Engineering Mechanics
Shear Force, Bending Moment
&
Truss
PROF. DULAL GOLDAR.
FORMER DIRECTOR DTU
dulalgoldar@gmail.com
SHEAR FORCES AND BENDING MOMENTS IN DIFFERENT BEAMS.
THREE POINT LOADING
A simply supported Beam of span length, L is subjected to a
point load, P at the centre of the span. Draw S.F and B.M
diagram
ROLLER SUPPORT AT B
HINGE SUPPORT AT A
SAGGING B.M
T- Tension at Bottom
C- Compression at Top
SHEAR FORCE
BENDING MOMENT
SHEAR FORCE DIAGRAM
BENDING MOMENT DIAGRAM
DATUM
DATUM
SHEAR FORCE
BENDING MOMENT
S. F. D
B. M. D
RESULTS
S. F. D
B. M. D
A POINT LOADING
A Cantilever Beam of span length, L is subjected to a point
load, P at the Free-end. Draw S.F and B.M diagram
SHEAR FORCE DIAGRAM
BENDING MOMENT DIAGRAM
S. F. D
B. M. D
HOGGING B.M
C- Compression at
Bottom
T- Tension at Top
FOUR- POINT LOADING
A Simply supported Beam of span, L is subjected to Two Point
Loading symmetrically placed from supports by a distance ‘a’
from each supports. Draw SF & BM diagrams
STEP-I
STEP-II S. F. D
B. M. D
STEP-III
PURE
BENDING
MECHANICS OF
DEFORMABLE SOLIDS
ORIGINAL
SHAPE
DEFORMED SHAPE
RESULTS
UNIFORMLY DISTRIBUTED LOAD
A simply supported beam of span ‘L’ is subjected
to uniformly distributed load (u.d.l) of ‘w’ kN/m
throughout the span length. Draw SFD & BMD
STEP-I
SHEAR FORCE DIAGRAM
BENDING MOMENT DIAGRAM
RESULTS
A U.D.L LOADING
A Cantilever Beam of span length, L is subjected to a uniformly
distributed load (u.d.l), w kN/m throughout . Draw S.F and B.M
diagram
SHEAR FORCE DIAGRAM
BENDING MOMENT DIAGRAM
x
HOME WORK
EXAMPLE OF TRIANGULARLY VARYING LOADS
WATER TANK
DAM
TRIANGULARLY VARYING DISTRIBUTED LOAD: A Cantilever Beam AB of span length, L is
subjected to a triangularly distributed load & intensity zero at free- end B and maximum w kN/m
at A fixed support. Draw S.F.D & B.M.D.
STEP-I
STEP-II SHEAR FORCE DIAGRAM
Vx
Mx
F.B.D
BENDING MOMENT DIAGRAM
x/3
RESULTS
RELATION BETWEEN U.D.L. & S.F AND B.M.
HOME WORK
STEP-I
DIFFERENT POINT LOADINGS
A simply supported Beam of span length, L is subjected to Two
point loads, 2P at C & P at D as shown in Fig. . Draw S.F and
B.M diagram
STEP-II STEP-III
Vx
Mx
STEP-IV
RESULTS
4PL/9
SIMPLY SUPPORTED BEAM WITH OVER- HANGING
RAILWAY SLEEPER FOUNDATION
CAR CHASIS
kN/m (u.d.l)
S.S. BEAM WITH EQUAL OVER- HANG
A simply supported beam with equal over-hang on either
side of support is subject to a u.d.l ‘w’ kN/m throughout
the length of the beam as shown in Fig. . Draw SFD & BMD
C A
a
STEP-I SHEAR FORCE DIAGRAM
STEP-II BENDING MOMENT DIAGRAM
C
A
STEP-III SHEAR FORCE DIAGRAM
STEP-IV BENDING MOMENT DIAGRAM
S. F. D
B. M. D
RESULTS
SLEEPER
UNIFORMLY DISTRIBUTED PRESSURE FROM FOUNDATION
Truss:
Analysis of Simple Axial Force Structures:
Structure- as an element or an assembly of elements formed into a shape to resist a set
of external forces
Structural Analysis- 1. Evaluation of forces and deformations in structures
2. (i) Based on simple principles of statics
(ii) Compatibility
(iii) Properties of materials
Discrete Structures:Composed of linear elements, inter- connected to form a
network.
Linear or Slender Element:One dimension is large w.r.t others, load is a
function of large dimension.
Pin- Connected Frame Work: Elements are very slender or flexible wires, can not resist
any bending moment
Forces acting on a structure must be transferred to supports; in the
process of transferring the loads, the elements of the structure act as a
medium of communication. The element resists external forces and
generate within themselves ‘resisting forces’- (function of external
forces and their location and geometry of the structures).
Two types of axial force resisting elements
a) Wire, ropes- resists only tension.
b) Metal tubes, rods & slender wooden posts resists compression and
tension.
Wire & Rope Structures:
Temporary structures, tents (primarily of ropes).
Some permanents structures suspended roof, bridges, guyed musts.
Reacting forces of the rope is always along the axis.
Bending, twisting and compression forces can not be resisted by ropes.
Analysis of resisting forces in the rope assemblies is done by the
principles of statics.
In case of indeterminate structures principles of compatibility of
deformations are used.
EXAMPLE: Determine the conditions for which the weight can be supported. Assume that the axles
of the pulleys are frictionless. Compute equilibrium for W1 = 100 N, W2 = 50 N and W3 = 100 N.
Solution: (Note:- Tention in any segment of a rope is constant unless an external force is coming on the rope
in segment
C
F.B.D of point C
If the total length of the rope is unlimited, then the limiting condition
beyond which W1 & W2 can not support. W3 is obtained by the limit of
angle
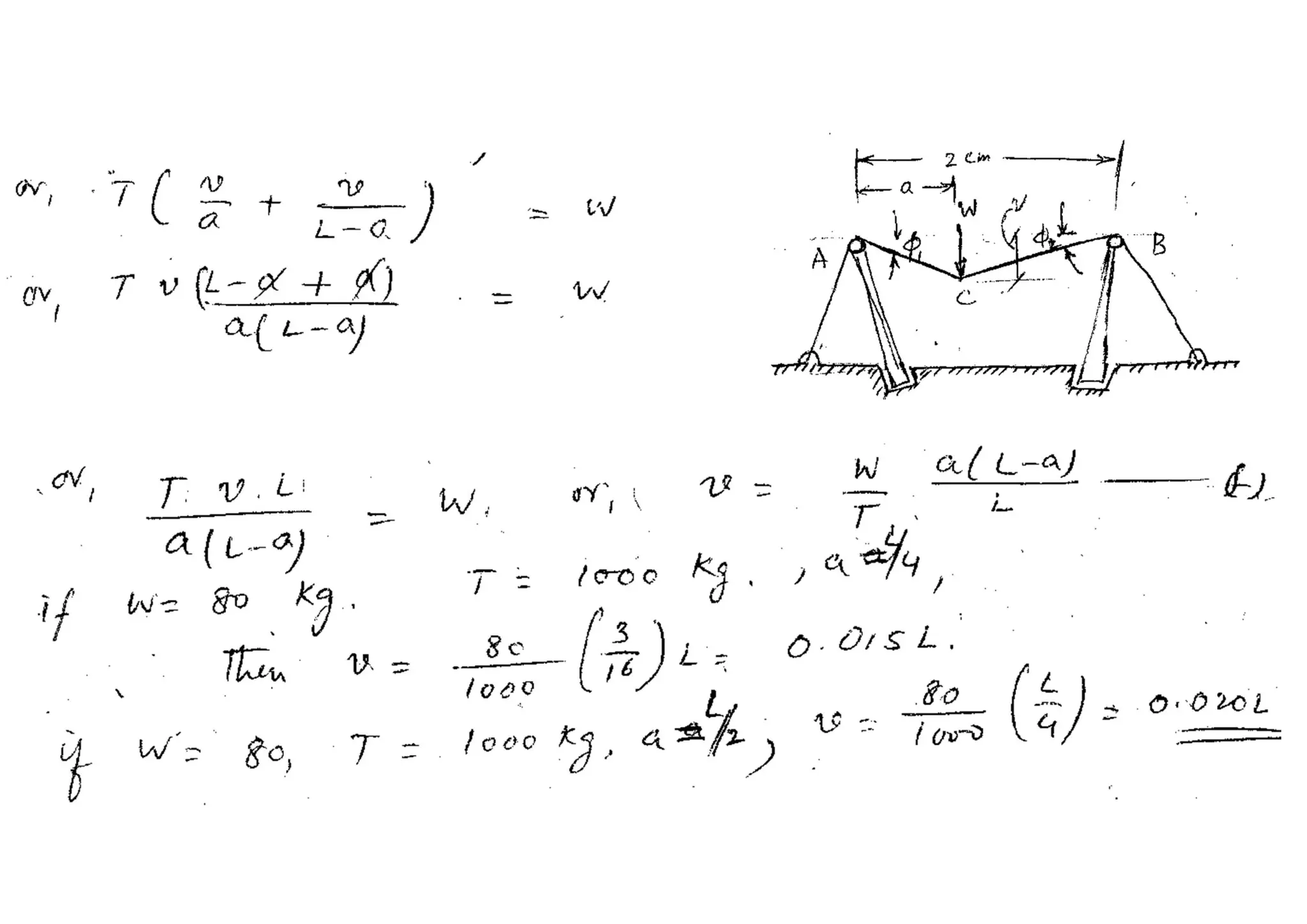
EXANPLE: A person weighing 80 kg is walking on a pre- tensioned rope between two poles as shown in Fig.(a) .
Determine the deflection of the rope when the person is at ¼ and ½ of the span. The tension in the rope is 1000 kg.
C
F.B.D. of the point C
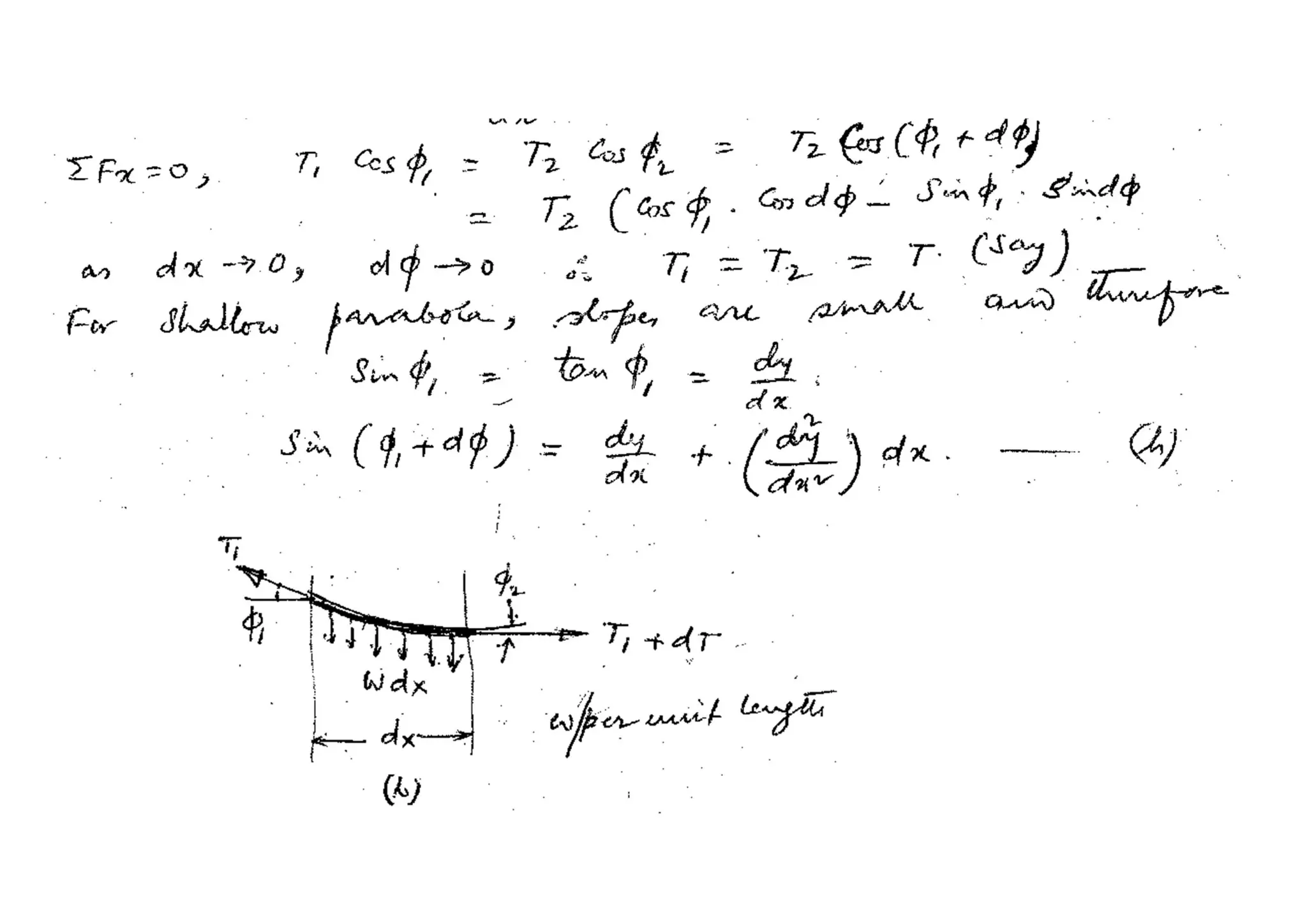
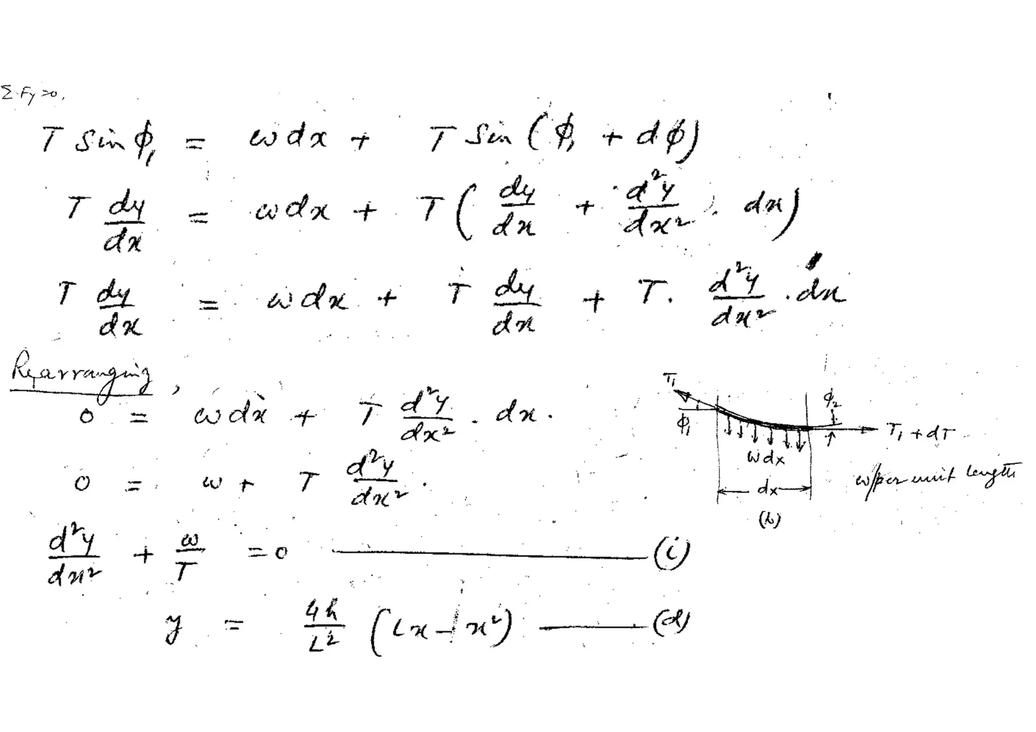
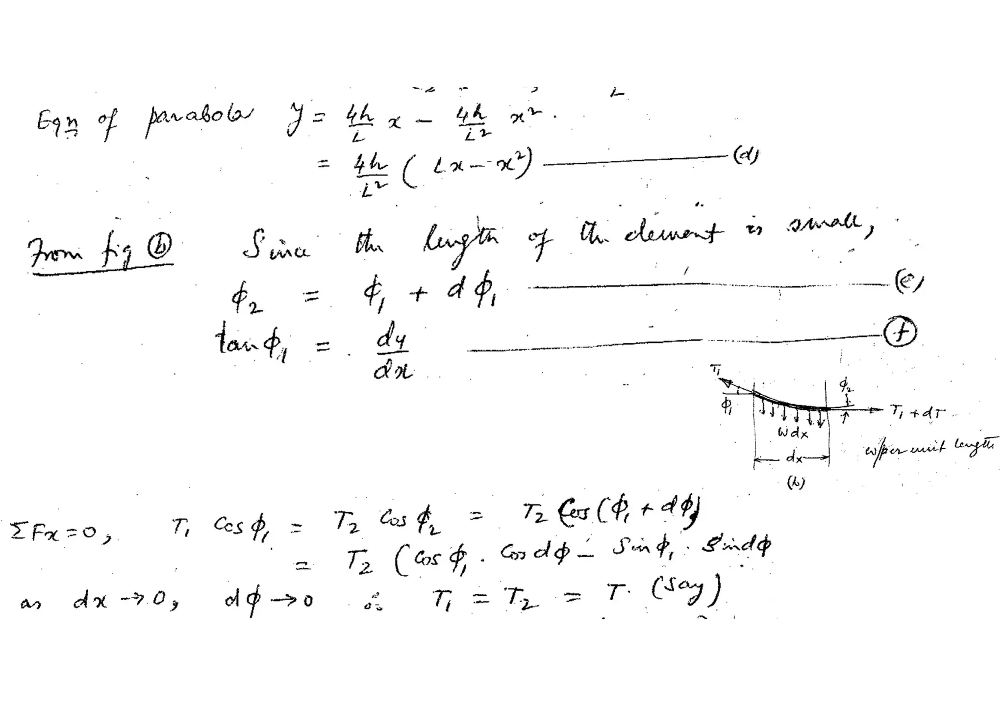
EXAMPLE: A typical simplified suspension bridge span is shown in Fig.(a). Cable ACB supports a stiffening girder DE through
suspenders spaced very close to each other. The cable profile is a shallow parabola. Determine the relation between the
tension in the cable and load in the suspender.
F
SUSPENDER
TRUSSES:
A truss is an assembly of slender members inter- connected by idealized joints. It is called a pi- connected
frame work. Trusses are used to support (i) Roof (ii) Bridges (iii) Towers and (iv) Cranes etc. Materials used may be (a)
Timber, (b) Bamboo, (c) Steel, (d) Aluminium and some exceptional cases (e) Concrete with reinforcements (RCC).
Each element of truss capable of taking (i) Tension or (ii) Compression depends on (a) Mechanical
property of material (b) length, (c) Shape and (d) Size etc.
Method of Analysis (A) Method of Section (B) Method of Joints (C) Graphical Method etc.
ASSUMPIONS: (1) The elements are slender and not capable of resisting Bending.
(2) The inter- connections are idealized as frictionless hinges
(3) Loads are attached at inter- connected nodes (in the plane of the frame for 2-D frame)
METHOD OF SECTION
C
Select a section which intersects not more
than three (3) members in a normal plane
frame. The three members should not be
collinear. It is usually possible to solve for
any of the three member forces at
intersection using the static equilibrium
conditions (i.e. ∑H = ∑V = ∑M = 0) of plane
structure
Tension Force Notation on Joints
Tension Force Notation on Members
EXAMPLE: A cantilever N- Girder support three loads as shown in Fig. . Determine the forces in BD, BE and CE.
2
3
EXAMPLE: Determine Forces in Members
4- Bay Simply Supported (S.S.) Truss
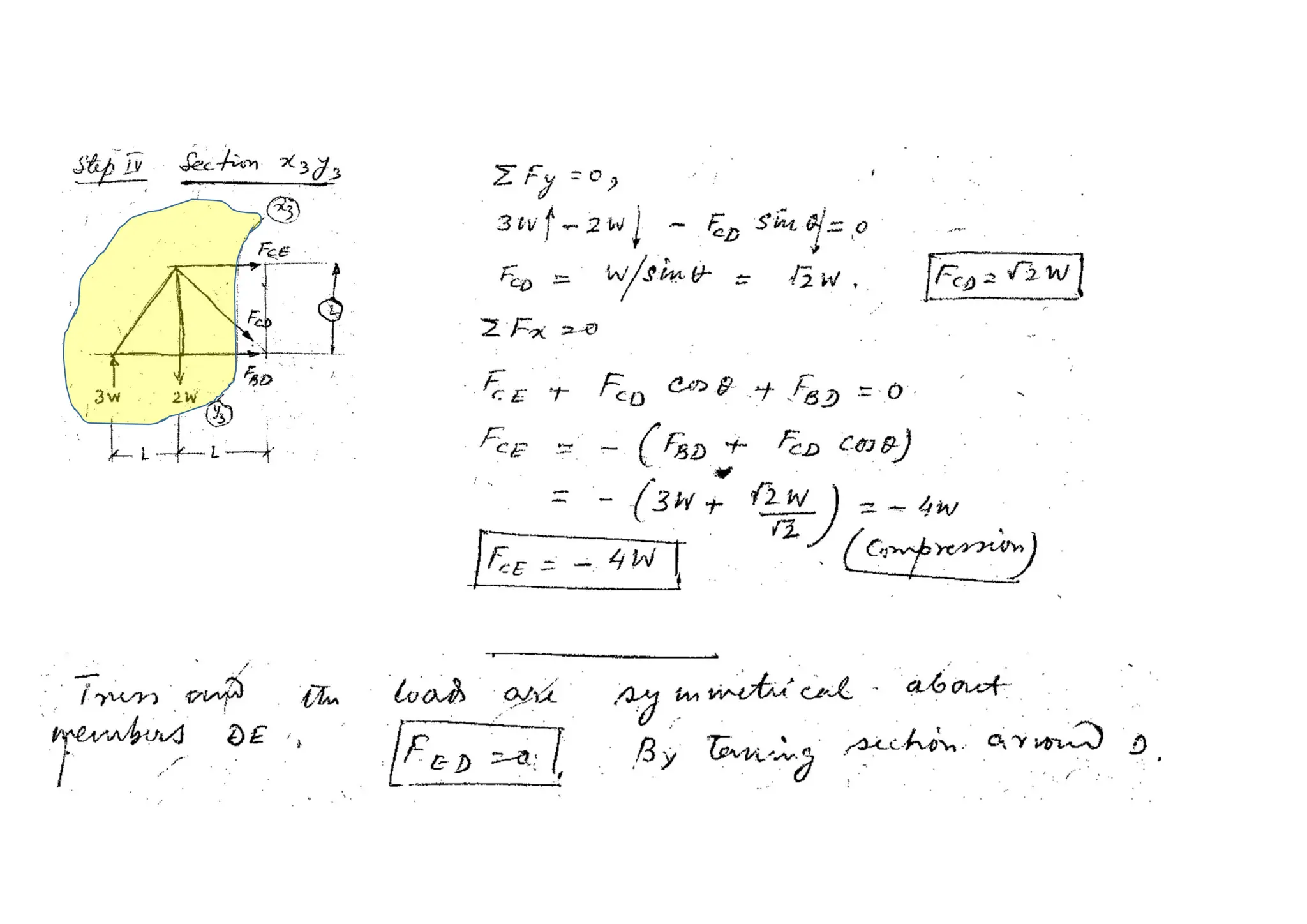
EXAMPLE: 2Bay- Warren Girder shown as loaded in Fig. . Determine forces in members
Section x1-y1
Section x2-y2
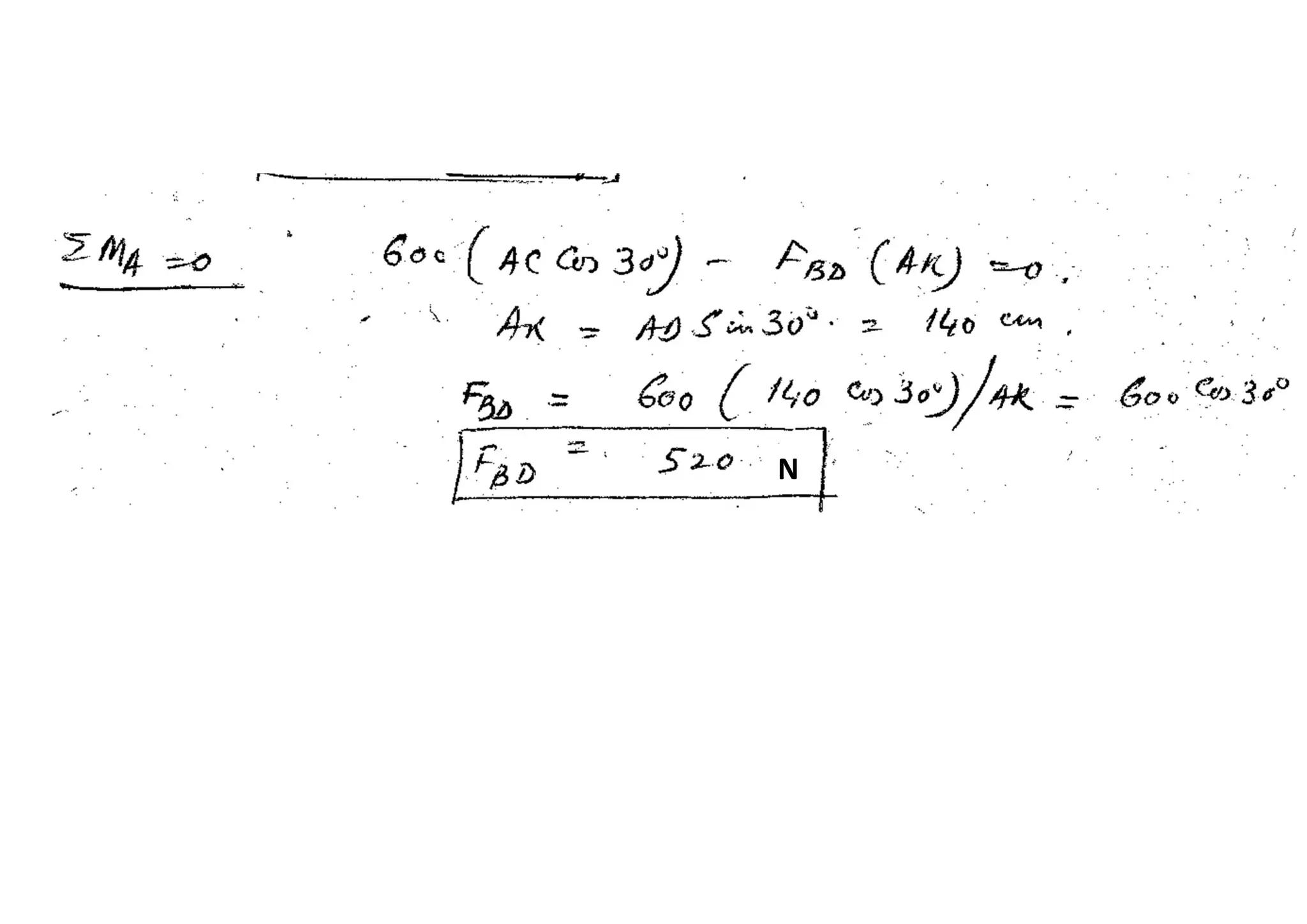
EXAMPLE: A FINK TRUSS, LOADED WITH 600 N AT EACH PURLIN POINT
N
N
N
N
N
N
METHOD OF JOINTS:
The analysis of forces in members of a truss based on the free- body diagram of joints is called the method of joints.
Each joint of a truss of yhe members connected to the joint are analysed by applying the conditions of equilibrium.
All members connected to a joint are collinear at a point with the result that the equilibrium condition of moment is
satisfied automatically. Only two independent equilibrium conditions (i.e. ∑H = 0, ∑V = 0) are effective at a joint of a
plane truss. The sequence of analysis of joints must be selected such that at any given time, only two member
forces are unknown at a joint so as to evaluate the forces in succession. The arbitrary sequence of selection of joints
may result in simultaneous equations which unnecessarily increase the number calculations. If a truss is statically
determinate then it is possible to evaluate forces of all the members by method of joints.
EXAMPLE: THREE- BAR BRACKET TRUSS
EXAMPLE: ANALYSE A BRIDGE TRUSS AS LOADED SHOWN IN FIG. .
SF, BM and Truss notes for engineering mechanics

SF, BM and Truss notes for engineering mechanics

  • 1.
    Engineering Mechanics Shear Force,Bending Moment & Truss PROF. DULAL GOLDAR. FORMER DIRECTOR DTU dulalgoldar@gmail.com
  • 2.
    SHEAR FORCES ANDBENDING MOMENTS IN DIFFERENT BEAMS. THREE POINT LOADING A simply supported Beam of span length, L is subjected to a point load, P at the centre of the span. Draw S.F and B.M diagram
  • 3.
    ROLLER SUPPORT ATB HINGE SUPPORT AT A
  • 4.
    SAGGING B.M T- Tensionat Bottom C- Compression at Top SHEAR FORCE BENDING MOMENT SHEAR FORCE DIAGRAM BENDING MOMENT DIAGRAM DATUM DATUM
  • 5.
  • 6.
  • 7.
    A POINT LOADING ACantilever Beam of span length, L is subjected to a point load, P at the Free-end. Draw S.F and B.M diagram SHEAR FORCE DIAGRAM BENDING MOMENT DIAGRAM S. F. D B. M. D HOGGING B.M C- Compression at Bottom T- Tension at Top
  • 8.
    FOUR- POINT LOADING ASimply supported Beam of span, L is subjected to Two Point Loading symmetrically placed from supports by a distance ‘a’ from each supports. Draw SF & BM diagrams STEP-I STEP-II S. F. D B. M. D
  • 9.
  • 10.
  • 11.
  • 12.
    UNIFORMLY DISTRIBUTED LOAD Asimply supported beam of span ‘L’ is subjected to uniformly distributed load (u.d.l) of ‘w’ kN/m throughout the span length. Draw SFD & BMD STEP-I
  • 13.
  • 14.
  • 15.
  • 16.
    A U.D.L LOADING ACantilever Beam of span length, L is subjected to a uniformly distributed load (u.d.l), w kN/m throughout . Draw S.F and B.M diagram SHEAR FORCE DIAGRAM BENDING MOMENT DIAGRAM
  • 17.
  • 18.
  • 19.
    EXAMPLE OF TRIANGULARLYVARYING LOADS WATER TANK DAM
  • 20.
    TRIANGULARLY VARYING DISTRIBUTEDLOAD: A Cantilever Beam AB of span length, L is subjected to a triangularly distributed load & intensity zero at free- end B and maximum w kN/m at A fixed support. Draw S.F.D & B.M.D. STEP-I STEP-II SHEAR FORCE DIAGRAM Vx Mx F.B.D
  • 21.
  • 22.
  • 23.
  • 24.
  • 25.
    STEP-I DIFFERENT POINT LOADINGS Asimply supported Beam of span length, L is subjected to Two point loads, 2P at C & P at D as shown in Fig. . Draw S.F and B.M diagram STEP-II STEP-III Vx Mx
  • 26.
  • 27.
    SIMPLY SUPPORTED BEAMWITH OVER- HANGING RAILWAY SLEEPER FOUNDATION
  • 28.
  • 29.
    kN/m (u.d.l) S.S. BEAMWITH EQUAL OVER- HANG A simply supported beam with equal over-hang on either side of support is subject to a u.d.l ‘w’ kN/m throughout the length of the beam as shown in Fig. . Draw SFD & BMD C A a STEP-I SHEAR FORCE DIAGRAM STEP-II BENDING MOMENT DIAGRAM C A
  • 30.
    STEP-III SHEAR FORCEDIAGRAM STEP-IV BENDING MOMENT DIAGRAM S. F. D B. M. D
  • 31.
  • 32.
    Truss: Analysis of SimpleAxial Force Structures: Structure- as an element or an assembly of elements formed into a shape to resist a set of external forces Structural Analysis- 1. Evaluation of forces and deformations in structures 2. (i) Based on simple principles of statics (ii) Compatibility (iii) Properties of materials Discrete Structures:Composed of linear elements, inter- connected to form a network. Linear or Slender Element:One dimension is large w.r.t others, load is a function of large dimension. Pin- Connected Frame Work: Elements are very slender or flexible wires, can not resist any bending moment
  • 33.
    Forces acting ona structure must be transferred to supports; in the process of transferring the loads, the elements of the structure act as a medium of communication. The element resists external forces and generate within themselves ‘resisting forces’- (function of external forces and their location and geometry of the structures). Two types of axial force resisting elements a) Wire, ropes- resists only tension. b) Metal tubes, rods & slender wooden posts resists compression and tension. Wire & Rope Structures: Temporary structures, tents (primarily of ropes). Some permanents structures suspended roof, bridges, guyed musts. Reacting forces of the rope is always along the axis. Bending, twisting and compression forces can not be resisted by ropes. Analysis of resisting forces in the rope assemblies is done by the principles of statics. In case of indeterminate structures principles of compatibility of deformations are used.
  • 47.
    EXAMPLE: Determine theconditions for which the weight can be supported. Assume that the axles of the pulleys are frictionless. Compute equilibrium for W1 = 100 N, W2 = 50 N and W3 = 100 N. Solution: (Note:- Tention in any segment of a rope is constant unless an external force is coming on the rope in segment C F.B.D of point C If the total length of the rope is unlimited, then the limiting condition beyond which W1 & W2 can not support. W3 is obtained by the limit of angle
  • 49.
    EXANPLE: A personweighing 80 kg is walking on a pre- tensioned rope between two poles as shown in Fig.(a) . Determine the deflection of the rope when the person is at ¼ and ½ of the span. The tension in the rope is 1000 kg. C F.B.D. of the point C
  • 51.
    EXAMPLE: A typicalsimplified suspension bridge span is shown in Fig.(a). Cable ACB supports a stiffening girder DE through suspenders spaced very close to each other. The cable profile is a shallow parabola. Determine the relation between the tension in the cable and load in the suspender.
  • 55.
  • 56.
    TRUSSES: A truss isan assembly of slender members inter- connected by idealized joints. It is called a pi- connected frame work. Trusses are used to support (i) Roof (ii) Bridges (iii) Towers and (iv) Cranes etc. Materials used may be (a) Timber, (b) Bamboo, (c) Steel, (d) Aluminium and some exceptional cases (e) Concrete with reinforcements (RCC). Each element of truss capable of taking (i) Tension or (ii) Compression depends on (a) Mechanical property of material (b) length, (c) Shape and (d) Size etc. Method of Analysis (A) Method of Section (B) Method of Joints (C) Graphical Method etc. ASSUMPIONS: (1) The elements are slender and not capable of resisting Bending. (2) The inter- connections are idealized as frictionless hinges (3) Loads are attached at inter- connected nodes (in the plane of the frame for 2-D frame)
  • 57.
    METHOD OF SECTION C Selecta section which intersects not more than three (3) members in a normal plane frame. The three members should not be collinear. It is usually possible to solve for any of the three member forces at intersection using the static equilibrium conditions (i.e. ∑H = ∑V = ∑M = 0) of plane structure Tension Force Notation on Joints Tension Force Notation on Members
  • 58.
    EXAMPLE: A cantileverN- Girder support three loads as shown in Fig. . Determine the forces in BD, BE and CE. 2 3
  • 59.
    EXAMPLE: Determine Forcesin Members 4- Bay Simply Supported (S.S.) Truss
  • 61.
    EXAMPLE: 2Bay- WarrenGirder shown as loaded in Fig. . Determine forces in members Section x1-y1 Section x2-y2
  • 62.
    EXAMPLE: A FINKTRUSS, LOADED WITH 600 N AT EACH PURLIN POINT N N N N
  • 63.
  • 64.
  • 65.
    METHOD OF JOINTS: Theanalysis of forces in members of a truss based on the free- body diagram of joints is called the method of joints. Each joint of a truss of yhe members connected to the joint are analysed by applying the conditions of equilibrium. All members connected to a joint are collinear at a point with the result that the equilibrium condition of moment is satisfied automatically. Only two independent equilibrium conditions (i.e. ∑H = 0, ∑V = 0) are effective at a joint of a plane truss. The sequence of analysis of joints must be selected such that at any given time, only two member forces are unknown at a joint so as to evaluate the forces in succession. The arbitrary sequence of selection of joints may result in simultaneous equations which unnecessarily increase the number calculations. If a truss is statically determinate then it is possible to evaluate forces of all the members by method of joints. EXAMPLE: THREE- BAR BRACKET TRUSS
  • 66.
    EXAMPLE: ANALYSE ABRIDGE TRUSS AS LOADED SHOWN IN FIG. .