WSTĘPNE STUDIUM WYKONALNOŚCI
       DLA ZADANIA PN.:
 REWITALIZACJA LINII KOLEJOWEJ
     WROCŁAW – LOTNISKO

   ETAP III – ANALIZA TECHNICZNA
Wstępne studium wykonalności dla zadania pn.:
Rewitalizacja linii kolejowej Wrocław – Lotnisko
Etap III – Analiza techniczna




Spis treści:

1.   Analiza techniczna ......................................................................................................................................... 2
  1.1     Wariant 1 .............................................................................................................................................. 2
  1.2     Wariant 2 .............................................................................................................................................. 3
  1.3     Utrudnienia realizacyjne ..................................................................................................................... 5
  1.4     Przebieg w rejonie Portu Lotniczego ................................................................................................ 5
2    Trasowanie linii i projekt geometryczny ........................................................................................................ 6
  2.1     Układ geometryczny w płaszczyźnie poziomej ................................................................................ 6
  2.2     Profil podłużny ..................................................................................................................................... 7
  2.3     Prędkości maksymalne ....................................................................................................................... 7
3    Układy torowe .............................................................................................................................................. 10
  3.1     Wariant 1 ............................................................................................................................................ 10
  3.2     Wariant 2 ............................................................................................................................................ 11
4    Nawierzchnia ................................................................................................................................................ 12
  4.1     Dobór konstrukcji nawierzchni torów ............................................................................................. 12
  4.2     Dobór konstrukcji rozjazdów ........................................................................................................... 13
  4.3     Zbiorcze zestawienie robót torowych ............................................................................................. 13
  4.4     Zakres przebudowy układu stacji Wrocław Zachodni .................................................................. 14
  4.5     Zbiorcze koszty inwestycyjne .......................................................................................................... 14
5    Analizy geotechniczne i konstrukcja podtorza ............................................................................................. 16
  5.1     Charakterystyka warunków geologiczno-inżynierskich ................................................................ 16
  5.2     Zakres robót podtorzowych ............................................................................................................. 16
  5.3     Koszty robót podtorzowych.............................................................................................................. 17
6    Powiązania linii z układem drogowym i pieszym ........................................................................................ 19
  6.1     Wariant 1 ............................................................................................................................................ 19
  6.2     Wariant 2 ............................................................................................................................................ 20
7    Obiekty inżynieryjne .................................................................................................................................... 21
  7.1     Wariant 1 ............................................................................................................................................ 21
  7.2     Wariant 2 ............................................................................................................................................ 21
8    Obiekty kubaturowe ..................................................................................................................................... 22
  8.1     Perony i budynki ................................................................................................................................ 22
9    Systemy sterowania i kierowania ruchem .................................................................................................... 27
  9.1     Wymagania......................................................................................................................................... 27
  9.2     Stan wyjściowy do wyposażenia w urządzenia srk ....................................................................... 27
  9.3     Zakres modernizacji urządzeń srk ................................................................................................... 27
10 Urządzenia telekomunikacji ......................................................................................................................... 29
  10.1 Stan istniejący sieci telekomunikacyjnej ........................................................................................ 29
  10.2 Charakterystyka modernizacji .......................................................................................................... 29
  10.3 Zakres rzeczowy modernizacji ......................................................................................................... 30
11 System zasilania i sieć trakcyjna .................................................................................................................. 33
  11.1 Zasilanie sieci trakcyjnej ................................................................................................................... 33
  11.2 Sieć trakcyjna ..................................................................................................................................... 34
  11.3 Elektroenergetyka nietrakcyjna ....................................................................................................... 34




                                                                                 1
Wstępne studium wykonalności dla zadania pn.:
Rewitalizacja linii kolejowej Wrocław – Lotnisko
Etap III – Analiza techniczna


1.         Analiza techniczna

           Rozwój niezbędnego do funkcjonowania miasta transportu, pociąga za sobą potrzebę
przeznaczania pod jego rozwój coraz większych powierzchni, a w wyniku bardzo szybkiego rozwoju
transportu indywidualnego i dostawczego, wywołuje zatory uliczne, posiadając jednocześnie
destruktywny wpływ na środowisko naturalne. Wyjściem z sytuacji w większości europejskich
metropolii jest wspieranie transportu szynowego. Projekt budowy systemu kolei o charakterze
miejskim, łączącej centrum miasta Wrocławia z portem lotniczym im. Mikołaja Kopernika w Wrocławiu
Strachowicach jest milowym krokiem na drodze rozwoju transportu szynowego w województwie
dolnośląskim. Docelowo linia kolejowa do lotniska swoim zasięgiem obejmować będzie miasto
Wrocław oraz gminę Kąty Wrocławskie. Połączenie będzie wykorzystywało częściowo istniejącą
infrastrukturę kolejową, która po kompleksowej modernizacji stanowić będzie fundament kolei
lotniskowej. Poniżej znajduje się opis stanu infrastruktury w/w odcinków linii planowanego połączenia.


     1.1      Wariant 1

           W wariancie tym przewidziano połączenie od stacji Wrocław Świebodzki (Wrocław Główny)
przez stację Wrocław Zachodni do małej stacji czołowej Wrocław Port Lotniczy. W wariancie tym
założono wybudowanie nowego przystanku (peronu) Wrocław Zachodni, który znajdowałby się po
zachodniej stronie obecnej stacji Wrocław Zachodni.

           Długość całego połączenia od stacji Wrocław Zachodni do proponowanej lokalizacji stacji
końcowej przy porcie lotniczym wynosi ok. 10,500 km

           Zakłada się, że projektowana linia będzie nie zelektryfikowana. Elektryfikacja linii rozpatrzona
została jako rozwiązanie alternatywne, żeby umożliwić ew. elektryfikację w przyszłości. Szczegółowy
zakres prac niezbędnych do elektryfikacji został przeanalizowany w rozdziale 11.

W ramach przedstawionego wariantu wprowadzony został podział całego połączenia na trzy odcinki:

Odcinek 1 – od stacji Wrocław Świebodzki (Wrocław Główny) do stacji Wrocław Zachodni

           Odcinek ten stanowi fragment linii kolejowej nr 274 do stacji Wrocław Zachodni oraz -
dodatkowo początkowy fragment linii kolejowej nr 761 od stacji Wrocław Główny do posterunku WS.

           Stan techniczny linii kolejowej nr 274 na odcinku od posterunku WS do stacji Wrocław
Zachodni należy uznać za dobry. Obowiązująca tu prędkość dla pociągów pasażerskich wynosi 100
km/h. Jest to fragment linii o dużej klasie wytrzymałościowej D3, dopuszczającej nacisk na oś 221
kN/oś oraz nacisk liniowy 71 kN/m.

           Odcinek od posterunku WS do stacji Wrocław Świebodzki jest obecnie wyłączony
z eksploatacji. Jego stan techniczny nie pozwala na prowadzenie regularnego ruchu kolejowego.

           Z kolei fragment łącznicy nr 761 od stacji Wrocław Główny do posterunku WS umożliwia
obecnie jazdę z prędkością 60 km/h. Jest to fragment o klasie również C3 (osiowo 221 kN/oś oraz
nacisk liniowy 71 kN/m).

           Eksploatowane fragmenty odcinka są dwutorowe.




                                                      2
Wstępne studium wykonalności dla zadania pn.:
Rewitalizacja linii kolejowej Wrocław – Lotnisko
Etap III – Analiza techniczna


           Opisane powyżej fragmenty torów składają się z szyn 60E1 przytwierdzonych – za pomocą
przytwierdzeń sprężystych SB3 i SB4 oraz przytwierdzeń typu K – do podkładów strunobetonowych
PS94 i INBK7. „Drabina torowa” spoczywa na 35 cm warstwie podsypki tłuczniowej.



Odcinek 2 – od stacji Wrocław Zachodni do skrzyżowania z ul. Żwirki i Wigury

           W wariancie 1 zakłada się pełną modernizację toru kolejowego dawnej bocznicy kolejowej do
koszar lotniska wojskowego Strachowice od stacji Wrocław Zachodni do ul. Żwirki i Wigury. Bocznica
ta odchodzi od linii kolejowej nr 274. Zakłada się wjazd na ten tor jedynie od strony Wałbrzycha.
Powoduje to konieczność zmiany kierunku jazdy. Stąd konieczność nowego usytuowania peronów na
stacji Wrocław Zachodni. Po przekroczeniu ulicy Żwirki i Wigury zakłada się budowę nowego odcinka
linii kolejowej do Nowego Portu Lotniczego.

           Zakłada się przystosowanie tego jednotorowego odcinka do prędkości 80 km/h.

           Jest to jednotorowy odcinek bardzo zdewastowany w wyniku prowadzenia różnego rodzaju
inwestycji budowlanych (głównie budowy Autostradowej Obwodnicy Wrocławia) oraz braku
eksploatacji tego toru od ponad 20 lat. Tor ten składa się z szyn S49 przytwierdzonych
przytwierdzeniem K do podkładów drewnianych i strunobetonowych i usytuowanych na bardzo
zanieczyszczonej podsypce żwirowej i tłuczniowej.

Odcinek 3 – od skrzyżowania z ul. Żwirki i Wigury do Nowego Portu Lotniczego

           Zakłada się, że od ul. Żwirki i Wigury jednotorowa linia kolejowa zostanie skierowana
w kierunku zachodnim, a następnie wzdłuż południowej i zachodniej granicy lasu okalającego teren
lotniska    –    w   bezpośrednim   sąsiedztwie   nowobudowanego      osiedla   domów   jednorodzinnych
w Krzeptowie – tak, by tor został doprowadzony na północną stronę pasa startowego, w pobliże
nowego terminala pasażerskiego.

           Zakłada się przystosowanie tego jednotorowego odcinka do prędkości 80 km/h.

           W Porcie Lotniczym imienia Mikołaja Kopernika, na wprost nowego Terminala 2, zostanie
zlokalizowana stacja czołowa z dwoma torami kolejowymi.

Powiązania

           Wariant 1 umożliwia przede wszystkim bezpośrednie i naturalne połączenie kolejowe lotniska
w kierunku Wałbrzycha i Jeleniej Góry. Zasadniczą cechą obsługi lotniska od strony stacji Wrocław
Zachodni jest umożliwienie wykorzystania dwóch śródmiejskich dworców kolejowych: Wrocław Główny
i Wrocław Świebodzki. Taka lokalizacja punktów początkowych linii lotniskowej powoduje
bezproblemowy dojazd do nich komunikacją zbiorową nie tylko z każdego punktu miasta Wrocławia,
ale również z większości miast metropolii i regionu dolnośląskiego.


   1.2          Wariant 2

           W wariancie tym przewidziano połączenie od stacji Wrocław Świebodzki (Wrocław Główny)
przez stację Wrocław Zachodni do niewielkiej stacji czołowej Wrocław Port Lotniczy. W wariancie tym
założono wykorzystanie obecnej stacji Wrocław Zachodni oraz dobudowanie fragmentu łącznicy
w obrębie stacji Wrocław Zachodni.


                                                    3
Wstępne studium wykonalności dla zadania pn.:
Rewitalizacja linii kolejowej Wrocław – Lotnisko
Etap III – Analiza techniczna


        Długość całego połączenia od stacji Wrocław Zachodni do proponowanej lokalizacji stacji
końcowej przy porcie lotniczym wynosi ok. 10,500 km

        Zakłada się, że projektowana linia będzie nie zelektryfikowana. Elektryfikacja linii rozpatrzona
została jako rozwiązanie alternatywne, żeby umożliwić ew. elektryfikację w przyszłości. Szczegółowy
zakres prac niezbędnych do elektryfikacji został przeanalizowany w rozdziale 11.

W ramach przedstawionego wariantu wprowadzony został podział całego połączenia na trzy odcinki:

Odcinek 1 – od stacji Wrocław Świebodzki (Wrocław Główny) do stacji Wrocław Zachodni

        Odcinek ten stanowi fragment linii kolejowej nr 274 do stacji Wrocław Zachodni oraz -
dodatkowo początkowy fragment linii kolejowej nr 761 od stacji Wrocław Główny do posterunku WS.

        Stan techniczny linii kolejowej nr 274 na odcinku od posterunku WS do stacji Wrocław
Zachodni należy uznać za dobry. Obowiązująca tu prędkość dla pociągów pasażerskich wynosi
100 km/h. Jest to fragment linii o dużej klasie wytrzymałościowej D3, dopuszczającej nacisk na oś
221 kN/oś oraz nacisk liniowy 71 kN/m.

        Odcinek od posterunku WS do stacji Wrocław Świebodzki jest obecnie wyłączony
z eksploatacji. Jego stan techniczny nie pozwala na prowadzenie regularnego ruchu kolejowego.

        Z kolei fragment linii nr 761 od stacji Wrocław Główny do posterunku WS umożliwia obecnie
jazdę z prędkością 60 km/h. Jest to fragment o klasie również C3 (osiowo 221 kN/oś oraz nacisk
liniowy 71 kN/m).

        Opisane powyżej fragmenty torów składają się z szyn 60E1 przytwierdzonych – za pomocą
przytwierdzeń sprężystych SB3 i SB4 oraz przytwierdzeń typu K – do podkładów strunobetonowych
PS94 i INBK7. „Drabina torowa” spoczywa na 35 cm warstwie podsypki tłuczniowej.

Odcinek 2 – od stacji Wrocław Zachodni do skrzyżowania z ul. Żwirki i Wigury

        Przewiduje się tu budowę łącznika (fragmentu toru) umożliwiającego wjazd na tor dawnej
bocznicy od strony Wrocławia.

        W wariancie 2 zakłada się modernizację toru kolejowego dawnej bocznicy kolejowej do koszar
lotniska wojskowego Strachowice od stacji Wrocław Zachodni do ul. Żwirki i Wigury. Bocznica ta
odchodzi od linii kolejowej nr 274. Zakłada się wjazd na ten tor zarówno od strony Wałbrzycha, jak
i od strony Wrocławia.

        Jest to jednotorowy odcinek bardzo zdewastowany w wyniku prowadzenia różnego rodzaju
inwestycji budowlanych (głównie budowy Autostradowej Obwodnicy Wrocławia) oraz braku
eksploatacji tego toru od ponad 20 lat. Tor ten składa się z szyn S49 przytwierdzonych
przytwierdzeniem K do podkładów drewnianych i strunobetonowych i usytuowanych na bardzo
zanieczyszczonej podsypce żwirowej i tłuczniowej.

        Po przekroczeniu ulicy Żwirki i Wigury zakłada się budowę nowego odcinka linii kolejowej do
Nowego Portu Lotniczego.

Odcinek 3 – od skrzyżowania z ul. Żwirki i Wigury do Nowego Portu Lotniczego

        Zakłada się, że od ul. Żwirki i Wigury jednotorowa linia kolejowa zostanie skierowana
w kierunku zachodnim, a następnie wzdłuż południowej i zachodniej granicy lasu okalającego teren



                                                    4
Wstępne studium wykonalności dla zadania pn.:
Rewitalizacja linii kolejowej Wrocław – Lotnisko
Etap III – Analiza techniczna


lotniska tak, by tor został doprowadzony na północną stronę pasa startowego, w pobliże nowego
terminala pasażerskiego.

         W Porcie Lotniczym imienia Mikołaja Kopernika, na wprost nowego Terminala 2, zostanie
zlokalizowana stacja czołowa z dwoma torami kolejowymi.

Powiązania

         Wariant 2 umożliwia bezpośrednie i naturalne połączenie kolejowe lotniska z kierunku
Wałbrzycha i Jeleniej Góry, a przede wszystkim z kierunku centrum miasta Wrocławia. Zasadniczą
cechą obsługi lotniska od strony stacji Wrocław Zachodni jest umożliwienie wykorzystania dwóch
śródmiejskich dworców kolejowych: Wrocław Główny i Wrocław Świebodzki. Taka lokalizacja punktów
początkowych linii lotniskowej powoduje bezproblemowy dojazd do nich komunikacją zbiorową nie
tylko z każdego punktu miasta Wrocławia, ale również z większości miast metropolii i regionu
dolnośląskiego.


   1.3      Utrudnienia realizacyjne

         Oprócz znacznego zdewastowania toru do dawnej bocznicy wojskowej przez budowę AOW na
trasie planowanych wariantów przebiegu linii kolejowych znajduje się szereg utrudnień technicznych.
Do najistotniejszych problemów należy zaliczyć trudne warunki gruntowo-wodne, w tym przede
wszystkim występowanie gruntów wodonośnych i spoistych, stosunkowo wysoki poziom wód
gruntowych oraz licznie występujące cieki wodne, co wymusza budowę systemu odwodnienia oraz
licznych przepustów.

         Dodatkową uciążliwością jest występowanie dużego lasu liściastego i mieszanego na znacznej
długości przebiegu trasy linii. Wymusza to konieczność wyrębu znacznej ilości drzew, które stanowią
otulinę lotniska i naturalną zaporę przed emitowanym hałasem. Lesiste tereny należą do obszaru
lotniska.

         Znaczną trudnością będzie również wykup znacznej części gruntów od właścicieli prywatnych.


   1.4      Przebieg w rejonie Portu Lotniczego

         Istotnym problemem jest wybór doprowadzenia trasy kolei lotniskowej do stacji zlokalizowanej
przed projektowanym Terminalem 2 Portu Lotniczego im. Mikołaja Kopernika. Teren ten będzie
w najbliższym okresie podlegał istotnym przekształceniom (i związaną z nią zmianą koncepcji obsługi
obszaru Portu Lotniczego).

         Preferowany – ze względu na usytuowanie terminala oraz występujące ograniczenia
lokalizacyjne – układ stacji czołowej przy nowym terminalu powinien przyjąć charakter kierunkowy
w osi zachód – wschód.




                                                   5
Wstępne studium wykonalności dla zadania pn.:
Rewitalizacja linii kolejowej Wrocław – Lotnisko
Etap III – Analiza techniczna


2       Trasowanie linii i projekt geometryczny

          Możliwości kształtowania układu geometrycznego kolei lotniskowej określają następujące
istotne okoliczności:

         kolej   lotniskowa   będzie   stanowiła   połączenie   odcinków   eksploatowanych,   odcinków
          odbudowywanych i odcinków budowanych od podstaw,

         linia będzie przebiegała w urozmaiconym terenie, pokonując znaczne różnice

         wysokości,

         na linii będzie prowadzony ruch pociągów pasażerskich obsługiwanych elektrycznymi

         zespołami trakcyjnymi oraz zespołami spalinowymi (autobusami szynowymi),

         ruch towarowy będzie zasadniczo ograniczony do obsługi miejscowej (poza

         odcinkiem linii nr 274),

         w celu zapewnienia atrakcyjności połączenia kolejowego niezbędne jest uzyskiwanie

         prędkości pociągów 80 km/h, przy czym pożądana jest prędkość 100-120 km/h. Odcinki
          o prędkości mniejszej niż 80 km/h powinny być możliwie krótkie.


    2.1      Układ geometryczny w płaszczyźnie poziomej

          Układ geometryczny kolei do lotniska w płaszczyźnie poziomej przyjęty w niniejszym
opracowaniu wynika z uwarunkowań terenowych.

Odcinek 1

          Linie kolejowe przynależące do odcinka 1, czyli linia nr 274 są liniami istniejącymi
i eksploatowanymi z prędkościami 60 – 100 km/h.

Odcinek 2

          Na odcinku 1 od stacji Wrocław Zachodni do skrzyżowania z ulicą Żwirki i Wigury zakłada się
wykorzystanie budowli ziemnych dawnego toru bocznicy kolejowej. Linia ta mimo, że budowana jako
typowa bocznica charakteryzowała się dość dogodnym układem geometrycznym.

          Tor wypina się z układu torowego stacji Wrocław Zachodni od strony głowicy zachodniej
łukiem o promieniu 500 m. Najmniejsze promienie (w zakresie 260 m) występują na łukach za stacją
Wrocław Zachodni, do km 1,000. Dalszy fragment trasy, aż do przejazdu z ul. Żwirki i Wigury jest
odcinkiem prostym.

Odcinek 3

          Pozostała część trasy jest nowoprojektowana. Od przejazdu z ulicą Żwirki i Wigury Łukiem
o promieniu 600 m zostaje skierowana w kierunku zachodnim. Tor przebiega wzdłuż ulicy Rakietowej
(wzdłuż niewielkiego rowu odwadniającego), kierując się w pobliże osiedla Krzeptów.

          Od Krzeptowa linia prowadzona byłaby skrajem lasu okalającego lotnisko, przez ok. 4 km. Na
tym odcinku zaplanowano cztery łuki poziome o jednakowych promieniach R=600 m.



                                                      6
Wstępne studium wykonalności dla zadania pn.:
Rewitalizacja linii kolejowej Wrocław – Lotnisko
Etap III – Analiza techniczna


         Od zachodniej strony lotniska linia kolejowa zostaje poprowadzona w kierunku wschodnim, do
nowego terminala za pomocą dwóch długich odwrotnych łuków poziomych o promieniach
500 i 600 m.


   2.2       Profil podłużny

         Ogólne zasady kształtowania profilu podłużnego linii kolejowych, określone w rozporządzeniu
Ministra Transportu i Gospodarki Morskiej w sprawie warunków technicznych, jakim powinny
odpowiadać budowle kolejowe i ich usytuowanie (Dz. U 1998, nr 151, poz. 987), praktycznie powinny
być zastosowane w warunkach kolei lotniskowej.

         Teren, po którym prowadzona będzie linia kolejowa jest płaski. Pochylenia maksymalne nie
powinny przekraczać 5‰ i nie powinien stanowić istotnego utrudnienia projektu, budowy
i eksploatacji linii.


   2.3       Prędkości maksymalne

         Prędkości maksymalne, możliwe do osiągnięcia na poszczególnych odcinkach kolei do lotniska
we określono przy zachowaniu wartości dopuszczalnych parametrów kinematycznych określonych
w rozporządzeniu Ministra Transportu i Gospodarki Morskiej w sprawie warunków technicznych, jakim
powinny odpowiadać budowle kolejowe i ich usytuowanie. Prędkości te są zróżnicowane według
analizowanych w niniejszym Studium wariantów.
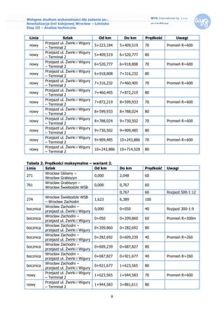
Tabela 1. Prędkości maksymalne – wariant 1.
 Linia             Szlak            Od km                    Do km     Prędkość        Uwagi
          Wrocław Główny –
  271                            0,000                     2,048       60
          Wrocław Grabiszyn
          Wrocław Grabiszyn –
  761                            0,000                     0,767       60
          Wrocław Świebodzki WSB
                                                           0,767       60         Rozjazd 500-1:12
             Wrocław Świebodzki WSB
   274                                      1,623          6,389       100
             – Wrocław Zachodni
             Wrocław Zachodni –
bocznica                                    0,000          0+050,00    40         Rozjazd 300-1:9
             przejazd ul. Żwirki i Wigury
             Wrocław Zachodni –
bocznica                                    0+050,00       0+337,25    60         Promień R=500m
             przejazd ul. Żwirki i Wigury
             Wrocław Zachodni –
bocznica                                    0+337,25       0+558,091   80
             przejazd ul. Żwirki i Wigury
             Wrocław Zachodni –
bocznica                                    0+558,091      0+995,34    40         Promień R=260m
             przejazd ul. Żwirki i Wigury
             Wrocław Zachodni –
bocznica                                    0+995,34       1+697,228   80
             przejazd ul. Żwirki i Wigury
             Przejazd ul. Żwirki i Wigury
  nowy                                      1+697,228      2+018,246   70         Promień R=600
             – Terminal 2
             Przejazd ul. Żwirki i Wigury
  nowy                                      2+018,246      3+955,274   80
             – Terminal 2
             Przejazd ul. Żwirki i Wigury
  nowy                                      3+955,274      4+152,303   70         Promień R=600
             – Terminal 2
             Przejazd ul. Żwirki i Wigury
  nowy                                      4+152,303      5+223,184   80
             – Terminal 2

                                                       7
Wstępne studium wykonalności dla zadania pn.:
Rewitalizacja linii kolejowej Wrocław – Lotnisko
Etap III – Analiza techniczna


 Linia                Szlak                   Od km        Do km      Prędkość        Uwagi
           Przejazd ul. Żwirki   i Wigury
 nowy                                       5+223,184    5+409,519    70         Promień R=600
           – Terminal 2
           Przejazd ul. Żwirki   i Wigury
 nowy                                       5+409,519    6+520,777    80
           – Terminal 2
           Przejazd ul. Żwirki   i Wigury
 nowy                                       6+520,777    6+918,808    70         Promień R=600
           – Terminal 2
           Przejazd ul. Żwirki   i Wigury
 nowy                                       6+918,808    7+316,232    80
           – Terminal 2
           Przejazd ul. Żwirki   i Wigury
 nowy                                       7+316,232    7+460,405    70         Promień R=600
           – Terminal 2
           Przejazd ul. Żwirki   i Wigury
 nowy                                       7+460,405    7+872,219    80
           – Terminal 2
           Przejazd ul. Żwirki   i Wigury
 nowy                                       7+872,219    8+599,933    70         Promień R=600
           – Terminal 2
           Przejazd ul. Żwirki   i Wigury
 nowy                                       8+599,933    8+788,024    80
           – Terminal 2
           Przejazd ul. Żwirki   i Wigury
 nowy                                       8+788,024    9+730,502    70         Promień R=600
           – Terminal 2
           Przejazd ul. Żwirki   i Wigury
 nowy                                       9+730,502    9+909,485    80
           – Terminal 2
           Przejazd ul. Żwirki   i Wigury
 nowy                                       9+909,485    10+243,886   70         Promień R=600
           – Terminal 2
           Przejazd ul. Żwirki   i Wigury
 nowy                                       10+243,886   10+714,528   80
           – Terminal 2


Tabela 2. Prędkości maksymalne – wariant 2.
Linia     Szlak                  Od km                   Do km        Prędkość   Uwagi
          Wrocław Główny –
271                              0,000                   2,048        60
          Wrocław Grabiszyn
          Wrocław Grabiszyn –
761                              0,000                   0,767        60
          Wrocław Świebodzki WSB
                                                         0,767        60         Rozjazd 500-1:12
           Wrocław Świebodzki WSB
274                                         1,623        6,389        100
           – Wrocław Zachodni
           Wrocław Zachodni –
bocznica                                    0,000        0+050        40         Rozjazd 300-1:9
           przejazd ul. Żwirki i Wigury
           Wrocław Zachodni –
bocznica                                    0+050        0+209,860    60         Promień R=500m
           przejazd ul. Żwirki i Wigury
           Wrocław Zachodni –
bocznica                                    0+209,860    0+282,692    80
           przejazd ul. Żwirki i Wigury
           Wrocław Zachodni –
bocznica                                    0+282,692    0+609,239    40         Promień R=260
           przejazd ul. Żwirki i Wigury
           Wrocław Zachodni –
bocznica                                    0+609,239    0+687,827    80
           przejazd ul. Żwirki i Wigury
           Wrocław Zachodni –
bocznica                                    0+687,827    0+921,677    40         Promień R=260
           przejazd ul. Żwirki i Wigury
           Wrocław Zachodni –
bocznica                                    0+921,677    1+623,565    80
           przejazd ul. Żwirki i Wigury
           Przejazd ul. Żwirki i Wigury
nowy                                        1+623,565    1+944,583    70         Promień R=600
           – Terminal 2
           Przejazd ul. Żwirki i Wigury
nowy                                        1+944,583    3+881,611    80
           – Terminal 2

                                                    8
Wstępne studium wykonalności dla zadania pn.:
Rewitalizacja linii kolejowej Wrocław – Lotnisko
Etap III – Analiza techniczna


Linia     Szlak                            Od km        Do km        Prędkość   Uwagi
          Przejazd ul. Żwirki   i Wigury
nowy                                       3+881,611    4+078,640    70         Promień R=600
          – Terminal 2
          Przejazd ul. Żwirki   i Wigury
nowy                                       4+078,640    5+149,521    80
          – Terminal 2
          Przejazd ul. Żwirki   i Wigury
nowy                                       5+149,521    5+335,856    70         Promień R=600
          – Terminal 2
          Przejazd ul. Żwirki   i Wigury
nowy                                       5+335,856    6+447,114    80
          – Terminal 2
          Przejazd ul. Żwirki   i Wigury
nowy                                       6+447,114    6+845,145    70         Promień R=600
          – Terminal 2
          Przejazd ul. Żwirki   i Wigury
nowy                                       6+845,145    7+242,569    80
          – Terminal 2
          Przejazd ul. Żwirki   i Wigury
nowy                                       7+242,569    7+386,742    70         Promień R=600
          – Terminal 2
          Przejazd ul. Żwirki   i Wigury
nowy                                       7+386,742    7+798,556    80
          – Terminal 2
          Przejazd ul. Żwirki   i Wigury
nowy                                       7+798,556    8+526,270    70         Promień R=600
          – Terminal 2
          Przejazd ul. Żwirki   i Wigury
nowy                                       8+526,270    8+714,361    80
          – Terminal 2
          Przejazd ul. Żwirki   i Wigury
nowy                                       8+714,361    9+656,839    70         Promień R=600
          – Terminal 2
          Przejazd ul. Żwirki   i Wigury
nowy                                       9+656,839    9+835,822    80
          – Terminal 2
          Przejazd ul. Żwirki   i Wigury
nowy                                       9+835,822    10+170,223   70         Promień R=600
          – Terminal 2
          Przejazd ul. Żwirki   i Wigury
nowy                                       10+170,223   10+640,865   80
          – Terminal 2




                                                   9
Wstępne studium wykonalności dla zadania pn.:
Rewitalizacja linii kolejowej Wrocław – Lotnisko
Etap III – Analiza techniczna


3       Układy torowe

          Na trasie lotniskowej będą zlokalizowane posterunki ruchu: stacje oraz posterunki odgałęźne.
Ich układy torowe muszą zapewnić spełnienie wymagań funkcjonalnych. W szczególności wymagania
takie obejmują:

         możliwość prowadzenia ruchu pociągów kolei lotniskowej i pociągów regionalnych we
          wszystkich zakładanych w ofercie przewozowej relacjach,

         zapewnienie przepustowości z pozostawieniem odpowiedniej rezerwy uwzględniającej
          perspektywy wzrostu liczby pociągów i prognozowanego wzrostu przewozów pasażerskich na
          obszarach metropolitalnych,

         ograniczenie zakłóceń ruchu w warunkach planowych i awaryjnych zamknięć torowych.

          Układy torowe zostały zróżnicowane według rozważanych w ramach Studium wariantów.


    3.1      Wariant 1

          Ze względu na konieczność zmiany kierunku ruch na stacji Wrocław Zachodni układ torowy tej
stacji dostosowano do tej specyfiki.

Stacja Wrocław Zachodni

          Wymagane będzie przesunięcie peronów stacji Wrocław Zachodni o ok. 1,5 km w kierunku
zachodnim, co umożliwi zmianę kierunku jazdy w tym właśnie miejscu.

          Do dwóch torów zasadniczych przewiduje się dobudowanie dwóch torów dodatkowych oraz
peronu dwukrawędziowego po stronie toru zasadniczego (szlakowego) nieparzystego.

          Dla realizacji takiego układu konieczne jest wbudowanie połączeń trapezowych od strony
wschodniej i zachodniej planowanego peronu.

Stacja Wrocław Świebodzki

          Układ torowy stacji kolejowej Wrocław Świebodzki będzie składał się z dwóch torów
o długości użytecznej 200 m, każdy z krawędzią peronową o długości 150 m. Tory zostaną
zakończone samohamownymi kozłami oporowymi i będą połączone jednym rozjazdem typu 49E1-300-
1:9. Stacja będzie połączona z siecią kolejową dwutorową linią nr 274 w posterunku Wrocław
Świebodzki WSB w km 1,563.

Stacja Port Lotniczy imienia Mikołaja Kopernika

          Układ torowy nowej stacji kolejowej w Porcie Lotniczym imienia Mikołaja Kopernika będzie
składał się z dwóch torów o długości użytecznej 200 m, każdy z krawędzią peronową o długości 150
m. Tory zostaną zakończone samohamownymi kozłami oporowymi i będą połączone jednym
rozjazdem typu 49E1-300-1:9.




                                                   10
Wstępne studium wykonalności dla zadania pn.:
Rewitalizacja linii kolejowej Wrocław – Lotnisko
Etap III – Analiza techniczna




   3.2      Wariant 2

Stacja Wrocław Zachodni

         Przewiduje się dostosowanie długości peronów do rzeczywistych potrzeb pojazdów (ok. 150
m) oraz modernizację układu torowego w ten sposób, by za pomocą trzech rozjazdów 300-1:9
wyprowadzić łącznicę jednotorową w kierunku bocznicy lotniskowej

Stacja Wrocław Świebodzki

         Układ torowy stacji kolejowej Wrocław Świebodzki będzie składał się z dwóch torów
o długości użytecznej 200 m, każdy z krawędzią peronową o długości 150 m. Tory zostaną
zakończone samohamownymi kozłami oporowymi i będą połączone jednym rozjazdem typu 49E1-300-
1:9. Stacja będzie połączona z siecią kolejową dwutorową linią nr 274 w posterunku Wrocław
Świebodzki WSB w km 1,563.

Stacja Port Lotniczy imienia Mikołaja Kopernika

         Układ torowy nowej stacji kolejowej w Porcie Lotniczym imienia Mikołaja Kopernika będzie
składał się z dwóch torów o długości użytecznej 200 m, każdy z krawędzią peronową o długości
150 m. Tory zostaną zakończone samohamownymi kozłami oporowymi i będą połączone jednym
rozjazdem typu 49E1-300-1:9.




                                                   11
Wstępne studium wykonalności dla zadania pn.:
Rewitalizacja linii kolejowej Wrocław – Lotnisko
Etap III – Analiza techniczna


4       Nawierzchnia

          W raporcie została dokonana inwentaryzacja nawierzchni wraz z oceną jej obecnego stanu.
Niniejszy rozdział przedstawia zakres działań w zakresie nawierzchni torów i rozjazdów według
wariantów.


    4.1      Dobór konstrukcji nawierzchni torów

          Zasadniczym kryterium przy wyborze konstrukcji nawierzchni dla określonego odcinka linii, czy
toru na stacji są warunki eksploatacyjne. Warunki te charakteryzowane są wartościami parametrów
eksploatacyjnych: dopuszczalną prędkością pociągów, dopuszczalnymi naciskami osi lokomotyw
i wagonów przy tej prędkości oraz natężeniem przewozów. Istotne jest przy tym, że prędkość i nacisk
osiowy     trzeba   traktować   jako   pary.   Wyszczególnione   parametry   decydują   o   klasie   toru.
W obowiązującej w PKP Polskie Linie Kolejowe S.A. Instrukcji Id-1 (D1) wyróżnia się 6 klas toru (0, 1,
2, 3, 4, 5). Tory szlakowe i tory główne zasadnicze na stacjach kolei do lotniska ze względu na
warunki eksploatacyjne należy zaliczyć do klasy 2. Oznacza to, że na linii mogą występować
następujące pary parametrów:

         Prędkość 80 km/h, nacisk osi lokomotywy 221 kN, nacisk osi wagonu 221 kN,

         Prędkość 100 km/h, nacisk osi lokomotywy 210 kN, nacisk osi wagonu 205 kN,

         Prędkość 120 km/h, nacisk osi lokomotywy 205 kN, nacisk osi wagonu 190 kN.

          Każdej klasie toru zarządca infrastruktury przyporządkowuje standardy konstrukcyjne
nawierzchni. Standardy te stanowią zestawienia typu szyny, typu podkładów, rozstawu podkładów,
rodzaju przytwierdzeń oraz rodzaju i grubości podsypki. W każdej klasie toru możliwe jest stosowanie
kilku równorzędnych standardów. Generalną zasadą jest: im większe wymagania eksploatacyjne
stawiane torowi, tym wyższej jakości i większej wytrzymałości materiały nawierzchniowe powinny być
stosowane. Przykładowe warianty konstrukcji nawierzchni przedstawia tabela:
Tabela 3. Standardy konstrukcji nawierzchni w klasie 2




          Przyjęto, że w warunkach kolei lotniskowej, przy dominującym ruchu pasażerskim (małych
naciskach osi) najbardziej odpowiednia będzie nawierzchnia z szynami 49E1 według standardu 2.3,


                                                    12
Wstępne studium wykonalności dla zadania pn.:
Rewitalizacja linii kolejowej Wrocław – Lotnisko
Etap III – Analiza techniczna


jednak z tą różnicą, że zamiast podkładów PS-83 proponuje się przyjęcie podkładów PS-94, a zamiast
przytwierdzeń typu SB3 przytwierdzenia SB4.


   4.2      Dobór konstrukcji rozjazdów

         Na trasie kolei do lotniska będą zlokalizowane liczne posterunki ruchu o zróżnicowanych
funkcjach. Przyjęto podstawowe założenie, że układy torowe tych posterunków będą zbudowane
z zastosowaniem rozjazdów możliwie najlepiej dostosowanych do warunków ruchowych, takich jak:

        Prędkość maksymalna pociągów w obrębie posterunku,

        Przewidywana liczba przebiegów pociągowych w jednostce czasu,

        Proporcje między liczbami jazd pociągów w kierunku prostym i w kierunku zwrotnym
         rozjazdów.

         W przypadku rozjazdów w torach głównych zasadniczych przyjęto jako zasadę, że rozjazd nie
powinien ograniczać prędkości pociągów w kierunku prostym. W celu minimalizacji strat czasu na
hamowanie i ponowny rozruch na posterunkach odgałęźnych, prędkość jazdy pociągów w kierunku
zwrotnym powinna być zbliżona do prędkości na przyległym odcinku toru linii lub łącznicy. Połączenia
torów głównych dodatkowych powinny być w miarę możliwości budowane z wykorzystaniem
rozjazdów typu 500-1:12, pozwalających na jazdę z prędkością 60 km/h w kierunku zwrotnym. Na
trasie tej kolei podstawową konstrukcją nawierzchni kolejowej jest nawierzchnia z szynami 49E1.
Należy jednak wskazać, że nie wszystkie typy potrzebnych rozjazdów są dostępne w standardzie 49E1,
a tylko 60E1. Dotyczy to w szczególności rozjazdu o promieniu 760 m i skosie 1:14.

         Typy rozjazdów przewidziane do zabudowy na poszczególnych posterunkach ruchu opisano
w rozdziale dotyczącym układów torowych.


   4.3      Zbiorcze zestawienie robót torowych



Tabela 4. Zestawienie robót torowych – wariant 1.
               Szlak, stacja               Budowa nowych torów [km]        Naprawa główna [km]
Wrocław Zachodni                                    0,500
Wrocław Zachodni – przejazd w ul. Żwirki
                                                                                     1,697
i Wigury
Przejazd w ul. Żwirki i Wigury – Port
                                                        9,018
Lotniczy
Stacja Port Lotniczy                                     0,250
Razem                                                   9,768                        1,697
Koszt jednostkowy [tys. zł]                              4500                        4000
Koszt całkowity – tory [tys. zł]                        43956                        6788


Tabela 5. Zestawienie robót torowych – wariant 2.
               Szlak, stacja               Budowa nowych torów [km]        Naprawa główna [km]
Wrocław Zachodni                                                                  0,800
Wrocław Zachodni – przejazd w ul. Żwirki
                                                        0,995                        1,697
i Wigury
Przejazd w ul. Żwirki i Wigury – Port
                                                        9,018
Lotniczy


                                                   13
Wstępne studium wykonalności dla zadania pn.:
Rewitalizacja linii kolejowej Wrocław – Lotnisko
Etap III – Analiza techniczna

              Szlak, stacja              Budowa nowych torów [km]           Naprawa główna [km]
Stacja Port Lotniczy                               0,250
Razem                                             10,263                             2,497
Koszt jednostkowy [tys. zł]                        4500                              4000
Koszt całkowity – tory [tys. zł]                 46183,5                             9988


Tabela 6. Zestawienie robót rozjazdowych – wariant 1.
                                                          Rodzaj rozjazdu
         Szlak, stacja
                                         300                   500                       760
Wrocław Zachodni                          1                      2
Wrocław Zachodni – przejazd w
ul. Żwirki i Wigury
Przejazd w ul. Żwirki i Wigury –
Port Lotniczy
Stacja Port Lotniczy                                             1
Razem                                     1                      3
Koszt jednostkowy [tys. zł]              350                    500                      650
Koszt całkowity – tory [tys.
                                         350                    1500
zł]


Tabela 7. Zestawienie robót rozjazdowych – wariant 2.
                                                          Rodzaj rozjazdu
         Szlak, stacja
                                         300                   500                       Rkpd
Wrocław Zachodni                          1                      2                         3
Wrocław Zachodni – przejazd w
                                                                 1
ul. Żwirki i Wigury
Przejazd w ul. Żwirki i Wigury –
Port Lotniczy
Stacja Port Lotniczy                                             1
Razem                                     1                      4                        3
Koszt jednostkowy [tys. zł]              350                    500                      500
Koszt całkowity – tory [tys.
                                         350                    2000                     1500
zł]


   4.4      Zakres przebudowy układu stacji Wrocław Zachodni

         Modernizacja układu torowego stacji Wrocław Zachodni będzie polegała na połączeniu
układem rozjazdów w kształcie półtrapezu torów stacyjnych nr 2, 1, 3, 5, 7 aby umożliwić wjazd i
zjazd z każdego z tych torów na łącznicę w kierunku lotniska.


   4.5      Zbiorcze koszty inwestycyjne

         W obliczeniach kosztów inwestycyjnych przyjęto poziomy cen na podstawie własnych
szacunków oraz na podstawie projektów modernizacyjnych zrealizowanych na sieci PKP Polskie Linie
Kolejowe w roku 2009, 2010 i 2011:

        budowa toru na nowym podtorzu w warunkach trudnych            4500 tys. zł/km

        wymiana kompleksowa toru w warunkach trudnych                 4000 tys. zł/km

        rozjazd 60E1-300-1:9                                          350 tys. zł

        rozjazd 60E1-500-1:12                                         500 tys. zł


                                                   14
Wstępne studium wykonalności dla zadania pn.:
Rewitalizacja linii kolejowej Wrocław – Lotnisko
Etap III – Analiza techniczna


        rozjazd 60E1-760-1:14                                    650 tys. zł

        rozjazd krzyżowy podwójny                                500 tys. zł

         Powyższe koszty jednostkowe uwzględniają koszt materiałów oraz koszt wbudowania torów
i rozjazdów.
Tabela 8. Zbiorcze zestawienie kosztów inwestycyjnych nawierzchni kolejowej.
                                     Wariant 1                          Wariant 2
Tory [tys. zł]                        50 744                             56 171,5
Rozjazdy [tys. zł]                     1 850                              3 850
Razem [tys. zł]                       52 594                             60 021,5




                                                   15
Wstępne studium wykonalności dla zadania pn.:
Rewitalizacja linii kolejowej Wrocław – Lotnisko
Etap III – Analiza techniczna


5        Analizy geotechniczne i konstrukcja podtorza

    5.1      Charakterystyka warunków geologiczno-inżynierskich

          Warunki geologiczno-inżynierskie na trasie linii metropolitalnej oceniono na podstawie analizy
Szczegółowej Mapy Geologicznej Polski w skali 1:50 000 i materiałów archiwalnych znajdujących się
w zbiorach Państwowego Instytutu Geologicznego w Warszawie. Charakterystykę i ocenę warunków
geologicznych-inżynierskich przedstawiono poniżej.

          Na trasie planowanej budowy kolei do lotniska od stacji Wrocław Zachodni spotkać można
piaski i żwiry wolnolodowcowe. Na odcinku 2 (dawna bocznica) występują małoprzepuszczalne gliny
zwałowe oraz gliny zwałowe na piaskach i żwirach wolnolodowcowych. Teren trasowania linii
podzielony licznymi ciekami wodnymi. Głównie wzdłuż odcinka 2 są to grunty organiczne słabonośne
i nawodnione; warunki niekorzystne do bezpośredniego posadowienia (III kategoria geotechniczna). Z
kolei odcinek 2 to obszar gruntów piaszczysto-gliniastych z nielicznymi miejscami z osadami
zastoiskowymi z możliwością występowania płytko wód gruntowych. Generalnie na całym tym
obszarze wody gruntowe położone są bardzo płytko, miejscami nawet płyciej niż 2 m.

          Z przedstawionego rozpoznania wynika, że:

    1.    Na przeważającej części obszaru projektowanej linii lolejowej w podłożu występują utwory
          czwartorzędowe (Q), reprezentowane głównie przez osady plejstoceńskie pochodzenia
          lodowcowego lub wodnolodowcowego (Qp) oraz holoceńskie osady zastoiskowe (Qh)
          w rejonach dolin rzecznych i zagłębień bezodpływowych.

    2.    Na trasach linii przeważają rejony o warunkach geologiczno-inżynierskich korzystnych dla
          budownictwa. Są to obszary gruntów spoistych (glin zwałowych) oraz gruntów sypkich (piaski
          zwałowe i stożki napływowe). Niestety głębokość wody gruntowej jest bardzo niewielka i nie
          przekracza 2 m. W przypadku przebudowy i budowy linii na tym obszarze, konstrukcję należy
          zaliczyć do II kategorii geotechnicznej wg PN-B-02479:1998.

    3.    Gorsze warunki gruntowo-wodne występują na odcinku Wrocław Zachodni – przejazd
          w ul. Żwirki i Wigury (odcinek III), na którym linia przecina równinę torfową doliny Chylonki.
          Na tym odcinku inwestycję należy zaliczyć do III kategorii geotechnicznej.


    5.2      Zakres robót podtorzowych

          Zakres robót podtorzowych określono na podstawie:

                 planów i profili podłużnych tras w poszczególnych wariantach,

                 wyników    przeglądu   podtorza    przeprowadzonego     w    sierpniu   2011 r.   przez
                  pracowników Politechniki Gdańskiej,

                 protokółów z przeglądów bieżących i okresowych podtorza w 2008 r.

                 informacji uzyskanych od pracowników PKP PLK S.A.

          Roboty podzielono na następujące grupy:

                 usuwanie roślinności (wycinanie drzew i krzaków)



                                                    16
Wstępne studium wykonalności dla zadania pn.:
Rewitalizacja linii kolejowej Wrocław – Lotnisko
Etap III – Analiza techniczna


                 budowa nowego podtorza

                 dobudowa podtorza pod drugi tor

                 naprawa istniejącego podtorza:

                         -   modernizacja torowiska

                         -   budowa odwodnienia

                         -   naprawa odwodnienia

                         -   naprawa niestabilnych nasypów

         W obliczeniach robót przyjęto następujące założenia:

                 szerokość torowiska istniejących linii jednotorowych – 5,40m,

                 nachylenia skarp podtorza istniejącego i projektowanego – 1:1,5.
Tabela 9. Zestawienie robót podtorzowych w wariantach 1 i 2
                               Usuwanie roślinności         Budowa nowego             Budowa odwodnienia
      Lokalizacja
                                      [ha]                 podtorza [tys. m3]          [km ciągów odw.]
Wrocław Zachodni –
                                       1,36                      14,790                      3,4
przejazd Żwirki
Przejazd Żwirki – Port
                                        7,2                      78,300                      18,0
Lotniczy
Razem                                  8,56                      93,090                      21,4


   5.3      Koszty robót podtorzowych

         W obliczeniach kosztów przyjęto poziomy cen na podstawie własnych szacunków oraz
informacji uzyskanych od firm:

                 usuwanie roślinności (wycinka)                     30 tys. zł/ ha

                 budowa, dobudowa podtorza                          140 tys. zł/ tys. m3

                 modernizacja torowiska                             820 tys. zł/ km toru

                 budowa odwodnienia liniowego                       244 tys. zł/ km ciągu odwadniającego

                 naprawa odwodnienia liniowego                      122 tys. zł/ km ciągu odwadniającego

                 naprawa niestabilnych nasypów                      7 000 tys. zł/ km nasypu

         W kosztach budowy, przebudowy i naprawy podtorza uwzględniono ceny niezbędnych badań
geotechnicznych (są one niewielkie w porównaniu do kosztów robót). Nie uwzględniono natomiast
odszkodowań za przedwczesny wyręb drzew (większość terenu porastają samosiejki, które trudno
zaliczyć do produkcji leśnej; poza tym w przypadku inwestycji użyteczności publicznej, możliwe będą
zwolnienia z większości opłat). Koszty robót podtorzowych dla odcinków w poszczególnych wariantach
zestawiono w tabeli poniżej.


                               Usuwanie roślinności         Budowa nowego             Budowa odwodnienia
                                       [ha]                podtorza [tys. m3]          [km ciągów odw.]
Ilość                                  8,56                      93,090                        21,4
Koszt jednostkowy                  30 tys. zł/ha            140 tys. zł/tys. m3           244 tys. zł/km
Razem zł                             256 800                   13 032 600                   5 221 600


                                                      17
Wstępne studium wykonalności dla zadania pn.:
Rewitalizacja linii kolejowej Wrocław – Lotnisko
Etap III – Analiza techniczna




                                                   18
Wstępne studium wykonalności dla zadania pn.:
Rewitalizacja linii kolejowej Wrocław – Lotnisko
Etap III – Analiza techniczna


6     Powiązania linii z układem drogowym i pieszym

          Rodzaj i sposób zabezpieczenia skrzyżowań kolei do lotniska z drogami kołowymi będzie
uzależniony od warunków miejscowych, w szczególności od natężenia ruchu kolejowego oraz
natężenia ruchu drogowego.

          Rozwiązania dla konkretnych skrzyżowań zostały zróżnicowane według rozważanych
w ramach Studium wariantów. Przyjęto przy tym, że rozwiązania te musza stanowić akceptowalny
kompromis pomiędzy spełnieniem postulatu zapewnienia możliwie płynnego ruchu drogowego,
a koniecznością utrzymania kosztów projektów na akceptowalnym poziomie. Wynika to także z faktu,
że obecne prawo stanowi o podziale kosztów budowy skrzyżowań wielopoziomowych pomiędzy
zarządcą infrastruktury kolejowej i zarządcę drogi.

          Dla istniejących skrzyżowań jednopoziomowych linii kolejowych z drogami kołowymi dokonano
analizy warunków ruchu i zaproponowano kwalifikacje tych przejazdów do odpowiednich kategorii,
zgodnie z Rozporządzeniem Ministra Transportu i Gospodarki Morskiej z dnia 26 lutego 1996 r.
w sprawie warunków technicznych, jakim powinny odpowiadać skrzyżowania linii kolejowych
z drogami publicznymi i ich usytuowanie (Dz. U. 1996, nr 33, poz. 144, z późniejszymi zmianami).


    6.1      Wariant 1

          W wariancie 1 wszystkie odcinki będą realizowane w standardzie linii kolejowej jednotorowej.
Z uwagi na charakter wariantu przewiduje się pozostawienie skrzyżowań w poziomie szyn.


Odcinek 2 – Wrocław Zachodni – przejazd w ul. Żwirki i Wigury

          Z uwagi na oszczędny, częściowo jednotorowy, układ linii zakłada się, że na odcinku 2
pozostaną istniejące przejazdy w poziomie szyn. Zmianie ulegnie ich kategoria, a w konsekwencji –
sposób zabezpieczenia.
Przejazd w ul. Kunickiego (km 0+939,34)

          Przejazd zostanie przekwalifikowany do kategorii „B”. Maksymalna prędkość pociągów
80 km/h.
Przejazd w ul. Gagarina (km 1+298,89)

          W miarę rozbudowy tego obszaru zwiększy się iloczyn ruchu w jego obrębie. Zaleca się
zabudowę przejazdu kategorii B. Maksymalna prędkość pociągów 80 km/h.
Przejazd w ul. Żwirki i Wigury (km 1+622,23)

          Obecnie przejazd kategorii D. Przejazd zostanie przekwalifikowany do kategorii B. Maksymalna
prędkość pociągów 80 km/h.


Odcinek 3 –przejazd w ul. Żwirki i Wigury – Wrocław Lotnisko
Przejazd w ul. Radarowej (km 4+091,300)

          Zakłada się zabudowanie przejazdu kategorii B. Maksymalna prędkość pociągów 80 km/h.



                                                      19
Wstępne studium wykonalności dla zadania pn.:
Rewitalizacja linii kolejowej Wrocław – Lotnisko
Etap III – Analiza techniczna

Przejazd w drodze polnej (km 5+344,539)

         Zakłada się zabudowę przejazdu kategorii D.
Przejazd w drodze polnej (km 6+720,830)

         Zakłada się zabudowę przejazdu kategorii D.


   6.2      Wariant 2

         W wariancie 2 wszystkie odcinki będą realizowane w standardzie linii kolejowej jednotorowej.
Z uwagi na charakter wariantu przewiduje się pozostawienie skrzyżowań w poziomie szyn.

Odcinek 2 – Wrocław Zachodni – przejazd w ul. Żwirki i Wigury

         Z uwagi na oszczędny, częściowo jednotorowy, układ linii zakłada się, że na odcinku 2
pozostaną istniejące przejazdy w poziomie szyn. Zmianie ulegnie ich kategoria, a w konsekwencji –
sposób zabezpieczenia.
Przejazd w ul. Kunickiego (km 0+865,677)

         Przejazd zostanie przekwalifikowany do kategorii „B”. Maksymalna prędkość pociągów
80 km/h.
Przejazd w ul. Gagarina (km 1+225,227)

         W miarę rozbudowy tego obszaru zwiększy się iloczyn ruchu w jego obrębie. Zaleca się
zabudowę przejazdu kategorii B. Maksymalna prędkość pociągów 80 km/h.
Przejazd w ul. Żwirki i Wigury (km 1+548,565)

         Obecnie przejazd kategorii D. Przejazd zostanie przekwalifikowany do kategorii B. Maksymalna
prędkość pociągów 80 km/h.

Odcinek 3 –przejazd w ul. Żwirki i Wigury – Wrocław Lotnisko
Przejazd w ul. Radarowej (km 4+017,64)

         Zakłada się zabudowanie przejazdu kategorii B. Maksymalna prędkość pociągów 80 km/h.
Przejazd w drodze polnej (km 5+270,876)

         Zakłada się zabudowę przejazdu kategorii D.
Przejazd w drodze polnej (km 6+647,165)

         Zakłada się zabudowę przejazdu kategorii D.



         Koszt budowy konstrukcji jednego przejazdu wynosi ok. 300 000 zł.




                                                   20
Wstępne studium wykonalności dla zadania pn.:
Rewitalizacja linii kolejowej Wrocław – Lotnisko
Etap III – Analiza techniczna


7     Obiekty inżynieryjne

    7.1      Wariant 1

          W ramach wariantu 1 przewiduje się remont 1 przepustu za kwotę 100 000 zł. Przewiduje się
również zabudowę ośmiu przepustów ustandaryzowanych z blach falistych o koszcie netto 250 000 zł.
Daje to kwotę 2 000 000 zł netto.
Tabela 10. Szacunkowe koszty budowy obiektów inżynieryjnych w wariancie 1
Kilometraż     Typ                     Zakres budowy                           Koszt netto
0+979,64       Przepust   rurowy       Naprawa, modernizacja przepustu         100 000 zł
2+779,274      Przepust   rurowy       Budowa przepustu z blachy falistej      250 000
3+524,899      Przepust   rurowy       Budowa przepustu z blachy falistej      250 000
4+113,653      Przepust   rurowy       Budowa przepustu z blachy falistej      250 000
4+500,422      Przepust   rurowy       Budowa przepustu z blachy falistej      250 000
4+770,684      Przepust   rurowy       Budowa przepustu z blachy falistej      250 000
7+572,743      Przepust   rurowy       Budowa przepustu z blachy falistej      250 000
7+863,239      Przepust   rurowy       Budowa przepustu z blachy falistej      250 000
8+264,245      Przepust   rurowy       Budowa przepustu z blachy falistej      250 000
9+868,012      Przepust   rurowy       Budowa przepustu z blachy falistej      250 000
                                                                       Razem   2 100 000




    7.2      Wariant 2

          W ramach wariantu 2 przewiduje się remont 1 przepustu za kwotę 100 000 zł. Przewiduje się
również zabudowę ośmiu przepustów ustandaryzowanych z blach falistych o koszcie netto 250 000 zł.
Daje to kwotę 2 000 000 zł netto. W wariancie 2 należy uwzględnić również koszt budowy mostu
ramowego żelbetowego na rzece Kasina. Koszt takiego obiektu to ok. 500 000 zł netto
Tabela 11. Szacunkowe koszty budowy obiektów inżynieryjnych w wariancie 2
Kilometraż     Typ                     Zakres budowy                           Koszt netto
0+515,246      Most na Kasinie         Budowa mostu ramowego żelbetowego       500 000
0+905,977      Przepust rurowy         Naprawa, modernizacja przepustu         100 000 zł
2+705,611      Przepust rurowy         Budowa przepustu z blachy falistej      250 000
3+451,236      Przepust rurowy         Budowa przepustu z blachy falistej      250 000
4+039,99       Przepust rurowy         Budowa przepustu z blachy falistej      250 000
4+426,759      Przepust rurowy         Budowa przepustu z blachy falistej      250 000
4+697,021      Przepust rurowy         Budowa przepustu z blachy falistej      250 000
7+499,08       Przepust rurowy         Budowa przepustu z blachy falistej      250 000
7+789,576      Przepust rurowy         Budowa przepustu z blachy falistej      250 000
8+190,582      Przepust rurowy         Budowa przepustu z blachy falistej      250 000
9+794,349      Przepust rurowy         Budowa przepustu z blachy falistej      250 000
                                                                       Razem   2 600 000




                                                   21
Wstępne studium wykonalności dla zadania pn.:
Rewitalizacja linii kolejowej Wrocław – Lotnisko
Etap III – Analiza techniczna


8     Obiekty kubaturowe

          W ramach zadania budowy linii do lotniska zakłada się budowę stacji końcowej Port Lotniczy
oraz przystanek Krzeptów. W przypadku Portu Lotniczego zakłada się budowę dwóch peronów
jednokrawędziowych kierunkowych. W przypadku Krzeptowa wystarczający jest jeden peron
jednokrawędziowy.

          Na stacji Wrocław Zachodni zakłada się w wariancie 1 wybudowanie nowego peronu
przeznaczonego do obsługi wyłącznie linii do lotniska. W przypadku wariantu 2 zakłada się
pozostawienie układu peronów w dotychczasowym układzie.


    8.1      Perony i budynki

Perony

          Peron jest obiektem budowlanym, przy którym wzdłuż jego krawędzi zatrzymują się pojazdy
szynowe przeznaczony jest do wsiadania i wysiadania podróżnych. Ze względu na pełnioną funkcję
powinien być usytuowany równolegle do osi toru, a także w odległości określonej wymogami skrajni
budowli. Długość peronu powinna przynajmniej odpowiadać długości zatrzymujących się pociągów.
W zależności od potrzeb technologicznych przy projektowaniu peronów i przystanków osobowych
powinno się ustalić:

                 liczbę peronów oraz liczbę krawędzi peronowych,

                 odpowiednie usytuowanie peronów, wynikające z położenia peronów względem
                  torów,

                 sposób dojścia do peronów,

                 możliwość obsługi osób niepełnosprawnych.

          Zgodnie z podziałem budowli kolejowych zawartym w §4 pkt 2a i 2b rozporządzenia Ministra
Transportu i Gospodarki Morskiej z dnia 10 września 1998 r. w sprawie warunków technicznych, jakim
powinny odpowiadać budowle kolejowe i ich usytuowanie (Dz. U. z 1998 r., Nr 151, poz.987), jako
kolejowe budowle towarzyszące określa się między innymi:

                 budowle i urządzenia związane z obsługą przewozów osób i rzeczy,

                 budowle zaplecza technicznego taboru kolejowego i dróg szynowych,

§8 ust.2 pkt 2 i 3 cytowanego rozporządzenia określa wyposażenie techniczne linii kolejowej,
a w szczególności następujące budowle i urządzenia:

                 związane z obsługą przewozu osób i rzeczy,

                 zaplecza technicznego taboru kolejowego.

          Minimalne rozstawy torów, pomiędzy którymi będą usytuowane perony określono w §45 ust. 2
i 3, a w Dziale VI Kolejowe budowle towarzyszące Rozdziale 1 Obiekty do obsługi podróżnych w § 98
i 99 opisano charakterystyki tych obiektów. Rozdział 2 Przejścia przez tory opisuje wymagania dla
przejść. Rozdział 3 Obiekty dla obsługi przewozów towarowych określa rodzaje obiektów i urządzeń do
przeładunku towarów. Rozdział 4 Obiekty zaplecza technicznego taboru kolejowego omawia potrzeby


                                                   22
Wstępne studium wykonalności dla zadania pn.:
Rewitalizacja linii kolejowej Wrocław – Lotnisko
Etap III – Analiza techniczna


wyposażenia stacji w lokomotywownie, wagonownie i układy torowe z tym związane. Rozdział 5
Budowle i urządzenia sterowania ruchem kolejowym w ramach obiektów kubaturowych omawia
nastawnie, których liczba i konstrukcja zależy od zastosowanych urządzeń srk, względów ruchowych
i możliwości rozbudowy układów torowych. Ze względu na zapis §137 ust.2 przy modernizacji budowli
kolejowych przepisy Rozporządzenia stosuję się, co skutkuje koniecznością wystąpienia o odstępstwa
lub przeprojektowaniem układów torowych do stanu zgodnego z Rozporządzeniem. Odległość
krawędzi peronu od osi toru powinna być zgodna z wymogami skrajni i wynosić 1,725 m, przy czym
dla peronu w łuku odległość tę należy zwiększyć zgodnie z wymogami skrajni budowli określonymi
w Polskich Normach. Dla projektu kolei standardową wysokość peronu przyjęto 0,76 m w wariancie
1 i 2. W warunkach technicznych, jakim powinny odpowiadać budowle kolejowe i ich usytuowanie
(Dz. U. 1998, nr 151, poz. 987) minimalną długość peronu, w zależności od długości zatrzymujących
się pociągów określono w § 98 ust.9 pkt 3) jako 200 m, to jest dla pociągów 8-wagonowych.
W przypadku kolei miejskiej o charakterze długości peronów określane w Rozporządzeniu ze względu
na przewidywane do kursowania składy pociągowe (tramwajowe) i konieczność ograniczenia kosztów
inwestycji są wielkościami przekraczającymi potrzeby. Dla przewidywanych długości pociągów
całkowicie wystarczająca jest długość 150 m, pozwalająca na przyjmowanie pociągów złożonych
z dwóch elektrycznych zespołów trakcyjnych. Koszt wykonania metra kwadratowego peronu przyjęto
jako 800 zł dla peronu o wysokości 0,76 m. W tabeli poniżej przedstawiono metodykę szacowania
kosztu budowy peronu o wysokości 0,76 m powyżej główki szyny, długości 150m i szerokości 3m.
Tabela 12. Szacunkowe koszty budowy peronu o wysokości 0,76 m




                                                   23
Wstępne studium wykonalności dla zadania pn.:
Rewitalizacja linii kolejowej Wrocław – Lotnisko
Etap III – Analiza techniczna


        Bior¹c pod uwagź powyæsze pozycje i zak³adaj¹c ok. 10 % wartoœci robót na roboty
nieprzewidziane i za generalne wykonawstwo otrzymujemy kwotź oko³o 240 000,00 z³ netto za
300 m² peronu co daje po podzieleniu przyjźt¹ kwotź 800 z³ za m² peronu.


Tabela 13. Szacunkowe koszty budowy peronów w wariancie 1
 L.p.             Lokalizacja przystanków                 Liczba peronów           Kwota netto
1       Port Lotniczy                                            2                  480 000,00
2       Krzeptów                                                 1                  240 000,00
3       Wrocław Zachodni                                         1                  480 000,00
                                               Suma              3                 1 200 000,00


Tabela 14. Szacunkowe koszty budowy peronów w wariancie 2
 L.p.             Lokalizacja przystanków                 Liczba peronów           Kwota netto
1       Port Lotniczy                                            2                  480 000,00
2       Krzeptów                                                 1                  240 000,00
                                               Suma              3                  720 000,00


Budynki

        Budynki powinny spełniać odpowiednie normy konstrukcyjne w zakresie odporności na
wstrząsy, a przeznaczone dla celów użyteczności publicznej powinny być odpowiednio oświetlone oraz
spełniać   kryteria   ochrony      przeciwpożarowej.    Pomieszczenia   przeznaczone   dla   urządzeń
komputerowych muszą posiadać instalację klimatyzacji.

        Zakłada się wybudowanie jednego budynku na stacji Port Lotniczy.

Wiaty

        Na stacjach i przystankach osobowych powinno się budować w miarę możliwości wiaty
zabezpieczające osoby przebywające na peronie przed opadami atmosferycznymi, w dostosowaniu do
istniejących lub przewidywanych lokalizacji przejść dla pieszych, stanowiących dojście do peronu lub
poczekalni peronowych, przy czym:

               architektura wiat powinna być dostosowana do otoczenia i charakteru budynku
                dworca oraz obiektów usytuowanych na peronie,

               szerokość wiaty powinna uwzględniać wymagania skrajni budowli,

               odprowadzenie wód opadowych z wiaty do przewodów kanalizacyjnych lub rowów
                odwadniających powinno odbywać się za pomocą rur spustowych,

               wiata nie może zasłaniać widoczności sygnałów i wskaźników kolejowych,

               wiata stalowa na liniach zelektryfikowanych powinna być zabezpieczona przed korozją
                elektrolityczną.

        Poniżej przedstawiono kilka typów wiat. Wiata typu VEGA jako dwustronna jest wskazana dla
peronów wyspowych. Wiaty typu URBI lub MERCURY do ustawienia na lub poza obrębem peronów
jednokrawędziowych z zachowaniem warunków przejścia poza pasem bezpieczeństwa.




                                                   24
Wstępne studium wykonalności dla zadania pn.:
Rewitalizacja linii kolejowej Wrocław – Lotnisko
Etap III – Analiza techniczna


         Poniżej przedstawiono przykładowy krótki opis ze wskazaniem wielkości i zakresu zamówienia
do uzgodnienia i zamieszczenia potem w SIWZ dotyczący wiat peronowych. Zamówienie dotyczy
dostawy montażu odpowiedniej liczby wiat peronowych o następujących parametrach:

                 długość wiaty liczona u podstawy min.4m±0,5m,

                 szerokość ścian bocznych u podstawy 0,5m± 10cm,

                 wysokość wiaty 2,5m± 10cm.

         Wiaty powinny spełniać poniższe wymagania:

                 konstrukcja - profile stalowe ocynkowane lub aluminiowe,

                 konstrukcja malowana proszkowo na kolor: biały Ral 9010,

                 przedni profil lewego boku powinien być pomalowany na kolor niebieski Ral 5015,

                 przedni profil prawego boku powinien być pomalowany na kolor granatowy Ral 5022,

                 przedni profil dachu powinien być pomalowany w 25% długości w kolorze zielonym
                  Ral6018, następnie w 25% długości w kolorze granatowych Ral 5022, zaczynając od
                  prawej strony, (wzór kolorystyki wiat powinien stanowić załącznik do SIWZ),

                 elementy metalowe konstrukcji ławki oraz elementy podparcia i płaskowniki
                  przytrzymujące szyby powinny być pomalowane w kolorze zielonym Ral 6018,

                 pokrycie dachowe wykonane z poliwęglanu komorowego przyciemnianego grubości
                  min. 4 mm w kształcie spłaszczonego owalu,

                 konstrukcja dachu powinna umożliwiać odprowadzenie wody opadowej,

                 ściany boczne i tylna przeszklone, szyby ze szkła hartowanego o grub. min. 8 mm,

                 wiata powinna być wyposażona w ławkę o szerokości min. 50 cm z siedziskiem
                  wykonanym z drewna ( listwy drewniane), konstrukcja stalowa ławki zabezpieczona
                  antykorozyjnie powinna być połączona z konstrukcją wiaty oraz stopki ławki powinny
                  być dostosowane do montażu do podłoża, długość ławki min. 60% długości wiaty,

                 wiaty na górnym profilu mają mieć przymocowane tablice stalowe na naklejenie
                  nazwy przystanku o wymiarach: długość 200 cm, szerokość16 cm (tablica powinna
                  mieć możliwość demontażu i montażu), zabezpieczone antykorozyjnie pomalowane
                  w kolorze białym

                 zamówienie obejmuje dostarczenie/montaż wiat peronowych do Wrocławia pod
                  wskazany adres w uzgodnieniu z Zamawiającym.

         W projekcie kolei przewiduje się budowę wiat na każdym z peronów. Uwzględniając wytyczne
odnośnie wymaganych norm, koszt wybudowania jednej wyniesie około 30 000 zł.
Tabela 15. Szacowane koszty budowli i wiat
           Lokalizacja                       Koszt [tys. zł]                       Uwagi
                                                Budynki
                                                                      Nastawnia+pomieszczenia obsługi
Stacja Port Lotniczy                             500,00
                                                                      podróżnych
                                                 Wiaty
Stacja Port Lotniczy                              60


                                                   25
Wstępne studium wykonalności dla zadania pn.:
Rewitalizacja linii kolejowej Wrocław – Lotnisko
Etap III – Analiza techniczna

Przystanek Krzeptów                                60
Stacja Wrocław Zachodni                            60
             Razem                            680,00




                                                   26
Wstępne studium wykonalności dla zadania pn.:
Rewitalizacja linii kolejowej Wrocław – Lotnisko
Etap III – Analiza techniczna


9     Systemy sterowania i kierowania ruchem

    9.1      Wymagania

          Zapewnienie bezpiecznego i sprawnego ruchu z zakładaną częstotliwością i prędkością
maksymalną 120 km/h, bez względu na kategorię linii po której ona przebiega, wymaga zastosowania
odpowiednich urządzeń sterowania ruchem kolejowym (urządzeń srk) na posterunkach ruchu,
szlakach oraz na jednopoziomowych skrzyżowaniach linii kolejowej z drogami kołowymi (na
przejazdach kolejowych). Urządzenia te muszą zatem spełniać szereg wymagań, a w szczególności:

                   zapewnić wymagane bezpieczeństwo i płynność ruchu na posterunkach ruchu,
                    szlakach i przejazdach kolejowych;

                   zapewnić, wymaganą przepisami prawa, sygnalizację na semaforach i sygnalizatorach;

                   zapewnić bezpieczną obsługę bocznic i punktów ładunkowych;

                   być przyjazne w obsłudze dla personelu obsługi, odpowiedzialnego za prowadzenie
                    ruchu, a zwłaszcza umożliwiać sterowanie urządzeniami na określonym obszarze
                    z jednego miejsca z rejestracją wykonanych czynności i wydanych poleceń;

                   być łatwe w eksploatacji, o możliwie długich resursach między kolejnymi zabiegami
                    konserwacyjnymi i utrzymaniowymi, z sygnalizacją i rejestracją występujących usterek
                    i nieprawidłowości.


    9.2      Stan wyjściowy do wyposażenia w urządzenia srk

          Obecnie istniejące odcinki linii kolejowych wyposażone są w różne typy urządzeń srk – od
najprostszych urządzeń kluczowych z sygnalizacją kształtową (urządzenia zewnętrzne nastawiane są
ręcznie w terenie), poprzez urządzenia mechaniczne z sygnalizacją kształtową i świetlną (urządzenia
zewnętrzne        nastawiane   są   z     nastawni   za    pomocą    dźwigni   mechanicznych),     urządzenia
elektromechaniczne z sygnalizacją świetlną (zależności realizowane są na drodze mechanicznej lub
elektrycznej, a urządzenia zewnętrzne nastawiane są elektrycznie), urządzenia przekaźnikowe
(realizacja zależności i nastawianie urządzeń realizowane jest na drodze elektrycznej z pulpitu
nastawczego), po urządzenia przekaźnikowe z pulpitem komputerowym (zależności realizowane są na
drodze     elektrycznej,   natomiast      nastawianie     urządzeń   odbywa    się   za   pomocą   urządzenia
komputerowego). Prowadzenie ruchu pociągów na szlakach realizowane jest również według wielu
standardów – od najprostszego polegającego na telefonicznym zapowiadaniu pociągów (bez urządzeń
srk - na szlaku może znajdować się tylko jeden pociąg), poprzez półsamoczynną, mechaniczną
blokadę liniową, bądź przekaźnikową (na szlaku może znajdować się tylko jeden pociąg), po
samoczynną, przekaźnikową blokadę liniową (na szlaku pomiędzy kolejnymi posterunkami ruchu może
znajdować się więcej niż jeden pociąg).


    9.3      Zakres modernizacji urządzeń srk

          Przyjmując przyjęte w poprzednim punkcie założenia wyjściowe proponuje się wyposażyć
posterunki ruchu i szlaki w sterowane z jednego miejsca, komputerowe urządzenia srk, jako
rozwiązanie docelowe. Do stwierdzania niezajętości torów stacyjnych i szlakowych zastosowane


                                                          27
Wstępne studium wykonalności dla zadania pn.:
Rewitalizacja linii kolejowej Wrocław – Lotnisko
Etap III – Analiza techniczna


zostałyby licznikowe obwody torowe. Na szlakach zostałaby zabudowana komputerowa, samoczynna,
dwukierunkowa         blokada        liniowa.   Na    przejazdach     kolejowych      wymagających,       zgodnie
z rozporządzeniem         ministra    transportu i gospodarki morskiej, urządzeń            sterowania    ruchem
zabudowane zostałyby urządzenia komputerowe samoczynnej sygnalizacji świetlnej z półrogatkami
(przejazdy kat. B) lub bez półrogatek (przejazdy kat. C), względnie rogatki (przejazdy kat. A).
Wszystkie urządzenia srk na posterunkach ruchu i na szlakach oraz na przejazdach kat. A,
spełniających wymagania do obsługi z odległości, sterowane będą z lokalnego centrum sterowania
(LCS) zlokalizowanego na stacji Wrocław Port Lotniczy.

         Urządzenia zabudowane pomiędzy stacją Wrocław Zachodni i Wrocław Port Lotniczy
obsługiwane będą z LCS zlokalizowanego na nowo wybudowanej stacji Wrocław Port Lotniczy.
W budynku tego LCS proponuje się zlokalizować również centrum diagnostyczne urządzeń srk dla tego
odcinka linii.

Odcinek Wrocław Zachodni – Wrocław Port Lotniczy
Odcinek linii nr 274

         Nowe rozjazdy wbudowane w układ torowy w rejonie stacji Wrocław Zachodni zostaną
włączone do sterowania ze stacji Wrocław Zachodni. Na szlakach stycznych do powyższych
posterunków ruchu nastąpi również przebudowa (modyfikacja) istniejących urządzeń samoczynnej
blokady liniowej, dostosowująca ją do nowych układów torowych na linii. Szacowany ich koszt (wraz
z projektami) wynosi około 1,77 mln zł.
Odcinek linii Wrocław Zachodni – Wrocław Port Lotniczy

         Na powstałym odcinku linii zostaną zabudowane: na posterunkach ruchu – komputerowe
urządzenia srk, na szlakach – komputerowa, samoczynna, dwukierunkowa blokada liniowa, na
przejazdach kolejowych nowe, komputerowe urządzenia sterowania ruchem.

         W zakresie urządzeń srk nowe posterunki ruchu będą obejmowały stację Wrocław Port
Lotniczy.

         Na szlakach pomiędzy posterunkami ruchu zabudowana zostanie komputerowa, samoczynna,
dwukierunkowa blokada liniowa oraz wykonane jej powiązania z urządzeniami stacyjnymi. Na szlakach
stycznych do utworzonego obszaru zdalnego sterowania zabudowana zostanie komputerowa,
samoczynna, dwukierunkowa, jednoodstępowa blokada liniowa wraz z powiązaniami z urządzeniami
stacyjnymi ograniczającymi ten szlak.
Zakres robót oraz szacowany ich koszt (wraz z projektami) przedstawia poniższa tabela.
Tabela 16. Zakres i koszt robót w urządzeniach srk na odcinku Wrocław Zachodni –
Wrocław Port Lotniczy
                                                                                                     Koszt [tys.
                 Obiekt                                        Zakres robót
                                                                                                       PLN]
                                          - zabudowa komputerowych urządzeń srk
Stacja Wrocław Zachodni                                                                                  4 860
                                          - włączenie urządzeń do LCS Wrocław Port Lotniczy
                                          - zabudowa komputerowej, dwukierunkowej, samoczynnej
                                            blokady liniowej (3 odstępy, szlak jednotorowy)
szlak Wrocław Zachodni – Wrocław
                                          - włączenie nowej sbl do urządzeń st. Wrocław Zachodni i       4 320
Port Lotniczy
                                            st. Wrocław Port Lotniczy
                                          - budowa nowych urządzeń na przejazdach
                                          - zabudowa komputerowych urządzeń srk i włączenie do
st. Wrocław Port Lotniczy                                                                             15 900
                                            LCS


                                                          28
Wstępne studium wykonalności dla zadania pn.:
Rewitalizacja linii kolejowej Wrocław – Lotnisko
Etap III – Analiza techniczna

                                     - budowa LCS
                                     - powiązania z LCS
RAZEM                                                                                     25 080
10     Urządzenia telekomunikacji

     10.1   Stan istniejący sieci telekomunikacyjnej

        Główne składniki obecnej infrastruktury telekomunikacyjnej na rozpatrywanych odcinkach to:

                linie kablowe,

                urządzenia komutacyjne,

                urządzenia łączności technologicznej (ruchowej),

                urządzenia łączności radiowej,

                urządzenia informacji podróżnych i sygnalizacji czasu,

Na interesującym nas odcinku Wrocław Zachodni – Wrocław Port Lotniczy brak obecnie jakiejkolwiek
sieci telekomunikacji kolejowej


     10.2   Charakterystyka modernizacji

        Rozważana budowa i modernizacja odcinków linii kolejowych nie wpływają praktycznie na
zakres prac w dziedzinie telekomunikacji, stąd też nie omawiano wariantów modernizacji w tej branży.
Modernizacja w zakresie infrastruktury telekomunikacyjnej będzie obejmowała:

                odbudowę infrastruktury kablowej tam, gdzie stan kabli jest zły oraz ułożenie kabli
                 tam, gdzie obecnie ich nie ma,

                wymianę i uzupełnienie urządzeń technologicznej łączności przewodowej,

                wymianę i uzupełnienie systemów technologicznej łączności radiowej,

                uzupełnienie i unowocześnienie systemów informacji dla podróżnych; Na każdej stacji
                 i przystanku osobowym powinien być zainstalowany zegar oraz zestaw nagłośniający.
                 Ponadto na stacjach, na których prognozuje się większą wymianę pasażerów
                 proponuje się zabudowę tablicowych systemów informacji wizualnej.

                Opcjonalnie - zainstalowanie kompletu urządzeń do detekcji stanów awaryjnych
                 taboru.

        Modernizacja powinna być połączona z cyfryzacją systemów i ich przystosowaniem do
współczesnych wymagań w zakresie funkcjonalności.

        Wdrożenie systemu GSM-R może być rozważane fakultatywnie Ze względu jednak na potrzebę
modernizacji obecnego systemu radiołączności należy przyjąć, że docelowo radiołączność będzie
musiała być oparta na systemie GSM-R.

        Z uwagi na wspomnianą konieczność docelowego ujednolicenia radiołączności i całkowitego
zastąpienia systemu 150 MHz systemem GSM-R, należy już obecnie przewidzieć odpowiednie zasoby
transmisyjne    tak, by nie       było potrzeby wznawiania     robót   ziemnych ani wymiany nowo
zainstalowanego sprzętu.


                                                     29
Wstępne studium wykonalności dla zadania pn.:
Rewitalizacja linii kolejowej Wrocław – Lotnisko
Etap III – Analiza techniczna




   10.3    Zakres rzeczowy modernizacji

       W wyniku wstępnej analizy stanu istniejącego oraz potrzeb obejmujących sterowanie
i kierowanie ruchem, zakłada się wykorzystanie na wszystkich odcinkach linii kabli typu TKM oraz kabli
optotelekomunikacyjnych.

       Istotnym zagadnieniem – szczególnie w aspekcie przyszłego wdrażania łączności GSM-R – jest
zapewnienie bezpiecznych kanałów transmisyjnych, czyli zastosowanie takich rozwiązań w zakresie
infrastruktury stacjonarnej, które będą możliwie odporne na uszkodzenia. Jednym ze znanych
rozwiązań w dziedzinie sieci SDH jest stosowanie sieci o topologii pierścieniowej zamiast otwartej,
łańcuchowej. Jej zaletą jest możliwość stworzenia dla każdej z par węzłów drogi alternatywnej, czyli
protekcji w przypadku uszkodzenia pojedynczego węzła lub przęsła.

       Tam, gdzie będzie to możliwe, proponuje się ułożyć nowe kable po przeciwnej stronie toru
w stosunku do kabli Telekomunikacji Kolejowej. Kable te powinny być układane pod rzekami i rowami
w rurociągach, co ma na celu uniknięcie problemów występujących przy remontach konstrukcji
mostowych oraz zapobieżenie aktom dewastacji.

       Szczegółowe przeznaczenie włókien kabli OTK i par (czwórek) kabli TKM będzie określone na
etapie tworzenia dokumentacji projektowej, po uwzględnieniu wszystkich potrzeb wynikających z
zakresu modernizacji.

       Istotnym     utrudnieniem      w   procesie   inwestycyjnym   może   być    problem   kolizji   kabli
telekomunikacyjnych (również należących do innych operatorów) z modernizowanym układem
torowym i przebudowywanymi obiektami. Aktualna norma PN-T-45002 regulująca zasady krzyżowania
kabli telekomunikacyjnych z torami kolejowymi wymaga głębszego układania przepustów kablowych
pod torami w stosunku do obowiązującej wcześniej. Oznacza to potrzebę weryfikacji istniejących
przepustów pod torami (wykonanych przed 1998 rokiem) i ew. ich doprowadzenie do stanu zgodności
z obowiązującymi wymaganiami.

Urządzenia informacji dla podróżnych oraz dystrybucji czasu

       Należy przewidzieć na każdej stacji zegar oraz instalację nagłośnieniową. System generacji
zapowiedzi głosowych powinien być systemem w możliwie wysokim stopniu zautomatyzowanym, gdzie
generacja odpowiedniego komunikatu następuje z wykorzystaniem informacji o zbliżaniu się pociągu
odbieranej z automatyki srk (np. z SBL) skojarzonej z odpowiednim zleceniem odcinkowego dyżurnego
ruchu. Zdalnie również odbywa się załączanie/wyłączanie lokalnych wzmacniaczy mocy.

       Ze względu na określone niedostatki informacji megafonowej („ulotność”, pogorszona
zrozumiałość w trudniejszych warunkach akustycznych, ograniczona dostępność dla pasażerów
z dysfunkcją słuchu) na stacjach, na których prognozuje się znaczniejszą wymianę pasażerów, należy
uzupełnić system informacji podróżnych o urządzenia informacji wizualnej (tablice wyświetlające na
bieżąco informacje o ruchu pociągów, tj. o czasie przyjazdów / odjazdów, opóźnieniach itp.).
Stosownie do potrzeb powinny to być dwustronne tablice peronowe, a na stacjach wyposażonych
w budynek dworcowy również zbiorcze tablice odjazdów (na stacjach końcowych ew. również tablice
przyjazdów) zamontowane w halach dworcowych, wraz z niezbędnym systemem sterującym.
W zależności   od    częstotliwości   kursowania     pociągów   warto   rozważyć     alternatywnie,    (lub



                                                     30
Wstępne studium wykonalności dla zadania pn.:
Rewitalizacja linii kolejowej Wrocław – Lotnisko
Etap III – Analiza techniczna


uzupełniająco) system uproszczony, stosowany powszechnie w metrze, tj. wyświetlanie czasu od
chwili odjazdu poprzedniego pociągu.

         Przewiduje się, że zamontowane na / w obiektach kolejowych zegary będą sterowane
z central zegarowych rozmieszczonych w LCS-ach. W zależności od rozwiązania szczegółowego
centrale te mogą działać z wykorzystaniem wzorcowych sygnałów czasu, emitowanych ze specjalnego,
długofalowego       nadajnika     radiowego       DCF-77     pracującego        w    oparciu     o    wzorzec     atomowy
(zlokalizowanego koło Frankfurtu nad Menem w RFN) lub w oparciu o satelitarny system lokalizacyjny
(GPS lub w późniejszym okresie GALILEO). W przypadku zaniku zewnętrznego sygnału radiowego
centralka powinna przełączyć się na pracę z wysokostabilnym generatorem wewnętrznym. Po starcie
(włączeniu zasilania) centralka powinna dosynchronizować sterowane zegary do aktualnego czasu.
Linie sterujące zegarami powinny być odporne na zwarcia i przeciążenia.

Urządzenia telewizji użytkowej TVU (CCTV)

         Zgodnie z rozporządzeniem MTiGM przejazdy spełniające określone warunki mogą być
obsługiwane i nadzorowane zdalnie. Dla zapewnienia zdalnej obserwacji i nadzoru takich przejazdów
przez obsługę LCS lub najbliższej nastawni przyjęto zastosowanie systemu dozorowej telewizji
użytkowej TVU (oznaczanej też symbolem CCTV - Closed-Circuit TeleVision) z dwukierunkowym
systemem audio dla przekazywania komunikatów i ostrzeżeń w sytuacjach wystąpienia zagrożeń.

         Dla transmisji wizji i fonii na odcinku od nadzorowanego przejazdu do najbliższego węzła ZSŁK
mogą być stosowane karty Ethernet 10/100 urządzeń transmisyjnych SDH zlokalizowanych w szafkach
systemu ZSŁK. Punkty obserwacji CCTV będą wyposażone w kamery (zalecane kolorowe)
z przetwornikiem CCD o czułości co najmniej 0,1 lx i automatyczną przysłoną. System będzie
wyposażony w bezprzerwowe zasilanie awaryjne, umożliwiające pracę przez co najmniej 8 godzin
w sytuacji braku zasilania z sieci elektroenergetycznej. Ze względu na wymogi prawne przewidywana
jest archiwizacja obrazu co najmniej z ostatnich 48 godzin. W przypadku stosowania wydzielonego
łącza transmisyjnego na potrzeby systemu TVU, w zależności od odległości między obsługiwanym
przejazdem a miejscem obsługi, jako medium transmisyjne mogą być użyte kable miedziane lub
powinno być wykorzystane łącze światłowodowe.

         Pełniejszy zakres zabudowy systemów telewizji użytkowej będzie mógł być określony na
etapie ustalenia przejazdów, na których zastosowanie systemów TVU będzie celowe.

         Należy zwrócić uwagę, że kolejowe systemy TVU obejmują nie tylko zdalny nadzór
przejazdów, ale również zdalny nadzór miejsc narażonych na działania przestępcze (w tym również
wagonów). Systemy takie nie muszą spełniać warunków stawianych urządzeniom służącym do
zabezpieczania ruchu kolejowego.

Tabela 17. Szacowane nakłady finansowe [tys. PLN].
                                                                   Cena kpl.               Liczba                Koszt
Lp.   Pozycja kosztów                                              [tys. PLN]                  szt.             tys. PLN
 1                                2                                      3                      4                  5
1     Inst. Urządzeń torowych z f. GM, GH i PM                               1 000                       1         1 000
3     Terminal dyżurnego odcinkowego w LCS                                     28                        2               56
      Ogółem*                                                                                                      1 056
* - bez uwzględnienia terminali dyżurnych ruchu w nastawniach lokalnych oraz dla służb utrzymaniowych

Radiołączność 150 MHz


                                                            31
Wstępne studium wykonalności dla zadania pn.:
Rewitalizacja linii kolejowej Wrocław – Lotnisko
Etap III – Analiza techniczna


        W przypadku konieczności wyposażenia linii w radiołączność 150 MHz, stacje bazowe systemu
powinny być dostosowane do trybu pracy ze zdalnym sterowaniem. Rozmieszczenie stacji bazowych
oraz wysokości masztów antenowych powinno wynikać z procesu planowania radiowego i badań
warunków propagacyjnych. Dla zapewnienia ciągłości pracy stacji bazowych w sytuacji awarii zasilania
z sieci elektroenergetycznej należy przewidzieć zasilanie rezerwowe (na minimum 8 godzin)
z wbudowanego układu bezprzerwowego zasilania awaryjnego UPS.

        Z uwagi na stan starszych radiotelefonów oraz niespełnianie przez nie aktualnych wymagań
zaleca się intensyfikację procesu planowej wymiany radiotelefonów stacjonarnych w sieci pociągowej.
W miarę możliwości wymiana powinna objąć też sprzęt pracujący w innych sieciach. Na odcinkach nie
objętych obecnie zasięgiem radiołączności należy przewidzieć, instalację radiotelefonów dla sieci
pociągowej i innych - zgodnie z potrzebami. Z uwagi na brak informacji o liczbie pociągów
obsługujących linię, oraz na fakt, że ich wyposażenie w radiotelefony kabinowe będzie leżało w gestii
dysponenta taboru – kosztów tych radiotelefonów w pracy nie ujęto. Zaleca się, aby w taborze
obsługującym linię były montowane kabinowe radiotelefony dwusystemowe lub takie, które mają
łatwą możliwość rozbudowy o moduł GSM-R.

Radiołączność GSM-R

        Przy szacowaniu kosztów przyjęto założenie, że takie elementy infrastruktury jak MSC i BSC
będą funkcjonowały i stacje bazowe linii będą przyłączone do sterownika BSC obsługującego północny
fragment linii E65. Przyjęto także wstępnie, że będą instalowane BTS-y typu szlakowego i średnia
odległość między nimi będzie wynosiła ok. 5 km. Wyniki wstępnego planowania radiowego mogą
jednak wskazywać na celowość instalacji również stacji obszarowych oraz takie rozmieszczenie
BTS-ów, że ich liczba będzie inna.

Tabela 18. Minimalne szacowane nakłady finansowe.
                                                                            Cena             Koszt
Lp.                 Element infrastruktury                     Liczba
                                                                         [tys. PLN]        [mln PLN]
1     Stacja bazowa szlakowa                               7                      240           1,680
2     Stacja bazowa obszarowa                              0                      420                  0
3     Terminal stacjonarny (dyżurnego, dyspozytora)        2                          56        0,112
4     Terminal noszony                                     20                     2,5           0,050
      Ogółem                                                                                    1,842




                                                      32
Wstępne studium wykonalności dla zadania pn.:
Rewitalizacja linii kolejowej Wrocław – Lotnisko
Etap III – Analiza techniczna



11       System zasilania i sieć trakcyjna

          Zakłada się, że projektowana linia będzie nie zelektryfikowana. Elektryfikacja linii rozpatrzona
została jako rozwiązanie alternatywne, żeby umożliwić ew. elektryfikację w przyszłości. Przewidziana
wariantowa elektryfikacja dotyczyła odcinka jednotorowego od stacji Wrocław Zachodni do punktu
końcowego Wrocław Lotnisko.


     11.1    Zasilanie sieci trakcyjnej

          Przewiduje się, że w wariancie ma być wykorzystywana trakcja elektryczna zasilana napięciem
3 kV DC. System zasilania sieci trakcyjnej zapewni dostarczanie energii do poruszania się pociągów
oraz     działania   innych   systemów,      przy   zachowaniu      wymaganych       parametrów     ilościowych
i jakościowych. Zakłada się modernizację linii do parametrów pozwalających na prowadzenie ruchu
pociągów pasażerskich z prędkością do 120 km/h i minimalnym następstwem 15 minut.

          Jako minimalne parametry układu zasilania przyjęto takie, przy których dla zakładanego ruchu
średnie napięcie użyteczne na pantografie dla każdego pociągu znajdującego się na analizowanym
obszarze nie będzie niższe niż 2700 V, a jego chwilowa wartość nie spadnie poniżej 2000 V oraz
zachowany będzie warunek wyłączalności prądów zwarć odległych – występujących przy sąsiedniej
podstacji.

          Sieć trakcyjna będzie zasilana przez istniejącą podstację PT Wrocław Zachodni. Układ zasilania
będzie uzupełniać nowa kabina sekcyjna Strachowice.

          Zasilanie tej podstacji może odbywać się z GPZ zasilającego lotnisko. Podstacja ta będzie
wyposażona w dwa 12-pulsowe zespoły prostownikowe o znamionowym prądzie wyprostowanym
minimum 1700 A w III klasie przeciążalności (PD1,7).

          Nowe podstacje i kabina sekcyjna powinny być włączone w system zdalnego sterowania.

          Dla zakładanego ruchu oraz pojazdów wyznaczono wartość średniego napięcia użytecznego na
pantografie, którego wartość dla poszczególnych odcinków jest następująca: PT Wrocław Zachodni –
PT Lotnisko: Uu = 3132 V.

          Zakres prac związanych modernizacją i budową elementów układu zasilania sieci trakcyjnej
oraz ich koszty przedstawiono w poniższej tablicy. Koszty prac zostały określone na podstawie danych
wskaźnikowych wyznaczonych na bazie innych projektów.
Tabela 19. Zakres prac związanych z modernizacją i budową elementów zasilania sieci trakcyjnej.
Obiekt                        Zakres prac                                                   Koszt [tys. zł]
                              Modernizacja podstacji:
                              − wymiana zespołów prostownikowych z PK-17 na 3 x PD-1,7,
                              − wymiana rozdzielni 3 kV;
                              − wymiana rozdzielni SN,
                              − wymiana celki minusowej wraz z urządzeniami
PT Wrocław Zachodni
                              ochrony ziemnozwarciowej i kontroli ciągłości kabli           11 820
(istniejąca)
                              powrotnych;
                              − modernizacja układów zasilania 220 V DC i 230/400 V AC;
                              − budowa kabli zasilaczy i powrotnych.
                              Remont linii zasilających
                              Remont budynku podstacji
KS Strachowice                Budowa nowej 3-polowe kabiny sekcyjnej                        3 250


                                                        33
Wstępne studium wykonalności dla zadania pn.:
Rewitalizacja linii kolejowej Wrocław – Lotnisko
Etap III – Analiza techniczna

                                                                              Razem    15 070


   11.2    Sieć trakcyjna

        Ze względu na ograniczenie spadków napięć oraz zapewnienie długich okresów pracy sieci bez
potrzeby wymiany przewodów jezdnych, w wariancie zakłada się zastosowanie na torach szlakowych
oraz głównych zasadniczych sieć o przekroju 420 mm2 (typu YC120-2CS150). Sieć typu YC120-
2CS150 jest siecią skompensowaną, uelastycznioną składająca się z:

               liny nośnej o przekroju 120 mm2 Cu,

               dwóch przewodów jezdnych ze stopu CuAg0,10 o przekroju 150 mm 2.

        Charakterystyczne parametry techniczno – dynamiczne sieci YC120-2CS150 są następujące:

               naciąg w linie nośnej 1907 daN,

               naciąg w przewodach jezdnych 2 x 1483 daN,

               rozpiętość maksymalna przęsła 65 m,

               wysokość konstrukcyjna 1,70 m,

               długość zawieszenia uelastyczniającego „Y” 17m,

               układ przęsła naprężenia 59 + 3 + 59 + 3 + 59 = 183 m.

        Na torach głównych dodatkowych, bocznych i przejściach rozjazdowych proponuje się
zastosowania sieci typu C120-C. Ze względu na podniesienie odporności sieci na ścieranie również
w torach bocznych zostaną zastosowane przewody jezdne ze stopu CuAg0,10.

        Sieć trakcyjna wykonana będzie w użyciem stalowych konstrukcji wsporczych posadawianych
na fundamentach palowych. Wszystkie konstrukcje wsporcze będą uszyniane grupowo przy pomocy
przewodu AFL 120 mm2 prowadzonego po słupach i podłączonego na końcach do szyn poprzez
ograniczniki niskonapięciowe wielokrotnego działania. Każda konstrukcja wsporcza winna być również
uziemiona przy pomocy uziomu prętowego. Rezystancja pojedynczego uziomu nie powinna
przekraczać 50 Ω, a rezystancja wypadkowa uziomów jednej sekcji uszynienia grupowego nie powinna
być większa od 2 Ω. Ilości i koszt budowy sieci dla poszczególnych odcinków zestawiono w poniższej
tablicy. Koszty budowy sieci zostały określone na podstawie danych wskaźnikowych wyznaczonych na
bazie innych projektów, przyjmując średni koszt budowy sieci YC120-2CS150 na poziomie 1050 tys.
zł/tkm, a sieci C120-C – 850 tys. zł/tkm.
Tabela 20. Zakres prac i koszty budowy sieci trakcyjnej.
Typ sieci              Długość [tkm]                                 Koszt [tys. zł]
YC120-2CS150           10,5                                          11 025
C120-C                 0,2                                           170
                                                           Razem     11 195


   11.3    Elektroenergetyka nietrakcyjna

        Przewiduje się zasilanie wszystkich odbiorów nietrakcyjnych z nowo wybudowanej linii potrzeb
nietrakcyjnych (LPN) 15 kV poprzez stacje transformatorowe SN/nn.

        Odcinki międzypodstacyjne LPN zasilane będą dwustronnie. Praca normalna linii odbywać się
będzie przy włączeniu zasilania z jednej strony i przy otwartym wyłączniku w polu wyjściowym

                                                   34
Wstępne studium wykonalności dla zadania pn.:
Rewitalizacja linii kolejowej Wrocław – Lotnisko
Etap III – Analiza techniczna


rozdzielni 15 kV podstacji lub odczepu. W przypadku zaniku napięcia na czynnym źródle zasilania, linia
zostanie automatycznie przełączona na zasilanie z drugiej strony za pomocą układu SZR.

        Linia 15 kV podzielona będzie odłącznikami sekcyjnymi umożliwiającymi odłączenie spod
napięcia poszczególnych jej odcinków dla dokonania napraw lub konserwacji oraz możliwości
utworzenia dwóch niezależnych ciągów zasilania. W przypadku konieczności wyłączenia spod napięcia
jednego odcinka linii pozostałe odcinki linii zasilane będą promieniowo z obydwu podstacji trakcyjnych.
Linie 15 kV LPN będą wykonane jako kablowe o przekroju minimum 70 mm2 Al. Docelowy przekrój
LPN zostanie określony na etapie projektu budowlanego, przy uwzględnieniu mocy wszystkich
przyszłych odbiorów nietrakcyjnych na modernizowanym odcinku linii. Zakłada się, że LPN będzie
przebiegać po terenie kolejowym. Z uwagi długie odcinki linii kablowych LPN zostanie zastosowana
kompensacja mocy biernej. Układy do kompensacji mocy biernej będą instalowane w podstacjach
trakcyjnych, z których będą zasilane te linie kablowe.

        Odbiory nietrakcyjne będą zasilane poprzez stacje transformatorowe 15/0,4 kV, zasilane
z omówionych powyżej LPN. Z uwagi na lokalizację stacji w sąsiedztwie stacji i przystanków oraz
w   terenie    silnie   zabudowanym, większość stacji          transformatorowych będzie        w   wykonaniu
budynkowym (kontenerowym). Określenie docelowej mocy i lokalizacji stacji transformatorowych
będzie możliwe na etapie projektu budowlanego, po określeniu ostatecznych rozwiązań zasilanych
układów urządzeń nietrakcyjnych i po dokonaniu analizy zapotrzebowania na moc i energię
elektryczną.

        System zasilania odbiorów nietrakcyjnych zostanie włączony w system zdalnego sterowania
urządzeniami zasilania.

        Zakres prac związanych budową elementów układu zasilania odbiorów nietrakcyjnych dla
wariantu 1 oraz ich koszty przedstawiono w poniższej tablicy. Koszty prac zostały określone na
podstawie danych wskaźnikowych wyznaczonych na bazie innych projektów prowadzonych na liniach
E20, E30 i E65. Przyjęte średnie, jednostkowe koszty budowy elementów układu zasilania odbiorów
nietrakcyjnych wynoszą: linia kablowa SN z odłącznikami – 280 tys. zł/km; budynkowa stacja
transformatorowa – 200 tys. zł/ szt.; słupowa stacja transformatorowa – 45 tys. zł/szt.
Tabela 21. Zakres prac i koszty modernizacji układu zasilania odbiorów nietrakcyjnych.
Odcinek                   Długość [tkm]                                       Koszt [tys. zł]
Wrocław Zachodni -        Budowa linii kablowych (11 km) z odłącznikami;      5 025
Lotnisko                  budowa 8 stacji transformatorowych o łącznej mocy
                          380 kVA, budowa przyłączy linią kablową do GPZ
                                                                      Razem   5 025


        W zakresie elektroenergetyki do 1 kV zawierają się prace dotyczące:

                  oświetlenia obiektów linii dolotniskowej (przystanków, rozjazdów, terenu, przejść
                   i przejazdów itd.)

                  ogrzewania i sterowania rozjazdów;

                  zasilania urządzeń srk i sygnalizacji;

                  zasilania pozostałych obiektów.

        Oświetlenie na terenie otwartym będzie realizowane przy pomocy opraw oświetleniowych typu
kolejowego, na konstrukcjach wsporczych w postaci żerdzi betonowych wirowanych. Układy

                                                        35
Wstępne studium wykonalności dla zadania pn.:
Rewitalizacja linii kolejowej Wrocław – Lotnisko
Etap III – Analiza techniczna


oświetlenia obiektów kolejowych powinny będą wyposażone w systemy sterowania oświetleniem
z miejsca i zdalne z LCS oraz ręczne i w funkcji natężenia światła i czasu.

        Rozjazdy kolejowe zostaną wyposażone w urządzenia elektrycznego ogrzewania rozjazdów
(eor) przystosowane do lokalnych warunków eksploatacji. Zasilanie grzejników torowych będzie
realizowane poprzez urządzenia tworzące system eor, w którego skład wchodzą:

                transformatory separacyjne,

                szafy rozdzielcze przytorowe,

                urządzenia umożliwiające automatyczne i zdalne sterowanie oraz obserwacje stanu
                 eor w różnych obiektach.

        System elektrycznego ogrzewania rozjazdów umożliwi sterowanie automatyczne (w zależności
od warunków atmosferycznych), lokalne i zdalne z LCS oraz nadzór nad stanem urządzeń zasilających
i odbiorczych:

                pojedynczych rozjazdów,

                pojedynczych grup rozjazdów,

                pojedynczych stacji,

                grupy stacji wraz ze stacjami bez obsługi ruchowej.

        System eor umożliwi przekazywanie informacji o:

                stanie sprawności urządzeń torowych, przytorowych, zasilających i sterujących,

                trybie pracy (ręczny, automatyczny),

                stanie pracy urządzeń odbiorczych i zasilających (czynny, nieczynny),

                zużyciu energii elektrycznej,

                czasie pracy urządzeń grzewczych.

        System eor umożliwi realizację funkcji:

                programowanie nastaw progowych algorytmów załączania i wyłączania obwodów

                grzewczych w trybie automatycznym,

                programowania obwodów grzewczych w stan czynny lub nieczynny z nastawni

                ruchowej,

                przesyłania informacji o stanie pracy urządzeń zasilania i odbiorczych dostępnymi

                miejscowymi systemami transmisji danych.

        Zakres prac budowy i modernizacji urządzeń elektroenergetyki nietrakcyjnej oraz koszty tych
prac zestawiono w poniższej tablicy. Koszty prac zostały określone na podstawie danych
wskaźnikowych wyznaczonych na bazie innych projektów prowadzonych na liniach E20, E30 i E65.
Przyjęte średnie, jednostkowe koszty budowy elementów elektroenergetyki do 1 kV wynoszą:
oświetlenie (oprawa, słup, linie zasilające i sterowanie) – 17,8 – 18,2 tys. zł/szt.; eor rozjazdów
kolejowych – 65 tys. zł/szt.


                                                   36
Wstępne studium wykonalności dla zadania pn.:
Rewitalizacja linii kolejowej Wrocław – Lotnisko
Etap III – Analiza techniczna

Obiekt                           Zakres prac                                                   Koszt [tys. zł]
                                 budowa oświetlenia rozjazdów, budowa
Wrocław Zachodni                 oświetlenia peronów i dojść, budowa linii zasilających nn
                                 wraz z rozdzielniami
                                 budowa oświetlenia peronów i dojść, budowa linii
Krzeptów
                                 zasilających nn wraz z rozdzielniami
                                 budowa oświetlenia rozjazdów, budowa
                                 oświetlenia peronów i dojść, budowa linii zasilających nn
Port Lotniczy
                                 wraz z rozdzielniami, budowa zasilania budynków
                                 stacyjnych
Przejazd w ul. Kunickiego
(km 0+865,677)                                                                                          4200
Przejazd w ul. Gagarina
(km 1+225,227)
Przejazd w ul. Żwirki i Wigury
                                 budowa oświetlenia przejazdów, budowa linii zasilających nn
(km 1+548,565)
                                 wraz z rozdzielniami, budowa zasilania urządzeń
Przejazd w ul. Radarowej
                                 przejazdowych
(km 4+017,64)
Przejazd w drodze polnej
(km 5+270,876)
Przejazd w drodze polnej
(km 6+647,165)




                                                         37

SKM Lotnisko Etap III

  • 1.
    WSTĘPNE STUDIUM WYKONALNOŚCI DLA ZADANIA PN.: REWITALIZACJA LINII KOLEJOWEJ WROCŁAW – LOTNISKO ETAP III – ANALIZA TECHNICZNA
  • 2.
    Wstępne studium wykonalnościdla zadania pn.: Rewitalizacja linii kolejowej Wrocław – Lotnisko Etap III – Analiza techniczna Spis treści: 1. Analiza techniczna ......................................................................................................................................... 2 1.1 Wariant 1 .............................................................................................................................................. 2 1.2 Wariant 2 .............................................................................................................................................. 3 1.3 Utrudnienia realizacyjne ..................................................................................................................... 5 1.4 Przebieg w rejonie Portu Lotniczego ................................................................................................ 5 2 Trasowanie linii i projekt geometryczny ........................................................................................................ 6 2.1 Układ geometryczny w płaszczyźnie poziomej ................................................................................ 6 2.2 Profil podłużny ..................................................................................................................................... 7 2.3 Prędkości maksymalne ....................................................................................................................... 7 3 Układy torowe .............................................................................................................................................. 10 3.1 Wariant 1 ............................................................................................................................................ 10 3.2 Wariant 2 ............................................................................................................................................ 11 4 Nawierzchnia ................................................................................................................................................ 12 4.1 Dobór konstrukcji nawierzchni torów ............................................................................................. 12 4.2 Dobór konstrukcji rozjazdów ........................................................................................................... 13 4.3 Zbiorcze zestawienie robót torowych ............................................................................................. 13 4.4 Zakres przebudowy układu stacji Wrocław Zachodni .................................................................. 14 4.5 Zbiorcze koszty inwestycyjne .......................................................................................................... 14 5 Analizy geotechniczne i konstrukcja podtorza ............................................................................................. 16 5.1 Charakterystyka warunków geologiczno-inżynierskich ................................................................ 16 5.2 Zakres robót podtorzowych ............................................................................................................. 16 5.3 Koszty robót podtorzowych.............................................................................................................. 17 6 Powiązania linii z układem drogowym i pieszym ........................................................................................ 19 6.1 Wariant 1 ............................................................................................................................................ 19 6.2 Wariant 2 ............................................................................................................................................ 20 7 Obiekty inżynieryjne .................................................................................................................................... 21 7.1 Wariant 1 ............................................................................................................................................ 21 7.2 Wariant 2 ............................................................................................................................................ 21 8 Obiekty kubaturowe ..................................................................................................................................... 22 8.1 Perony i budynki ................................................................................................................................ 22 9 Systemy sterowania i kierowania ruchem .................................................................................................... 27 9.1 Wymagania......................................................................................................................................... 27 9.2 Stan wyjściowy do wyposażenia w urządzenia srk ....................................................................... 27 9.3 Zakres modernizacji urządzeń srk ................................................................................................... 27 10 Urządzenia telekomunikacji ......................................................................................................................... 29 10.1 Stan istniejący sieci telekomunikacyjnej ........................................................................................ 29 10.2 Charakterystyka modernizacji .......................................................................................................... 29 10.3 Zakres rzeczowy modernizacji ......................................................................................................... 30 11 System zasilania i sieć trakcyjna .................................................................................................................. 33 11.1 Zasilanie sieci trakcyjnej ................................................................................................................... 33 11.2 Sieć trakcyjna ..................................................................................................................................... 34 11.3 Elektroenergetyka nietrakcyjna ....................................................................................................... 34 1
  • 3.
    Wstępne studium wykonalnościdla zadania pn.: Rewitalizacja linii kolejowej Wrocław – Lotnisko Etap III – Analiza techniczna 1. Analiza techniczna Rozwój niezbędnego do funkcjonowania miasta transportu, pociąga za sobą potrzebę przeznaczania pod jego rozwój coraz większych powierzchni, a w wyniku bardzo szybkiego rozwoju transportu indywidualnego i dostawczego, wywołuje zatory uliczne, posiadając jednocześnie destruktywny wpływ na środowisko naturalne. Wyjściem z sytuacji w większości europejskich metropolii jest wspieranie transportu szynowego. Projekt budowy systemu kolei o charakterze miejskim, łączącej centrum miasta Wrocławia z portem lotniczym im. Mikołaja Kopernika w Wrocławiu Strachowicach jest milowym krokiem na drodze rozwoju transportu szynowego w województwie dolnośląskim. Docelowo linia kolejowa do lotniska swoim zasięgiem obejmować będzie miasto Wrocław oraz gminę Kąty Wrocławskie. Połączenie będzie wykorzystywało częściowo istniejącą infrastrukturę kolejową, która po kompleksowej modernizacji stanowić będzie fundament kolei lotniskowej. Poniżej znajduje się opis stanu infrastruktury w/w odcinków linii planowanego połączenia. 1.1 Wariant 1 W wariancie tym przewidziano połączenie od stacji Wrocław Świebodzki (Wrocław Główny) przez stację Wrocław Zachodni do małej stacji czołowej Wrocław Port Lotniczy. W wariancie tym założono wybudowanie nowego przystanku (peronu) Wrocław Zachodni, który znajdowałby się po zachodniej stronie obecnej stacji Wrocław Zachodni. Długość całego połączenia od stacji Wrocław Zachodni do proponowanej lokalizacji stacji końcowej przy porcie lotniczym wynosi ok. 10,500 km Zakłada się, że projektowana linia będzie nie zelektryfikowana. Elektryfikacja linii rozpatrzona została jako rozwiązanie alternatywne, żeby umożliwić ew. elektryfikację w przyszłości. Szczegółowy zakres prac niezbędnych do elektryfikacji został przeanalizowany w rozdziale 11. W ramach przedstawionego wariantu wprowadzony został podział całego połączenia na trzy odcinki: Odcinek 1 – od stacji Wrocław Świebodzki (Wrocław Główny) do stacji Wrocław Zachodni Odcinek ten stanowi fragment linii kolejowej nr 274 do stacji Wrocław Zachodni oraz - dodatkowo początkowy fragment linii kolejowej nr 761 od stacji Wrocław Główny do posterunku WS. Stan techniczny linii kolejowej nr 274 na odcinku od posterunku WS do stacji Wrocław Zachodni należy uznać za dobry. Obowiązująca tu prędkość dla pociągów pasażerskich wynosi 100 km/h. Jest to fragment linii o dużej klasie wytrzymałościowej D3, dopuszczającej nacisk na oś 221 kN/oś oraz nacisk liniowy 71 kN/m. Odcinek od posterunku WS do stacji Wrocław Świebodzki jest obecnie wyłączony z eksploatacji. Jego stan techniczny nie pozwala na prowadzenie regularnego ruchu kolejowego. Z kolei fragment łącznicy nr 761 od stacji Wrocław Główny do posterunku WS umożliwia obecnie jazdę z prędkością 60 km/h. Jest to fragment o klasie również C3 (osiowo 221 kN/oś oraz nacisk liniowy 71 kN/m). Eksploatowane fragmenty odcinka są dwutorowe. 2
  • 4.
    Wstępne studium wykonalnościdla zadania pn.: Rewitalizacja linii kolejowej Wrocław – Lotnisko Etap III – Analiza techniczna Opisane powyżej fragmenty torów składają się z szyn 60E1 przytwierdzonych – za pomocą przytwierdzeń sprężystych SB3 i SB4 oraz przytwierdzeń typu K – do podkładów strunobetonowych PS94 i INBK7. „Drabina torowa” spoczywa na 35 cm warstwie podsypki tłuczniowej. Odcinek 2 – od stacji Wrocław Zachodni do skrzyżowania z ul. Żwirki i Wigury W wariancie 1 zakłada się pełną modernizację toru kolejowego dawnej bocznicy kolejowej do koszar lotniska wojskowego Strachowice od stacji Wrocław Zachodni do ul. Żwirki i Wigury. Bocznica ta odchodzi od linii kolejowej nr 274. Zakłada się wjazd na ten tor jedynie od strony Wałbrzycha. Powoduje to konieczność zmiany kierunku jazdy. Stąd konieczność nowego usytuowania peronów na stacji Wrocław Zachodni. Po przekroczeniu ulicy Żwirki i Wigury zakłada się budowę nowego odcinka linii kolejowej do Nowego Portu Lotniczego. Zakłada się przystosowanie tego jednotorowego odcinka do prędkości 80 km/h. Jest to jednotorowy odcinek bardzo zdewastowany w wyniku prowadzenia różnego rodzaju inwestycji budowlanych (głównie budowy Autostradowej Obwodnicy Wrocławia) oraz braku eksploatacji tego toru od ponad 20 lat. Tor ten składa się z szyn S49 przytwierdzonych przytwierdzeniem K do podkładów drewnianych i strunobetonowych i usytuowanych na bardzo zanieczyszczonej podsypce żwirowej i tłuczniowej. Odcinek 3 – od skrzyżowania z ul. Żwirki i Wigury do Nowego Portu Lotniczego Zakłada się, że od ul. Żwirki i Wigury jednotorowa linia kolejowa zostanie skierowana w kierunku zachodnim, a następnie wzdłuż południowej i zachodniej granicy lasu okalającego teren lotniska – w bezpośrednim sąsiedztwie nowobudowanego osiedla domów jednorodzinnych w Krzeptowie – tak, by tor został doprowadzony na północną stronę pasa startowego, w pobliże nowego terminala pasażerskiego. Zakłada się przystosowanie tego jednotorowego odcinka do prędkości 80 km/h. W Porcie Lotniczym imienia Mikołaja Kopernika, na wprost nowego Terminala 2, zostanie zlokalizowana stacja czołowa z dwoma torami kolejowymi. Powiązania Wariant 1 umożliwia przede wszystkim bezpośrednie i naturalne połączenie kolejowe lotniska w kierunku Wałbrzycha i Jeleniej Góry. Zasadniczą cechą obsługi lotniska od strony stacji Wrocław Zachodni jest umożliwienie wykorzystania dwóch śródmiejskich dworców kolejowych: Wrocław Główny i Wrocław Świebodzki. Taka lokalizacja punktów początkowych linii lotniskowej powoduje bezproblemowy dojazd do nich komunikacją zbiorową nie tylko z każdego punktu miasta Wrocławia, ale również z większości miast metropolii i regionu dolnośląskiego. 1.2 Wariant 2 W wariancie tym przewidziano połączenie od stacji Wrocław Świebodzki (Wrocław Główny) przez stację Wrocław Zachodni do niewielkiej stacji czołowej Wrocław Port Lotniczy. W wariancie tym założono wykorzystanie obecnej stacji Wrocław Zachodni oraz dobudowanie fragmentu łącznicy w obrębie stacji Wrocław Zachodni. 3
  • 5.
    Wstępne studium wykonalnościdla zadania pn.: Rewitalizacja linii kolejowej Wrocław – Lotnisko Etap III – Analiza techniczna Długość całego połączenia od stacji Wrocław Zachodni do proponowanej lokalizacji stacji końcowej przy porcie lotniczym wynosi ok. 10,500 km Zakłada się, że projektowana linia będzie nie zelektryfikowana. Elektryfikacja linii rozpatrzona została jako rozwiązanie alternatywne, żeby umożliwić ew. elektryfikację w przyszłości. Szczegółowy zakres prac niezbędnych do elektryfikacji został przeanalizowany w rozdziale 11. W ramach przedstawionego wariantu wprowadzony został podział całego połączenia na trzy odcinki: Odcinek 1 – od stacji Wrocław Świebodzki (Wrocław Główny) do stacji Wrocław Zachodni Odcinek ten stanowi fragment linii kolejowej nr 274 do stacji Wrocław Zachodni oraz - dodatkowo początkowy fragment linii kolejowej nr 761 od stacji Wrocław Główny do posterunku WS. Stan techniczny linii kolejowej nr 274 na odcinku od posterunku WS do stacji Wrocław Zachodni należy uznać za dobry. Obowiązująca tu prędkość dla pociągów pasażerskich wynosi 100 km/h. Jest to fragment linii o dużej klasie wytrzymałościowej D3, dopuszczającej nacisk na oś 221 kN/oś oraz nacisk liniowy 71 kN/m. Odcinek od posterunku WS do stacji Wrocław Świebodzki jest obecnie wyłączony z eksploatacji. Jego stan techniczny nie pozwala na prowadzenie regularnego ruchu kolejowego. Z kolei fragment linii nr 761 od stacji Wrocław Główny do posterunku WS umożliwia obecnie jazdę z prędkością 60 km/h. Jest to fragment o klasie również C3 (osiowo 221 kN/oś oraz nacisk liniowy 71 kN/m). Opisane powyżej fragmenty torów składają się z szyn 60E1 przytwierdzonych – za pomocą przytwierdzeń sprężystych SB3 i SB4 oraz przytwierdzeń typu K – do podkładów strunobetonowych PS94 i INBK7. „Drabina torowa” spoczywa na 35 cm warstwie podsypki tłuczniowej. Odcinek 2 – od stacji Wrocław Zachodni do skrzyżowania z ul. Żwirki i Wigury Przewiduje się tu budowę łącznika (fragmentu toru) umożliwiającego wjazd na tor dawnej bocznicy od strony Wrocławia. W wariancie 2 zakłada się modernizację toru kolejowego dawnej bocznicy kolejowej do koszar lotniska wojskowego Strachowice od stacji Wrocław Zachodni do ul. Żwirki i Wigury. Bocznica ta odchodzi od linii kolejowej nr 274. Zakłada się wjazd na ten tor zarówno od strony Wałbrzycha, jak i od strony Wrocławia. Jest to jednotorowy odcinek bardzo zdewastowany w wyniku prowadzenia różnego rodzaju inwestycji budowlanych (głównie budowy Autostradowej Obwodnicy Wrocławia) oraz braku eksploatacji tego toru od ponad 20 lat. Tor ten składa się z szyn S49 przytwierdzonych przytwierdzeniem K do podkładów drewnianych i strunobetonowych i usytuowanych na bardzo zanieczyszczonej podsypce żwirowej i tłuczniowej. Po przekroczeniu ulicy Żwirki i Wigury zakłada się budowę nowego odcinka linii kolejowej do Nowego Portu Lotniczego. Odcinek 3 – od skrzyżowania z ul. Żwirki i Wigury do Nowego Portu Lotniczego Zakłada się, że od ul. Żwirki i Wigury jednotorowa linia kolejowa zostanie skierowana w kierunku zachodnim, a następnie wzdłuż południowej i zachodniej granicy lasu okalającego teren 4
  • 6.
    Wstępne studium wykonalnościdla zadania pn.: Rewitalizacja linii kolejowej Wrocław – Lotnisko Etap III – Analiza techniczna lotniska tak, by tor został doprowadzony na północną stronę pasa startowego, w pobliże nowego terminala pasażerskiego. W Porcie Lotniczym imienia Mikołaja Kopernika, na wprost nowego Terminala 2, zostanie zlokalizowana stacja czołowa z dwoma torami kolejowymi. Powiązania Wariant 2 umożliwia bezpośrednie i naturalne połączenie kolejowe lotniska z kierunku Wałbrzycha i Jeleniej Góry, a przede wszystkim z kierunku centrum miasta Wrocławia. Zasadniczą cechą obsługi lotniska od strony stacji Wrocław Zachodni jest umożliwienie wykorzystania dwóch śródmiejskich dworców kolejowych: Wrocław Główny i Wrocław Świebodzki. Taka lokalizacja punktów początkowych linii lotniskowej powoduje bezproblemowy dojazd do nich komunikacją zbiorową nie tylko z każdego punktu miasta Wrocławia, ale również z większości miast metropolii i regionu dolnośląskiego. 1.3 Utrudnienia realizacyjne Oprócz znacznego zdewastowania toru do dawnej bocznicy wojskowej przez budowę AOW na trasie planowanych wariantów przebiegu linii kolejowych znajduje się szereg utrudnień technicznych. Do najistotniejszych problemów należy zaliczyć trudne warunki gruntowo-wodne, w tym przede wszystkim występowanie gruntów wodonośnych i spoistych, stosunkowo wysoki poziom wód gruntowych oraz licznie występujące cieki wodne, co wymusza budowę systemu odwodnienia oraz licznych przepustów. Dodatkową uciążliwością jest występowanie dużego lasu liściastego i mieszanego na znacznej długości przebiegu trasy linii. Wymusza to konieczność wyrębu znacznej ilości drzew, które stanowią otulinę lotniska i naturalną zaporę przed emitowanym hałasem. Lesiste tereny należą do obszaru lotniska. Znaczną trudnością będzie również wykup znacznej części gruntów od właścicieli prywatnych. 1.4 Przebieg w rejonie Portu Lotniczego Istotnym problemem jest wybór doprowadzenia trasy kolei lotniskowej do stacji zlokalizowanej przed projektowanym Terminalem 2 Portu Lotniczego im. Mikołaja Kopernika. Teren ten będzie w najbliższym okresie podlegał istotnym przekształceniom (i związaną z nią zmianą koncepcji obsługi obszaru Portu Lotniczego). Preferowany – ze względu na usytuowanie terminala oraz występujące ograniczenia lokalizacyjne – układ stacji czołowej przy nowym terminalu powinien przyjąć charakter kierunkowy w osi zachód – wschód. 5
  • 7.
    Wstępne studium wykonalnościdla zadania pn.: Rewitalizacja linii kolejowej Wrocław – Lotnisko Etap III – Analiza techniczna 2 Trasowanie linii i projekt geometryczny Możliwości kształtowania układu geometrycznego kolei lotniskowej określają następujące istotne okoliczności:  kolej lotniskowa będzie stanowiła połączenie odcinków eksploatowanych, odcinków odbudowywanych i odcinków budowanych od podstaw,  linia będzie przebiegała w urozmaiconym terenie, pokonując znaczne różnice  wysokości,  na linii będzie prowadzony ruch pociągów pasażerskich obsługiwanych elektrycznymi  zespołami trakcyjnymi oraz zespołami spalinowymi (autobusami szynowymi),  ruch towarowy będzie zasadniczo ograniczony do obsługi miejscowej (poza  odcinkiem linii nr 274),  w celu zapewnienia atrakcyjności połączenia kolejowego niezbędne jest uzyskiwanie  prędkości pociągów 80 km/h, przy czym pożądana jest prędkość 100-120 km/h. Odcinki o prędkości mniejszej niż 80 km/h powinny być możliwie krótkie. 2.1 Układ geometryczny w płaszczyźnie poziomej Układ geometryczny kolei do lotniska w płaszczyźnie poziomej przyjęty w niniejszym opracowaniu wynika z uwarunkowań terenowych. Odcinek 1 Linie kolejowe przynależące do odcinka 1, czyli linia nr 274 są liniami istniejącymi i eksploatowanymi z prędkościami 60 – 100 km/h. Odcinek 2 Na odcinku 1 od stacji Wrocław Zachodni do skrzyżowania z ulicą Żwirki i Wigury zakłada się wykorzystanie budowli ziemnych dawnego toru bocznicy kolejowej. Linia ta mimo, że budowana jako typowa bocznica charakteryzowała się dość dogodnym układem geometrycznym. Tor wypina się z układu torowego stacji Wrocław Zachodni od strony głowicy zachodniej łukiem o promieniu 500 m. Najmniejsze promienie (w zakresie 260 m) występują na łukach za stacją Wrocław Zachodni, do km 1,000. Dalszy fragment trasy, aż do przejazdu z ul. Żwirki i Wigury jest odcinkiem prostym. Odcinek 3 Pozostała część trasy jest nowoprojektowana. Od przejazdu z ulicą Żwirki i Wigury Łukiem o promieniu 600 m zostaje skierowana w kierunku zachodnim. Tor przebiega wzdłuż ulicy Rakietowej (wzdłuż niewielkiego rowu odwadniającego), kierując się w pobliże osiedla Krzeptów. Od Krzeptowa linia prowadzona byłaby skrajem lasu okalającego lotnisko, przez ok. 4 km. Na tym odcinku zaplanowano cztery łuki poziome o jednakowych promieniach R=600 m. 6
  • 8.
    Wstępne studium wykonalnościdla zadania pn.: Rewitalizacja linii kolejowej Wrocław – Lotnisko Etap III – Analiza techniczna Od zachodniej strony lotniska linia kolejowa zostaje poprowadzona w kierunku wschodnim, do nowego terminala za pomocą dwóch długich odwrotnych łuków poziomych o promieniach 500 i 600 m. 2.2 Profil podłużny Ogólne zasady kształtowania profilu podłużnego linii kolejowych, określone w rozporządzeniu Ministra Transportu i Gospodarki Morskiej w sprawie warunków technicznych, jakim powinny odpowiadać budowle kolejowe i ich usytuowanie (Dz. U 1998, nr 151, poz. 987), praktycznie powinny być zastosowane w warunkach kolei lotniskowej. Teren, po którym prowadzona będzie linia kolejowa jest płaski. Pochylenia maksymalne nie powinny przekraczać 5‰ i nie powinien stanowić istotnego utrudnienia projektu, budowy i eksploatacji linii. 2.3 Prędkości maksymalne Prędkości maksymalne, możliwe do osiągnięcia na poszczególnych odcinkach kolei do lotniska we określono przy zachowaniu wartości dopuszczalnych parametrów kinematycznych określonych w rozporządzeniu Ministra Transportu i Gospodarki Morskiej w sprawie warunków technicznych, jakim powinny odpowiadać budowle kolejowe i ich usytuowanie. Prędkości te są zróżnicowane według analizowanych w niniejszym Studium wariantów. Tabela 1. Prędkości maksymalne – wariant 1. Linia Szlak Od km Do km Prędkość Uwagi Wrocław Główny – 271 0,000 2,048 60 Wrocław Grabiszyn Wrocław Grabiszyn – 761 0,000 0,767 60 Wrocław Świebodzki WSB 0,767 60 Rozjazd 500-1:12 Wrocław Świebodzki WSB 274 1,623 6,389 100 – Wrocław Zachodni Wrocław Zachodni – bocznica 0,000 0+050,00 40 Rozjazd 300-1:9 przejazd ul. Żwirki i Wigury Wrocław Zachodni – bocznica 0+050,00 0+337,25 60 Promień R=500m przejazd ul. Żwirki i Wigury Wrocław Zachodni – bocznica 0+337,25 0+558,091 80 przejazd ul. Żwirki i Wigury Wrocław Zachodni – bocznica 0+558,091 0+995,34 40 Promień R=260m przejazd ul. Żwirki i Wigury Wrocław Zachodni – bocznica 0+995,34 1+697,228 80 przejazd ul. Żwirki i Wigury Przejazd ul. Żwirki i Wigury nowy 1+697,228 2+018,246 70 Promień R=600 – Terminal 2 Przejazd ul. Żwirki i Wigury nowy 2+018,246 3+955,274 80 – Terminal 2 Przejazd ul. Żwirki i Wigury nowy 3+955,274 4+152,303 70 Promień R=600 – Terminal 2 Przejazd ul. Żwirki i Wigury nowy 4+152,303 5+223,184 80 – Terminal 2 7
  • 9.
    Wstępne studium wykonalnościdla zadania pn.: Rewitalizacja linii kolejowej Wrocław – Lotnisko Etap III – Analiza techniczna Linia Szlak Od km Do km Prędkość Uwagi Przejazd ul. Żwirki i Wigury nowy 5+223,184 5+409,519 70 Promień R=600 – Terminal 2 Przejazd ul. Żwirki i Wigury nowy 5+409,519 6+520,777 80 – Terminal 2 Przejazd ul. Żwirki i Wigury nowy 6+520,777 6+918,808 70 Promień R=600 – Terminal 2 Przejazd ul. Żwirki i Wigury nowy 6+918,808 7+316,232 80 – Terminal 2 Przejazd ul. Żwirki i Wigury nowy 7+316,232 7+460,405 70 Promień R=600 – Terminal 2 Przejazd ul. Żwirki i Wigury nowy 7+460,405 7+872,219 80 – Terminal 2 Przejazd ul. Żwirki i Wigury nowy 7+872,219 8+599,933 70 Promień R=600 – Terminal 2 Przejazd ul. Żwirki i Wigury nowy 8+599,933 8+788,024 80 – Terminal 2 Przejazd ul. Żwirki i Wigury nowy 8+788,024 9+730,502 70 Promień R=600 – Terminal 2 Przejazd ul. Żwirki i Wigury nowy 9+730,502 9+909,485 80 – Terminal 2 Przejazd ul. Żwirki i Wigury nowy 9+909,485 10+243,886 70 Promień R=600 – Terminal 2 Przejazd ul. Żwirki i Wigury nowy 10+243,886 10+714,528 80 – Terminal 2 Tabela 2. Prędkości maksymalne – wariant 2. Linia Szlak Od km Do km Prędkość Uwagi Wrocław Główny – 271 0,000 2,048 60 Wrocław Grabiszyn Wrocław Grabiszyn – 761 0,000 0,767 60 Wrocław Świebodzki WSB 0,767 60 Rozjazd 500-1:12 Wrocław Świebodzki WSB 274 1,623 6,389 100 – Wrocław Zachodni Wrocław Zachodni – bocznica 0,000 0+050 40 Rozjazd 300-1:9 przejazd ul. Żwirki i Wigury Wrocław Zachodni – bocznica 0+050 0+209,860 60 Promień R=500m przejazd ul. Żwirki i Wigury Wrocław Zachodni – bocznica 0+209,860 0+282,692 80 przejazd ul. Żwirki i Wigury Wrocław Zachodni – bocznica 0+282,692 0+609,239 40 Promień R=260 przejazd ul. Żwirki i Wigury Wrocław Zachodni – bocznica 0+609,239 0+687,827 80 przejazd ul. Żwirki i Wigury Wrocław Zachodni – bocznica 0+687,827 0+921,677 40 Promień R=260 przejazd ul. Żwirki i Wigury Wrocław Zachodni – bocznica 0+921,677 1+623,565 80 przejazd ul. Żwirki i Wigury Przejazd ul. Żwirki i Wigury nowy 1+623,565 1+944,583 70 Promień R=600 – Terminal 2 Przejazd ul. Żwirki i Wigury nowy 1+944,583 3+881,611 80 – Terminal 2 8
  • 10.
    Wstępne studium wykonalnościdla zadania pn.: Rewitalizacja linii kolejowej Wrocław – Lotnisko Etap III – Analiza techniczna Linia Szlak Od km Do km Prędkość Uwagi Przejazd ul. Żwirki i Wigury nowy 3+881,611 4+078,640 70 Promień R=600 – Terminal 2 Przejazd ul. Żwirki i Wigury nowy 4+078,640 5+149,521 80 – Terminal 2 Przejazd ul. Żwirki i Wigury nowy 5+149,521 5+335,856 70 Promień R=600 – Terminal 2 Przejazd ul. Żwirki i Wigury nowy 5+335,856 6+447,114 80 – Terminal 2 Przejazd ul. Żwirki i Wigury nowy 6+447,114 6+845,145 70 Promień R=600 – Terminal 2 Przejazd ul. Żwirki i Wigury nowy 6+845,145 7+242,569 80 – Terminal 2 Przejazd ul. Żwirki i Wigury nowy 7+242,569 7+386,742 70 Promień R=600 – Terminal 2 Przejazd ul. Żwirki i Wigury nowy 7+386,742 7+798,556 80 – Terminal 2 Przejazd ul. Żwirki i Wigury nowy 7+798,556 8+526,270 70 Promień R=600 – Terminal 2 Przejazd ul. Żwirki i Wigury nowy 8+526,270 8+714,361 80 – Terminal 2 Przejazd ul. Żwirki i Wigury nowy 8+714,361 9+656,839 70 Promień R=600 – Terminal 2 Przejazd ul. Żwirki i Wigury nowy 9+656,839 9+835,822 80 – Terminal 2 Przejazd ul. Żwirki i Wigury nowy 9+835,822 10+170,223 70 Promień R=600 – Terminal 2 Przejazd ul. Żwirki i Wigury nowy 10+170,223 10+640,865 80 – Terminal 2 9
  • 11.
    Wstępne studium wykonalnościdla zadania pn.: Rewitalizacja linii kolejowej Wrocław – Lotnisko Etap III – Analiza techniczna 3 Układy torowe Na trasie lotniskowej będą zlokalizowane posterunki ruchu: stacje oraz posterunki odgałęźne. Ich układy torowe muszą zapewnić spełnienie wymagań funkcjonalnych. W szczególności wymagania takie obejmują:  możliwość prowadzenia ruchu pociągów kolei lotniskowej i pociągów regionalnych we wszystkich zakładanych w ofercie przewozowej relacjach,  zapewnienie przepustowości z pozostawieniem odpowiedniej rezerwy uwzględniającej perspektywy wzrostu liczby pociągów i prognozowanego wzrostu przewozów pasażerskich na obszarach metropolitalnych,  ograniczenie zakłóceń ruchu w warunkach planowych i awaryjnych zamknięć torowych. Układy torowe zostały zróżnicowane według rozważanych w ramach Studium wariantów. 3.1 Wariant 1 Ze względu na konieczność zmiany kierunku ruch na stacji Wrocław Zachodni układ torowy tej stacji dostosowano do tej specyfiki. Stacja Wrocław Zachodni Wymagane będzie przesunięcie peronów stacji Wrocław Zachodni o ok. 1,5 km w kierunku zachodnim, co umożliwi zmianę kierunku jazdy w tym właśnie miejscu. Do dwóch torów zasadniczych przewiduje się dobudowanie dwóch torów dodatkowych oraz peronu dwukrawędziowego po stronie toru zasadniczego (szlakowego) nieparzystego. Dla realizacji takiego układu konieczne jest wbudowanie połączeń trapezowych od strony wschodniej i zachodniej planowanego peronu. Stacja Wrocław Świebodzki Układ torowy stacji kolejowej Wrocław Świebodzki będzie składał się z dwóch torów o długości użytecznej 200 m, każdy z krawędzią peronową o długości 150 m. Tory zostaną zakończone samohamownymi kozłami oporowymi i będą połączone jednym rozjazdem typu 49E1-300- 1:9. Stacja będzie połączona z siecią kolejową dwutorową linią nr 274 w posterunku Wrocław Świebodzki WSB w km 1,563. Stacja Port Lotniczy imienia Mikołaja Kopernika Układ torowy nowej stacji kolejowej w Porcie Lotniczym imienia Mikołaja Kopernika będzie składał się z dwóch torów o długości użytecznej 200 m, każdy z krawędzią peronową o długości 150 m. Tory zostaną zakończone samohamownymi kozłami oporowymi i będą połączone jednym rozjazdem typu 49E1-300-1:9. 10
  • 12.
    Wstępne studium wykonalnościdla zadania pn.: Rewitalizacja linii kolejowej Wrocław – Lotnisko Etap III – Analiza techniczna 3.2 Wariant 2 Stacja Wrocław Zachodni Przewiduje się dostosowanie długości peronów do rzeczywistych potrzeb pojazdów (ok. 150 m) oraz modernizację układu torowego w ten sposób, by za pomocą trzech rozjazdów 300-1:9 wyprowadzić łącznicę jednotorową w kierunku bocznicy lotniskowej Stacja Wrocław Świebodzki Układ torowy stacji kolejowej Wrocław Świebodzki będzie składał się z dwóch torów o długości użytecznej 200 m, każdy z krawędzią peronową o długości 150 m. Tory zostaną zakończone samohamownymi kozłami oporowymi i będą połączone jednym rozjazdem typu 49E1-300- 1:9. Stacja będzie połączona z siecią kolejową dwutorową linią nr 274 w posterunku Wrocław Świebodzki WSB w km 1,563. Stacja Port Lotniczy imienia Mikołaja Kopernika Układ torowy nowej stacji kolejowej w Porcie Lotniczym imienia Mikołaja Kopernika będzie składał się z dwóch torów o długości użytecznej 200 m, każdy z krawędzią peronową o długości 150 m. Tory zostaną zakończone samohamownymi kozłami oporowymi i będą połączone jednym rozjazdem typu 49E1-300-1:9. 11
  • 13.
    Wstępne studium wykonalnościdla zadania pn.: Rewitalizacja linii kolejowej Wrocław – Lotnisko Etap III – Analiza techniczna 4 Nawierzchnia W raporcie została dokonana inwentaryzacja nawierzchni wraz z oceną jej obecnego stanu. Niniejszy rozdział przedstawia zakres działań w zakresie nawierzchni torów i rozjazdów według wariantów. 4.1 Dobór konstrukcji nawierzchni torów Zasadniczym kryterium przy wyborze konstrukcji nawierzchni dla określonego odcinka linii, czy toru na stacji są warunki eksploatacyjne. Warunki te charakteryzowane są wartościami parametrów eksploatacyjnych: dopuszczalną prędkością pociągów, dopuszczalnymi naciskami osi lokomotyw i wagonów przy tej prędkości oraz natężeniem przewozów. Istotne jest przy tym, że prędkość i nacisk osiowy trzeba traktować jako pary. Wyszczególnione parametry decydują o klasie toru. W obowiązującej w PKP Polskie Linie Kolejowe S.A. Instrukcji Id-1 (D1) wyróżnia się 6 klas toru (0, 1, 2, 3, 4, 5). Tory szlakowe i tory główne zasadnicze na stacjach kolei do lotniska ze względu na warunki eksploatacyjne należy zaliczyć do klasy 2. Oznacza to, że na linii mogą występować następujące pary parametrów:  Prędkość 80 km/h, nacisk osi lokomotywy 221 kN, nacisk osi wagonu 221 kN,  Prędkość 100 km/h, nacisk osi lokomotywy 210 kN, nacisk osi wagonu 205 kN,  Prędkość 120 km/h, nacisk osi lokomotywy 205 kN, nacisk osi wagonu 190 kN. Każdej klasie toru zarządca infrastruktury przyporządkowuje standardy konstrukcyjne nawierzchni. Standardy te stanowią zestawienia typu szyny, typu podkładów, rozstawu podkładów, rodzaju przytwierdzeń oraz rodzaju i grubości podsypki. W każdej klasie toru możliwe jest stosowanie kilku równorzędnych standardów. Generalną zasadą jest: im większe wymagania eksploatacyjne stawiane torowi, tym wyższej jakości i większej wytrzymałości materiały nawierzchniowe powinny być stosowane. Przykładowe warianty konstrukcji nawierzchni przedstawia tabela: Tabela 3. Standardy konstrukcji nawierzchni w klasie 2 Przyjęto, że w warunkach kolei lotniskowej, przy dominującym ruchu pasażerskim (małych naciskach osi) najbardziej odpowiednia będzie nawierzchnia z szynami 49E1 według standardu 2.3, 12
  • 14.
    Wstępne studium wykonalnościdla zadania pn.: Rewitalizacja linii kolejowej Wrocław – Lotnisko Etap III – Analiza techniczna jednak z tą różnicą, że zamiast podkładów PS-83 proponuje się przyjęcie podkładów PS-94, a zamiast przytwierdzeń typu SB3 przytwierdzenia SB4. 4.2 Dobór konstrukcji rozjazdów Na trasie kolei do lotniska będą zlokalizowane liczne posterunki ruchu o zróżnicowanych funkcjach. Przyjęto podstawowe założenie, że układy torowe tych posterunków będą zbudowane z zastosowaniem rozjazdów możliwie najlepiej dostosowanych do warunków ruchowych, takich jak:  Prędkość maksymalna pociągów w obrębie posterunku,  Przewidywana liczba przebiegów pociągowych w jednostce czasu,  Proporcje między liczbami jazd pociągów w kierunku prostym i w kierunku zwrotnym rozjazdów. W przypadku rozjazdów w torach głównych zasadniczych przyjęto jako zasadę, że rozjazd nie powinien ograniczać prędkości pociągów w kierunku prostym. W celu minimalizacji strat czasu na hamowanie i ponowny rozruch na posterunkach odgałęźnych, prędkość jazdy pociągów w kierunku zwrotnym powinna być zbliżona do prędkości na przyległym odcinku toru linii lub łącznicy. Połączenia torów głównych dodatkowych powinny być w miarę możliwości budowane z wykorzystaniem rozjazdów typu 500-1:12, pozwalających na jazdę z prędkością 60 km/h w kierunku zwrotnym. Na trasie tej kolei podstawową konstrukcją nawierzchni kolejowej jest nawierzchnia z szynami 49E1. Należy jednak wskazać, że nie wszystkie typy potrzebnych rozjazdów są dostępne w standardzie 49E1, a tylko 60E1. Dotyczy to w szczególności rozjazdu o promieniu 760 m i skosie 1:14. Typy rozjazdów przewidziane do zabudowy na poszczególnych posterunkach ruchu opisano w rozdziale dotyczącym układów torowych. 4.3 Zbiorcze zestawienie robót torowych Tabela 4. Zestawienie robót torowych – wariant 1. Szlak, stacja Budowa nowych torów [km] Naprawa główna [km] Wrocław Zachodni 0,500 Wrocław Zachodni – przejazd w ul. Żwirki 1,697 i Wigury Przejazd w ul. Żwirki i Wigury – Port 9,018 Lotniczy Stacja Port Lotniczy 0,250 Razem 9,768 1,697 Koszt jednostkowy [tys. zł] 4500 4000 Koszt całkowity – tory [tys. zł] 43956 6788 Tabela 5. Zestawienie robót torowych – wariant 2. Szlak, stacja Budowa nowych torów [km] Naprawa główna [km] Wrocław Zachodni 0,800 Wrocław Zachodni – przejazd w ul. Żwirki 0,995 1,697 i Wigury Przejazd w ul. Żwirki i Wigury – Port 9,018 Lotniczy 13
  • 15.
    Wstępne studium wykonalnościdla zadania pn.: Rewitalizacja linii kolejowej Wrocław – Lotnisko Etap III – Analiza techniczna Szlak, stacja Budowa nowych torów [km] Naprawa główna [km] Stacja Port Lotniczy 0,250 Razem 10,263 2,497 Koszt jednostkowy [tys. zł] 4500 4000 Koszt całkowity – tory [tys. zł] 46183,5 9988 Tabela 6. Zestawienie robót rozjazdowych – wariant 1. Rodzaj rozjazdu Szlak, stacja 300 500 760 Wrocław Zachodni 1 2 Wrocław Zachodni – przejazd w ul. Żwirki i Wigury Przejazd w ul. Żwirki i Wigury – Port Lotniczy Stacja Port Lotniczy 1 Razem 1 3 Koszt jednostkowy [tys. zł] 350 500 650 Koszt całkowity – tory [tys. 350 1500 zł] Tabela 7. Zestawienie robót rozjazdowych – wariant 2. Rodzaj rozjazdu Szlak, stacja 300 500 Rkpd Wrocław Zachodni 1 2 3 Wrocław Zachodni – przejazd w 1 ul. Żwirki i Wigury Przejazd w ul. Żwirki i Wigury – Port Lotniczy Stacja Port Lotniczy 1 Razem 1 4 3 Koszt jednostkowy [tys. zł] 350 500 500 Koszt całkowity – tory [tys. 350 2000 1500 zł] 4.4 Zakres przebudowy układu stacji Wrocław Zachodni Modernizacja układu torowego stacji Wrocław Zachodni będzie polegała na połączeniu układem rozjazdów w kształcie półtrapezu torów stacyjnych nr 2, 1, 3, 5, 7 aby umożliwić wjazd i zjazd z każdego z tych torów na łącznicę w kierunku lotniska. 4.5 Zbiorcze koszty inwestycyjne W obliczeniach kosztów inwestycyjnych przyjęto poziomy cen na podstawie własnych szacunków oraz na podstawie projektów modernizacyjnych zrealizowanych na sieci PKP Polskie Linie Kolejowe w roku 2009, 2010 i 2011:  budowa toru na nowym podtorzu w warunkach trudnych 4500 tys. zł/km  wymiana kompleksowa toru w warunkach trudnych 4000 tys. zł/km  rozjazd 60E1-300-1:9 350 tys. zł  rozjazd 60E1-500-1:12 500 tys. zł 14
  • 16.
    Wstępne studium wykonalnościdla zadania pn.: Rewitalizacja linii kolejowej Wrocław – Lotnisko Etap III – Analiza techniczna  rozjazd 60E1-760-1:14 650 tys. zł  rozjazd krzyżowy podwójny 500 tys. zł Powyższe koszty jednostkowe uwzględniają koszt materiałów oraz koszt wbudowania torów i rozjazdów. Tabela 8. Zbiorcze zestawienie kosztów inwestycyjnych nawierzchni kolejowej. Wariant 1 Wariant 2 Tory [tys. zł] 50 744 56 171,5 Rozjazdy [tys. zł] 1 850 3 850 Razem [tys. zł] 52 594 60 021,5 15
  • 17.
    Wstępne studium wykonalnościdla zadania pn.: Rewitalizacja linii kolejowej Wrocław – Lotnisko Etap III – Analiza techniczna 5 Analizy geotechniczne i konstrukcja podtorza 5.1 Charakterystyka warunków geologiczno-inżynierskich Warunki geologiczno-inżynierskie na trasie linii metropolitalnej oceniono na podstawie analizy Szczegółowej Mapy Geologicznej Polski w skali 1:50 000 i materiałów archiwalnych znajdujących się w zbiorach Państwowego Instytutu Geologicznego w Warszawie. Charakterystykę i ocenę warunków geologicznych-inżynierskich przedstawiono poniżej. Na trasie planowanej budowy kolei do lotniska od stacji Wrocław Zachodni spotkać można piaski i żwiry wolnolodowcowe. Na odcinku 2 (dawna bocznica) występują małoprzepuszczalne gliny zwałowe oraz gliny zwałowe na piaskach i żwirach wolnolodowcowych. Teren trasowania linii podzielony licznymi ciekami wodnymi. Głównie wzdłuż odcinka 2 są to grunty organiczne słabonośne i nawodnione; warunki niekorzystne do bezpośredniego posadowienia (III kategoria geotechniczna). Z kolei odcinek 2 to obszar gruntów piaszczysto-gliniastych z nielicznymi miejscami z osadami zastoiskowymi z możliwością występowania płytko wód gruntowych. Generalnie na całym tym obszarze wody gruntowe położone są bardzo płytko, miejscami nawet płyciej niż 2 m. Z przedstawionego rozpoznania wynika, że: 1. Na przeważającej części obszaru projektowanej linii lolejowej w podłożu występują utwory czwartorzędowe (Q), reprezentowane głównie przez osady plejstoceńskie pochodzenia lodowcowego lub wodnolodowcowego (Qp) oraz holoceńskie osady zastoiskowe (Qh) w rejonach dolin rzecznych i zagłębień bezodpływowych. 2. Na trasach linii przeważają rejony o warunkach geologiczno-inżynierskich korzystnych dla budownictwa. Są to obszary gruntów spoistych (glin zwałowych) oraz gruntów sypkich (piaski zwałowe i stożki napływowe). Niestety głębokość wody gruntowej jest bardzo niewielka i nie przekracza 2 m. W przypadku przebudowy i budowy linii na tym obszarze, konstrukcję należy zaliczyć do II kategorii geotechnicznej wg PN-B-02479:1998. 3. Gorsze warunki gruntowo-wodne występują na odcinku Wrocław Zachodni – przejazd w ul. Żwirki i Wigury (odcinek III), na którym linia przecina równinę torfową doliny Chylonki. Na tym odcinku inwestycję należy zaliczyć do III kategorii geotechnicznej. 5.2 Zakres robót podtorzowych Zakres robót podtorzowych określono na podstawie:  planów i profili podłużnych tras w poszczególnych wariantach,  wyników przeglądu podtorza przeprowadzonego w sierpniu 2011 r. przez pracowników Politechniki Gdańskiej,  protokółów z przeglądów bieżących i okresowych podtorza w 2008 r.  informacji uzyskanych od pracowników PKP PLK S.A. Roboty podzielono na następujące grupy:  usuwanie roślinności (wycinanie drzew i krzaków) 16
  • 18.
    Wstępne studium wykonalnościdla zadania pn.: Rewitalizacja linii kolejowej Wrocław – Lotnisko Etap III – Analiza techniczna  budowa nowego podtorza  dobudowa podtorza pod drugi tor  naprawa istniejącego podtorza: - modernizacja torowiska - budowa odwodnienia - naprawa odwodnienia - naprawa niestabilnych nasypów W obliczeniach robót przyjęto następujące założenia:  szerokość torowiska istniejących linii jednotorowych – 5,40m,  nachylenia skarp podtorza istniejącego i projektowanego – 1:1,5. Tabela 9. Zestawienie robót podtorzowych w wariantach 1 i 2 Usuwanie roślinności Budowa nowego Budowa odwodnienia Lokalizacja [ha] podtorza [tys. m3] [km ciągów odw.] Wrocław Zachodni – 1,36 14,790 3,4 przejazd Żwirki Przejazd Żwirki – Port 7,2 78,300 18,0 Lotniczy Razem 8,56 93,090 21,4 5.3 Koszty robót podtorzowych W obliczeniach kosztów przyjęto poziomy cen na podstawie własnych szacunków oraz informacji uzyskanych od firm:  usuwanie roślinności (wycinka) 30 tys. zł/ ha  budowa, dobudowa podtorza 140 tys. zł/ tys. m3  modernizacja torowiska 820 tys. zł/ km toru  budowa odwodnienia liniowego 244 tys. zł/ km ciągu odwadniającego  naprawa odwodnienia liniowego 122 tys. zł/ km ciągu odwadniającego  naprawa niestabilnych nasypów 7 000 tys. zł/ km nasypu W kosztach budowy, przebudowy i naprawy podtorza uwzględniono ceny niezbędnych badań geotechnicznych (są one niewielkie w porównaniu do kosztów robót). Nie uwzględniono natomiast odszkodowań za przedwczesny wyręb drzew (większość terenu porastają samosiejki, które trudno zaliczyć do produkcji leśnej; poza tym w przypadku inwestycji użyteczności publicznej, możliwe będą zwolnienia z większości opłat). Koszty robót podtorzowych dla odcinków w poszczególnych wariantach zestawiono w tabeli poniżej. Usuwanie roślinności Budowa nowego Budowa odwodnienia [ha] podtorza [tys. m3] [km ciągów odw.] Ilość 8,56 93,090 21,4 Koszt jednostkowy 30 tys. zł/ha 140 tys. zł/tys. m3 244 tys. zł/km Razem zł 256 800 13 032 600 5 221 600 17
  • 19.
    Wstępne studium wykonalnościdla zadania pn.: Rewitalizacja linii kolejowej Wrocław – Lotnisko Etap III – Analiza techniczna 18
  • 20.
    Wstępne studium wykonalnościdla zadania pn.: Rewitalizacja linii kolejowej Wrocław – Lotnisko Etap III – Analiza techniczna 6 Powiązania linii z układem drogowym i pieszym Rodzaj i sposób zabezpieczenia skrzyżowań kolei do lotniska z drogami kołowymi będzie uzależniony od warunków miejscowych, w szczególności od natężenia ruchu kolejowego oraz natężenia ruchu drogowego. Rozwiązania dla konkretnych skrzyżowań zostały zróżnicowane według rozważanych w ramach Studium wariantów. Przyjęto przy tym, że rozwiązania te musza stanowić akceptowalny kompromis pomiędzy spełnieniem postulatu zapewnienia możliwie płynnego ruchu drogowego, a koniecznością utrzymania kosztów projektów na akceptowalnym poziomie. Wynika to także z faktu, że obecne prawo stanowi o podziale kosztów budowy skrzyżowań wielopoziomowych pomiędzy zarządcą infrastruktury kolejowej i zarządcę drogi. Dla istniejących skrzyżowań jednopoziomowych linii kolejowych z drogami kołowymi dokonano analizy warunków ruchu i zaproponowano kwalifikacje tych przejazdów do odpowiednich kategorii, zgodnie z Rozporządzeniem Ministra Transportu i Gospodarki Morskiej z dnia 26 lutego 1996 r. w sprawie warunków technicznych, jakim powinny odpowiadać skrzyżowania linii kolejowych z drogami publicznymi i ich usytuowanie (Dz. U. 1996, nr 33, poz. 144, z późniejszymi zmianami). 6.1 Wariant 1 W wariancie 1 wszystkie odcinki będą realizowane w standardzie linii kolejowej jednotorowej. Z uwagi na charakter wariantu przewiduje się pozostawienie skrzyżowań w poziomie szyn. Odcinek 2 – Wrocław Zachodni – przejazd w ul. Żwirki i Wigury Z uwagi na oszczędny, częściowo jednotorowy, układ linii zakłada się, że na odcinku 2 pozostaną istniejące przejazdy w poziomie szyn. Zmianie ulegnie ich kategoria, a w konsekwencji – sposób zabezpieczenia. Przejazd w ul. Kunickiego (km 0+939,34) Przejazd zostanie przekwalifikowany do kategorii „B”. Maksymalna prędkość pociągów 80 km/h. Przejazd w ul. Gagarina (km 1+298,89) W miarę rozbudowy tego obszaru zwiększy się iloczyn ruchu w jego obrębie. Zaleca się zabudowę przejazdu kategorii B. Maksymalna prędkość pociągów 80 km/h. Przejazd w ul. Żwirki i Wigury (km 1+622,23) Obecnie przejazd kategorii D. Przejazd zostanie przekwalifikowany do kategorii B. Maksymalna prędkość pociągów 80 km/h. Odcinek 3 –przejazd w ul. Żwirki i Wigury – Wrocław Lotnisko Przejazd w ul. Radarowej (km 4+091,300) Zakłada się zabudowanie przejazdu kategorii B. Maksymalna prędkość pociągów 80 km/h. 19
  • 21.
    Wstępne studium wykonalnościdla zadania pn.: Rewitalizacja linii kolejowej Wrocław – Lotnisko Etap III – Analiza techniczna Przejazd w drodze polnej (km 5+344,539) Zakłada się zabudowę przejazdu kategorii D. Przejazd w drodze polnej (km 6+720,830) Zakłada się zabudowę przejazdu kategorii D. 6.2 Wariant 2 W wariancie 2 wszystkie odcinki będą realizowane w standardzie linii kolejowej jednotorowej. Z uwagi na charakter wariantu przewiduje się pozostawienie skrzyżowań w poziomie szyn. Odcinek 2 – Wrocław Zachodni – przejazd w ul. Żwirki i Wigury Z uwagi na oszczędny, częściowo jednotorowy, układ linii zakłada się, że na odcinku 2 pozostaną istniejące przejazdy w poziomie szyn. Zmianie ulegnie ich kategoria, a w konsekwencji – sposób zabezpieczenia. Przejazd w ul. Kunickiego (km 0+865,677) Przejazd zostanie przekwalifikowany do kategorii „B”. Maksymalna prędkość pociągów 80 km/h. Przejazd w ul. Gagarina (km 1+225,227) W miarę rozbudowy tego obszaru zwiększy się iloczyn ruchu w jego obrębie. Zaleca się zabudowę przejazdu kategorii B. Maksymalna prędkość pociągów 80 km/h. Przejazd w ul. Żwirki i Wigury (km 1+548,565) Obecnie przejazd kategorii D. Przejazd zostanie przekwalifikowany do kategorii B. Maksymalna prędkość pociągów 80 km/h. Odcinek 3 –przejazd w ul. Żwirki i Wigury – Wrocław Lotnisko Przejazd w ul. Radarowej (km 4+017,64) Zakłada się zabudowanie przejazdu kategorii B. Maksymalna prędkość pociągów 80 km/h. Przejazd w drodze polnej (km 5+270,876) Zakłada się zabudowę przejazdu kategorii D. Przejazd w drodze polnej (km 6+647,165) Zakłada się zabudowę przejazdu kategorii D. Koszt budowy konstrukcji jednego przejazdu wynosi ok. 300 000 zł. 20
  • 22.
    Wstępne studium wykonalnościdla zadania pn.: Rewitalizacja linii kolejowej Wrocław – Lotnisko Etap III – Analiza techniczna 7 Obiekty inżynieryjne 7.1 Wariant 1 W ramach wariantu 1 przewiduje się remont 1 przepustu za kwotę 100 000 zł. Przewiduje się również zabudowę ośmiu przepustów ustandaryzowanych z blach falistych o koszcie netto 250 000 zł. Daje to kwotę 2 000 000 zł netto. Tabela 10. Szacunkowe koszty budowy obiektów inżynieryjnych w wariancie 1 Kilometraż Typ Zakres budowy Koszt netto 0+979,64 Przepust rurowy Naprawa, modernizacja przepustu 100 000 zł 2+779,274 Przepust rurowy Budowa przepustu z blachy falistej 250 000 3+524,899 Przepust rurowy Budowa przepustu z blachy falistej 250 000 4+113,653 Przepust rurowy Budowa przepustu z blachy falistej 250 000 4+500,422 Przepust rurowy Budowa przepustu z blachy falistej 250 000 4+770,684 Przepust rurowy Budowa przepustu z blachy falistej 250 000 7+572,743 Przepust rurowy Budowa przepustu z blachy falistej 250 000 7+863,239 Przepust rurowy Budowa przepustu z blachy falistej 250 000 8+264,245 Przepust rurowy Budowa przepustu z blachy falistej 250 000 9+868,012 Przepust rurowy Budowa przepustu z blachy falistej 250 000 Razem 2 100 000 7.2 Wariant 2 W ramach wariantu 2 przewiduje się remont 1 przepustu za kwotę 100 000 zł. Przewiduje się również zabudowę ośmiu przepustów ustandaryzowanych z blach falistych o koszcie netto 250 000 zł. Daje to kwotę 2 000 000 zł netto. W wariancie 2 należy uwzględnić również koszt budowy mostu ramowego żelbetowego na rzece Kasina. Koszt takiego obiektu to ok. 500 000 zł netto Tabela 11. Szacunkowe koszty budowy obiektów inżynieryjnych w wariancie 2 Kilometraż Typ Zakres budowy Koszt netto 0+515,246 Most na Kasinie Budowa mostu ramowego żelbetowego 500 000 0+905,977 Przepust rurowy Naprawa, modernizacja przepustu 100 000 zł 2+705,611 Przepust rurowy Budowa przepustu z blachy falistej 250 000 3+451,236 Przepust rurowy Budowa przepustu z blachy falistej 250 000 4+039,99 Przepust rurowy Budowa przepustu z blachy falistej 250 000 4+426,759 Przepust rurowy Budowa przepustu z blachy falistej 250 000 4+697,021 Przepust rurowy Budowa przepustu z blachy falistej 250 000 7+499,08 Przepust rurowy Budowa przepustu z blachy falistej 250 000 7+789,576 Przepust rurowy Budowa przepustu z blachy falistej 250 000 8+190,582 Przepust rurowy Budowa przepustu z blachy falistej 250 000 9+794,349 Przepust rurowy Budowa przepustu z blachy falistej 250 000 Razem 2 600 000 21
  • 23.
    Wstępne studium wykonalnościdla zadania pn.: Rewitalizacja linii kolejowej Wrocław – Lotnisko Etap III – Analiza techniczna 8 Obiekty kubaturowe W ramach zadania budowy linii do lotniska zakłada się budowę stacji końcowej Port Lotniczy oraz przystanek Krzeptów. W przypadku Portu Lotniczego zakłada się budowę dwóch peronów jednokrawędziowych kierunkowych. W przypadku Krzeptowa wystarczający jest jeden peron jednokrawędziowy. Na stacji Wrocław Zachodni zakłada się w wariancie 1 wybudowanie nowego peronu przeznaczonego do obsługi wyłącznie linii do lotniska. W przypadku wariantu 2 zakłada się pozostawienie układu peronów w dotychczasowym układzie. 8.1 Perony i budynki Perony Peron jest obiektem budowlanym, przy którym wzdłuż jego krawędzi zatrzymują się pojazdy szynowe przeznaczony jest do wsiadania i wysiadania podróżnych. Ze względu na pełnioną funkcję powinien być usytuowany równolegle do osi toru, a także w odległości określonej wymogami skrajni budowli. Długość peronu powinna przynajmniej odpowiadać długości zatrzymujących się pociągów. W zależności od potrzeb technologicznych przy projektowaniu peronów i przystanków osobowych powinno się ustalić:  liczbę peronów oraz liczbę krawędzi peronowych,  odpowiednie usytuowanie peronów, wynikające z położenia peronów względem torów,  sposób dojścia do peronów,  możliwość obsługi osób niepełnosprawnych. Zgodnie z podziałem budowli kolejowych zawartym w §4 pkt 2a i 2b rozporządzenia Ministra Transportu i Gospodarki Morskiej z dnia 10 września 1998 r. w sprawie warunków technicznych, jakim powinny odpowiadać budowle kolejowe i ich usytuowanie (Dz. U. z 1998 r., Nr 151, poz.987), jako kolejowe budowle towarzyszące określa się między innymi:  budowle i urządzenia związane z obsługą przewozów osób i rzeczy,  budowle zaplecza technicznego taboru kolejowego i dróg szynowych, §8 ust.2 pkt 2 i 3 cytowanego rozporządzenia określa wyposażenie techniczne linii kolejowej, a w szczególności następujące budowle i urządzenia:  związane z obsługą przewozu osób i rzeczy,  zaplecza technicznego taboru kolejowego. Minimalne rozstawy torów, pomiędzy którymi będą usytuowane perony określono w §45 ust. 2 i 3, a w Dziale VI Kolejowe budowle towarzyszące Rozdziale 1 Obiekty do obsługi podróżnych w § 98 i 99 opisano charakterystyki tych obiektów. Rozdział 2 Przejścia przez tory opisuje wymagania dla przejść. Rozdział 3 Obiekty dla obsługi przewozów towarowych określa rodzaje obiektów i urządzeń do przeładunku towarów. Rozdział 4 Obiekty zaplecza technicznego taboru kolejowego omawia potrzeby 22
  • 24.
    Wstępne studium wykonalnościdla zadania pn.: Rewitalizacja linii kolejowej Wrocław – Lotnisko Etap III – Analiza techniczna wyposażenia stacji w lokomotywownie, wagonownie i układy torowe z tym związane. Rozdział 5 Budowle i urządzenia sterowania ruchem kolejowym w ramach obiektów kubaturowych omawia nastawnie, których liczba i konstrukcja zależy od zastosowanych urządzeń srk, względów ruchowych i możliwości rozbudowy układów torowych. Ze względu na zapis §137 ust.2 przy modernizacji budowli kolejowych przepisy Rozporządzenia stosuję się, co skutkuje koniecznością wystąpienia o odstępstwa lub przeprojektowaniem układów torowych do stanu zgodnego z Rozporządzeniem. Odległość krawędzi peronu od osi toru powinna być zgodna z wymogami skrajni i wynosić 1,725 m, przy czym dla peronu w łuku odległość tę należy zwiększyć zgodnie z wymogami skrajni budowli określonymi w Polskich Normach. Dla projektu kolei standardową wysokość peronu przyjęto 0,76 m w wariancie 1 i 2. W warunkach technicznych, jakim powinny odpowiadać budowle kolejowe i ich usytuowanie (Dz. U. 1998, nr 151, poz. 987) minimalną długość peronu, w zależności od długości zatrzymujących się pociągów określono w § 98 ust.9 pkt 3) jako 200 m, to jest dla pociągów 8-wagonowych. W przypadku kolei miejskiej o charakterze długości peronów określane w Rozporządzeniu ze względu na przewidywane do kursowania składy pociągowe (tramwajowe) i konieczność ograniczenia kosztów inwestycji są wielkościami przekraczającymi potrzeby. Dla przewidywanych długości pociągów całkowicie wystarczająca jest długość 150 m, pozwalająca na przyjmowanie pociągów złożonych z dwóch elektrycznych zespołów trakcyjnych. Koszt wykonania metra kwadratowego peronu przyjęto jako 800 zł dla peronu o wysokości 0,76 m. W tabeli poniżej przedstawiono metodykę szacowania kosztu budowy peronu o wysokości 0,76 m powyżej główki szyny, długości 150m i szerokości 3m. Tabela 12. Szacunkowe koszty budowy peronu o wysokości 0,76 m 23
  • 25.
    Wstępne studium wykonalnościdla zadania pn.: Rewitalizacja linii kolejowej Wrocław – Lotnisko Etap III – Analiza techniczna Bior¹c pod uwagź powyæsze pozycje i zak³adaj¹c ok. 10 % wartoœci robót na roboty nieprzewidziane i za generalne wykonawstwo otrzymujemy kwotź oko³o 240 000,00 z³ netto za 300 m² peronu co daje po podzieleniu przyjźt¹ kwotź 800 z³ za m² peronu. Tabela 13. Szacunkowe koszty budowy peronów w wariancie 1 L.p. Lokalizacja przystanków Liczba peronów Kwota netto 1 Port Lotniczy 2 480 000,00 2 Krzeptów 1 240 000,00 3 Wrocław Zachodni 1 480 000,00 Suma 3 1 200 000,00 Tabela 14. Szacunkowe koszty budowy peronów w wariancie 2 L.p. Lokalizacja przystanków Liczba peronów Kwota netto 1 Port Lotniczy 2 480 000,00 2 Krzeptów 1 240 000,00 Suma 3 720 000,00 Budynki Budynki powinny spełniać odpowiednie normy konstrukcyjne w zakresie odporności na wstrząsy, a przeznaczone dla celów użyteczności publicznej powinny być odpowiednio oświetlone oraz spełniać kryteria ochrony przeciwpożarowej. Pomieszczenia przeznaczone dla urządzeń komputerowych muszą posiadać instalację klimatyzacji. Zakłada się wybudowanie jednego budynku na stacji Port Lotniczy. Wiaty Na stacjach i przystankach osobowych powinno się budować w miarę możliwości wiaty zabezpieczające osoby przebywające na peronie przed opadami atmosferycznymi, w dostosowaniu do istniejących lub przewidywanych lokalizacji przejść dla pieszych, stanowiących dojście do peronu lub poczekalni peronowych, przy czym:  architektura wiat powinna być dostosowana do otoczenia i charakteru budynku dworca oraz obiektów usytuowanych na peronie,  szerokość wiaty powinna uwzględniać wymagania skrajni budowli,  odprowadzenie wód opadowych z wiaty do przewodów kanalizacyjnych lub rowów odwadniających powinno odbywać się za pomocą rur spustowych,  wiata nie może zasłaniać widoczności sygnałów i wskaźników kolejowych,  wiata stalowa na liniach zelektryfikowanych powinna być zabezpieczona przed korozją elektrolityczną. Poniżej przedstawiono kilka typów wiat. Wiata typu VEGA jako dwustronna jest wskazana dla peronów wyspowych. Wiaty typu URBI lub MERCURY do ustawienia na lub poza obrębem peronów jednokrawędziowych z zachowaniem warunków przejścia poza pasem bezpieczeństwa. 24
  • 26.
    Wstępne studium wykonalnościdla zadania pn.: Rewitalizacja linii kolejowej Wrocław – Lotnisko Etap III – Analiza techniczna Poniżej przedstawiono przykładowy krótki opis ze wskazaniem wielkości i zakresu zamówienia do uzgodnienia i zamieszczenia potem w SIWZ dotyczący wiat peronowych. Zamówienie dotyczy dostawy montażu odpowiedniej liczby wiat peronowych o następujących parametrach:  długość wiaty liczona u podstawy min.4m±0,5m,  szerokość ścian bocznych u podstawy 0,5m± 10cm,  wysokość wiaty 2,5m± 10cm. Wiaty powinny spełniać poniższe wymagania:  konstrukcja - profile stalowe ocynkowane lub aluminiowe,  konstrukcja malowana proszkowo na kolor: biały Ral 9010,  przedni profil lewego boku powinien być pomalowany na kolor niebieski Ral 5015,  przedni profil prawego boku powinien być pomalowany na kolor granatowy Ral 5022,  przedni profil dachu powinien być pomalowany w 25% długości w kolorze zielonym Ral6018, następnie w 25% długości w kolorze granatowych Ral 5022, zaczynając od prawej strony, (wzór kolorystyki wiat powinien stanowić załącznik do SIWZ),  elementy metalowe konstrukcji ławki oraz elementy podparcia i płaskowniki przytrzymujące szyby powinny być pomalowane w kolorze zielonym Ral 6018,  pokrycie dachowe wykonane z poliwęglanu komorowego przyciemnianego grubości min. 4 mm w kształcie spłaszczonego owalu,  konstrukcja dachu powinna umożliwiać odprowadzenie wody opadowej,  ściany boczne i tylna przeszklone, szyby ze szkła hartowanego o grub. min. 8 mm,  wiata powinna być wyposażona w ławkę o szerokości min. 50 cm z siedziskiem wykonanym z drewna ( listwy drewniane), konstrukcja stalowa ławki zabezpieczona antykorozyjnie powinna być połączona z konstrukcją wiaty oraz stopki ławki powinny być dostosowane do montażu do podłoża, długość ławki min. 60% długości wiaty,  wiaty na górnym profilu mają mieć przymocowane tablice stalowe na naklejenie nazwy przystanku o wymiarach: długość 200 cm, szerokość16 cm (tablica powinna mieć możliwość demontażu i montażu), zabezpieczone antykorozyjnie pomalowane w kolorze białym  zamówienie obejmuje dostarczenie/montaż wiat peronowych do Wrocławia pod wskazany adres w uzgodnieniu z Zamawiającym. W projekcie kolei przewiduje się budowę wiat na każdym z peronów. Uwzględniając wytyczne odnośnie wymaganych norm, koszt wybudowania jednej wyniesie około 30 000 zł. Tabela 15. Szacowane koszty budowli i wiat Lokalizacja Koszt [tys. zł] Uwagi Budynki Nastawnia+pomieszczenia obsługi Stacja Port Lotniczy 500,00 podróżnych Wiaty Stacja Port Lotniczy 60 25
  • 27.
    Wstępne studium wykonalnościdla zadania pn.: Rewitalizacja linii kolejowej Wrocław – Lotnisko Etap III – Analiza techniczna Przystanek Krzeptów 60 Stacja Wrocław Zachodni 60 Razem 680,00 26
  • 28.
    Wstępne studium wykonalnościdla zadania pn.: Rewitalizacja linii kolejowej Wrocław – Lotnisko Etap III – Analiza techniczna 9 Systemy sterowania i kierowania ruchem 9.1 Wymagania Zapewnienie bezpiecznego i sprawnego ruchu z zakładaną częstotliwością i prędkością maksymalną 120 km/h, bez względu na kategorię linii po której ona przebiega, wymaga zastosowania odpowiednich urządzeń sterowania ruchem kolejowym (urządzeń srk) na posterunkach ruchu, szlakach oraz na jednopoziomowych skrzyżowaniach linii kolejowej z drogami kołowymi (na przejazdach kolejowych). Urządzenia te muszą zatem spełniać szereg wymagań, a w szczególności:  zapewnić wymagane bezpieczeństwo i płynność ruchu na posterunkach ruchu, szlakach i przejazdach kolejowych;  zapewnić, wymaganą przepisami prawa, sygnalizację na semaforach i sygnalizatorach;  zapewnić bezpieczną obsługę bocznic i punktów ładunkowych;  być przyjazne w obsłudze dla personelu obsługi, odpowiedzialnego za prowadzenie ruchu, a zwłaszcza umożliwiać sterowanie urządzeniami na określonym obszarze z jednego miejsca z rejestracją wykonanych czynności i wydanych poleceń;  być łatwe w eksploatacji, o możliwie długich resursach między kolejnymi zabiegami konserwacyjnymi i utrzymaniowymi, z sygnalizacją i rejestracją występujących usterek i nieprawidłowości. 9.2 Stan wyjściowy do wyposażenia w urządzenia srk Obecnie istniejące odcinki linii kolejowych wyposażone są w różne typy urządzeń srk – od najprostszych urządzeń kluczowych z sygnalizacją kształtową (urządzenia zewnętrzne nastawiane są ręcznie w terenie), poprzez urządzenia mechaniczne z sygnalizacją kształtową i świetlną (urządzenia zewnętrzne nastawiane są z nastawni za pomocą dźwigni mechanicznych), urządzenia elektromechaniczne z sygnalizacją świetlną (zależności realizowane są na drodze mechanicznej lub elektrycznej, a urządzenia zewnętrzne nastawiane są elektrycznie), urządzenia przekaźnikowe (realizacja zależności i nastawianie urządzeń realizowane jest na drodze elektrycznej z pulpitu nastawczego), po urządzenia przekaźnikowe z pulpitem komputerowym (zależności realizowane są na drodze elektrycznej, natomiast nastawianie urządzeń odbywa się za pomocą urządzenia komputerowego). Prowadzenie ruchu pociągów na szlakach realizowane jest również według wielu standardów – od najprostszego polegającego na telefonicznym zapowiadaniu pociągów (bez urządzeń srk - na szlaku może znajdować się tylko jeden pociąg), poprzez półsamoczynną, mechaniczną blokadę liniową, bądź przekaźnikową (na szlaku może znajdować się tylko jeden pociąg), po samoczynną, przekaźnikową blokadę liniową (na szlaku pomiędzy kolejnymi posterunkami ruchu może znajdować się więcej niż jeden pociąg). 9.3 Zakres modernizacji urządzeń srk Przyjmując przyjęte w poprzednim punkcie założenia wyjściowe proponuje się wyposażyć posterunki ruchu i szlaki w sterowane z jednego miejsca, komputerowe urządzenia srk, jako rozwiązanie docelowe. Do stwierdzania niezajętości torów stacyjnych i szlakowych zastosowane 27
  • 29.
    Wstępne studium wykonalnościdla zadania pn.: Rewitalizacja linii kolejowej Wrocław – Lotnisko Etap III – Analiza techniczna zostałyby licznikowe obwody torowe. Na szlakach zostałaby zabudowana komputerowa, samoczynna, dwukierunkowa blokada liniowa. Na przejazdach kolejowych wymagających, zgodnie z rozporządzeniem ministra transportu i gospodarki morskiej, urządzeń sterowania ruchem zabudowane zostałyby urządzenia komputerowe samoczynnej sygnalizacji świetlnej z półrogatkami (przejazdy kat. B) lub bez półrogatek (przejazdy kat. C), względnie rogatki (przejazdy kat. A). Wszystkie urządzenia srk na posterunkach ruchu i na szlakach oraz na przejazdach kat. A, spełniających wymagania do obsługi z odległości, sterowane będą z lokalnego centrum sterowania (LCS) zlokalizowanego na stacji Wrocław Port Lotniczy. Urządzenia zabudowane pomiędzy stacją Wrocław Zachodni i Wrocław Port Lotniczy obsługiwane będą z LCS zlokalizowanego na nowo wybudowanej stacji Wrocław Port Lotniczy. W budynku tego LCS proponuje się zlokalizować również centrum diagnostyczne urządzeń srk dla tego odcinka linii. Odcinek Wrocław Zachodni – Wrocław Port Lotniczy Odcinek linii nr 274 Nowe rozjazdy wbudowane w układ torowy w rejonie stacji Wrocław Zachodni zostaną włączone do sterowania ze stacji Wrocław Zachodni. Na szlakach stycznych do powyższych posterunków ruchu nastąpi również przebudowa (modyfikacja) istniejących urządzeń samoczynnej blokady liniowej, dostosowująca ją do nowych układów torowych na linii. Szacowany ich koszt (wraz z projektami) wynosi około 1,77 mln zł. Odcinek linii Wrocław Zachodni – Wrocław Port Lotniczy Na powstałym odcinku linii zostaną zabudowane: na posterunkach ruchu – komputerowe urządzenia srk, na szlakach – komputerowa, samoczynna, dwukierunkowa blokada liniowa, na przejazdach kolejowych nowe, komputerowe urządzenia sterowania ruchem. W zakresie urządzeń srk nowe posterunki ruchu będą obejmowały stację Wrocław Port Lotniczy. Na szlakach pomiędzy posterunkami ruchu zabudowana zostanie komputerowa, samoczynna, dwukierunkowa blokada liniowa oraz wykonane jej powiązania z urządzeniami stacyjnymi. Na szlakach stycznych do utworzonego obszaru zdalnego sterowania zabudowana zostanie komputerowa, samoczynna, dwukierunkowa, jednoodstępowa blokada liniowa wraz z powiązaniami z urządzeniami stacyjnymi ograniczającymi ten szlak. Zakres robót oraz szacowany ich koszt (wraz z projektami) przedstawia poniższa tabela. Tabela 16. Zakres i koszt robót w urządzeniach srk na odcinku Wrocław Zachodni – Wrocław Port Lotniczy Koszt [tys. Obiekt Zakres robót PLN] - zabudowa komputerowych urządzeń srk Stacja Wrocław Zachodni 4 860 - włączenie urządzeń do LCS Wrocław Port Lotniczy - zabudowa komputerowej, dwukierunkowej, samoczynnej blokady liniowej (3 odstępy, szlak jednotorowy) szlak Wrocław Zachodni – Wrocław - włączenie nowej sbl do urządzeń st. Wrocław Zachodni i 4 320 Port Lotniczy st. Wrocław Port Lotniczy - budowa nowych urządzeń na przejazdach - zabudowa komputerowych urządzeń srk i włączenie do st. Wrocław Port Lotniczy 15 900 LCS 28
  • 30.
    Wstępne studium wykonalnościdla zadania pn.: Rewitalizacja linii kolejowej Wrocław – Lotnisko Etap III – Analiza techniczna - budowa LCS - powiązania z LCS RAZEM 25 080 10 Urządzenia telekomunikacji 10.1 Stan istniejący sieci telekomunikacyjnej Główne składniki obecnej infrastruktury telekomunikacyjnej na rozpatrywanych odcinkach to:  linie kablowe,  urządzenia komutacyjne,  urządzenia łączności technologicznej (ruchowej),  urządzenia łączności radiowej,  urządzenia informacji podróżnych i sygnalizacji czasu, Na interesującym nas odcinku Wrocław Zachodni – Wrocław Port Lotniczy brak obecnie jakiejkolwiek sieci telekomunikacji kolejowej 10.2 Charakterystyka modernizacji Rozważana budowa i modernizacja odcinków linii kolejowych nie wpływają praktycznie na zakres prac w dziedzinie telekomunikacji, stąd też nie omawiano wariantów modernizacji w tej branży. Modernizacja w zakresie infrastruktury telekomunikacyjnej będzie obejmowała:  odbudowę infrastruktury kablowej tam, gdzie stan kabli jest zły oraz ułożenie kabli tam, gdzie obecnie ich nie ma,  wymianę i uzupełnienie urządzeń technologicznej łączności przewodowej,  wymianę i uzupełnienie systemów technologicznej łączności radiowej,  uzupełnienie i unowocześnienie systemów informacji dla podróżnych; Na każdej stacji i przystanku osobowym powinien być zainstalowany zegar oraz zestaw nagłośniający. Ponadto na stacjach, na których prognozuje się większą wymianę pasażerów proponuje się zabudowę tablicowych systemów informacji wizualnej.  Opcjonalnie - zainstalowanie kompletu urządzeń do detekcji stanów awaryjnych taboru. Modernizacja powinna być połączona z cyfryzacją systemów i ich przystosowaniem do współczesnych wymagań w zakresie funkcjonalności. Wdrożenie systemu GSM-R może być rozważane fakultatywnie Ze względu jednak na potrzebę modernizacji obecnego systemu radiołączności należy przyjąć, że docelowo radiołączność będzie musiała być oparta na systemie GSM-R. Z uwagi na wspomnianą konieczność docelowego ujednolicenia radiołączności i całkowitego zastąpienia systemu 150 MHz systemem GSM-R, należy już obecnie przewidzieć odpowiednie zasoby transmisyjne tak, by nie było potrzeby wznawiania robót ziemnych ani wymiany nowo zainstalowanego sprzętu. 29
  • 31.
    Wstępne studium wykonalnościdla zadania pn.: Rewitalizacja linii kolejowej Wrocław – Lotnisko Etap III – Analiza techniczna 10.3 Zakres rzeczowy modernizacji W wyniku wstępnej analizy stanu istniejącego oraz potrzeb obejmujących sterowanie i kierowanie ruchem, zakłada się wykorzystanie na wszystkich odcinkach linii kabli typu TKM oraz kabli optotelekomunikacyjnych. Istotnym zagadnieniem – szczególnie w aspekcie przyszłego wdrażania łączności GSM-R – jest zapewnienie bezpiecznych kanałów transmisyjnych, czyli zastosowanie takich rozwiązań w zakresie infrastruktury stacjonarnej, które będą możliwie odporne na uszkodzenia. Jednym ze znanych rozwiązań w dziedzinie sieci SDH jest stosowanie sieci o topologii pierścieniowej zamiast otwartej, łańcuchowej. Jej zaletą jest możliwość stworzenia dla każdej z par węzłów drogi alternatywnej, czyli protekcji w przypadku uszkodzenia pojedynczego węzła lub przęsła. Tam, gdzie będzie to możliwe, proponuje się ułożyć nowe kable po przeciwnej stronie toru w stosunku do kabli Telekomunikacji Kolejowej. Kable te powinny być układane pod rzekami i rowami w rurociągach, co ma na celu uniknięcie problemów występujących przy remontach konstrukcji mostowych oraz zapobieżenie aktom dewastacji. Szczegółowe przeznaczenie włókien kabli OTK i par (czwórek) kabli TKM będzie określone na etapie tworzenia dokumentacji projektowej, po uwzględnieniu wszystkich potrzeb wynikających z zakresu modernizacji. Istotnym utrudnieniem w procesie inwestycyjnym może być problem kolizji kabli telekomunikacyjnych (również należących do innych operatorów) z modernizowanym układem torowym i przebudowywanymi obiektami. Aktualna norma PN-T-45002 regulująca zasady krzyżowania kabli telekomunikacyjnych z torami kolejowymi wymaga głębszego układania przepustów kablowych pod torami w stosunku do obowiązującej wcześniej. Oznacza to potrzebę weryfikacji istniejących przepustów pod torami (wykonanych przed 1998 rokiem) i ew. ich doprowadzenie do stanu zgodności z obowiązującymi wymaganiami. Urządzenia informacji dla podróżnych oraz dystrybucji czasu Należy przewidzieć na każdej stacji zegar oraz instalację nagłośnieniową. System generacji zapowiedzi głosowych powinien być systemem w możliwie wysokim stopniu zautomatyzowanym, gdzie generacja odpowiedniego komunikatu następuje z wykorzystaniem informacji o zbliżaniu się pociągu odbieranej z automatyki srk (np. z SBL) skojarzonej z odpowiednim zleceniem odcinkowego dyżurnego ruchu. Zdalnie również odbywa się załączanie/wyłączanie lokalnych wzmacniaczy mocy. Ze względu na określone niedostatki informacji megafonowej („ulotność”, pogorszona zrozumiałość w trudniejszych warunkach akustycznych, ograniczona dostępność dla pasażerów z dysfunkcją słuchu) na stacjach, na których prognozuje się znaczniejszą wymianę pasażerów, należy uzupełnić system informacji podróżnych o urządzenia informacji wizualnej (tablice wyświetlające na bieżąco informacje o ruchu pociągów, tj. o czasie przyjazdów / odjazdów, opóźnieniach itp.). Stosownie do potrzeb powinny to być dwustronne tablice peronowe, a na stacjach wyposażonych w budynek dworcowy również zbiorcze tablice odjazdów (na stacjach końcowych ew. również tablice przyjazdów) zamontowane w halach dworcowych, wraz z niezbędnym systemem sterującym. W zależności od częstotliwości kursowania pociągów warto rozważyć alternatywnie, (lub 30
  • 32.
    Wstępne studium wykonalnościdla zadania pn.: Rewitalizacja linii kolejowej Wrocław – Lotnisko Etap III – Analiza techniczna uzupełniająco) system uproszczony, stosowany powszechnie w metrze, tj. wyświetlanie czasu od chwili odjazdu poprzedniego pociągu. Przewiduje się, że zamontowane na / w obiektach kolejowych zegary będą sterowane z central zegarowych rozmieszczonych w LCS-ach. W zależności od rozwiązania szczegółowego centrale te mogą działać z wykorzystaniem wzorcowych sygnałów czasu, emitowanych ze specjalnego, długofalowego nadajnika radiowego DCF-77 pracującego w oparciu o wzorzec atomowy (zlokalizowanego koło Frankfurtu nad Menem w RFN) lub w oparciu o satelitarny system lokalizacyjny (GPS lub w późniejszym okresie GALILEO). W przypadku zaniku zewnętrznego sygnału radiowego centralka powinna przełączyć się na pracę z wysokostabilnym generatorem wewnętrznym. Po starcie (włączeniu zasilania) centralka powinna dosynchronizować sterowane zegary do aktualnego czasu. Linie sterujące zegarami powinny być odporne na zwarcia i przeciążenia. Urządzenia telewizji użytkowej TVU (CCTV) Zgodnie z rozporządzeniem MTiGM przejazdy spełniające określone warunki mogą być obsługiwane i nadzorowane zdalnie. Dla zapewnienia zdalnej obserwacji i nadzoru takich przejazdów przez obsługę LCS lub najbliższej nastawni przyjęto zastosowanie systemu dozorowej telewizji użytkowej TVU (oznaczanej też symbolem CCTV - Closed-Circuit TeleVision) z dwukierunkowym systemem audio dla przekazywania komunikatów i ostrzeżeń w sytuacjach wystąpienia zagrożeń. Dla transmisji wizji i fonii na odcinku od nadzorowanego przejazdu do najbliższego węzła ZSŁK mogą być stosowane karty Ethernet 10/100 urządzeń transmisyjnych SDH zlokalizowanych w szafkach systemu ZSŁK. Punkty obserwacji CCTV będą wyposażone w kamery (zalecane kolorowe) z przetwornikiem CCD o czułości co najmniej 0,1 lx i automatyczną przysłoną. System będzie wyposażony w bezprzerwowe zasilanie awaryjne, umożliwiające pracę przez co najmniej 8 godzin w sytuacji braku zasilania z sieci elektroenergetycznej. Ze względu na wymogi prawne przewidywana jest archiwizacja obrazu co najmniej z ostatnich 48 godzin. W przypadku stosowania wydzielonego łącza transmisyjnego na potrzeby systemu TVU, w zależności od odległości między obsługiwanym przejazdem a miejscem obsługi, jako medium transmisyjne mogą być użyte kable miedziane lub powinno być wykorzystane łącze światłowodowe. Pełniejszy zakres zabudowy systemów telewizji użytkowej będzie mógł być określony na etapie ustalenia przejazdów, na których zastosowanie systemów TVU będzie celowe. Należy zwrócić uwagę, że kolejowe systemy TVU obejmują nie tylko zdalny nadzór przejazdów, ale również zdalny nadzór miejsc narażonych na działania przestępcze (w tym również wagonów). Systemy takie nie muszą spełniać warunków stawianych urządzeniom służącym do zabezpieczania ruchu kolejowego. Tabela 17. Szacowane nakłady finansowe [tys. PLN]. Cena kpl. Liczba Koszt Lp. Pozycja kosztów [tys. PLN] szt. tys. PLN 1 2 3 4 5 1 Inst. Urządzeń torowych z f. GM, GH i PM 1 000 1 1 000 3 Terminal dyżurnego odcinkowego w LCS 28 2 56 Ogółem* 1 056 * - bez uwzględnienia terminali dyżurnych ruchu w nastawniach lokalnych oraz dla służb utrzymaniowych Radiołączność 150 MHz 31
  • 33.
    Wstępne studium wykonalnościdla zadania pn.: Rewitalizacja linii kolejowej Wrocław – Lotnisko Etap III – Analiza techniczna W przypadku konieczności wyposażenia linii w radiołączność 150 MHz, stacje bazowe systemu powinny być dostosowane do trybu pracy ze zdalnym sterowaniem. Rozmieszczenie stacji bazowych oraz wysokości masztów antenowych powinno wynikać z procesu planowania radiowego i badań warunków propagacyjnych. Dla zapewnienia ciągłości pracy stacji bazowych w sytuacji awarii zasilania z sieci elektroenergetycznej należy przewidzieć zasilanie rezerwowe (na minimum 8 godzin) z wbudowanego układu bezprzerwowego zasilania awaryjnego UPS. Z uwagi na stan starszych radiotelefonów oraz niespełnianie przez nie aktualnych wymagań zaleca się intensyfikację procesu planowej wymiany radiotelefonów stacjonarnych w sieci pociągowej. W miarę możliwości wymiana powinna objąć też sprzęt pracujący w innych sieciach. Na odcinkach nie objętych obecnie zasięgiem radiołączności należy przewidzieć, instalację radiotelefonów dla sieci pociągowej i innych - zgodnie z potrzebami. Z uwagi na brak informacji o liczbie pociągów obsługujących linię, oraz na fakt, że ich wyposażenie w radiotelefony kabinowe będzie leżało w gestii dysponenta taboru – kosztów tych radiotelefonów w pracy nie ujęto. Zaleca się, aby w taborze obsługującym linię były montowane kabinowe radiotelefony dwusystemowe lub takie, które mają łatwą możliwość rozbudowy o moduł GSM-R. Radiołączność GSM-R Przy szacowaniu kosztów przyjęto założenie, że takie elementy infrastruktury jak MSC i BSC będą funkcjonowały i stacje bazowe linii będą przyłączone do sterownika BSC obsługującego północny fragment linii E65. Przyjęto także wstępnie, że będą instalowane BTS-y typu szlakowego i średnia odległość między nimi będzie wynosiła ok. 5 km. Wyniki wstępnego planowania radiowego mogą jednak wskazywać na celowość instalacji również stacji obszarowych oraz takie rozmieszczenie BTS-ów, że ich liczba będzie inna. Tabela 18. Minimalne szacowane nakłady finansowe. Cena Koszt Lp. Element infrastruktury Liczba [tys. PLN] [mln PLN] 1 Stacja bazowa szlakowa 7 240 1,680 2 Stacja bazowa obszarowa 0 420 0 3 Terminal stacjonarny (dyżurnego, dyspozytora) 2 56 0,112 4 Terminal noszony 20 2,5 0,050 Ogółem 1,842 32
  • 34.
    Wstępne studium wykonalnościdla zadania pn.: Rewitalizacja linii kolejowej Wrocław – Lotnisko Etap III – Analiza techniczna 11 System zasilania i sieć trakcyjna Zakłada się, że projektowana linia będzie nie zelektryfikowana. Elektryfikacja linii rozpatrzona została jako rozwiązanie alternatywne, żeby umożliwić ew. elektryfikację w przyszłości. Przewidziana wariantowa elektryfikacja dotyczyła odcinka jednotorowego od stacji Wrocław Zachodni do punktu końcowego Wrocław Lotnisko. 11.1 Zasilanie sieci trakcyjnej Przewiduje się, że w wariancie ma być wykorzystywana trakcja elektryczna zasilana napięciem 3 kV DC. System zasilania sieci trakcyjnej zapewni dostarczanie energii do poruszania się pociągów oraz działania innych systemów, przy zachowaniu wymaganych parametrów ilościowych i jakościowych. Zakłada się modernizację linii do parametrów pozwalających na prowadzenie ruchu pociągów pasażerskich z prędkością do 120 km/h i minimalnym następstwem 15 minut. Jako minimalne parametry układu zasilania przyjęto takie, przy których dla zakładanego ruchu średnie napięcie użyteczne na pantografie dla każdego pociągu znajdującego się na analizowanym obszarze nie będzie niższe niż 2700 V, a jego chwilowa wartość nie spadnie poniżej 2000 V oraz zachowany będzie warunek wyłączalności prądów zwarć odległych – występujących przy sąsiedniej podstacji. Sieć trakcyjna będzie zasilana przez istniejącą podstację PT Wrocław Zachodni. Układ zasilania będzie uzupełniać nowa kabina sekcyjna Strachowice. Zasilanie tej podstacji może odbywać się z GPZ zasilającego lotnisko. Podstacja ta będzie wyposażona w dwa 12-pulsowe zespoły prostownikowe o znamionowym prądzie wyprostowanym minimum 1700 A w III klasie przeciążalności (PD1,7). Nowe podstacje i kabina sekcyjna powinny być włączone w system zdalnego sterowania. Dla zakładanego ruchu oraz pojazdów wyznaczono wartość średniego napięcia użytecznego na pantografie, którego wartość dla poszczególnych odcinków jest następująca: PT Wrocław Zachodni – PT Lotnisko: Uu = 3132 V. Zakres prac związanych modernizacją i budową elementów układu zasilania sieci trakcyjnej oraz ich koszty przedstawiono w poniższej tablicy. Koszty prac zostały określone na podstawie danych wskaźnikowych wyznaczonych na bazie innych projektów. Tabela 19. Zakres prac związanych z modernizacją i budową elementów zasilania sieci trakcyjnej. Obiekt Zakres prac Koszt [tys. zł] Modernizacja podstacji: − wymiana zespołów prostownikowych z PK-17 na 3 x PD-1,7, − wymiana rozdzielni 3 kV; − wymiana rozdzielni SN, − wymiana celki minusowej wraz z urządzeniami PT Wrocław Zachodni ochrony ziemnozwarciowej i kontroli ciągłości kabli 11 820 (istniejąca) powrotnych; − modernizacja układów zasilania 220 V DC i 230/400 V AC; − budowa kabli zasilaczy i powrotnych. Remont linii zasilających Remont budynku podstacji KS Strachowice Budowa nowej 3-polowe kabiny sekcyjnej 3 250 33
  • 35.
    Wstępne studium wykonalnościdla zadania pn.: Rewitalizacja linii kolejowej Wrocław – Lotnisko Etap III – Analiza techniczna Razem 15 070 11.2 Sieć trakcyjna Ze względu na ograniczenie spadków napięć oraz zapewnienie długich okresów pracy sieci bez potrzeby wymiany przewodów jezdnych, w wariancie zakłada się zastosowanie na torach szlakowych oraz głównych zasadniczych sieć o przekroju 420 mm2 (typu YC120-2CS150). Sieć typu YC120- 2CS150 jest siecią skompensowaną, uelastycznioną składająca się z:  liny nośnej o przekroju 120 mm2 Cu,  dwóch przewodów jezdnych ze stopu CuAg0,10 o przekroju 150 mm 2. Charakterystyczne parametry techniczno – dynamiczne sieci YC120-2CS150 są następujące:  naciąg w linie nośnej 1907 daN,  naciąg w przewodach jezdnych 2 x 1483 daN,  rozpiętość maksymalna przęsła 65 m,  wysokość konstrukcyjna 1,70 m,  długość zawieszenia uelastyczniającego „Y” 17m,  układ przęsła naprężenia 59 + 3 + 59 + 3 + 59 = 183 m. Na torach głównych dodatkowych, bocznych i przejściach rozjazdowych proponuje się zastosowania sieci typu C120-C. Ze względu na podniesienie odporności sieci na ścieranie również w torach bocznych zostaną zastosowane przewody jezdne ze stopu CuAg0,10. Sieć trakcyjna wykonana będzie w użyciem stalowych konstrukcji wsporczych posadawianych na fundamentach palowych. Wszystkie konstrukcje wsporcze będą uszyniane grupowo przy pomocy przewodu AFL 120 mm2 prowadzonego po słupach i podłączonego na końcach do szyn poprzez ograniczniki niskonapięciowe wielokrotnego działania. Każda konstrukcja wsporcza winna być również uziemiona przy pomocy uziomu prętowego. Rezystancja pojedynczego uziomu nie powinna przekraczać 50 Ω, a rezystancja wypadkowa uziomów jednej sekcji uszynienia grupowego nie powinna być większa od 2 Ω. Ilości i koszt budowy sieci dla poszczególnych odcinków zestawiono w poniższej tablicy. Koszty budowy sieci zostały określone na podstawie danych wskaźnikowych wyznaczonych na bazie innych projektów, przyjmując średni koszt budowy sieci YC120-2CS150 na poziomie 1050 tys. zł/tkm, a sieci C120-C – 850 tys. zł/tkm. Tabela 20. Zakres prac i koszty budowy sieci trakcyjnej. Typ sieci Długość [tkm] Koszt [tys. zł] YC120-2CS150 10,5 11 025 C120-C 0,2 170 Razem 11 195 11.3 Elektroenergetyka nietrakcyjna Przewiduje się zasilanie wszystkich odbiorów nietrakcyjnych z nowo wybudowanej linii potrzeb nietrakcyjnych (LPN) 15 kV poprzez stacje transformatorowe SN/nn. Odcinki międzypodstacyjne LPN zasilane będą dwustronnie. Praca normalna linii odbywać się będzie przy włączeniu zasilania z jednej strony i przy otwartym wyłączniku w polu wyjściowym 34
  • 36.
    Wstępne studium wykonalnościdla zadania pn.: Rewitalizacja linii kolejowej Wrocław – Lotnisko Etap III – Analiza techniczna rozdzielni 15 kV podstacji lub odczepu. W przypadku zaniku napięcia na czynnym źródle zasilania, linia zostanie automatycznie przełączona na zasilanie z drugiej strony za pomocą układu SZR. Linia 15 kV podzielona będzie odłącznikami sekcyjnymi umożliwiającymi odłączenie spod napięcia poszczególnych jej odcinków dla dokonania napraw lub konserwacji oraz możliwości utworzenia dwóch niezależnych ciągów zasilania. W przypadku konieczności wyłączenia spod napięcia jednego odcinka linii pozostałe odcinki linii zasilane będą promieniowo z obydwu podstacji trakcyjnych. Linie 15 kV LPN będą wykonane jako kablowe o przekroju minimum 70 mm2 Al. Docelowy przekrój LPN zostanie określony na etapie projektu budowlanego, przy uwzględnieniu mocy wszystkich przyszłych odbiorów nietrakcyjnych na modernizowanym odcinku linii. Zakłada się, że LPN będzie przebiegać po terenie kolejowym. Z uwagi długie odcinki linii kablowych LPN zostanie zastosowana kompensacja mocy biernej. Układy do kompensacji mocy biernej będą instalowane w podstacjach trakcyjnych, z których będą zasilane te linie kablowe. Odbiory nietrakcyjne będą zasilane poprzez stacje transformatorowe 15/0,4 kV, zasilane z omówionych powyżej LPN. Z uwagi na lokalizację stacji w sąsiedztwie stacji i przystanków oraz w terenie silnie zabudowanym, większość stacji transformatorowych będzie w wykonaniu budynkowym (kontenerowym). Określenie docelowej mocy i lokalizacji stacji transformatorowych będzie możliwe na etapie projektu budowlanego, po określeniu ostatecznych rozwiązań zasilanych układów urządzeń nietrakcyjnych i po dokonaniu analizy zapotrzebowania na moc i energię elektryczną. System zasilania odbiorów nietrakcyjnych zostanie włączony w system zdalnego sterowania urządzeniami zasilania. Zakres prac związanych budową elementów układu zasilania odbiorów nietrakcyjnych dla wariantu 1 oraz ich koszty przedstawiono w poniższej tablicy. Koszty prac zostały określone na podstawie danych wskaźnikowych wyznaczonych na bazie innych projektów prowadzonych na liniach E20, E30 i E65. Przyjęte średnie, jednostkowe koszty budowy elementów układu zasilania odbiorów nietrakcyjnych wynoszą: linia kablowa SN z odłącznikami – 280 tys. zł/km; budynkowa stacja transformatorowa – 200 tys. zł/ szt.; słupowa stacja transformatorowa – 45 tys. zł/szt. Tabela 21. Zakres prac i koszty modernizacji układu zasilania odbiorów nietrakcyjnych. Odcinek Długość [tkm] Koszt [tys. zł] Wrocław Zachodni - Budowa linii kablowych (11 km) z odłącznikami; 5 025 Lotnisko budowa 8 stacji transformatorowych o łącznej mocy 380 kVA, budowa przyłączy linią kablową do GPZ Razem 5 025 W zakresie elektroenergetyki do 1 kV zawierają się prace dotyczące:  oświetlenia obiektów linii dolotniskowej (przystanków, rozjazdów, terenu, przejść i przejazdów itd.)  ogrzewania i sterowania rozjazdów;  zasilania urządzeń srk i sygnalizacji;  zasilania pozostałych obiektów. Oświetlenie na terenie otwartym będzie realizowane przy pomocy opraw oświetleniowych typu kolejowego, na konstrukcjach wsporczych w postaci żerdzi betonowych wirowanych. Układy 35
  • 37.
    Wstępne studium wykonalnościdla zadania pn.: Rewitalizacja linii kolejowej Wrocław – Lotnisko Etap III – Analiza techniczna oświetlenia obiektów kolejowych powinny będą wyposażone w systemy sterowania oświetleniem z miejsca i zdalne z LCS oraz ręczne i w funkcji natężenia światła i czasu. Rozjazdy kolejowe zostaną wyposażone w urządzenia elektrycznego ogrzewania rozjazdów (eor) przystosowane do lokalnych warunków eksploatacji. Zasilanie grzejników torowych będzie realizowane poprzez urządzenia tworzące system eor, w którego skład wchodzą:  transformatory separacyjne,  szafy rozdzielcze przytorowe,  urządzenia umożliwiające automatyczne i zdalne sterowanie oraz obserwacje stanu eor w różnych obiektach. System elektrycznego ogrzewania rozjazdów umożliwi sterowanie automatyczne (w zależności od warunków atmosferycznych), lokalne i zdalne z LCS oraz nadzór nad stanem urządzeń zasilających i odbiorczych:  pojedynczych rozjazdów,  pojedynczych grup rozjazdów,  pojedynczych stacji,  grupy stacji wraz ze stacjami bez obsługi ruchowej. System eor umożliwi przekazywanie informacji o:  stanie sprawności urządzeń torowych, przytorowych, zasilających i sterujących,  trybie pracy (ręczny, automatyczny),  stanie pracy urządzeń odbiorczych i zasilających (czynny, nieczynny),  zużyciu energii elektrycznej,  czasie pracy urządzeń grzewczych. System eor umożliwi realizację funkcji:  programowanie nastaw progowych algorytmów załączania i wyłączania obwodów  grzewczych w trybie automatycznym,  programowania obwodów grzewczych w stan czynny lub nieczynny z nastawni  ruchowej,  przesyłania informacji o stanie pracy urządzeń zasilania i odbiorczych dostępnymi  miejscowymi systemami transmisji danych. Zakres prac budowy i modernizacji urządzeń elektroenergetyki nietrakcyjnej oraz koszty tych prac zestawiono w poniższej tablicy. Koszty prac zostały określone na podstawie danych wskaźnikowych wyznaczonych na bazie innych projektów prowadzonych na liniach E20, E30 i E65. Przyjęte średnie, jednostkowe koszty budowy elementów elektroenergetyki do 1 kV wynoszą: oświetlenie (oprawa, słup, linie zasilające i sterowanie) – 17,8 – 18,2 tys. zł/szt.; eor rozjazdów kolejowych – 65 tys. zł/szt. 36
  • 38.
    Wstępne studium wykonalnościdla zadania pn.: Rewitalizacja linii kolejowej Wrocław – Lotnisko Etap III – Analiza techniczna Obiekt Zakres prac Koszt [tys. zł] budowa oświetlenia rozjazdów, budowa Wrocław Zachodni oświetlenia peronów i dojść, budowa linii zasilających nn wraz z rozdzielniami budowa oświetlenia peronów i dojść, budowa linii Krzeptów zasilających nn wraz z rozdzielniami budowa oświetlenia rozjazdów, budowa oświetlenia peronów i dojść, budowa linii zasilających nn Port Lotniczy wraz z rozdzielniami, budowa zasilania budynków stacyjnych Przejazd w ul. Kunickiego (km 0+865,677) 4200 Przejazd w ul. Gagarina (km 1+225,227) Przejazd w ul. Żwirki i Wigury budowa oświetlenia przejazdów, budowa linii zasilających nn (km 1+548,565) wraz z rozdzielniami, budowa zasilania urządzeń Przejazd w ul. Radarowej przejazdowych (km 4+017,64) Przejazd w drodze polnej (km 5+270,876) Przejazd w drodze polnej (km 6+647,165) 37