EQUACIONS DE PRIMER I SEGON GRAU, SISTEMES D’EQUACIONS I EQUACIONS IRRACIONALS
Equacions de primer grau amb una incògnita Equació amb denominadors, fem comú denominador. Obtenim una equació amb parèntesi, operem i els treiem. Ara sols falta arreglar, reduïr i per últim, aïllar la incògnita.
Equacions de primer grau amb dues incògnites 1er aïllem la y de l’equació. 2on fem una taula de valors per a dibuixar la recta. (Una equació amb dues incògnites, infinites solucions) 3er dibuixem la recta en els eixos. (infinits punts   infinites solucions)  -3 -1 1 -2 1 4 y x
Equacions de segon grau Primer hem d’arreglar l’equació per a que quedi de la “forma” anterior. NOTA: Recordem que en ocasions també podem resoldre les equacions de segon grau mitjançant Ruffini. Completes  Incompletes (També podem resoldre-les amb la fórmula) Resolem amb Resolució Una solució doble Dues solucions simples Dues solucions simples oposades o cap solució
Nombre de solucions d’una equació de segon grau i significat gràfic S’anomena discriminant d’una equació de segon grau a:  - Si Dues solucions - Si Una solució - Si Cap solució Resoldre l’equació de segon grau equival a calcular els punts de tall amb l’eix x de la gràfica de y=ax 2 +bx+c (recordem que la gràfica era una paràbola) Exemples gràfics
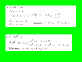
Equacions biquadrades Fem el canvi de variable : Després del canvi, l’equació queda de la següent forma : Desfem el canvi : No hi ha solució Solucions:
Solucions: Solucions:
Sistemes amb dues equacions i dues incògnites Mètode de substitució  1.- Aïllem una de les dues incògnites d’una de les dues equacions (la que més fàcil resulti) En aquest cas, com dona igual, hem aïllat la x de la primera equació. 2.- Substituïm el valor obtingut en l’equació que encara no hem utilitzat i resolem l’equació de primer grau que obtenim. 3.- Substituïm el valor que acabem d’obtenir en l’expressió del primer pas. SOLUCIÓ
Mètode gràfic  -1 -3 -5 -2 1 4 y x -3 2 7 1 3 5 y x
Sistemes amb dues equacions i dues incògnites Mètode de Igualació  1.- Aïllem una de les dues incògnites de les dues equacions (la que més fàcil resulti) 2.- Igualem els valors obtinguts i resolem l’equació de primer grau que obtenim. 3.- Substituïm el valor que acabem d’obtenir en qualsevol de les expressions del primer pas. SOLUCIÓ En aquest cas, hem aïllat la x de les dues equacions.
Mètode gràfic  2 1 0 -4 -1 2 y x 2 1 0 -9 -1 7 y x
Sistemes amb dues equacions i dues incògnites Mètode de Reducció  1.-  Reduïm x :  Hem de tenir davant de les x’s  el mateix nombre i diferent signe. Multiplicarem les equacions si cal per algun nombre per a poder aconseguir-ho. 2.-  Reduïm y : Hem de tenir davant de les y’s  el mateix nombre i diferent signe. Multiplicarem les equacions si cal per algun nombre per a poder aconseguir-ho. SOLUCIÓ
Mètode gràfic  -3 -5 -7 -1 0 1 y x -1 2 5 -2 -1 0 y x
Sistemes amb dues equacions i dues incògnites (No lineals) ( Mètode de substitució ) Exemple 1 Solucions:
Mètode gràfic
Sistemes amb dues equacions i dues incògnites (No lineals) ( Mètode de substitució ) Exemple 2 Solucions:
Mètode gràfic
Equacions irracionals (amb una arrel quadrada) Aïllem l’arrel Elevem els dos  membres al quadrat Comprovem: és solució. no és solució. Solució:
Equacions irracionals (amb una arrel quadrada) Un altre exemple: Elevem els dos membres al quadrat: Comprovem: és solució. és solució. Solucions:
Equacions irracionals 1er aïllem una de les dues arrels:  2on elevem al quadrat els dos membres:  3er aïllem l’arrel que queda i tornem a elevar al quadrat els dos membres:  Comprovem:  SOLUCIÓ:  x = 2
Equacions d’ordre superior Arrels: Arrels: Arrels:

Equacions

  • 1.
    EQUACIONS DE PRIMERI SEGON GRAU, SISTEMES D’EQUACIONS I EQUACIONS IRRACIONALS
  • 2.
    Equacions de primergrau amb una incògnita Equació amb denominadors, fem comú denominador. Obtenim una equació amb parèntesi, operem i els treiem. Ara sols falta arreglar, reduïr i per últim, aïllar la incògnita.
  • 3.
    Equacions de primergrau amb dues incògnites 1er aïllem la y de l’equació. 2on fem una taula de valors per a dibuixar la recta. (Una equació amb dues incògnites, infinites solucions) 3er dibuixem la recta en els eixos. (infinits punts  infinites solucions) -3 -1 1 -2 1 4 y x
  • 4.
    Equacions de segongrau Primer hem d’arreglar l’equació per a que quedi de la “forma” anterior. NOTA: Recordem que en ocasions també podem resoldre les equacions de segon grau mitjançant Ruffini. Completes Incompletes (També podem resoldre-les amb la fórmula) Resolem amb Resolució Una solució doble Dues solucions simples Dues solucions simples oposades o cap solució
  • 5.
    Nombre de solucionsd’una equació de segon grau i significat gràfic S’anomena discriminant d’una equació de segon grau a: - Si Dues solucions - Si Una solució - Si Cap solució Resoldre l’equació de segon grau equival a calcular els punts de tall amb l’eix x de la gràfica de y=ax 2 +bx+c (recordem que la gràfica era una paràbola) Exemples gràfics
  • 6.
    Equacions biquadrades Femel canvi de variable : Després del canvi, l’equació queda de la següent forma : Desfem el canvi : No hi ha solució Solucions:
  • 7.
  • 8.
    Sistemes amb duesequacions i dues incògnites Mètode de substitució 1.- Aïllem una de les dues incògnites d’una de les dues equacions (la que més fàcil resulti) En aquest cas, com dona igual, hem aïllat la x de la primera equació. 2.- Substituïm el valor obtingut en l’equació que encara no hem utilitzat i resolem l’equació de primer grau que obtenim. 3.- Substituïm el valor que acabem d’obtenir en l’expressió del primer pas. SOLUCIÓ
  • 9.
    Mètode gràfic -1 -3 -5 -2 1 4 y x -3 2 7 1 3 5 y x
  • 10.
    Sistemes amb duesequacions i dues incògnites Mètode de Igualació 1.- Aïllem una de les dues incògnites de les dues equacions (la que més fàcil resulti) 2.- Igualem els valors obtinguts i resolem l’equació de primer grau que obtenim. 3.- Substituïm el valor que acabem d’obtenir en qualsevol de les expressions del primer pas. SOLUCIÓ En aquest cas, hem aïllat la x de les dues equacions.
  • 11.
    Mètode gràfic 2 1 0 -4 -1 2 y x 2 1 0 -9 -1 7 y x
  • 12.
    Sistemes amb duesequacions i dues incògnites Mètode de Reducció 1.- Reduïm x : Hem de tenir davant de les x’s el mateix nombre i diferent signe. Multiplicarem les equacions si cal per algun nombre per a poder aconseguir-ho. 2.- Reduïm y : Hem de tenir davant de les y’s el mateix nombre i diferent signe. Multiplicarem les equacions si cal per algun nombre per a poder aconseguir-ho. SOLUCIÓ
  • 13.
    Mètode gràfic -3 -5 -7 -1 0 1 y x -1 2 5 -2 -1 0 y x
  • 14.
    Sistemes amb duesequacions i dues incògnites (No lineals) ( Mètode de substitució ) Exemple 1 Solucions:
  • 15.
  • 16.
    Sistemes amb duesequacions i dues incògnites (No lineals) ( Mètode de substitució ) Exemple 2 Solucions:
  • 17.
  • 18.
    Equacions irracionals (ambuna arrel quadrada) Aïllem l’arrel Elevem els dos membres al quadrat Comprovem: és solució. no és solució. Solució:
  • 19.
    Equacions irracionals (ambuna arrel quadrada) Un altre exemple: Elevem els dos membres al quadrat: Comprovem: és solució. és solució. Solucions:
  • 20.
    Equacions irracionals 1eraïllem una de les dues arrels: 2on elevem al quadrat els dos membres: 3er aïllem l’arrel que queda i tornem a elevar al quadrat els dos membres: Comprovem: SOLUCIÓ: x = 2
  • 21.
    Equacions d’ordre superiorArrels: Arrels: Arrels: