Unit 1 Exam Review

    Short Answer

1. A ball rolls off a table and falls to the ground below. Its entire flight is captured on a stroboscopic photograph.
   Sketch what the photograph would look like if you viewed the motion with the ball initially moving to your
   right.
2. Why are free-body diagrams considered to be essential first steps in solving dynamics problems?
3. Providing examples of each, differentiate between inertial and noninertial frames of reference.


4. Starting with the expression           , derive the other two expressions for centripetal acceleration.
5. Describe how the law of universal gravitation is closely associated with Newton’s third law of motion.


    Problem

6. An object is pushed along a rough horizontal surface and released. It slides for 10.0 s before coming to rest and
   travels a distance of 20.0 cm during the last 1.0 s of its slide. Assuming the acceleration to be uniform
   throughout
   (a) How fast was the object travelling upon release?
   (b) How fast was the object travelling when it reached the halfway position in its slide?
7. An arrow is shot vertically upward with an initial speed of 25 m/s. When it’s exactly halfway to the top of its
   flight, a second arrow is launched vertically upward from the same spot. The second arrow reaches the first
   arrow just as the first arrow reaches its highest point.
   (a) What is the launch speed of the second arrow?
   (b) What maximum height does the second arrow reach?
8. A boat is 50.0 m from the base of a cliff, fleeing at 5.0 m/s. A gun, mounted on the edge of the cliff fires a shell
   at 40.0 m/s and hits the boat when it has fled another 50.0 m. See the diagram below.




    (a) At what angle above the horizontal must the gun be aimed so that the shell will hit the target?
    (b) How high is the cliff?
    (c) With what velocity does the shell hit the boat?
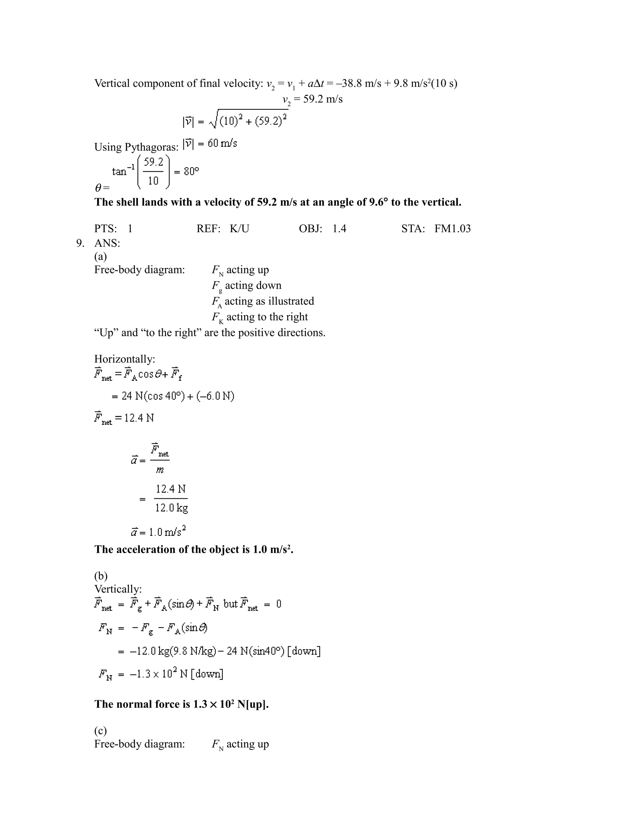
9. A 12.0-kg box is pushed along a horizontal surface by a 24-N force as illustrated in the diagram. The frictional
   force (kinetic) acting on the object is 6.0 N.
(a) What is the acceleration of the object?
     (b) Calculate the value of the normal force acting on the object.
     (c) If the 12.0-kg object then runs into a 4.0-kg object that increases the overall friction by 3.0 N, what is the
     new acceleration?
     (d) What force does the 4.0-kg object exert on the 12.0-kg object when the two are moving together?
10. A pulley device is used to hurl projectiles from a ramp (µk = 0.26) as illustrated in the diagram. The 5.0-kg mass
    is accelerated from rest at the bottom of the 4.0 m long ramp by a falling 20.0-kg mass suspended over a
    frictionless pulley. Just as the 5.0-kg mass reaches the top of the ramp, it detaches from the rope (neglect the
    mass of the rope) and becomes projected from the ramp.




     (a) Determine the acceleration of the 5.0-kg mass along the ramp. (Provide free-body diagrams for both masses.)
     (b) Determine the tension in the rope during the acceleration of the 5.0-kg mass along the ramp.
     (c) Determine the speed of projection of the 5.0-kg mass from the top of the ramp.
     (d) Determine the horizontal range of the 5.0-kg mass from the base of the ramp.
11. Two blocks are connected by a “massless” string over a “frictionless” pulley as shown in the diagram.




     (a) Determine the acceleration of the blocks.
     (b) Calculate the tension in the string .
     (c) If the string broke, for what minimum value of the coefficient of static friction would the 2.0-kg block not
     begin to slide?
12. Two masses, 4.0 kg and 6.0 kg, are connected by a “massless” rope over a “frictionless” pulley as pictured in the
    diagram. The ramp is inclined at 30.0º and the coefficient of kinetic friction on the ramp is 0.18.
(a) Draw free-body diagrams of both masses.
     (b) Determine the acceleration of the system once it begins to slide.
     (c) Determine the tension in the rope.
     (d) If the rope breaks when the 4.0-kg mass is 3.0 m from the bottom of the ramp, how long will it take for the
     mass to slide all the way down? Include a new free-body diagram and assume the sliding mass starts from rest.
13. Each dog of an eight-dog sled team can pull with a maximum force of 120.0 N. The frictional resistance of the
    snow on the 250.0-kg sled is 600.0 N. Show the appropriate free-body diagram in each of the following
    questions.
    (a) What is the maximum acceleration of the sled?
    (b) If a second sled of mass 100.0 kg were to be towed behind the larger one with a frictional resistance of 240.0
    N acting on the smaller sled, what maximum acceleration could the dogs supply?
    (c) Calculate the tension in the rope connecting the two sleds in (b).
    (d) Once the two sleds are up to speed, with what force must each dog pull to keep the sleds moving at a
    constant speed?
14. A 0.50-g insect rests on a compact disc at a distance of 4.0 cm from the centre. The disc’s rate of rotation varies
    from 3.5 Hz to 8.0 Hz in order to maintain a constant data sampling rate.
    (a) What are the insect’s minimum and maximum centripetal accelerations during its rotation around the disc?
    (b) What is the minimum value of the coefficient of static friction that would prevent the insect from slipping off
    the disc at the slowest rotation rate?
15. An object of mass 6.0 kg is whirled around in a vertical circle on the end of a 1.0 m long string with a constant
    speed of 8.0 m/s. Include a free-body diagram for each of the following questions:
    (a) Determine the maximum tension in the string, indicating the position of the object at the time the maximum
    tension is achieved.
    (b) What is the minimum speed the object could be rotated with and maintain a circular path?
    (c) If the object is rotated with the same speed (8.0 m/s) on a horizontal surface, what is the tension in the string
    if the string is parallel to the surface?
16. What force does Earth exert on a 80.0-kg astronaut at an altitude equivalent to 2.5 times Earth’s radius?
     Unit 1 Exam Review
     Answer Section

     SHORT ANSWER

 1. ANS:
    The horizontal component of the motion would be uniform and the vertical component would show the
    acceleration due to gravity.




    PTS: 1               REF: K/U                OBJ: 1.4               STA: FM1.03
 2. ANS:
    A free-body diagram requires that all the forces acting on an object are identified. An object’s motion is
    ultimately determined by the net force acting on it, and a free-body diagram helps to determine the net force.

    PTS: 1                 REF: C                 OBJ: 2.1               STA: FM1.01
 3. ANS:
    An inertial frame of reference is one in which the law of inertia is valid. As such, an object will remain at rest
    or in uniform motion unless acted upon by an external, unbalanced force. A car travelling with constant
    velocity is an example of an inertial frame of reference. A noninertial frame of reference is one that is
    accelerating. Objects in this type of frame of reference do not appear to obey the law of inertia. If the car
    suddenly stopped, an object sitting in the back window would fly forward with no apparent force having acted
    upon it. Its motion would seem to violate the law of inertia from its frame of reference.

    PTS: 1                 REF: C                 OBJ: 2.5               STA: FM1.05
 4. ANS:
Consider one complete revolution. The distance travelled is 2πR and the time taken is the period T. The speed


   of the object in the circle is then         . When this is substituted into the original expression:




   Using the relationship between frequency and period               and substituting this into the expression above,
   the third expression for centripetal acceleration is              .

   PTS: 1                 REF: K/U | C           OBJ: 3.1              STA: FM1.04
5. ANS:
   The law of universal gravitation discusses the gravitational force between two objects. For example, the force
   of gravity Earth exerts on a person is equal in strength and opposite in direction to the force of gravity the
   person exerts on Earth. This is also how Newton’s third law addresses the same situation.

   PTS: 1                  REF: K/U | C            OBJ: 3.3              STA: FM1.06


   PROBLEM

6. ANS:
   (a)
   The object’s acceleration during the last 1.0 s:
   ∆t = 1.0 s
   v1 = 40 cm/s
   v2 = 0.0 cm/s
   a=?




   This is also the acceleration for the entire trip.

   The speed upon release:
The object was travelling at 4.0 m/s upon release.

   (b)
   The distance travelled:
   ∆t = 10.0 s
   v2 = 0.0 cm/s
   a = –40 cm/s2
   ∆d = ?




   At the halfway position:
   ∆d = 1.0 × 103 cm
   v2 = 0.0 cm/s
   a = –40 cm/s2
   v1 = ?




   The object is travelling at 2.8 m/s at the halfway position in its slide.

   PTS: 1               REF: K/U                OBJ: 1.2              STA: FM1.02
7. ANS:
   (a)
   Using the sign convention that “up” is (–) and “down” is (+):
   v1 = –25 m/s
   v2 = 0.0 m/s
   a = 9.8 m/s2
   ∆d = ?
The arrow travels 31.9 m upward to its highest point. The halfway position is 15.9 m.
The time to travel the last half of its flight:
∆d = –15.9 m
v2 = 0.0 m/s
a = 9.8 m/s2
∆t = ?




For the second arrow:
∆d = -31.9 m
a = 9.8 m/s2
∆t = 1.80 s
v1 = ?




The speed of the second arrow at launch is 27 m/s [upward].

(b)
Finding the maximum height of the second arrow:
v1 = –26.5 m/s
v2 = 0.0 m/s
a = 9.8 m/s2
∆d = ?
The second arrow reaches a maximum height of 36 m [upward].

   PTS: 1                REF: K/U             OBJ: 1.3               STA: FM1.02
8. ANS:
   (a)




  Time of flight of shell:

  Horizontal range of shell: 100 m




  Horizontal component of shell’s velocity:
  Angle of projection:
  10 m/s = 40.0 m/s(cos θ)
       θ = 76º
  The gun must be aimed at an angle of 76° to the horizontal.

  (b)
  Vertical component of shell’s velocity: 40.0 m/s(sin 75.5°) = 38.8 m/s [up]
  let “up” be (–) and “down” be (+)
  v1 = –38.8 m/s
  a = 9.8 m/s2
  ∆t = 10 s
  ∆d = ?




  The cliff is 1.0 ×102 m high.

  (c) Horizontal component of final velocity: 10 m/s
Vertical component of final velocity: v2 = v1 + a∆t = –38.8 m/s + 9.8 m/s2(10 s)
                                             v2 = 59.2 m/s



   Using Pythagoras:


   θ=
   The shell lands with a velocity of 59.2 m/s at an angle of 9.6° to the vertical.

   PTS: 1                REF: K/U                 OBJ: 1.4            STA: FM1.03
9. ANS:
   (a)
   Free-body diagram:        FN acting up
                             Fg acting down
                             FA acting as illustrated
                             FK acting to the right
   “Up” and “to the right” are the positive directions.

   Horizontally:




   The acceleration of the object is 1.0 m/s2.

   (b)
   Vertically:




   The normal force is 1.3 × 102 N[up].

   (c)
   Free-body diagram:        FN acting up
Fg acting down
                              FA acting to the left
                              FK acting to the right
    “Up” and “to the right” are the positive directions.




    The acceleration of the two masses is 0.59 m/s2.

    (d)
    Free-body diagram:        FN acting up
                              Fg acting down
                              FA acting to the left
                              FK acting to the right
                              F acting to the right (force of 4.0 kg object on 12.0 kg object)
    “Up” and “to the right” are the positive directions.




    The 4.0-kg object exerts a force of 5.3 N on the 12.0-kg object.

    PTS: 1               REF: K/U             OBJ: 2.3               STA: FM1.02
10. ANS:
    (a)
    For the 5.0-kg mass:
    Free-body diagram:       FN acting perpendicular to ramp and up
                             Fg acting down
                             FT acting up along the ramp (this is the positive direction)
                             FK acting down along the ramp (this is the negative direction)
5.0 kg(a) = FT – µΚmg(cos θ) – mg(sin θ)
5.0 kg(a) = FT – 35.5 N

For the 20.0-kg mass:
Free-body diagram:          FT acting up (this is the negative direction)
                            Fg acting down (this is the positive direction)



20.0 kg(a) – 196 N – FT

Solving the system of equations:
a = 6.4 m/s2
The acceleration of the 5.0-kg mass along the ramp is 6.4 m/s2.

(b)




The tension in the cable is 68 N.

(c)




The speed of projection of the mass off the top of the ramp is 7.2 m/s.

(d)
Vertically: Let “up” be (–) and “down” be (+).
a = 9.8 m/s2
∆d = 6.0 m




Horizontal range:
The horizontal range for the projected mass is 9.5 m.

    PTS: 1                REF: K/U              OBJ: 2.3                 STA: FM1.01
11. ANS:
    (a)
    For the 0.80-kg mass:
    Free-body diagram:      FN acting up
                            Fg acting down
                            FT acting to the right (this is the positive direction)
                            FK acting to the left (this is the negative direction)



    0.80 kg(a) = FT – µKFN
    0.80 kg(a) = FT – 0.14(0.80 kg)(9.8 N/kg)
    0.80 kg(a) = FT – 1.10 N

    For the 2.0-kg mass:
    Free-body diagram:        FN acting perpendicular to the ramp (upward)
                              Fg acting down
                              FT acting up along the ramp (this is the negative direction)
                              FK acting up along the ramp




    2.0 kg(a) = 2.0 kg(9.8 N/kg)(sin 30º) – FT – 0.14(2.0 kg)(9.8 N/kg)(cos 30º)
    2.0 kg(a) = –FT + 7.42 N

    Solving the system of equations: a = 2.3 m/s2
    The system will accelerate at 2.3 m/s2.

    (b)
    FT = 0.80 kg(a) + 1.10 N
    = 0.80 kg(2.26 m/s2) + 1.10 N
    FT = 2.9 N
    The tension in the string is 2.9 N.

    (c)
    If the block remains stationary:
    FS = Fg sin θ
    = 2.0 kg(9.8 N/kg)(sin 30°)
    FS = 9.8 N
The minimum coefficient of static friction required is 0.58.

    PTS: 1               REF: K/U             OBJ: 2.3               STA: FM1.01
12. ANS:
    (a)
    For the 4.0-kg mass:
    Free-body diagram:     FN acting perpendicular to the ramp (upward)
                           Fg acting down
                           FT acting up along the ramp (this is the positive direction)
                           FK acting down along the ramp (this is the negative direction)

    For the 6.0-kg mass:
    Free-body diagram:        Fg acting down (this is the positive direction)
                              FT acting up (this is the negative direction)

    (b)
    For the 4.0-kg mass:

    4.0 kg(a) = FT – µΚmg(cos θ) – mg(sin θ)
    4.0 kg(a) = FT – 13.5 N

    For the 6.0-kg mass:

    6.0 kg(a) = 58.8 N – FT

    Solving the system of equations:
    a = 4.5 m/s2
    The acceleration of the 4.0-kg mass along the ramp is 4.5 m/s2.

    (c)
    FT = 4.0 kg(a) +13.5 N
    = 4.0 kg(4.53 m/s2) + 13.5 N
    FT = 32 N
    The tension in the cable is 32 N.

    (d)
    For the block sliding down the ramp:
    Free-body diagram:       FN acting perpendicular to the ramp (upward)
                             Fg acting down
                             FK acting up along the ramp (this is the negative direction)



    ma = mg(sin θ) – µmg(cos θ)
    a = 9.8 N/kg(sin 30º) – (0.18)(9.8 N/kg)(cos30º)
a = 3.37 m/s2




    It would take 1.3 s to reach the bottom of the ramp.

    PTS: 1             REF: K/U              OBJ: 2.3                 STA: FM1.01
13. ANS:
    (a)
    Free-body diagram:   FN acting up
                         Fg acting down
                         FK acting to the left
                         FA acting to the right

    Let “to the right” and “up” be (+).

    The total applied force: 8(120.0 N) = 960.0 N

    = 960.0 N +(–600.0 N)
        = 360.0 N




    The acceleration of the sled is 1.44 m/s2.

    (b)
    Considering the system of two sleds (same free body diagram as in part a.):

    = 960.0 N +(–840.0 N)
        = 120.0 N
The acceleration of the sled is 0.343 m/s2.

    (c)
    Considering the trailing sled:
    Free-body diagram:         FN acting up
                               Fg acting down
                               FK acting to the left
                               FT acting to the right




    = 100.0 kg(0.343 m/s2) – (–240.0 N)
      = 274 N
    The tension in the rope connecting the sleds is 274 N.

    (d)
    To keep the sleds moving with constant speed the dogs must pull with sufficient force to just overcome the
    frictional force.          .


    Each dog must pull with                    .

    PTS: 1             REF: K/U               OBJ: 2.3             STA: FM1.01
14. ANS:
    (a)
    The minimum centripetal acceleration occurs when the frequency of rotation is a minimum.




    The maximum centripetal acceleration occurs when the frequency of rotation is a maximum.
aC = 1.0 × 102 m/s2

    The insect’s minimum centripetal acceleration is 19 m/s2 and its maximum centripetal accelerations is
    1.0 × 102 m/s2.

    (b)
    The free-body diagram of the insect on the disc:
    (FC is supplied by static friction FS)




    The minimum value of the coefficient of static friction is 2.0.

    PTS: 1             REF: K/U               OBJ: 3.2                STA: FM1.04
15. ANS:
    (a)
    Maximum tension occurs at the bottom of the circle.
Let “up” be negative and “down” be positive:




The maximum tension is 4.4 × 102 N [upward].

(b)
At the minimum speed, the tension in the string becomes zero at the top of the circle.
The minimum speed of rotation is 3.1 m/s.

    (c)
    If rotating on a horizontal surface:




    The tension in the string would be 3.8 × 102 N.

    PTS: 1                  REF: K/U                 OBJ: 3.2   STA: FM1.04
16. ANS:
    At Earth’s surface:




    Since             , then Fg(r2) is a constant.
    If F1 = force at Earth’s surface
    r1 = Earth’s radius
    F2 = force at position in question
    r2 = 2.5r1 + r1 = 3.5r1
    F1(r1)2 = F2(r2)2
Earth exerts a force of 2.6 × 101 N on the astronaut.

PTS: 1               REF: K/U              OBJ: 3.3     STA: FM1.06

Unit 1 questions and solutions

  • 1.
    Unit 1 ExamReview Short Answer 1. A ball rolls off a table and falls to the ground below. Its entire flight is captured on a stroboscopic photograph. Sketch what the photograph would look like if you viewed the motion with the ball initially moving to your right. 2. Why are free-body diagrams considered to be essential first steps in solving dynamics problems? 3. Providing examples of each, differentiate between inertial and noninertial frames of reference. 4. Starting with the expression , derive the other two expressions for centripetal acceleration. 5. Describe how the law of universal gravitation is closely associated with Newton’s third law of motion. Problem 6. An object is pushed along a rough horizontal surface and released. It slides for 10.0 s before coming to rest and travels a distance of 20.0 cm during the last 1.0 s of its slide. Assuming the acceleration to be uniform throughout (a) How fast was the object travelling upon release? (b) How fast was the object travelling when it reached the halfway position in its slide? 7. An arrow is shot vertically upward with an initial speed of 25 m/s. When it’s exactly halfway to the top of its flight, a second arrow is launched vertically upward from the same spot. The second arrow reaches the first arrow just as the first arrow reaches its highest point. (a) What is the launch speed of the second arrow? (b) What maximum height does the second arrow reach? 8. A boat is 50.0 m from the base of a cliff, fleeing at 5.0 m/s. A gun, mounted on the edge of the cliff fires a shell at 40.0 m/s and hits the boat when it has fled another 50.0 m. See the diagram below. (a) At what angle above the horizontal must the gun be aimed so that the shell will hit the target? (b) How high is the cliff? (c) With what velocity does the shell hit the boat? 9. A 12.0-kg box is pushed along a horizontal surface by a 24-N force as illustrated in the diagram. The frictional force (kinetic) acting on the object is 6.0 N.
  • 2.
    (a) What isthe acceleration of the object? (b) Calculate the value of the normal force acting on the object. (c) If the 12.0-kg object then runs into a 4.0-kg object that increases the overall friction by 3.0 N, what is the new acceleration? (d) What force does the 4.0-kg object exert on the 12.0-kg object when the two are moving together? 10. A pulley device is used to hurl projectiles from a ramp (µk = 0.26) as illustrated in the diagram. The 5.0-kg mass is accelerated from rest at the bottom of the 4.0 m long ramp by a falling 20.0-kg mass suspended over a frictionless pulley. Just as the 5.0-kg mass reaches the top of the ramp, it detaches from the rope (neglect the mass of the rope) and becomes projected from the ramp. (a) Determine the acceleration of the 5.0-kg mass along the ramp. (Provide free-body diagrams for both masses.) (b) Determine the tension in the rope during the acceleration of the 5.0-kg mass along the ramp. (c) Determine the speed of projection of the 5.0-kg mass from the top of the ramp. (d) Determine the horizontal range of the 5.0-kg mass from the base of the ramp. 11. Two blocks are connected by a “massless” string over a “frictionless” pulley as shown in the diagram. (a) Determine the acceleration of the blocks. (b) Calculate the tension in the string . (c) If the string broke, for what minimum value of the coefficient of static friction would the 2.0-kg block not begin to slide? 12. Two masses, 4.0 kg and 6.0 kg, are connected by a “massless” rope over a “frictionless” pulley as pictured in the diagram. The ramp is inclined at 30.0º and the coefficient of kinetic friction on the ramp is 0.18.
  • 3.
    (a) Draw free-bodydiagrams of both masses. (b) Determine the acceleration of the system once it begins to slide. (c) Determine the tension in the rope. (d) If the rope breaks when the 4.0-kg mass is 3.0 m from the bottom of the ramp, how long will it take for the mass to slide all the way down? Include a new free-body diagram and assume the sliding mass starts from rest. 13. Each dog of an eight-dog sled team can pull with a maximum force of 120.0 N. The frictional resistance of the snow on the 250.0-kg sled is 600.0 N. Show the appropriate free-body diagram in each of the following questions. (a) What is the maximum acceleration of the sled? (b) If a second sled of mass 100.0 kg were to be towed behind the larger one with a frictional resistance of 240.0 N acting on the smaller sled, what maximum acceleration could the dogs supply? (c) Calculate the tension in the rope connecting the two sleds in (b). (d) Once the two sleds are up to speed, with what force must each dog pull to keep the sleds moving at a constant speed? 14. A 0.50-g insect rests on a compact disc at a distance of 4.0 cm from the centre. The disc’s rate of rotation varies from 3.5 Hz to 8.0 Hz in order to maintain a constant data sampling rate. (a) What are the insect’s minimum and maximum centripetal accelerations during its rotation around the disc? (b) What is the minimum value of the coefficient of static friction that would prevent the insect from slipping off the disc at the slowest rotation rate? 15. An object of mass 6.0 kg is whirled around in a vertical circle on the end of a 1.0 m long string with a constant speed of 8.0 m/s. Include a free-body diagram for each of the following questions: (a) Determine the maximum tension in the string, indicating the position of the object at the time the maximum tension is achieved. (b) What is the minimum speed the object could be rotated with and maintain a circular path? (c) If the object is rotated with the same speed (8.0 m/s) on a horizontal surface, what is the tension in the string if the string is parallel to the surface?
  • 4.
    16. What forcedoes Earth exert on a 80.0-kg astronaut at an altitude equivalent to 2.5 times Earth’s radius? Unit 1 Exam Review Answer Section SHORT ANSWER 1. ANS: The horizontal component of the motion would be uniform and the vertical component would show the acceleration due to gravity. PTS: 1 REF: K/U OBJ: 1.4 STA: FM1.03 2. ANS: A free-body diagram requires that all the forces acting on an object are identified. An object’s motion is ultimately determined by the net force acting on it, and a free-body diagram helps to determine the net force. PTS: 1 REF: C OBJ: 2.1 STA: FM1.01 3. ANS: An inertial frame of reference is one in which the law of inertia is valid. As such, an object will remain at rest or in uniform motion unless acted upon by an external, unbalanced force. A car travelling with constant velocity is an example of an inertial frame of reference. A noninertial frame of reference is one that is accelerating. Objects in this type of frame of reference do not appear to obey the law of inertia. If the car suddenly stopped, an object sitting in the back window would fly forward with no apparent force having acted upon it. Its motion would seem to violate the law of inertia from its frame of reference. PTS: 1 REF: C OBJ: 2.5 STA: FM1.05 4. ANS:
  • 5.
    Consider one completerevolution. The distance travelled is 2πR and the time taken is the period T. The speed of the object in the circle is then . When this is substituted into the original expression: Using the relationship between frequency and period and substituting this into the expression above, the third expression for centripetal acceleration is . PTS: 1 REF: K/U | C OBJ: 3.1 STA: FM1.04 5. ANS: The law of universal gravitation discusses the gravitational force between two objects. For example, the force of gravity Earth exerts on a person is equal in strength and opposite in direction to the force of gravity the person exerts on Earth. This is also how Newton’s third law addresses the same situation. PTS: 1 REF: K/U | C OBJ: 3.3 STA: FM1.06 PROBLEM 6. ANS: (a) The object’s acceleration during the last 1.0 s: ∆t = 1.0 s v1 = 40 cm/s v2 = 0.0 cm/s a=? This is also the acceleration for the entire trip. The speed upon release:
  • 6.
    The object wastravelling at 4.0 m/s upon release. (b) The distance travelled: ∆t = 10.0 s v2 = 0.0 cm/s a = –40 cm/s2 ∆d = ? At the halfway position: ∆d = 1.0 × 103 cm v2 = 0.0 cm/s a = –40 cm/s2 v1 = ? The object is travelling at 2.8 m/s at the halfway position in its slide. PTS: 1 REF: K/U OBJ: 1.2 STA: FM1.02 7. ANS: (a) Using the sign convention that “up” is (–) and “down” is (+): v1 = –25 m/s v2 = 0.0 m/s a = 9.8 m/s2 ∆d = ?
  • 7.
    The arrow travels31.9 m upward to its highest point. The halfway position is 15.9 m. The time to travel the last half of its flight: ∆d = –15.9 m v2 = 0.0 m/s a = 9.8 m/s2 ∆t = ? For the second arrow: ∆d = -31.9 m a = 9.8 m/s2 ∆t = 1.80 s v1 = ? The speed of the second arrow at launch is 27 m/s [upward]. (b) Finding the maximum height of the second arrow: v1 = –26.5 m/s v2 = 0.0 m/s a = 9.8 m/s2 ∆d = ?
  • 8.
    The second arrowreaches a maximum height of 36 m [upward]. PTS: 1 REF: K/U OBJ: 1.3 STA: FM1.02 8. ANS: (a) Time of flight of shell: Horizontal range of shell: 100 m Horizontal component of shell’s velocity: Angle of projection: 10 m/s = 40.0 m/s(cos θ) θ = 76º The gun must be aimed at an angle of 76° to the horizontal. (b) Vertical component of shell’s velocity: 40.0 m/s(sin 75.5°) = 38.8 m/s [up] let “up” be (–) and “down” be (+) v1 = –38.8 m/s a = 9.8 m/s2 ∆t = 10 s ∆d = ? The cliff is 1.0 ×102 m high. (c) Horizontal component of final velocity: 10 m/s
  • 9.
    Vertical component offinal velocity: v2 = v1 + a∆t = –38.8 m/s + 9.8 m/s2(10 s) v2 = 59.2 m/s Using Pythagoras: θ= The shell lands with a velocity of 59.2 m/s at an angle of 9.6° to the vertical. PTS: 1 REF: K/U OBJ: 1.4 STA: FM1.03 9. ANS: (a) Free-body diagram: FN acting up Fg acting down FA acting as illustrated FK acting to the right “Up” and “to the right” are the positive directions. Horizontally: The acceleration of the object is 1.0 m/s2. (b) Vertically: The normal force is 1.3 × 102 N[up]. (c) Free-body diagram: FN acting up
  • 10.
    Fg acting down FA acting to the left FK acting to the right “Up” and “to the right” are the positive directions. The acceleration of the two masses is 0.59 m/s2. (d) Free-body diagram: FN acting up Fg acting down FA acting to the left FK acting to the right F acting to the right (force of 4.0 kg object on 12.0 kg object) “Up” and “to the right” are the positive directions. The 4.0-kg object exerts a force of 5.3 N on the 12.0-kg object. PTS: 1 REF: K/U OBJ: 2.3 STA: FM1.02 10. ANS: (a) For the 5.0-kg mass: Free-body diagram: FN acting perpendicular to ramp and up Fg acting down FT acting up along the ramp (this is the positive direction) FK acting down along the ramp (this is the negative direction)
  • 11.
    5.0 kg(a) =FT – µΚmg(cos θ) – mg(sin θ) 5.0 kg(a) = FT – 35.5 N For the 20.0-kg mass: Free-body diagram: FT acting up (this is the negative direction) Fg acting down (this is the positive direction) 20.0 kg(a) – 196 N – FT Solving the system of equations: a = 6.4 m/s2 The acceleration of the 5.0-kg mass along the ramp is 6.4 m/s2. (b) The tension in the cable is 68 N. (c) The speed of projection of the mass off the top of the ramp is 7.2 m/s. (d) Vertically: Let “up” be (–) and “down” be (+). a = 9.8 m/s2 ∆d = 6.0 m Horizontal range:
  • 12.
    The horizontal rangefor the projected mass is 9.5 m. PTS: 1 REF: K/U OBJ: 2.3 STA: FM1.01 11. ANS: (a) For the 0.80-kg mass: Free-body diagram: FN acting up Fg acting down FT acting to the right (this is the positive direction) FK acting to the left (this is the negative direction) 0.80 kg(a) = FT – µKFN 0.80 kg(a) = FT – 0.14(0.80 kg)(9.8 N/kg) 0.80 kg(a) = FT – 1.10 N For the 2.0-kg mass: Free-body diagram: FN acting perpendicular to the ramp (upward) Fg acting down FT acting up along the ramp (this is the negative direction) FK acting up along the ramp 2.0 kg(a) = 2.0 kg(9.8 N/kg)(sin 30º) – FT – 0.14(2.0 kg)(9.8 N/kg)(cos 30º) 2.0 kg(a) = –FT + 7.42 N Solving the system of equations: a = 2.3 m/s2 The system will accelerate at 2.3 m/s2. (b) FT = 0.80 kg(a) + 1.10 N = 0.80 kg(2.26 m/s2) + 1.10 N FT = 2.9 N The tension in the string is 2.9 N. (c) If the block remains stationary: FS = Fg sin θ = 2.0 kg(9.8 N/kg)(sin 30°) FS = 9.8 N
  • 13.
    The minimum coefficientof static friction required is 0.58. PTS: 1 REF: K/U OBJ: 2.3 STA: FM1.01 12. ANS: (a) For the 4.0-kg mass: Free-body diagram: FN acting perpendicular to the ramp (upward) Fg acting down FT acting up along the ramp (this is the positive direction) FK acting down along the ramp (this is the negative direction) For the 6.0-kg mass: Free-body diagram: Fg acting down (this is the positive direction) FT acting up (this is the negative direction) (b) For the 4.0-kg mass: 4.0 kg(a) = FT – µΚmg(cos θ) – mg(sin θ) 4.0 kg(a) = FT – 13.5 N For the 6.0-kg mass: 6.0 kg(a) = 58.8 N – FT Solving the system of equations: a = 4.5 m/s2 The acceleration of the 4.0-kg mass along the ramp is 4.5 m/s2. (c) FT = 4.0 kg(a) +13.5 N = 4.0 kg(4.53 m/s2) + 13.5 N FT = 32 N The tension in the cable is 32 N. (d) For the block sliding down the ramp: Free-body diagram: FN acting perpendicular to the ramp (upward) Fg acting down FK acting up along the ramp (this is the negative direction) ma = mg(sin θ) – µmg(cos θ) a = 9.8 N/kg(sin 30º) – (0.18)(9.8 N/kg)(cos30º)
  • 14.
    a = 3.37m/s2 It would take 1.3 s to reach the bottom of the ramp. PTS: 1 REF: K/U OBJ: 2.3 STA: FM1.01 13. ANS: (a) Free-body diagram: FN acting up Fg acting down FK acting to the left FA acting to the right Let “to the right” and “up” be (+). The total applied force: 8(120.0 N) = 960.0 N = 960.0 N +(–600.0 N) = 360.0 N The acceleration of the sled is 1.44 m/s2. (b) Considering the system of two sleds (same free body diagram as in part a.): = 960.0 N +(–840.0 N) = 120.0 N
  • 15.
    The acceleration ofthe sled is 0.343 m/s2. (c) Considering the trailing sled: Free-body diagram: FN acting up Fg acting down FK acting to the left FT acting to the right = 100.0 kg(0.343 m/s2) – (–240.0 N) = 274 N The tension in the rope connecting the sleds is 274 N. (d) To keep the sleds moving with constant speed the dogs must pull with sufficient force to just overcome the frictional force. . Each dog must pull with . PTS: 1 REF: K/U OBJ: 2.3 STA: FM1.01 14. ANS: (a) The minimum centripetal acceleration occurs when the frequency of rotation is a minimum. The maximum centripetal acceleration occurs when the frequency of rotation is a maximum.
  • 16.
    aC = 1.0× 102 m/s2 The insect’s minimum centripetal acceleration is 19 m/s2 and its maximum centripetal accelerations is 1.0 × 102 m/s2. (b) The free-body diagram of the insect on the disc: (FC is supplied by static friction FS) The minimum value of the coefficient of static friction is 2.0. PTS: 1 REF: K/U OBJ: 3.2 STA: FM1.04 15. ANS: (a) Maximum tension occurs at the bottom of the circle.
  • 17.
    Let “up” benegative and “down” be positive: The maximum tension is 4.4 × 102 N [upward]. (b) At the minimum speed, the tension in the string becomes zero at the top of the circle.
  • 18.
    The minimum speedof rotation is 3.1 m/s. (c) If rotating on a horizontal surface: The tension in the string would be 3.8 × 102 N. PTS: 1 REF: K/U OBJ: 3.2 STA: FM1.04 16. ANS: At Earth’s surface: Since , then Fg(r2) is a constant. If F1 = force at Earth’s surface r1 = Earth’s radius F2 = force at position in question r2 = 2.5r1 + r1 = 3.5r1 F1(r1)2 = F2(r2)2
  • 19.
    Earth exerts aforce of 2.6 × 101 N on the astronaut. PTS: 1 REF: K/U OBJ: 3.3 STA: FM1.06