Topical vascular endothelial growth factor in rabbit tracheal surgery:
comparative effect on healing using various reconstruction materials and
intraluminal stentsq
A. Dodge-Khatamia,*, H.W.M. Niessenb
, A. Baidoshvilib
, T.M. van Gulikc
, M.G. Kleinc
,
L. Eijsmana
, B.A.J.M. de Mola
a
Division of Cardiothoracic Surgery, Academic Medical Center, University of Amsterdam, Amsterdam, The Netherlands
b
Department of Pathology, Vrije Univerisiteit Medical Center, Amsterdam, The Netherlands
c
Division of Experimental Surgery, Academic Medical Center, University of Amsterdam, Amsterdam, The Netherlands
Received 18 July 2002; received in revised form 17 September 2002; accepted 21 October 2002
Abstract
Objectives: The effect of topical vascular endothelial growth factor (VEGF) on post-surgical tracheal healing using various reconstruction
materials was studied, with particular regard to prevention of granulation tissue or fibrosis. Methods: Twenty-four New Zealand White
rabbits underwent survival surgery using autograft patches (n ¼ 6), xenopericardium patches (n ¼ 6), intraluminal Palmaz wire stents
(n ¼ 6), and controls (n ¼ 6). Autograft and pericardial half-patches were soaked in topical VEGF (5 mg/ml over 30 min) and saline before
reimplantation. Stents and controls received circumferential injections of VEGF and saline in the tracheal wall. At 1–4 months postopera-
tively, specimens of sacrificed animals were stained with anti-VEGF antibody, followed by morphological and immunohistochemical
examination. Results: Rabbits with autografts and controls fared well until planned sacrifice. After xenopericardium repair, obstructive
intraluminal granulation tissue led to early sacrifice in three rabbits. Stent insertion led to earlier death from airway obstruction in all six
rabbits. Topical VEGF reduced granulation tissue after pericardial repair and fibrosis in all repairs except in stents. Remarkably, VEGF-
pretreated half-patches and saline half-patches stained similarly high for VEGF, suggesting also local production of VEGF, probably in
plasmacells, and in submucosal glands. Conclusions: Autograft repair induces the least granulation tissue and fibrosis, and the best healing
pattern. Stents rapidly induced critical airway obstruction, unhindered by VEGF, leading to premature death. Tracheal pretreatment with
topical VEGF reduces postoperative fibrosis after autograft and pericardial patch repairs, and reduces granulation tissue after xenopericar-
dium repair. In time, VEGF is probably locally produced, although its potential role in tracheal healing remains to be established. q 2002
Elsevier Science B.V. All rights reserved.
Keywords: Trachea; Healing; Vascular endothelial growth factor; Granulation tissue; Stent
1. Introduction
To date, healing of the major airways after any type of
insult, be it traumatic, chemical or surgical, has been marred
by the formation of excessive granulation tissue at the site of
epithelial disruption. Clinically, this presents as progressive
or acute respiratory distress from various degrees of intra-
luminal obstruction, ranging from mild stenosis to complete
obliteration of the airway.
Histologically, healing of the respiratory epithelium
usually occurs through migration of adjacent secretory and
squamous epithelial cells to cover the defect, followed by
hyperplasia and stratification, metaplasia of the epithelium
to pseudostratified columnar epithelium, and differentiation
into ciliated respiratory epithelium [1,2]. Any mechanism
disrupting this sequence of events will hinder appropriate
inner coating of the airway lumen with functional specia-
lized respiratory cells, and hence represents a matrix for
granulation tissue, consisting of fibroblasts, inflammatory
cells, and interstitial fluid [2].
Vascular endothelial growth factor (VEGF) is an endo-
genous protein, secreted mainly by macrophages and fibro-
European Journal of Cardio-thoracic Surgery 23 (2003) 6–14
1010-7940/02/$ - see front matter q 2002 Elsevier Science B.V. All rights reserved.
PII: S1010-7940(02)00722-4
www.elsevier.com/locate/ejcts
q
Presented at the 16th Annual Meeting of the European Association for
Cardio-thoracic Surgery, Monte Carlo, Monaco, September 22–25, 2002.
* Corresponding author. Division of Cardiothoracic Surgery, Academic
Medical Center, University of Amsterdam, Postbus 22660, 1100 DD
Amsterdam, The Netherlands. Tel.: 131-20-566-6005; fax: 131-20-696-
2289.
E-mail address: a.dodgekhatami@amc.uva.nl (A. Dodge-Khatami).
blasts, whose local production is enhanced in the setting of
ischemia, hypoxia, and anemia [3]. It is a potent angiogenic
factor, increases vascular permeability, is involved in tissue
healing, and has been found in tracheal granulation tissue in
children [4,5]. Recent evidence using this same rabbit model
revealed the enhancing effect of topical recombinant human
VEGF on tracheal autograft healing, although this was
performed with a concentration of VEGF (5 mg/ml), an
intraoperative exposure time (15 min), and postoperative
sacrifice interval (2 months) that were arbitrary [6]. Poten-
tial mechanisms favoring tissue healing at the time of surgi-
cal insult include VEGF-induced vasodilation, which
creates a more favorable local oxygen/hemoglobin supply,
and increases permeability towards reparatory inflammatory
cells [6]. The angiogenesis induced by VEGF in a more
intermediate time frame is a second presumed positive
effect [6]. However, the potential for uncontrolled angio-
genesis and increased tissue edema that may occur in time
by exogenous VEGF currently needs more investigation,
before its clinical application is judged safe.
This study set to establish a protocol for optimal penetra-
tion of topical VEGF, at safe concentrations and exposure
intervals, with a pilot study using a rabbit model. Optimal
penetration was defined as at least moderate staining of
VEGF in the (sub)epithelial level, where microvessels are
at their most dense, and where VEGF-induced angiogenesis
exerts its maximal effect [6]. Following the pilot study, the
in vivo characteristics of exogenous VEGF in the tracheal
wall were studied in a rabbit survival model comparing
various reconstruction materials and stents which are
commonly used in clinical surgical practice.
Elaborating a safe long-term animal survival model may
promote the use of topical VEGF in human trials. This may
be achieved by establishing a VEGF treatment protocol
which delivers the desired boost of blood nutrients and
reparatory cells at the time of surgery, while demonstrating
controlled tracheal wall angiogenesis and edema during the
normal inflammatory and healing process afterwards.
Through reduced anastomotic granulation tissue and fibrosis
after pretreatment with topical VEGF, it is hoped to improve
postoperative airway healing, and thereby reduce morbidity
after tracheal surgery.
2. Materials and methods
The study was performed in two stages: an initial in vitro
study in which an optimal exogenous VEGF concentration
and exposure time were sought, and a second in vivo survi-
val study which compared the effect of topical exogenous
VEGF, at the concentration and exposure time determined
by stage 1, on different reconstruction materials during
tracheal surgery. The anesthetic and surgical protocol has
been described elsewhere in detail by the first author, and
was applied at both stages of the study [6]. The study proto-
col was reviewed and accepted by the Hospital Research
Ethics Committee. All animals received humane care in
compliance with the ‘Guide for the Care and Use of Labora-
tory Animals’ prepared by the Institute of Laboratory
Animal Resources, and published by the National Academy
Press, revised 1996.
2.1. Stage 1
Four New Zealand White rabbits (2.1–2.8 kg) underwent
surgery for harvesting of tracheal specimens according to
the study protocol. From each rabbit, 20 pieces of trachea
were excised for a total of 80 pieces, measuring approxi-
mately 3 £ 3 mm. These were soaked in solutions of either
placebo saline or increasing concentrations of human
recombinant VEGF (R&D Systems, Minneapolis, MN),
arbitrarily at 2, 5, and 10 mg/ml. The duration of exposure
to the topical treatment or placebo increased from 1, 5, 15,
and 30 to 45 min, before being taken out of the solution for
fixing and staining. As this stage was not a survival study,
and the defects in the trachea were too long to be recon-
structed, the animals were not awakened from anesthesia
and sacrificed using intramuscular pentobarbital (100 mg/
kg).
2.1.1. Processing of tissue specimens
The specimens were fixed in 4% formalin and subse-
quently embedded in paraffin. Paraffin-embedded tissue
sections (4 mm) were mounted on microscope slides and
were deparaffinized for 10 min in xylene at room tempera-
ture, and then rehydrated through descending concentra-
tions of ethanol. Sections were then stained with
hematoxylin–eosin.
2.1.2. Immunohistochemical detection of VEGF
For staining with VEGF, the sections were preincubated
in citrate (pH 6) at 360 8C over 10 min. Thereafter, sections
were treated with 0.3% H2O2 in methanol for 30 min to
block endogenous peroxidase activity. Sections were then
preincubated with normal rabbit serum (1:50 A/S, Glostrup,
Denmark) for 10 min at room temperature, and incubated
for 60 min with anti-human VEGF antibodies (1:50, total
goat IgG, R&D Systems, Minneapolis, MN). After washing
in phosphate-buffered saline (PBS), sections were incubated
for 30 min with rabbit-anti-mouse biotin labeled antibody
(1:500, Vector), and subsequently washed in PBS. After
incubation with biotin labeled streptavidin-horseradish
peroxidase (HRP) (1:200 Dako A/S) for 60 min at room
temperature, HRP was visualized with 3,3-diamino-benzi-
dine-tetrahydrochloride/H2O2 (Sigma, St. Louis, MO) for 3–
5 min.
Two independent investigators (A.D.-K., H.W.M.N.)
were blinded to the repair and treatment segments, each
judging and scoring all slides for anatomical localization
of specific antibody, as visualized by immunohistochemical
staining. For the final scoring results, consensus was
achieved by the two investigators.
A. Dodge-Khatami et al. / European Journal of Cardio-thoracic Surgery 23 (2003) 6–14 7
2.2. Stage 2
In a survival model, 24 New Zealand White rabbits
underwent surgery according to our protocol. At the end
of the procedure, they were extubated and cared for until
the predetermined sacrifice interval of 4 months. Surgical
repair included two groups of six rabbits. In each group,
surgery simulated anterior patch plasty repair of the trachea.
The first group (n ¼ 6) underwent autograft repair (AUTO),
consisting of excision of an anterior ellipse of tracheal wall,
measuring four to six cartilage rings in length and one-third
of the tracheal circumference. The harvested autograft was
then cut in two halves, one soaked in exogenous VEGF, and
the other in control placebo saline. Multiple interrupted 6-0
polydioxanone (PDS) sutures were circumferentially placed
during this topical treatment interval. The two half-patches
were then sutured together (VEGF-half superiorly) and into
place to fill the tracheal defect. The second group (n ¼ 6)
underwent pericardial patch repair (PERIC), using bovine
pericardium (Shelhigh Incorporated No-React, Milburn,
NJ). In the same fashion and size as the autograft group,
this consisted of an anterior upper half-patch of VEGF-trea-
ted bovine pericardium, and a lower half-patch of saline
placebo pericardial patch. Group 3 (n ¼ 6) underwent intra-
luminal stent placement (STENT), using balloon-expand-
able stainless steel wire Corinthean-Palmaz stents
(Johnson & Johnson Interventional Systems, Warren, NJ),
measuring 5 £ 17 mm. After exposure of the trachea, a hori-
zontal anterior incision was made into the trachea, two to
three rings below the vocal cords. Under direct surgical
vision, the undeployed stent with its sheath was introduced
distally into the trachea, and deployed until firm attachment
to the inner tracheal wall was evident. The stent was secured
in place from the outside with two transfixing 6-0 PDS
sutures at each stent extremity, to avoid stent migration.
Half a milliliter of topical VEGF (5 mg/ml) was circumfer-
entially injected into the tracheal wall at the level of the
superior securing stitch, which was used as a marker for
the subsequent histological studies. The lower end of the
tracheal wall and indwelling stent was also circumferen-
tially injected with 0.5 cc of saline. Finally, a control
group (n ¼ 6) was used to represent no surgical or stent-
related trauma of the inner lumen respiratory epithelium.
These animals were induced with intramuscular aceproma-
zine and ketamine-xylazine as per protocol, but were not
intubated or anesthetized. With supplementary mask
oxygen in a spontaneously breathing rabbit, surgical expo-
sure of the trachea was obtained, and topical VEGF (5 mg/
ml) and saline were circumferentially injected into the
tracheal wall at the level of external marking sutures. The
wound was closed and the animals awakened.
At a predetermined survival interval of 4 months, animals
were sacrificed with intramuscular pentobarbital (100 mg/
kg). The trachea were harvested from cricoid to carina, and
were opened posteriorly in a longitudinal fashion, so as to
leave the anterior tracheal patch repairs intact. The stents
were initially cut through posteriorly, and carefully peeled
away from the intraluminal tracheal surface, so as to leave
the underlying tissue relatively undisturbed.
Fixation of tracheal specimens and VEGF staining was
performed as described after stage 1. Microscoping evalua-
tion was performed with regards to the intensity of the
VEGF density in the epithelium, microvessel walls, plas-
macells, and submucosal glands, using a semi-quantitative
grading system from 0 to 4 (0, none; 1, trace; 2, weak; 3,
moderate; 4, strong). Granulation tissue was scored from 0
to 2 (0, none; 1, (sub)mucosal; 2, intraluminal protrusion).
At a magnification of 400 £ , the area of fibrosis was scored
as a percentage of the entire surface visible within that
high power field. Considering the length of the tissue
cuts in relation to a point zero, being the interface between
VEGF pretreated half-patches and saline half-patches, 4
mm thick zones were considered and labeled 11 and 12
as the distance from point 0 increased. Thus, ‘contamina-
tion’ from pretreatment of one half-patch to another
(VEGF versus saline) would be minimal at the two extre-
mity 12 zones. Initially, mean scores were determined
for each zone and compared across the various animals
and repairs. As there was no significant difference between
any of the zones, mean values including zones 0, 11 and
12 with standard deviations were calculated and intro-
duced in the statistical analysis, which used a paired
Student’s t-test.
3. Results
3.1. Stage 1
Tracheal specimens soaked in saline placebo did not stain
for VEGF at any exposure time, suggesting that local
production of VEGF does not occur after complete devas-
cularization after such a short interval before fixation in
formalin. At the lower concentration of 2 mg/ml, no detect-
able staining was noted until 30 min, and then only lightly in
the superficial epithelial layer. This was comparable to the
superficial and light staining at 10 mg/ml which had already
occurred after 5 min of treatment.
Deeper and more intense staining in the (sub)epithelial
layer was similarly achieved with 5 mg/ml at 30 min of
exposure or longer, and with 10 mg/ml at 15 min or longer.
According to these results, we decided to expose the two
surgical repair groups (AUTO and PERIC) to a topical treat-
ment with exogenous VEGF at concentrations of 5 mg/ml
during an exposure interval of 30 min. Exposure intervals of
30 min were not rational in the STENT group, as this inert
material was not expected to soak up any VEGF. Also, in
the control group, a prolonged injection of VEGF lasting 30
min was not possible, and hence the exposure to VEGF was
of the pulse type. These two groups constitute a difference
with regards to study design relating to the stage 1 in vitro
study, even if the same concentration of 5 mg/ml was used.
A. Dodge-Khatami et al. / European Journal of Cardio-thoracic Surgery 23 (2003) 6–148
3.2. Stage 2
3.2.1. Clinical aspect
All six rabbits in the AUTO group fared well until the
scheduled sacrificed date at 4 months postoperatively, as did
five rabbits in the VEGF control group, and three rabbits in
the PERIC group. One rabbit in the VEGF injection control
group died. As this operation entailed no surgical trauma to
the airway, the animal’s demise was probably related to
excessive anesthesia and hypoxia, as it never woke up.
Progressive respiratory distress resulted in premature sacri-
fice in three rabbits from the PERIC group at 3 months. This
was even more striking in the STENT group. Amongst the
six rabbits who had received intraluminal stents, three
expired at 1 month, and another three expired at 2 months.
3.2.2. Macroscopic aspect
In concordance with the clinical outcomes, both in the
AUTO group and in controls, the inner aspect of the tracheal
lumen was smooth and widely patent. Interestingly, there
was no visible difference between the upper half of the
patch, which had been pretreated with VEGF, and the
lower control half-patch. In the PERIC group, a thin
protruding ridge into the tracheal lumen was present along
the entire length of the anastomotic line, and again, equally
at both pretreated and control half-patch suture lines. The
lumen of the six rabbits after stent placement was grossly
stenosed, with granulation tissue bulging through the stent
meshwork along its entire inner surface.
3.2.3. Microscopic aspect
In contrast with the morphological characteristics
described above, no statistical difference in the intensity
of immunohistochemical staining was found between the
VEGF pretreated zones and the saline zones, although
VEGF staining was consistently more intense in the
VEGF-treated zones. Accordingly, for the grading system
and statistical analysis, we decided to combine the results
with regards to the VEGF density of zones 0, 11 or 12 on
both the VEGF and saline extremities. These are presented
as a mean value of the VEGF and saline results.
With regards to fibrosis, however, the saline zones
systematically contained a higher percentage compared to
the VEGF-pretreated zones, suggesting an inhibitory effect
of topical VEGF on the inflammatory response (Table 1).
This was statistically significant when considering fibrosis
after pericardial repair in non-treated zones as compared
with autograft repair or controls (P , 0:05 and P , 0:04,
respectively). Also, granulation tissue was less in the
VEGF-pretreated zones after pericardial repair and stent
A. Dodge-Khatami et al. / European Journal of Cardio-thoracic Surgery 23 (2003) 6–14 9
Table 1
Results of histological analysisa
AUTO 4 months PERIC 3 months PERIC 4 months STENT 2 months Control 4 months
Granulation tissue
Saline 0.0 ^ 0.0 1.0 ^ 0.9 0.3 ^ 0.5 0.4 ^ 0.7 0.0 ^ 0.0
VEGF 0.0 ^ 0.0 0.3 ^ 0.5 0.0 ^ 0.0 0.9 ^ 0.9 0.0 ^ 0.0
P value – , 0.7 , 0.08 , 0.3 –
Fibrosis (%)
Saline 0.8 ^ 2.9 12.5 ^ 17.5 13.3 ^ 15.8 7.8 ^ 13.7 0.0 ^ 0.0
VEGF 0.0 ^ 0.0 4.2 ^ 8.0 2.8 ^ 6.7 2.8 ^ 5.1 0.0 ^ 0.0
P value , 0.4 , 0.3 , 0.1 , 0.4 –
a
AUTO, autograft; PERIC, pericardial repair.
Fig. 1. (a,b) Immunohistochemical detection of VEGF at 4 months post-
operatively. Trachea from a control rabbit (a) and after autograft repair (b).
Original magnification 400 £ . Open arrows indicate strong positivity of the
epithelium for VEGF, and a closed arrow indicates strong VEGF positivity
in plasmacells. * indicates trace positivity of the endothelium for VEGF. L,
lumen; E, epithelium; S, subepithelium.
insertion, as compared to the saline zones, although this did
not reach statistical significance (Table 1).
Amongst each group where a difference in sacrifice inter-
val occurred (PERIC and STENT), mean values were calcu-
lated confounding the different time end-points. First and
foremost, at all time intervals and for each type of repair
material utilized, VEGF was present in granulation tissue, in
the epithelium (Fig. 1a,b), in blood vessels, plasmacells, and
submucosal glands, in both VEGF-treated and non-treated
saline zones.
In the AUTO group, no granulation tissue was found at
the 4 month sacrifice date (0.0 ^ 0.0), and fibrosis was
absent in the VEGF-treated zones (0.0 ^ 0.0%) (Fig. 2a).
The intensity of epithelial VEGF was graded at 2.7 ^ 1.0,
while vascular wall density was 0.4 ^ 0.6, plasmacell
density 1.9 ^ 0.9, and glandular density 1.8 ^ 1.2.
In the control group, no granulation tissue or fibrosis was
observed at 4 months (0.0 ^ 0.0). Epithelial VEGF intensity
was a low 0.4 ^ 0.6, and measured 0.2 ^ 0.4 in the vascular
wall, 0.2 ^ 0.4 in plasmacells, and 0.1 ^ 0.2 in the glands.
In the PERIC group, epithelial VEGF was 2.2 ^ 0.5,
VEGF vascular wall density 0.4 ^ 0.7, plasmacell VEGF
1.9 ^ 0.7, and glandular VEGF 1.7 ^ 0.5.
In the STENT group, there were large amounts of gran-
ulation tissue, which protruded through the stent meshwork,
partially reducing the airway lumen (Fig. 2b). Fibrosis
reached a high 40% in some specimens but averaged
7.8 ^ 13.7% over time, and probably contributed to the
early demise of all six rabbits from airway obstruction
(Fig. 2c). Epithelial VEGF was 1.1 ^ 0.2, glandular
VEGF 1.0 ^ 0.3, vascular wall VEGF 0.3 ^ 0.4, and plas-
macell VEGF 0.8 ^ 0.6.
Comparative results of immunohistochemical staining for
VEGF between the various reconstruction materials are
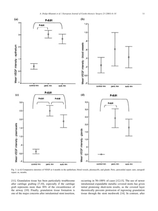
shown in Fig. 3.
4. Discussion
Minimizing surgical trauma, avoiding anastomotic
tension, and preventing infection have invariably been
promoted in an attempt to create a favorable environment
for postoperative anastomotic healing of the major airway.
This applies to the repairs of congenital tracheal stenosis,
post-intubation injury, inhalation stricture, stenosis in the
setting of neoplastic disease, or after lung transplantation
[4,6–8]. Unfortunately, and in spite of all current efforts,
granulation tissue formation, fibrosis, and resultant stenosis
of the airway remain unpredictable, and still account for
unfavorable outcomes after what appears to be successful
surgical repair [8–11].
Not only does recurrent granulation tissue frequently
require repeat bronchoscopy for therapeutic dilation or
debridement, it progresses to fibrosis and fixed narrowing
of the airway, which may lead to recurrent respiratory
distress, the need for intubation and mechanical ventilation,
and even repeat surgical intervention [7–10]. Debridement
and/or reoperation for recurrent stenosis from obstructive
granulation tissue has been reported after all types of surgi-
cal repair. After anterior pericardial patch tracheoplasty,
Bando et al. reported only minor granulation tissue in two
patients from a series of 12 (16.7%), who did not require
reoperation, but simple bronchoscopic debridement [9].
Backer et al. reoperated on 25% of their patients who had
initially undergone pericardial patch tracheoplasty, at a
mean interval of 4.7 ^ 1.9 months after the first operation
A. Dodge-Khatami et al. / European Journal of Cardio-thoracic Surgery 23 (2003) 6–1410
Fig. 2. (a–c) Trachea from a rabbit 4 months after autograft repair (a) with a
wide open lumen (L), no granulation tissue and minimal fibrosis in the
epithelium (E) and subepithelium (S) (250 £ ), as compared to that of a
rabbit 2 months after stent insertion with granulation tissue (closed arrow)
protruding into the lumen (b), and subepithelial fibrosis (*) in the saline
zone (c) (400 £ ). Elastica von Gieson staining.
[11]. Granulation tissue has been particularly troublesome
after cartilage grafting [7,10], especially if the cartilage
graft represents more than 30% of the circumference of
the airway [10]. Finally, granulation tissue formation is
one of the major concerns after intraluminal stent insertion,
occurring in 50–100% of cases [12,13]. The use of newer
intraluminal expandable metallic covered stents has given
initial promising short-term results, as the covered layer
theoretically prevents protrusion of ingrowing granulation
tissue through the stent meshwork [14]. In contrast, after
A. Dodge-Khatami et al. / European Journal of Cardio-thoracic Surgery 23 (2003) 6–14 11
Fig. 3. (a–d) Comparative densities of VEGF at 4 months in the epithelium, blood vessels, plasmacells, and glands. Peric, pericardial repair; auto, autograft
repair; m, months.
tracheal autograft repair, the experienced group from Chil-
dren’s Memorial Hospital in Chicago report only one rein-
tervention for insertion of a Palmaz intraluminal stent in a
series of 15 patients (6.7%), which was for recurrent steno-
sis of the pericardial patch portion of a composite autograft/
pericardium repair [8]. These excellent clinical results and
relative freedom from recurrent granulation tissue after
autograft repair concord with our current results, as well
as with the first author’s previous experience using the
same rabbit model of autograft reconstruction [6].
Exogenous topical VEGF is a proposed treatment modal-
ity, attempting favorably to influence tracheal anastomotic
healing. At the time of surgical insult, an improved balance
in local supply and demand for oxygen/hemoglobin may be
achieved, through a one-time boost of VEGF-induced
release of endothelial nitric oxide and resultant vasodilation
[15]. Postoperatively in a more timely fashion, through its
local angiogenic effect and enhancement of vascular perme-
ability with the afflux of reparative inflammatory cells, the
healing process may further be promoted. In a previous
study by the first author [6] using the same surgical model
of tracheal autograft anterior patch plasty in 16 VEGF-trea-
ted and 16 control rabbits, topical VEGF (5 mg/ml during 15
min) accelerated autograft revascularization, reduced
submucosal fibrosis and inflammation, and preserved
normal tracheal architecture, as compared to controls, at a
sacrifice interval of 2 months postoperatively. In the current
study, after a 4 month sacrifice interval, minimal concentra-
tion (5 mg/ml) and exposure time (30 min) to topical VEGF
were found to enhance healing in the AUTO group, and are
judged to be safe in rabbits. Indeed, the rabbits were clini-
cally asymptomatic and tracheal wall angiogenesis and
edema were controlled. Longer exposure or higher doses
are unnecessary, expensive, and may have unwanted side
effects. By elaborating a safe animal model with long-term
survival, it is hoped to promote the use of topical VEGF in
human trials.
Through reduced anastomotic granulation and fibrous
tissue after pretreatment with topical VEGF, postoperative
airway healing is enhanced and morbidity reduced. Fibrous
tissue at the repair site diminished with all repair materials
except after stent insertion. We found autograft repair to
have the best healing characteristics and clinical course,
as confirmed histologically by the absence of granulation
tissue and minimal fibrosis. This may be due to the effect of
topical VEGF, but also to the intrinsic advantage in using
autologous tracheal tissue for reconstruction. As mentioned
previously, excellent clinical results using the autograft
repair without the adjunct of VEGF are reported, making
this the procedure of choice for some [8]. Pericardial patch
repair gave clinically satisfactory early results, yet all
rabbits did not reach the predetermined sacrifice date,
owing to increasing respiratory distress. Histologically,
this was illustrated by a relatively higher degree of intra-
luminal fibrosis and granulation tissue, as compared to auto-
graft repair. Xenopericardium was used in our experiment,
and issues pertaining to foreign body rejection and immu-
nology may have played a role. A direct comparison
between our findings and the use of autologous pericardium
for tracheal reconstruction, as is performed in many centers
with good results [9,11], is therefore not totally straightfor-
ward. Intraluminal stents performed the worst in our study,
both clinically with a 100% precocious mortality from
respiratory distress, and histologically with maximal
obstructing intraluminal granulation tissue and fibrosis.
This concurs with the mediocre results in the literature,
where stents are mostly used for either inoperable lesions
[14], difficult reoperations [12], or as bail out procedures
[13,16]. Although the mean degree of fibrosis observed was
only slightly higher in stents as compared to xenopericardial
repair, the sacrifice interval was much shorter for rabbits
with indwelling stents (1–2 months versus 3–4 months).
One could speculate that a longer sacrifice interval in the
STENT group would have allowed for more time to develop
fibrosis, had the rabbits survived the progressive airway
obstruction.
Interestingly, in the same animal, VEGF-pretreated zones
and control saline zones did not significantly differ in VEGF
staining at the (sub)epithelial level, although there was a
trend towards a higher density in the VEGF-pretreated
zones. This may suggest either one of two things or both:
(1) that the observed VEGF density is actually additional
locally secreted VEGF in the setting of postoperative
inflammation and healing, rather than solely the pretreat-
ment of VEGF at the time of surgery; or (2) that the topical
VEGF treatment was ‘washed over’ to the saline control
zone, as a result of the to-and-fro motion of respiration
and carried air-VEGF particles. The first phenomenon is
suggested by the high concentration of VEGF found in plas-
macells. High plasmacell VEGF concentrations have been
found in various chronic inflammatory disorders, such as
human periodontal disease [17], nasal, uterine, and gastric
polyps, human B cell leukemia and plasmacytoma [18]. In
these diseases, it is speculated that plasmacell production of
VEGF plays an important role in the development of edema
[18], either as a pathological response, or as a part of a
healing process [17]. Inversely, diseases such as diabetes,
smoking, or simply older age, which are associated with
impaired wound healing, have been associated with low
tissue VEGF levels [17,19]. Local production of VEGF,
mainly by plasmacells, but also by submucosal gland cells
and microvascular endothelial cells, rather than topical
pretreatment with exogenous VEGF alone, may play an
important role in postoperative tracheal healing, although
this remains speculative. The time interval at which this
occurs remains unknown, and further investigation may
elucidate this. The significance of increasing levels of
epithelial glandular VEGF with time is also unknown, and
only speculation may be made as to its role in promoting
local healing.
In conclusion, the postoperative healing of rabbit trachea
was favorably influenced by exogenous topical VEGF, given
A. Dodge-Khatami et al. / European Journal of Cardio-thoracic Surgery 23 (2003) 6–1412
as a pulse treatment at the time of surgery, by favorably influ-
encing the local tissue supply-and-demand balance for nutri-
ents and reparatory cells. After surgical repair, ongoing
intrinsic local production of VEGF, probably by plasmacells,
occurred in a more timely fashion, although its relative role in
tracheal healing is yet to be determined. Autograft tracheal
reconstruction gave the best clinical and histological healing
results, when compared to xenopericardium reconstruction or
insertionofintraluminalstents.Thiswasseenevenwithoutthe
adjunct of exogenous topical VEGF, which nonetheless
further enhanced the quality of local repair, as was histologi-
cally quantified during our study. The intense early inflamma-
tion and fibrosis induced by stents were unhindered by VEGF,
and led to critical airway obstruction, respiratory insufficiency
and ultimately to early death.
4.1. Study limitations
The small number of animals reduces statistical power and
limits the value of the present study. A limitation pertaining to
the study design lies in the difference of exposure to topical
VEGF between the AUTO 1 PERIC groups and the
STENT 1 control groups. Owing to obvious practical reasons
relating to syringe injections, inert stents or the controls were
not exposed to 30 min of VEGF, as preconized in the in vitro
stage 1 study. Also, injecting topical VEGF along the entire
tracheal length in animals with stents or controls was judged to
potentially enhance any ‘washover effect’ with regards to the
saline and VEGF zones. The circumferential injections at both
tracheal extremities gave local information with regards to
tissue reaction towards saline versus VEGF.
Acknowledgements
Dr Niessen is a recipient of the Dr E. Dekker program of
the Netherlands Heart Foundation (D99025).
References
[1] Bryant LR. Replacement of tracheobronchial defects with autogenous
pericardium. J Thorac Cardiovasc Surg 1964;48:733–740.
[2] Cheng ATL, Backer CL, Holinger LD, Dunham ME, Mavroudis C,
Gonzales-Crussi F. Histopathological changes after pericardial patch
tracheoplasty. Arch Otolaryngol Head Neck Surg1997;123:1069–1072.
[3] Nissen NN, Polverini PJ, Koch AE, Volin MV, Gamelli RL, DiPietro
LA. Vascular endothelial growth factor mediates angiogenic activity
during the proliferative phase of wound healing. Am J Pathol
1998;152:1445–1452.
[4] Pokharel RP, Maeda K, Yamamoto T, Noguchi K, Iwai Y, Nakamura
H, Iijima K. Expression of vascular endothelial growth factor in
exuberant tracheal granulation tissue in children. J Pathol
1999;188:82–86.
[5] Witzenbichler B, Asahara T, Murohara T, Silver M, Spyridopoulos I,
Magner M, Principe N, Kearney M, Hu JS, Isner JM. Vascular
endothelial growth factor-C (VEGF-C/VEGF-2) promotes angiogen-
esis in the setting of tissue ischemia. Am J Pathol 1998;153:381–394.
[6] Dodge-Khatami A, Backer CL, Crawford SE, Cook KE, Mavroudis
C. Healing of a free tracheal autograft is enhanced by topical vascular
endothelial growth factor (VEGF) in an experimental rabbit model. J
Thorac Cardiovasc Surg 2001;122:554–561.
[7] Dunham ME, Holinger LD, Backer CL, Mavroudis C. Management
of severe congenital tracheal stenosis. Ann Otol Rhinol Laryngol
1994;103:351–356.
[8] Backer CL, Mavroudis C, Holinger LD. Repair of congenital tracheal
stenosis. Semin Thorac Cardiovasc Surg Pediatr Card Surg Annu
2002;5:173–186.
[9] Bando K, Turrentine MW, Sun K, Sharp TG, Matt B, Karmazyn B,
Heifetz SA, Stevens J, Kesler KA, Brown JW. Anterior pericardial
tracheoplasty for congenital tracheal stenosis: intermediate to long-
term outcomes. Ann Thorac Surg 1996;62:981–989.
[10] DeLorimier AA, Harrison MR, Hardy K, Howell LJ, Adzick NS.
Tracheobronchial obstructions in infants and children. Ann Surg
1990;212:277–289.
[11] Backer CL, Mavroudis C, Dunham ME, Holinger LD. Reoperation after
pericardial patch tracheoplasty. J Pediatr Surg 1997;32:1108–1112.
[12] Furman RH, Backer CL, Dunham ME, Donaldson J, Mavroudis C,
Holinger LD. The use of balloon-expandable metallic stents in the
treatment of pediatric tracheomalacia and bronchomalacia. Arch
Otolaryngol Head Neck Surg 1999;125:203–207.
[13] Filler RM, Forte V, Fraga JC, Matute J. The use of expandable metal-
lic airway stents for tracheobronchial obstruction in children. J Pediatr
Surg 1995;30:1050–1056.
[14] Madden BP, Datta S, Charokopos N. Experience with Ultraflex
expandable metallic stents in the management of endobronchial
pathology. Ann Thorac Surg 2002;73:938–944.
[15] Howdieshell TR, Riegner C, Gupta V, Callaway D, Grembowicz K,
Sathyanarayana, McNeil PL. Normoxic wound fluid contains high
levels of vascular endothelial growth factors. Ann Surg
1998;228:707–715.
[16] Bugmann P, Rouge J-C, Berner M, Friedli B, Le Coultre C. Use of
Gianturco Z stents in the treatment of vascular compression of the
tracheobronchial tree in childhood; a feasible solution when surgery
fails. Chest 1994;106:1580–1582.
[17] Booth V, Young S, Cruchley A, Taichman NS, Paleolog E. Vascular
endothelial growth factor in human periodontal disease. J Periodont
Res 1998;33:491–499.
[18] Ito A, Hirota S, Mizuno H, Kawasaki Y, Takemura T, Nishiura T,
Kanakura Y, Katayama Y, Nomura S, Kitamura Y. Expression of
vascular permeability factor (VPF/VEGF) messenger RNA by plasma
cells: possible involvement in the development of edema in chronic
inflammation. Pathol Int 1995;45:715–720.
[19] Ben-Av P, Crofford LJ, Wilder RL, Hla T. Induction of vascular
endothelial growth factor expression in synovial fibroblasts by pros-
taglandin E and interleukin-1: a potential mechanism for inflamma-
tory angiogenesis. FEBS Lett 1995;372:83–87.
Appendix A. Conference discussion
Mr B. Keogh (Birmingham, UK): Why do you think that the injection of
saline produced a similar response to the injection of VEGF and do you
think there are any parallels with the fact that in the heart, for example, if
you simply do multiple injections you can provoke the production of VEGF
to the same extent as if you inject the genes?
Dr Dodge-Khatami: I think one part of your question could be answered
simply by the study design. The fact that we used half patches with one
being treated and one not gives us a problem. There are two speculations to
interpret this.
Number one, there is a to-and-fro motion of air, which could potentially
carry particles from the VEGF-treated half patch towards the saline one.
Nonetheless, although it wasn’t significant, there was a difference at each
point in each type of repair between the saline zones and the VEGF zones,
in favor of the VEGF zones. Therefore, we do have reason to think that it is
the VEGF pretreatment that showed the improved effect of the healing as
opposed to the saline.
A. Dodge-Khatami et al. / European Journal of Cardio-thoracic Surgery 23 (2003) 6–14 13
Secondly, this correlates with what is found in the literature concerning
other inflammatory diseases and the presence of VEGF in plasmacells.
There are other chronic inflammatory diseases, such as periodontal disease,
gastric and nasal polyps, plasmocytomas, and some leukemias where there
has been an increased VEGF production seen in the plasmacells. Some
speculate that it is a normal reaction during healing, and others think it is
an abnormal response with edema. The fact that we also found even in the
nontreated zones, in other words, in the saline zones, a stronger presence of
VEGF in the plasmacells makes us think that there is local production on
top of the pretreatment. But that is very difficult to actually prove, and at
what time it occurs during the healing process is also fairly unknown. I
cannot make a parallel with the heart.
A. Dodge-Khatami et al. / European Journal of Cardio-thoracic Surgery 23 (2003) 6–1414

trachea VEGF

  • 1.
    Topical vascular endothelialgrowth factor in rabbit tracheal surgery: comparative effect on healing using various reconstruction materials and intraluminal stentsq A. Dodge-Khatamia,*, H.W.M. Niessenb , A. Baidoshvilib , T.M. van Gulikc , M.G. Kleinc , L. Eijsmana , B.A.J.M. de Mola a Division of Cardiothoracic Surgery, Academic Medical Center, University of Amsterdam, Amsterdam, The Netherlands b Department of Pathology, Vrije Univerisiteit Medical Center, Amsterdam, The Netherlands c Division of Experimental Surgery, Academic Medical Center, University of Amsterdam, Amsterdam, The Netherlands Received 18 July 2002; received in revised form 17 September 2002; accepted 21 October 2002 Abstract Objectives: The effect of topical vascular endothelial growth factor (VEGF) on post-surgical tracheal healing using various reconstruction materials was studied, with particular regard to prevention of granulation tissue or fibrosis. Methods: Twenty-four New Zealand White rabbits underwent survival surgery using autograft patches (n ¼ 6), xenopericardium patches (n ¼ 6), intraluminal Palmaz wire stents (n ¼ 6), and controls (n ¼ 6). Autograft and pericardial half-patches were soaked in topical VEGF (5 mg/ml over 30 min) and saline before reimplantation. Stents and controls received circumferential injections of VEGF and saline in the tracheal wall. At 1–4 months postopera- tively, specimens of sacrificed animals were stained with anti-VEGF antibody, followed by morphological and immunohistochemical examination. Results: Rabbits with autografts and controls fared well until planned sacrifice. After xenopericardium repair, obstructive intraluminal granulation tissue led to early sacrifice in three rabbits. Stent insertion led to earlier death from airway obstruction in all six rabbits. Topical VEGF reduced granulation tissue after pericardial repair and fibrosis in all repairs except in stents. Remarkably, VEGF- pretreated half-patches and saline half-patches stained similarly high for VEGF, suggesting also local production of VEGF, probably in plasmacells, and in submucosal glands. Conclusions: Autograft repair induces the least granulation tissue and fibrosis, and the best healing pattern. Stents rapidly induced critical airway obstruction, unhindered by VEGF, leading to premature death. Tracheal pretreatment with topical VEGF reduces postoperative fibrosis after autograft and pericardial patch repairs, and reduces granulation tissue after xenopericar- dium repair. In time, VEGF is probably locally produced, although its potential role in tracheal healing remains to be established. q 2002 Elsevier Science B.V. All rights reserved. Keywords: Trachea; Healing; Vascular endothelial growth factor; Granulation tissue; Stent 1. Introduction To date, healing of the major airways after any type of insult, be it traumatic, chemical or surgical, has been marred by the formation of excessive granulation tissue at the site of epithelial disruption. Clinically, this presents as progressive or acute respiratory distress from various degrees of intra- luminal obstruction, ranging from mild stenosis to complete obliteration of the airway. Histologically, healing of the respiratory epithelium usually occurs through migration of adjacent secretory and squamous epithelial cells to cover the defect, followed by hyperplasia and stratification, metaplasia of the epithelium to pseudostratified columnar epithelium, and differentiation into ciliated respiratory epithelium [1,2]. Any mechanism disrupting this sequence of events will hinder appropriate inner coating of the airway lumen with functional specia- lized respiratory cells, and hence represents a matrix for granulation tissue, consisting of fibroblasts, inflammatory cells, and interstitial fluid [2]. Vascular endothelial growth factor (VEGF) is an endo- genous protein, secreted mainly by macrophages and fibro- European Journal of Cardio-thoracic Surgery 23 (2003) 6–14 1010-7940/02/$ - see front matter q 2002 Elsevier Science B.V. All rights reserved. PII: S1010-7940(02)00722-4 www.elsevier.com/locate/ejcts q Presented at the 16th Annual Meeting of the European Association for Cardio-thoracic Surgery, Monte Carlo, Monaco, September 22–25, 2002. * Corresponding author. Division of Cardiothoracic Surgery, Academic Medical Center, University of Amsterdam, Postbus 22660, 1100 DD Amsterdam, The Netherlands. Tel.: 131-20-566-6005; fax: 131-20-696- 2289. E-mail address: a.dodgekhatami@amc.uva.nl (A. Dodge-Khatami).
  • 2.
    blasts, whose localproduction is enhanced in the setting of ischemia, hypoxia, and anemia [3]. It is a potent angiogenic factor, increases vascular permeability, is involved in tissue healing, and has been found in tracheal granulation tissue in children [4,5]. Recent evidence using this same rabbit model revealed the enhancing effect of topical recombinant human VEGF on tracheal autograft healing, although this was performed with a concentration of VEGF (5 mg/ml), an intraoperative exposure time (15 min), and postoperative sacrifice interval (2 months) that were arbitrary [6]. Poten- tial mechanisms favoring tissue healing at the time of surgi- cal insult include VEGF-induced vasodilation, which creates a more favorable local oxygen/hemoglobin supply, and increases permeability towards reparatory inflammatory cells [6]. The angiogenesis induced by VEGF in a more intermediate time frame is a second presumed positive effect [6]. However, the potential for uncontrolled angio- genesis and increased tissue edema that may occur in time by exogenous VEGF currently needs more investigation, before its clinical application is judged safe. This study set to establish a protocol for optimal penetra- tion of topical VEGF, at safe concentrations and exposure intervals, with a pilot study using a rabbit model. Optimal penetration was defined as at least moderate staining of VEGF in the (sub)epithelial level, where microvessels are at their most dense, and where VEGF-induced angiogenesis exerts its maximal effect [6]. Following the pilot study, the in vivo characteristics of exogenous VEGF in the tracheal wall were studied in a rabbit survival model comparing various reconstruction materials and stents which are commonly used in clinical surgical practice. Elaborating a safe long-term animal survival model may promote the use of topical VEGF in human trials. This may be achieved by establishing a VEGF treatment protocol which delivers the desired boost of blood nutrients and reparatory cells at the time of surgery, while demonstrating controlled tracheal wall angiogenesis and edema during the normal inflammatory and healing process afterwards. Through reduced anastomotic granulation tissue and fibrosis after pretreatment with topical VEGF, it is hoped to improve postoperative airway healing, and thereby reduce morbidity after tracheal surgery. 2. Materials and methods The study was performed in two stages: an initial in vitro study in which an optimal exogenous VEGF concentration and exposure time were sought, and a second in vivo survi- val study which compared the effect of topical exogenous VEGF, at the concentration and exposure time determined by stage 1, on different reconstruction materials during tracheal surgery. The anesthetic and surgical protocol has been described elsewhere in detail by the first author, and was applied at both stages of the study [6]. The study proto- col was reviewed and accepted by the Hospital Research Ethics Committee. All animals received humane care in compliance with the ‘Guide for the Care and Use of Labora- tory Animals’ prepared by the Institute of Laboratory Animal Resources, and published by the National Academy Press, revised 1996. 2.1. Stage 1 Four New Zealand White rabbits (2.1–2.8 kg) underwent surgery for harvesting of tracheal specimens according to the study protocol. From each rabbit, 20 pieces of trachea were excised for a total of 80 pieces, measuring approxi- mately 3 £ 3 mm. These were soaked in solutions of either placebo saline or increasing concentrations of human recombinant VEGF (R&D Systems, Minneapolis, MN), arbitrarily at 2, 5, and 10 mg/ml. The duration of exposure to the topical treatment or placebo increased from 1, 5, 15, and 30 to 45 min, before being taken out of the solution for fixing and staining. As this stage was not a survival study, and the defects in the trachea were too long to be recon- structed, the animals were not awakened from anesthesia and sacrificed using intramuscular pentobarbital (100 mg/ kg). 2.1.1. Processing of tissue specimens The specimens were fixed in 4% formalin and subse- quently embedded in paraffin. Paraffin-embedded tissue sections (4 mm) were mounted on microscope slides and were deparaffinized for 10 min in xylene at room tempera- ture, and then rehydrated through descending concentra- tions of ethanol. Sections were then stained with hematoxylin–eosin. 2.1.2. Immunohistochemical detection of VEGF For staining with VEGF, the sections were preincubated in citrate (pH 6) at 360 8C over 10 min. Thereafter, sections were treated with 0.3% H2O2 in methanol for 30 min to block endogenous peroxidase activity. Sections were then preincubated with normal rabbit serum (1:50 A/S, Glostrup, Denmark) for 10 min at room temperature, and incubated for 60 min with anti-human VEGF antibodies (1:50, total goat IgG, R&D Systems, Minneapolis, MN). After washing in phosphate-buffered saline (PBS), sections were incubated for 30 min with rabbit-anti-mouse biotin labeled antibody (1:500, Vector), and subsequently washed in PBS. After incubation with biotin labeled streptavidin-horseradish peroxidase (HRP) (1:200 Dako A/S) for 60 min at room temperature, HRP was visualized with 3,3-diamino-benzi- dine-tetrahydrochloride/H2O2 (Sigma, St. Louis, MO) for 3– 5 min. Two independent investigators (A.D.-K., H.W.M.N.) were blinded to the repair and treatment segments, each judging and scoring all slides for anatomical localization of specific antibody, as visualized by immunohistochemical staining. For the final scoring results, consensus was achieved by the two investigators. A. Dodge-Khatami et al. / European Journal of Cardio-thoracic Surgery 23 (2003) 6–14 7
  • 3.
    2.2. Stage 2 Ina survival model, 24 New Zealand White rabbits underwent surgery according to our protocol. At the end of the procedure, they were extubated and cared for until the predetermined sacrifice interval of 4 months. Surgical repair included two groups of six rabbits. In each group, surgery simulated anterior patch plasty repair of the trachea. The first group (n ¼ 6) underwent autograft repair (AUTO), consisting of excision of an anterior ellipse of tracheal wall, measuring four to six cartilage rings in length and one-third of the tracheal circumference. The harvested autograft was then cut in two halves, one soaked in exogenous VEGF, and the other in control placebo saline. Multiple interrupted 6-0 polydioxanone (PDS) sutures were circumferentially placed during this topical treatment interval. The two half-patches were then sutured together (VEGF-half superiorly) and into place to fill the tracheal defect. The second group (n ¼ 6) underwent pericardial patch repair (PERIC), using bovine pericardium (Shelhigh Incorporated No-React, Milburn, NJ). In the same fashion and size as the autograft group, this consisted of an anterior upper half-patch of VEGF-trea- ted bovine pericardium, and a lower half-patch of saline placebo pericardial patch. Group 3 (n ¼ 6) underwent intra- luminal stent placement (STENT), using balloon-expand- able stainless steel wire Corinthean-Palmaz stents (Johnson & Johnson Interventional Systems, Warren, NJ), measuring 5 £ 17 mm. After exposure of the trachea, a hori- zontal anterior incision was made into the trachea, two to three rings below the vocal cords. Under direct surgical vision, the undeployed stent with its sheath was introduced distally into the trachea, and deployed until firm attachment to the inner tracheal wall was evident. The stent was secured in place from the outside with two transfixing 6-0 PDS sutures at each stent extremity, to avoid stent migration. Half a milliliter of topical VEGF (5 mg/ml) was circumfer- entially injected into the tracheal wall at the level of the superior securing stitch, which was used as a marker for the subsequent histological studies. The lower end of the tracheal wall and indwelling stent was also circumferen- tially injected with 0.5 cc of saline. Finally, a control group (n ¼ 6) was used to represent no surgical or stent- related trauma of the inner lumen respiratory epithelium. These animals were induced with intramuscular aceproma- zine and ketamine-xylazine as per protocol, but were not intubated or anesthetized. With supplementary mask oxygen in a spontaneously breathing rabbit, surgical expo- sure of the trachea was obtained, and topical VEGF (5 mg/ ml) and saline were circumferentially injected into the tracheal wall at the level of external marking sutures. The wound was closed and the animals awakened. At a predetermined survival interval of 4 months, animals were sacrificed with intramuscular pentobarbital (100 mg/ kg). The trachea were harvested from cricoid to carina, and were opened posteriorly in a longitudinal fashion, so as to leave the anterior tracheal patch repairs intact. The stents were initially cut through posteriorly, and carefully peeled away from the intraluminal tracheal surface, so as to leave the underlying tissue relatively undisturbed. Fixation of tracheal specimens and VEGF staining was performed as described after stage 1. Microscoping evalua- tion was performed with regards to the intensity of the VEGF density in the epithelium, microvessel walls, plas- macells, and submucosal glands, using a semi-quantitative grading system from 0 to 4 (0, none; 1, trace; 2, weak; 3, moderate; 4, strong). Granulation tissue was scored from 0 to 2 (0, none; 1, (sub)mucosal; 2, intraluminal protrusion). At a magnification of 400 £ , the area of fibrosis was scored as a percentage of the entire surface visible within that high power field. Considering the length of the tissue cuts in relation to a point zero, being the interface between VEGF pretreated half-patches and saline half-patches, 4 mm thick zones were considered and labeled 11 and 12 as the distance from point 0 increased. Thus, ‘contamina- tion’ from pretreatment of one half-patch to another (VEGF versus saline) would be minimal at the two extre- mity 12 zones. Initially, mean scores were determined for each zone and compared across the various animals and repairs. As there was no significant difference between any of the zones, mean values including zones 0, 11 and 12 with standard deviations were calculated and intro- duced in the statistical analysis, which used a paired Student’s t-test. 3. Results 3.1. Stage 1 Tracheal specimens soaked in saline placebo did not stain for VEGF at any exposure time, suggesting that local production of VEGF does not occur after complete devas- cularization after such a short interval before fixation in formalin. At the lower concentration of 2 mg/ml, no detect- able staining was noted until 30 min, and then only lightly in the superficial epithelial layer. This was comparable to the superficial and light staining at 10 mg/ml which had already occurred after 5 min of treatment. Deeper and more intense staining in the (sub)epithelial layer was similarly achieved with 5 mg/ml at 30 min of exposure or longer, and with 10 mg/ml at 15 min or longer. According to these results, we decided to expose the two surgical repair groups (AUTO and PERIC) to a topical treat- ment with exogenous VEGF at concentrations of 5 mg/ml during an exposure interval of 30 min. Exposure intervals of 30 min were not rational in the STENT group, as this inert material was not expected to soak up any VEGF. Also, in the control group, a prolonged injection of VEGF lasting 30 min was not possible, and hence the exposure to VEGF was of the pulse type. These two groups constitute a difference with regards to study design relating to the stage 1 in vitro study, even if the same concentration of 5 mg/ml was used. A. Dodge-Khatami et al. / European Journal of Cardio-thoracic Surgery 23 (2003) 6–148
  • 4.
    3.2. Stage 2 3.2.1.Clinical aspect All six rabbits in the AUTO group fared well until the scheduled sacrificed date at 4 months postoperatively, as did five rabbits in the VEGF control group, and three rabbits in the PERIC group. One rabbit in the VEGF injection control group died. As this operation entailed no surgical trauma to the airway, the animal’s demise was probably related to excessive anesthesia and hypoxia, as it never woke up. Progressive respiratory distress resulted in premature sacri- fice in three rabbits from the PERIC group at 3 months. This was even more striking in the STENT group. Amongst the six rabbits who had received intraluminal stents, three expired at 1 month, and another three expired at 2 months. 3.2.2. Macroscopic aspect In concordance with the clinical outcomes, both in the AUTO group and in controls, the inner aspect of the tracheal lumen was smooth and widely patent. Interestingly, there was no visible difference between the upper half of the patch, which had been pretreated with VEGF, and the lower control half-patch. In the PERIC group, a thin protruding ridge into the tracheal lumen was present along the entire length of the anastomotic line, and again, equally at both pretreated and control half-patch suture lines. The lumen of the six rabbits after stent placement was grossly stenosed, with granulation tissue bulging through the stent meshwork along its entire inner surface. 3.2.3. Microscopic aspect In contrast with the morphological characteristics described above, no statistical difference in the intensity of immunohistochemical staining was found between the VEGF pretreated zones and the saline zones, although VEGF staining was consistently more intense in the VEGF-treated zones. Accordingly, for the grading system and statistical analysis, we decided to combine the results with regards to the VEGF density of zones 0, 11 or 12 on both the VEGF and saline extremities. These are presented as a mean value of the VEGF and saline results. With regards to fibrosis, however, the saline zones systematically contained a higher percentage compared to the VEGF-pretreated zones, suggesting an inhibitory effect of topical VEGF on the inflammatory response (Table 1). This was statistically significant when considering fibrosis after pericardial repair in non-treated zones as compared with autograft repair or controls (P , 0:05 and P , 0:04, respectively). Also, granulation tissue was less in the VEGF-pretreated zones after pericardial repair and stent A. Dodge-Khatami et al. / European Journal of Cardio-thoracic Surgery 23 (2003) 6–14 9 Table 1 Results of histological analysisa AUTO 4 months PERIC 3 months PERIC 4 months STENT 2 months Control 4 months Granulation tissue Saline 0.0 ^ 0.0 1.0 ^ 0.9 0.3 ^ 0.5 0.4 ^ 0.7 0.0 ^ 0.0 VEGF 0.0 ^ 0.0 0.3 ^ 0.5 0.0 ^ 0.0 0.9 ^ 0.9 0.0 ^ 0.0 P value – , 0.7 , 0.08 , 0.3 – Fibrosis (%) Saline 0.8 ^ 2.9 12.5 ^ 17.5 13.3 ^ 15.8 7.8 ^ 13.7 0.0 ^ 0.0 VEGF 0.0 ^ 0.0 4.2 ^ 8.0 2.8 ^ 6.7 2.8 ^ 5.1 0.0 ^ 0.0 P value , 0.4 , 0.3 , 0.1 , 0.4 – a AUTO, autograft; PERIC, pericardial repair. Fig. 1. (a,b) Immunohistochemical detection of VEGF at 4 months post- operatively. Trachea from a control rabbit (a) and after autograft repair (b). Original magnification 400 £ . Open arrows indicate strong positivity of the epithelium for VEGF, and a closed arrow indicates strong VEGF positivity in plasmacells. * indicates trace positivity of the endothelium for VEGF. L, lumen; E, epithelium; S, subepithelium.
  • 5.
    insertion, as comparedto the saline zones, although this did not reach statistical significance (Table 1). Amongst each group where a difference in sacrifice inter- val occurred (PERIC and STENT), mean values were calcu- lated confounding the different time end-points. First and foremost, at all time intervals and for each type of repair material utilized, VEGF was present in granulation tissue, in the epithelium (Fig. 1a,b), in blood vessels, plasmacells, and submucosal glands, in both VEGF-treated and non-treated saline zones. In the AUTO group, no granulation tissue was found at the 4 month sacrifice date (0.0 ^ 0.0), and fibrosis was absent in the VEGF-treated zones (0.0 ^ 0.0%) (Fig. 2a). The intensity of epithelial VEGF was graded at 2.7 ^ 1.0, while vascular wall density was 0.4 ^ 0.6, plasmacell density 1.9 ^ 0.9, and glandular density 1.8 ^ 1.2. In the control group, no granulation tissue or fibrosis was observed at 4 months (0.0 ^ 0.0). Epithelial VEGF intensity was a low 0.4 ^ 0.6, and measured 0.2 ^ 0.4 in the vascular wall, 0.2 ^ 0.4 in plasmacells, and 0.1 ^ 0.2 in the glands. In the PERIC group, epithelial VEGF was 2.2 ^ 0.5, VEGF vascular wall density 0.4 ^ 0.7, plasmacell VEGF 1.9 ^ 0.7, and glandular VEGF 1.7 ^ 0.5. In the STENT group, there were large amounts of gran- ulation tissue, which protruded through the stent meshwork, partially reducing the airway lumen (Fig. 2b). Fibrosis reached a high 40% in some specimens but averaged 7.8 ^ 13.7% over time, and probably contributed to the early demise of all six rabbits from airway obstruction (Fig. 2c). Epithelial VEGF was 1.1 ^ 0.2, glandular VEGF 1.0 ^ 0.3, vascular wall VEGF 0.3 ^ 0.4, and plas- macell VEGF 0.8 ^ 0.6. Comparative results of immunohistochemical staining for VEGF between the various reconstruction materials are shown in Fig. 3. 4. Discussion Minimizing surgical trauma, avoiding anastomotic tension, and preventing infection have invariably been promoted in an attempt to create a favorable environment for postoperative anastomotic healing of the major airway. This applies to the repairs of congenital tracheal stenosis, post-intubation injury, inhalation stricture, stenosis in the setting of neoplastic disease, or after lung transplantation [4,6–8]. Unfortunately, and in spite of all current efforts, granulation tissue formation, fibrosis, and resultant stenosis of the airway remain unpredictable, and still account for unfavorable outcomes after what appears to be successful surgical repair [8–11]. Not only does recurrent granulation tissue frequently require repeat bronchoscopy for therapeutic dilation or debridement, it progresses to fibrosis and fixed narrowing of the airway, which may lead to recurrent respiratory distress, the need for intubation and mechanical ventilation, and even repeat surgical intervention [7–10]. Debridement and/or reoperation for recurrent stenosis from obstructive granulation tissue has been reported after all types of surgi- cal repair. After anterior pericardial patch tracheoplasty, Bando et al. reported only minor granulation tissue in two patients from a series of 12 (16.7%), who did not require reoperation, but simple bronchoscopic debridement [9]. Backer et al. reoperated on 25% of their patients who had initially undergone pericardial patch tracheoplasty, at a mean interval of 4.7 ^ 1.9 months after the first operation A. Dodge-Khatami et al. / European Journal of Cardio-thoracic Surgery 23 (2003) 6–1410 Fig. 2. (a–c) Trachea from a rabbit 4 months after autograft repair (a) with a wide open lumen (L), no granulation tissue and minimal fibrosis in the epithelium (E) and subepithelium (S) (250 £ ), as compared to that of a rabbit 2 months after stent insertion with granulation tissue (closed arrow) protruding into the lumen (b), and subepithelial fibrosis (*) in the saline zone (c) (400 £ ). Elastica von Gieson staining.
  • 6.
    [11]. Granulation tissuehas been particularly troublesome after cartilage grafting [7,10], especially if the cartilage graft represents more than 30% of the circumference of the airway [10]. Finally, granulation tissue formation is one of the major concerns after intraluminal stent insertion, occurring in 50–100% of cases [12,13]. The use of newer intraluminal expandable metallic covered stents has given initial promising short-term results, as the covered layer theoretically prevents protrusion of ingrowing granulation tissue through the stent meshwork [14]. In contrast, after A. Dodge-Khatami et al. / European Journal of Cardio-thoracic Surgery 23 (2003) 6–14 11 Fig. 3. (a–d) Comparative densities of VEGF at 4 months in the epithelium, blood vessels, plasmacells, and glands. Peric, pericardial repair; auto, autograft repair; m, months.
  • 7.
    tracheal autograft repair,the experienced group from Chil- dren’s Memorial Hospital in Chicago report only one rein- tervention for insertion of a Palmaz intraluminal stent in a series of 15 patients (6.7%), which was for recurrent steno- sis of the pericardial patch portion of a composite autograft/ pericardium repair [8]. These excellent clinical results and relative freedom from recurrent granulation tissue after autograft repair concord with our current results, as well as with the first author’s previous experience using the same rabbit model of autograft reconstruction [6]. Exogenous topical VEGF is a proposed treatment modal- ity, attempting favorably to influence tracheal anastomotic healing. At the time of surgical insult, an improved balance in local supply and demand for oxygen/hemoglobin may be achieved, through a one-time boost of VEGF-induced release of endothelial nitric oxide and resultant vasodilation [15]. Postoperatively in a more timely fashion, through its local angiogenic effect and enhancement of vascular perme- ability with the afflux of reparative inflammatory cells, the healing process may further be promoted. In a previous study by the first author [6] using the same surgical model of tracheal autograft anterior patch plasty in 16 VEGF-trea- ted and 16 control rabbits, topical VEGF (5 mg/ml during 15 min) accelerated autograft revascularization, reduced submucosal fibrosis and inflammation, and preserved normal tracheal architecture, as compared to controls, at a sacrifice interval of 2 months postoperatively. In the current study, after a 4 month sacrifice interval, minimal concentra- tion (5 mg/ml) and exposure time (30 min) to topical VEGF were found to enhance healing in the AUTO group, and are judged to be safe in rabbits. Indeed, the rabbits were clini- cally asymptomatic and tracheal wall angiogenesis and edema were controlled. Longer exposure or higher doses are unnecessary, expensive, and may have unwanted side effects. By elaborating a safe animal model with long-term survival, it is hoped to promote the use of topical VEGF in human trials. Through reduced anastomotic granulation and fibrous tissue after pretreatment with topical VEGF, postoperative airway healing is enhanced and morbidity reduced. Fibrous tissue at the repair site diminished with all repair materials except after stent insertion. We found autograft repair to have the best healing characteristics and clinical course, as confirmed histologically by the absence of granulation tissue and minimal fibrosis. This may be due to the effect of topical VEGF, but also to the intrinsic advantage in using autologous tracheal tissue for reconstruction. As mentioned previously, excellent clinical results using the autograft repair without the adjunct of VEGF are reported, making this the procedure of choice for some [8]. Pericardial patch repair gave clinically satisfactory early results, yet all rabbits did not reach the predetermined sacrifice date, owing to increasing respiratory distress. Histologically, this was illustrated by a relatively higher degree of intra- luminal fibrosis and granulation tissue, as compared to auto- graft repair. Xenopericardium was used in our experiment, and issues pertaining to foreign body rejection and immu- nology may have played a role. A direct comparison between our findings and the use of autologous pericardium for tracheal reconstruction, as is performed in many centers with good results [9,11], is therefore not totally straightfor- ward. Intraluminal stents performed the worst in our study, both clinically with a 100% precocious mortality from respiratory distress, and histologically with maximal obstructing intraluminal granulation tissue and fibrosis. This concurs with the mediocre results in the literature, where stents are mostly used for either inoperable lesions [14], difficult reoperations [12], or as bail out procedures [13,16]. Although the mean degree of fibrosis observed was only slightly higher in stents as compared to xenopericardial repair, the sacrifice interval was much shorter for rabbits with indwelling stents (1–2 months versus 3–4 months). One could speculate that a longer sacrifice interval in the STENT group would have allowed for more time to develop fibrosis, had the rabbits survived the progressive airway obstruction. Interestingly, in the same animal, VEGF-pretreated zones and control saline zones did not significantly differ in VEGF staining at the (sub)epithelial level, although there was a trend towards a higher density in the VEGF-pretreated zones. This may suggest either one of two things or both: (1) that the observed VEGF density is actually additional locally secreted VEGF in the setting of postoperative inflammation and healing, rather than solely the pretreat- ment of VEGF at the time of surgery; or (2) that the topical VEGF treatment was ‘washed over’ to the saline control zone, as a result of the to-and-fro motion of respiration and carried air-VEGF particles. The first phenomenon is suggested by the high concentration of VEGF found in plas- macells. High plasmacell VEGF concentrations have been found in various chronic inflammatory disorders, such as human periodontal disease [17], nasal, uterine, and gastric polyps, human B cell leukemia and plasmacytoma [18]. In these diseases, it is speculated that plasmacell production of VEGF plays an important role in the development of edema [18], either as a pathological response, or as a part of a healing process [17]. Inversely, diseases such as diabetes, smoking, or simply older age, which are associated with impaired wound healing, have been associated with low tissue VEGF levels [17,19]. Local production of VEGF, mainly by plasmacells, but also by submucosal gland cells and microvascular endothelial cells, rather than topical pretreatment with exogenous VEGF alone, may play an important role in postoperative tracheal healing, although this remains speculative. The time interval at which this occurs remains unknown, and further investigation may elucidate this. The significance of increasing levels of epithelial glandular VEGF with time is also unknown, and only speculation may be made as to its role in promoting local healing. In conclusion, the postoperative healing of rabbit trachea was favorably influenced by exogenous topical VEGF, given A. Dodge-Khatami et al. / European Journal of Cardio-thoracic Surgery 23 (2003) 6–1412
  • 8.
    as a pulsetreatment at the time of surgery, by favorably influ- encing the local tissue supply-and-demand balance for nutri- ents and reparatory cells. After surgical repair, ongoing intrinsic local production of VEGF, probably by plasmacells, occurred in a more timely fashion, although its relative role in tracheal healing is yet to be determined. Autograft tracheal reconstruction gave the best clinical and histological healing results, when compared to xenopericardium reconstruction or insertionofintraluminalstents.Thiswasseenevenwithoutthe adjunct of exogenous topical VEGF, which nonetheless further enhanced the quality of local repair, as was histologi- cally quantified during our study. The intense early inflamma- tion and fibrosis induced by stents were unhindered by VEGF, and led to critical airway obstruction, respiratory insufficiency and ultimately to early death. 4.1. Study limitations The small number of animals reduces statistical power and limits the value of the present study. A limitation pertaining to the study design lies in the difference of exposure to topical VEGF between the AUTO 1 PERIC groups and the STENT 1 control groups. Owing to obvious practical reasons relating to syringe injections, inert stents or the controls were not exposed to 30 min of VEGF, as preconized in the in vitro stage 1 study. Also, injecting topical VEGF along the entire tracheal length in animals with stents or controls was judged to potentially enhance any ‘washover effect’ with regards to the saline and VEGF zones. The circumferential injections at both tracheal extremities gave local information with regards to tissue reaction towards saline versus VEGF. Acknowledgements Dr Niessen is a recipient of the Dr E. Dekker program of the Netherlands Heart Foundation (D99025). References [1] Bryant LR. Replacement of tracheobronchial defects with autogenous pericardium. J Thorac Cardiovasc Surg 1964;48:733–740. [2] Cheng ATL, Backer CL, Holinger LD, Dunham ME, Mavroudis C, Gonzales-Crussi F. Histopathological changes after pericardial patch tracheoplasty. Arch Otolaryngol Head Neck Surg1997;123:1069–1072. [3] Nissen NN, Polverini PJ, Koch AE, Volin MV, Gamelli RL, DiPietro LA. Vascular endothelial growth factor mediates angiogenic activity during the proliferative phase of wound healing. Am J Pathol 1998;152:1445–1452. [4] Pokharel RP, Maeda K, Yamamoto T, Noguchi K, Iwai Y, Nakamura H, Iijima K. Expression of vascular endothelial growth factor in exuberant tracheal granulation tissue in children. J Pathol 1999;188:82–86. [5] Witzenbichler B, Asahara T, Murohara T, Silver M, Spyridopoulos I, Magner M, Principe N, Kearney M, Hu JS, Isner JM. Vascular endothelial growth factor-C (VEGF-C/VEGF-2) promotes angiogen- esis in the setting of tissue ischemia. Am J Pathol 1998;153:381–394. [6] Dodge-Khatami A, Backer CL, Crawford SE, Cook KE, Mavroudis C. Healing of a free tracheal autograft is enhanced by topical vascular endothelial growth factor (VEGF) in an experimental rabbit model. J Thorac Cardiovasc Surg 2001;122:554–561. [7] Dunham ME, Holinger LD, Backer CL, Mavroudis C. Management of severe congenital tracheal stenosis. Ann Otol Rhinol Laryngol 1994;103:351–356. [8] Backer CL, Mavroudis C, Holinger LD. Repair of congenital tracheal stenosis. Semin Thorac Cardiovasc Surg Pediatr Card Surg Annu 2002;5:173–186. [9] Bando K, Turrentine MW, Sun K, Sharp TG, Matt B, Karmazyn B, Heifetz SA, Stevens J, Kesler KA, Brown JW. Anterior pericardial tracheoplasty for congenital tracheal stenosis: intermediate to long- term outcomes. Ann Thorac Surg 1996;62:981–989. [10] DeLorimier AA, Harrison MR, Hardy K, Howell LJ, Adzick NS. Tracheobronchial obstructions in infants and children. Ann Surg 1990;212:277–289. [11] Backer CL, Mavroudis C, Dunham ME, Holinger LD. Reoperation after pericardial patch tracheoplasty. J Pediatr Surg 1997;32:1108–1112. [12] Furman RH, Backer CL, Dunham ME, Donaldson J, Mavroudis C, Holinger LD. The use of balloon-expandable metallic stents in the treatment of pediatric tracheomalacia and bronchomalacia. Arch Otolaryngol Head Neck Surg 1999;125:203–207. [13] Filler RM, Forte V, Fraga JC, Matute J. The use of expandable metal- lic airway stents for tracheobronchial obstruction in children. J Pediatr Surg 1995;30:1050–1056. [14] Madden BP, Datta S, Charokopos N. Experience with Ultraflex expandable metallic stents in the management of endobronchial pathology. Ann Thorac Surg 2002;73:938–944. [15] Howdieshell TR, Riegner C, Gupta V, Callaway D, Grembowicz K, Sathyanarayana, McNeil PL. Normoxic wound fluid contains high levels of vascular endothelial growth factors. Ann Surg 1998;228:707–715. [16] Bugmann P, Rouge J-C, Berner M, Friedli B, Le Coultre C. Use of Gianturco Z stents in the treatment of vascular compression of the tracheobronchial tree in childhood; a feasible solution when surgery fails. Chest 1994;106:1580–1582. [17] Booth V, Young S, Cruchley A, Taichman NS, Paleolog E. Vascular endothelial growth factor in human periodontal disease. J Periodont Res 1998;33:491–499. [18] Ito A, Hirota S, Mizuno H, Kawasaki Y, Takemura T, Nishiura T, Kanakura Y, Katayama Y, Nomura S, Kitamura Y. Expression of vascular permeability factor (VPF/VEGF) messenger RNA by plasma cells: possible involvement in the development of edema in chronic inflammation. Pathol Int 1995;45:715–720. [19] Ben-Av P, Crofford LJ, Wilder RL, Hla T. Induction of vascular endothelial growth factor expression in synovial fibroblasts by pros- taglandin E and interleukin-1: a potential mechanism for inflamma- tory angiogenesis. FEBS Lett 1995;372:83–87. Appendix A. Conference discussion Mr B. Keogh (Birmingham, UK): Why do you think that the injection of saline produced a similar response to the injection of VEGF and do you think there are any parallels with the fact that in the heart, for example, if you simply do multiple injections you can provoke the production of VEGF to the same extent as if you inject the genes? Dr Dodge-Khatami: I think one part of your question could be answered simply by the study design. The fact that we used half patches with one being treated and one not gives us a problem. There are two speculations to interpret this. Number one, there is a to-and-fro motion of air, which could potentially carry particles from the VEGF-treated half patch towards the saline one. Nonetheless, although it wasn’t significant, there was a difference at each point in each type of repair between the saline zones and the VEGF zones, in favor of the VEGF zones. Therefore, we do have reason to think that it is the VEGF pretreatment that showed the improved effect of the healing as opposed to the saline. A. Dodge-Khatami et al. / European Journal of Cardio-thoracic Surgery 23 (2003) 6–14 13
  • 9.
    Secondly, this correlateswith what is found in the literature concerning other inflammatory diseases and the presence of VEGF in plasmacells. There are other chronic inflammatory diseases, such as periodontal disease, gastric and nasal polyps, plasmocytomas, and some leukemias where there has been an increased VEGF production seen in the plasmacells. Some speculate that it is a normal reaction during healing, and others think it is an abnormal response with edema. The fact that we also found even in the nontreated zones, in other words, in the saline zones, a stronger presence of VEGF in the plasmacells makes us think that there is local production on top of the pretreatment. But that is very difficult to actually prove, and at what time it occurs during the healing process is also fairly unknown. I cannot make a parallel with the heart. A. Dodge-Khatami et al. / European Journal of Cardio-thoracic Surgery 23 (2003) 6–1414