¬ Ø   Ø ¡Ø × Ò´ÜØµ× Ò¡Ø · ¬ Ø · ¾ ¾ ´ µ 328 A. Poznyak et al.
  • 17.
    Á ÒØ ¬Ø ÓÒ Ó È Ö Ñ Ø Ö× Ò ÝÒ Ñ ËÝר Ñ× ¿¾ Ì Ò Ø · ³Ø · · · ¼ ´ µ Ò ´ µ ÓÒ Ò Ó Ø Ò Ê   ¡Ø · ¬ Ø · ¾ ¾ · ¬ ´ · ³Ø · · · µ   Ø ¡Ø × Ò´ÜØµ× Ò¡Ø ´ µ Ò ÐÐݸ Ø × × Ð Ø ÓÖ Ø ¼ × ÓÐÐÓÛ× µ ¡Ø  ¬ Æ ¼ Ø ¬ ´ · ³Ø · · · µ · ¾ ¾ · × Ò´ÜØµ× Ò¡Ø ¡Ø  ¬× Ò´ÜØµ× Ò¡Ø ´ µ µ ¡Ø  ¬ Æ Ø ¬ ´ · ³Ø · · · µ · ¾ ¾ · × Ò´ÜØµ× Ò¡Ø Æ ´ µ ÖÓÑ ´ ¾µ¹´ µ Ò ××ÙÑÔØ ÓÒ ½ Û Ó Ø Ò Ê   ¡Ø   ´ ¡Ø  ¬ Ƶ · ´Ö¼ · Ö½ ÜØ µ ´ ¡Ø  ¬ Ƶ Ö¼ ƾ ¾ · · ¾¬´ · · µ Ö½ ¾¬ · Ä Ö Ø Ö ×Ø ÙÒ Ø ÓÒ Ø Ø Ý Ð × Ø ÓÐÐÓÛ Ò ÎØ  ´ ¡Ø · ´ ¡Ø  ¬ Ƶµ Ø· ´Ö¼ · Ö½ ÜØ µ ´ ¡Ø  ¬ Ƶ Ø  ´¡Ø ÏØµ ´ µ ÓÖ¸ ÕÙ Ú Ð ÒØÐݸ Û Ø ÔÖÓ Ð ØÝ ÓÒ ÎØ μ   Ê Ø ¼ ¡   Ê Ø ¼ ´ ¡  ¬ Ƶ ·Ê Ø ¼ ´Ö¼ · Ö½ ÜØ µ ´ ¡  ¬ Ƶ   Ê Ø ¼ ´¡Ø ÏØµ ´ ¼µ Æ ÜØ¸ Ù× Ò Ø ÔÖÓÔ ÖØÝ Ó Ø ÁØÓ³× ÒØ Ö Ð¸ Û Ó Ø Ò Ø Ñ Ø Ñ Ø Ð ÜÔ Ø Ø ÓÒ Ø ¼ ´¡Ø ÏØµ ¼ ´ ½µ Û Ò ÔÔÐ ØÓ ´ ¼µ¸ Ý Ð × Ø ÓÐÐÓÛ Ò Ò ÕÙ Ð ØÝ ½ ¾ ¡Ø ¾ ÎØ μ   Ê Ø ¼ ´ ¡  ¬ Ƶ ·Ê Ø ¼ ´Ö¼ · Ö½ Ü µ ´ ¡  ¬ Ƶ μ   Ê Ø ¼ È ´ ¡  ¬ Ƶ · Ê Ø ¼ Ö Ò ´Ö¼ · Ö½ Ü µ¾ Ó Ô È ´ ¡  ¬ Ƶ ´ ¾µ
  • 18.
    ÖÓÑ ´ ¾µÒ ××ÙÑÔØ ÓÒ ¾¸ Ò Ò Ú Û Ó Ø ÔÖÓÔ ÖØ × Ü È ¡  ¬ Ü Ô ¡  ¬ ´Üµ Ã È ´ ¡  ¬ Ƶ ÃÆ à Ơ½ Û Ó Ø Ò ÚØ ¡Ø ¾ ¾ μ  ¾ Ê Ø ¼ ´½  ÃƵ · Ê Ø ¼ Õ Ö¾ ¼ · Ö¾ ½ · ¾ Ô ÃÆ ´ ¿µ Ë Ð Ø Ò Æ ¼ ×Ñ ÐÐ ÒÓÙ ×Ù Ø Ø Ø ÓÐÐÓÛ Ò Ò ÕÙ Ð ØÝ × Ú Ð   à · ¾ Õ Ã ½´Ö¾ ¼ · Ö¾ ½ · ¾ µ Ô Æ ¼ ´ µ Û Ó Ø Ò ÚØ ¡Ø ¾ ¾ μ  ¾   à · ¾ Õ Ã ½´Ö¾ ¼ · Ö¾ ½ · ¾ µ Ô Æ Ø ¾ μ  ¾ Ø ´ µ Õº´ µ ÑÔÐ × Ø ¼ ÓÖ ÐÐ Ø Ø Î¼ ´ µ Õ׺´ µ Ò ´ µ Ý Ð ¡Ø × ÓÖ ÐÐ Ø Ø ´ µ ÆÓÛ Û Ö Ö Ý ØÓ ÓÖÑÙÐ Ø Ø Ñ Ò Ö ×ÙÐØ¸ Û × Ù× ÓÖ Ú ÐÓÔ Ò Ø Ø Ñ ¹Ú ÖÝ Ò Ô Ö Ñ Ø Ö ×Ø Ñ Ø ÓÒ Ð ÓÖ Ø Ñ׺ Ì ÓÖ Ñ º Ë Ð Ø Ò Ø ÙÜ Ð ÖÝ ÓÒØÖÓÐ ÙØ Ò ´ µ × ×Ù ×Ø Ò ´ ¿µ¹ ´ µ¸ Ø Ð ØÖ Ò ÔÖÓ ×× Ò ´ µ ÓÐ × ÓÖ ÒÝ Ø Ø Û Ø ÔÖÓ Ð ØÝ ÓÒ º Ê Ñ Ö ½ º ËØ ÖØ Ò ÖÓÑ Ø × ÔÓ ÒØ¸ ÓÖ ÒÝ Ø Ø Û Ò ÒØÖÓ Ù Ø ×Ó¹ ÐÐ ¸ ÕÙ Ú Ð ÒØ ÓÒØÖÓÐ Ù´ Õµ Ø ÙØ Û Ñ ÒØ Ò× Ø ÕÙ Ð ØÝ ¡ Ø³Ø · Ø  Ù´ Õµ Ø Ø · ÏØ × ¼ ´ µ Û Ø ÔÖÓ Ð ØÝ ÓÒ ¸ ÓÖ Ò ÒØ Ö Ð ÓÖÑ Ê Ø ¼ Ø³Ø · Ø  Ù´ Õµ Ø Ø Ê Ø ¼ Ø ´³Øµ · Ø   ´Ù´ Õµ Ø µ Ø ¼ ´ µ Ð ÖÐÝ Ø ÕÙ Ú Ð ÒØ ÓÒØÖÓÐ Ù´ Õµ Ø ÓÒØ Ò× ÐÐ Ò ×× ÖÝ Ò ÓÖÑ Ø ÓÒ ÓÒ Ø 330 A. Poznyak et al.
  • 19.
    Á ÒØ ¬Ø ÓÒ Ó È Ö Ñ Ø Ö× Ò ÝÒ Ñ ËÝר Ñ× ¿¿½ Ð ÓÖ Ø Ñ× ÓÖ Ì Ñ ¹Î ÖÝ Ò È Ö Ñ Ø Ö Á ÒØ ¬ Ø ÓÒ × ÓÒ ´ µ Ò ´ µ Û ÔÖÓÔÓ× Ø ÓÐÐÓÛ Ò ØÛÓ Ð ÓÖ Ø Ñ× ÓÖ ÒØ ¬ ¹ Ø ÓÒ Ó Ø Ø Ñ ¹Ú ÖÝ Ò Ô Ö Ñ Ø Ö Ø Ù× Ò Ø ÕÙ Ú Ð ÒØ ÓÒØÖÓÐ ÔÔÖÓ ½º Ì Ö Ø Ñ Ø Ó Ø Ø × × Ù×× Ò ×ÓÑ Ø Ð Ò ½ ¸ ½ ¸ Ý Ð × Ø ÓÐÐÓÛ Ò Ô Ö Ñ Ø Ö ÒØ ¬ Ø ÓÒ Ð ÓÖ Ø Ñ Ò Ø ×ØÓ ×Ø × ÙÒ Ö ×ØÙ Ý Ø ´Ù´ Õµ Ø µ   Ø ´³Øµ ´ ¼µ ÓÖ¸ Ù× Ò Ø Ö ÙÐ Ö Þ Ø ÓÒ Ñ Ø Ó ¸ Ò ÔÔÖÓÜ Ñ Ø Ô Ö Ñ Ø Ö ÒØ ¬¹ Ø ÓÒ ÓÖÑÙÐ × Ó Ø Ò × ´½µ Ø ´Ù´ Õµ Ø   ص³Ø ³¾ Ø · ¼ ´ ½µ ´Ø ×Ñ ÐÐ Ô Ö Ñ Ø Ö × ÒØÖÓ Ù Ö ØÓ ÚÓ × Ò ÙÐ Ö Ø ×µº ¾º Ì ÄËÅ Û Ø ÓÖ ØØ Ò ØÓÖ Ø Ø × × Ö Ò Ø ÛÓÖ Ò ½ Ý Ð × Ø ÐØ ÖÒ Ø Ú Ô Ö Ñ Ø Ö ÒØ ¬ Ø ÓÒ Ð ÓÖ Ø Ñ Ò Ø ×ØÓ ×Ø × ÙÒ Ö ×ØÙ Ý ´¾µ Ø Ê Ø ¼ Ø  ´Ù´ Õµ   µ³ Ê Ø ¼ Ø  ³¾ · ¼ ´ ¾µ Û Ö Ø ÓÖ ØØ Ò ØÓÖ ¾ ´¼ ½µ × × Ð Ø ØÓ ÔÖÓÚ Ø ×Ø ÔÓ×¹ × Ð ÕÙ Ð ØÝ Ó Ø Ô Ö Ñ Ø Ö ×Ø Ñ Ø º Ê Ñ Ö ½ º ÆÓØ Ø Ø Ø ×Ø Ñ Ø ´ ¾µ Ñ Ý Ö ÛÖ ØØ Ò Ò Ø ÓÖÑ ´¾µ Ø Ø Ø Ø Ê Ø ¼ Ø  ´Ù´ Õµ   µ³   ½ Ø Ê Ø ¼ Ø  ³¾ · Û Ø Ö Ö Ø « Ö ÒØ Ø ÓÒ Ð × ØÓ Ø ÓÐÐÓÛ Ò « Ö ÒØ Ð ÓÖÑ Ó Ø Ð ÓÖ Ø Ñ ´ ¾µ Ø ´¾µ Ø ´Ù´ Õµ Ø   ´¾µ Ø ³Ø   ص³Ø Ø  Ø  ´ Ø³¾ · ÐÒ µ Ø  ¼  ½ ´ ¿µ Ü ÑÔÐ × º½ ËÙÔ Ö¹ØÛ ר Ò × Ç × ÖÚ Ö ÌÓ ÙÒ Öר Ò ËÙÔ Ö¹ÌÛ ×Ø Ò × Ç × ÖÚ Ö × Ò¸ ÓÒ× Ö Ô Ò ÙÐÙÑ ×Ýר Ñ Û Ø ÓÙÐÓÑ Ö Ø ÓÒ Ò ÜØ ÖÒ Ð Ô ÖØÙÖ Ø ÓÒ× Ú Ò Ý Ø ÕÙ ¹ Ø ÓÒ
  • 20.
    ½    Ä × Ò  Î× Â   È× Â × Ò´ µ · Ú ´ µ Û Ö Ø Ú ÐÙ × Å ½ ½¸ ½ ¸ Ä ¼ ¸  Åľ ¼ ½¸ ÎË ¼ ½ ¸ È× ¼ Û Ö Ø Ò Ò Ú × Ò ÙÒ ÖØ Ò ÜØ ÖÒ Ð Ô ÖØÙÖ Ø ÓÒ¸ Ú ½º ÁÒ Ø × ÑÙÐ Ø ÓÒ Ú Û × Ø Ò ØÓ Ú ¼ × Ò¾Ø · ¼ Ó× Øº Ä Ø Ø ×Ýר Ñ ´ µ Ö Ú Ò Ý Ø ØÛ ר Ò ÓÒØÖÓÐÐ Ö  ¿¼× Ò´   µ  ½ × Ò´   µ ´ µ Û Ö × ÒØ Ò Óר Ö Ø Ö Ö Ò × Ò Ð׺ Ì ×Ýר Ñ Ò Ö ÛÖ ØØ Ò × Ü½ ܾ ܾ ½    Ä × Òܽ   Î× Â Ü¾   È× Â × Ò´Ü¾µ · Ú Ì Ù׸ Ø ÔÖÓÔÓ× Ú ÐÓ ØÝ Ó × ÖÚ Ö ´× Ê Ñ Ö µ × Ø ÓÖÑ Ü½ ܾ · ´ · µ½ ¾ ܽ ½ ¾ × Ò´Ü½  Ü½µ ܾ ½ ÂÒ   ÄÒ × Òܽ   Î×Ò ÂÒ Ü¾ · ½ ½ · × Ò´Ü½  Ü½µ Û Ö ÅÒ ½¸ ÄÒ ½¸ ÂÒ ÅÒľ Ò ½¸ Î×Ò ¼ ¾¸ È×Ò ¼ Ö Ø ÒÓÛÒ ÒÓÑ Ò Ð Ú ÐÙ × Ó Ø Ô Ö Ñ Ø Ö׸ Ò · × ØÓ ×× Ò º ××ÙÑ Ð×Ó Ø Ø Ø × ÒÓÛÒ Ø Ø Ø Ö Ð Ô Ö Ñ Ø Ö× « Ö ÖÓÑ Ø ÒÓÛÒ Ú ÐÙ × Ý ÒÓØ ÑÓÖ Ø Ò ½¼±º Ì Ò Ø Ð Ú ÐÙ × Ü½ ܽ ¼ Ò Ü¾ ½¸ ܾ ¼ Û Ö Ø Ò Ø Ø ¼º Ë Ò ÐÓÒ × ØÓ Ø ÒØ ÖÚ Ð ¼ Ò ¾ ¸ ÐÓÒ × ØÓ ÓÑÔ Ø × Ø ´ Ö Ò µº Ì Ù׸ Ó Ú ÓÙ×Ðݸ Ø ÝÒ Ñ ×Ýר Ñ ´ µ × Á Ë ×Ø Ð º ×Ý Ð ÙÐ Ø ÓÒ× × ÓÛ Ø Ø Ø Ú Ò ÓÒØÖÓÐÐ Ö Ò×ÙÖ × ¸ Ò Ø Ò ÕÙ Ð ØÝ ¼ × × Ø ×¬ ¸ Û Ò Ø ÒÓÑ Ò Ð Ú ÐÙ × Ó Ø Ô Ö Ñ Ø Ö× Ò Ø Ö Ñ Ü Ñ Ð ÔÓ×× Ð Ú Ø ÓÒ× Ö Ø Ò ÒØÓ ÓÙÒØº Ì Ò Ü¾ ¼¸ ܾ ½ ¼ ÓÒ × Ø Ø ½    Ä × Òܽ   Î× Â Ü¾   È× Â × Ò´Ü¾µ · Ú   ½ ÂÒ · ÄÒ × Òܽ · Î×Ò ÂÒ Ü¾ ¼ · º Ì Ö ÓÖ ¸ Ø Ó × ÖÚ Ö Ô Ö Ñ Ø Ö× « Ò ¬ ½½ Û Ö Ó× Òº Ë ÑÙÐ Ø ÓÒ Ù×ØÑ ÒØ ´× Ê Ñ Ö ½µ × ÓÛ× Ø Ø · Ò Ø Ú ÐÙ × « Ò Ö ×ÙÆ ÒØº ÆÓØ Ø Ø Ø Ø ÖÑ× Å Ä Â × Òܽ Ò ½ Â Ö ÙÐÐÝ Ø Ò ÒØÓ ÓÙÒØ ÓÖ Ø Ó Ó Ø « Ö ÒØ ØÓÖ Ô Ö Ñ Ø Ö× ¾ Ù× Ò ÑÙ Ð Ö Ö Ó Æ ÒØ× ØÓ Ù× º Ì Ô Ö ÓÖÑ Ò Ó Ø Ó × ÖÚ Ö Û Ø Ø × ÑÔÐ Ò ÒØ ÖÚ Ð Æ ¼ ¼¼¼¼½ × × ÓÛÒ Ò º ½¸ Ø ¬Ò Ø ¹Ø Ñ ÓÒÚ Ö Ò Ó Ø ×Ø Ñ Ø Ú ÐÓ ØÝ ØÓ Ø Ö Ð ÓÒ × ÑÓÒ×ØÖ Ø Ò º ¾¸ Ò Ø º ¿ × ÓÛ× Ø ÓÒÚ Ö Ò Ò Ø ÔÐ Ò Ü½ Ú× Ü¾º ÓÖ Ô Ö Ñ ØÖ ÒØ ¬ Ø ÓÒ¸ ÓÒ× Ö Ø × Ò Û ÓÒÐÝ Ø ÖÝ Ö ¹ Ø ÓÒ Ô Ö Ñ Ø Ö × ÙÒ ÒÓÛÒº Ð×Ó ××ÙÑ Ø Ö Ö ÒÓ ÜØ ÖÒ Ð Ô ÖØÙÖ Ø ÓÒ× Ø Ò ÓÒ Ø ×Ýר Ѹ Ø × × Ú´Øµ ¼º Ì Ò Ø Ó × ÖÚ Ö Ò ÛÖ ØØ Ò × Ü½ ܾ · ¿ ´ · µ½ ¾ ܽ ½ ¾ × Ò´Ü½  Ü½µ ܾ ½    Ä × Òܽ   Î× Â Ü¾   È×Ò Â × Ò´Ü¾µ · ½ · × Ò´Ü½  Ü½µ ÆÓØ ¸ Ø Ø ÖÑ× Ô Ò ÒØ ÓÒ Ò Ü½ Ö ÒÓØ Ø Ò ÒØÓ ÓÙÒØ Û Ò Ó ¹ Ø Ò Ò · º ÁÒ Ø × × · ¼ ¿½¼¿ Ò « ½ ¿ Ò ¬ ½ ¾¼ º ÓÖ 332 A. Poznyak et al.
  • 21.
    Á ÒØ ¬Ø ÓÒ Ó È Ö Ñ Ø Ö× Ò ÝÒ Ñ ËÝר Ñ× ¿¿¿ 0 0.5 1 1.5 −0.2 0 0.2 0.4 0.6 0.8 1 1.2 t[s] θ 2 estimation error º ½º ר Ñ Ø ÓÒ ÖÖÓÖ ÓÖ Ü¾º 0 0.5 1 1.5 −0.2 0 0.2 0.4 0.6 0.8 1 1.2 t[s] θ2 θ2 estimated º ¾º Ê Ð Ò ×Ø Ñ Ø Ú ÐÓ ØÝº Ø × Ô Ö Ñ Ø Ö Ú ÐÙ × Ø ×ÝÑÔØÓØ ÓÒÚ Ö Ò Ó Ø Ô Ö Ñ Ø Ö ÒØ ¹ ¬ Ø ÓÒ Ð ÓÖ Ø Ñ ´½ µ¸ ´½ µ × × ÓÛÒ Ò º ¸ Ò Ø ¬ÐØ Ö Ò ÓÒ Ø ÓÒ × × ÓÛÒ Ò º º Ì ×ÝÑÔØÓØ ÓÒÚ Ö Ò × ÓÛÒ Ò º ÐÐÓÛ× Ù× ØÓ ¬Ò Ø Ú ÐÙ Ó Ø Ô Ö Ñ Ø Ö ¡ È× Â   È× Â º
  • 22.
    −2 0 24 6 8 10 12 14 16 x 10 −3 −0.2 0 0.2 0.4 0.6 0.8 1 1.2 x1 estimation error x2 estimationerror º ¿º Ö Ô Ó Ü½ Ú× Ü¾º 0 5 10 15 20 25 30 0 1 2 3 4 5 6 7 t[s] [Kgm2 /s2 ] Estimación del Parámetro º º È Ö Ñ Ø Ö ×Ø Ñ Ø ÓÒ ¡È× Â º¾ Ì Ñ ¹Î ÖÝ Ò Å ØÖ Ü ´Øµ Ó × ÖÚ Ø ÓÒ Ì ÄÌÎ ×Ýר Ñ Ò ´ µ¸ ´ ¾µ Ò ´ ¼µ × ÓÒ× Ö Û Ò Ò ¾¸ ܽ´¼µ ¿ ¼¸ ܾ´¼µ ¸ ´Øµ ¼ Ò × ÑÙÐ Ø Û Ø ´Øµ × Ù×× Ò ÒÓ × Ú ØÓÖ Û Ø Þ ÖÓ Ñ Ò Ò ¼º¼¾ ר Ò Ö Ú Ø ÓÒº Ì ÙÒ ÒÓÛÒ Ø Ñ ¹Ú ÖÝ Ò Ô Ö Ñ ¹ Ø Ö× ¼´Øµ Ò ½´Øµ Ö ¬Ò Ò Ø × ÑÙÐ Ø ÓÒ׺ 334 A. Poznyak et al.
  • 23.
    Á ÒØ ¬Ø ÓÒ Ó È Ö Ñ Ø Ö× Ò ÝÒ Ñ ËÝר Ñ× ¿¿ 0 5 10 15 20 25 30 −4 −3 −2 −1 0 1 2 3 4 5 6 t[s] 1/t ∫ ε φ º º Ì Ú ÐÙ Ó ½ Ø Ê ´ µ³´ µÌ º ¼´Øµ ¼ ½  ¼ ¾ ¡½´Ø  ¾µ · ¼ ¿ ¡½´Ø   µ· ½´Ø  ¾ µ  ½´Ø  ¿ µ ¼ ½× Ò½¼Ø ½´Øµ ¼ ¾ · ¼ ¾ ¡½´Ø  ½ µ  ¼ ¿ ¡½´Ø  ¿µ· ½´Ø  ½ µ  ½´Ø  ¾ µ ¼ ¾× Ò¾¼Ø ´ µ Ì × ÑÙÐ Ø ÓÒ× Û Ö Ô Ö ÓÖÑ Ù× Ò Ò ÙÐ Ö Ñ Ø Ó Û Ø ×Ø Ô × Þ ½¼  º ØÖ Ø ÓÒ Ð ËÅ ¹ × Ô Ö Ñ Ø Ö Ó × ÖÚ Ö × × Ò Ò ´¿ µ Ò ´ ¼µ Û Ø ÓÒØÖÓÐ Ù ½¼× Ò´ µ ½ ¾ ´ µ Ì ÄÈ ÝÒ Ñ × × Ø Ò Ò ØÖ Ò× Ö ÙÒ Ø ÓÒ ÓÖÑ Ø × ½ ´¼ ¼¼ × · ½µº Ì Ö ×ÙÐØ× Ó Ø × ÑÙÐ Ø ÓÒ× ØÓ Ó Ø Ò Ø ×Ø Ñ Ø × Ó ¼´Øµ Ò ½´Øµ Ú Ø Ô Ö Ñ Ø Ö Ó × ÖÚ Ö ´¿ µ Ò ´ ¼µ Ö × ÓÛÒ Ò ÙÖ × Ò º À ÙÖ Ý¸ ÖÓ Ù×ØÒ ×× ØÓ ÒÓ × ¸ Û Ø ÞÓÒ ÓÒÚ Ö Ò × ÓÒ¬ÖÑ º Ì Ö ÕÙ Ò Ý ÓÒØÖÓÐ ×Û Ø Ò × × Ò ¬ ÒØÐÝ ØØ ÒÙ Ø Ý Ø ÄÈ º Ì ËÇËŹ × Ô Ö Ñ Ø Ö Ó × ÖÚ Ö × × Ò Ò ´ ¾µ¹´ µ Û Ø ÓÒØÖÓÐ Ù ¼ ½ ¾ × Ò´ µ · ½¼Ú Ú × Ò´ µ ½ ¾ ´ µ ÁÒ ÓÖ Ö ØÓ Ö Ù « Ø Ó Ø Ñ ×ÙÖ Ñ ÒØ ÒÓ × Ø ÓÒØÖÓÐ ÙÒ Ø ÓÒ× ´ µ Û Ö ¬ÐØ Ö Ý Ø ÄÈ ¸ Û Ö Ø ÝÒ Ñ × Ö Ø Ò Ò ØÖ Ò× Ö ÙÒ Ø ÓÒ ÓÖÑ Ø ½ ´¼ ¼¼ × · ½µ º Ì × ÑÙÐ Ø ÓÒ× Û Ö Ô Ö ÓÖÑ Ù× Ò Ò ÙÐ Ö Ñ Ø Ó Û Ø ×Ø Ô × Þ ½¼  º Ì Ö ×ÙÐØ× Ó Ø × ÑÙÐ Ø ÓÒ× ÓÖ Ø Ô Ö Ñ Ø Ö Ó × ÖÚ Ö ´ ¾µ¹´ µ¸ ´ µ Ö × ÓÛÒ Ò ÙÖ × Ò º À ¹ ÙÖ Ý¸ ÖÓ Ù×ØÒ ×× Û Ø Ö ×Ô Ø ØÓ ÒÓ × ×Ø Ñ Ø × Û Ø ÞÓÒ ÓÒÚ Ö Ò × ÓÒ¬ÖÑ º
  • 24.
    º¿ ÓÒר ÒØÅ ØÖ Ü Ç × ÖÚ Ø ÓÒ Ð ÓÖ Ø Ñ Ì ÆÒ ×Ýר Ñ Ò ´½µ × ÓÒ× Ö ÓÖ Ò ¾ ܽ´¼µ ¿ ¼ ܾ´¼µ ¸ ³½´Üµ ܽ · ¼ ¾× Òܾ ³¾´Üµ ܾ · ¼ ¿× Òܽ ¼ ؽ ¼ × Ø¾ ¼× Ò × ÑÙÐ Ø Û Ø ´Øµ × Ù×× Ò ÒÓ × Ú ØÓÖ Û Ø Þ ÖÓ Ñ Ò Ò ¼º¼¼¾ ר Ò Ö Ú Ø ÓÒº Ì ÙÒ ÒÓÛÒ Ñ ØÖ Ü × ¬Ò Ò Ø × ÑÙÐ Ø ÓÒ× ×  ½ ¿¼ ½ ¼ ¿ ¿¼   ¼ ´ µ Ì × ÑÙÐ Ø ÓÒ× Û Ö Ô Ö ÓÖÑ Ù× Ò Ò ÙÐ Ö Ñ Ø Ó Û Ø ×Ø Ô × Þ ½¼  Ú ËÅ ¹ × Ò ËÇËŹ × Ô Ö Ñ Ø Ö ×Ø Ñ Ø ÓÒ× Ð ÓÖ Ø Ñ Û Ø ÓÒ¹ ØÖÓÐ× Ú Ò Ý ´ µ Ò ´ µº Ì Ö ×ÙÐØ× Ö ÔÖ × ÒØ Ò Ì Ð × ½ Ò ¾ Ì Ð ½ ËÇËÅ Ó × ÖÚ Ö ÆÓ Ñ ×ÙÖ Ñ ÒØ ÒÓ × Ù×× Ò Ñ ×ÙÖ Ñ ÒØ ÒÓ ×  ½ ¿¾ ½ ¿ ¿   ¼  ½ ½ ½ ¿ ¿ ¼½   ¿½ Ì Ð ¾ ËÇËÅ Ó × ÖÚ Ö ÆÓ Ñ ×ÙÖ Ñ ÒØ ÒÓ × Ù×× Ò Ñ ×ÙÖ Ñ ÒØ ÒÓ ×  ½ ¾ ½ ¿ ¿½   ½  ½ ¾¾ ½ ¼ ¿ ½   × ÓÒ ÙÖ × ¹ Ò Ì Ð × ½ Ò ¾ ÓÒ Ò ÓÒ ÐÙ Ø Ø ÓØ й ÓÖ Ø Ñ× ÔÖÓÚ ÖÓ Ùר ØÓ ÒÓ × Ô Ö Ñ Ø Ö ×Ø Ñ Ø ×º Ì ÙÖ Ý Ó Ø Ô Ö Ñ Ø Ö ×Ø Ñ Ø ÓÒ Ú Ý Ø ËÇËŹ × ×Ø Ñ ØÓÖ × Ö Ø Ò Ø ÓÒ Ú Ú ØÖ Ø ÓÒ Ð ËÅ ¹ × Ó × ÖÚ Öº º º ר Ñ Ø ÓÒ Ó ¼ Ú Ø ØÖ Ø ÓÒ Ð ËÅ ¹ × Ô Ö Ñ Ø Ö Ó × ÖÚ Ö 336 A. Poznyak et al.
  • 25.
    Á ÒØ ¬Ø ÓÒ Ó È Ö Ñ Ø Ö× Ò ÝÒ Ñ ËÝר Ñ× ¿¿ º º ר Ñ Ø ÓÒ Ó ½ Ú Ø ØÖ Ø ÓÒ Ð ËÅ ¹ × Ô Ö Ñ Ø Ö Ó × ÖÚ Ö º º ר Ñ Ø ÓÒ Ó ¼ Ú Ø ËÇËŹ × Ô Ö Ñ Ø Ö Ó × ÖÚ Ö º Ë Ð Ö È Ö Ñ Ø Ö Á ÒØ ¬ Ø ÓÒ Ó ËØÓ ×Ø ËÝר Ñ× º Ë ÑÙÐ Ø ÓÒ × Ø ÙÔ µ Ë Ð Ø Ò ´½µ Ø × ×Ø Ô¹ ÙÒ Ø ÓÒ Û Ø Ð Ú Ð× × Ò ÙÖ × ½¿ Ò ½ µ Ø ½¼× Ò´¿Øµ · ½¾ ¼ ¾ ³´Üµ Ü µ Ì ¬ ¼ ¼½ ¼ ¼¼½  ½ ½¼¼ · ¾ · ¾ Ò ´ µº µ ÌÓ Ö ØÖ Ú Ù´ Õµ Ø ¸ Ø ÓÒØÖÓÐ Ø ÓÒ ÙØ Ò ´ µ × ÔÖÓ ×× Ý ÐÓÛ Ô ×× ¬ÐØ Ö Ù´ Õµ Ø  Ù´ Õµ Ø · ÙØ ´ ¼µ Û Ø ¼ ¼
  • 26.
    º º ×ØÑ Ø ÓÒ Ó ½ Ú Ø ØÖ Ø ÓÒ Ð ËÇËŹ × Ô Ö Ñ Ø Ö Ó × ÖÚ Ö Ì Ö ×ÙÐØ× Ó Ø × ÑÙÐ Ø ÓÒ× Ö × ÓÛÒ Ò ÙÖ × ½¼¹½ º ÖÓÑ ÙÖ ½¼ ÓÒ Ò × Ø Ø Ø ×Ø Ø ×Ø Ñ ØÓÖ ´ µ ÔÖ Ø ÐÐÝ Ü ØÐÝ ÓÐÐÓÛ× Ø Ú Ò ÝÒ Ñ × Ò ´ µ ÓР׺ À Ö ÕÙ Ò Ý ×Û Ø Ò ÓÒØÖÓÐ ´ ¿µ Ò Ø ×Ð Ò ÑÓ ¸ ¡Ø × ¼ ÓÖ ÐÐ Ø Ø × Ò ÙÖ ½½º ÓÒØÖ ÙØ ÓÒ Ó Ø Ø ÖÑ Ø× ÒÜØ × Ð ÖÐÝ Ó × ÖÚ º Ì ÕÙ Ú Ð ÒØ ÓÒØÖÓÐ × ÑÓÒ×ØÖ Ø Ò ÙÖ ½¾º ÇÒ Ò × Ö × Ù Ð Ó ×ØÓ ×Ø ÝÒ Ñ × Ò Ö ÕÙ Ò Ý ÓÒØÖÓк Ì Ö ×ÙÐØ× Ó Ø Ø Ñ ¹Ú ÖÝ Ò Ô Ö Ñ Ø Ö ÒØ ¬ Ø ÓÒ Ò ×ØÓ ×Ø ×Ýר Ñ Ù× Ò Ø Ð ÓÖ Ø Ñ ´ ½µ Ö × ÓÛÒ Ò ÙÖ ½¿º ÇÒ Ò × Ø Ö × Ù Ð « Ø Ó ×ØÓ ×Ø ÔÖÓ ×× Ò Ö ÕÙ Ò Ý ×Û Ø Ò ÓÒØÖÓк ÙÖ ½ Ô Ø× Ø ×Ø Ñ Ø ´ ¿µ Ù× Ò Ø ÄËÅ Ñ Ø Ó Û Ø Ø ÓÖ ØØ Ò ØÓÖ ½ º Ì ÕÙ Ð ØÝ Ó ÓØ Ô Ö Ñ Ø Ö ÒØ ¬ Ø ÓÒ Ð ÓÖ Ø Ñ× × Ò Ú ÐÙ Ø Ù× Ò Ø ÓÐÐÓÛ Ò Ô Ö ÓÖÑ Ò Ò Ü Â´ µ Ø ½ Ø · Ø ¼   ´ µ ¾ ¼ ¼¼¼½ ½ ¾ × ÓÒ Ø Ö ×ÙÐØ× Ó Ø × ÑÙÐ Ø ÓÒ× Û Ó Ø Ò Â´½µ Ø ¾¼ ¼ ½½¼ ´¾µ Ø ¾¼ ¼ ¼¼ ¼¼½ Ì × × ÓÛ× Ø Ø Ø ÄÅ˹ÔÖÓ ÙÖ Û Ø Ø ÓÖ ØØ Ò ØÓÖ Ô Ö ÓÖÑ× × ¹ Ò ¬ ÒØÐÝ ØØ Ö Ø Ò Ø Ö Ø Ñ Ø Ó º ÓÒ ÐÙ× ÓÒ Ì × ÔØ Ö ÑÓÒ×ØÖ Ø × ÓÛ ÑÓ ÖÒ ÔÔÖÓ × ×Ù × ËÐ Ò ÅÓ Ø Ò ÕÙ × ×Ù ×× ÙÐÐÝ ÛÓÖ Û Ò ÔÔÐ ØÓ ØÖ Ø ÓÒ Ð ¬ Ð Ó Ð ×× Ð 338 A. Poznyak et al. º Ë ÑÙÐ Ø ÓÒ Ö ×ÙÐØ×
  • 27.
    Á ÒØ ¬Ø ÓÒ Ó È Ö Ñ Ø Ö× Ò ÝÒ Ñ ËÝר Ñ× ¿¿ º ½¼º Ì ØÖ ØÓÖ × ÜØ Ò ÜØ º ½½º ÓÒØÖÓÐ ÙØ ÓÒØÖÓÐ Ø ÓÖÝ × Ø ÒØ ¬ Ø ÓÒ Ó Ô Ö Ñ Ø Ö× Ó Ç × Û Ø Ø ÖÑ Ò ×¹ Ø ÓÖ Ú Ò ×ØÓ ×Ø ÒÓ × º Ì × ÔÔÖÓ ÔÖÓÚ × Ò Ü Ø Ö Ú Ø Ú ´ÓÖ¸ « Ö ÒØ Ð Ò Ø ×ØÓ ×Ø × µ ר Ñ Ø Ò ¬Ò Ø ´×Ñ ÐÐ ÒÓÙ µ Ø Ñ Ø Ø Ô ÖÑ Ø× Ö ÖÖ Ò Ñ ÒØ Ó Ø Ò Ø Ð ÝÒ Ñ × ØÓ Ø ×Ø Ò Ö Ö Ö ×× ÓÒ ÓÖѺ Ï Ò Ö ÔÖ × ÒØ Ò Ø × ÓÖÑ Ø ÒØ ¬ Ø ÓÒ ÔÖÓ Ð Ñ× Ñ Ø Ø ÔÔÐ ¹ Ø ÓÒ Ó ×Ø Ò Ö ×Ø Ñ Ø ÓÒ Ø Ò ÕÙ × ×Ù × × ÑÔÐ Ú Ö× ÓÒ Ó ÄËÅ ÓÖ ÄËÅ Û Ø Å ØÖ Ü ÓÖ ØØ Ò º Ë Ú Ö Ð ÒÙÑ Ö Ð Ü ÑÔÐ × × ÓÛ Ø « Ø Ú Ò ×× Ó Ø × ÒÓÒ¹×Ø Ò Ö Ø Ò ÕÙ º
  • 28.
    º ½¾º ÕÙÚ Ð ÒØ ÓÒØÖÓÐ Ó Ø Ò Ý Ø ¬ÐØ Ö ´ ¼µº º ½¿º Ì Ø Ñ ¹Ú ÖÝ Ò Ô Ö Ñ Ø Ö Ø ´Ø ר Ô¹ ÙÒ Ø ÓÒµ Ò Ø× ר Ñ Ø ´½µ Ø Ê Ö Ò × ½º º º Ð ÔÔÓÚ¸ « Ö ÒØ Ð ÕÙ Ø ÓÒ× Û Ø × ÓÒØ ÒÙÓÙ× Ê Ø¹ Ò Ë ×¸ ÓÖ¹ Ö Ø¸ Ì Æ Ø ÖÐ Ò × ÃÐÙÛ Ö Ñ ÈÙ Ð × Ö× ½ º ¾º º Ä Ú ÒØ¸ ÊÓ Ùר Ü Ø « Ö ÒØ Ø ÓÒ Ú ×Ð Ò ÑÓ Ø Ò ÕÙ ¸ ÙØÓÑ Ø ¸ ¿ ´¿µ¸ ½ ¸ ÔÔº ¿ ¹¿ º ¿º ̺ ËÓ ÖרÖÓѸ Ⱥ ËØÓ ¸ ËÝר Ñ Á ÒØ ¬ Ø ÓÒ¸ ÈÖ ÒØ À ÐÐ ÁÒØ ÖÒ Ø ÓÒ Ð ½ º º κ ÍØ Ò¸ ËÐ Ò ÅÓ × ÓÒØÖÓÐ Ò Ì Ö ÔÔÐ Ø ÓÒ× ØÓ Î Ö Ð ËØÖÙ ØÙÖ ËÝר Ñ׸ Å Ö¸ ÅÓ× ÓÛ¸ ½ º 340 A. Poznyak et al.
  • 29.
    Á ÒØ ¬Ø ÓÒ Ó È Ö Ñ Ø Ö× Ò ÝÒ Ñ ËÝר Ñ× ¿ ½ º ½ º Ì Ø Ñ ¹Ú ÖÝ Ò Ô Ö Ñ Ø Ö Ø´Ø ×Ø Ô¹ ÙÒ Ø ÓÒµ Ò Ø× ר Ñ Ø ´¾µ Ø º κ ÍØ Ò¸ º ÙÐ Ò Ö¸ º Ë ¸ ËÐ Ò ÅÓ ÓÒØÖÓÐ Ò Ð ØÖÓÑ Ò Ð ËÝר Ñ׸ ÄÓÒ ÓÒ¸ ÍÃ Ì ÝÐÓÖ ² Ö Ò × ½ º º º Û Ö × Ò Ëº ËÔÙÖ ÓÒ¸ ËÐ Ò ÅÓ ÓÒØÖÓи Ì ÝÐÓÖ ² Ö Ò ×¸ Ö ×ØÓи È ¸ ½ º º º ÃÓ× ÓÙ Ò º ÒÓ Ö¸ ËÐ Ò ÑÓ Ó × ÖÚ Ö× ÓÖ Ð ×× Ó ÒÓÒÐ Ò Ö ×Ýר Ñ׸ ÈÖÓ Ò × Ó Ñ Ö Ò ÓÒØÖÓÐ ÓÒ Ö Ò ¸ ¾¼¼¾¸ ÔÔº ¾½¼ ¹ ¾½½½º º º ÐÓÖ Ø¹ÈÓÒØ ظ º Ä ÑÒ ¹Ä ÖÖ Ù ¸ È Ö Ñ Ø Ö Á ÒØ ¬ Ø ÓÒ Å Ø Ó ¹ ÓÐÓ Ý Í× Ò ËÐ Ò ÅÓ Ç × ÖÚ Ö× ¸ ÁÒØº ÂÓÙÖÒ Ð Ó ÓÒØÖÓи ÚÓк ¸ ÆÓº ½ ¸ ¾¼¼½¸ ÔÔº ½ ¿¹½ ¿º º º Ä Ú ÒØ¸ ÊÓ Ùר Ü Ø « Ö ÒØ Ø ÓÒ Ú ×Ð Ò ÑÓ Ø Ò ÕÙ ¸ ÙØÓÑ Ø¹ ¸ ¿ ´¿µ¸ ½ ¸ ÔÔº ¿ ¹¿ º ½¼º ĺ Ä ÙÒ ¸ ³ ×ÝÑÔØÓØ Ú ÓÖ Ó Ø ÜØ Ò Ã ÐÑ Ò ÐØ Ö × È Ö Ñ ¹ Ø Ö ×Ø Ñ ØÓÖ ÓÖ Ä Ò Ö ËÝר Ñ׳¸ Á ÌÖ Ò׺ ÙØº ÓÒØÖÓи ¹¾ ¸ ¿ ¹ ¼¸ ´½ µº ½½º ĺ Ä ÙÒ ¸ Ò Ëº ÙÒÒ Ö××ÓÒ¸ ³ ÔØ Ø ÓÒ Ò ÌÖ Ò Ò ×Ýר Ñ Á ÒØ ¬ Ø ÓÒ ¹ ËÙÖÚ Ý³¸ ÙØÓÑ Ø ¸ ¾ ¸ ¹¾½¸ ´½ ¼µº ½¾º Ⱥ Ý Ó«¸ Ò Èº º È Ö ×¸ ³Á ÒØ ¬ Ø ÓÒ Ò ËÝר Ñ È Ö Ñ Ø Ö ×Ø Ñ Ø ÓÒ Ï Ö Ó Ï ËØ Ò ÆÓÛ ³ ´ ØÓÖ Ðµ¸ ÙØÓÑ Ø ¸ ¾ ¸ ¿¹ ¸ ´½ ¼µº ½¿º º Ä Ò Àº º Ò¸ Á ÒØ ¬ Ø ÓÒ Ò ËØÓ ×Ø ÔØ Ú ÓÒØÖÓк ÓרÓÒ Ö Ù× Ö¸½ ½º ½ º Ϻ ĺ ÖÓ Ò¸ ÅÓ ÖÒ ÓÒØÖÓÐ Ì ÓÖݸ ¿Ö Ø ÓÒ¸ ÈÖ ÒØ À Ðи Æ Û Â Ö× Ý¸ ½ ½º ½ º º º Ë Ø ×× Ð¸ Ò º ˺ ÈÓÞÒÝ ¸ È Ö Ñ Ø Ö Á ÒØ ¬ Ø ÓÒ Ó ÆÒ Ì Ñ Î ÖÝ Ò ËÝר Ñ× Í× Ò ÌÖ Ø ÓÒ Ð Ò À ÇÖ Ö ËÐ Ò ÅÓ ×¸ ÈÖÓ Ò × Ó Ñ Ö Ò ÓÒØÖÓÐ ÓÒ Ö Ò ¸ ÚÓк ¸ ¾¼¼ ¸ ÔÔº ¾ ¿¿¹¾ ¿ º ½ º º º Ë Ø ×× Ð¸ Ò º ˺ ÈÓÞÒÝ ¸ È Ö Ñ Ø Ö ÒØ ¬ Ø ÓÒ Ó Ð Ò Ö Ø Ñ Ú ÖÝ Ò ×Ýר Ñ× Ú ØÖ Ø ÓÒ Ð Ò ÓÖ Ö ×Ð Ò ÑÓ ×¸ ÈÖÓ Ò × Ó Ø ÁÒØ ÖÒ Ø ÓÒ Ð ÏÓÖ × ÓÔ ÓÒ Î Ö Ð ËØÖÙ ØÙÖ ËÝר Ñ׸ ËÔ Ò¸ Î ÐÐ ÒÓÚ ¸ Ë ÔØ Ñ Ö ¹ ¸ ¾¼¼ º
  • 30.
    ½ º źº ÙÒ Ò ÌºËº À Ò¸ Ê Ð Ø Ñ Ô Ö Ñ Ø Ö× ÒØ ¬ Ø ÓÒ Ó × Ô ÝÒ Ñ Ù× Ò Ø ÜØ Ò Ã ÐÑ Ò ¬ÐØ Ö Ò Ø × ÓÒ ÓÖ Ö ¬ÐØ Ö¸ Á ÓÒ Ö Ò º ÓÒ ÓÒØÖÓÐ ÔÔÐ Ø ÓÒ× ¹ ÈÖÓ Ò ×¸ κ¾¸ ¾¼¼¿¸ ÔÔº ½¾ ¹½¾ ¼º ½ º º ˺ ÈÓÞÒÝ ¸ Ò Âº Šи Å ØÖ Ü ÓÖ ØØ Ò ØÓÖ¸ ÁÒØº ÂÓÙÖÒ Ð Ó ËÝ×¹ Ø Ñ× Ë Ò ¸ ÚÓк ¿¼¸ ÆÓ ¾¸ ½ ¸ ÔÔº ½ ¹½ º ½ º º ˺ ÈÓÞÒÝ ¸ Ò Âº Šи Å ØÖ Ü ÓÖ ØØ Ò Û Ø ÔØ Ø ÓÒ¸ ÁÒØº ÂÓÙÖÒ Ð Ó ËÝר Ñ× Ë Ò ¸ ÚÓк ¿¼¸ ÆÓº ¸ ½ ¸ ÔÔº ¹ º ¾¼º º ˺ ÈÓÞÒÝ ¸ ³ ר Ñ Ø Ò È Ö Ñ Ø Ö× Ó ÙØÓÖ Ö ×× ÓÒ ÈÖÓ ×× Ý Ø Å Ø Ó Ó Ä ×Ø ËÕÙ Ö ×³¸ ÁÒØº º Ë Áº¸ ½ ¼¸ ½½¸ ¹ º ¾½º ˺ Ë ÓÐ ×РѸ ³Ç × ÖÚ Ö × È Ö Ñ Ø Ö Á ÒØ ¬ Ö ÓÖ ÆÓÒÐ Ò Ö ËÝר Ñ× Û Ø È Ö Ñ Ø Ö Ô Ò Ò ×³¸ Á ÌÖ Ò׺ ÙØº ÓÒØÖÓи ¹ ¼¸ ¿ ¾¹ ¸ ½ º ¾¾º ËÓÒ ¸ º º¸ ÔØ Ú È Ö Ñ Ø Ö ×Ø Ñ ØÓÖ× ÓÖ Ð ×× Ó ÆÓÒÐ Ò Ö ËÝר Ñ׸ ÁÒØº º ÔØº ÓÒØÖÓÐ Ë Ò Ð ÈÖÓ ×׺¸ ½½¸ ½¹ ¸ ½ º ¾¿º º ˺ ÈÓÞÒÝ ¸ ËØÓ ×Ø ÓÙØÔÙØ ÒÓ × « Ø× Ò ×Ð Ò ÑÓ ×Ø Ø ×Ø Ñ Ø ÓÒ¸ ÁÒØº ÂÓÙÖÒ Ð ÓÒØÖÓи ÚÓк ¸ »½¼¸ ¾¼¼¿¸ ÔÔº ¹½¼¼¼º ¾ º º Ò×ÓÙ×× Ò¸ ËØÓ ×Ø ÓÒØÖÓÐ Ó È ÖØ ÐÐÝ Ç × ÖÚ Ð ËÝר Ñ׸ Ñ Ö ÍÒ Ú Ö× ØÝ ÈÖ ×׸ Ñ Ö ¸ Íø ½ ¾º ¾ º ź × Ò¸ Å º Ö ¸ ÇÔØ Ñ Ð ¬ÐØ Ö Ò Ò ÓÒØÖÓÐ ÓÖ Ø Ö Ö ÔÓÐݹ ÒÓÑ Ð ×Ýר Ѹ ÝÒ Ñ × Ó ÓÒØ ÒÙÓÙ׸ × Ö Ø ¸ Ò ÁÑÔÙÐ× Ú ËÝר Ñ׸ ÚÓк ½¼ ¸ ¾¼¼¿¸ ÔÔº ¿¹ ¼º ¾ º ź × Ò¸ ÇÔØ Ñ Ð ¬ÐØ Ö Ò ÓÖ ÔÓÐÝÒÓÑ Ð ×Ýר Ñ ×Ø Ø ×¸ ËÅ ÌÖ Ò× Ø ÓÒ׺ º Ó ÝÒ Ñ ËÝר Ñ׸ Å ×ÙÖ Ñ ÒØ¸ Ò ÓÒØÖÓи ÚÓк ½¾ ¸ ¾¼¼¿¸ ÔÔº ½¾¿¹½¾ º ¾ º ź κ × Ò Ò Åº Ë Ð Ö¸ ÇÔØ Ñ Ð ¬ÐØ Ö Ò ÓÖ Ô ÖØ ÐÐÝ Ñ ×ÙÖ ÔÓÐÝÒÓÑ Ð ×Ýר Ñ ×Ø Ø ×¸ ÈÖÓ Ò × Ó Ñ Ö Ò ÓÒØÖÓÐ ÓÒ Ö Ò ¸ ÚÓк ¸ ¾¼¼ ¸ ÔÔº ¼¾¾¹ ¼¾ º ÔÔ Ò Ü ÔÖÓÓ × ÈÖÓÓ Ó Ì ÓÖ Ñ ½º Ì Ü ×Ø Ò Ó ×Ð Ò ÑÓ Ò Ø Ó × ÖÚ Ö ´ µ × ØÓ ÔÖÓÚ º ÓÖ Ø ×Ð Ò Ú Ö Ð ÝÒ Ñ × Ó Ø Ò ÖÓÑ ´½µ Ò ´ µ ³Ø´Üµ · شܵ  Ù ´ ½µ Ì ÓÒØÖÓÐ ÙÒ Ø ÓÒ ´ µ Ñ × Ø Ò ÕÙ Ð ØÝ Î   Ô ¾Î ´ ¾µ Ú Ð ¸ Û Ö Î ½ ¾ Ì ´ ¿µ × ÄÝ ÔÙÒÓÚ ÙÒ Ø ÓÒ ÓÖ ´ ½µº Ì × Ñ Ò× Ø Ø Ø ÓÖ Ò Ó ´ ½µ × ÐÓ ÐÐÝ ×ÝÑÔØÓØ ÐÐÝ ×Ø Ð Û Ø ¬Ò Ø Ö Ò Ø Ñ ØÖ Ô ¾Î ´¼µ ´¼µ ´ µ 342 A. Poznyak et al.
  • 31.
    Á ÒØ ¬Ø ÓÒ Ó È Ö Ñ Ø Ö× Ò ÝÒ Ñ ËÝר Ñ× ¿ ¿ Ì Ù× ×Ð Ò ÑÓ Ü ×Ø× Ò Ø Ó × ÖÚ Ö ´ µ Ø ØÖ Ò Ø ÕÙ Ú Ð ÒØ ÓÒØÖÓÐ Ù Õ Ø Ø Ø × Ø ×¬ × ¼ ¹ Ó Ý× Ø ÓÐÐÓÛ Ò ÕÙ Ø ÓÒ Ù Õ ³Ø´Üµ · شܵ ´ µ Ì Ú Ð ØÝ Ó ´ µ Ò × ØÓ ÑÓÒ×ØÖ Ø º ÁÒ ¸ Ø Ö ÓÑÔÙØ Ò Ù Õ Ø¸ ³Ø´Üµ Ò Ø´Üµ Ø Ø Ø Ñ Òר Ò × Ø½ ØÒ Û Ø ¸ ؽ ؼ ØÖ Õº ´ µ Ò Ö ÛÖ ØØ Ò × Í Õ ´Ø½ ØÒµ ¨´Ø½ ØÒµ · ©´Ø½ ØÒµ ´ µ Ò Ý Ð × ´ µº ÈÖÓÓ Ó Ì ÓÖ Ñ ¾º Ì Ü ×Ø Ò Ó × ÓÒ ÓÖ Ö ×Ð Ò ÑÓ Ò Ø Ó × ÖÚ Ö ´½¾µ¹´½ µ × ØÓ ÔÖÓÚ º ÁÒ ¸ Ø × Û ÐÐ ÒÓÛÒ Ø Ø ×ÓÐÙØ ÓÒ ÞØ ¾ Ê Ò Ø× Ö Ú Ø Ú ÞØ Ó Ø « Ö ÒØ Ð ÕÙ Ø ÓÒ Þ · « Þ ½ ¾ × Ò´Þµ · ¬ × Ò´Þµ Ø ´ µ ÓÒÚ Ö × ØÓ Þ ÖÓ Ò ¬Ò Ø Ø Ñ « ¼ Ô Ò ¬ Û Ø Ø º Ì ÝÒ Ñ × Ó Ø ×Ð Ò Ú Ö Ð × Ó Ø Ò ÖÓÑ ´½µ Ò ´½ µ ³Ø´Üµ · شܵ  Ù ´ µ Û Ö ×Ø Ò × ÓÖ Ø Ø ÖÓÛ Ó Ø Ñ ØÖ Ü Ò Ø´Üµ × Ø Ø ÓÓÖ Ò Ø Ó Ø Ú ØÓÖ Ø´Üµº ËÙ ×Ø ØÙØ Ò Ø ÓÒØÖÓÐ ÙÒ Ø ÓÒ ´½¾µ ÒØÓ ´ µ Ý Ð × · « ½ ¾ × Ò´ µ · ¬ × Ò´ µ Ø ³Ø´Üµ ´ µ Ý ÓÑÔ Ö Ò ´ µ Ò ´ µ ÓÒ Ò ÓÒ ÐÙ Ø Ø Õº ´ µ ÓÒÚ Ö × ØÓ Ø × ÓÒ ÓÖ Ö ×Ð Ò ÑÓ ¼ Ò ¬Ò Ø Ö Ò Ø Ñ ØÖ ÓÖ « Ò ¬ × Ð Ø ÖÓÑ ´½¿µº ÁÒ Ø × ÓÒ ÓÖ Ö ×Ð Ò ÑÓ Õº ´ µ ÓÑ × ³Ø´Üµ · شܵ  Ù ¼ ´ ¼µ Ì Ú Ð ØÝ Ó ´½¼µ × ØÓ ÑÓÒ×ØÖ Ø º ÁÒ ¸ Ø Ö ÓÑÔÙØ Ò ÙØ¸³Ø´Üµ Ò Ø´Üµ Ø Ø Ø Ñ Òר Ò × Ø½ ØÒ Û Ø Ø½ ؼ ØÖ Ñ Ü ½ ÒØÖ ¸ Õº ´ ¼µ × Ö ÛÖ ØØ Ò × ¨´Ø½ ØÒµ · ©´Ø½ ØÒµ  Í´Ø½ ØÒµ ¼ ´ ½µ Ò Ý Ð × ´¿ µº ÈÖÓÓ Ó Ì ÓÖ Ñ ¿º ÌÓ ÔÖÓÚ Ø ÓÒÚ Ö Ò Ó Ø ×Ø Ø ×Ø Ñ Ø × ØÓ Ø Ö Ð ×Ø Ø ×¸ Ø × Ò ×× ÖÝ ØÓ ÔÖÓÚ ¬Öר Ø ÓÒÚ Ö Ò Ó Ü½ Ò Ü½ ØÓ Þ ÖÓº ××ÙÑ Ø ¬Öר Ø Ø ´¾¼µ ÓÐ × ÐÐ Ø Ø Ñ ´ Ø Û ÐÐ ÔÖÓÚ ÙÖØ Öµº ÁØ ÓÐÐÓÛ× ÖÓÑ ´½ µ Ò ´¾¼µ¸ Ø Ø Ø ×Ø Ñ Ø ÓÒ ÖÖÓÖ× Ü½ Ò Ü¾ × Ø × Ý Ø « Ö ÒØ Ð Ò ÐÙ× ÓÒ
  • 32.
    ܽ ܾ  ¬Ü½ ½ ¾ × Ò´Ü½µ ܾ ¾   · · ·  «× Ҵܽµ ´ ¾µ ÖÓÑ Ö ÓÒ ÐÐ « Ö ÒØ Ð Ò ÐÙ× ÓÒ× Ö ÙÒ ÖרÓÓ Ò Ø Ð ÔÔÓÚ × Ò× ¸ Û Ñ Ò× Ø Ø Ø Ö Ø Ò × × ÒÐ Ö Ø ×ÓÑ ÔÓ ÒØ× Ò ÓÖ Ö ØÓ × Ø × Ý Ø ÙÔÔ Ö × Ñ ÓÒØ ÒÙ ØÝ ÔÖÓÔ ÖØÝ ½ ¸ Ò Ô ÖØ ÙÐ Ö Ø × ÓÒ ÓÖÑÙÐ Ó ´ ¾µ ØÙÖÒ× ÒØÓ Ü¾ ¾  «  · «· · Û Ø Ü½ ¼º ÆÓØ Ø Ø Ø ×ÓÐÙØ ÓÒ Ó ´ ¾µ Ü ×Ø× ÓÖ ÒÝ Ò Ø Ð ÓÒ Ø ÓÒ Ò × Ò¬Ò Ø ÐÝ ÜØ Ò Ð Ò Ø Ñ ½ º ÓÑÔÙØ Ò Ø Ö Ú Ø Ú Ó Ü½ Û Ø Ü½ ¼ Ú × Ü½ ¾   · ·  ´ ½ ¾ ¬ ܽ ܽ ½ ¾ · «× Òܽµ ´ ¿µ Ì ØÖ Ú Ð ÒØ ØÝ Ø Ü Ü× ÒÜ × Ù× Ö º Ì Ò ÐÙ× ÓÒ ´ ¿µ Ó × ÒÓØ Ö Ñ Ñ Ö ÒÝØ Ò ÓÙØ Ø Ö Ð ×Ýר Ѹ ÙØ Ò Ù× ØÓ × Ö Ø Ñ ÓÖ ÒØ ÙÖÚ Ö ÛÒ Ò Ø º ½ º ÆÓØ Ø Ø Ø Ø Ò Ø Ð ÑÓÑ ÒØ ܽ ¼ Ò Ü¾ ܾ   ¼ ܾº Ì ØÖ ØÓÖÝ ÒØ Ö× Ø Ð ¹ÔÐ Ò Ü½ ¼ Û Ø ÔÓ× Ø Ú Ò Ø Ð Ú ÐÙ Ó Ü¾ Ò Ø Ð ¹ÔÐ Ò Ü½ ¼ ÓØ ÖÛ × º Ä Ø Ü½ ¼ Ø Ò Û Ø Ü½ ¼ Ø ØÖ ØÓÖÝ × ÓÒ¬Ò ØÛ Ò Ø Ü × Ü½ ¼¸ ܽ ¼ Ò Ø ØÖ ØÓÖÝ Ó Ø ÕÙ Ø ÓÒ Ü½  ´«   · µ¸ × º ½ Ð Ò ´ µº Ä Ø Ü½Å Ø ÒØ Ö× Ø ÓÒ Ó Ø × ÙÖÚ Û Ø Ø Ü × Ü½ ¼º Ç Ú ÓÙ×Ðݸ ¾´«  · µÜ½Å ܾ ½¼ ¸ Û Ö Ü½¼ ¼ × Ø Ú ÐÙ Ó Ü½ Û Ø Ü½ ¼º ÁØ × ×Ý ØÓ × Ø Ø ÓÖ Ü½ ¼¸ ܽ ¼ ܽ ·  «× Òܽ   ½ ¾ ¬ ܽ ܽ ½ ¾ ¼ Ì Ù׸ Ø ØÖ ØÓÖÝ ÔÔÖÓ × Ø Ü × Ü½ ¼ Ì Ñ ÓÖ ÒØ ÙÖÚ ÓÖ Ü½ ¼¸ ܽ ¼ × × Ö Ý Ø ÕÙ Ø ÓÒ ´× º ½ µ ܾ ½ ¾´«   · µ´Ü½Å  Ü½µ Û Ø Ü½ ¼ Ì Ñ ÓÖ ÒØ ÙÖÚ ÓÖ Ü½ ¼ ܽ ¼ ÓÒ× ×Ø× Ó ØÛÓ Ô ÖØ×º ÁÒ Ø ¬Öר Ô ÖØ Ø ÔÓ ÒØ Òר ÒØÐÝ ÖÓÔ× ÓÛÒ ÖÓÑ ´Ü½Å ¼µ ØÓ Ø ÔÓ ÒØ ´Ü½Å  ¾ ¬´ · · «µÜ½ ¾ ½Å µ Û Ö ¸ Ò Ø ÛÓÖר × ¸ Ø Ö Ø Ò × Ó Ò ÐÙ× ÓÒ ´ ¿µ × ÕÙ Ð ØÓ Þ ÖÓ¸ × º ½ Ð Ò ´ µº Ì × ÓÒ Ô ÖØ Ó Ø Ñ ÓÖ ÒØ ÙÖÚ × Ø ÓÖ ÞÓÒØ Ð × Ñ ÒØ ØÛ Ò Ø ÔÓ ÒØ× ´Ü½Å  ¾ ¬´ · · «µÜ½ ¾ ½Å µ ´Ü½Å ܽе Ò ´¼ ܽе¸ × º ½ Ð Ò ´ µº ÓÒ Ø ÓÒ ´¾½µ ÑÔÐ × Ø Ø Ü½Å Ü½¼ ½  Ô ½ · Ô ½ Ì Ð ×Ø Ò ÕÙ Ð ØÝ Ò×ÙÖ × Ø ÓÒÚ Ö Ò Ó Ø ×Ø Ø ´Ü½ ܽ µ ØÓ ܽ ܽ ¼ Ò ¸ ÑÓÖ ÓÚ Ö¸ Ø ÓÒÚ Ö Ò Ó ¦½¼ ܽ º ÌÓ ÔÖÓÚ Ø ¬Ò Ø Ø Ñ Ó 344 A. Poznyak et al.
  • 33.
    Á ÒØ ¬Ø ÓÒ Ó È Ö Ñ Ø Ö× Ò ÝÒ Ñ ËÝר Ñ× ¿ x1 ~ x1 ~ a b c x1 ~ 0 x1 ~ M x1 =- x1/2~ x1 ~ M M1 º ½ º Å ÓÖ ÒØ ÙÖÚ ÓÖ ¬Ò Ø Ø Ñ ÓÒÚ Ö Ò Ó × ÖÚ Ö ÓÒÚ Ö Ò ÓÒ× Ö Ø ÝÒ Ñ × Ó Ü¾º Ç Ú ÓÙ×Ðݸ ܾ ܽ Ø Ø ÑÓÑ ÒØ× Û Ò Ü½ ¼ Ò Ø Ò ÒØÓ ÓÙÒØ Ø Ø Ü¾ ´Ü½ ܾ ܾ Ùµ  «× Òܽ Ñ Ò× ¼ «   · ܾ « · · ÓÐ × Ò ×Ñ ÐÐ Ú Ò ØÝ Ó Ø ÓÖ Òº Ì Ù× Ü½ ´«   · µØ Û Ö Ø × Ø Ø Ñ ÒØ ÖÚ Ð ØÛ Ò Ø ×Ù ×× Ú ÒØ Ö× Ø ÓÒ Ó Ø ØÖ ¹ ØÓÖÝ Û Ø Ø Ü × Ü½ ¼º À Ò Ø Ü½ ´«   ·µ Ò Ø ØÓØ Ð ÓÒÚ Ö Ò Ø Ñ × Ú Ò Ý Ì Ü½ ´«   ·µ ËÓ Ì × ¬Ò Ø Ò Ø ×Ø Ñ Ø ×Ø Ø × ÓÒÚ Ö ØÓ Ø Ö Ð ×Ø Ø × Ò ¬Ò Ø Ø Ñ º Ì ÔÖÓÓ Û × × ÓÒ Ò ÕÙ Ð ØÝ ´¾¼µº × ÓÐÐÓÛ× ÖÓÑ Ø ÓÚ ÓÒ× ¹ Ö Ø ÓÒ¸ ×ÙÆ ÒØÐÝ Ð Ö · ÔÖÓÚ × ÓÖ Ü¾ ܾ ¼ ܾ ؼ ¸ Û Ö Ø¼ × Ø Ò Ø Ð Ø Ñ º Ì × ÑÔÐ × Ø Ø Ü¾ ܾ ¼ · ܾ ¾×ÙÔ Ü¾ À Ò ¸ Ø ×Ù ×Ø Ó Ó · × Ú Ð º
  • 34.
    ÈÖÓÓ Ó ÌÓÖ Ñ º ÓÖ Ø ×Ð Ò Ú Ö Ð ÝÒ Ñ × Ó Ø Ò ÖÓÑ ´½µ¸ ´¿ µ¸ ´¿ µ Ò ´¿ µ ØÜ  Ù ´ µ Ø ÓÒØÖÓÐ ÙÒ Ø ÓÒ Ù ÖÓÑ ´¿ µ Ñ × Ø Ò ÕÙ Ð ØÝ É   Ô ¾É ´ µ Ú Ð ¸ Û Ö É ½ ¾ Ì ´ µ × ÄÝ ÔÙÒÓÚ ÙÒ Ø ÓÒ ÓÖ ´ µº Ì × Ñ Ò× Ø Ø Ø ÓÖ Ò Ó ´ µ × ÐÓ ÐÐÝ ×ÝÑÔØÓØ ÐÐÝ ×Ø Ð Û Ø ¬Ò Ø Ö Ò Ø Ñ ØÖ Ô ¾É´¼µ ´¼µ ´ µ ËÓ¸ ×Ð Ò ÑÓ Ü ×Ø× Ò Ø Ó × ÖÚ Ö ´ ¼µ Ø ØÖº Ð×Ó¸ Ø × ×Ý ØÓ × ÓÛ Ø Ø Ø ÐØ ÖÒ Ø Ú ÓÒØÖÓÐ Ù ´ · Ü ·½ µ× Ò´ µ ½ Ò  ½ ÙÒ Ò · ÈÒ ½ ¼ Ü ·½ × Ò´ Òµ ´ µ Û Ö Ø ¼ Ò  ½ ´ µ Ò × × Ð Ø ØÓ Ú Ú Ò Ö Ò Ø Ñ ×Ø Ñ Ø Ý ØÖ ´¼µ ¼ Ò  ½ ´½¼¼µ ÔÖÓÚ × Ü ×Ø Ò Ó Ø ×Ð Ò ÑÓ ¼ Ò Ø Ó × ÖÚ Ö ´ ¼µ Û Ø ¬Ò Ø Ö Ò Ø Ñ ØÖ Ñ Ü ¼ Ò ½ ØÖ ´½¼½µ Ì ×Ð Ò Ú Ö Ð ÝÒ Ñ × ´ µ Ö ÓÚ ÖÒ Ò Ø ×Ð Ò ÑÓ ¼ Ý Ø ÕÙ Ú Ð ÒØ ÓÒØÖÓÐ ¹ Ù Õ ØÜ ´½¼¾µ Õº ´½¼¾µ Ñ Ý Ö ÛÖ ØØ Ò × Ù Õ Ø Ø · ÖØ ´½¼¿µ Û Ö Ø Ñ ØÖ Ü × Ú Ò Ý  Ü½ ¡ÁÒ¢Ò ´½¼ µ ËÓÐÚ Ò ´½¼¿µ Ò ´½¼ µ ÓÖ Ø Ý Ð × ´¿ µ Ø ØÖº 346 A. Poznyak et al.
  • 35.
    Á ÒØ ¬Ø ÓÒ Ó È Ö Ñ Ø Ö× Ò ÝÒ Ñ ËÝר Ñ× ¿ ÈÖÓÓ Ó Ì ÓÖ Ñ º Ø Ö ×Ù ×Ø ØÙØ Ò Ø ×ÙÔ Ö¹ØÛ ר Ò ÓÒØÖÓÐ ´ ¿µ¹´ µ ÒØÓ Ø ×Ð Ò Ú Ö Ð « Ö ÒØ Ð ÕÙ Ø ÓÒ ØÜ  Ù ´½¼ µ Û Ö Ø ×Ø Ò × ÓÖ Ø Ø ÖÓÛ Ó Ø Ñ ØÖ Ü Ø¸ Û Ó Ø Ò · « ½ ¾ × Ò´ µ · ¬ Ú ØÜ Ú × Ò´ µ ´½¼ µ Õ ´½¼ µ × Ø × Ñ ÓÖÑ Ø × Õº ´ µ¸ Ò ¸ Ø Ò ÒØÓ ÓÙÒØ ´ µ¸ ÓÒÚ Ö × ØÓ Ø × ÓÒ ÓÖ Ö ×Ð Ò ÑÓ ¼ Ò Ø ¬Ò Ø Ø Ñ ØÖ º ÁÒ Ø ×Ð Ò ÑÓ ¸ º º Ø ØÖ¸ØÖ Ñ ÜØÖ ½ Ò ¸ Õº ´½¼ µ ÓÑ × Ù ØÜ µ Ù ØÜ ´½¼ µ Û Ö Ù Ù½ Ù¾ ÙÒ Ì Ê ÛÖ Ø Ò Õº ´½¼ µ Ò Ø ÓÖÑ ÙØ Ø · ÖØ  Ü½ ¡ÁÒÜÒ ´½¼ µ Ò ×ÓÐÚ Ò Ø ÓÖ Ø Û Ó Ø Ò ´ ¾µº