Alkylating agents
Nitrogen Mustards
Medicinal Chemistry IV / 2nd Semester / 4th Class
Lecture 4
Dr.Narmin Hamaamin Hussen
2023-2024
World Cancer Day on February 4
1
History of Alkylating agents
▪ Alkylating agents are the oldest and most common class of anticancer drugs
▪ During World War I, sulfur mustard gas was used as a devastating weapon due to its effects
on the skin, eyes, and lungs. However, it was observed that exposure to sulfur mustard also
led to bone marrow suppression and lymphoid aplasia. This prompted researchers to explore
its potential as an antitumor agent.
Chemistry of the Alkylating Agents
▪ The alkylating agents are compounds that work by adding an alkyl group(highly reactive chemical group
)to the N-7 position of guanine base of the DNA molecule to form irreversible covalent bond.
▪ The major targets of drug action are nucleophilic groups present on DNA (especially the 7-position of
guanine).
▪ The general mechanism for alkylation involves nucleophilic attack by of DNA and
RNA
▪ This alkylation of DNA leads to the formation of DNA crosslinks, intrastrand and interstrand DNA adducts,
and DNA-protein crosslinks. Alkylation of DNA is thought to lead to cell death.
▪ Potential mechanisms of cell death include activation of apoptosis caused by p53 activation and
disruption of the template function of DNA
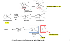
Mechanism of Action of Alkylating Agents
N7-Guanine
1
Formation of
Aziridinium cation
1
Formation of
Aziridinium cation
2
Attachment of the Aziridinium
cation to N7 position of
guanine
3
Formation of cross bridges,
bonds between atoms in the
DNA
4
N7-N7 bisguanyl
DNA cross link
Nitrogen Mustard
Alkylation converts a base
into a leaving group, allowing
water attack to lead to
depurination and loss of
genetic information if not
repaired by the cell.
Depurination
N-7 position Guanine
Alkylating agents
Mechanism of Action of Alkylating Agents
Alkylating agents
Effective against
▪ Alkylating agents have shown efficacy against a wide range of cancers, including solid
tumors(e.g., breast, ovarian, uterus, lung, bladder cancers) , and hematological
malignancies such as leukemia, lymphoma, and multiple myeloma .
Solid Tumors
Hematological Tumors
Common Side effects of Alkylating agents:
▪ Bone marrow suppression (anemia, neutropenia, and thrombocytopenia)
▪ Gastrointestinal effects( nausea, vomiting, diarrhea, or mucositis)
▪ Hair loss (alopecia)
▪ Reproductive toxicity (infertility)
▪ Neurotoxicity (such as the nitrosoureas)
▪ Nephrotoxicity (cisplatin)
▪ Increased risk of secondary cancers (such as leukemia)
Classification of Alkylating agents
9
Nitrogen Mustards
▪ Nitrogen Mustards was the first alkylating agents.
▪ Chemotherapy was initially successfully developed by Drs. Goodman and
Gilman, who also developed the first medication, "mustine" or
"mechlorethamine," for the treatment of leukemia and lymphoma.
▪ Nitrogen mustards are not related to the mustard plant or its pungent
essence, allyl isothiocyanate; the name comes from the pungent smell of
chemical weapons preparations.
▪ The term mustard obtain from mustard gas.
▪ Nitrogen mustards (NMs) are cytotoxic organic compounds with the bis(2-
chloroethyl)amino ((ClC2H4)2NR) functional group.
Aliphatic and Aromatic Nitrogen Mustards
Oxazaphosphorine nitrogen mustard
SARS of Nitrogen Mustards
1- The bis (2-choroethyl) group is essential for activity.
Other halogens than chloride decrease activity.
Increase or decrease in ethylene between Cl & N abolish the activity
2- The nitrogen with ethyl halo group makes Aziridinium ion at physiological pH. This
Aziridinium causes the alkylation of the DNA in biological system.
N-7 position of guanine
3- The aliphatic nitrogen mustard Mechlorethamine (1st nitrogen mustard ) is having extremely
high reactivity and limited use.
▪ The methyl group is weak electron donating and has high nucleophilicity.
▪ The lack of selectivity of mechlorethamine led to attempts to improve on the agent.
▪ One rationale was to reduce the reactivity by reducing the nucleophilicity of nitrogen,
thereby slowing aziridinium cation formation. This could be accomplished by replacement of
the weakly electron-donating methyl group with groups that were electron withdrawing.
High nucleophilicity
(weak e-donating )
4- Melphalan and chlorambucil were developed that have phenylalanine
and amino phenyl butyric acid in the structure , respectively.
Aromatic group with electron withdrawing may decrease the
nucleophilicity of nitrogen atom and reduced carbonium ion formation
5- The binding to amino acids and substituted phenyl group allowed
the oral route availability of these drugs.
6- In addition, the presence of the aromatic ring maintains the molecule
more stable ,enabling a better distribution of the drug throughout the
body
forming cation
7- Bendamustine , which is another mustard has a benzimidazole ring that provides
stability to the molecule and a local and faster action, observed by the shorter half-life.
8- Prodrugs cyclophosphamide and ifosfamide ,oxazaphosphorines is inactive when
administrated by the presence of oxazaphosphorine ring.
9- Nitrogen mustards agents require an electronegative group in their structure ,for instance
,chloride , to induce poles in molecules and electron acceptor group as nitrogen, so that the
formation of ions able to alkylate DNA and protein occur.
What differentiates aromatic nitrogen mustards from aliphatic ones?
1. Aliphatic mustard is highly toxic
and lacks selectivity
2. Aromatic nitrogen mustards may
have enhanced selectivity due to
the presence of the benzene
ring.
3. Aromatic nitrogen mustards
decrease reactivity by lowering
nitrogen nucleophilicity, slowing
aziridinium cation formation by
replacing weakly electron-
donating methyl groups with
electron-withdrawing ones
4. Oral use of aromatic nitrogen
mustard is acceptable; it is less
toxic than aliphatic
➢ Mechlorethamine(Chlormethine )(mustine)
▪ Is highly reactive, in fact, too reactive and therefore nonselective, making it unsuitable for
oral administration is taken only by slow iv infusion(is available in 10-mg vials , direct injection into the
tumor) and it used to treat Hodgkin’s lymphoma and non-Hodgkin’s lymphoma.
▪ The major use is in Hodgkin’s disease and in the MOPP regimen (mechlorethamine, vincristine,
procarbazine, and prednisone).
▪ Chlormethine is so reactive with water that is marketed as a dry solid (HCl salt) and
aqueous solutions are prepared immediately prior to injection. To prevent the hydrolysis reaction and
helps to maintain its stability.
▪ Skin toxicity is one of mechlorethamine's major disadvantages
18
Aliphatic Nitrogen mustards
▪ Mustards such as mechlorethamine are classified as dialkylating agents in that one mustard molecule can
alkylate two nucleophiles.
▪ The initial acid– base reaction is necessary to release the lone pair of electrons on nitrogen, which
subsequently displaces chloride to give the highly reactive aziridinium cation.
▪ Nucleophilic attack can then occur at the aziridinium carbon to relieve the small ring strain and neutralize the
charge on nitrogen. This process can then be repeated provided a second leaving group is present
Alkylation of nucleophilic species by nitrogen mustards. 19
aziridinium
▪ Skin toxicity due to nitrogen mustard extravasation is
severe and typically prolonged over several months.
▪ Sodium thiosulfate is believed to chemically neutralize
reactive mechlorethamine-alkylating species and thus
decrease skin toxicity.
▪ Mechanism of action Neutralizes mechlorethamine
to form nontoxic thioesters that are excreted in the
urine.
▪ In cases of extravasation (drug escapes from the
intravenous vein into the surrounding tissue, this can
cause local pain accompanied by burning or stinging,
blistering, erythema, swelling, and tenderness.), the
antidote sodium thiosulfate (Na2S2O3), a strong
nucleophile, may be administered.
▪ It is capable of reacting with electrophilic sites on
the mustard, and once reaction has occurred, the
resulting adduct has increased water solubility and may
be readily eliminated.
▪Cancer patients are at an increased risk of extravasation
because of the fragility of their veins resulting from
radiation, previous chemotherapy treatments, or
malnutrition
Antidote of Mechlorethamine ✓ Inject 2 ml of the sodium thiosulfate solution for each
milligram of mechlorethamine suspected to have
extravasated. Inject the solution subcutaneously into
the extravasation site using a 25-gauge or smaller
needle (change needle with each injection).
20
Aromatic Nitrogen Mustards
➢ Chlorambucil
▪ Very slow acting
▪ Highly selective on lymphoid tissue ,very little effect on myeloid tissue
▪ It is primarily used in the treatment of chronic lymphocytic leukemia (CLL), a type of cancer that affects the
white blood cells, and lymphomas, which are cancers of the lymphatic system.
▪ Chlorambucil and melphalan, have electron-withdrawing groups substituted on the nitrogen atom. This
alteration reduces the nucleophilicity of the nitrogen and renders the molecules less reactive
▪ Suitable only for oral administration.
▪ It is a highly lipophilic drug but is also a weak acid and can therefore be taken up into cells by passive diffusion.
▪ The lower extracellular pH of tumour tissue compared to normal tissue may increase the intracellular uptake
of chlorambucil by increasing the amount of free acid.
➢Melphalan
▪ Melphalan chemically is 4-[bis(2-chloroethyl)amino]-L-phenylalanine and it is a phenylalanine
derivative of nitrogen mustard that acts as a bifunctional alkylating agent.
▪ Because L-phenylalanine is a precursor to melanin, it was thought that L-phenylalanine
nitrogen mustard might accumulate in melanomas.
▪ Used in multiple myeloma, ovarian cancer and Malignant melanoma
▪ Suitable for oral administration and Iv infusion
➢ Melphalan flufenamide (Melflufen)
▪ It is a novel derivative of melphalan, an alkylating agent used in cancer chemotherapy.
▪ It is first-in-class peptide- conjugate prodrug
▪ Melphalan flufenamide is indicated in combination with dexamethasone for the treatment
of adults with relapsed or refractory multiple myeloma.
▪ Melphalan flufenamide was approved for medical use in the United States in February
2021and in the European Union in August 2022.
Compared to traditional melphalan, melphalan flufenamide offers several potential
advantages:
➢ Enhanced Selectivity:
▪ Melphalan flufenamide is a first-in-class peptide- conjugate prodrug that targets
aminopeptidases and rapidly releases alkylating agents into tumor cells.
▪ Melflufen is rapidly taken up by myeloma cells due to its high lipophilicity
▪ Enhancing its selectivity and potentially reducing toxicity to healthy tissues.
➢ Cyclophosphamide:
▪ Cyclophosphamide, is an alkylating agent chemically related to nitrogen-mustard and is also an
immunosuppressive agent.
▪ Cyclophosphamide is one of the most widely used cytotoxic agents, often in combination or
sequentially with other antineoplastic agents.
▪ Used in the treatment of a wide variety of cancers, including breast cancer, nonHodgkin’s
lymphoma, chronic lymphocytic leukemia, ovarian cancer, bone and soft tissue sarcoma
▪ Cyclophosphamide is available in 25- and 50-mg tablets for oral administration and 100-, 200-, 500-
, 1,000-, and 2,000-mg vials for IV use
25
➢ Activation of Cyclophosphamide
▪ Cyclophosphamide is a prodrug (inactive) that requires biotransformation by a group of P450 cytochrome
enzymes into phosphoramide mustard (active compound) to exert its cytotoxicity.
▪ In the initial activation reaction, the carbon-4 of the oxazaphosphorine ring is hydroxylated.
▪ The product 4-hydroxycyclo-phosphamide (4-OH-CPA) exists in equilibrium with its acyclic tautomer
aldophosphamide, which breaks down by spontaneous β elimination, to release phosphoramide mustard and
acrolein
▪ While phosphoramide mustard is thought to be the active alkylating species, acrolein is an unwanted
byproduct, responsible for hemorrhagic cystitis.
▪ Alternatively, aldophosphamide may be oxidized to the inactive metabolite carboxyphosphamide by
aldehyde dehydrogenase.
▪ The other principal inactive metabolite,dechloroethylcyclophosphamide, is produced by a separate oxidative
N-dealkylationreaction, also catalysed by CYP3A4 .
▪ Cyclophosphamide’s cytotoxic effect is mainly due to cross-linking of strands of DNA and RNA of tumour cell.
▪ Clinically important side effects are cardiac dysfunctions at high-doses;and haemorrhagic cystitis may
develop after high or prolonged dosage
▪ In the case of cyclophosphamide, it was initially believed that the drug could be selectively activated in cancer
cells because they were believed to contain high levels of phosphoramidase enzymes.
Metabolic and chemical activation of cyclophosphamide
Toxic metabolite
Inactive
In Liver
27
Active
4-OH-CPA
How does ALDH work in a cell?
carboxyphosphamide
Aldophosphamide
PM
90%
30
Hemorrhagic Cystitis caused by Acrolein
▪ Acrolein is a toxic aldehyde that can cause severe damage to different
tissues in the body, including the urinary bladder.
▪ Acrolein, when excreted in urine, directly interacts with the urothelium,
a crucial regulator of bladder function.
▪ Acrolein causes bladder damage through reactive oxygen species and
nitric oxide production, leading to lipid peroxidation, protein oxidation,
DNA damage, depletion of nicotinamide, NAD, and ATP, ultimately
causing necrotizing cell death.
▪ Ifosfamide is more toxic than cyclophosphamide .
▪ Ifosfamide should not be administered without the use of an
uroprotective agent such as mesna
Cyclophosphamide
or
ifosfamide
Cyclophosphamide
urothelium
➢ Detoxification of Acrolein:
▪ MESNEX (Mesna) is a detoxifying agent to inhibit the hemorrhagic cystitis induced by
cyclophosphamide or ifosfamide.
▪ The active ingredient, Mesna, is a synthetic sulfhydryl compound designated as sodium-2-
mercaptoethane sulfonate
▪ The mechanism of action of MESNA (thiol (-SH)) involves its ability to react with and neutralize the toxic
metabolites of ifosfamide and cyclophosphamide, which are known as acrolein and 4-
hydroxycyclophosphamide, respectively.
▪ MESNEX injection is given as intravenous bolus injections in a dosage equal to 20% of the ifosfamide or
cyclophosphamide dosage (w/w) at the time of ifosfamide or cyclophosphamide administration.
▪ The recommended dose of oral Mesna is 40% of the cyclophosphamide or ifosfamide dose, given prior to
antineoplastic agents and then repeated at 2 hours and 6 hours after the cyclophosphamide/ifosfamide
dose.
Coadministration of Mesna is recommended with Cyclophosphamide and Ifosfamide
Detoxification of cyclophosphamide by Mesna
32
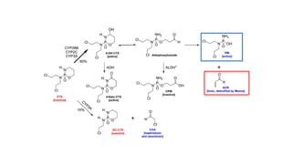
➢ Ifosfamide (Iphosphamide, IFEX):
▪ A synthetic analog of cyclophosphamide
▪ Ifosfamide is available in 1- and 3-g vials for IV administration as Food and Drug Administration (FDA)-
approved third-line therapy in the treatment of testicular cancer.
▪ Also been utilized in the treatment of a wide variety of cancers including Hodgkin’s and non-Hodgkin’s
lymphoma, soft tissue sarcoma, germ cell tumors, small cell lung cancer, non–small cell lung cancer
(NSCLC), cancers of the head and neck, bladder cancer and cervical cancer.
Adverse effect: Hemorrhagic cystitis
▪ Coadministration of mesna is recommended.
▪ In contrast to cyclophosphamide, there is a greater amount of deactivation of the agent by N-
dechloroethylation and subsequently more chloroacetaldehyde is produced, which may result in a greater
amount of neurotoxicity and nephrotoxicity than seen with cyclophosphamide.
▪ Neurotoxicity, which is associated with the production of chloroacetaldehyde presents as confusion,
seizure, weakness, and hallucination, and coma may occur.
33
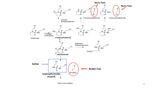
Neuro Toxic
Neuro Toxic
Bladder Toxic
34
Active
Isophosphoramide
mustard
4-hydroxyifosfamide
aldoifosfamide
Question
1. Design and synthesize a novel nitrogen mustard with high selectivity, low toxicity, and oral
activity based on recent articles.
2. What is the protective effect of cyclophosphamide against hepatotoxicity?
3. What is the role of oxidative stress and immune system in the bladder toxicity of
cyclophosphamide and ifsofsamide?
36

Nitrogen Mustards -Medicinal Chemistry --------College of Pharmacy

  • 1.
    Alkylating agents Nitrogen Mustards MedicinalChemistry IV / 2nd Semester / 4th Class Lecture 4 Dr.Narmin Hamaamin Hussen 2023-2024 World Cancer Day on February 4 1
  • 2.
    History of Alkylatingagents ▪ Alkylating agents are the oldest and most common class of anticancer drugs ▪ During World War I, sulfur mustard gas was used as a devastating weapon due to its effects on the skin, eyes, and lungs. However, it was observed that exposure to sulfur mustard also led to bone marrow suppression and lymphoid aplasia. This prompted researchers to explore its potential as an antitumor agent.
  • 3.
    Chemistry of theAlkylating Agents ▪ The alkylating agents are compounds that work by adding an alkyl group(highly reactive chemical group )to the N-7 position of guanine base of the DNA molecule to form irreversible covalent bond. ▪ The major targets of drug action are nucleophilic groups present on DNA (especially the 7-position of guanine). ▪ The general mechanism for alkylation involves nucleophilic attack by of DNA and RNA ▪ This alkylation of DNA leads to the formation of DNA crosslinks, intrastrand and interstrand DNA adducts, and DNA-protein crosslinks. Alkylation of DNA is thought to lead to cell death. ▪ Potential mechanisms of cell death include activation of apoptosis caused by p53 activation and disruption of the template function of DNA
  • 4.
    Mechanism of Actionof Alkylating Agents N7-Guanine 1 Formation of Aziridinium cation 1 Formation of Aziridinium cation 2 Attachment of the Aziridinium cation to N7 position of guanine 3 Formation of cross bridges, bonds between atoms in the DNA 4 N7-N7 bisguanyl DNA cross link Nitrogen Mustard
  • 5.
    Alkylation converts abase into a leaving group, allowing water attack to lead to depurination and loss of genetic information if not repaired by the cell. Depurination N-7 position Guanine Alkylating agents
  • 6.
    Mechanism of Actionof Alkylating Agents
  • 7.
    Alkylating agents Effective against ▪Alkylating agents have shown efficacy against a wide range of cancers, including solid tumors(e.g., breast, ovarian, uterus, lung, bladder cancers) , and hematological malignancies such as leukemia, lymphoma, and multiple myeloma . Solid Tumors Hematological Tumors
  • 8.
    Common Side effectsof Alkylating agents: ▪ Bone marrow suppression (anemia, neutropenia, and thrombocytopenia) ▪ Gastrointestinal effects( nausea, vomiting, diarrhea, or mucositis) ▪ Hair loss (alopecia) ▪ Reproductive toxicity (infertility) ▪ Neurotoxicity (such as the nitrosoureas) ▪ Nephrotoxicity (cisplatin) ▪ Increased risk of secondary cancers (such as leukemia)
  • 9.
  • 10.
    Nitrogen Mustards ▪ NitrogenMustards was the first alkylating agents. ▪ Chemotherapy was initially successfully developed by Drs. Goodman and Gilman, who also developed the first medication, "mustine" or "mechlorethamine," for the treatment of leukemia and lymphoma. ▪ Nitrogen mustards are not related to the mustard plant or its pungent essence, allyl isothiocyanate; the name comes from the pungent smell of chemical weapons preparations. ▪ The term mustard obtain from mustard gas. ▪ Nitrogen mustards (NMs) are cytotoxic organic compounds with the bis(2- chloroethyl)amino ((ClC2H4)2NR) functional group.
  • 11.
    Aliphatic and AromaticNitrogen Mustards Oxazaphosphorine nitrogen mustard
  • 12.
    SARS of NitrogenMustards 1- The bis (2-choroethyl) group is essential for activity. Other halogens than chloride decrease activity. Increase or decrease in ethylene between Cl & N abolish the activity 2- The nitrogen with ethyl halo group makes Aziridinium ion at physiological pH. This Aziridinium causes the alkylation of the DNA in biological system. N-7 position of guanine
  • 13.
    3- The aliphaticnitrogen mustard Mechlorethamine (1st nitrogen mustard ) is having extremely high reactivity and limited use. ▪ The methyl group is weak electron donating and has high nucleophilicity. ▪ The lack of selectivity of mechlorethamine led to attempts to improve on the agent. ▪ One rationale was to reduce the reactivity by reducing the nucleophilicity of nitrogen, thereby slowing aziridinium cation formation. This could be accomplished by replacement of the weakly electron-donating methyl group with groups that were electron withdrawing. High nucleophilicity (weak e-donating )
  • 14.
    4- Melphalan andchlorambucil were developed that have phenylalanine and amino phenyl butyric acid in the structure , respectively. Aromatic group with electron withdrawing may decrease the nucleophilicity of nitrogen atom and reduced carbonium ion formation 5- The binding to amino acids and substituted phenyl group allowed the oral route availability of these drugs. 6- In addition, the presence of the aromatic ring maintains the molecule more stable ,enabling a better distribution of the drug throughout the body forming cation
  • 15.
    7- Bendamustine ,which is another mustard has a benzimidazole ring that provides stability to the molecule and a local and faster action, observed by the shorter half-life.
  • 16.
    8- Prodrugs cyclophosphamideand ifosfamide ,oxazaphosphorines is inactive when administrated by the presence of oxazaphosphorine ring. 9- Nitrogen mustards agents require an electronegative group in their structure ,for instance ,chloride , to induce poles in molecules and electron acceptor group as nitrogen, so that the formation of ions able to alkylate DNA and protein occur.
  • 17.
    What differentiates aromaticnitrogen mustards from aliphatic ones? 1. Aliphatic mustard is highly toxic and lacks selectivity 2. Aromatic nitrogen mustards may have enhanced selectivity due to the presence of the benzene ring. 3. Aromatic nitrogen mustards decrease reactivity by lowering nitrogen nucleophilicity, slowing aziridinium cation formation by replacing weakly electron- donating methyl groups with electron-withdrawing ones 4. Oral use of aromatic nitrogen mustard is acceptable; it is less toxic than aliphatic
  • 18.
    ➢ Mechlorethamine(Chlormethine )(mustine) ▪Is highly reactive, in fact, too reactive and therefore nonselective, making it unsuitable for oral administration is taken only by slow iv infusion(is available in 10-mg vials , direct injection into the tumor) and it used to treat Hodgkin’s lymphoma and non-Hodgkin’s lymphoma. ▪ The major use is in Hodgkin’s disease and in the MOPP regimen (mechlorethamine, vincristine, procarbazine, and prednisone). ▪ Chlormethine is so reactive with water that is marketed as a dry solid (HCl salt) and aqueous solutions are prepared immediately prior to injection. To prevent the hydrolysis reaction and helps to maintain its stability. ▪ Skin toxicity is one of mechlorethamine's major disadvantages 18 Aliphatic Nitrogen mustards
  • 19.
    ▪ Mustards suchas mechlorethamine are classified as dialkylating agents in that one mustard molecule can alkylate two nucleophiles. ▪ The initial acid– base reaction is necessary to release the lone pair of electrons on nitrogen, which subsequently displaces chloride to give the highly reactive aziridinium cation. ▪ Nucleophilic attack can then occur at the aziridinium carbon to relieve the small ring strain and neutralize the charge on nitrogen. This process can then be repeated provided a second leaving group is present Alkylation of nucleophilic species by nitrogen mustards. 19 aziridinium
  • 20.
    ▪ Skin toxicitydue to nitrogen mustard extravasation is severe and typically prolonged over several months. ▪ Sodium thiosulfate is believed to chemically neutralize reactive mechlorethamine-alkylating species and thus decrease skin toxicity. ▪ Mechanism of action Neutralizes mechlorethamine to form nontoxic thioesters that are excreted in the urine. ▪ In cases of extravasation (drug escapes from the intravenous vein into the surrounding tissue, this can cause local pain accompanied by burning or stinging, blistering, erythema, swelling, and tenderness.), the antidote sodium thiosulfate (Na2S2O3), a strong nucleophile, may be administered. ▪ It is capable of reacting with electrophilic sites on the mustard, and once reaction has occurred, the resulting adduct has increased water solubility and may be readily eliminated. ▪Cancer patients are at an increased risk of extravasation because of the fragility of their veins resulting from radiation, previous chemotherapy treatments, or malnutrition Antidote of Mechlorethamine ✓ Inject 2 ml of the sodium thiosulfate solution for each milligram of mechlorethamine suspected to have extravasated. Inject the solution subcutaneously into the extravasation site using a 25-gauge or smaller needle (change needle with each injection). 20
  • 21.
    Aromatic Nitrogen Mustards ➢Chlorambucil ▪ Very slow acting ▪ Highly selective on lymphoid tissue ,very little effect on myeloid tissue ▪ It is primarily used in the treatment of chronic lymphocytic leukemia (CLL), a type of cancer that affects the white blood cells, and lymphomas, which are cancers of the lymphatic system. ▪ Chlorambucil and melphalan, have electron-withdrawing groups substituted on the nitrogen atom. This alteration reduces the nucleophilicity of the nitrogen and renders the molecules less reactive ▪ Suitable only for oral administration. ▪ It is a highly lipophilic drug but is also a weak acid and can therefore be taken up into cells by passive diffusion. ▪ The lower extracellular pH of tumour tissue compared to normal tissue may increase the intracellular uptake of chlorambucil by increasing the amount of free acid.
  • 22.
    ➢Melphalan ▪ Melphalan chemicallyis 4-[bis(2-chloroethyl)amino]-L-phenylalanine and it is a phenylalanine derivative of nitrogen mustard that acts as a bifunctional alkylating agent. ▪ Because L-phenylalanine is a precursor to melanin, it was thought that L-phenylalanine nitrogen mustard might accumulate in melanomas. ▪ Used in multiple myeloma, ovarian cancer and Malignant melanoma ▪ Suitable for oral administration and Iv infusion
  • 23.
    ➢ Melphalan flufenamide(Melflufen) ▪ It is a novel derivative of melphalan, an alkylating agent used in cancer chemotherapy. ▪ It is first-in-class peptide- conjugate prodrug ▪ Melphalan flufenamide is indicated in combination with dexamethasone for the treatment of adults with relapsed or refractory multiple myeloma. ▪ Melphalan flufenamide was approved for medical use in the United States in February 2021and in the European Union in August 2022.
  • 24.
    Compared to traditionalmelphalan, melphalan flufenamide offers several potential advantages: ➢ Enhanced Selectivity: ▪ Melphalan flufenamide is a first-in-class peptide- conjugate prodrug that targets aminopeptidases and rapidly releases alkylating agents into tumor cells. ▪ Melflufen is rapidly taken up by myeloma cells due to its high lipophilicity ▪ Enhancing its selectivity and potentially reducing toxicity to healthy tissues.
  • 25.
    ➢ Cyclophosphamide: ▪ Cyclophosphamide,is an alkylating agent chemically related to nitrogen-mustard and is also an immunosuppressive agent. ▪ Cyclophosphamide is one of the most widely used cytotoxic agents, often in combination or sequentially with other antineoplastic agents. ▪ Used in the treatment of a wide variety of cancers, including breast cancer, nonHodgkin’s lymphoma, chronic lymphocytic leukemia, ovarian cancer, bone and soft tissue sarcoma ▪ Cyclophosphamide is available in 25- and 50-mg tablets for oral administration and 100-, 200-, 500- , 1,000-, and 2,000-mg vials for IV use 25
  • 26.
    ➢ Activation ofCyclophosphamide ▪ Cyclophosphamide is a prodrug (inactive) that requires biotransformation by a group of P450 cytochrome enzymes into phosphoramide mustard (active compound) to exert its cytotoxicity. ▪ In the initial activation reaction, the carbon-4 of the oxazaphosphorine ring is hydroxylated. ▪ The product 4-hydroxycyclo-phosphamide (4-OH-CPA) exists in equilibrium with its acyclic tautomer aldophosphamide, which breaks down by spontaneous β elimination, to release phosphoramide mustard and acrolein ▪ While phosphoramide mustard is thought to be the active alkylating species, acrolein is an unwanted byproduct, responsible for hemorrhagic cystitis. ▪ Alternatively, aldophosphamide may be oxidized to the inactive metabolite carboxyphosphamide by aldehyde dehydrogenase. ▪ The other principal inactive metabolite,dechloroethylcyclophosphamide, is produced by a separate oxidative N-dealkylationreaction, also catalysed by CYP3A4 . ▪ Cyclophosphamide’s cytotoxic effect is mainly due to cross-linking of strands of DNA and RNA of tumour cell. ▪ Clinically important side effects are cardiac dysfunctions at high-doses;and haemorrhagic cystitis may develop after high or prolonged dosage ▪ In the case of cyclophosphamide, it was initially believed that the drug could be selectively activated in cancer cells because they were believed to contain high levels of phosphoramidase enzymes.
  • 27.
    Metabolic and chemicalactivation of cyclophosphamide Toxic metabolite Inactive In Liver 27 Active 4-OH-CPA How does ALDH work in a cell? carboxyphosphamide Aldophosphamide PM 90%
  • 30.
    30 Hemorrhagic Cystitis causedby Acrolein ▪ Acrolein is a toxic aldehyde that can cause severe damage to different tissues in the body, including the urinary bladder. ▪ Acrolein, when excreted in urine, directly interacts with the urothelium, a crucial regulator of bladder function. ▪ Acrolein causes bladder damage through reactive oxygen species and nitric oxide production, leading to lipid peroxidation, protein oxidation, DNA damage, depletion of nicotinamide, NAD, and ATP, ultimately causing necrotizing cell death. ▪ Ifosfamide is more toxic than cyclophosphamide . ▪ Ifosfamide should not be administered without the use of an uroprotective agent such as mesna Cyclophosphamide or ifosfamide Cyclophosphamide urothelium
  • 31.
    ➢ Detoxification ofAcrolein: ▪ MESNEX (Mesna) is a detoxifying agent to inhibit the hemorrhagic cystitis induced by cyclophosphamide or ifosfamide. ▪ The active ingredient, Mesna, is a synthetic sulfhydryl compound designated as sodium-2- mercaptoethane sulfonate ▪ The mechanism of action of MESNA (thiol (-SH)) involves its ability to react with and neutralize the toxic metabolites of ifosfamide and cyclophosphamide, which are known as acrolein and 4- hydroxycyclophosphamide, respectively. ▪ MESNEX injection is given as intravenous bolus injections in a dosage equal to 20% of the ifosfamide or cyclophosphamide dosage (w/w) at the time of ifosfamide or cyclophosphamide administration. ▪ The recommended dose of oral Mesna is 40% of the cyclophosphamide or ifosfamide dose, given prior to antineoplastic agents and then repeated at 2 hours and 6 hours after the cyclophosphamide/ifosfamide dose.
  • 32.
    Coadministration of Mesnais recommended with Cyclophosphamide and Ifosfamide Detoxification of cyclophosphamide by Mesna 32
  • 33.
    ➢ Ifosfamide (Iphosphamide,IFEX): ▪ A synthetic analog of cyclophosphamide ▪ Ifosfamide is available in 1- and 3-g vials for IV administration as Food and Drug Administration (FDA)- approved third-line therapy in the treatment of testicular cancer. ▪ Also been utilized in the treatment of a wide variety of cancers including Hodgkin’s and non-Hodgkin’s lymphoma, soft tissue sarcoma, germ cell tumors, small cell lung cancer, non–small cell lung cancer (NSCLC), cancers of the head and neck, bladder cancer and cervical cancer. Adverse effect: Hemorrhagic cystitis ▪ Coadministration of mesna is recommended. ▪ In contrast to cyclophosphamide, there is a greater amount of deactivation of the agent by N- dechloroethylation and subsequently more chloroacetaldehyde is produced, which may result in a greater amount of neurotoxicity and nephrotoxicity than seen with cyclophosphamide. ▪ Neurotoxicity, which is associated with the production of chloroacetaldehyde presents as confusion, seizure, weakness, and hallucination, and coma may occur. 33
  • 34.
    Neuro Toxic Neuro Toxic BladderToxic 34 Active Isophosphoramide mustard 4-hydroxyifosfamide aldoifosfamide
  • 35.
    Question 1. Design andsynthesize a novel nitrogen mustard with high selectivity, low toxicity, and oral activity based on recent articles. 2. What is the protective effect of cyclophosphamide against hepatotoxicity? 3. What is the role of oxidative stress and immune system in the bladder toxicity of cyclophosphamide and ifsofsamide?
  • 36.