Studies On Traffic
Management Models For
Wireless Communication
Network
Presented By:
Neeta Singh
Center for Information and Decision Sciences,
Dr. B.R. Ambedkar University,
Agra-282002 (India)
Visit: https://www.rdcsolution.com,
Youtube: https://youtu.be/jYBglnf4VvA
Studies On Traffic Management Models
For Wireless Communication Network
WLL Cellular
WCNs
VOD
application
Chapters
Chapter 1: Introduction
Chapter 2: Some Markov Models
Chapter 3: Performance Analysis Of WLL
Chapter 4: Multilayer Cellular Network
Chapter 5: Performance Analysis Of Cellular Radio System Using
Soft-Computing Approach
Chapter 6: Performance Analysis Of Video Servers
Chapter 7: Servicing Schemes In Video-On-Demand
1.1: Motivation
1.2: Performance Modeling of WCNs
1.3: Traffic Management in WCNs
1.4: Some Perspectives of WCNs
1.5: Methodological Aspects
1.6: Performance Measures
Chapter 1: Introduction
Motivation
 The popularity of WCNs is due to several
advantages
 The latter advantage enables what is often
called the 3A paradigm communications
 Ultimate goal of wireless communication is to
ensure information exchange (Voice,
Data/Video) with any one, any where and at
any time.
 Performance is one of the important issues that
effects the design, development, configuration and
tuning of a wireless communication system.
 The performance analysis of WCNs can be done by
evaluating various performance measures viz.
throughput, delay, carried load, queue length,
blocking probability of traffic in the network, etc.
 Thus performance analysis is needed throughout the
life cycle of such system.
Performance Modeling of WCNs
 Traffic management is the art of providing users with
the service they need and have paid for.
 An additional goal of traffic management is to make
efficient use of network resources.
 The amount of traffic capacity required in a wireless
network is highly dependent on the type of traffic.
 It appears that the integration of traffic voice, images,
data and video, each with its own multi objective QoS
requires the development of rather sophisticated
traffic models to carry out accurate design and
performance evaluation.
Traffic Management
Methodology Aspects
 Analytical Techniques
 Generating Function (Chapter 2B)
 Product Type Solution (chapter 3)
 Numerical Techniques
 Runge-Kutta Method (chapter 6)
 Matrix-Geometric Method (Chapter 2A, 2B)
 Soft Computing Techniques
 Artificial Neural Network (ANN) (Chapter 5)
 Neuro-Fuzzy Approach (Chapter 6)
Performance Measures
 Blocking probability (new/handoff)
 Delay probability
 Dropping probability
 Utilization
 Average waiting time
 Average number of calls
 Average number of calls in the system
 Response time in the system
 Queue size distribution
 Throughput/ Utilization
 Traffic delay
Some Perspectives of WCNs
Public
Switched
Telephone
Network
MTSO
BTS
BTS
BTS
BTS
MTSO: Mobile Telecommunication Switching Office
Also known as MSC (Mobile Switching Center)
BTS: Base Transceiver Station
Call from conventional telephone
 Call arrives at MSC via the PSTN
 MSC then sends out a paging message via all BTS on
the FCC (Forward Control Channel).
 The paging message contains subscriber’s Mobile
Identification Number (MIN)
 The mobile unit responds with an acknowledgement on
the RCC (Reverse Control Channel)
 MSC directs BS to assign FVC (Forward Voice
Channel) and RVC (Reverse Voice Channel)
 BS also assigns a SAT tone (Supervisory Audio Tone)
and the VMAC (Voice Mobile Attenuation Code)
OA & M
PSTN
LE
Concentrator
0 0 0
C
BSs
BSC
0 0 00 0 0
WLL system
Architecture of WLL
Satellite Uplink
Public Switched
Telephone
Network
Telephone Central Office
Radio Base Repeater
Chapter 2
 M/M/1 Queue With Working Vacation And
Service Interruption (Published in CSI)
 Markovian Queue With Randomly Changing
Arrival Rates Under N-Policy
 Optimal Policy for Retrial Single Server
Queue With Reneging
back
Section 2A
 What is Working Vacation ?
 The free server may offer service to the customer, which are
not registered previously in normal case.
 The free server is called on ‘working vacation’ as it can hear
the request of other type traffic via control distributed channel
and returns back after a random interval to establish its normal
connection, if there is any packet of routine type to be
transmitted in the buffer.
 Systems is based on:
 Unreliable Server
 Breakdown
 Repair
 Setup
 Techniques
 Matrix geometric
back
Model Description
P0,0 P1,0 P2,0 P3,0 P4,0 Pn,0
l0
l0 l0 l0 l0 l0
mv mv mv mv mv mv
P1,1 P2,1 P3,1 P4,1 Pn,1
l1 l1 l1 l1 l1
mB mB mB mB mB
0 0 0
P1,2 P2,2 P3,2 P4,2 Pn,2
l2 l2 l2 l2 l2
P1,3 P2,3 P3,3 P4,3 Pn,3
l3 l3 l3 l3 l3
0 0 0
0 0 0
0 0 0
mv
h h h h h
a a a a a
q q q q q
b b b b b
l3
l1
l2
l0
mB
Busy state
Down state
Repair state
Vacation
state
0 0 0
0 0 0
0 0 0
0 0 0
state
customers
back
Probabilities
 P(n,0) Probability of n customers being in the
system when the server is on working
vacation.
 P(n,1) Probability of n customers being in the
system when the server is busy.
 P(n,2) Probability of n customers being in the
system when the server is under
breakdown state.
 P(n,3) Probability of n customers being in the
system when the server is under repair
state.
back
Performance Measures
 The average number of customers in the
working vacation period:
 The average number of customers in the system
when the server is in the busy state:
 The average number of customers in the system
when the server is in broken down state:




0
)0,()(
n
nnPVE




1
)1,()(
n
nnPBE




1
)2,()(
n
nnPDE
back
Cont…
 The average number of customers in the
working vacation period
 The average number of customers in the
busy state
 The average number of customers in the
broken down state




0
)0,()(
n
nnPVE




1
)1,()(
n
nnPBE




1
)2,()(
n
nnPDE
back
 The average number of customers in the
repair state
 The average number of customers in the
system
 Throughput
 Average delay




1
)3,()(
n
nnPRE
)()()()()( REDEBEVENE 






1
)1,(
1
)0,(
n
nB
n
nv pp mm

)(NE
D 
Numerical Result back
Concluding Remark
 M/M/1 queueing model
 unreliable server , working vacation and setup
time.
 state-dependent arrival rate
 We have facilitated sensitivity analysis which
can be further used to determine the optimal
control parameter.
back
Section: 2B
 What is Randomly Changing Arrival Rates ?
 A communication network system is the typical example of
changing arrival rate with a sudden increase in the traffic due
to an external phenomenon.
 Systems is based on:
 Two Channel
 Random Intensity
 N-Policy
 Techniques
 Generating function,
 Matrix geometric
back
A general Connection Setup
back
Steady State Probabilities
Pn,0 Probability that channel P is in Idle state and there are
‘n’ number of messages in the queue in front of P
Pn,1 Probability that channel P is in Busy state and there
are ‘n’ number of messages in the queue including in
service in front of P
Qn,0 Probability that channel Q is in Idle state and there are
‘n’ number of messages in the queue in front of Q
Qn,1 Probability that channel Q is in Busy state and there
are ‘n’ number of messages in the queue including in
service in front of Q
back
1 2 n N-1 N N+1
0 1
0 1 N-1
pl0 pl0 pl0pl0
m0
m0
m0
m0 m0 m0 m0 m0
pl0 pl0
pl0 pl0 pl0
rl1 rl1 rl1 rl1 rl1rl1 rl1
m1 m1
m1 m1 m1m1 m1
rl1
rl1 rl1
m1
2
2 rl1
n
n
000
000 N-1
1 2 n N-1 N N+1
pl0
000
000
000
000
000
000
i
i
000
000
000
000
pl0
m0
rl1
m1
pl0
m0
rl1
m1
pl0
m0
rl1
m1
State Transition Diagram
Model Description
back
Performance Measures
 Expected number of messages
 Throughput
 Average delay
   




 0n
1,n1,n
1N
1n
0,n0,n
QPnQPn)N(E





 1n
1,n1
1n
1,n0
QP mm

)N(E
D 
back
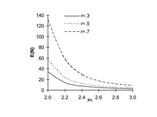
0
20
40
60
80
100
120
140
1.0 1.2 1.4 1.6 1.8 2.0
l0
E(N)
r=.3
r=.5
r=.7
0
10
20
30
40
50
60
1.0 1.2 1.4 1.6 1.8 2.0
l0
E(N)
p=.5
p=.7
p=.9
3
4
5
6
7
8
9
10
11
1.0 1.2 1.4 1.6 1.8 2.0
l1
E(N)
r=.3
r=.5
r=.7
2
3
4
5
6
7
8
9
10
11
1.0 1.2 1.4 1.6 1.8 2.0
l1
E(N)
p=.5
p=.7
p=.9
Fig. 2(a-b): Comparison of E(N) by varying l0 for different values of r and p respectively
Fig. 3(a-b): Comparison of E(N) by varying l1 for different values of r and p respectively
0
20
40
60
80
100
120
140
1.0 1.2 1.4 1.6 1.8 2.0
l0
E(N)
r=.3
r=.5
r=.7
0
20
40
60
80
100
120
140
2.0 2.2 2.4 2.6 2.8 3.0m0
E(N)
r=.3
r=.5
r=.7
0
10
20
30
40
50
60
70
2.0 2.2 2.4 2.6 2.8 3.0m0
E(N)
p=.5
p=.7
p=.9
5
25
45
65
85
105
125
145
3.0 3.2 3.4 3.6 3.8 4.0m1
E(N)
r=.3
r=.5
r=.7
5
15
25
35
45
55
65
3.0 3.2 3.4 3.6 3.8 4.0m1
E(N)
p=.5
p=.7
p=.9
Fig. 5(a-b): Comparison of E(N) by varying m1 for different values of r and p respectively
Fig. 4(a-b): Comparison of E(N) by varying m0 for different values of r and p respectively
0
20
40
60
80
100
120
140
2.0 2.2 2.4 2.6 2.8 3.0m0
E(N)
r=.3
r=.5
r=.7
Concluding Remarks
 The two service channels system are analysied by
considering switchover of messages from one channel to
another as can be realized in case of voice and data traffic
over ISDN network.
 The model studied in this paper is capable to predict the
performance indices of real time system of
telecommunications wherein exclusive resources such as
transmission lines and switching nodes are shared by mixed
type traffic.
 The further extension of work is possible by considering the
multi-class traffic which is the demand of multimedia services.
 The computational tractability of the matrix geometric method
is validated by taking numerical illustrations.
 Our study may be helpful to prevent congestion by routing
the traffic of excessive busy channel to less busy channel.
back
Section : 2C
 In this section we consider, a Markovian retrial queue
 with reneging
 by considering the limited space in orbit.
 The expressions for various performance measures
 system state probabilities
 number of customers in orbit
 the expected waiting time in the queue
 the expected waiting time in system
 Numerical results are obtained to facilitate the comparison
of the corresponding model with infinite orbit capacity and
without reneging.
back
Single server retrial queue
Assumptions
 We consider a single server queue with Poisson input
rate l0 and l when server is idle and busy,
respectively.
 The service time and retrial time are exponential
distributed with rate m and , respectively.
 If server is busy then customer goes in the retrial
orbit of size N.
 The customers in the orbit may retry for service with
probability r.
 After joining the queue the customer may also renege
from the system.
 The reneging is assumed to exponential distributed
with parameter .
back
Model Description
 Let {St, Xt} denotes the system state space
 where St is the number of customer being served at
time t
 Xt represents the number of customers in the orbit at
time t.
 The system is in state (i, j) if ith customer is being
served and j customers are in the orbit for i {0,1} and
j {0,1,2, …}.
 The stationary probabilities
P0,j=P( S=0, X=j ), P1,j=P( S=1, X=j ),
back
 The governing equations are constructed as
follows:
 Solving above equations, we get
NjPjPj jj
 0,)()( ,1,00
ml
 
10
,)1()1)(1()1( 1,01,11,1,00,1

 
Nj
PjPjrPrPPjrjr jjjjj
llml
  1,1,00,1
)1( 
 NNN
PrPPjrN llm
NjP
j
j
P jj



 0,
)(
,1
0
,0
l
m
back
10,
1
1
!
1
0,1
1
0
,1


















NjP
r
i
jj
r
P
j
i
j
j
l
m
l
1
0
1
0
1
0
0,1
1
1
1
!
1
1
















































l
m
l
m
l
l
m
j
j
r
i
ij
r
P
j
i
N
j
j
where
Special Cases
1. Taking l0=l, we can derive the results for
homogeneous arrival rate.
2. Non-reneging behavior of customers has
obtained by putting =0
3. On substituting l0=l and =0, our results
coincide with the results of Elcan (1994) for
an M/M/1 queueing system with retrials.
Numerical Results
0
2
4
6
8
10
12
1.0 2.0 3.0 4.0 5.0 6.0 7.0 8.0 9.0
l0
E(K)


3
0.0
1.0
2.0
3.0
4.0
5.0
6.0
7.0
8.0
9.0
10.0
1.0 2.0 3.0 4.0 5.0 6.0 7.0 8.0 9.0
l
E(K)
3


0
2
4
6
8
10
12
14
16
0.1 0.2 0.3 0.4 0.5 0.6 0.7 0.8 0.9

E(K)
3


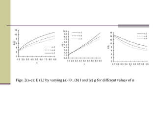
Figs. 1(a-c): E (K) by varying (a) l0 , (b) l and (c) g for different values of n
0
2
4
6
8
10
12
1.0 2.0 3.0 4.0 5.0 6.0 7.0 8.0 9.0
l0
E(L)


3
0.0
1.0
2.0
3.0
4.0
5.0
6.0
7.0
8.0
9.0
10.0
1.0 2.0 3.0 4.0 5.0 6.0 7.0 8.0 9.0
l
E(L)
3


0
2
4
6
8
10
12
14
16
0.1 0.2 0.3 0.4 0.5 0.6 0.7 0.8 0.9

E(L)
3


Figs. 2(a-c): E (L) by varying (a) l0 , (b) l and (c) g for different values of n
0
1
2
3
4
5
6
7
1.0 2.0 3.0 4.0 5.0 6.0 7.0 8.0 9.0
l0
E(K) r=.4
r=.6
r=.8
0.0
1.0
2.0
3.0
4.0
5.0
6.0
7.0
8.0
9.0
10.0
1.0 2.0 3.0 4.0 5.0 6.0 7.0 8.0 9.0
l
E(K)
r=.4
r=.6
r=.8
0.0
5.0
10.0
15.0
20.0
25.0
30.0
0.1 0.2 0.3 0.4 0.5 0.6 0.7 0.8 0.9

E(K)
r=.4
r=.6
r=.8
Figs. 3(a-c): E (K) by varying (a) l0 , (b) l and (c) g for different values of r
0.0
1.0
2.0
3.0
4.0
5.0
6.0
7.0
8.0
1.0 2.0 3.0 4.0 5.0 6.0 7.0 8.0 9.0
l0
E(L)
r=.4
r=.6
r=.8
0.0
2.0
4.0
6.0
8.0
10.0
1.0 2.0 3.0 4.0 5.0 6.0 7.0 8.0 9.0
l
E(L)
r=.4
r=.6
r=.8
0.0
5.0
10.0
15.0
20.0
25.0
30.0
0.1 0.2 0.3 0.4 0.5 0.6 0.7 0.8 0.9

E(L)
r=.4
r=.6
r=.8
Figs. 4(a-c): E (K) by varying (a) l0 , (b) l and (c) g for different values of r
0
2
4
6
8
10
12
14
0.1 0.3 0.5 0.7 0.9
E(K)
l0l
l0l3
l0l
0.0
0.5
1.0
1.5
2.0
2.5
3.0
0.1 0.3 0.5 0.7 0.9r
E(K)
l0l
l0l3
l0l
Figs. 5(a-b): E (K) by varying (a) g , (b) r for different set of l
0
2
4
6
8
10
12
14
0.1 0.3 0.5 0.7 0.9

E(L)
l0l
l0l3
l0l
0.0
0.5
1.0
1.5
2.0
2.5
3.0
3.5
0.1 0.3 0.5 0.7 0.9
r
E(L)
l0l
l0l3
l0l
Figs. 6(a-b): E (L) by varying (a) g, (b) r for different set of l
Conclusion
 finite orbit M/M/1 retrial queue with reneging.
 The incorporation of reneging parameter makes our
model more closer to real life situations.
 The model, which presented here, has wide utility in
computer system, communication system and
manufacturing systems, etc.
Chapter : 3
 we study the performance of Wireless Local
Loop (WLL) system in term of call loss and
delay probabilities.
 We predict the performance measures for the
prioritized channel assignment scheme
 The traffic in the system is considered as
integrated (voice/data).
 We drive several analytical results based on
 based on channel assignments
 population size
back
ndi
newi
hdi
B
l
hm
h
l



)1( ,
nvi
newi
hvi
B
l
hm
h
l



)1( ,
 The arrival rates of new and hand-off
 The traffic intensity of new calls and handoff calls
hm
ll



 divi
i hm
ll



 hdihvi
hi
Models
 LOSS MODELS
 ILMS
 FLMM
 ILMM
 FLMM
 DELAY MODELS
 IDMS
 FDMS
 IDMM
 FDMM
 loss system
 wherein a new call to ST is lost if si=ci-chi
channels in the corresponding BS are busy
 S=TC-R trunks in the BSC are occupied.
 The handoff calls are lost if
 all the reserved channels in the corresponding
BS are occupied
 all the reserved trunks in the BSC are busy.
IPLM
 Infinite traffic source i.e STs.
 When there is heavy traffic on the network,
then it becomes desirable to serve the new
calls in a different manner.
 This can be done by using modified scheme
where the new calls can use the r reserved
channels also in case of light traffic of
handover calls provided they are free
n
nf
2
1
)( 
 


















iiin
n
isj
newihandoffi
is
i
iin
n
i
ni
cnsP
n
sjf
snP
n
P
1,
)(!
)(
0,
)(!
0,
1
,,
0,
,
hm
lll
hm
l
 
1
1
1
,,
1
0, )(!
)(
)(!





















ic
isn n
n
isj
newiihandoffi
is
iis
n n
n
i
i n
sjf
nP hm
lll
hm
l
 At BS
 Loss probabilities of new calls at ith
(i=1,2,…,B) BS
 Loss probability of handoff data and handoff
voice calls
 


ic
isn
ininewi
snfPL )(1,,
icicehandoffvoiiahandoffdati
PLL ,,,

 At BSC
 Loss probabilities new calls, handoff data and
handoff voice calls
 


















TCnSP
n
Sjf
SnP
n
P
bscn
n
Sj
newbschandoffbsc
S
bsc
bscn
n
bsc
nbsc
1,
)(!
)(
0,
)(!
0,
1
,,
0,
,
hm
lll
hm
l
 


TC
Sn
nbscnewbsc
SnfPL )(1,,
TCbsccehandoffvoibscahandoffdatbsc
PLL ,,,

Delay Models
 where handoff calls are allowed to wait in a
buffer of size Ni, if channels are not available.
 we consider finite population model with
reserved channels and function.
 It is assumed that the traffic at each BS is
originated from finite population of size K.
IDMS
 
 






























iiiiicn
j
Di
ic
i
icn
cehandoffvoii
ic
isj
newiihandoffi
is
iiin
n
isj
newiihandoffi
is
iin
n
i
ni
NcncP
jcc
sjf
cnsP
n
sjf
snP
n
P
1
)]()([)(!
)(
1,
)(!
)(
0,
)(!
,0,
0
,
1
,,
0,
1
,,
0,
,
hmhmhm
llll
hm
lll
hm
l
  



iNic
icn
ni
ic
isn
ininewi
PsnfPD 1
,,,
)(1




iiNic
icn
niahandoffdati
PD ,, iNicicehandoffvoii
PD 
 ,,
Numerical Result
Conclusion
 Reserving a fixed number of channels for handoff
calls reduces their call loss and delay
probabilities
 The function scheme in IDMS and FDMM offers
least blocking to the handoff voice calls in
comparison new and handoff data.
 Furthermore, releasing function used in channels
allocation for providing service to handoff voice
calls reduces blocking to the new calls also.
Chapter4
 The double layer architecture is based
 Macro layer :
 The outer layer has connection to subscribers and
receives fresh traffic destinated for the network
 Used to cover large areas with low traffic density
 Radius: 1-20km
 High-speed moving terminals (HSMT)
 Micro layer :
 The inner layer only deals with traffic inside the
network structure.
 Used in areas with high traffic density
 Radius:200m-2km
 Low speed moving terminals (LSMT).
back
Hierarchical Cellular Architecture
 Larger cells serve users with lower number of handoff but the
capacity is also reduced
 Smaller cells lead to increase in capacity but also increase
handoffs
 If a hierarchical architecture is used proper cell assignment can
lead to increased capacity
Analytical Models
Double Layer Cellular Model
New Call Bounding
Cuttoff Priority Scheme
Cuttoff Priority With Releasing Function
Double Layer Cellular Model With Subrating
New Call Bounding With Subrating
Cuttoff Priority With Subrating
Cuttoff Priority With Releasing Function and
Subrating
New Call Bounding Scheme
 Threshold number for new
call bounding (NCB) scheme
is k
 if the number of new calls in
the cell exceeds k, the new
call will be blocked.
 Otherwise it will be admitted.
 The handoff call is rejected
only when all channels in the
cell are used up.
)0,0(),(
!!
P
nm
P
n
h
m
n
nm


1
0 0
)0,0(
!!










 
k
m
mc
n
n
h
m
n
nm
P

0,,0  ncnmkm
Steady state probability in each micro cell
where,









k
m
mc
n
n
Lh
m
n
k
m
mc
Lh
m
n
Lh
nm
mcm
B
0 0
0
!!
)!(!


Blocking probability of handoff calls of LSMT

 










 k
m
mc
n
n
Lh
m
n
kc
n
k
m
mc
Lh
m
n
n
Lh
k
n
n
nm
mcmnk
B
0 0
0
1
0
!!
)!(!!!


Blocking probability of new calls
For the macro cell, consisting N number of micro layers
i=1,2,…,C 
0
!
.
q
i
N
q
i
Hh
i


For Macro cell
where  
1
0
0
!
.









C
i
i
Hh
i
N
q

Handoff call of HSMT will be blocked in the macro cell if
Overall blocking probability
Carried Load
 
!
.
C
N
B
C
Hh
Hh


l
lll HhHhLhLhnn BBB
B


l
lll )1()1()1( HhHhLhLhnn BBB
CL


Cutoff Priority Scheme (COP1)
 Threshold number for cutoff
priority scheme is s
 if the total number of busy
channels exceeds a threshold
limit s, and a new call arrives,
the new call will be blocked
 otherwise it will be admitted.
 The handoff call is rejected only
when all channels in the cell are
used up.
 if we assume that there is no
new call bounding but r=c-s
channels are reserved to give
priority to handoff traffic in micro
cell.
Steady state probability
 
 










 
cis,P
!i
si,P
!iP si
Lh
s
Lhn
i
Lhn
i
1
0
0
0


 
   
 






 



s
i
c
si
si
Lh
s
Lhn
i
Lhn
c
si
si
Lh
s
Lhn
n
!i!i
!iB
0 1
1


 
   
  







s
i
c
si
si
Lh
s
Lhn
i
Lhn
sc
Lh
s
Lhn
Lh
ii
cB
0 1 !!
!


Cutoff Priority Scheme With Releasing
Function (COPF1 )
Steady state probability
 
   










 
cisP
i
sif
siP
iP si
n
s
Lhn
i
Lhn
i
Lh
1,
!
)(
0,
!
0
0


…13
P0 is also obtained by using normalization condition i.e. .
1
1
0 

c
i
P
Blocking probability of new calls
   
     
 






 



s
i
c
si
si
n
s
Lhn
i
Lhn
c
si
si
n
s
Lhn
n
i
sif
i
i
sif
B
Lh
Lh
0 1
1
!
)(
!
!
)(


…14
Blocking probability of handoff calls
   
     
 





 


s
i
c
si
si
n
s
Lhn
i
Lhn
si
n
s
Lhn
Lh
i
sif
i
c
sif
B
Lh
Lh
0 1
!
)(
!
!
)(


…15
Numerical Result
Optimal Channel Allocation
 Our aim in this section is to decide the number of
channels to be allocated in each cell so that the
blocking probabilities of the new and hand-off calls
could be minimized.
 Three channel assignment schemes are concerned
to reduce the blocking probability of handoff attempts.
 The channel assignment schemes are based on new
call bounding and cutoff priority criteria.
back
 we propose an algorithm to assign optimal number of
unreserved channels (si) and guard channels (ri) to
each cell in the cluster;
 we have total C channels in a cluster of a cellular
radio network depending on the blocking probability
of the new and handoff calls.
 By applying the proposed algorithm to each cluster in
the overlaid area, the prioritized channel assignment
for double layer cellular network is proposed for the
whole network.
 We want to find the smallest integer such
that
 We formulate a Non-Linear Integer
Programming Problem (NIPP) for calculating
the optimal number of channels in each cell
which minimize the overall handoff call
blocking probability as:
0
js
max
0
,
)0,( BsB jnj


 



K
j
jjHhj
Hhj
K
j
jjLhj
Lhj
rsBrsBBHMinimize
1
,
,
1
,
,
),(),(
ll
KjBrsBtosubject jjnj
,...,2,1),( max,

egersbeingKjrsrs
Crs
jjjj
K
j
jj
int),...,2,1(,,0,
)(
1



 Here Bmax is the minimum level of grade of service (GoS) to be
satisfied by both type of calls and



K
j
HhjLhj
1
,, ll
C cell # (x*,y*) Bn BLh B
120
1 (14,0) 0.01789 1.79E-02 1.79E-02
2 (11,0) 0.011563 1.16E-02 1.16E-02
3 (28,1) 0.017417 4.98E-03 1.74E-02
4 (15,0) 0.019462 1.95E-02 1.95E-02
5 (4,0) 0.004741 4.74E-03 4.74E-03
6 (27,0) 0.016772 1.68E-02 1.68E-02
7 (20,0) 0.014804 1.48E-02 1.48E-02
150
1 (15,3) 0.013436 2.28E-04 1.34E-02
2 (11,3) 0.015548 1.76E-04 1.55E-02
3 (29,4) 0.013021 1.51E-04 1.30E-02
4 (16,4) 0.015619 8.21E-05 1.56E-02
5 (4,1) 0.005137 3.98E-04 5.14E-03
6 (28,5) 0.018088 7.77E-05 1.81E-02
7 (21,4) 0.013341 1.02E-04 1.33E-02
Optimal channel allocation with non-uniform traffic for COP1
C cell # (x*,y*) Bn BLh B
120
1 (10,4) 0.01972 9.00E-08 1.97E-02
2 (8,4) 0.013456 2.34E-08 1.35E-02
3 (19,5) 0.016614 1.54E-08 1.66E-02
4 (11,5) 0.016663 3.49E-09 1.67E-02
5 (3,2) 0.008737 1.08E-06 8.74E-03
6 (19,5) 0.015186 1.32E-08 1.52E-02
7 (14,5) 0.016726 7.29E-09 1.67E-02
150
1 (10,4) 0.01972 9.00E-08 1.97E-02
2 (8,4) 0.013456 2.34E-08 1.35E-02
3 (19,5) 0.016614 1.54E-08 1.66E-02
4 (11,5) 0.016663 3.49E-09 1.67E-02
5 (3,2) 0.008737 1.08E-06 8.74E-03
6 (19,5) 0.015186 1.32E-08 1.52E-02
7 (14,5) 0.016726 7.29E-09 1.67E-02
Optimal channel allocation with non-uniform traffic for COPF1
Chapter 5
 Cellular Radio System Supporting Integrated Traffic
 Call Admission Control And Blocking Probability
Estimation In PCS Networks
 Handoff Prioritization Scheme And Optimal Allocation
back
Soft Computing
 Provides flexile Information processing
capabilities for real life situations
 Has the properties of approximation ad
dispositionality
Artificial Neural Network
 We can simulate the structure of human brain
it is closely modeled on biological process
 Such a structure is formed as “Artificial
Neural Network” structure.
 We can train a neural network to perform a
particular function by adjusting the values of
the connection between elements.








 
cknmrcP
knm
rcknmP
knm
qk
hm
q
m
pn
hd
p
d
sm
hv
s
v
k
m
n
d
m
v
knm
1,
!!!
0,
!!!
)0,0,0(
)0,0,0(
),,(


Channel Assignment Scheme
Performance measures
 The blocking probability of new and handoff
calls are calculated as
 The overall blocking and carried load are



cknmrc
n knmpB ),,( 


cknm
h knmpB ),,(


 hhnn
BB
B
l



)1()1( hhnn
BB
CL
l
1.00E-06
1.00E-05
1.00E-04
0.5 0.55 0.6 0.65 0.7 0.75 0.8 0.85 0.9 0.95 1
ld
Bn
Analytical
ANN
1.00E-08
1.00E-07
1.00E-06
1.00E-05
1.00E-04
1.00E-03
1.00E-02
0.5 0.55 0.6 0.65 0.7 0.75 0.8 0.85 0.9 0.95 1
lv
Bn
Analytical
ANN
1.00E-06
1.00E-05
1.00E-04
1.00E-03
0.5 0.55 0.6 0.65 0.7 0.75 0.8 0.85 0.9 0.95 1
lm
Bn
Analytical
ANN
1.00E-18
1.00E-15
1.00E-12
1.00E-09
1.00E-06
1.00E-03
1.00E+00
1.00E+03
6 8 10 12 14 16
c
Bn
Analytical
ANN
1.00E-22
1.00E-19
1.00E-16
1.00E-13
1.00E-10
1.00E-07
1.00E-04
1.00E-01
1.00E+02
6 8 10 12 14 16
c
Bh
Analytical
ANN
Section 5B
 two-dimensional traffic is studied
 by using Neuro-fuzzy approach
 which readjusts the connection weight, by using
Backpropogation algorithm and simplifies the fuzzy rule
 proposed prioritized scheme
 by subrating an occupied channel on a blocked port
can be spilitted into two half rated channels to
accommodate more voice handoff attempts.
0,0 1,0
0,1 1,1
0,2 1,2
0,c-r-1
1,
C-r-1
0.c-r
0,c-r+1
0,c-1
0,c
C-r,0 C,0 2c-2,0 2c-1,0 2c,0
2C-4,1 2C-3,1 2C-2,1
2C-6,2 2C-5,2 2C-4,2
2r,
C-r-1
2r+1,
C-r-1
2r+2,
C-r-1
2r-2,
C-r
2r-1,
C-r
2r,
C-r
2r-4,
c-r+1
2r-3,
C-r+1
2r-2,
C-r+1
1,c-1 2,c-1
C-r-1,
1
C-r-2,
2
C-1,1
C-2,2
r+1,
C-r-1
r-1,
c-r+1
v
d
lhv
lhv lhv lhv lhv lhv
d
r,
C-r
lhd
lhv
lhv
lhd
v
v
v
lhv
lhv
lhv
lhv
lhv
lhv
lhd
lhd
lhd
lhd
lhv
lhd
Figure 5.2.1: State transition diagram of the model
Performance Analysis
 

 cnmrc
nmn
tptB 2
),(
)()(
)()( 2
),(
tptB cnmc
nmhd
 


)()( 2
),(
tptB cnm
nmhv
 





)()()(
)(
tBtBtB
tB hvhvhdhdnn
ll



))(1())(1())(1(
)(
tBtBtB
tCL hvhvhdhdnn
ll
0.000
0.000
0.000
0.001
0.001
0.001
0.001
0.001
0.002
0.002
10 30 50 70 90 110 130 150 170 190
t
Bhd(t)
RKM
ANFIS
mh3
mh
0.24
0.25
0.26
0.27
0.28
0.29
0.3
0.31
10 30 50 70 90 110 130 150 170 190
t
Bn(t)
ANFIS
RKM
mh=.3
mh=.4
Section 5C
 we consider the channel assignment scheme for two
traffic classes, voice and data by incorporating
 balking
 reneging
 two-threshold guard channel policies.
 channel allocation scheme
 There is a provision of buffer for class-2 handoff.
 In the proposed call admission scheme, the total
number of channels is sub divided into three subsets
 ordinary channel, shared channels and dedicated guard
channels
0 1
l
mh
C-k C
l h2
(C-k+1)(mh
C-
r-k
ll
2mh
C+
N
(C-r-k)(mh
00
0
l
h
(C-r-k+1)
(mh
l
h
(C-k)
(mh
l
h2b
l
h2b
C(mhNC
(mh
00
0
00
0
l h2
C(mh
00
0
 























NCnCP
ClCC
CnrCP
n
rCnkrCP
n
krCnP
n
P
n
Cj
Cn
h
r
h
k
h
krC
rCn
h
k
h
krC
krCn
h
krC
n
n
,
)()(!
,
!
,
!
0,
!
0
1
22
0
)(
2
0
)(
0
hm
bl







NC
krCn
nn
PB
Performance Measures




NC
rCn
nh
PB
NCh
PB 
2
l
lbll 22
)1( hhhhnn
BBB
B


l
lbll )1()1()1()1( 22 hhhhnn
BBB
CL


Optimal Channel Allocation
 Minimize Bn (C, k, r)
Subject to
h1h
Pr)k,(C,B  and
h2h2
Pr)k,(C,B 
k, r  0
if
2h2h P)C,C,C(B 
then
return (C,C)
end if
set
Cr 
while
)P)r,k,C(B( 2h2h 
do
set
1rr 
end while
set
rk 
while
)P)r,k,C(B( 1hh 
do
if
)P)1r,k,C(B( 2h2h 
then
set
1rr 
else
set
1kk 
end if
end while
return (k,r)
Properties of Blocking Probabilities
 Property for blocking probability of new calls
 Blocking probability of Bn decreases by increasing the number
of ordinary channels (C).
 Blocking probability of new calls increases by increasing the
number of shared guard channels (k).
 Blocking probability of new calls increases by increasing the
number of dedicated guard channels (r).
 Property for blocking probability of handoff calls
 Bh decreases as the number of ordinary channels (C)
increases.
 Blocking probability of handoff calls decreases as the number of
shared guard channels (k) increases.
 Blocking probability of handoff calls increases as the number of
dedicated guard channels (r) increases.
 (c) Property for blocking probability of handoff
calls of class-2 traffic
 Blocking probability of Bh2 decreases with the
increase in the number of ordinary channels (C).
 Blocking probabilities of Bh2 decreases with the
increase in the number of shared guard channels (k).
 Blocking probabilities of Bh2 decreases by increasing
the number of dedicated guard channels (r).
Conclusion
 The incorporation of balking and reneging behavior
improves the model as it deals with more realistic
situations.
 An optimal allocation algorithm is developed which
can be easily implemented as validated by
performing extensive numerical experiment.
 The inclusion of two threshold levels in place of one
threshold level for allocation of guard channels
makes our model more versatile to deal with real time
wireless communication systems.
Chapter 6
Video
Servers
Customer’s House
Local spooling server
Local Distribution
Network
Backbone
Network
back
About VoD…
A video server stores compressed video for delivery (MPEG
Compressed format) to clients connected by a network.
The request of a particular file depends on the popularity or
demand.
Video data are distributed among the streams and multiple
streams
 where the user can watch any movie at any time
 he can pause / resume the video or rewind/forward it as per
his convenience
The request categorized into two types
Prioritized
Non-prioritized
VoD is based on:
programming
client-server architecture
Mathematical Modeling
IUM
The number of users are
assumed to be infinite
FUM
The number of users are
taken as finite
We Investigate analytical models
Models are compared on the basis of the blocking probabilities
We consider two models for analyzing the performance of the
video server
Infinite User Model (IUM)
The steady state probabilities of being ith streams in the disk is
…1
where
…2
 
 





























!
!
)(
i
i
P
i
j
RIi
r
Ri
i
j
i
jjjj
a
a
jjj
jj
IiRI
RIi

 10
    1)(1
0
0
!!



 







  ii
P
i
j
RIi
r
RiIj
RjIji
i
j
RjIj
i
jjjj
aa







 Ij
RjIji
i
j
RjIji
r
RjIjRjIj
i
i
j
Ij
RjIji
i
j
n
j
ii
i
B
!
)(
!
)(
!
)(
)(1
0
aa
a
 




 Ij
RjIji
i
j
RjIji
r
RjIjRjIj
i
i
j
Ij
j
Rj
r
RjIj
p
j
ii
B
!
)(
!
)( )(1
0
aa
a
…3
…4
Blocking probabilities of the prioritized
Blocking probabilities of non – prioritized
The overall blocking probability of the jth disk
pn
p
jp
n
jn
ρρ
ΒρΒρ
jB 


The overall blocking probability of video server


D
1j
jjBαB
The overall blocking probability of the jth disk
pn
p
jp
n
jn
ρρ
ΒρΒρ
jB 


The overall blocking probability of video server


D
1j
jjBαB
…5
…6
…7
…8
Finite Users Model (FUM)

























 Ij
RjIji
i
j
RjIji
r
RjIj
RjIj
i
i
j
Ij
RjIji
i
j
n
j
i
M
i
M
ii
M
B
aa
a
)(
1
0
()(
!
)(
























Ij
RjIji
i
j
RjIji
r
RjIjRjIj
i
i
j
Ij
j
Rj
r
RjIj
p
j
ii
M
ii
M
i
M
B
!
(
!
)( )(1
0
aa
a
…10
…9
Blocking probabilities of the prioritized
Blocking probabilities of non – prioritized
OPTIMAL TRAFFIC ALLOCATION
Here we suggest an iterative algorithm for determining the optimal
portion of the traffic to be allocated on the disks of the video
server, such that the overall blocking probability could be
minimized.
Overall blocking probability
Where
For minimizing
is the blocking probability of disk j at


D
j
jj BB
1
a 

D
j
j
1
1a








 
D
j
jKBL
1
1a
opt
jj
j
opt
j BB aa 
 )(
opt
jB opt
ja
Fig.1 (a): File allocation for disk in the VoD
server
D=15, Ij=20; 1<=j<=4 ,Ij=15;
5<=j<=15
Two type of disks
Disks 1-4 have 20 I/O streams, qi =80%, for j=1-4
Disk 5-15 have 15 I/O streams, qj =6% for j=5-15.
Two different disks having equal I/O streams get equal percentage of traffic.
8%
8%
9%
9%
6%
6%6%6%
6%
6%
6%
6%
6%
6% 6%
File allocation for disk in the VoD server
D=15, Ij=20; 1<=j<=4 ,Ij=15; 5<=j<=15
Blocking probabilities of the
individual disk for prioritized
users request
Blocking probability of disk
and server
1.E-33
1.E-31
1.E-29
1.E-27
1.E-25
1.E-23
1.E-21
1.E-19
1.0 1.5 2.0 2.5 3.0 3.5 4.0 4.5
l
blockingprobability
bp 1-4
bp 5-15
Fig. 2(b): Blocking of individual disks for
prioritized traffic in IUM
1.E-24
1.E-22
1.E-20
1.E-18
1.E-16
1.E-14
1.E-12
1.E-10
1.E-08
1.E-06
1.0 1.5 2.0 2.5 3.0 3.5 4.0 4.5
l
blockingprobability
bq 1-4
bq 5-15
B
Fig. 2(c): Overall blocking of disks and
server for IUM
Fig 3(a): Blocking of individual disks for non -
prioritized traffic in FUM
1.E-21
1.E-19
1.E-17
1.E-15
1.E-13
1.E-11
1.E-09
1.E-07
0.2 0.4 0.6 0.8 1
l
blockingprobability
bu 1-4
bu 5-15
Fig. 3(b): Blocking of individual disks for
prioritized traffic in FUM
1.E-40
1.E-37
1.E-34
1.E-31
1.E-28
1.E-25
1.E-22
1.E-19
1.E-16
0.2 0.4 0.6 0.8 1
l
blockingprobability
br 1-4
br 5-15
1.E-22
1.E-20
1.E-18
1.E-16
1.E-14
1.E-12
1.E-10
1.E-08
1.E-06
0.2 0.4 0.6 0.8 1l
blockingprobability
bq 1-4
bq 5-15
B
a
Fig. 3(c): Overall blocking of disks and
server for FUM
Blocking probabilities of the
individual disk for prioritized
Users.
Blocking probability of the
disk for non-prioritized
users.
Overall blocking probabilities of
the disk and the video server
Fig. 4(a): Blocking of individual disks for non -
prioritized traffic in IUM
1.E-32
1.E-28
1.E-24
1.E-20
1.E-16
1.E-12
1.E-08
1.E-04
2 4 6 8 10 12
r
blockingprobability
bn 1-4
bn 5-15
Fig. 4(b): Blocking of individual disks for
prioritized traffic in IUM
1.E-22
1.E-21
1.E-20
1.E-19
1.E-18
1.E-17
1.E-16
2 4 6 8 10 12
r
blockingprobability
bp 1-4
bp 5-15
Fig. 4(c): Overall blocking of disks and server
for IUM
1.E-20
1.E-18
1.E-16
1.E-14
1.E-12
1.E-10
1.E-08
1.E-06
1.E-04
1.E-02
2 4 6 8 10 12
r
blockingprobability
dq 1-4
dq 5-15
B
Both the models, the increase in
the number of reserved channels
result in low blocking of prioritized
user request.
Blocking of non- prioritized user
increases with the increase in
reserved channels.
Optimal value of r
1.E-08
1.E-07
1.E-06
1.E-05
1.E-04
1.E-03
2 3 4 5 6 7 8 9 10
r
blockingprobability
br 1-4
br 5-15
Fig. 5(a): Blocking of individual disks for
non prioritized traffic in FUM
Fig. 5(b): Blocking of individual disks for
prioritized traffic in FUMs
1.E-37
1.E-34
1.E-31
1.E-28
1.E-25
1.E-22
1.E-19
1.E-16
2 3 4 5 6 7 8 9 10
r
blockingprobability
bu 1-4
bu 5-15
1.E-09
1.E-08
1.E-07
1.E-06
1.E-05
1.E-04
1.E-03
2 3 4 5 6 7 8 9 10
r
blockingprobability
bq 1-4
bq 5-15
B
Fig. 5(c): Overall blocking of disks and
server for FUM
Blocking of individual disks
non prioritized traffic in FUM
Increase in the number of reserved
channels result in low blocking of
prioritized user request
Optimal value of r
Blocking probabilities for
FUM are shown by varying N.
More number of subscribers
(users) lead to higher B. P.
of the disk as well as of the
server.
Fig. 6(a): Blocking of reserve streams by
varying N for FUM
1.E-10
1.E-09
1.E-08
1.E-07
1.E-06
30 31 32 33 34 35 36 37N
blockingprobability
br 1-4
br 5-15
1.E-10
1.E-09
1.E-08
1.E-07
1.E-06
30 31 32 33 34 35 36N
blockingprobability
bq 1-4
q 5-15
b
Fig 6(b): Overall Blocking disks and server of
reserve streams by varying N for FUM
Conclusion
The performance of a VoD.
Minimizing the overall blocking probability.
Reserving fixed number of streams for the prioritized users can
considerably minimize there blocking probability.
Optimal value of the number of reserved channels.
The optimal load sharing policy
Optimal Allocation
The total capacity usage
Chapter 7
Video-On-Demand System with Low
User Delay
Neighbor Buffering Based (NBB) VoD
System with Multicasting
Section 1
 use of client buffering
 to reduce bandwidth requirement
 for Video broadcasting over broadband network
 which needs a high number of streams for low
user delay
 schemes
 (JAS), in which a movie is broadcasted in
staggered manner and short unicast streams
are used.
 (SBB), which provides a broadcasting
strategy for popular movies.
Aim
 Our aim in this section is two folds:
(i) analyse and optimize JAS and SSB schemes,
which is appropriate for movies of intermediate
request rate and popular movies
(ii) to achieve minimum server bandwidth.
Traffic
 hot
 old movies
Model Description
 the request of a particular file depends on the
popularity of that file.
 Video data are distributed
 uni streams
 multiple streams
 which work together to serve Video-streaming
requests from other streams.
movie of length Lmin at every Dmax minutes to satisfy the
delay goal.
 In scheme-1, the Video
is multicasted in a
staggered manner at
regular offset point of
Ts minutes.
 If a request arrives less
than Dmax minutes
before the start of
multicast, it waits till the
start of multicast and
join the stream
otherwise it is served
immediately.
 In scheme-2, the server
streams are grouped
into multicast channels.
 The number of multicast streams is L/Ts.
 The distribution f (x) of inter-arrival time is
 the number of concurrent unicast stream is
x
exf l
l 
)(
dx
T
xxf
N
DsT
s



max
0
)(
Buffering Schemes
 Join-and-Stream (JAS)
 the total number of streams is the sum of the
multicast and unicast streams.
 optimal batching
dx
T
ex
N
DsT
s
x
u 



max
0
1
l
l
s
m
T
L
N 1
max
DTB s

 Stream-Bundling Broadcasting (SBB)
 For increasing bandwidth with an increment of C
bit/min the server streams are bundled together
 so that more customers can serve quickly
 the number of streams required is the sum of the
broadcast/multicast streams and the stream in the
bundled channel.
 The average bundled streams used is
 the total number of streams required
2
1
2
/
max
max
1
max1
 


s
s
DsT
i
su
D
T
TiDN
2
1
2 max

s
s
s
D
T
T
L
N
700
900
1100
1300
1500
1700
1900
2100
4 7 10 13 16 19 22 25 28 31
l
N
Dmax=2
Dmax=5
0
50
100
150
200
250
300
350
400
450
4 9 14 19 24 29 34 39
l
B
Dmax=2
Dmax=5
0
20
40
60
80
100
120
1 6 11 16 21 26 31 36
Ts
N
Dmax=5
1
10
100
1000
1 2 3 4 5 6 7 8
Dmax
S*/B*
S*
B*
Section 2
 we study the use of client buffering to reduce such
bandwidth requirement.
 In a proposed framework, a video will be delivered to
customer through one of two channels,
 unicast and multicast,
 with Neighbors buffering based Video-on-Demand
(NBB-VoD) architecture.
 The two schemes are developed
 to select appropriate delivery channel
 An adaptive batching scheme
 is suggested in which the optimal batching time
is calculated on the basis of arrival rate.
Batching Schemes
 unicast bandwidth 2 Cbit bandwidth
 for multicast transmission customers need Cbit
bandwidth.
 batching time
 In this policy time is divided into an interval of Wmin
 each interval multicast stream is opened.
 They will be group together and served by one
multicast group
 then bandwidth requirement B for one multicast group
is
))(2()2)((...)2)(2()2(1 bithbitbitbitu
CxLCxCxCxB  b
the customer can join the multicast group only when first unicast stream is released
because the multicast stream is started when the first customer joins it.
 The probability density function f (x)
 Unified VoD
 In this case, i = 2 and a = 2.




n
i
i
ixii
ii
xexxf 1
1
0,1,)( aal
ala
min
1min
0
1
1
.
)(.
WC
dxxfB
N
bit
W
u
u






1min
0
)())(2()1)((
w
bithbit
dxxfCxLxC bb
 Multicast Transmission
 Multicast streams start transmitting data after
the arrival of first request
 the requests with a waiting time x will have
their desired data from upcoming multicast
channel, multicast bandwidth during one slot
of time is given by:






minmin,
min,
1
1
10)(
WxWCL
WxCxL
B
bith
bith
m




min
1min
1min
0
1
)()()(
w
W
bith
w
bithm
dxxfCLdxxfCxLN
NBB-VoD
 the highest buffering occurs when the user
arrives slightly before the next multicast to
hold one slot time.
 For the first request we assign unicast
channel to transmit x time unit for request.
 Then the remainder of the video data will be
transmitted via a multicast channel.
Unicast Transmission
 Thus the required unicast bandwidth is given
 the average number of unicast bandwidth
requirement in NBB-VoD






1
0,)1(
min,
2
WxkxC
kxxC
B
bit
bit
u




1min
0
22
)(.
W
uu
dxxfBN
 


k W
k
bitbit
dxxfxCdxxfxC
0
min
)()(
2
)1(
Multicast Transmission
 The multicast bandwidth requirements in
case of NBB-VoD are identical with those of
Unified-VoD case
.:
:1.8.2
:8.2
:2.7.2
1.6.2:1.7.2
)(:7.2
:2.6..2
1:1.6.2
)(:6.2
:5.2
:4.2
:3.2
:2.2
:1.2
:2
*2:1
),...,2,1(,:
0
0
0
min0
0
min
min0
min
streamsmulticastofnumberAverageOutput
rateontransmissidoublewithNOpenStep
elseStep
ttupdateStep
steprepeatStep
btifelseStep
ttupdateStep
NNsetStep
WtifStep
tttcomputeStep
NcalculateStep
WfindStep
tcalculateStep
updateStep
neweachforStep
WtsetStep
niforWLInput
a
s
a
au
a
i
hi









l
l
Contribution to knowledge
 Optimize or fine-tune the telecommunication
infrastructure to increase capacity flexibility
performance without necessarily increasing
cost.
 CCN studied will deal with in a wide variety of
applications like remote login, distributed
database systems, parallel computing,
distance education and manufacturing
control etc.
 To diagnose and improve the situations that
are creating delay and blocking.

Studies On Traffic Management Models for Wireless Communication Network

  • 1.
    Studies On Traffic ManagementModels For Wireless Communication Network Presented By: Neeta Singh Center for Information and Decision Sciences, Dr. B.R. Ambedkar University, Agra-282002 (India) Visit: https://www.rdcsolution.com, Youtube: https://youtu.be/jYBglnf4VvA
  • 2.
    Studies On TrafficManagement Models For Wireless Communication Network WLL Cellular WCNs VOD application
  • 3.
    Chapters Chapter 1: Introduction Chapter2: Some Markov Models Chapter 3: Performance Analysis Of WLL Chapter 4: Multilayer Cellular Network Chapter 5: Performance Analysis Of Cellular Radio System Using Soft-Computing Approach Chapter 6: Performance Analysis Of Video Servers Chapter 7: Servicing Schemes In Video-On-Demand
  • 4.
    1.1: Motivation 1.2: PerformanceModeling of WCNs 1.3: Traffic Management in WCNs 1.4: Some Perspectives of WCNs 1.5: Methodological Aspects 1.6: Performance Measures Chapter 1: Introduction
  • 5.
    Motivation  The popularityof WCNs is due to several advantages  The latter advantage enables what is often called the 3A paradigm communications  Ultimate goal of wireless communication is to ensure information exchange (Voice, Data/Video) with any one, any where and at any time.
  • 6.
     Performance isone of the important issues that effects the design, development, configuration and tuning of a wireless communication system.  The performance analysis of WCNs can be done by evaluating various performance measures viz. throughput, delay, carried load, queue length, blocking probability of traffic in the network, etc.  Thus performance analysis is needed throughout the life cycle of such system. Performance Modeling of WCNs
  • 7.
     Traffic managementis the art of providing users with the service they need and have paid for.  An additional goal of traffic management is to make efficient use of network resources.  The amount of traffic capacity required in a wireless network is highly dependent on the type of traffic.  It appears that the integration of traffic voice, images, data and video, each with its own multi objective QoS requires the development of rather sophisticated traffic models to carry out accurate design and performance evaluation. Traffic Management
  • 8.
    Methodology Aspects  AnalyticalTechniques  Generating Function (Chapter 2B)  Product Type Solution (chapter 3)  Numerical Techniques  Runge-Kutta Method (chapter 6)  Matrix-Geometric Method (Chapter 2A, 2B)  Soft Computing Techniques  Artificial Neural Network (ANN) (Chapter 5)  Neuro-Fuzzy Approach (Chapter 6)
  • 9.
    Performance Measures  Blockingprobability (new/handoff)  Delay probability  Dropping probability  Utilization  Average waiting time  Average number of calls  Average number of calls in the system  Response time in the system  Queue size distribution  Throughput/ Utilization  Traffic delay
  • 10.
    Some Perspectives ofWCNs Public Switched Telephone Network MTSO BTS BTS BTS BTS MTSO: Mobile Telecommunication Switching Office Also known as MSC (Mobile Switching Center) BTS: Base Transceiver Station
  • 11.
    Call from conventionaltelephone  Call arrives at MSC via the PSTN  MSC then sends out a paging message via all BTS on the FCC (Forward Control Channel).  The paging message contains subscriber’s Mobile Identification Number (MIN)  The mobile unit responds with an acknowledgement on the RCC (Reverse Control Channel)  MSC directs BS to assign FVC (Forward Voice Channel) and RVC (Reverse Voice Channel)  BS also assigns a SAT tone (Supervisory Audio Tone) and the VMAC (Voice Mobile Attenuation Code)
  • 12.
    OA & M PSTN LE Concentrator 00 0 C BSs BSC 0 0 00 0 0 WLL system Architecture of WLL
  • 13.
  • 14.
    Chapter 2  M/M/1Queue With Working Vacation And Service Interruption (Published in CSI)  Markovian Queue With Randomly Changing Arrival Rates Under N-Policy  Optimal Policy for Retrial Single Server Queue With Reneging back
  • 15.
    Section 2A  Whatis Working Vacation ?  The free server may offer service to the customer, which are not registered previously in normal case.  The free server is called on ‘working vacation’ as it can hear the request of other type traffic via control distributed channel and returns back after a random interval to establish its normal connection, if there is any packet of routine type to be transmitted in the buffer.  Systems is based on:  Unreliable Server  Breakdown  Repair  Setup  Techniques  Matrix geometric back
  • 16.
    Model Description P0,0 P1,0P2,0 P3,0 P4,0 Pn,0 l0 l0 l0 l0 l0 l0 mv mv mv mv mv mv P1,1 P2,1 P3,1 P4,1 Pn,1 l1 l1 l1 l1 l1 mB mB mB mB mB 0 0 0 P1,2 P2,2 P3,2 P4,2 Pn,2 l2 l2 l2 l2 l2 P1,3 P2,3 P3,3 P4,3 Pn,3 l3 l3 l3 l3 l3 0 0 0 0 0 0 0 0 0 mv h h h h h a a a a a q q q q q b b b b b l3 l1 l2 l0 mB Busy state Down state Repair state Vacation state 0 0 0 0 0 0 0 0 0 0 0 0 state customers back
  • 17.
    Probabilities  P(n,0) Probabilityof n customers being in the system when the server is on working vacation.  P(n,1) Probability of n customers being in the system when the server is busy.  P(n,2) Probability of n customers being in the system when the server is under breakdown state.  P(n,3) Probability of n customers being in the system when the server is under repair state. back
  • 18.
    Performance Measures  Theaverage number of customers in the working vacation period:  The average number of customers in the system when the server is in the busy state:  The average number of customers in the system when the server is in broken down state:     0 )0,()( n nnPVE     1 )1,()( n nnPBE     1 )2,()( n nnPDE back
  • 19.
    Cont…  The averagenumber of customers in the working vacation period  The average number of customers in the busy state  The average number of customers in the broken down state     0 )0,()( n nnPVE     1 )1,()( n nnPBE     1 )2,()( n nnPDE back
  • 20.
     The averagenumber of customers in the repair state  The average number of customers in the system  Throughput  Average delay     1 )3,()( n nnPRE )()()()()( REDEBEVENE        1 )1,( 1 )0,( n nB n nv pp mm  )(NE D  Numerical Result back
  • 21.
    Concluding Remark  M/M/1queueing model  unreliable server , working vacation and setup time.  state-dependent arrival rate  We have facilitated sensitivity analysis which can be further used to determine the optimal control parameter. back
  • 22.
    Section: 2B  Whatis Randomly Changing Arrival Rates ?  A communication network system is the typical example of changing arrival rate with a sudden increase in the traffic due to an external phenomenon.  Systems is based on:  Two Channel  Random Intensity  N-Policy  Techniques  Generating function,  Matrix geometric back
  • 23.
  • 24.
    Steady State Probabilities Pn,0Probability that channel P is in Idle state and there are ‘n’ number of messages in the queue in front of P Pn,1 Probability that channel P is in Busy state and there are ‘n’ number of messages in the queue including in service in front of P Qn,0 Probability that channel Q is in Idle state and there are ‘n’ number of messages in the queue in front of Q Qn,1 Probability that channel Q is in Busy state and there are ‘n’ number of messages in the queue including in service in front of Q back
  • 25.
    1 2 nN-1 N N+1 0 1 0 1 N-1 pl0 pl0 pl0pl0 m0 m0 m0 m0 m0 m0 m0 m0 pl0 pl0 pl0 pl0 pl0 rl1 rl1 rl1 rl1 rl1rl1 rl1 m1 m1 m1 m1 m1m1 m1 rl1 rl1 rl1 m1 2 2 rl1 n n 000 000 N-1 1 2 n N-1 N N+1 pl0 000 000 000 000 000 000 i i 000 000 000 000 pl0 m0 rl1 m1 pl0 m0 rl1 m1 pl0 m0 rl1 m1 State Transition Diagram Model Description back
  • 26.
    Performance Measures  Expectednumber of messages  Throughput  Average delay          0n 1,n1,n 1N 1n 0,n0,n QPnQPn)N(E       1n 1,n1 1n 1,n0 QP mm  )N(E D  back
  • 27.
    0 20 40 60 80 100 120 140 1.0 1.2 1.41.6 1.8 2.0 l0 E(N) r=.3 r=.5 r=.7 0 10 20 30 40 50 60 1.0 1.2 1.4 1.6 1.8 2.0 l0 E(N) p=.5 p=.7 p=.9 3 4 5 6 7 8 9 10 11 1.0 1.2 1.4 1.6 1.8 2.0 l1 E(N) r=.3 r=.5 r=.7 2 3 4 5 6 7 8 9 10 11 1.0 1.2 1.4 1.6 1.8 2.0 l1 E(N) p=.5 p=.7 p=.9 Fig. 2(a-b): Comparison of E(N) by varying l0 for different values of r and p respectively Fig. 3(a-b): Comparison of E(N) by varying l1 for different values of r and p respectively
  • 28.
    0 20 40 60 80 100 120 140 1.0 1.2 1.41.6 1.8 2.0 l0 E(N) r=.3 r=.5 r=.7
  • 29.
    0 20 40 60 80 100 120 140 2.0 2.2 2.42.6 2.8 3.0m0 E(N) r=.3 r=.5 r=.7 0 10 20 30 40 50 60 70 2.0 2.2 2.4 2.6 2.8 3.0m0 E(N) p=.5 p=.7 p=.9 5 25 45 65 85 105 125 145 3.0 3.2 3.4 3.6 3.8 4.0m1 E(N) r=.3 r=.5 r=.7 5 15 25 35 45 55 65 3.0 3.2 3.4 3.6 3.8 4.0m1 E(N) p=.5 p=.7 p=.9 Fig. 5(a-b): Comparison of E(N) by varying m1 for different values of r and p respectively Fig. 4(a-b): Comparison of E(N) by varying m0 for different values of r and p respectively
  • 30.
    0 20 40 60 80 100 120 140 2.0 2.2 2.42.6 2.8 3.0m0 E(N) r=.3 r=.5 r=.7
  • 31.
    Concluding Remarks  Thetwo service channels system are analysied by considering switchover of messages from one channel to another as can be realized in case of voice and data traffic over ISDN network.  The model studied in this paper is capable to predict the performance indices of real time system of telecommunications wherein exclusive resources such as transmission lines and switching nodes are shared by mixed type traffic.  The further extension of work is possible by considering the multi-class traffic which is the demand of multimedia services.  The computational tractability of the matrix geometric method is validated by taking numerical illustrations.  Our study may be helpful to prevent congestion by routing the traffic of excessive busy channel to less busy channel. back
  • 32.
    Section : 2C In this section we consider, a Markovian retrial queue  with reneging  by considering the limited space in orbit.  The expressions for various performance measures  system state probabilities  number of customers in orbit  the expected waiting time in the queue  the expected waiting time in system  Numerical results are obtained to facilitate the comparison of the corresponding model with infinite orbit capacity and without reneging. back
  • 33.
  • 34.
    Assumptions  We considera single server queue with Poisson input rate l0 and l when server is idle and busy, respectively.  The service time and retrial time are exponential distributed with rate m and , respectively.  If server is busy then customer goes in the retrial orbit of size N.  The customers in the orbit may retry for service with probability r.  After joining the queue the customer may also renege from the system.  The reneging is assumed to exponential distributed with parameter . back
  • 35.
    Model Description  Let{St, Xt} denotes the system state space  where St is the number of customer being served at time t  Xt represents the number of customers in the orbit at time t.  The system is in state (i, j) if ith customer is being served and j customers are in the orbit for i {0,1} and j {0,1,2, …}.  The stationary probabilities P0,j=P( S=0, X=j ), P1,j=P( S=1, X=j ), back
  • 36.
     The governingequations are constructed as follows:  Solving above equations, we get NjPjPj jj  0,)()( ,1,00 ml   10 ,)1()1)(1()1( 1,01,11,1,00,1    Nj PjPjrPrPPjrjr jjjjj llml   1,1,00,1 )1(   NNN PrPPjrN llm NjP j j P jj     0, )( ,1 0 ,0 l m back
  • 37.
  • 38.
    Special Cases 1. Takingl0=l, we can derive the results for homogeneous arrival rate. 2. Non-reneging behavior of customers has obtained by putting =0 3. On substituting l0=l and =0, our results coincide with the results of Elcan (1994) for an M/M/1 queueing system with retrials.
  • 39.
    Numerical Results 0 2 4 6 8 10 12 1.0 2.03.0 4.0 5.0 6.0 7.0 8.0 9.0 l0 E(K)   3 0.0 1.0 2.0 3.0 4.0 5.0 6.0 7.0 8.0 9.0 10.0 1.0 2.0 3.0 4.0 5.0 6.0 7.0 8.0 9.0 l E(K) 3   0 2 4 6 8 10 12 14 16 0.1 0.2 0.3 0.4 0.5 0.6 0.7 0.8 0.9  E(K) 3   Figs. 1(a-c): E (K) by varying (a) l0 , (b) l and (c) g for different values of n
  • 40.
    0 2 4 6 8 10 12 1.0 2.0 3.04.0 5.0 6.0 7.0 8.0 9.0 l0 E(L)   3 0.0 1.0 2.0 3.0 4.0 5.0 6.0 7.0 8.0 9.0 10.0 1.0 2.0 3.0 4.0 5.0 6.0 7.0 8.0 9.0 l E(L) 3   0 2 4 6 8 10 12 14 16 0.1 0.2 0.3 0.4 0.5 0.6 0.7 0.8 0.9  E(L) 3   Figs. 2(a-c): E (L) by varying (a) l0 , (b) l and (c) g for different values of n
  • 41.
    0 1 2 3 4 5 6 7 1.0 2.0 3.04.0 5.0 6.0 7.0 8.0 9.0 l0 E(K) r=.4 r=.6 r=.8 0.0 1.0 2.0 3.0 4.0 5.0 6.0 7.0 8.0 9.0 10.0 1.0 2.0 3.0 4.0 5.0 6.0 7.0 8.0 9.0 l E(K) r=.4 r=.6 r=.8 0.0 5.0 10.0 15.0 20.0 25.0 30.0 0.1 0.2 0.3 0.4 0.5 0.6 0.7 0.8 0.9  E(K) r=.4 r=.6 r=.8 Figs. 3(a-c): E (K) by varying (a) l0 , (b) l and (c) g for different values of r 0.0 1.0 2.0 3.0 4.0 5.0 6.0 7.0 8.0 1.0 2.0 3.0 4.0 5.0 6.0 7.0 8.0 9.0 l0 E(L) r=.4 r=.6 r=.8 0.0 2.0 4.0 6.0 8.0 10.0 1.0 2.0 3.0 4.0 5.0 6.0 7.0 8.0 9.0 l E(L) r=.4 r=.6 r=.8 0.0 5.0 10.0 15.0 20.0 25.0 30.0 0.1 0.2 0.3 0.4 0.5 0.6 0.7 0.8 0.9  E(L) r=.4 r=.6 r=.8 Figs. 4(a-c): E (K) by varying (a) l0 , (b) l and (c) g for different values of r
  • 42.
    0 2 4 6 8 10 12 14 0.1 0.3 0.50.7 0.9 E(K) l0l l0l3 l0l 0.0 0.5 1.0 1.5 2.0 2.5 3.0 0.1 0.3 0.5 0.7 0.9r E(K) l0l l0l3 l0l Figs. 5(a-b): E (K) by varying (a) g , (b) r for different set of l 0 2 4 6 8 10 12 14 0.1 0.3 0.5 0.7 0.9  E(L) l0l l0l3 l0l 0.0 0.5 1.0 1.5 2.0 2.5 3.0 3.5 0.1 0.3 0.5 0.7 0.9 r E(L) l0l l0l3 l0l Figs. 6(a-b): E (L) by varying (a) g, (b) r for different set of l
  • 43.
    Conclusion  finite orbitM/M/1 retrial queue with reneging.  The incorporation of reneging parameter makes our model more closer to real life situations.  The model, which presented here, has wide utility in computer system, communication system and manufacturing systems, etc.
  • 44.
    Chapter : 3 we study the performance of Wireless Local Loop (WLL) system in term of call loss and delay probabilities.  We predict the performance measures for the prioritized channel assignment scheme  The traffic in the system is considered as integrated (voice/data).  We drive several analytical results based on  based on channel assignments  population size back
  • 45.
    ndi newi hdi B l hm h l    )1( , nvi newi hvi B l hm h l    )1( , The arrival rates of new and hand-off  The traffic intensity of new calls and handoff calls hm ll     divi i hm ll     hdihvi hi
  • 46.
    Models  LOSS MODELS ILMS  FLMM  ILMM  FLMM  DELAY MODELS  IDMS  FDMS  IDMM  FDMM
  • 47.
     loss system wherein a new call to ST is lost if si=ci-chi channels in the corresponding BS are busy  S=TC-R trunks in the BSC are occupied.  The handoff calls are lost if  all the reserved channels in the corresponding BS are occupied  all the reserved trunks in the BSC are busy.
  • 48.
    IPLM  Infinite trafficsource i.e STs.  When there is heavy traffic on the network, then it becomes desirable to serve the new calls in a different manner.  This can be done by using modified scheme where the new calls can use the r reserved channels also in case of light traffic of handover calls provided they are free n nf 2 1 )( 
  • 49.
                        iiin n isj newihandoffi is i iin n i ni cnsP n sjf snP n P 1, )(! )( 0, )(! 0, 1 ,, 0, , hm lll hm l   1 1 1 ,, 1 0,)(! )( )(!                      ic isn n n isj newiihandoffi is iis n n n i i n sjf nP hm lll hm l  At BS
  • 50.
     Loss probabilitiesof new calls at ith (i=1,2,…,B) BS  Loss probability of handoff data and handoff voice calls     ic isn ininewi snfPL )(1,, icicehandoffvoiiahandoffdati PLL ,,, 
  • 51.
     At BSC Loss probabilities new calls, handoff data and handoff voice calls                     TCnSP n Sjf SnP n P bscn n Sj newbschandoffbsc S bsc bscn n bsc nbsc 1, )(! )( 0, )(! 0, 1 ,, 0, , hm lll hm l     TC Sn nbscnewbsc SnfPL )(1,, TCbsccehandoffvoibscahandoffdatbsc PLL ,,, 
  • 52.
    Delay Models  wherehandoff calls are allowed to wait in a buffer of size Ni, if channels are not available.  we consider finite population model with reserved channels and function.  It is assumed that the traffic at each BS is originated from finite population of size K.
  • 53.
  • 54.
    Conclusion  Reserving afixed number of channels for handoff calls reduces their call loss and delay probabilities  The function scheme in IDMS and FDMM offers least blocking to the handoff voice calls in comparison new and handoff data.  Furthermore, releasing function used in channels allocation for providing service to handoff voice calls reduces blocking to the new calls also.
  • 55.
    Chapter4  The doublelayer architecture is based  Macro layer :  The outer layer has connection to subscribers and receives fresh traffic destinated for the network  Used to cover large areas with low traffic density  Radius: 1-20km  High-speed moving terminals (HSMT)  Micro layer :  The inner layer only deals with traffic inside the network structure.  Used in areas with high traffic density  Radius:200m-2km  Low speed moving terminals (LSMT). back
  • 56.
    Hierarchical Cellular Architecture Larger cells serve users with lower number of handoff but the capacity is also reduced  Smaller cells lead to increase in capacity but also increase handoffs  If a hierarchical architecture is used proper cell assignment can lead to increased capacity
  • 57.
    Analytical Models Double LayerCellular Model New Call Bounding Cuttoff Priority Scheme Cuttoff Priority With Releasing Function Double Layer Cellular Model With Subrating New Call Bounding With Subrating Cuttoff Priority With Subrating Cuttoff Priority With Releasing Function and Subrating
  • 58.
    New Call BoundingScheme  Threshold number for new call bounding (NCB) scheme is k  if the number of new calls in the cell exceeds k, the new call will be blocked.  Otherwise it will be admitted.  The handoff call is rejected only when all channels in the cell are used up.
  • 59.
    )0,0(),( !! P nm P n h m n nm   1 0 0 )0,0( !!             k m mc n n h m n nm P  0,,0 ncnmkm Steady state probability in each micro cell where,          k m mc n n Lh m n k m mc Lh m n Lh nm mcm B 0 0 0 !! )!(!   Blocking probability of handoff calls of LSMT               k m mc n n Lh m n kc n k m mc Lh m n n Lh k n n nm mcmnk B 0 0 0 1 0 !! )!(!!!   Blocking probability of new calls
  • 60.
    For the macrocell, consisting N number of micro layers i=1,2,…,C  0 ! . q i N q i Hh i   For Macro cell where   1 0 0 ! .          C i i Hh i N q 
  • 61.
    Handoff call ofHSMT will be blocked in the macro cell if Overall blocking probability Carried Load   ! . C N B C Hh Hh   l lll HhHhLhLhnn BBB B   l lll )1()1()1( HhHhLhLhnn BBB CL  
  • 62.
    Cutoff Priority Scheme(COP1)  Threshold number for cutoff priority scheme is s  if the total number of busy channels exceeds a threshold limit s, and a new call arrives, the new call will be blocked  otherwise it will be admitted.  The handoff call is rejected only when all channels in the cell are used up.  if we assume that there is no new call bounding but r=c-s channels are reserved to give priority to handoff traffic in micro cell.
  • 63.
    Steady state probability                cis,P !i si,P !iP si Lh s Lhn i Lhn i 1 0 0 0                      s i c si si Lh s Lhn i Lhn c si si Lh s Lhn n !i!i !iB 0 1 1                   s i c si si Lh s Lhn i Lhn sc Lh s Lhn Lh ii cB 0 1 !! !  
  • 64.
    Cutoff Priority SchemeWith Releasing Function (COPF1 ) Steady state probability                   cisP i sif siP iP si n s Lhn i Lhn i Lh 1, ! )( 0, ! 0 0   …13 P0 is also obtained by using normalization condition i.e. . 1 1 0   c i P
  • 65.
    Blocking probability ofnew calls                        s i c si si n s Lhn i Lhn c si si n s Lhn n i sif i i sif B Lh Lh 0 1 1 ! )( ! ! )(   …14 Blocking probability of handoff calls                      s i c si si n s Lhn i Lhn si n s Lhn Lh i sif i c sif B Lh Lh 0 1 ! )( ! ! )(   …15 Numerical Result
  • 66.
    Optimal Channel Allocation Our aim in this section is to decide the number of channels to be allocated in each cell so that the blocking probabilities of the new and hand-off calls could be minimized.  Three channel assignment schemes are concerned to reduce the blocking probability of handoff attempts.  The channel assignment schemes are based on new call bounding and cutoff priority criteria. back
  • 67.
     we proposean algorithm to assign optimal number of unreserved channels (si) and guard channels (ri) to each cell in the cluster;  we have total C channels in a cluster of a cellular radio network depending on the blocking probability of the new and handoff calls.  By applying the proposed algorithm to each cluster in the overlaid area, the prioritized channel assignment for double layer cellular network is proposed for the whole network.
  • 68.
     We wantto find the smallest integer such that  We formulate a Non-Linear Integer Programming Problem (NIPP) for calculating the optimal number of channels in each cell which minimize the overall handoff call blocking probability as: 0 js max 0 , )0,( BsB jnj 
  • 69.
          K j jjHhj Hhj K j jjLhj Lhj rsBrsBBHMinimize 1 , , 1 , , ),(),( ll KjBrsBtosubject jjnj ,...,2,1),(max,  egersbeingKjrsrs Crs jjjj K j jj int),...,2,1(,,0, )( 1     Here Bmax is the minimum level of grade of service (GoS) to be satisfied by both type of calls and    K j HhjLhj 1 ,, ll
  • 70.
    C cell #(x*,y*) Bn BLh B 120 1 (14,0) 0.01789 1.79E-02 1.79E-02 2 (11,0) 0.011563 1.16E-02 1.16E-02 3 (28,1) 0.017417 4.98E-03 1.74E-02 4 (15,0) 0.019462 1.95E-02 1.95E-02 5 (4,0) 0.004741 4.74E-03 4.74E-03 6 (27,0) 0.016772 1.68E-02 1.68E-02 7 (20,0) 0.014804 1.48E-02 1.48E-02 150 1 (15,3) 0.013436 2.28E-04 1.34E-02 2 (11,3) 0.015548 1.76E-04 1.55E-02 3 (29,4) 0.013021 1.51E-04 1.30E-02 4 (16,4) 0.015619 8.21E-05 1.56E-02 5 (4,1) 0.005137 3.98E-04 5.14E-03 6 (28,5) 0.018088 7.77E-05 1.81E-02 7 (21,4) 0.013341 1.02E-04 1.33E-02 Optimal channel allocation with non-uniform traffic for COP1
  • 71.
    C cell #(x*,y*) Bn BLh B 120 1 (10,4) 0.01972 9.00E-08 1.97E-02 2 (8,4) 0.013456 2.34E-08 1.35E-02 3 (19,5) 0.016614 1.54E-08 1.66E-02 4 (11,5) 0.016663 3.49E-09 1.67E-02 5 (3,2) 0.008737 1.08E-06 8.74E-03 6 (19,5) 0.015186 1.32E-08 1.52E-02 7 (14,5) 0.016726 7.29E-09 1.67E-02 150 1 (10,4) 0.01972 9.00E-08 1.97E-02 2 (8,4) 0.013456 2.34E-08 1.35E-02 3 (19,5) 0.016614 1.54E-08 1.66E-02 4 (11,5) 0.016663 3.49E-09 1.67E-02 5 (3,2) 0.008737 1.08E-06 8.74E-03 6 (19,5) 0.015186 1.32E-08 1.52E-02 7 (14,5) 0.016726 7.29E-09 1.67E-02 Optimal channel allocation with non-uniform traffic for COPF1
  • 72.
    Chapter 5  CellularRadio System Supporting Integrated Traffic  Call Admission Control And Blocking Probability Estimation In PCS Networks  Handoff Prioritization Scheme And Optimal Allocation back
  • 73.
    Soft Computing  Providesflexile Information processing capabilities for real life situations  Has the properties of approximation ad dispositionality
  • 74.
    Artificial Neural Network We can simulate the structure of human brain it is closely modeled on biological process  Such a structure is formed as “Artificial Neural Network” structure.  We can train a neural network to perform a particular function by adjusting the values of the connection between elements.
  • 75.
  • 76.
    Performance measures  Theblocking probability of new and handoff calls are calculated as  The overall blocking and carried load are    cknmrc n knmpB ),,(    cknm h knmpB ),,(    hhnn BB B l    )1()1( hhnn BB CL l
  • 77.
    1.00E-06 1.00E-05 1.00E-04 0.5 0.55 0.60.65 0.7 0.75 0.8 0.85 0.9 0.95 1 ld Bn Analytical ANN 1.00E-08 1.00E-07 1.00E-06 1.00E-05 1.00E-04 1.00E-03 1.00E-02 0.5 0.55 0.6 0.65 0.7 0.75 0.8 0.85 0.9 0.95 1 lv Bn Analytical ANN 1.00E-06 1.00E-05 1.00E-04 1.00E-03 0.5 0.55 0.6 0.65 0.7 0.75 0.8 0.85 0.9 0.95 1 lm Bn Analytical ANN
  • 78.
    1.00E-18 1.00E-15 1.00E-12 1.00E-09 1.00E-06 1.00E-03 1.00E+00 1.00E+03 6 8 1012 14 16 c Bn Analytical ANN 1.00E-22 1.00E-19 1.00E-16 1.00E-13 1.00E-10 1.00E-07 1.00E-04 1.00E-01 1.00E+02 6 8 10 12 14 16 c Bh Analytical ANN
  • 79.
    Section 5B  two-dimensionaltraffic is studied  by using Neuro-fuzzy approach  which readjusts the connection weight, by using Backpropogation algorithm and simplifies the fuzzy rule  proposed prioritized scheme  by subrating an occupied channel on a blocked port can be spilitted into two half rated channels to accommodate more voice handoff attempts.
  • 80.
    0,0 1,0 0,1 1,1 0,21,2 0,c-r-1 1, C-r-1 0.c-r 0,c-r+1 0,c-1 0,c C-r,0 C,0 2c-2,0 2c-1,0 2c,0 2C-4,1 2C-3,1 2C-2,1 2C-6,2 2C-5,2 2C-4,2 2r, C-r-1 2r+1, C-r-1 2r+2, C-r-1 2r-2, C-r 2r-1, C-r 2r, C-r 2r-4, c-r+1 2r-3, C-r+1 2r-2, C-r+1 1,c-1 2,c-1 C-r-1, 1 C-r-2, 2 C-1,1 C-2,2 r+1, C-r-1 r-1, c-r+1 v d lhv lhv lhv lhv lhv lhv d r, C-r lhd lhv lhv lhd v v v lhv lhv lhv lhv lhv lhv lhd lhd lhd lhd lhv lhd Figure 5.2.1: State transition diagram of the model
  • 81.
    Performance Analysis    cnmrc nmn tptB 2 ),( )()( )()( 2 ),( tptB cnmc nmhd     )()( 2 ),( tptB cnm nmhv        )()()( )( tBtBtB tB hvhvhdhdnn ll    ))(1())(1())(1( )( tBtBtB tCL hvhvhdhdnn ll
  • 82.
    0.000 0.000 0.000 0.001 0.001 0.001 0.001 0.001 0.002 0.002 10 30 5070 90 110 130 150 170 190 t Bhd(t) RKM ANFIS mh3 mh 0.24 0.25 0.26 0.27 0.28 0.29 0.3 0.31 10 30 50 70 90 110 130 150 170 190 t Bn(t) ANFIS RKM mh=.3 mh=.4
  • 83.
    Section 5C  weconsider the channel assignment scheme for two traffic classes, voice and data by incorporating  balking  reneging  two-threshold guard channel policies.  channel allocation scheme  There is a provision of buffer for class-2 handoff.  In the proposed call admission scheme, the total number of channels is sub divided into three subsets  ordinary channel, shared channels and dedicated guard channels
  • 84.
    0 1 l mh C-k C lh2 (C-k+1)(mh C- r-k ll 2mh C+ N (C-r-k)(mh 00 0 l h (C-r-k+1) (mh l h (C-k) (mh l h2b l h2b C(mhNC (mh 00 0 00 0 l h2 C(mh 00 0                          NCnCP ClCC CnrCP n rCnkrCP n krCnP n P n Cj Cn h r h k h krC rCn h k h krC krCn h krC n n , )()(! , ! , ! 0, ! 0 1 22 0 )( 2 0 )( 0 hm bl   
  • 85.
        NC krCn nn PB Performance Measures     NC rCn nh PB NCh PB  2 l lbll22 )1( hhhhnn BBB B   l lbll )1()1()1()1( 22 hhhhnn BBB CL  
  • 86.
    Optimal Channel Allocation Minimize Bn (C, k, r) Subject to h1h Pr)k,(C,B  and h2h2 Pr)k,(C,B  k, r  0
  • 87.
    if 2h2h P)C,C,C(B  then return(C,C) end if set Cr  while )P)r,k,C(B( 2h2h  do set 1rr  end while set rk  while )P)r,k,C(B( 1hh  do if )P)1r,k,C(B( 2h2h  then set 1rr  else set 1kk  end if end while return (k,r)
  • 88.
    Properties of BlockingProbabilities  Property for blocking probability of new calls  Blocking probability of Bn decreases by increasing the number of ordinary channels (C).  Blocking probability of new calls increases by increasing the number of shared guard channels (k).  Blocking probability of new calls increases by increasing the number of dedicated guard channels (r).  Property for blocking probability of handoff calls  Bh decreases as the number of ordinary channels (C) increases.  Blocking probability of handoff calls decreases as the number of shared guard channels (k) increases.  Blocking probability of handoff calls increases as the number of dedicated guard channels (r) increases.
  • 89.
     (c) Propertyfor blocking probability of handoff calls of class-2 traffic  Blocking probability of Bh2 decreases with the increase in the number of ordinary channels (C).  Blocking probabilities of Bh2 decreases with the increase in the number of shared guard channels (k).  Blocking probabilities of Bh2 decreases by increasing the number of dedicated guard channels (r).
  • 90.
    Conclusion  The incorporationof balking and reneging behavior improves the model as it deals with more realistic situations.  An optimal allocation algorithm is developed which can be easily implemented as validated by performing extensive numerical experiment.  The inclusion of two threshold levels in place of one threshold level for allocation of guard channels makes our model more versatile to deal with real time wireless communication systems.
  • 91.
    Chapter 6 Video Servers Customer’s House Localspooling server Local Distribution Network Backbone Network back
  • 92.
    About VoD… A videoserver stores compressed video for delivery (MPEG Compressed format) to clients connected by a network. The request of a particular file depends on the popularity or demand. Video data are distributed among the streams and multiple streams  where the user can watch any movie at any time  he can pause / resume the video or rewind/forward it as per his convenience The request categorized into two types Prioritized Non-prioritized VoD is based on: programming client-server architecture
  • 93.
    Mathematical Modeling IUM The numberof users are assumed to be infinite FUM The number of users are taken as finite We Investigate analytical models Models are compared on the basis of the blocking probabilities We consider two models for analyzing the performance of the video server
  • 94.
    Infinite User Model(IUM) The steady state probabilities of being ith streams in the disk is …1 where …2                                  ! ! )( i i P i j RIi r Ri i j i jjjj a a jjj jj IiRI RIi   10     1)(1 0 0 !!               ii P i j RIi r RiIj RjIji i j RjIj i jjjj aa
  • 95.
            Ij RjIji i j RjIji r RjIjRjIj i i j Ij RjIji i j n j ii i B ! )( ! )( ! )( )(1 0 aa a       Ij RjIji i j RjIji r RjIjRjIj i i j Ij j Rj r RjIj p j ii B ! )( ! )( )(1 0 aa a …3 …4 Blocking probabilities of the prioritized Blocking probabilities of non – prioritized
  • 96.
    The overall blockingprobability of the jth disk pn p jp n jn ρρ ΒρΒρ jB    The overall blocking probability of video server   D 1j jjBαB The overall blocking probability of the jth disk pn p jp n jn ρρ ΒρΒρ jB    The overall blocking probability of video server   D 1j jjBαB …5 …6 …7 …8
  • 97.
    Finite Users Model(FUM)                           Ij RjIji i j RjIji r RjIj RjIj i i j Ij RjIji i j n j i M i M ii M B aa a )( 1 0 ()( ! )(                         Ij RjIji i j RjIji r RjIjRjIj i i j Ij j Rj r RjIj p j ii M ii M i M B ! ( ! )( )(1 0 aa a …10 …9 Blocking probabilities of the prioritized Blocking probabilities of non – prioritized
  • 98.
    OPTIMAL TRAFFIC ALLOCATION Herewe suggest an iterative algorithm for determining the optimal portion of the traffic to be allocated on the disks of the video server, such that the overall blocking probability could be minimized. Overall blocking probability Where For minimizing is the blocking probability of disk j at   D j jj BB 1 a   D j j 1 1a           D j jKBL 1 1a opt jj j opt j BB aa   )( opt jB opt ja
  • 99.
    Fig.1 (a): Fileallocation for disk in the VoD server D=15, Ij=20; 1<=j<=4 ,Ij=15; 5<=j<=15 Two type of disks Disks 1-4 have 20 I/O streams, qi =80%, for j=1-4 Disk 5-15 have 15 I/O streams, qj =6% for j=5-15. Two different disks having equal I/O streams get equal percentage of traffic. 8% 8% 9% 9% 6% 6%6%6% 6% 6% 6% 6% 6% 6% 6% File allocation for disk in the VoD server D=15, Ij=20; 1<=j<=4 ,Ij=15; 5<=j<=15
  • 100.
    Blocking probabilities ofthe individual disk for prioritized users request Blocking probability of disk and server 1.E-33 1.E-31 1.E-29 1.E-27 1.E-25 1.E-23 1.E-21 1.E-19 1.0 1.5 2.0 2.5 3.0 3.5 4.0 4.5 l blockingprobability bp 1-4 bp 5-15 Fig. 2(b): Blocking of individual disks for prioritized traffic in IUM 1.E-24 1.E-22 1.E-20 1.E-18 1.E-16 1.E-14 1.E-12 1.E-10 1.E-08 1.E-06 1.0 1.5 2.0 2.5 3.0 3.5 4.0 4.5 l blockingprobability bq 1-4 bq 5-15 B Fig. 2(c): Overall blocking of disks and server for IUM
  • 101.
    Fig 3(a): Blockingof individual disks for non - prioritized traffic in FUM 1.E-21 1.E-19 1.E-17 1.E-15 1.E-13 1.E-11 1.E-09 1.E-07 0.2 0.4 0.6 0.8 1 l blockingprobability bu 1-4 bu 5-15 Fig. 3(b): Blocking of individual disks for prioritized traffic in FUM 1.E-40 1.E-37 1.E-34 1.E-31 1.E-28 1.E-25 1.E-22 1.E-19 1.E-16 0.2 0.4 0.6 0.8 1 l blockingprobability br 1-4 br 5-15 1.E-22 1.E-20 1.E-18 1.E-16 1.E-14 1.E-12 1.E-10 1.E-08 1.E-06 0.2 0.4 0.6 0.8 1l blockingprobability bq 1-4 bq 5-15 B a Fig. 3(c): Overall blocking of disks and server for FUM Blocking probabilities of the individual disk for prioritized Users. Blocking probability of the disk for non-prioritized users. Overall blocking probabilities of the disk and the video server
  • 102.
    Fig. 4(a): Blockingof individual disks for non - prioritized traffic in IUM 1.E-32 1.E-28 1.E-24 1.E-20 1.E-16 1.E-12 1.E-08 1.E-04 2 4 6 8 10 12 r blockingprobability bn 1-4 bn 5-15 Fig. 4(b): Blocking of individual disks for prioritized traffic in IUM 1.E-22 1.E-21 1.E-20 1.E-19 1.E-18 1.E-17 1.E-16 2 4 6 8 10 12 r blockingprobability bp 1-4 bp 5-15 Fig. 4(c): Overall blocking of disks and server for IUM 1.E-20 1.E-18 1.E-16 1.E-14 1.E-12 1.E-10 1.E-08 1.E-06 1.E-04 1.E-02 2 4 6 8 10 12 r blockingprobability dq 1-4 dq 5-15 B Both the models, the increase in the number of reserved channels result in low blocking of prioritized user request. Blocking of non- prioritized user increases with the increase in reserved channels. Optimal value of r
  • 103.
    1.E-08 1.E-07 1.E-06 1.E-05 1.E-04 1.E-03 2 3 45 6 7 8 9 10 r blockingprobability br 1-4 br 5-15 Fig. 5(a): Blocking of individual disks for non prioritized traffic in FUM Fig. 5(b): Blocking of individual disks for prioritized traffic in FUMs 1.E-37 1.E-34 1.E-31 1.E-28 1.E-25 1.E-22 1.E-19 1.E-16 2 3 4 5 6 7 8 9 10 r blockingprobability bu 1-4 bu 5-15 1.E-09 1.E-08 1.E-07 1.E-06 1.E-05 1.E-04 1.E-03 2 3 4 5 6 7 8 9 10 r blockingprobability bq 1-4 bq 5-15 B Fig. 5(c): Overall blocking of disks and server for FUM Blocking of individual disks non prioritized traffic in FUM Increase in the number of reserved channels result in low blocking of prioritized user request Optimal value of r
  • 104.
    Blocking probabilities for FUMare shown by varying N. More number of subscribers (users) lead to higher B. P. of the disk as well as of the server. Fig. 6(a): Blocking of reserve streams by varying N for FUM 1.E-10 1.E-09 1.E-08 1.E-07 1.E-06 30 31 32 33 34 35 36 37N blockingprobability br 1-4 br 5-15 1.E-10 1.E-09 1.E-08 1.E-07 1.E-06 30 31 32 33 34 35 36N blockingprobability bq 1-4 q 5-15 b Fig 6(b): Overall Blocking disks and server of reserve streams by varying N for FUM
  • 105.
    Conclusion The performance ofa VoD. Minimizing the overall blocking probability. Reserving fixed number of streams for the prioritized users can considerably minimize there blocking probability. Optimal value of the number of reserved channels. The optimal load sharing policy Optimal Allocation The total capacity usage
  • 106.
    Chapter 7 Video-On-Demand Systemwith Low User Delay Neighbor Buffering Based (NBB) VoD System with Multicasting
  • 107.
    Section 1  useof client buffering  to reduce bandwidth requirement  for Video broadcasting over broadband network  which needs a high number of streams for low user delay  schemes  (JAS), in which a movie is broadcasted in staggered manner and short unicast streams are used.  (SBB), which provides a broadcasting strategy for popular movies.
  • 108.
    Aim  Our aimin this section is two folds: (i) analyse and optimize JAS and SSB schemes, which is appropriate for movies of intermediate request rate and popular movies (ii) to achieve minimum server bandwidth. Traffic  hot  old movies
  • 109.
    Model Description  therequest of a particular file depends on the popularity of that file.  Video data are distributed  uni streams  multiple streams  which work together to serve Video-streaming requests from other streams.
  • 110.
    movie of lengthLmin at every Dmax minutes to satisfy the delay goal.  In scheme-1, the Video is multicasted in a staggered manner at regular offset point of Ts minutes.  If a request arrives less than Dmax minutes before the start of multicast, it waits till the start of multicast and join the stream otherwise it is served immediately.  In scheme-2, the server streams are grouped into multicast channels.
  • 111.
     The numberof multicast streams is L/Ts.  The distribution f (x) of inter-arrival time is  the number of concurrent unicast stream is x exf l l  )( dx T xxf N DsT s    max 0 )(
  • 112.
    Buffering Schemes  Join-and-Stream(JAS)  the total number of streams is the sum of the multicast and unicast streams.  optimal batching dx T ex N DsT s x u     max 0 1 l l s m T L N 1 max DTB s 
  • 113.
     Stream-Bundling Broadcasting(SBB)  For increasing bandwidth with an increment of C bit/min the server streams are bundled together  so that more customers can serve quickly  the number of streams required is the sum of the broadcast/multicast streams and the stream in the bundled channel.  The average bundled streams used is  the total number of streams required 2 1 2 / max max 1 max1     s s DsT i su D T TiDN 2 1 2 max  s s s D T T L N
  • 114.
    700 900 1100 1300 1500 1700 1900 2100 4 7 1013 16 19 22 25 28 31 l N Dmax=2 Dmax=5 0 50 100 150 200 250 300 350 400 450 4 9 14 19 24 29 34 39 l B Dmax=2 Dmax=5 0 20 40 60 80 100 120 1 6 11 16 21 26 31 36 Ts N Dmax=5 1 10 100 1000 1 2 3 4 5 6 7 8 Dmax S*/B* S* B*
  • 115.
    Section 2  westudy the use of client buffering to reduce such bandwidth requirement.  In a proposed framework, a video will be delivered to customer through one of two channels,  unicast and multicast,  with Neighbors buffering based Video-on-Demand (NBB-VoD) architecture.  The two schemes are developed  to select appropriate delivery channel  An adaptive batching scheme  is suggested in which the optimal batching time is calculated on the basis of arrival rate.
  • 116.
    Batching Schemes  unicastbandwidth 2 Cbit bandwidth  for multicast transmission customers need Cbit bandwidth.  batching time  In this policy time is divided into an interval of Wmin  each interval multicast stream is opened.  They will be group together and served by one multicast group  then bandwidth requirement B for one multicast group is ))(2()2)((...)2)(2()2(1 bithbitbitbitu CxLCxCxCxB  b the customer can join the multicast group only when first unicast stream is released because the multicast stream is started when the first customer joins it.
  • 117.
     The probabilitydensity function f (x)  Unified VoD  In this case, i = 2 and a = 2.     n i i ixii ii xexxf 1 1 0,1,)( aal ala min 1min 0 1 1 . )(. WC dxxfB N bit W u u       1min 0 )())(2()1)(( w bithbit dxxfCxLxC bb
  • 118.
     Multicast Transmission Multicast streams start transmitting data after the arrival of first request  the requests with a waiting time x will have their desired data from upcoming multicast channel, multicast bandwidth during one slot of time is given by:       minmin, min, 1 1 10)( WxWCL WxCxL B bith bith m     min 1min 1min 0 1 )()()( w W bith w bithm dxxfCLdxxfCxLN
  • 119.
    NBB-VoD  the highestbuffering occurs when the user arrives slightly before the next multicast to hold one slot time.  For the first request we assign unicast channel to transmit x time unit for request.  Then the remainder of the video data will be transmitted via a multicast channel.
  • 120.
    Unicast Transmission  Thusthe required unicast bandwidth is given  the average number of unicast bandwidth requirement in NBB-VoD       1 0,)1( min, 2 WxkxC kxxC B bit bit u     1min 0 22 )(. W uu dxxfBN     k W k bitbit dxxfxCdxxfxC 0 min )()( 2 )1(
  • 121.
    Multicast Transmission  Themulticast bandwidth requirements in case of NBB-VoD are identical with those of Unified-VoD case
  • 122.
  • 123.
    Contribution to knowledge Optimize or fine-tune the telecommunication infrastructure to increase capacity flexibility performance without necessarily increasing cost.  CCN studied will deal with in a wide variety of applications like remote login, distributed database systems, parallel computing, distance education and manufacturing control etc.  To diagnose and improve the situations that are creating delay and blocking.