FRACCIONS  ALGEBRAIQUES
Simplificació de fraccions algebraiques El primer que fem és factoritzar numerador i denominador (si es pot). En el següent pas simplifiquem els factors iguals del numerador i denominador.
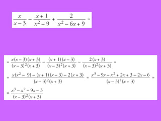
Per a realitzar una suma/resta de fraccions hem de tenir el mateix denominador, com no són iguals hem de fer el mcm dels denominadors. Anem a veure si podem simplificar la fracció. Factoritzem el numerador: Com veiem que no podrem simplificar res, es queda així. Suma i resta de fraccions algebraiques
Ara practiquem:
Multiplicació i divisió de fraccions algebraiques Recordem que per a multiplicar i dividir no cal tenir el mateix denominador, per tant no tindrem que fer mcm!. :
Operacions combinades
 
 
 

Fraccions Algebraiques

  • 1.
  • 2.
    Simplificació de fraccionsalgebraiques El primer que fem és factoritzar numerador i denominador (si es pot). En el següent pas simplifiquem els factors iguals del numerador i denominador.
  • 3.
    Per a realitzaruna suma/resta de fraccions hem de tenir el mateix denominador, com no són iguals hem de fer el mcm dels denominadors. Anem a veure si podem simplificar la fracció. Factoritzem el numerador: Com veiem que no podrem simplificar res, es queda així. Suma i resta de fraccions algebraiques
  • 4.
  • 5.
    Multiplicació i divisióde fraccions algebraiques Recordem que per a multiplicar i dividir no cal tenir el mateix denominador, per tant no tindrem que fer mcm!. :
  • 6.
  • 7.
  • 8.
  • 9.