‫روش‬‫گیری‬ ‫انتگرال‬ ‫های‬
‫آ‬ ‫بدست‬ ‫گیری‬ ‫انتگرال‬ ‫های‬ ‫روش‬ ‫از‬ ‫مناسبی‬ ‫درک‬ ‫توانید‬ ‫می‬ ‫آموزش‬ ‫این‬ ‫پایان‬ ‫در‬ ‫شما‬‫و‬‫رید‬.
‫باشی‬ ‫داشته‬ ‫ها‬ ‫انتگرال‬ ‫مبحث‬ ‫بر‬ ‫مروری‬ ،‫آموزش‬ ‫این‬ ‫مشاهده‬ ‫از‬ ‫قبل‬ ‫شود‬ ‫می‬ ‫پیشنهاد‬‫د‬.
  1n,...,1,0i,hx,x 1ii 
𝑎
𝑏
𝑓 𝑥 𝑑𝑥
  1n,...,1,0i,hx,x 1ii 
1,...,1,0,1  nihxx ii
n
ab
h


𝑎
𝑏
𝑓 𝑥 𝑑𝑥
=>
‫پردازیم‬ ‫می‬ ‫عددی‬ ‫محاسبات‬ ‫درس‬ ‫در‬ ‫عددی‬ ‫گیری‬ ‫انتگرال‬ ‫مبحث‬ ‫بررسی‬ ‫به‬ ‫آموزشی‬ ‫ویدئو‬ ‫این‬ ‫در‬.‫پایان‬ ‫در‬ ‫شما‬‫این‬
‫آورید‬ ‫بدست‬ ‫گیری‬ ‫انتگرال‬ ‫های‬ ‫روش‬ ‫از‬ ‫مناسبی‬ ‫درک‬ ‫توانید‬ ‫می‬ ‫آموزش‬.‫آمو‬ ‫این‬ ‫مشاهده‬ ‫از‬ ‫قبل‬ ‫شود‬ ‫می‬ ‫پیشنهاد‬،‫زش‬
‫باشید‬ ‫داشته‬ ‫ها‬ ‫انتگرال‬ ‫مبحث‬ ‫بر‬ ‫مروری‬.
‫پردازیم‬ ‫می‬ ‫مبحث‬ ‫این‬ ‫مرور‬ ‫به‬ ،‫عددی‬ ‫گیری‬ ‫انتگرال‬ ‫های‬ ‫روش‬ ‫بررسی‬ ‫از‬ ‫قبل‬.‫انتگرال‬ ‫محاسبه‬ ‫برای‬ ‫گاه‬ ‫هر‬
𝑎
𝑏
𝑓 𝑥 𝑑𝑥‫ان‬ ‫روش‬ ‫از‬ ‫استفاده‬ ‫به‬ ‫نیاز‬ ‫گردد‬ ‫ارائه‬ ‫مقادیر‬ ‫از‬ ‫جدولی‬ ‫بصورت‬ ‫تابع‬ ‫یا‬ ‫و‬ ‫نباشد‬ ‫موجود‬ ‫اولیه‬ ‫تابع‬‫تگرال‬
‫باشد‬ ‫می‬ ‫عددی‬ ‫گیری‬.‫برابر‬ ‫را‬ ‫انتگرال‬ ‫ی‬ ‫بازه‬ ‫اگر‬h‫توان‬ ‫می‬ ‫آنگاه‬ ،‫بگیریم‬h‫آورد‬ ‫بدست‬ ‫رو‬ ‫روبه‬ ‫صورت‬ ‫به‬ ‫را‬.
‫تابع‬ ‫توان‬ ‫می‬ ،‫گردد‬ ‫ارائه‬ ‫مقادیر‬ ‫از‬ ‫جدولی‬ ‫مسائل‬ ‫گونه‬ ‫این‬ ‫حل‬ ‫برای‬ ‫هرگاه‬f(x)‫مانند‬ ‫ای‬ ‫جمله‬ ‫چند‬ ‫یک‬ ‫با‬ ‫را‬p(x)
‫پرداخت‬ ‫ای‬ ‫جمله‬ ‫چند‬ ‫این‬ ‫انتگرال‬ ‫حل‬ ‫به‬ ،‫رو‬ ‫به‬ ‫رو‬ ‫تابع‬ ‫انتگرال‬ ‫ی‬ ‫محاسبه‬ ‫جای‬ ‫به‬ ‫که‬ ‫نحوی‬ ‫به‬ ‫زد‬ ‫تخمین‬.
‫نوشت‬ ‫رو‬ ‫روبه‬ ‫فرم‬ ‫به‬ ‫را‬ ‫ای‬ ‫جمله‬ ‫چند‬ ‫این‬ ‫توان‬ ‫می‬ ،‫دانیم‬ ‫می‬ ‫یابی‬ ‫درون‬ ‫قسمت‬ ‫از‬ ‫که‬ ‫هایی‬ ‫دانسته‬ ‫از‬ ‫استفاده‬ ‫با‬.‫بنابراین‬
‫ای‬ ‫جمله‬ ‫چند‬ ‫انتگرال‬ ‫توان‬ ‫می‬p(x)‫نوشت‬ ‫رو‬ ‫به‬ ‫رو‬ ‫صورت‬ ‫به‬ ‫را‬.‫مانن‬ ‫عبارتی‬ ،‫شده‬ ‫مشخص‬ ‫انتگرال‬ ‫جای‬ ‫به‬ ‫اگر‬ ‫حال‬‫د‬
Ak‫بصورت‬ ‫را‬ ‫انتگرال‬ ‫نهایی‬ ‫حاصل‬ ‫توان‬ ‫می‬ ،‫بگیریم‬ ‫نظر‬ ‫در‬ ‫شده‬ ‫مشخص‬ ‫فرم‬ ‫به‬ ،‫را‬𝒌=𝟎
𝒏
𝑨 𝒌 𝒚 𝒌‫نوشت‬.
‫ر‬ ‫دو‬ ‫هر‬ ‫بررسی‬ ‫به‬ ‫ادامه‬ ‫در‬ ‫که‬ ‫باشند‬ ‫می‬ ‫عددی‬ ‫گیری‬ ‫انتگرال‬ ‫در‬ ‫متداول‬ ‫روش‬ ‫دو‬ ،‫سیمپسون‬ ‫روش‬ ‫و‬ ‫ذوزنقه‬ ‫روش‬‫وش‬
‫پرداخت‬ ‫خواهیم‬.
‫کنیم‬ ‫می‬ ‫بررسی‬ ‫را‬ ‫مثال‬ ‫این‬ ،‫ذوزنقه‬ ‫روش‬ ‫بررسی‬ ‫جهت‬.
‫اس‬ ‫شده‬ ‫تعریف‬ ‫رو‬ ‫به‬ ‫رو‬ ‫بصورت‬ ‫که‬ ‫مقادیر‬ ‫جدول‬ ‫اطالعات‬ ‫از‬ ‫استفاده‬ ‫با‬ ‫شده‬ ‫داده‬ ‫انتگرال‬ ‫محاسبه‬ ‫است‬ ‫مطلوب‬‫ت؟‬
‫مقادیر‬h‫با‬ ‫برابر‬ ‫را‬0.2،0.1،0.05‫بگیرید‬ ‫نظر‬ ‫در‬.
‫تابع‬ ‫درونیاب‬ ‫ای‬ ‫جمله‬ ‫چند‬ ،‫روش‬ ‫ایـن‬ ‫در‬f‫نقاط‬ ‫در‬ ‫را‬xi‫و‬xi+1‫می‬ ‫ذوزنقه‬ ‫سری‬ ‫یک‬ ‫ایجاد‬ ‫به‬ ‫و‬ ‫آوریم‬ ‫می‬ ‫دست‬ ‫به‬
‫قا‬ ‫به‬ ‫ای‬ ‫ذوزنقه‬ ‫مساحت‬ ‫شکل‬ ‫این‬ ‫در‬ ،‫نماییم‬ ‫می‬ ‫جایگزین‬ ‫را‬ ‫انتگرال‬ ‫یک‬ ‫مرتبه‬ ‫ای‬ ‫جمله‬ ‫چند‬ ‫یک‬ ‫با‬ ‫و‬ ‫پردازیم‬‫ی‬ ‫عده‬fi‫و‬
fi+1‫ارتفاع‬ ‫و‬h‫نماییم‬ ‫می‬ ‫محاسبه‬ ‫را‬.
‫با‬ ‫برابر‬ ‫را‬ ‫موردنظر‬ ‫تابع‬ ‫انتگرال‬ ‫توان‬ ‫می‬ ‫نهایت‬ ‫در‬ ‫و‬T(h)‫قرار‬ ،‫است‬ ‫ذوزنقه‬ ‫روش‬ ‫در‬ ‫انتگرال‬ ‫مقدار‬ ‫از‬ ‫تقریبی‬ ‫که‬
‫داد‬.‫کنید‬ ‫می‬ ‫مشاهده‬ ‫را‬ ‫تابع‬ ‫این‬ ‫فرم‬.
‫پردازیم‬ ‫می‬ ‫شده‬ ‫ذکر‬ ‫مثال‬ ‫حل‬ ‫به‬ ‫حال‬.‫معادل‬ ‫تابع‬ ‫از‬ ‫مثال‬ ‫این‬ ‫حل‬ ‫برای‬T(h)‫کنیم‬ ‫می‬ ‫استفاده‬ ‫ذوزنقه‬ ‫روش‬ ‫در‬.‫همانطور‬
‫ازای‬ ‫به‬ ‫را‬ ‫مسئله‬ ،‫گردید‬ ‫بیان‬ ‫مسئله‬ ‫صورت‬ ‫در‬ ‫که‬h‫کنیم‬ ‫می‬ ‫حل‬ ‫مختلف‬ ‫های‬.‫از‬ ‫یک‬ ‫هر‬ ‫براساس‬h‫تعداد‬ ‫موجود‬ ‫های‬
‫کند‬ ‫می‬ ‫تغییر‬ ‫بندی‬ ‫تقسیم‬.‫مقادیر‬ ‫براساس‬ ‫ها‬ ‫بندی‬ ‫تقسیم‬ ‫این‬ ‫تمامی‬h‫آید‬ ‫می‬ ‫بدست‬ ‫سوال‬ ‫صورت‬ ‫در‬ ‫موجود‬ ‫جدول‬ ‫و‬
‫با‬ ‫و‬ ‫جدید‬ ‫مقادیر‬ ‫جدول‬ ‫با‬ ‫بار‬ ‫این‬ ‫را‬ ‫قبل‬ ‫مثال‬ ‫انتگرال‬ ‫مقدار‬ ،‫سیمپسون‬ ‫روش‬ ‫بررسی‬ ‫جهت‬2‫و‬0.15h =‫می‬ ‫بدست‬
‫آوریم‬.‫گرفتن‬ ‫نظر‬ ‫در‬ ‫با‬ ‫که‬ ‫است‬ ‫آمده‬ ‫سوال‬ ‫راهنمایی‬ ‫در‬ ‫همچنین‬f(x)= 𝑥‫واقعی‬ ‫مقدار‬ ‫با‬ ‫را‬ ‫شده‬ ‫زده‬ ‫تخمین‬ ‫مقدار‬ ،
‫نماییم‬ ‫مقایسه‬.
‫انتگرال‬ ‫سیمپسون‬ ‫روش‬ ‫در‬𝑎
𝑏
𝑓 𝑥 𝑑𝑥‫فاصله‬ ‫در‬ ‫دوم‬ ‫مرتبه‬ ‫ای‬ ‫جمله‬ ‫چند‬ ‫یک‬ ‫با‬[xi,xi+2]‫و‬ ‫شود‬ ‫می‬ ‫زده‬ ‫تقریب‬
‫گردد‬ ‫می‬ ‫تعریف‬ ‫رو‬ ‫به‬ ‫رو‬ ‫فرمول‬ ‫بصورت‬.
،‫تقریب‬ ‫آوردن‬ ‫دست‬ ‫به‬ ‫برای‬ ‫روش‬ ‫این‬ ‫در‬‫بازه‬ ‫در‬ ‫فوق‬ ‫تابع‬ ‫جایگزین‬ ‫را‬ ‫دوم‬ ‫درجه‬ ‫اي‬ ‫جمله‬ ‫چند‬[xi,xi+2]،‫نماییم‬ ‫مي‬‫لذا‬
‫باید‬n‫است‬ ‫موجود‬ ‫هاي‬ ‫بندي‬ ‫تقسیم‬ ‫تعداد‬ ‫كه‬‫آورد‬ ‫بدست‬ ‫را‬ ‫رو‬ ‫به‬ ‫رو‬ ‫فرمول‬ ‫بتوان‬ ‫تا‬ ‫باشد‬ ‫زوج‬.
‫در‬ ‫مقادیر‬ ‫جایگذاری‬ ‫به‬ ‫نیازمند‬ ،‫مثال‬ ‫حل‬ ‫برای‬s(h)‫باشیم‬ ‫می‬.‫سوال‬ ‫صورت‬ ‫در‬ ،‫است‬ ‫مشخص‬ ‫که‬ ‫همانطور‬ ‫حال‬h‫را‬
‫برابر‬2‫در‬ ‫سپس‬ ‫و‬ ‫کرده‬ ‫انتخاب‬s(h)‫کنیم‬ ‫می‬ ‫جایگزین‬
‫م‬ ‫با‬ ‫برابر‬ ،‫نماییم‬ ‫محاسبه‬ ،‫سوال‬ ‫صورت‬ ‫در‬ ‫اصلی‬ ‫تابع‬ ‫برای‬ ‫شده‬ ‫فرض‬ ‫مقدار‬ ‫به‬ ‫توجه‬ ‫با‬ ‫را‬ ‫انتگرال‬ ‫اگر‬ ‫حال‬‫به‬ ‫رو‬ ‫قدار‬
‫است‬ ‫سیمپسون‬ ‫روش‬ ‫از‬ ‫استفاده‬ ‫با‬ ‫شده‬ ‫محاسبه‬ ‫مقدار‬ ‫به‬ ‫نزدیک‬ ‫بسیار‬ ‫که‬ ،‫شود‬ ‫می‬ ‫رو‬.
‫پردازیم‬ ‫می‬ ‫گیری‬ ‫انتگرال‬ ‫های‬ ‫روش‬ ‫خطای‬ ‫بررسی‬ ‫به‬ ‫بعدی‬ ‫آموزش‬ ‫در‬.
‫مشاهده‬ ‫جهت‬‫رایگان‬‫این‬ ‫فیلم‬ ‫و‬ ‫متن‬‫توانید‬ ‫می‬ ،‫آموزش‬
‫به‬‫کنید‬ ‫مراجعه‬ ‫زیر‬ ‫آدرس‬:
http://minidars.ir/?p=403
‫کرد‬ ‫رفتار‬ ‫زیر‬ ‫بصورت‬ ‫توان‬ ‫می‬ ،‫گردد‬ ‫ارائه‬ ‫مقادیر‬ ‫از‬ ‫جدولی‬ ‫مسائل‬ ‫گونه‬ ‫این‬ ‫حل‬ ‫برای‬ ‫گاه‬ ‫هر‬
𝑎
𝑏
𝑓 𝑥 𝑑𝑥 =
𝑎
𝑏
𝑝 𝑥 𝑑𝑥
‫کرد‬ ‫رفتار‬ ‫زیر‬ ‫بصورت‬ ‫توان‬ ‫می‬ ،‫گردد‬ ‫ارائه‬ ‫مقادیر‬ ‫از‬ ‫جدولی‬ ‫مسائل‬ ‫گونه‬ ‫این‬ ‫حل‬ ‫برای‬ ‫گاه‬ ‫هر‬
p x = 𝑘=0
𝑛
𝑦 𝑘 Lk x dx
𝑎
𝑏
𝑓 𝑥 𝑑𝑥 =
𝑎
𝑏
𝑝 𝑥 𝑑𝑥
‫دانیم‬ ‫می‬‫که‬:
‫کرد‬ ‫رفتار‬ ‫زیر‬ ‫بصورت‬ ‫توان‬ ‫می‬ ،‫گردد‬ ‫ارائه‬ ‫مقادیر‬ ‫از‬ ‫جدولی‬ ‫مسائل‬ ‫گونه‬ ‫این‬ ‫حل‬ ‫برای‬ ‫گاه‬ ‫هر‬
p x = 𝑘=0
𝑛
𝑦 𝑘 Lk x dx
𝑎
𝑏
𝑓 𝑥 𝑑𝑥 =
𝑎
𝑏
𝑝 𝑥 𝑑𝑥
‫دانیم‬ ‫می‬‫که‬:
𝐴 𝑘
𝑎
𝑏
𝑝 𝑥 𝑑𝑥 =
𝑎
𝑏
𝑘=0
𝑛
𝑦 𝑘 𝐿𝑘 𝑥 =
𝑘=0
𝑛
𝑦 𝑘
𝑎
𝑏
𝐿 𝑘 𝑥 𝑑𝑥
‫کرد‬ ‫رفتار‬ ‫زیر‬ ‫بصورت‬ ‫توان‬ ‫می‬ ،‫گردد‬ ‫ارائه‬ ‫مقادیر‬ ‫از‬ ‫جدولی‬ ‫مسائل‬ ‫گونه‬ ‫این‬ ‫حل‬ ‫برای‬ ‫گاه‬ ‫هر‬
p x = 𝑘=0
𝑛
𝑦 𝑘 Lk x dx
𝑎
𝑏
𝑓 𝑥 𝑑𝑥 =
𝑎
𝑏
𝑝 𝑥 𝑑𝑥
‫دانیم‬ ‫می‬‫که‬:
𝑎
𝑏
𝑝 𝑥 𝑑𝑥 =
𝑎
𝑏
𝑘=0
𝑛
𝑦 𝑘 𝐿𝑘 𝑥 =
𝑘=0
𝑛
𝑦 𝑘
𝑎
𝑏
𝐿 𝑘 𝑥 𝑑𝑥
𝐴 𝑘 =
𝑎
𝑏
𝑥 − 𝑥0 …(𝑥−𝑥 𝑘−1)(𝑥−𝑥 𝑘+1)…(𝑥−𝑥 𝑛)
𝑥 𝑘−𝑥0 …(𝑥 𝑘−𝑥 𝑛)
𝑘 = 0,1,2, … , 𝑛
𝐴 𝑘
‫کرد‬ ‫رفتار‬ ‫زیر‬ ‫بصورت‬ ‫توان‬ ‫می‬ ،‫گردد‬ ‫ارائه‬ ‫مقادیر‬ ‫از‬ ‫جدولی‬ ‫مسائل‬ ‫گونه‬ ‫این‬ ‫حل‬ ‫برای‬ ‫گاه‬ ‫هر‬
p x = 𝑘=0
𝑛
𝑦 𝑘 Lk x dx
𝑎
𝑏
𝑓 𝑥 𝑑𝑥 =
𝑎
𝑏
𝑝 𝑥 𝑑𝑥
‫دانیم‬ ‫می‬‫که‬:
𝑎
𝑏
𝑝 𝑥 𝑑𝑥 =
𝑎
𝑏
𝑘=0
𝑛
𝑦 𝑘 𝐿𝑘 𝑥 =
𝑘=0
𝑛
𝑦 𝑘
𝑎
𝑏
𝐿 𝑘 𝑥 𝑑𝑥 =
𝒌=𝟎
𝒏
𝑨 𝒌 𝒚 𝒌
𝐴 𝑘 =
𝑎
𝑏
𝑥 − 𝑥0 …(𝑥−𝑥 𝑘−1)(𝑥−𝑥 𝑘+1)…(𝑥−𝑥 𝑛)
𝑥 𝑘−𝑥0 …(𝑥 𝑘−𝑥 𝑛)
𝑘 = 0,1,2, … , 𝑛
𝐴 𝑘
‫عددی‬ ‫گیری‬ ‫انتگرال‬ ‫های‬ ‫روش‬
‫ذوزنقه‬ ‫روش‬
Trapezoidal Numerical Integration
‫سیمپسون‬ ‫روش‬
Simpson's rule
‫ذوزنقه‬ ‫روش‬ ‫مثال‬
‫ت‬ ‫زیر‬ ‫بصورت‬ ‫که‬ ‫مقادیر‬ ‫جدول‬ ‫اطالعات‬ ‫از‬ ‫استفاده‬ ‫با‬ ‫شده‬ ‫داده‬ ‫انتگرال‬ ‫محاسبه‬ ‫است‬ ‫مطلوب‬‫عریف‬
‫است؟‬ ‫شده‬(‫مقادیر‬h‫با‬ ‫برابر‬ ‫را‬0.2،0.1،0.05‫بگیرید‬ ‫نظر‬ ‫در‬)
I= 0.1
0.3
𝑓 𝑥 𝑑𝑥
x Y = f(x)
0.1 1.10517
0.15 1.16183
0.2 1.22140
0.25 1.28403
0.3 1.34986
𝑥0 = 𝑎
𝑥0 𝑥1 𝑥2 𝑥3 𝑥4 𝑥5
n
ab
h


𝑥5 = 𝑏
𝑓(𝑥)
𝑎
𝑏
𝑓 𝑥 𝑑𝑥 =
ℎ
2
(𝑓𝑖 + 𝑓𝑖+1)
‫ذوزنقه‬ ‫روش‬
𝑥0 = 𝑎
 nn
b
a
ffff
h
hTdxxf   110 2...2
2
)(~)(
𝑥0 𝑥1 𝑥2 𝑥3 𝑥4 𝑥5
n
ab
h


𝑥5 = 𝑏
𝑓(𝑥)
𝑎
𝑏
𝑓 𝑥 𝑑𝑥 =
ℎ
2
(𝑓𝑖 + 𝑓𝑖+1)
‫ذوزنقه‬ ‫روش‬
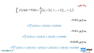
‫حل‬ ‫راه‬:
 nn
b
a
ffff
h
hTdxxf   110 2...2
2
)(~)(
‫ازای‬ ‫به‬h=0.2:
I=
0.2
2
𝑓 0.1 + 𝑓 0.3 = 0.24550
‫ازای‬ ‫به‬h=0.1:
I=
0.1
2
𝑓 0.1 + 2𝑓(0.2) + 𝑓 0.3 = 0.24486
‫ازای‬ ‫به‬h=0.05:
I=
0.05
2
[𝑓 0.1 + 2𝑓 0.15 + 2𝑓 0.2 + 2𝑓 0.25 + 𝑓 0.3 ] = 0.24469
‫سیمپسون‬ ‫روش‬ ‫برای‬ ‫مثالی‬
‫زیر؟‬ ‫مقادیر‬ ‫جدول‬ ‫از‬ ‫گیری‬ ‫بهره‬ ‫با‬ ‫شده‬ ‫داده‬ ‫انتگرال‬ ‫محاسبه‬ ‫است‬ ‫مطلوب‬
(‫با‬ ‫برابر‬ ‫را‬ ‫ها‬ ‫بندی‬ ‫تقسیم‬ ‫مقدار‬2‫و‬0.15h =‫بگیرید‬ ‫نظر‬ ‫در‬)
‫راهنمایی‬:‫تابع‬ ‫بدانیم‬ ‫اگر‬f(x)= 𝑥‫نمایید‬ ‫مقایسه‬ ‫واقعی‬ ‫مقدار‬ ‫با‬ ‫را‬ ‫زده‬ ‫تخمین‬ ‫مقدار‬.
I= 0.1
0.3
𝑓 𝑥 𝑑𝑥x Y = f(x)
1 1.00000
1.05 1.02470
1.10 1.04881
1.15 1.07238
1.20 1.09545
1.25 1.11803
1.30 1.14018
‫سیمپسون‬ ‫روش‬
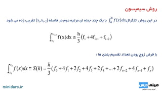
‫روش‬ ‫این‬ ‫در‬𝑎
𝑏
𝑓 𝑥 𝑑𝑥‫انتگرال‬‫فاصله‬ ‫در‬ ‫دوم‬ ‫مرتبه‬ ‫ای‬ ‫جمله‬ ‫چند‬ ‫یک‬ ‫با‬[xi,xi+2]‫شود‬ ‫می‬ ‫زده‬ ‫تقریب‬
 2i1ii
x
x
ff4f
3
h
dx)x(f
2i
i
 

‫سیمپسون‬ ‫روش‬
‫روش‬ ‫این‬ ‫در‬𝑎
𝑏
𝑓 𝑥 𝑑𝑥‫انتگرال‬‫فاصله‬ ‫در‬ ‫دوم‬ ‫مرتبه‬ ‫ای‬ ‫جمله‬ ‫چند‬ ‫یک‬ ‫با‬[xi,xi+2]‫شود‬ ‫می‬ ‫زده‬ ‫تقریب‬
‫ها‬ ‫بندی‬ ‫تقسیم‬ ‫تعداد‬ ‫بودن‬ ‫زوج‬ ‫فرض‬ ‫با‬:
 2i1ii
x
x
ff4f
3
h
dx)x(f
2i
i
 

)42...2424(
3
)()( 1243210
0
nnn
x
x
ffffffff
h
hSdxxf
n
 
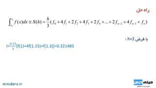
‫حل‬ ‫راه‬
)42...2424(
3
)()( 1243210
0
nnn
x
x
ffffffff
h
hSdxxf
n
 
‫فرض‬ ‫با‬h=2:
I=
0.15
3
[f(1)+4f(1.15)+f(1.3)]=0.321485
‫حل‬ ‫راه‬
)42...2424(
3
)()( 1243210
0
nnn
x
x
ffffffff
h
hSdxxf
n
 
‫فرض‬ ‫با‬n=2:
I=
0.15
3
[f(1)+4f(1.15)+f(1.3)]=0.321485
‫فرض‬ ‫با‬ ‫انتگرال‬ ‫واقعی‬ ‫مقدار‬f(x)= 𝑥:
I= 1
1.3
𝑥 𝑑𝑥 = 𝑥
1
2 𝑑𝑥 =
2
3
𝑥
3
2=0.321489
‫مشاهده‬ ‫جهت‬‫رایگان‬‫این‬ ‫فیلم‬ ‫و‬ ‫متن‬‫توانید‬ ‫می‬ ،‫آموزش‬
‫به‬‫کنید‬ ‫مراجعه‬ ‫زیر‬ ‫آدرس‬:
http://minidars.ir/?p=403
‫عددی‬ ‫گیری‬ ‫انتگرال‬
‫خطای‬
‫بدست‬ ‫گیری‬ ‫انتگرال‬ ‫های‬ ‫روش‬ ‫از‬ ‫مناسبی‬ ‫درک‬ ‫توانید‬ ‫می‬ ‫آموزش‬ ‫این‬ ‫پایان‬ ‫در‬ ‫شما‬‫آو‬‫رید‬.
‫باشی‬ ‫داشته‬ ‫ها‬ ‫انتگرال‬ ‫مبحث‬ ‫بر‬ ‫مروری‬ ،‫آموزش‬ ‫این‬ ‫مشاهده‬ ‫از‬ ‫قبل‬ ‫شود‬ ‫می‬ ‫پیشنهاد‬‫د‬.
‫گیری‬ ‫انتگرال‬ ‫های‬ ‫روش‬
‫درس‬ ‫مینی‬ ‫دیگر‬ ‫های‬ ‫آموزش‬

روش های انتگرال گیری عددی

  • 1.
    ‫روش‬‫گیری‬ ‫انتگرال‬ ‫های‬ ‫آ‬‫بدست‬ ‫گیری‬ ‫انتگرال‬ ‫های‬ ‫روش‬ ‫از‬ ‫مناسبی‬ ‫درک‬ ‫توانید‬ ‫می‬ ‫آموزش‬ ‫این‬ ‫پایان‬ ‫در‬ ‫شما‬‫و‬‫رید‬. ‫باشی‬ ‫داشته‬ ‫ها‬ ‫انتگرال‬ ‫مبحث‬ ‫بر‬ ‫مروری‬ ،‫آموزش‬ ‫این‬ ‫مشاهده‬ ‫از‬ ‫قبل‬ ‫شود‬ ‫می‬ ‫پیشنهاد‬‫د‬.
  • 2.
      1n,...,1,0i,hx,x1ii  𝑎 𝑏 𝑓 𝑥 𝑑𝑥
  • 3.
      1n,...,1,0i,hx,x1ii  1,...,1,0,1  nihxx ii n ab h   𝑎 𝑏 𝑓 𝑥 𝑑𝑥 =>
  • 4.
    ‫پردازیم‬ ‫می‬ ‫عددی‬‫محاسبات‬ ‫درس‬ ‫در‬ ‫عددی‬ ‫گیری‬ ‫انتگرال‬ ‫مبحث‬ ‫بررسی‬ ‫به‬ ‫آموزشی‬ ‫ویدئو‬ ‫این‬ ‫در‬.‫پایان‬ ‫در‬ ‫شما‬‫این‬ ‫آورید‬ ‫بدست‬ ‫گیری‬ ‫انتگرال‬ ‫های‬ ‫روش‬ ‫از‬ ‫مناسبی‬ ‫درک‬ ‫توانید‬ ‫می‬ ‫آموزش‬.‫آمو‬ ‫این‬ ‫مشاهده‬ ‫از‬ ‫قبل‬ ‫شود‬ ‫می‬ ‫پیشنهاد‬،‫زش‬ ‫باشید‬ ‫داشته‬ ‫ها‬ ‫انتگرال‬ ‫مبحث‬ ‫بر‬ ‫مروری‬. ‫پردازیم‬ ‫می‬ ‫مبحث‬ ‫این‬ ‫مرور‬ ‫به‬ ،‫عددی‬ ‫گیری‬ ‫انتگرال‬ ‫های‬ ‫روش‬ ‫بررسی‬ ‫از‬ ‫قبل‬.‫انتگرال‬ ‫محاسبه‬ ‫برای‬ ‫گاه‬ ‫هر‬ 𝑎 𝑏 𝑓 𝑥 𝑑𝑥‫ان‬ ‫روش‬ ‫از‬ ‫استفاده‬ ‫به‬ ‫نیاز‬ ‫گردد‬ ‫ارائه‬ ‫مقادیر‬ ‫از‬ ‫جدولی‬ ‫بصورت‬ ‫تابع‬ ‫یا‬ ‫و‬ ‫نباشد‬ ‫موجود‬ ‫اولیه‬ ‫تابع‬‫تگرال‬ ‫باشد‬ ‫می‬ ‫عددی‬ ‫گیری‬.‫برابر‬ ‫را‬ ‫انتگرال‬ ‫ی‬ ‫بازه‬ ‫اگر‬h‫توان‬ ‫می‬ ‫آنگاه‬ ،‫بگیریم‬h‫آورد‬ ‫بدست‬ ‫رو‬ ‫روبه‬ ‫صورت‬ ‫به‬ ‫را‬. ‫تابع‬ ‫توان‬ ‫می‬ ،‫گردد‬ ‫ارائه‬ ‫مقادیر‬ ‫از‬ ‫جدولی‬ ‫مسائل‬ ‫گونه‬ ‫این‬ ‫حل‬ ‫برای‬ ‫هرگاه‬f(x)‫مانند‬ ‫ای‬ ‫جمله‬ ‫چند‬ ‫یک‬ ‫با‬ ‫را‬p(x) ‫پرداخت‬ ‫ای‬ ‫جمله‬ ‫چند‬ ‫این‬ ‫انتگرال‬ ‫حل‬ ‫به‬ ،‫رو‬ ‫به‬ ‫رو‬ ‫تابع‬ ‫انتگرال‬ ‫ی‬ ‫محاسبه‬ ‫جای‬ ‫به‬ ‫که‬ ‫نحوی‬ ‫به‬ ‫زد‬ ‫تخمین‬. ‫نوشت‬ ‫رو‬ ‫روبه‬ ‫فرم‬ ‫به‬ ‫را‬ ‫ای‬ ‫جمله‬ ‫چند‬ ‫این‬ ‫توان‬ ‫می‬ ،‫دانیم‬ ‫می‬ ‫یابی‬ ‫درون‬ ‫قسمت‬ ‫از‬ ‫که‬ ‫هایی‬ ‫دانسته‬ ‫از‬ ‫استفاده‬ ‫با‬.‫بنابراین‬ ‫ای‬ ‫جمله‬ ‫چند‬ ‫انتگرال‬ ‫توان‬ ‫می‬p(x)‫نوشت‬ ‫رو‬ ‫به‬ ‫رو‬ ‫صورت‬ ‫به‬ ‫را‬.‫مانن‬ ‫عبارتی‬ ،‫شده‬ ‫مشخص‬ ‫انتگرال‬ ‫جای‬ ‫به‬ ‫اگر‬ ‫حال‬‫د‬ Ak‫بصورت‬ ‫را‬ ‫انتگرال‬ ‫نهایی‬ ‫حاصل‬ ‫توان‬ ‫می‬ ،‫بگیریم‬ ‫نظر‬ ‫در‬ ‫شده‬ ‫مشخص‬ ‫فرم‬ ‫به‬ ،‫را‬𝒌=𝟎 𝒏 𝑨 𝒌 𝒚 𝒌‫نوشت‬. ‫ر‬ ‫دو‬ ‫هر‬ ‫بررسی‬ ‫به‬ ‫ادامه‬ ‫در‬ ‫که‬ ‫باشند‬ ‫می‬ ‫عددی‬ ‫گیری‬ ‫انتگرال‬ ‫در‬ ‫متداول‬ ‫روش‬ ‫دو‬ ،‫سیمپسون‬ ‫روش‬ ‫و‬ ‫ذوزنقه‬ ‫روش‬‫وش‬ ‫پرداخت‬ ‫خواهیم‬. ‫کنیم‬ ‫می‬ ‫بررسی‬ ‫را‬ ‫مثال‬ ‫این‬ ،‫ذوزنقه‬ ‫روش‬ ‫بررسی‬ ‫جهت‬. ‫اس‬ ‫شده‬ ‫تعریف‬ ‫رو‬ ‫به‬ ‫رو‬ ‫بصورت‬ ‫که‬ ‫مقادیر‬ ‫جدول‬ ‫اطالعات‬ ‫از‬ ‫استفاده‬ ‫با‬ ‫شده‬ ‫داده‬ ‫انتگرال‬ ‫محاسبه‬ ‫است‬ ‫مطلوب‬‫ت؟‬ ‫مقادیر‬h‫با‬ ‫برابر‬ ‫را‬0.2،0.1،0.05‫بگیرید‬ ‫نظر‬ ‫در‬. ‫تابع‬ ‫درونیاب‬ ‫ای‬ ‫جمله‬ ‫چند‬ ،‫روش‬ ‫ایـن‬ ‫در‬f‫نقاط‬ ‫در‬ ‫را‬xi‫و‬xi+1‫می‬ ‫ذوزنقه‬ ‫سری‬ ‫یک‬ ‫ایجاد‬ ‫به‬ ‫و‬ ‫آوریم‬ ‫می‬ ‫دست‬ ‫به‬ ‫قا‬ ‫به‬ ‫ای‬ ‫ذوزنقه‬ ‫مساحت‬ ‫شکل‬ ‫این‬ ‫در‬ ،‫نماییم‬ ‫می‬ ‫جایگزین‬ ‫را‬ ‫انتگرال‬ ‫یک‬ ‫مرتبه‬ ‫ای‬ ‫جمله‬ ‫چند‬ ‫یک‬ ‫با‬ ‫و‬ ‫پردازیم‬‫ی‬ ‫عده‬fi‫و‬ fi+1‫ارتفاع‬ ‫و‬h‫نماییم‬ ‫می‬ ‫محاسبه‬ ‫را‬. ‫با‬ ‫برابر‬ ‫را‬ ‫موردنظر‬ ‫تابع‬ ‫انتگرال‬ ‫توان‬ ‫می‬ ‫نهایت‬ ‫در‬ ‫و‬T(h)‫قرار‬ ،‫است‬ ‫ذوزنقه‬ ‫روش‬ ‫در‬ ‫انتگرال‬ ‫مقدار‬ ‫از‬ ‫تقریبی‬ ‫که‬ ‫داد‬.‫کنید‬ ‫می‬ ‫مشاهده‬ ‫را‬ ‫تابع‬ ‫این‬ ‫فرم‬. ‫پردازیم‬ ‫می‬ ‫شده‬ ‫ذکر‬ ‫مثال‬ ‫حل‬ ‫به‬ ‫حال‬.‫معادل‬ ‫تابع‬ ‫از‬ ‫مثال‬ ‫این‬ ‫حل‬ ‫برای‬T(h)‫کنیم‬ ‫می‬ ‫استفاده‬ ‫ذوزنقه‬ ‫روش‬ ‫در‬.‫همانطور‬ ‫ازای‬ ‫به‬ ‫را‬ ‫مسئله‬ ،‫گردید‬ ‫بیان‬ ‫مسئله‬ ‫صورت‬ ‫در‬ ‫که‬h‫کنیم‬ ‫می‬ ‫حل‬ ‫مختلف‬ ‫های‬.‫از‬ ‫یک‬ ‫هر‬ ‫براساس‬h‫تعداد‬ ‫موجود‬ ‫های‬ ‫کند‬ ‫می‬ ‫تغییر‬ ‫بندی‬ ‫تقسیم‬.‫مقادیر‬ ‫براساس‬ ‫ها‬ ‫بندی‬ ‫تقسیم‬ ‫این‬ ‫تمامی‬h‫آید‬ ‫می‬ ‫بدست‬ ‫سوال‬ ‫صورت‬ ‫در‬ ‫موجود‬ ‫جدول‬ ‫و‬ ‫با‬ ‫و‬ ‫جدید‬ ‫مقادیر‬ ‫جدول‬ ‫با‬ ‫بار‬ ‫این‬ ‫را‬ ‫قبل‬ ‫مثال‬ ‫انتگرال‬ ‫مقدار‬ ،‫سیمپسون‬ ‫روش‬ ‫بررسی‬ ‫جهت‬2‫و‬0.15h =‫می‬ ‫بدست‬ ‫آوریم‬.‫گرفتن‬ ‫نظر‬ ‫در‬ ‫با‬ ‫که‬ ‫است‬ ‫آمده‬ ‫سوال‬ ‫راهنمایی‬ ‫در‬ ‫همچنین‬f(x)= 𝑥‫واقعی‬ ‫مقدار‬ ‫با‬ ‫را‬ ‫شده‬ ‫زده‬ ‫تخمین‬ ‫مقدار‬ ، ‫نماییم‬ ‫مقایسه‬. ‫انتگرال‬ ‫سیمپسون‬ ‫روش‬ ‫در‬𝑎 𝑏 𝑓 𝑥 𝑑𝑥‫فاصله‬ ‫در‬ ‫دوم‬ ‫مرتبه‬ ‫ای‬ ‫جمله‬ ‫چند‬ ‫یک‬ ‫با‬[xi,xi+2]‫و‬ ‫شود‬ ‫می‬ ‫زده‬ ‫تقریب‬ ‫گردد‬ ‫می‬ ‫تعریف‬ ‫رو‬ ‫به‬ ‫رو‬ ‫فرمول‬ ‫بصورت‬. ،‫تقریب‬ ‫آوردن‬ ‫دست‬ ‫به‬ ‫برای‬ ‫روش‬ ‫این‬ ‫در‬‫بازه‬ ‫در‬ ‫فوق‬ ‫تابع‬ ‫جایگزین‬ ‫را‬ ‫دوم‬ ‫درجه‬ ‫اي‬ ‫جمله‬ ‫چند‬[xi,xi+2]،‫نماییم‬ ‫مي‬‫لذا‬ ‫باید‬n‫است‬ ‫موجود‬ ‫هاي‬ ‫بندي‬ ‫تقسیم‬ ‫تعداد‬ ‫كه‬‫آورد‬ ‫بدست‬ ‫را‬ ‫رو‬ ‫به‬ ‫رو‬ ‫فرمول‬ ‫بتوان‬ ‫تا‬ ‫باشد‬ ‫زوج‬. ‫در‬ ‫مقادیر‬ ‫جایگذاری‬ ‫به‬ ‫نیازمند‬ ،‫مثال‬ ‫حل‬ ‫برای‬s(h)‫باشیم‬ ‫می‬.‫سوال‬ ‫صورت‬ ‫در‬ ،‫است‬ ‫مشخص‬ ‫که‬ ‫همانطور‬ ‫حال‬h‫را‬ ‫برابر‬2‫در‬ ‫سپس‬ ‫و‬ ‫کرده‬ ‫انتخاب‬s(h)‫کنیم‬ ‫می‬ ‫جایگزین‬ ‫م‬ ‫با‬ ‫برابر‬ ،‫نماییم‬ ‫محاسبه‬ ،‫سوال‬ ‫صورت‬ ‫در‬ ‫اصلی‬ ‫تابع‬ ‫برای‬ ‫شده‬ ‫فرض‬ ‫مقدار‬ ‫به‬ ‫توجه‬ ‫با‬ ‫را‬ ‫انتگرال‬ ‫اگر‬ ‫حال‬‫به‬ ‫رو‬ ‫قدار‬ ‫است‬ ‫سیمپسون‬ ‫روش‬ ‫از‬ ‫استفاده‬ ‫با‬ ‫شده‬ ‫محاسبه‬ ‫مقدار‬ ‫به‬ ‫نزدیک‬ ‫بسیار‬ ‫که‬ ،‫شود‬ ‫می‬ ‫رو‬. ‫پردازیم‬ ‫می‬ ‫گیری‬ ‫انتگرال‬ ‫های‬ ‫روش‬ ‫خطای‬ ‫بررسی‬ ‫به‬ ‫بعدی‬ ‫آموزش‬ ‫در‬. ‫مشاهده‬ ‫جهت‬‫رایگان‬‫این‬ ‫فیلم‬ ‫و‬ ‫متن‬‫توانید‬ ‫می‬ ،‫آموزش‬ ‫به‬‫کنید‬ ‫مراجعه‬ ‫زیر‬ ‫آدرس‬: http://minidars.ir/?p=403
  • 5.
    ‫کرد‬ ‫رفتار‬ ‫زیر‬‫بصورت‬ ‫توان‬ ‫می‬ ،‫گردد‬ ‫ارائه‬ ‫مقادیر‬ ‫از‬ ‫جدولی‬ ‫مسائل‬ ‫گونه‬ ‫این‬ ‫حل‬ ‫برای‬ ‫گاه‬ ‫هر‬ 𝑎 𝑏 𝑓 𝑥 𝑑𝑥 = 𝑎 𝑏 𝑝 𝑥 𝑑𝑥
  • 6.
    ‫کرد‬ ‫رفتار‬ ‫زیر‬‫بصورت‬ ‫توان‬ ‫می‬ ،‫گردد‬ ‫ارائه‬ ‫مقادیر‬ ‫از‬ ‫جدولی‬ ‫مسائل‬ ‫گونه‬ ‫این‬ ‫حل‬ ‫برای‬ ‫گاه‬ ‫هر‬ p x = 𝑘=0 𝑛 𝑦 𝑘 Lk x dx 𝑎 𝑏 𝑓 𝑥 𝑑𝑥 = 𝑎 𝑏 𝑝 𝑥 𝑑𝑥 ‫دانیم‬ ‫می‬‫که‬:
  • 7.
    ‫کرد‬ ‫رفتار‬ ‫زیر‬‫بصورت‬ ‫توان‬ ‫می‬ ،‫گردد‬ ‫ارائه‬ ‫مقادیر‬ ‫از‬ ‫جدولی‬ ‫مسائل‬ ‫گونه‬ ‫این‬ ‫حل‬ ‫برای‬ ‫گاه‬ ‫هر‬ p x = 𝑘=0 𝑛 𝑦 𝑘 Lk x dx 𝑎 𝑏 𝑓 𝑥 𝑑𝑥 = 𝑎 𝑏 𝑝 𝑥 𝑑𝑥 ‫دانیم‬ ‫می‬‫که‬: 𝐴 𝑘 𝑎 𝑏 𝑝 𝑥 𝑑𝑥 = 𝑎 𝑏 𝑘=0 𝑛 𝑦 𝑘 𝐿𝑘 𝑥 = 𝑘=0 𝑛 𝑦 𝑘 𝑎 𝑏 𝐿 𝑘 𝑥 𝑑𝑥
  • 8.
    ‫کرد‬ ‫رفتار‬ ‫زیر‬‫بصورت‬ ‫توان‬ ‫می‬ ،‫گردد‬ ‫ارائه‬ ‫مقادیر‬ ‫از‬ ‫جدولی‬ ‫مسائل‬ ‫گونه‬ ‫این‬ ‫حل‬ ‫برای‬ ‫گاه‬ ‫هر‬ p x = 𝑘=0 𝑛 𝑦 𝑘 Lk x dx 𝑎 𝑏 𝑓 𝑥 𝑑𝑥 = 𝑎 𝑏 𝑝 𝑥 𝑑𝑥 ‫دانیم‬ ‫می‬‫که‬: 𝑎 𝑏 𝑝 𝑥 𝑑𝑥 = 𝑎 𝑏 𝑘=0 𝑛 𝑦 𝑘 𝐿𝑘 𝑥 = 𝑘=0 𝑛 𝑦 𝑘 𝑎 𝑏 𝐿 𝑘 𝑥 𝑑𝑥 𝐴 𝑘 = 𝑎 𝑏 𝑥 − 𝑥0 …(𝑥−𝑥 𝑘−1)(𝑥−𝑥 𝑘+1)…(𝑥−𝑥 𝑛) 𝑥 𝑘−𝑥0 …(𝑥 𝑘−𝑥 𝑛) 𝑘 = 0,1,2, … , 𝑛 𝐴 𝑘
  • 9.
    ‫کرد‬ ‫رفتار‬ ‫زیر‬‫بصورت‬ ‫توان‬ ‫می‬ ،‫گردد‬ ‫ارائه‬ ‫مقادیر‬ ‫از‬ ‫جدولی‬ ‫مسائل‬ ‫گونه‬ ‫این‬ ‫حل‬ ‫برای‬ ‫گاه‬ ‫هر‬ p x = 𝑘=0 𝑛 𝑦 𝑘 Lk x dx 𝑎 𝑏 𝑓 𝑥 𝑑𝑥 = 𝑎 𝑏 𝑝 𝑥 𝑑𝑥 ‫دانیم‬ ‫می‬‫که‬: 𝑎 𝑏 𝑝 𝑥 𝑑𝑥 = 𝑎 𝑏 𝑘=0 𝑛 𝑦 𝑘 𝐿𝑘 𝑥 = 𝑘=0 𝑛 𝑦 𝑘 𝑎 𝑏 𝐿 𝑘 𝑥 𝑑𝑥 = 𝒌=𝟎 𝒏 𝑨 𝒌 𝒚 𝒌 𝐴 𝑘 = 𝑎 𝑏 𝑥 − 𝑥0 …(𝑥−𝑥 𝑘−1)(𝑥−𝑥 𝑘+1)…(𝑥−𝑥 𝑛) 𝑥 𝑘−𝑥0 …(𝑥 𝑘−𝑥 𝑛) 𝑘 = 0,1,2, … , 𝑛 𝐴 𝑘
  • 10.
    ‫عددی‬ ‫گیری‬ ‫انتگرال‬‫های‬ ‫روش‬ ‫ذوزنقه‬ ‫روش‬ Trapezoidal Numerical Integration ‫سیمپسون‬ ‫روش‬ Simpson's rule
  • 11.
    ‫ذوزنقه‬ ‫روش‬ ‫مثال‬ ‫ت‬‫زیر‬ ‫بصورت‬ ‫که‬ ‫مقادیر‬ ‫جدول‬ ‫اطالعات‬ ‫از‬ ‫استفاده‬ ‫با‬ ‫شده‬ ‫داده‬ ‫انتگرال‬ ‫محاسبه‬ ‫است‬ ‫مطلوب‬‫عریف‬ ‫است؟‬ ‫شده‬(‫مقادیر‬h‫با‬ ‫برابر‬ ‫را‬0.2،0.1،0.05‫بگیرید‬ ‫نظر‬ ‫در‬) I= 0.1 0.3 𝑓 𝑥 𝑑𝑥 x Y = f(x) 0.1 1.10517 0.15 1.16183 0.2 1.22140 0.25 1.28403 0.3 1.34986
  • 12.
    𝑥0 = 𝑎 𝑥0𝑥1 𝑥2 𝑥3 𝑥4 𝑥5 n ab h   𝑥5 = 𝑏 𝑓(𝑥) 𝑎 𝑏 𝑓 𝑥 𝑑𝑥 = ℎ 2 (𝑓𝑖 + 𝑓𝑖+1) ‫ذوزنقه‬ ‫روش‬
  • 13.
    𝑥0 = 𝑎 nn b a ffff h hTdxxf   110 2...2 2 )(~)( 𝑥0 𝑥1 𝑥2 𝑥3 𝑥4 𝑥5 n ab h   𝑥5 = 𝑏 𝑓(𝑥) 𝑎 𝑏 𝑓 𝑥 𝑑𝑥 = ℎ 2 (𝑓𝑖 + 𝑓𝑖+1) ‫ذوزنقه‬ ‫روش‬
  • 14.
    ‫حل‬ ‫راه‬:  nn b a ffff h hTdxxf  110 2...2 2 )(~)( ‫ازای‬ ‫به‬h=0.2: I= 0.2 2 𝑓 0.1 + 𝑓 0.3 = 0.24550 ‫ازای‬ ‫به‬h=0.1: I= 0.1 2 𝑓 0.1 + 2𝑓(0.2) + 𝑓 0.3 = 0.24486 ‫ازای‬ ‫به‬h=0.05: I= 0.05 2 [𝑓 0.1 + 2𝑓 0.15 + 2𝑓 0.2 + 2𝑓 0.25 + 𝑓 0.3 ] = 0.24469
  • 15.
    ‫سیمپسون‬ ‫روش‬ ‫برای‬‫مثالی‬ ‫زیر؟‬ ‫مقادیر‬ ‫جدول‬ ‫از‬ ‫گیری‬ ‫بهره‬ ‫با‬ ‫شده‬ ‫داده‬ ‫انتگرال‬ ‫محاسبه‬ ‫است‬ ‫مطلوب‬ (‫با‬ ‫برابر‬ ‫را‬ ‫ها‬ ‫بندی‬ ‫تقسیم‬ ‫مقدار‬2‫و‬0.15h =‫بگیرید‬ ‫نظر‬ ‫در‬) ‫راهنمایی‬:‫تابع‬ ‫بدانیم‬ ‫اگر‬f(x)= 𝑥‫نمایید‬ ‫مقایسه‬ ‫واقعی‬ ‫مقدار‬ ‫با‬ ‫را‬ ‫زده‬ ‫تخمین‬ ‫مقدار‬. I= 0.1 0.3 𝑓 𝑥 𝑑𝑥x Y = f(x) 1 1.00000 1.05 1.02470 1.10 1.04881 1.15 1.07238 1.20 1.09545 1.25 1.11803 1.30 1.14018
  • 16.
    ‫سیمپسون‬ ‫روش‬ ‫روش‬ ‫این‬‫در‬𝑎 𝑏 𝑓 𝑥 𝑑𝑥‫انتگرال‬‫فاصله‬ ‫در‬ ‫دوم‬ ‫مرتبه‬ ‫ای‬ ‫جمله‬ ‫چند‬ ‫یک‬ ‫با‬[xi,xi+2]‫شود‬ ‫می‬ ‫زده‬ ‫تقریب‬  2i1ii x x ff4f 3 h dx)x(f 2i i   
  • 17.
    ‫سیمپسون‬ ‫روش‬ ‫روش‬ ‫این‬‫در‬𝑎 𝑏 𝑓 𝑥 𝑑𝑥‫انتگرال‬‫فاصله‬ ‫در‬ ‫دوم‬ ‫مرتبه‬ ‫ای‬ ‫جمله‬ ‫چند‬ ‫یک‬ ‫با‬[xi,xi+2]‫شود‬ ‫می‬ ‫زده‬ ‫تقریب‬ ‫ها‬ ‫بندی‬ ‫تقسیم‬ ‫تعداد‬ ‫بودن‬ ‫زوج‬ ‫فرض‬ ‫با‬:  2i1ii x x ff4f 3 h dx)x(f 2i i    )42...2424( 3 )()( 1243210 0 nnn x x ffffffff h hSdxxf n  
  • 18.
    ‫حل‬ ‫راه‬ )42...2424( 3 )()( 1243210 0 nnn x x ffffffff h hSdxxf n  ‫فرض‬ ‫با‬h=2: I= 0.15 3 [f(1)+4f(1.15)+f(1.3)]=0.321485
  • 19.
    ‫حل‬ ‫راه‬ )42...2424( 3 )()( 1243210 0 nnn x x ffffffff h hSdxxf n  ‫فرض‬ ‫با‬n=2: I= 0.15 3 [f(1)+4f(1.15)+f(1.3)]=0.321485 ‫فرض‬ ‫با‬ ‫انتگرال‬ ‫واقعی‬ ‫مقدار‬f(x)= 𝑥: I= 1 1.3 𝑥 𝑑𝑥 = 𝑥 1 2 𝑑𝑥 = 2 3 𝑥 3 2=0.321489
  • 20.
    ‫مشاهده‬ ‫جهت‬‫رایگان‬‫این‬ ‫فیلم‬‫و‬ ‫متن‬‫توانید‬ ‫می‬ ،‫آموزش‬ ‫به‬‫کنید‬ ‫مراجعه‬ ‫زیر‬ ‫آدرس‬: http://minidars.ir/?p=403
  • 21.
    ‫عددی‬ ‫گیری‬ ‫انتگرال‬ ‫خطای‬ ‫بدست‬‫گیری‬ ‫انتگرال‬ ‫های‬ ‫روش‬ ‫از‬ ‫مناسبی‬ ‫درک‬ ‫توانید‬ ‫می‬ ‫آموزش‬ ‫این‬ ‫پایان‬ ‫در‬ ‫شما‬‫آو‬‫رید‬. ‫باشی‬ ‫داشته‬ ‫ها‬ ‫انتگرال‬ ‫مبحث‬ ‫بر‬ ‫مروری‬ ،‫آموزش‬ ‫این‬ ‫مشاهده‬ ‫از‬ ‫قبل‬ ‫شود‬ ‫می‬ ‫پیشنهاد‬‫د‬. ‫گیری‬ ‫انتگرال‬ ‫های‬ ‫روش‬ ‫درس‬ ‫مینی‬ ‫دیگر‬ ‫های‬ ‫آموزش‬