Raft
Foundations
Design and Analysis with a
Practical Approach

SHARAT CHANDRA CUPTA
Advisor, Indian Buildings Congress,
Former Chief Engineer
Central Public Works Department

PUBLISHING FOR ONE WORLD

NEW AGE INTERNATIONAL (P) LIMITED, PUBLISHERS

-

New Delhi Bangalore Calcutta Chennai Guwahati Hyderabad
Lukhnow Mumbai Pune

.
Copyright O 1997 New Age International (P) Limited, Publishers
NEW A G E INTERNATIONAL (P) LIMITED, PUBLISHERS
NEW DELHI
BANGALORE

:
:

CALCUTTA
CHENNAI

:
:

GUWAHATI
HYDERABAD

:

LUCKNOW
MUMBAI

:
:

PUNE

:

:

4835124, Ansari Road, Daryaganj, New Delhi-110 002
35, Annapoorna Complex, South End Road,
Basavangudy, Bangalore-560 004
4018, Ballygunge Circular Road, Calcutta-700 019
20, IInd Main Road Kasthuribai Nagar, Adyar,
Chennai-600 020
Pan Bazar, Rani Bari, Guwahati-781 001
1-2-41219, Gaganmahal, Near A.V. College, Domalguda,
Hyderabad-500 029
18, Madan Mohan Malviya Marg, Lucknow-226 001
1281A. Noorani Building, Block No. 3, First Floor.
L.J. Road, Mahim, Mumbai-400 016.
44, Prashant Housing Society, Lane No. 6, Paud Road,
Kothrud, Pune-4 1 1029.

This book cr any-part there of may not be
reproduced in any form without the
written permission of the publisher

This book is not to be sold outside the
country to which it is consigned by
New Age International (P) Limited

ISBN :81-224-1078-2

Published by H.S. Poplai for New Age International (P) Limited, 4835124, Ansari
Road, Daryaganj, New Delhi- 110002. Typeset by EPTECH, and printed ai Ram
Printograph, C-114, Okhla Industrial Area, Phase I, New Delhi-110020.
Printed in India
Production : M.I. Thomas
CONTENTS
Preface
i

t
I

1.

2.

1
i

NEED OF RAFT FOUNDATION

3.

I
I

INTRODUCTION

TYPES OF RAFT FOUNDATION

4.

SURVEY OF AVAILABLE LITERATURE
Foundation Engineering by Peck, Hansen and Thornburn
1
Foundation Design and Practice by Elwyn. E.S. Seelye
4.2
4.3
Foundation Design by Teng
Foundation of Structures by Dunham
4.4
4.5
Indian Standard Code of Practice for Design and Construction of Raft
Foundation - IS 2950-1965
Raft Foundation - The Soil Line Method of Design by A.L.L. Baker
Indian Standard Code of Practice for Design and Construction of Raft Foundation
1.S : 2950 (Part-I) 1973
Foundation Engineering Handbook Edited by' Hans F. Winterkorn & Hsaiyang Fang
Foundation Analysis and Design by Joseph. E. Bowels
Building Code Requirements for Reinforced Concrete (ACI 318 - 77)
Foundation Design and Construction by M.J. Tomlinson
Design of Combined Footings and Mats ACI Committee 336
Pile Foundation Analysis and Design by H.G.Poulos and E.H. Davis 1980
Reinforced Concrete Designers Handbook by Charles E. Reynolds and
James C. Steedman - 9th Edition 1981
IS 2950 (Part I) 1981 -Code for Design and Construction of Raft Foundation Part I
~esi~n
Eleventh International Conference of Soil Mechanics and Foundation Engineering
San Francisco, August 12 - 16,1985
Foundation Design and Construction by M.J. Tomlinson, 5th Edition, 1986
CONTENTS

Handbook of Concrete Engineering -Mark Fintel - 2nd Edition, 1986
Reinforced Concrete Designer Handbook by Charles E. Reynolds and James
Steedman, 10th Edition, 1988
Building Code Requirements in Reinforced Concrete - ACI - 3 18 - 1989
Foundation Engineering Hand book by Hsai-Yang-Fang 2nd Edition, 1991
Design of Combined Footings and Mats - ACI committee 336 2R - 88
Published in ACI Manual 1993
Foundation Analysis and Design by Bowles, 4th Edition, 1988
Proceedings of Indian Geo-Technical Conference 1992, Calcutta, December, 1992
Designs of Foundation Systems - Principles and Practices by Nainan P. Kwian, 1992
13th International Conference on Soil Mechanics and Foundation Engineering,
New Delhi, January, 1994
Soil Structure Inter-action -The Real Behaviour of Structures, published by the
Institution of Structural Engineers, U.K. The Institution of Civil Engineers,
U.K. International Association for Bridge and Structural Engineering in March, 1989

5.

DESIGN APPROACH AND CONSIDERATIONS
5.1
Rigid Approach
5.2
Flexible Approach
5.3
Parameters for Raft Design
Pressure Distribution Under the Raft
5.4
5.5
Rigidity Criteria
5.5.1
Proposed by IS : 2950 (Part I) 1981
5.5.2 ACI Committee, 336
5.5.3 Hetenyi's Criteria
5.6
Modulus of Sub-Grade Reaction
5.6.1
Recommended by Bowles
5.6.2 IS : 2950 Part I Indian Standard Code of Practice for Design and
Construction of Raft Foundation 2950 - 1981
5.6.3 I.S. 9214-1979 - Method of Determination of Modulus of Subgrade
Reaction (k value) of Soils in Field
5.6.4. IS 8009 - Part I - 1978. Code of Practice for Calculation of Settlements of
Foundations - Part I - Shallow Foundations. Subjected to Sy_mmetrical
Static Vertical Load.
5.6.5
Recommendation by Alpan and Prof. Alarn Singh
5.6.6
Summary

6.

STRUCTURALDESIGNERS DILEMMA

7.

STUDIES CARRIED OUT ON EFFECT OF VARIOUS PARAMETERSON DESIGN OF RAFT 38
7.1

Study 1
7.1.1
Examples Selected
7.1.2
Raft Size

40
41
41

i
CONTENTS

7.1.3

5

!

:

Soil Investigation

7.1.4
Load Considered in Study
7.1.5
Analysis
7.1.6
Discussions of Results
7.1.7
Conclusions
Study 2 -Effect of Horizontal Loads
7.2.1
Example Selected
7.2.2
Discussion of Results
7.2.3
Conclusion
Study 3: Comparison with Conventional Rigid Methods
Details of Conventional Method: Combined Footing Approach
7.3.1
7.3.2 Examples Selected
7.3.3
Discussion of Results
7.3.4
Inverted Floor Method
7.3.5
Conclusions
Study 4. Another Office Building
7.4.1
Example Details
7.4.2
Comparison of Results
7.4.3
Discussions of Results
7.4.4
Conclusions
'

7.2

7.3

7.4

1
t
t

1

!

I

8.

1

t

STUDIES CARRIED OUT ON ANALYSIS AND DESIGN OF PILED RAFTS
8.1
8.2

!

Design Procedures being Used
Example Selected

8.3
8.4

i

Soil Data
Methods of Analysis Studied
8.4.1 Conventional Rigid Method with Simplified Models
8.4.1.1 Combined footing approach
8.4.1.2
Continuous beam analogy :inverted floor
8.4.1.3 Comparison of results
8.4.2
Piled RafPAnalysis Based on Finite Element Approach
Study of Parameters Influencing the Raft Behaviour
8.5.1
Effect of Raft Stiffness on the Pile Loads and Raft Moments
8.5.2
Effect of Superstructure and Retaining Walls on Foundation Stiffness
8.5.3
Effect of Earthquake Loads and Moments
8.5.4
Effect of End Bearing and Friction Piles
8.5.5
Summary of Results

8.5

:

;
I

I

8.6
8.7

I

9.
10.

Discussions
Conclusions

JOINTS IN RAFl'S
SUMMARY OF STUDIES
CONTENTS

11.

FACTORS AFFECTING CHOICE OF MET,HODOF ANALYSIS

12. GUIDELINES
APENDM - ILLUSTRATIVE EXAMPLES
A.l Conventional Rigid Method - Combined footing approach
A.2 Flexible Raft - Beam on elastic foundation
A.3 Piled Raft-Plate on elastic foundation
INTRODUCTION
I
i
t

In 1957, when the author was a student of Civil Engineering at the Indian Institute of Technology, Kharagpur,
the first institute of national importance, one of his professors of Civil Engineering at his first lecture in the
class said:
"Civil Engineering is 50% common sense but common sense is that sense which is quite uncommon. "
After 34 years of experience in Civil Engineering construction and design, the author only wonders how
true the statement of his Professor was and how much more it is true in case of foundation engineering.

!

1.1 Foundation engineering has been practised as an art, without help of science, since time immemorial upto
1920 when it had achieved a considerable amount of refinement. It was in the earlier 1920s that a concerted
effort was made to study and undentand the physical laks governing the behaviour of sub surface materials,
i.e.. soil from which foundations derived their support and on whose behaviour its own behaviour depends.
This is the time when study of soil mechanics was started and it was in 1919 when Karl Terzaghi, popularly
known as 'father of soil mechanics', made successful attempt to explain the phenomenon of settlement oti a
scientific basis. Though study of soil mechanics has provided us with new techniques for selecting appropriate
type of foundation and predicting the behaviour of completed structures, it has not been able to decrease the
importance of the accumulated experience of the ages. Amount of uncertainty and degree of variation in the
properties of soil and number of parameters on which performance of a foundation depends, make exact
solution impractical, if not impossible. With so much of advancement in science and computer application,
structural design is still defined as:I5
a creation of a structuralfonn to satisfy a number of requirements. It is a combination of art and science.
As a rule, there is no direct procedure leading to the solution of a specific problem. An engineer uses all
his resources of knowledge experience and imagination to produce a trial scheme. He then constructs a
mathematical model of such a solution to assess its adequacy and ifnecessary, modifies the original concept
in the light of analytical results. The process is repeated until the designer is satisfied with thefinalproduct,
taking into account not only structural adequacy but also such non-quantifiablefactors as aesthetics, ease
of construction and performance. The design process is characterised by a complex interaction of
parameters and the need to arrive at decisions based on incomplete data Intuitive decisions which have to
be taken, appear to be diametrically opposite to the logical nature of ... '
2

RAFT FOUNDATIONS-DESIGN AND ANALYSIS

Foundation design and analysis is, at a stage behind structural analysis and design for superstructure, and
even now continues to be practised more as an art and will probably continue to be done so, for many years
to come.

1.2 Available textbooks, handbooks, various publications and papers give widely different approaches to
design of raft foundations. A designer, when faced with a task of designing a raft foundation, finds himself in
a precarious position where he has to balance the time available for design, the cost of design, the need of
adequate safety and, above all, acceptance of the design by the client and the professional community in general
and decide the method of design to be followed by him. Generally, it is not practical for any designer to go
through the various approaches as available in engineering literature at a particular time, compare their merits
and demerits and select the most suitable for his purpose. He, therefore, perforce selects a particular textbook
and applies the same to his problem, quite often little realising that the theoretical problem dealt with in the
textbook is widely different from his practical problem relating to an actual building. Resulting solution may
not be as satisfactory as he feels.
An effort has been made in the following chapters to explain the various approaches suggested in literature,
give their comparative limitations, examine the implications of the so-called more sophisticated approaches
and finally make recommendation for the method which can be followed by a designer till he accumulates
enough experience so as to select his own method particularly applicable to his problem. Intention of this
publication is not to hinder initiative of an individual in going deeper in any problem, but to give him a
comparative idea of available approaches with sufficient number of references which he can study during the
beginning of his profession and formulate his own opinion in due course but still continuing to design
satisfactory raft foundations.
This publication should, therefore, be studied in this background.
NEED OF RAFT FOUNDATION.
Raft or Mat foundation is a combined footing that covers the entire area beneath a structure and supports all
walls and columns. This raft or mat normally rests directly on soil or rock, but can also be supported on piles
as well.
Raft foundation is generally suggested in the following situations:
(a) Whenever building loads are so heavy or the allowable pressure on soil so small that individual
footings would cover more than floor area.
(b) Whenever soil contains compressible lenses or the soil is sufficiently erratic and it is difficult to
define and assess the extent of each of the weak pockets or cavities and, thus, estimate the overall
and differential settlement.
(c) When structures and equipment to be supported are very sensitive to differential settlement.
(d) Where structures naturally lend themselves for the use of raft foundation such as silos, chimneys,
water towers, elc.
(e) Floating foundation cases wherein soil is having very poor bearing capacity and the weight of the
super-structure is proposed to be balanced by the weight of the soil removed.
(f) Buildings where basements are to be provided or pits located below ground water table.
(g) Buildings where individual foundation, if provided, will be subjected to large widely varying
bending moments which may result in differential rotation and differential settlement of individual
footings causing distress in the building.
Let us now examine each of the above situations in greater detail.

2.1 In case of soil having low bearing pressure, use of raft foundation gives three-fold advantage:
(a) Ultimate bearing capacity increases with increasing width of the foundation bringing deeper soil
layers in the effective zone.
(b) Settlement decreases with increased depth.
(c) Raft foundation equalises the differential settlement and bridges over the cavities. Every structure
has a limiting differential settlement which it can undergo without damage. The amount of
differential settlement between various parts of a structure supported on a mat foundation is much
lower than that if the sarne.structure was supported on individual footings and had undergone the
same amount of maximum settlement. With these considerations, maximum total settlement which
RAFT FOUNDATIONS-DESIGN AND ANALYSIS

can be allowed for a particular structure on mat foundation is more than what is permitted when the
structure is resting on individual footings. This, therefore, allows a higher bearing capacity for such
situations.
It may, however, be noted that if in a case deeper layers of soil are of very poor quality, increase in width
of the foundation may not always lead to higher bearing capacity. In situation where comparatively s h a l l y
top layers of soil are underlain with deeper layers of much poorer soils, it may be advantageous to provide
individual footings so that the zone of influence of the footings remains within the top stronger layer. In such
a situation, provision of a mat foundation may be disadvantageous.

2.2 Some designers work on the rule that if more than 50%of the area of the structure is occupied by individual
footings, it is necessary to provide an overall raft. This is not true and quite often, the quantity of reinforcing
steel and concrete required to avoid excessive deflection and cracking of a raft carrying unequal column loads,
necessitating carry-over of stresses from one part of the raft to the other part, may be large and may make raft
foundation uneconomical. In such situations, it may be more economical to excavate the entire site to a level
formation, construct individual closed space footings (sometimes touching each other) and then backfill around
them. In these cases, however, one must weigh form work costs against the extra footing material required by
using mat foundation. It should be considered that it is possible to construct alternate footings by using spacer
pads against already laid footings and thus save form work cost.
Quite often, doubt exists about the structural behaviour of individual footings touching each other. This
problem of interaction of footings has been studied by many researchers. It has been reported that the effect
of adjacent footings may vary considerably with the angle of shearing resistance. For low values, they are
negligible though for high values they appear to be significant, particularly if a footing is surrounded by other
footings on both sides. It is also stated that these effects are considerably reduced as length over breadth ratio
of the footings approaches unity. There are practically no such effects in the case of punching shear failure.
For these and other reasons, it has been recommended that interference effects need not be considered in
designs. Adesigner should, however, be aware of the possibility of their existence in some special circumstances 11.
2.3 Situations exist in practice w h p a soil stratum contains compressible lenses or the soils have a formation
where individual layers of soil are neither parallel nor can be reasonably stratified into different layers of known
properties to enable calculations of settlement to a reasonable accuracy. In such situations, individual footings,
if provided, would undergo widely varying settlements resulting in large differential settlement which cannot
be tolerated by the structure.
2.4 Situations, as mentioned in (c) and (d) above, are explicit and do not require further explanation. These
are special cases, and adoption of raft foundation is more or less necessary by the particular nature of the
problem involved.
2.5 In cases where soil is very soft and highly compressible and the buildings cannot be founded on such soils
in normal circumstances, it may be possible to provide the building with a basement in such a manner that
weight of the structure is equal to the weight of the soil removed and, thus, there being no change in the stresses
in the soil beneath the basement and, therefore, little settlement. However, in practice it is rarely possible to
balance the loading so that no additional pressure comes on the soil. However, in such cases still, it is only a
part of the total load which comes on the bottom soil and, thus, it is possible to construct a building inducing
a much larger load than the soil would have otherwise supported. The basement provided, gives additional
space in the building for the owner and can be made use of. However while constructing such foundations,

I
I
1

I

I

I
NEED OF RAFT FOUNDATION

5

reconsolidation of the soil, which has swelled as a result of removal of over burden pressure in excavating for
the sub-structure, should always be considered and necessary steps be taken to prevent detrimental effects.

2.6 Basements located below ground water table should use a mat as their base to provide water tight

'

c.onstruction.The alternative of having individual columns footings connected by thin slabs has not proved to
be successful in most of the cases; presents difficulties in water proofing; causes concentration of stresses at
the junction of the thin slabs and footings and also at the junction of basement walls and raft causing cracks
to develop. This arrangement, therefore, should not be resorted to unless the economy is of such a magnitude
as to outweigh all other considerations.
Even in cases where sub-soil water level is low and basement does not extend below ground water table,
long-term built up of surface water accumulating against basement walls and bottom should be allowed for.
This is particularly so in case of impermeable soils (permeability co-efficient below 0.1 mm per second) or of
large surface areas draining towards the building. i.e., areas on sloping ground near hillocks. The basement
walls should also normally be designed as self-supporting cantilever retaining walls even though they may
eventually be strutted by floor construction. It is inconvenient and often impossible to provide temporary raking
struts to support a basement retaining wall until such time as strutting given by ground floor or intermediate
basement floor is completed.

2.7 Situations also arise when isolated footings are subjected to very large eccentric loadings, and one is faced
with the possibility of excessive footing rotation, excessive differential settlement or possibility of exceeding
the allowable bearing capacity of the soil at some location. This can happen when the building consists of shear
walls and columns, shear walls sharing most of the horizontal load subjecting its footings to larger settlements
and rotation, decreasing the effectiveness of the shear walls and also creating difficulties by way of large
differential settlements. Raft, if provided, will even out these deformations.
Mats or rafts are supported on piles'in cases where sub-soil conditions warrant provision of piles, but one
has to have the basement. In such situations, raft also helps in making the basement water tight.
It would, therefore, be seen that it is not possible to lay down hard and fast rules defining situations wherein
a raft foundation is required. The author, therefore, opines that every designer should learn all that he can
within reason about the conditions at site, determine the types of foundations that are practical, compare their
cost, suitability, ease of construction, safety and select a type which in his judgement would serve the purpose
well. There can always be differences of opinion about the solution decided by him, but as already mentioned
in chapter I , it cannot be helped because foundation design still continues to be practised more as an art than
an exact science. Two artists seldom agree.
TYPES OF RAFT FOUNDATION
Raft can be classified into various types on the basis of criteria used for classification.

3.1 Based on the method of their support, raft can be:
(a) Raft supported on soil,
(b) Raft supported on piles, and
(c) Buoyancy raft.
3.2 On the basis of structural system adopted for the structure of the raft, these can be classified as:
(a) Plain slab rafts which are flat concrete slabs having a uniform thickness throughout. This can be
with pedestals or without pedestals.
(b) Beam and slab raft which can be designed with down stand beam or upstand beam systems.
(c) Cellular raft or framed raft with foundation slab, walls, columns and one of the floor slabs acting
together to give a very rigid structure.
Raft of uniform depth is most popular due to its simplicity of design and construction. This type is most
suitable where the column loads are moderate and the column spacing fairly small and uniform. Pedestals are
utilised to distribute the load on a bigger area in case of heavy column loads.
3.3 Slab and beam raft is used as a foundation for heavy buildings where stiffness is the principal requirement
to avoid excessive distortion of the super structure as a-resultof variation in the load distribution over the raft
or the compressibility of the supporting soil. These rafts, however, have many obvious difficulties. If the beams
are deep, ribs placed below the basement floor or raft, the bottom of the excavation becomes badly cut up with
trenches, impairing the bearing value of the soil because of its disturbance.Water proofing in case of basements
becomes more complicated arid involved. If the beams are projecting up, usefulness of the basement is
destroyed unless the entire foundation is lowered and the gap filled up or an upper slab is provided supported
on these inverted beams to form the ground floor of the structure.

3.4 Buoyancy raft are necessarily to be provided with a basement so that the weight of the soil removed
balances to a large extent, the imposed load. Cellular raft consisting of foundation slabs, walls, columns and
ground floor slab can be designed, but it creates considerable amount of uncertainties, difficulty of construction
and quite often even in such cases, raft is designed as a slab of uniform rhickncss.
7

TYPES OF RAFT FOUNDATION

Raft, as a slab of uniform thickness, has an additional advantage of providing better water-proofing treatment
ease of reinforcement fabrication and laying of concrete. This type of raft is most commonly used.
Various types of rafts are shown in Fig. 3.1

--------------------- R A------- -------------- F T S U P P O R T E D ON SOIL

RAFT SUPPORTED ON PILE

BUOYANCY RAFT
-------------

FLAT PLATE RAFT

---------------

i

'

:

FLAT PLATE WITH PEDESTALS

-------------------------

BEAM AND SLAB RAFT
------------------

Fig. 3.1 Various types of rafts

FRAMED RAFT

-----------
SURVEY OF AVAILABLE
LITERATURE
Testbooks and design manuals by various authors suggest varying approaches to analysis and design of raft
foundation. Differences of opinion exist in the method of analysis proposed to be adopted while determining
moments, shear forces for the design of raft. Once the bending moments and shear forces are known, structural
design does not present any difficulty and there exists no difference of opinion in this respect except very minor
difference relating to desired thickness of slab and the effectiveness of the shear reinforcement
Methods suggested by different authors are summarised below. These have been arranged chronologically
with reference to date of publication of the testbooktdesign handbook.
4.1

Foundation Engineering b y Peck, Hansen and

hornb burn^

Raft is usually regarded and designed as an inverted continuqus flat slab floor supported without any upward
deflections at the columns and walls. The soil pressure acting against the slab is commonly assumed to be
uniformly distributed and equal to the total of all column loads multiplied by appropriate load factors and
divided by the area of the raft. The moment and shears in the slabs are determined by the use of appropriate
coefficient listed in the specifications for the design of flat slab floors. On account of erratic variation in
compressibility in almost every soil deposit, there are likely to be correspondingly erratic deviations of the soil
pressure from the average value. Since the moment and the shears are determined on the basis of the average
pressure, it is considered good practice to provide this slab with more than theoretical amount of reinforcement
and to use the same percentage of steel at top and bottom. This method has been widely used, often with
complete success. On the other hand, it has also sometimes led to structural failure not only of the slab but also
of the super structure. Therefore, its limitations must be clearly understood. The analogy follows only if the
differential settlement between columns will be small and if the pattern of the differential settlement will be
erratic rather systematic. The method is valid when the columns are more or less equally loaded and equally
spaced. If the downward loads on some areas are on the average much heavier than on others, differential
settlementsmay lead to substantial re-distribution of moments in the slabs resulting in unconservative design.
Rafts are sometimes designed as if they rested on a bed of closely and equally spaced elastic springs of
equal stiffness. The contact pressure beneath any small area is then proportional to the deflection of the spring
SURVEY OF AVAILABLE LITERATURE

9

in that area and thus to the settlement. The constant of proportionality 'K' is called the modulus of sub-grade
reaction. Although, the theory has been well developed but the value of 'K' for real soils is not constant and
depends not only on the stress deformation characteristics of the soil but also in a complex manner on the shape
for
and size of the loaded area and the magnitude and position of nearby loaded areas. Evaluation of 'K' design
is difficult and fraught with uncertainty. Whatever method may be adopted for design, there is no guarantee
that the deflections of the raft will actually be unimportant. In case, the structure covers a fairly large area with
possibilities of differential settlements, it is not enough to provide great strength in the slab. It is also necessary
to provide sufficient stiffness. However, a stiff foundation is likely to be subjected to bending moments far in
excess of those corresponding to the flat slabsubgrade modulus analysis.
There appears to.be no further edition of this book after 1954.
4.2

Foundation Design and Practice b y Elwyn. E.S. seelye9

According to Seelye after determining the soil pressures at various points of raft, shear and moment diagrams
can be constructed for bands assumed from centre of bay to centre of bay. However, 65% of the moment is
assumed to be resjsted by half the width of the band. There has not been any further edition of this book after
1956.
4.3

Foundation Design b y

en^'

In the conventional method, it is assumed that the mat is infinitely rigid and that the bearing pressure against
bottom of the mat follows the planner distribution. The mat is analysed as a whole in each of two perpendicular
directions. Thus the total shear forces acting on any section cutting across the entire mat is equal to the
arithmetic sum of all forces and reactions (bearing pressure) to the left orright of the section. The total bending
moments acting on such section is equal to the sum of all moments to the left or right of this section.
Although the total shear and moments can be determined by the principles of simple statics, the distribution
along this section is a problem of highly indeterminate nature, the average moment not being indicative of the
sign and the magnitude of the bending moments in the individual strip in either direction. In order to obtain
some idea as to the upper limit of these values, each strip bounded on central line of the column bays, may be
analysed as independent continuous or combined footings. If the column loads are used, the soil reaction under
each strip is determined without reference to the planner distribution determination for the mat as a whole.
This method, undoubtedly, gives very high stress because it ignores the two way action of the mat. Therefore,
certain arbitrary reduction in values (15% to 33113%) is made.
The author gives other method like Finite Difference Method also for the design of the raft. There has not
been any further edition of this book after 1962. The book, however, has been reprinted in 1992.

The recommendation in this book can be summarised in the following words:
A great refinement of calculations is not always justified or practicable in case of raft.foundations because
of the uncertainties of the action of soil and of short thick members that are arranged in complicated and
multiple systems. It is reasonable to assume that the mat is so stiff and the load so constant that plastic soil will
compress and adjust itself so that each column load will spread almost uniformly under the mat in the general
vicinity of that particular column. For example, the total unit pressure under the rectangular area D, E, F, G
shown in Fig. 4.1 may be assumed equal to 114th of the total loads on the columns at D, E, F and G divided
by the area of D, E, F, G plus the weight of the mat per sq m. For the purpose of computing average pressure
10

RAFT FOUNDATIONS-DESIGN AND ANALYSIS

under the slabs, near the walls, the outer column loads are treated as though they were concentrated at the
columns. For this method, however, the load on adjacent columns should not differ very much and the bays
in either direction should be reasonably, equal in length, the larger spacing not exceeding 1.2 time, the smaller
one and the columns should be arringed in reasonably straight rows.

Fig. 4.1 Plan of assumed columns strips and distribution of loads
One method of making a preliminary analysis of such a mat is on the basis of an assumed supporting system
of columns strips that constitute a grid of beam along the column rows in each direction. The portion of the
slabs in the central areas is taken up to be supported by this grid. The effective width of these strips or shallow
beams has to be assumed and it is normal to take it slightly more than, what is determined by 45 degrees fiom
the pedestal or column, to the lower reinforcement in themat. Technically the top reinforcement of a central
panel may be less than of the bottom. However, it may be advisable to reinforce both sides equally because
any yielding of end restraint will increase the, tension in the top of the mat above the computed value. Each
column strip may be analysed by moment dishbution if the variation of loading or spans make this desirable,
the entire thing being designed as an inverted floor. The effect of hydrostatic pressure has to be considered
wherever it is present. There has been no further edition of this book after 1962.
4.5

-

Indian Standard Code of Practicefor Design and Construction of Raft Foundation IS 2950-1965'

There are two approaches for design-conventional method and the elastic method. In the conventional method,
the foundation is considered infinitely rigid and pressure distribution independent of the deflection of the raft.
Soil pressures are also assumed to be planner so that the centroid of the soil pressure coincides with the line
of action of the resulting forces of all the loads acting on the foundation. The method is normally used in design
because of its simplicity . A generous amount of reinforcement is provided to safeguard uncertainties caused
I
I
I

I
!
i

I

i

I!

SURVEY OF AVAILABLE LITERATURE

by differential settlement. The raft is anabjsed as a whole in each of the two perpendicular directions. Thus,
total shear forces and total bending moments acting on any section cutting across the entire raft is equal to the
arithmetic sum of all forces and reactions/moments to the left or right of the section. The actual reinforcement
provided shall be twice that worked out theoretically.
Elastic method has two approaches. In one, the soil is replaced by an infinite number of isolated springs.
In the other, the soil is assumed as a continuous elastic medium obeying Hook's Law. These methods are
applicable in case the foundation is comparatively flexible and the loads tend to concentrate over small areas.
The actual reinforcement can be one-and-a-half times that required theoretically.The famous soil line method
falls in this category.
As limitations to applicability of the methods, code mentions that the coda1 provisions:
(1) do not apply to large and heavy industrial construction where special considerations of the base
pressure distribution will be required.
(2) apply only to fairly uniform soil conditions and for fairly horizontal planes of separation of layer
below.
(3) foundations in seismic area and/or to vibrating load shall be given special considerations.
This code has been revised in 1973. Kindly see para 4.7.
4.6

'

'

11

-

RafL Foundation The Soil Line Method of Design by A.L.L. ~ a k e q

According to Mr. Baker, the design of raft as a reversed floor is dangerous. Engineers being aware of this, who.
therefore, normally adopt the second method in which earth pressure is assumed to be uniform throughout and
moments are obtained at any section by statics. He, however, feels that in the second method also high values
of moments are obtained, which may or may not be present, and it is irrational or wasteful to provide for such
moments without investigating the deflections and variation in soil pressure. Mr. Baker has, therefore,
suggested the soil line method which takes into account the variations in soil pressure and its relation to
deflection but in order to simplify the calculations, it is assumed that the earth pressure varies throughout a
beam according to straight line law.
There is no further edition of this book after 1969.

4.7

Indian Standard Code of Practice for Design and Construction of Raft Foundation
1.S :2950 (Part-I) 1973~

In the revised version of the code, following methods of analysis have been proposed:
(a) Assumption of linearly varying contact pressure
(b) Perfectly rigid structures
(c) Perfectly flexible structures
(d) Structures stiffened along one axis
(e) Structures stiffened along both the axis
(f) General methods:
(i) Based on modulus of subgrade reaction, and
(ii) Based on modulus of compressibility (half space theory).
Method (a) corresponds to the conventional method in the earlier version of the code and has similar
limitations. In method (b), contact pressure distribution is to be calculated based on Boussineq's Equation for
Elastic Isotropic half space and is applicable when deformations of raft under loads are small as compared to
the mean settlement of the structure.
12

RAFT FOUNDATIONS-DESIGN AND ANALYSIS

Method (c) is applicable for structures which have relatively less stiffening members specially resting on
very stiff foundation soil. In this case, the deflections of the raft are same as the settlements of the foundation
soil under external load.
Method (d) is something in between methods (b) and (c) . Here in the direction of the stiffened axis the
contact pressure distribution is determined by Boussineq's Equation as in method (b). In perpendicular
direction distribution is determined as given in (f).
Method (e) is same as method (b). The two methods under (f) are elastic methods and are used when
simplified methods from (a) to (e) are not applicable. Details given in the codedo not provide enough guidance
to enable the analysis and design 10 be completed by the designer. Apart from the limitations applicable in
earlier version of the code it is stated that:
(i) Allowable settlement both total and differential shall satisfy the requirement of the super-structure
(ii) The approximate values of permissible settlements as given in earlier code have been deleted.
This code has further been revised. Please see para 4.15.
4.8

Foundation Engineering Handbook Edited by Hans F. Witerkorn & Hsaiyang

an^''

Dr. Joseph E. Bowles and Wayne C. Teng are authors of chapters on spread footings, combined and special
footings and mat foundation respectively. Chapter on floating foundation has been written by Dr. H.Q. Golder.
This book classifies the method of design of mat foundation according to assumptions used. The rigid
method which is the conventional method assumes that:
(a) Mat is extremely rigid as compared to the sub-soil and, therefore, the flexural deflection of the mat,
does not alter the contact pressure.
(b) The contact pressure or the pile reaction are distributed in a straight line or a plain surface such that
the centroid of the contact pressure coincides with the line of action of the resultant force of all the
loads acting on the mat. When mat foundation is supported on piles, piles are assumed to be perfectly
elastic. Raft is considered to be rigid when the column spacing is less than 1.751h or when the mat
is supporting a rigid super-structure. his same as defined by Heteny. The mat is analysed as a whole
in each of the two perpehdicular directions. The mat is divided into perpendicular bands of width
between centre lines of adjacent column rows. Each band is assumed to act as an independent beam
subjected to common contact pressure and known column loads.
The simplified elastic method assumes that the soil behaves like an infinite number of individual elastic
springs each of which is not affected by others. This foundation model is also referred to as Winkler foundation.
Analysis procedures have also been developed for the beams on the simplified elastic foundation concept.
The mat is considered as a plate and the effect of each column load is considered in area surrounding the load.
Using the method of super-imposition,effect of all the column loads within the zone of influence is calculated.
Among computer-oriented methods suggested is finite difference method, based on the assumption that the
sub-grade can be substituted by a bed of uniformly distributed elastic springs with a spring constant equal to
coefficient of sub-grade reaction. For this purpose, the mat is divided into square areas. The deflection at the
nodal points of these areas is expressed by a differential equation in terms of deflection at the adjacent points
to the right, left, top and bottom. These simultaneous equations are solved with an electronic computer and
deflection at all the points are determined. Once deflections are known, the bending moment at any point in
each direction is determined from theory of elasticity.
The finite element method transforms the problem of plates on elastic foundation into a computer-oriented
procedure of matrix structural analysis. The mat is idealised as a mesh of finite elements inter-connected only
13

SURVEY OF AVAILABLE LITERATURE

at the comers and the soil may be modeled as a set of isolated springs or as an elastic isotropic half space. The
matrix structural analysis can be extended to include the influence of the super-structure as well, thus the
interaction between the super-structure, the foundation and the soil is accounted for.
It is further suggested that in a mat supported on hard rock, the column loads are transmitted to the rock on
relatively small areas directly under the column. A greater economy may be achieved by designing the mat by
elastic methods. On very soft soils, the contact pressure against the mat foundation approaches planer
distribution and, therefore, it is commonly justified to design a mat on mud, soft clay, peat, organic soils or
even medium clays by the conventional rigid method. A generous amount of reinforcement running in both
directions at top and bottom is suggested regardless of method of design used in view of the likelihood that
the stresses actually introduced would bedifferent from those calculated irrespective of the method used foi
analysis.
Second edition of this book is published in 1991. Please see para 4.21.

4.9

"

Foundation Analysis and Design by Joseph. E. ~ o w e l s '

The mat may be designed as rigid structures thereby soil pressure are computed as Q = V/A in the case where
the resultant of the forces coincide with the centre of the mat area. If resultant has eccentricity with respect to
geometric centre, soil pressure is calculated by the relation

In case, however, if the eccentricity is very large, the resulting internal stresses may be seriously in error.
Once the dimensions of the mat are established, soil pressures at various locations beneath the base may be
computed. With the pressure distribution known, the mat is sub-divided into a series of continuous beams
(strips) centred on the appropriate column lines as shown in Fig. 4.2. For the series of beams, shear and moment
diagram may be established using either combined footinglanalysis or beam moment coefficient. The depth is
selected to satisfy shear stresses and is usually constant but the steel reinforcement vary from strip to strip.
The perpendicular direction is analysed similarly, to complete the design.

Fig. 4.2
14

RAFT FOUNDATIONS-DESIGN AND ANALYSIS

When the soil bearing pressure is low say 0.5 ~ i ~ s l f(25 K N I ~or less and if the deformation of the mat
t2
~)
surface can be tolerated, the mat may be designed as an inverted flat slab, using heavy beams from column to
column. The portion between beams is designed as a conventional one or two way slabs.
When footings are designed as flexible members, the computation takes some form of the solution of a
beam on an elastic foundation. The experience has indicated that the solution obtained are generally reliable
when the data are satisfactory. Possibly the reasons, as to why the methods have not been widely used in the
past, are ease of making conventional solution, which have been generally satisfactory and usually not much
different from elastic solution. Second reason is that the soil data are generally obtained using the standard
penetration test for which no straight forward conversion to a value of modulus of sub-grade reaction exists.
Various methods for elastic analysis like finite element and finite differences have also been explained in this
book.
New edition of this book is publisheg in 1988. Kindly see para 4.23
4~10 Building Code Requirements for Reinforced Concrete (ACI 318 - 7 ) 8
71

Matters relating to design of footings are included in this code in Chapter 15. paragraph 15.10 relates to
combined footings and mats. This paragraph reads as under:
15.10.1 Footings supporting more than one column, pedestal, or wall (combinedfootings or mats) shall be
proportioned to resist the factored loads and induced reactions, iir accordance with appropriated design
requirements of this code.
15.10.2 The Direct Design Method of Chapter 13 shall not be usedfor design of combinedfootings and mats.
15.10.3 Distribution of soil pressure under combined footings and mats shall be consistent with propemees
of the soil and the structure and with establishedprinciples ofsoil mechanics.
It would be seen that this code does not provide for much guidance in design of raft foundation.
This code has been revised several times. Final being in 1989. Please see Para 4.20.
4.11

Foundation Design and Construction by M .J . ~ o m l i n s o n ' ~

Mr. Tomlinson states that it is wrong in principal to assume that araft acts as an inverted floor slab on unyielding
supports and to design the slab on the assumption that its whole area is loaded to the maximum safe bearing
pressure on the soil as this canlead to wasteful and sometimes dangsrous designs. Allowance must be made
for deflection under the most favourable combination of dead and live load and variation in soil compressibility.
Guidance is required from the soil mechanics engineer on the estimated total and differential settlement for
dead and live load considered separately. Some flexibility is desirable to keep bending moments and shear
stresses to a minimum, but the degree of flexibility must be related to the allowable distortion of the
super-structure.Basement rafts carrying heavy building on weak soils are often founded on piles. The normal
function of the piles is to transfer the loading to stronger and less compressible soil at greater depth or if
economically possible, to transfer the load to bed rock or other relatively incompressible strata. The piles also
have the effect of stiffening the raft and reducing or eliminating re-consolidation of ground heave, thereby
reducing differential settlement or tilting. In such cases, considerable heave takes place with further upward
movement caused by displacement due to pile driving. After completion of piling, the swelled soil should be
trimmed off to the finished level. The basement walls should generally be designed as self-supportingcantilever
retaining walls even though they may eventually be supported by the floor construction and additional stability
against overturning given by super-structure loading on top of the wall. The basement floor slabs must be able
SURVEY OF AVAILABLE LITERATURE

15

to withstand pressure on the underside of the slab together with stresses caused by differential settlement,
non-uniform column loads, reaction from the retaining walls. If the columns are provided with independent
bases with only a light slab between them, there would be likelihood of failure of the slab from the pressure
of the underlying soil.
Fifth edition of this book has been out in 1986. Please see para 4.17.

t
g

4.12

i

a

1

The committee observes that no authentic method has been devised that can evaluate all the factors involved
in the problem and allow carrying out determination of contact pressures under combined footings and mats.
Simplifying assumption must, therefore, be made based on the knowledge of the interaction of the various
elements of the system. The following factors should be considered while examining any problem:
(1) Soil type immediately below the footing
(2) Soil type at the greater depth
(3) Size of footing
(4) Shape of footing
(5) Eccentricity of loading
(6) Rigidity of footing
(7) Rigidity of the super-structure
(8) Modulus of sub-grade reaction
The committee suggests procedure to be followed for design of footings under two columns: grid
foundations and smp footings supporting more than two columns and mat foundation. Linear soil pressure
distribution is suggested for footings which can be considered rigid to the extent that only very small relative
deformations result from the loading. The rigidity may result from the spacing of the columns on the footing
from the rigidity of the footing itself or the rigidity of the super-structure.Limitations which must be fulfilled
to make this assumption valid have been discussed in the report.
Distribution of soil pressure by means of sub-grade reaction has been suggested where sub-soils are of such
character that the deformations are localised in the general vicinity of the loads and when the maximum contact
pressure is smaller than about one and a half times the ultimate bearing capacity. In case of rigid footings, it
is suggested that uniform or linear distribution of soil pressure can be assumed and the design based on statics.
Flexible footing procedure is divided into 2 parts i.e. uniform condition and general condition. Uniform
conditions are considered to be those where the variation in adjacent column loads and spans is not greater
than 20%. For cases where supporting columns are at random location with varying intensities of loads a
detailed design procedure based on plate theories has been recommended.
4.13

:

Design of Combined Footings and Mats ACI Committee 33614

Pile Foundation Analysis and Design by H.G.Poulos and E.H.Davis 1 9 8 0 ~ ~

In this book, Chapter 10 deals with piled raft systems. The author says that, "in design of foundation for a large
building on a deep deposit of clay it may be found that a raft foundation would have an adequate factor of
safety against ultimate bearing capacity failure but the settlement would be excessive; traditional practice
would then be, to pile the foundation and to choose the number of piles to give an adequate factor of safety
assuming the piles take all the load; however it is clearly illogical to design the piles on an ultimate load basis
when they have only been introduced in order to reduce the settlement on other-wise satisfactory raft."
According to the author, once the
have been introduced solely for the purpose of reducing the settlement
16

RAFT FOUNDATIONS-DESIGN AND ANALYSIS

design question becomes not "how many piles are required to carry the weight of the structure" but "how many
piles are required to reduce the settlement to an acceptance level".
However, in Chapter 5, the settlement behaviour of a free standing pile is obtained from the elastic-based
analysis. The pile is divided into number of elements and the expressions for vertical settlement of the pile and
the soil at each element in terms of unknown stresses on the piles are obtained and solved, imposing the vertical
displacement compatibility condition, to arrive at the settlement behaviour of the pile. As a further extension,
the unit consisting of a single pile with an attached cap resting on the soil surface is considered. It is assumed
that purely elastic condition prevails upto the load at which the pile would fail if no cap were present and
thereafter any additional load is taken entirely by the cap. The book gives charts indicating interaction factor
between the raft and the pile for various values of length of the piles, diameter of the pile, poisson ratio of soil,
height of soil layer over the rigid stratum and the cap diameter.The method is further extended to group of
piles upto about 40 numbers. Curves are drawn which are applicable only for rigid rafts or perfectly flexible
rafts. The entire emphasis is to work out the ratio of the load carried out by the piles and the raft soil system.
No details are given on &e method to determine the bending moment and shear forces in the raft. It is only
mentioned that none of the simple methods are satisfactory and a proper analysis of plate on piles and
continuum is desirable.

4.14

Reinforced Concrete Designers Handbook by Charles E. Reynolds and JamesC. Steedman
9th Edition 1981"

-

This book suggests the analysis of a raft foundation supporting a series of symmetrically arranged equal loads
on the assumption of uniformly distributed pressure on the ground considering the structure as an inverted
reinforced concrete floor acted upon by the load of earth pressure from bottom. It is further suggested that
when the columns on the raft are not equally loaded or are not symmetrically arranged, the raft should be so
designed that the centroid coincides with the centre of gravity of the loads. If this coincidence of centre of
gravity is impracticable owing to the extent of the raft being limited on one or more sides, the plan of the raft
should be made so that the eccentricity of the total loading is a minimum, though this may produce a raft which
is not rectangular in plan.

4.15

-

IS 2950 (Part I) 1981 Code for Design and Construction of Raft Foundation Part I ~ e s i ~ n ~

In the second revision of the code, two methods of analysis have been suggested depending upon the
assumption involved. Conventional method assuming planner distribution of contact pressure is applicable to
foundations which are rigid relative to supporting soil and the compressible soil layer is relatively shallow.
The rigidity of the foundation is determined with a relative stiffness factor K > 0.5 or columns spacing less
than 1.75A. Methods of determining value of K and hare given in the code. Conventionalmethod is applicable
when either of the two conditions are satisfied. The value of K depends upon the flexural rigidity of the
super-structure, modulus of the compressibilityof the foundationsoil, thickness of the raft, length of the section
in the bending axis and length perpendicular to the section under investigation. Value of h depends upon
modulus of sub-grade reaction for the footing of the width of the raft, modulus of elasticity of concrete and
moment of inertia of the raft. In this method, the rf is analysed as a whole in each of the two perpendicular
at
directions on the basis of statics.
In case of flexible footings, simplified methods are applicable when variation in adjacent column load is
not more than 20% of the higher value and the structure (combined action of the super-structure and raft) may
be considered as flexible, ie., relative stiffness factor K is greater than 0.5. In this method, it is assumed that
17

SURVEY OF AVAILABLE I-ITERATURE

&'
i
:

the sub-grade conslsts of an infinite array of individual elastic springs each of which is not affected by others.
This method is more or less same as the famous soil line method.
When conditions, as mentioned above, for flexible foundations are not satisfied ,a method based on closed
form of solution of elastic plate theory has been suggested. The distribution of deflection and contact pressure
on the raft due to a column load is determined by the plate theory. Since the effect of a column load on the
elastic foundation is damped out rapidly. It is possible to determine the total effect at a point of all column
loads with~nthe zone of influence by the method of super-imposition. The computation of the effect at any
point is restricted to columns of two adjoining bays in all directions.
The code also lays down that:
(a) Size and shape of the foundation adopted affects the magnitude of subgrade modulus which should
be taken into consideration.
(b) Consideration must be given to the increased contact pressure developed along the edges of the raft
on cohesive soils and the opposite effect on granular soils.
(c) Expansion joint should be provided when the structure supported by the raft consists of several parts
with varying heights and loads or there is a change in the direction of the raft.
(d) This code does not explicitly provide any guidance as to how factors emphasised in (a) and (b) above
should be allowed for. The second part of the code relating to construction aspect is still not printed.
There has not been any further revision and this code was reaffirmed in 1987.

4.16

Eleventh Intenationul Conference of Soil Mechanics a d Foundation Engineering San Francisco,
August 12 1 6 , 1 9 8 5 ~ ~

-

In the conference while two papers were presented on instrumentation of pile raft foundation and cap pile soil
interaction, there was no recommendation or paper on design of raft foundation.

4.17

Foundation Design and Construction by M.J. Tomiinson, 5th Edition, 1986"

There is no significant change in this edition from what was recommended in 4th edition

4.18

-

-

Handbook of Concrete Engineering Mark Fintei 2nd Edition, 1986%

This book makes no recommendation about raft foundation.

4.19

Reinforced Concrete Designer Handbook by Charles E. Reynolds and James Steedman,
10th Edition, 1988~'

There is no change in recommendations from what was done in the earlier edition published in 1981

4.20

-

- -

Building Code Requirements in Reinforced Concrete ACI 318 1989~'

Building code requirements since their second edition in 1977 have gone in for further revision 1983, 1989
and 1992. In the latest revision there is no change in the code requirements for design of combir.ed footings
and mats, but in commentary a reference has been made to 'design procedure for combined footings and mat
i per report prepared by ACI committee 336'and also to a paper 'simplified design of footings by' Kramrisch,
s
Fritz and Rpgers Paul published in American Society of Civil Engineers Proceeding, V. 87, NOSM 5, October
1961, p. 19.
18

4.21

RAFT FOUNDKTIONS-DESIGN AND ANALYSIS

Foundation Engineering Handbook by Hsai-Yang-Fang2nd Edition, 1 9 9 1 ~ ~

This edition has omitted the chapter on mat foundation which was originally'included in first edition.

4.22

-

-

Design of Combined Footings and Mats ACI committee 336 2R 88 Published in ACI
Manual 1
~
3
~
~

1966 report mentioned in para 4.12 above was reaffirmed in 1980 but has been completely revised and
elaborated in 1988. This report suggests that:
(a) Maximum unfactored design contact pressure should not exceed the available soil pressure determined by geotechnical engineer. Where wind or earthquake forces form a part of the load
combination, the allowable soil pressure may be increased as allowed by the local code and in
consultation with geo-technical engineer.
(b) Combined footings and mats are sensitive to time dependent sub surface response. Many structural
engineers analyse and design mat foundations by computer using the finite element method. Soil
response can be estimated by modelling with coupled or uncoupled "Soil springs". The spring
properties are usually calculated using a modulus of subgrade reaction, adjusted for footing size,
tributary area to the node, effective depth, and change of modulus with depth. The use of uncoupled
springs in the model is a simplified approximation. The time dependent characteristics of the soil
response, consolidation settlement or partial consolidation settlement, often can significantly
influence the subgrade reaction values. Thus, the use of a single constant modulus of subgrade
reaction can lead to misleading results.
(c) Caution should be exercised when using finite element analysis for soils. Without good empirical
results, soil springs derived form values of subgrade reaction may only be a rough approximation
of the actual response of soils. Some designers perform several finite element analyses with soil
springs calculated from a range of subgrade moduli to obtain an adequate design.
(d) The response of a footing is a complex interaction of the footing itself, the superstructure above,
and the soil. That interaction may continue for a long time until final equilibrium is established
between the superimpos&lloads and the supporting soil reactions. Moments, shears, and deflections
can only be computed if these soil reactions can be determined.
(e) No analytical method has been devised that can evaluate all of the various factors involved in the
problem of soil-structure interaction and allow the accurate determination of the contact pressures
and associated subgrade response.
(f) For mat foundationsmodulus of subgrade reaction cannot be reliably estimated on the basis of field
plate load tests because the scale effects are too severe.
(g) Mats may be designed and analysed as either rigid bodies or as flexible plates supported by elastic
foundation. A combination analysis is common in current practice. An exact theoretical design of
mat as plate on an elastic foundation can be made. However a number of factors like, difficulty in
projecting subgrade responses, variation in soil properties both horizontal and vertical, mat shape,
variety of superstructure loads and assumption in their development and effect of superstructure
stiffness on mat rapidly reduce exactness to a combination of approximations.The design is further
affected by excavation heave.
(h) After propottioning the mat size, compute the minimum mat thickness based on punching shear at
critical columns based on column load and shear perimeter. It is common practice not to use shear
reinforcement so that mat depth is maximum.

I

I

1
I

*

;
i
I

19

SURVEY OF AVAILABLE LITERATURE

(i) In case column spacing is less than 1.75 divided by h or the mat is very thick and variation of column
loads and spacing is not over 2096, mat may be designed by treating it as a rigid body and considering
strips both ways. These strips are analysed as combined footings with multiple column loads and
loaded with the soil pressure on the strip and column reactions equal to loads obtained from the
superstructure analysis. Since a mat transfers load honzontally, any given strip may not satisfy
vertical load summation.
Q) In case the criteria is not met with an approximate analysis can be made using the method suggested
by ACI Committee 336 in 1966.
(k) Computer aided finite differences,finite grid or finite element methods can be used where computers
are available. The report gives details of these 3 methods. In any of these 3 methods node pressure
should not exceed the safe bearing pressure value recommended by the geotechnical engineer.
(1) A mat analysis is only as good as the soil parameters. Since it is very difficult for the geotechnlcal
engineer to provide accurate vdues of moGulus of subgrade reaction, the structural designer may
do the parametric study, varying the value of K over range of one half the furnished value to 5 or
10 times the furnished value.
(m) The analysis and design of combined footings and mats is a soil-structure interaction effort in which
there is no unique method to determine mat deflection. The determination of mat deflection extends
far beyond the analysis of a beam or finite element model to the prediction of subgrade response.
The prediction of subgrade response, though part of the structural analysis of the mat, is more elusive
than designers wish to admit. Experience with extensive measurements of both foundation loadings
and subgrade response are needed to develop a high degree of confidence in the method selected.
A very close working relationship must exist between the geotechnical and structural engineers to
properly analyse comb~ned
footings and mats.

4.23

Foundation Analysis and Design by Bowles, 4th Edition, 1 9 8 8 ~ ~

In this edition analysis of mat foundation has further been elaborated considerably. Among the design methods
included are conventional or rigid methods as explained in earlier edition stating that this method is not
recommended at present because of substantial amount of approximations and the wide availability of
computer programmes which are relatively easy to use and mat being generally too expensive and important
not to use most refined analytical method available.
The approximate flexible procedure suggested by ACI Committee 436 (1966) has been retained and
elaborated. Further details have been given for finite difference method, finite element method and finite grid
method applicable with computer.
4.24

Proceedings of Indian Geo-Technical Conference 1992, Calcutta, December, 1 9 9 2 ~ ~

This conference does not have papers relating to design and analysis of raft foundation.

4.25

-

Designs of Foundation Systems Principles and Prrictices by Nainan P. Kurian, 1 9 9 2 ~ ~

The book details conventional approach to raft design as a flat slab and beam and slab raft, following the Indian
Standard Code of Practice, more on the inverted floor approach. The book only mentions that an integrated
analysis of the beam and slab on the computer by the finite element method using package programmes such
as SAP IV which will give exact results based on the actual behaviour of the system can be carried out. This
book also mentions about the design of raft foundation by the Soil line method stating that this method has
20

RAW FOilNDATlONSDESlGNAND ANALYSIS

1I

rather become obsolete in the wake of possibility of using more refined flexible methods with the aid of
computer.
4.26

13th International Conference on Soil Mechanics and Foundation Engineering, New Delhi
January, 1 9 9 4 ~ ~

A paper by M.F. Randolph was presented as a special lecture on design methods for Pile Groups and Piled

Rafts.
The paper recalls that in majority of the cases where piles form part of the foundation for a building or other
structures, the primary reason for inclusion of the piles is to reduce settlements. However, once the decision
has been made that piles are required the traditional design approach has been to ensure that the total structural
load can be carried out by the piles, with adequate factor of safety against bearing failure. However, there is
elastic interaction'between the raft and soil below, between piles and piles as the performance of a pile within
a group is affected by the presence of other piles. The key question that arises in the design of pile rafts concerns
the relative proportion of load carried out by raft and the piles and the effect of additional pile support on
absolute and differentialsettlements.,Thepaper suggests that this distribution of load between the raft and piles
be taken into account. The paper also gives methods by which this proportion of load between the two
components are carried out.
4.27

-

Soil Structure Inter-action The Real Behaviour of Structures, published by the Institution of
Structure Engineers, U.K. The Institution of Civil Engineers, U.K. International Association
for Bridge and Structural Engineering in March, 1 9 ~ 9 ~ ~

The above institutions constituted a joint committee under Dr. Sam Thornborn which prepared this report.
Pointing out that,
(i) Red behaviour of structures in contact with ground involves an inter-active process beginning with
the construction phase and ending with a state of balance after a period of adjustment of stresses
and strains within the structure and within the ground influenced by the structure.
(ii) Actual behaviour of the structure relates to the inherent spatial variations in the ground and it should
be appreciated that these variations are not always readily identifiable by occasional and local
boring, sampling and testing.
The report deals with the question of soil structure interaction in 2 parts. Pari I relates to structures supported
by ground and Part I1 for ground supported by structures.
(a) Under structures supported by ground, the report points out that engineers could estimate the
settlements for a perfectly flexible load or they could estimate the avenge settlement of a rigid load
but in between these limits, the engineers could say nothing.
(b) Analytical methods have been developing so rapidly over the last few years that it is now possible
to obtain solution to many complex problems which a few years ago would have been quite out of
reach. If used sensibly and with discernment, these powerful analytical methods can be of considerable assistance enabling a designer to gain a feel for the behaviour of soil structure system.
However, if used blindly, such methods cause menace and can be extremely misleading. The key
to successful use is to gain a clear understanding of the idealisations that are being made and to be
aware of, how far they may be, from reality.
(c) For a framed building founded on a raft, during excavation some heave of the soil will occur. The
raft will then be constructed and will be influenced by the differential settlement there after. As the

II
i

i

,

I

1

I
SURVEY OF AVAILABLE LITERATURE
i

t

(d)

(e)

(f)

(g)

structural load is applied short term settlements take place, the part of the structure in existence
distorts and the overall stiffness gradually increases. The cladding is then added and may substantially increase the stiffness of the building. Finally, the imposed load is applied. Not all the
components of the buildings are subject to the same relative deflection. The relative deflections
experienced by the raft will be the largest. Those experienced by the structural members will vary
with location and elevation in the building. The likelihood of damage will diminish, the larger the
proportion of medium and long-term settlements,the smaller the ratio of imposedldead loads and
later the stage at which the finishes are applied.
The report has an appendix which has reviewed currently available techniques for the analysis of
the total soil structure system. More readily available computer packages that utilise these techniques, have been listed in the appendix.
The manner in which and the limitations with which super-structure can be modelled have been
singled out. For soil model, it is pointed out that commonly known approach of treating the soil as
a set of liner unconnected springs cannot be recommended for the analysis of rafts and continuous
footings although this model has the advantage of being easily included in standard computer
programmes for structural analysis. It is a poor physical model. The results of analysis based on use
of this model may be excessively sensitive to the pattern of applied load.
The half space continuum using elastic theory for both stresses and strains has severe limitations
because it does not take into account, the soil layering or the variation of soil modulus with depth
within a given layer. In an extension of this method where elastic theory is used for strains only and
then stresses are calculated using the various deformation moduli of the soil is better approximation.
In a further improvement of a layered coniinuum the exact stresses and strains in a layered soil mass
are calculated.
Super structure stiffness has a marked influence on the behaviour of the raft and should not be
ignored although the quantitative assessment of all but the simplest of the wall system connected
to the raft may prove difficult. However, often the raft is itself a major contributor to the overall
stiffness of the building. Since the raft is in intimate contact with the supporting soil, the inter-active
effects are perhaps most marked in consideration of its own behaviour. In the design of raft
foundation, it is totally unrealistic to ignore deformation and rely on moment and shears obtained
from the analysis of the conventional flat slab method. It is equally unrealistic to compute
deformation without consideration of the structural stiffness and then to design on the basis of the
corresponding stress resultants. Rational design approach must be based on the results of an
interactive analysis.
DESIGN APPROACH AND
CONSIDERATIONS
Summary of methods suggested by various authors discussed in Chapter 4 would indicate that basically two
approaches have been suggested for analysing the behaviour of raft foundation:
A. Rigid foundation approach
B. Flexible foundation approach
5.1

Rigid Approach

In rigid foundation approach, it is presumed that raft is rigid enough to bridge over non-uniformities of soil
structure. Pressure distribution is considered to be either uniform or varying linearly. Design of rigid raft
follows convkntional methods where again following two approaches have been suggested:
(a) Inverted floor system
(b) Combined footing approach
In rigid rafts, differential settlements are comparatively low but bending moment and shear forces to which
raft is subjected are considerably high.

5.2

Flexible Approach

In flexible foundation approach, raft is considered to distribute load in the area immediately surrounding the
column depending upon the soil characteristics. In this approach differential settlements are comparatively
larger but bending moments and shear forces to which the raft is subjected are comparatively low. Analysis is
suggested basically on two theories
(a) Flexible plate supported on elastic foundation, i.e., Hetenyi's Theory
(b) Foundation supported on bed of uniformly distributed elastic springs with a spring constant
determined using coefficient of sub-grade reaction. Each spring is presumed to behave independently, i.e., Winklers's foundation
Based on these two basic approaches, methods suggested include simplified methods subject to certain
limitations which can be carried out by manual computation. Also now available are computer based methods
23

DESIGN APPROACH AND CONSIDERATIONS

like finite element and finite differences methods. Finite differences method is based on the second approach
uf uniformly distributed elastic springs and can consider one value of sub-grade modulus for the entire area.
Finite element method transforms the problem of plates on elastic foundation into a computer oriented method
of matrix structural analysis. In this method, plate is idealised as a mesh of finite elements inter-connected
only at the nodes (corners), and the soil may be modelled as a set of isolated springs or as an elastic isotropic
half space. The matrix structural analysis can be extended to include the influence of the super-structure as
well. Thus, the interaction between the super-structure, the foundation and the soil can be accounted for. It is
possible to consider different values of sub-grade modulus in different areas of the raft foundation.
In case of piled rafts against the usual assumption of entire load being carried by piles alone, emphasis is
now being laid on sharing of load between raft supported on soil, i.e., raft soil system and raft pile system.
Sufficiently accurate methods for practical distribution of these loads are not yet available.
As a simplification of treating the entire raft as a plate, concept of beam on elastic foundation is also being
used. For this purpose raft is considered to consist of beams in both the directions. Each of these beams is
treated as supported on springs having spring constant calculated using modulus of subgrade reaction and
carrying column loads. The beam is then analysed as a bean1 on elastic foundation.

5.3

Parameters for Raft Design

In all these methods, however, three basic parameters, i.e., rigidity of the raft, pressure distribution under the
raft and value of sub-grade modulus become important in addition to whatever other info&ation'is received
from soil investigation report. These three parameters and method of their determination are discussed in
subsequent paragraphs.

A problem which has to be solved while designing a raft foundation is to evaluate the actual contact pressure
of the soil against the raft. This problem has occupied many researchers theoretically and a lesser number
experimentally with no exact values being known. Contact pressure, settlement of foundation, soil characteristics and its behaviour are so much inter-related and their relationship so complex, that soil foundation structure interaction is not clear even now. Considering all these aspects it can be said that the contact pressure
distribution under the raft depends upon:
(1) The nature of the soil below the raft, i.e., a single homogenous mass or a layered formation,
thicknesses of various layers and their relative locations
(2) Properties of the soil
(3) The nature of the foundation, i.e., whether rigid, flexible or soft
(4) Rigidity of the super-structure
(5) The quantum of loads and their relative magnitude
(6) Presence of adjoining foundation
(7) Size of raft
(8) Time at which pressure measurements are taken
The total settlement under the raft foundation can be considered to be made up of three components, i.e.,

S = Sd+Sc+Ss
where Sd is the immediate or distortion settlement, Sc the consolidation settlement and S is the secondary
s
compression settlement. The immediate component is that portion of the settlement which occurs simul-

-,
24

RAFT FOUNDATIONS-DESIGN AND ANALYSIS

taneously with the load application,primarily as aresultof distortion within the foundation soils. Thesettlement
is generally not elastic although it is calculated using elastic theory. The remaining components result from
the gradual expulsion of water from the void and corresponding compression of the soil skeleton. The
distinction between the consolidation and secondary compression settlement is made on the basis of physical
process which control the time rate of settlement. Consolidation settlements are largely due to primary
consolidation in which the time rate of settlement is controlled by the rate at which water can be expelled horn
the void spaces in the soil. The secondary compression settlement,the speed of settlement is controlled largely
by the rate at which the soil skeleton itself yields and compresses. The time rate and the relative magnitude of
the 3 components differ for different soil types. Water flows so readily through most clean granular soil that
the expulsion of water from the pores for all practical purposes is instantaneous and thus foundation settles
almost simultaneously with the application of load. In cohesive soil, it takes considerable time for water to
escape and thus settlement in cohesive soils continue much longer. In fact, it has been reported that the pressure
under a mat foundation on clay may vary from time to time.
It is usual to assume that the soil below the foundation is an isotropic homogeneous material for its entire
depth. But normally this is not the situation and we get different layers in varying thickness, having different
properties below foundation. If the thickness of the upper most layer is large relative to the dimension of the
loaded area, it would probably be sufficient if the soils were considered as a homogenous layer of indefinite
depth. However, if the upper stratum is relatively thin ignoring theeffect of layering, it may have an appreciable
influence on the contact pressure distribution and consequently settlements. This is likely to be of special
importance when a compressive stratum is underlain by rock or a very hard or dense soil. Such presence
decreases the settlement considerably. It is very significant when this occurs within a depth equal to width of
the footings. Incase, there is a stiff stratum underlain by a soft stratum like layer of sand over soft clay layer,
effect is negligible if depth is greater or equal to 3.5 b2.1n case of raft, dimensions of raft are generally such
that the possibilities of encountering a different soil layer within the significant depth are quite large and as
such it would be necessary to account for the different soil layers within the significant depth. Moreover it is
to be remembered that properties of soil constituting each layer which determine the shear strength characteristics and settlement characteristicsof the soil become more important as rafts are generally adopted in areas
where soils of poorer types are'~ncounteredand which some years ago might have not been taken up for
construction at all.
Effect of groundwater table is appreciable on the load carrying capacity of the soil and consequently
settlements. It is, therefore, necessary to consider the expected ground water table in life time of the structure
including the temporary rises as during floods. Even in areas where sub-soil water table is not present, it is
necessary to consider long term built up water for design of basement and raft foundation. If permeability
coefficient of the soil is below 0.1 mm per second, soil is cohesive and probability of surface water accumulated
against basement walls exist'. In such situations, it may be necessary to design raft foundations of basement
for water uplift also.
The conventional analysis of footings, in general, uses the concept of a rigid fcotings and with rigid footing
are associated the concept of uniform soil pressure. Actually to have a uniform soil pressure distribution, we
require a very flexible footing. If simultaneously we accept the concept of soil being elastic (modulus of
elasticity or coefficient of sub-grade modulus), settlementof rigid footing will be uniform and that for a flexible
footing the settlement would be non-uniform and but if this is the case then how can the contact pressure be
uniform (under a rigid footing). In reality we have a soil snucture interaction problem and there is a non-uniform
soil pressure and differential settlements within the footings. It has been suggested that in case of square footing
resting on clay on average contact pressure of 0.6 PIA with additional 0.1 PIAalong edges would be reasonable
25

. DESIGN APPROACH AND CONSIDERATIONS

1
I
1
:

i-

i

:

1

:

pressure distribution. For a rectangular footing of large length it is suggested that it would be reasonable to
have an average pressure equal to 0.8 P average + 0.1 PIB for the edges. Here P is total load, A, area and B,
length of the footing.
For footings on sands a pressure distribution of uniform soil pressure is reasonable.
Rigidity of foundation gets modified by the rigidity of super-structure. Arigid super-structurewill not allow
differential settlement to take place in foundation. Situation can arise when a particular column of the building
may be hanging from the super-structure and even transmitting the weight of attached soil mass to the super
structure rather than transmitting any load from the super-structure to the foundation soil. In fact, a rigid
foundation with a rigid super structure means less differential settlement, large variation of contact pressure
and high bending and shear stress in foundation members. A flexible foundation with flexible super structure
means large differential settlements, uniform contact pressure and lower values of bending and shear stresses
in foundation members.
Quantum of loads and their relative magnitude affect the contact pressure. When the loads are so high that
bearing pressures are increased to the point of shear failure in the soil, the contact pressure is changed leading
to an increase in pressure over the centre of the loaded area in all cases.
The consolidation pressure involves expulsion of water from the soil being compressed. This takes time
and at any time between the application of the load producing consolidation and the time at which essentially
ultimate or 100 per cent consolidation has occurred, the measured settlements and consequently contact
pressure distribution would be different. Many times it may take several years to achieve final settlement.
There are situations in engineering practice where footings are placed so close to each other that their zones
of influence overlap. Studies have shown that effect of adjacent footings may vary considerably with angle of
shearing resistance. For low values they are negligible. For higher values they appear to be significant
particularly if footing is surrounded by others on all sides. There are practically no effects in case of punching
shear failure. It is generally recommended that interference effect may be neglected.
In view of various factors affecting the pressure distribution under a raft foundation and difficulties in
determining affect of each, it is generally believed that contact pressure distribution under a raft could be of
the following type as shown in Fig. 5.1.
,

( c ) SOFT SOIL

-------

Fig. 5.1 Contact pressure distribution under a raft
26

RAFT FOUNDATIONS-DESIGN AND ANALYSIS

Fig. 5.1 (a) is applicable when the mat is supported on hard rock and column loads are transmitted to the
rock on areas of relatively small size directly under the columns. If the raft rests on a stiff dense soil, then loads
are distributed to the sub-soil in relatively large areas, as shown in Fig. 5.1 (b). It is only on very soft soils that
the contact pressure against the mat foundation approaches linear distribution as shown in Fig. 5.1 (c).
Therefore, it is commonly justified to design a mat on mud, soft clay, peet or organic soil by the conventional
rigid method using uniform pressure. In fact assumption of rigid footings with uniform soil pressure results in
designing the raft for assumed bending moments which are larger than the actual bending moments. The
resulting design is conservative generally but may not be economical. A greater economy can, perhaps, be
achieved by designing the mat with elastic methods, but at what risk and is it really so ? Actual pressure
distribution under the raft, therefore, remains unanswered.

5.5

Rigidity Criteria

Whether a structure behaves as rigid or flexible, it depends on the relative stiffness of the structure and the
foundation soil.The behaviour of the foundation as rigid or flexible will also depend upon the rigidity of the
super-structure above and properties of soil below. In physical terms, a rigid foundation would mean a
foundation which is capable of bridging over pockets of soil with different properties and thus try to even out
the settlements at various points. A rigid foundation would, therefore, have comparatively lower values of
differential settlement but higher values of stresses. A rigid foundation with a rigid super-structure on a
comparatively compressible soil will result in uniform settlements of structure.
A flexible foundation with a flexible super-structures and a comparatively rigid soil below will behave as
a flexible foundation and would result in large differential settlements and low stresses. Thus:
(i) Arigid member is characterisedby high bending moments and relatively small, uniform deflections.
Over all differential settlements are small.
(ii) An intermediate member, as the term implies, has intermediate bending and deflection values.
(iii) The flexible member has comparatively smaller bending moments and deflection is maximum in
vicinity of the loads and small values else where. Overall differential settlement would be of higher
orders.

-

Rigidity criteria proposed by various authorities are discussed below:

5.5.1 Proposed by IS :
2950 (Part I) 19813
Appendix C of this standard gives the method of deciding rigidity of super-structure and foundation. This is
reproduced below:
Rigidity of Superstructure and Foundation

C-1

Determination of the Rigidity of the Structure

C-1.1 Theflexural rigidity El of the structure of any section may be estimatcdaccotding to the relation given
below (see also Fig. 5.2):
DESIGN APPROACH AND CONSIDERATIONS

Fig. 5.2 Determination of rigidity of a structure
where

El = modulus of elasticity of the infilling material (wall material) in kg/crn2,
I, = Moment of,inertia of the infilling in cm4,
b = length or breadth of the s ructure in the direction of bending.
H = total~height the infill In cm,
of
E, =modulus of elasticity of frame material in kg/cm2
Ib = moment of inertia of the beam in cm4

J

/
.

where
1 = Spacing of columns in cm,
h, = Length of upper column in cm,
hl = Length of lower column in cm,

I,, = Moment of inertia of upper column in cm4,
Il = Moment of inertia of lower column in cm4
If = hioment of inertia of foundation beam or raft in cm4,
28

RAFT FOUNDATIONS-DESIGN
AND ANALYSIS

Note :The summation is to be done over all the storeys, including the foundation beam of raft. In the case of
the' foundation I;replaces Pb and 1, becomes zero, whereas for the topmost beam 1'" become zero
Relative Sti#hess Factor K:

C-2

C-2.1 Whether a structure behave as rigid orflexible depends on the relative s t i m s s ofthe structure and
thefoundation soil. This relation is expressed by the relative stimess factor K given below:
(a) For the whole structure

(b) For rectangular rafts or beams

(c) For circular rafts

where
El = Flexible rigidity of the structure over the length (a) in kg/cm2
E, = Modulus of compressibility of the foundation soil in kg/cm2
b = Length of the section in the bending axis in cm,
a = Length perpendicular to the section under investigation in cm,
d = Thickness of the raft or beam in cm,
R = Radius of the raft in cm
C-2.1.1 For K > 0.5, the foundation may be considered as rigid
C-3

Determination of Critical Column Spacing

C-3.1 Evaluation of the characteristics h is made as follows:

where

k = Modulus of sub-grade reaction in kg/cm3 for footing of width B in cm

B = Width of raft in cm,
E, = Modulus of elasticity of concrete in kgf/cm2
1 =Moment of inertia of the raft in cm4
Modulus of compressibility of the soil is the additional property required in this particular case.
5.5.2 ACI Committee, 436

Suggested design procedure for combined footings and mats - American Concrete Institute Journal, October,
196614
Relevant extracts from this paper are given below:
I1
a

Ig

DESIGN APPROACH AND CONSIDERATIONS

29

Footings supportingjield structures

Continuous strip footings supporting structures which because of their rigidity will not allow the individual
columns to settle differentially should be designed as rigid footings with a linear distribution of soil pressure.
This distribution can be determined on the basis of simple statics.
To determine the approximate rigidity of the structure, an analysis must be made comparing the combined
stiffness of the footings, super-structure framing members, and shear walls with the stiffness of the soil. The
relative stiffness will determine whether the footing should be considered rigid or flexible.
The following formulas may be used in this analysis :

where

E = Modulus of elasticity of the materials used in the structure, kips per sq.ft (metric tons per sq.m)
I, =Moment of inertia of the structure per unit length, ft3 (m3)

IF = Moment of inertia of the footing per unit length, ft3(m3)

Es=
Modulus of elasticity of the soil, kips per sq.ft (metric tons per sq.m)
b =Width of footings, ft (m)

per
An approximate value of ElIC unit length of building can bedetermined by summing the flexural rigidity
of the footing (E'L,) the flexural rigidity of the each framed member (FIB)and the flexural rigidity of any
shear walls (F3112) where a and h are the thickness and height of the wall, respectively.
Computations indicates that as the relative stiffness K, increases, the differential settlement decreases
rapidly.
For K , = 0 ,the ratio of differential to total settlement is 0.5 for long footing and 0.35 for a square one.
For K , = 0.5 , the ratio of differential to total settlement is about 0.1.
If the analysis of the relative stiffness of the footing yields a value above 0.5, the footing can be considered
rigid and the variation of soil pressure determined on the basis of simple statistics.
If the relative stiffness factor is found to be less than 0.5, the footing shall be designed as a flexible member
using the foundation modulus approach as described under section 6.4 of the report.
Columns Spacing

The column spacing on continuous footings is important in determining the variation in soil pressure
distribution. If the average of two adjacent spans in a continuous strip having adjacent loads and column
spacings that vary by not more than 20 per cent of the greater value or is less than 1.75/h, the footing can be
considered rigid and the variation of soil pressure determined on the basis of simple statics.
- If the average of two adjacent span, as limited above, is greater than 1.75/h, the design of the footing shall
be governed by subgrade modulus theories.
For general cases falling outside the limitation stated above, the critical spacing i t which the subgrade
modulus theory becomes effective has to be determined individually.
Evaluation of the factor can be made on the basis of the following formulae:
'
30

RAFT FOUNDATIONS-DESIGN AND ANALYSIS

K, = SR,r

Where

K, = Coefficient of vertical subgrade reaction, Kips per cu ft (metric tons per cu m)

K, basic value of coefficient of vertical subgrade reaction for a square area with width b = 1 ft (0.3 m).
'=
Kips per cu ft (metric tons per cu m)

b = Width of footings, ft (m)
S = Size or shape factor for a footing on a particular type of soil
E, = Modulus of elasticity of concrete, Kips per sq ft (metric tons per sq m)

I = Moment of inertia of footings ft4 (m4
For sandy soils the size factor S can be determined from the following formula:

with a limiting value of 0.25 for large footings.
As for clay soils, the shape factor S can be determined from the following formula:

When n is the ratio of the longer side to the shorter side of the footing. As for extremely long footings,
where n approaches infinity, S can be assumed as 0.67.
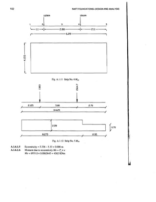
can
Values for Kt,, be determined from the results of field tests performed on the subgrade of the proposed
structure or can be estimated on the basis of empirical values in "Evaluation of coefficients of Subgrade
Reaction" by Terzaghi.

5.5.3 Hetenyi's Criteria
From theory of beams on elastic foundation, Hetenyi proposed rigidity criteria on the basis of hLterm which
considers width, length and elastic properties of the media. This term is

hL =

(K,.L ~ ) " ~
4 El

where

K, = KB = Modulus of sub grade reaction X Width of footing - units of psf.
L = Total length of foundation member

E = Modulus of elasticity of footing material
I = Moment of inertia of footing
If 1 c W4 footing can be considered as rigid. For value between W4 and l semi rigid, and elastic, if
,
3
> I ~ o w l e sfound this criteria of very limited application.
7
'~
5.6

Modulus of Sub-Grade Reaction

One of the important terms required in analysing foundation on the basis of flexible footings is value of modulus
of sub-grade reaction also called coefficient of sub-grade reaction for the particular soil in the foundation of
the buildings. Mathematically, this can be axpressed as intensity of soil pressure required to create a unit
31

DESIGN APPROACH AND CONSIDERATIONS

3
I

deflection. Theoretically, it can be determined by performing a plate load test and plotting a curve of soil
pressure versus deflection. In actual practice, however, many other factors enter and actual value in field is
different from what can be determined by a simple plate load'test. Major problems associated are:
(a) Soil is not perfectly elastic and results are effected by the magnitudes of soil pressure and deflection
(b) Footing size affects the value
(c) Footing shape also affects
(d) Depth at which footing is located also affects
(e) Soil stratificationand other changes with depth which may not show when testing with a small plate
(f) In methods where soil modulus is determined in laboratory, site condition can not be exactly
duplicated in field laboratory
(g) Various authors have suggested different factors to take these problems into account
On the other hand, certain authors have suggested very simple values for modulus of sub-grade reaction
which can be determined from bearing capacity factors used in Terzaghi bearing capacity equation.
5.6.1 Recommended by ~ o w l e s ' ~

Has related value of modulus of sub-grade reaction with safe bearing capacity by the relation Ks = 36 qa where
qa is the allowable bearing capacity in Kips per sq ft. A slightly improved values are also suggested by the
equation.

where c is cohesion, Nc and N q are bearing capacity factors, Sc and Sq are shape factors for particular soil in
foot units .
Moreover:

Sc = I + -

NcxB
NcxL

General values suggested by Bowles are given below:
Soil

Range of Ks. Kef

~ o o s sand
e

30 - 100

Medium sand

60 - 500

~ e n s sand
e

100-800

clayey sand (Medium)

200 - 500

Silty sand (Medium)

150 - 300

Clayey soil :

qu 5 4 Ksf
4<qu18Ksf

75 - 150
150 - 300
32

RAFT FOLINDATIONS-DESIGN AND ANALYSIS

5.6.2 IS :
2950 P r I Indian Standard Code of Practice for Design and Construction of RafC Foundation
at
2950 1981'

-

Provision relating to determination of modulus of sub-grade reaction are included in Appendix B. This is
reproduced below. Figures given in bracket in Tables I and I1 are in Kipdc ft. units.
B-1

General

- 1 The modulus of subgrade reaction ( k ) as applicable to the case of load through a plate of size 30 x 30
cm or between 30 cm wide on the soil is given in Table 1 for cohesionless soils and in Table 2 for cohesive
soils. Unless more specific determination of K is done (see B-2 and B-3) these values may be used for design
of rafl foundation in cases where the depth of the soil affected by the width of the footing may be considered
isotropic and the extrapolation of plate load test results is valid.
Table I Modulus of Subgrade Reaction (K) CohesionlessSoils
for
Modulus OfSubgrade Reactions (K)in kg/cm3.

Soil Characteristic
Relative Density

(1)

For dry or moist state

Standard Penetration test
value ( N )

For submerged state

(2)

0.9(57)

1 5 to 4.7
.

.
0.9to 2 9

(95to 300)

(57to 185)

4.7 to 18.0

2 9 to 10.8
.

(300to 1146)

Dense

1 5 (95)
.

10 to 30

Medium

(4)

< 10

Loose

(3)

(185 to 687)

30 and over

* The above values apply to a square plate 30 X 30 cm or beams 30 cm wide
for
Table II Modulus of Subgrade Reaction (K) Cohesive Soils
Soil Characteristic

Modulus of Subgrade Reaction (K)in
K ~ / C ~ ~

Consistency

Unconfined compressive strength,
kg/cm2

(1)

(2)

(3)

Stiff

l to 2

2 7 (1
. 72)

Very stiff

2 to4

2 7 to 5.4 (172to 344)
.

4 and over

5.4to 10.8 (344to 688)

Hard

* The values apply to a square plate 30 x 30 cm. The above values are bared on the assumption that the average loading
intensity does not exceed half the ultimate bearing capacity.
DESIGN APPROACH AND CONSIDERATIONS

B-2

33

Field Determination

In cases where the depth of the soil affected by the width of the footing may be considered as isotropic the
value of K may be determined in accordance with IS :9214 - 1979". The test shall be carried out with a plate
of size not less than 30 cm.
B-2.2 The average value of K shall be based on a number of plate load tests carried out over the area, the
number and location of the tests depending upon the extent and importance of the structure.
NOTE IS:9214 - 1979 lays down that Ks can be determined as slope of the secant drawn between the points
corresponding to zero settlement and point corresponding to 1.25 mm settlement of a load settlement curve
obtained from a plate load test on the soil using a 75 cm dia plate or smaller dia with corrections for size of
the plate used.
B-3

Laboratory Determination

B-3.1 For stratifed deposits or deposits with lenses of different materials, evaluation of Kfrom plate load
will be unrealistic and its determination shall be based on laboratory tests (see IS: 2720 (Part XI)- 1972" and
IS: 2720 (Part X1I)- 1 9 8 1 ) ~ ~
B-3.2 In carrying out the test, the continuing cell pressure may be so selected as to be-representative of the
depth of average stress influence zone (about 0.5 B to B)
B-3.3 The value of K shall be determined from the following relationship

where

Es= Modulus of elasticity of soil (see Appendix A)
E = Young's modulus of foundation material
p = Poisson's ratio of soil ( see Appendix A) and
I = Moment of inertia of structure if determined or of the foundation
B-3.4 In the absence of laboratory test data, appropriate values of Esand p may be determined in accordance
with Appendix A and used in B-3.3 for evaluation of K.
8-4

Calculations

B-4. I When the structure is rigid (see Appendix C) the average modulus of sub grade reaction may also be
determined asfollows:

Ks =

Average contact pressure
Average settlement of the raft

Appendix C lays down the method of determining the rigidity of superstructure and foundation and has
+n dealt with in para 5.5 above.
Appendix A lays down mettrod of determination of modulus of elasticity of soil by field tests or laboratory
tests.
~ w
'~
Equation in B-3.3 above is based on work carried out by ~ e s i c~ o~ . l e shas observed that the 12th root
of any value will be close to 1 and equation can be considered to be equivalent to
34

RAFT FOUNDATIONS-DESIGN AND ANALYSIS

and suggested that value of Kscan be calculated by the equation

Ks= 36 qa where qa is allowable bearing capacity in kips per sq. ft.

-

5.6.3 1.S. 9214-1979 Method of Determination of Modulus of Subgrade Reaction (k value) of Soils in
Fiedo
Modulus of sub-grade reaction is defined as a ratio of load per unit area (applied through a centrally loaded
rigid body) of a horizontal surface of a mass of soil to corresponding setdement of the surface. It is determined
as the slope of secant drawn between the point corresponding to zero settlement and the points of 1.25 rnm
settlement, of a load settlement curve obtained on a soil using 75 cm dia or smaller loading plates with
corrections for size of the plate.
The value of modulus of subgrade reaction so determined is required to be corrected for
(a) when using plates smaller than 75 cm in dia
(b) correction for bending of the plate.
(c) correction for saturation.
Average value of k is to be based on a number of plate load tests carried out over the area, the number and
location depending upon the extent and importance of the structure.
Final correction is required to be applied for the size of actual raft being different from plate.

-

-

-

5.6.4. IS 8009 Part I 1978. Code of Practice for Cirlculation of SettCements of Foundations Part I
Shullow Foundations, Subjected to Symmetrical Static Vertical Load
IS 6403 1981 Code of pmctice for determination of bearing capacity of shallow foundations.

-

-

-

Another method of arriving at the value of modulus of subgrade reactions would be to determine the bearing
capacity of soil for the contemplated raft foundation and the settlement for the same raft foundation in
accordance with the two codes referred above and utilize the same. This value should be more realistic as it is
usual in case of all foundations to fix their dimensions in plan for full bearing capacity.
However, determination of bearing capacity of soils is not an exact mathematical exercise leading to
accurate results. Large number of approximations and engineering judgements are involved. Two types of
failure, i.e., general sheer failureand local sheer failures have been recognised.
Settlement calculations in the present state of knowledge are considered to be at best estimate of the most
probable magnitude of settlement. Calculations in this code are based on the assumption that the loads
transmitted to the foundation are static and vertical. The soil mass below is considered to consist of horizontal
soil layers having known properties determined on the basis of base log data from several bores. In practice,
however, no two base log data is similar, soil layers are not horizontal and it is quite difficult to idealise the
soil below foundation in the manner contemplated in the code.
Different memods of calculating settlement are applicable for cohesionless and cohesive soils. Because of
difficulty in sampling of cohesionless soil and consequent inability for determining their compressibility
characteristics, settlement calculations are based on semi empirical methods utilising results of either static
cone penetration tests, standard penetration test or plate load test Plate load tests being getting out of fashion,
it will normally be worked on the basis of ' K values from standard penetration test.
In case of cohesive soils, settlement is considered to be built up to two components; immediate settlement
plus primary consolidation settlement Procedure for estimation of immediate and consolidation settlement
differ for different types of soil profile, i.e., nature and location of various soil layers below the foundation.
These also depend even on the fact whether the cohesive soil layer is pre-consolidated or normally loaded clay.
DESIGN APPROACH AND CONSIDERATIONS

35

Settlements as calculated are required to be corrected for the effect of depth of the foundation and effect of
rigidity of raft. Correction due to depth of foundation is applied as a depth factor. For rigidity it is assumed
that the deflection at the centre of rigid foundation is equal to 0.8 times that for a flexible foundation. TOapply
this factor, one has to decide whether the foundation is rigid or flexible. As already discussed in para 5.5 this
itself is full of uncertainties and approximations.
Further settlements of an actual structure would depend upon the time rate of loading. Methods have been
suggested to take this into account, but these methods again are based on number of assumptions and neglecting
the effect of loading and unloading cycles which undergo during the construction process.
Having determined bearing capacity and settlement modulus of subgrade reaction can be determined by
the basic definition.
5.6.5 Recommendation by Alpan and Pmf. Alam Singh

~ l ~ a determined settlement curves of plate loads tests already reported by Terzaghi, Peck and Thornburn.
n ' ~
He correlated the values of np (reciprocal of the modulus of subgrade reaction) with SPT blows which were
re-plotted this correlation in SI units. Alam Singh has also developed
also available for the tests. Alam singhZ5
a correction chart for overburden pressure. S.P.T. value determined in field is corrected for overburden pressure
from these charts. He has further suggested that the value so determined should not be more than 3 times the
original value of N. When N is greater than 15, it should be further corrected as per relationship.

N = 15 +0.5 (WT15)
This N corr is used in the curve to find out reciprocal of modulus of subgrade reactions. These values are
for plates and have to be corrected for size of the raft foundation. Alam Singh has suggested use of curves
presented by Bjermm and Eggested which are based on a plate size of 0.32 m size sq plate. In this plot curve
1 and 2 represent the extreme boundaries. Average curve is suggested for N values between 10 to 20, curve 2
for N value > 50, curve 1 for N < 10 and Terzaghi, Peck curve for N values between 30 and 50.
As is apparent there are number of limitations to this method. All suggestions are for cohesionless soil.
Original test reported by Terzaghi, Peck and Thornburn cannot be considered to have universal application.
5.6.6 Summary

It would thus be seen that even for the same soil data values of modulus of sub grade reaction determined
by methods suggested in the different text books and codes will be different. Which value to be adopted for
the correct design, is a million dollar question.
STRUCTURAL

DESIGNER^ DILEMMA

Structural design of raft foundation is being carried out by structural engineers individually, or while working
in any consultancy organisation which could be in public or private sector. Competence of these structural
designers varies widely. On one extreme are those who have some knowledge of structural design, but do not
have much of guidance from their seniors. Such engineers when faced with problem of undertaking design of
raft foundation will pick up a text book or manual on reinforced concrete design and follow the procedure laid
down which in most cases would be conventional combined footing and would normally be safe ut expensive.
On the other extreme are top class engineers who have wide experience and knowledge of structural designs
with ability to analyse the problem, carry out alternative analysis and design a raft foundation which would
not only be safe, but would be economical. Such designers are, however, very few and seldom undertake design
for normal buildings.
Majority of the designers have knowledge in between those two extremes. They have read moderately, have
some experience of design and would normally try to make a design which is not only safe but should also be
economical. These designers will study more than one book or manual on concrete and structural design and
will normally find that the opinions and methods of design recommended in various text books and manuals
differ widely. They will also find that the examples considered in the text books and manuals mostly are very
simple and regular-shaped uniformly loaded rafts which satisfy number of assumptions made in the text book,
whereas their problem is much different. They may also have a feeling that conventional methods of raft design
are old fashion and may lead to high thickness and high quantity of reinforcement; Flexible methods give low
thickness and low values of bending moments and accordingly low cost of reinforcements. They f&e the
dilemma as to which of the methods they should adopt. Quite often since no straightaway guidance is available
in the books or manuals for practical design of raft, they also finally take up one or two text books and work
out a design. Quite often analysis is carried out on computer using flexible approach utilising the value of
modulus of subgrade reaction suggested by the soil consultant or worked out by them as per method given in
any book and simultaneously design the raft for vertical loads neglecting various other factors which affect
the design of raft. Such designs are seldom satisfactory, though structures designed by them, do not show any
distress to start with. Structures seldom get loaded to the design loads. How will these structures behave when
subjected to full designed loads including seismic effects can be judged only by number of otherwise standing
structures failings in such circumstances.

e
STRUCTURAL DESIGNERS'S DILEMMA

$

E

::

Keeping such designers in view, it was felt that enough material should be made available to them to allow
them to appreciate the effect on raft foundation of variation in the values of the various parameters adopted
by them in design and also the effect of neglecting base moments of the column and horizontal loads.
Studies have, therefore, been carried out on the effect of various parameters on the values of bending
moments, shear force, contact pressure and deflection in the rafts already constructed for actual buildings.
These studies are presented in Chapters 7 and 8.
Finally, keeping in view the various constraints under which a designer has to cany out the design,
suggestions have been made for methods to be adopted in Chapter 12 for various situations.
STUDIES CARRIED OUT ON EFFECT
OF VARIOUS PARAMETERS ON
DESIGN OF RAFT
The usual practice of design being followed is to work out preliminary sizes of the raft, i.e., thickness of the
slabs, if it is uniformly thick raft or beam size and slab thickness in case it is beam and slab system on the basis
of shear and analyse the raft for vertical loads alone. As an improvement where computer facilities and greater
expertise are available, raft is analysed as flexible raft selecting one particular value of modulus of subgrade
reaction, one assumed size of the raft and vertical loads alone. Values of bending moments thus obtained are
used. In both these designs unless the preliminary sizes selected are found to be structurally unsafe in resisting
moments and shears, even after addition of permissible reinforcement, the design is completed and finalised.
As already pointed out in previous chapters the real position is not so simple. Different designers may select
different preliminary sizes, different values of modulus of subgrade reaction even for the same soil, and pattern
of pressure distribution under the raft. In actual buildings, columns have base moments which are resisted by
the junction of the raft and the columns. Buildings subjected to earthquake forces have not only increased
column base moments but also undergo cyclic effect in which vertical loads in different groups of columns
decrease and increase. Studies have, therefore, been carried out to consider on the design of raft foundation
the effect of neglecting some of these aspects and making assumptions which in fact are not true. These studies
have been carried out in four parts.
7.1

Study 1

In sophisticated flexible analysis, utilising computer, it is soil properties which matter to a large extent. In exact
analysis all soil properties matter, but in commonly adopted analysis where soil-raft interaction is idealised as
a.spring of known rigidity most important soil property is modulus of sub-grade reaction. The rigidity of raft
which is determined by the size of the raft and effect of super-structure on the same, is another vital parameter
which comes into play in any analysis. The effect of variation in values of both these parameters on the value
of bending moments and shear forces, one gets on an analysis, has been studied in this study. Efforts have been
STUDIES CARRIED OUT ON EFFECT OF VARIOUS PARAMETERS

39

made to present results, in numerical values and show the large variation which, one can get .for the same
structure, having a particular loading pattern founded on the same soil when different sizes of raft or values
of modulus of sub grade reacrion determined by various methods available in literature are adopted. While
carrying out this study, only vertical loads have been considered. Contribution made by super structure in the
rigidity of raft has been neglected.
7.1.I Examples Selected
Most of the text-books on structural engineering and reinforced concrete design,while dealing with examples
on raft analysis, generally consider a simple symmetrical shape with more or less symmetricaVunifom loading.
But in practice this never happens. Even when the shape may be symmetrical, the loading is not. TOmake the
study realistic, raft foundations for actual buildings have been considered in this study.
One eight-storeyed block of residential flats consisting of four flats on each floor with a central core having
staircase, lift and other service areas, which has already been constructed few years ago, has been considered
in this study. The central core goes beyond eight storeys to provide staircase mumty, machineroom and water
tank. Ground floor has got part parking. The central core is separate from other blocks. The raft foundation
consists of a slab having uniform thickness, one for each side block and other for central core. The central core
is symmetrical in shape about one axis. The side block is not symmetrical about any axis. Loading on these
blocks are as per actual loads obtained during design process. Example 1 relates to the side block, and Example
2 to central core.
The third example considered is the front block of another six-storeyed institutional building, which consists
of a front block and rear block separated by expansion joints. Its front block isrectangular in shape but has
unsymmetrical loading. The raft consists of beams in both direction and a slab monolithic with the b%ams.
In two out of these three examples, raft dimensions have been so adjusted that the centre of gravity of
vertical loads and centre of gravity of raft area coincide. The loading can, therefore, be considered to be
symmetrical and it is this aspect which is very important. In practical examples, it may generally be possible
to coincide CG of raft and load. It is, however, not possible to have simultaneously a symmetrical shape in
plan also.
7.1.2 Rafr Size
The raft thckness actually provided for Example 1 (Fig. 7.1) is one metre. In this study, it was considered that
this thickness could vary from 80 cm to 1.2 m. For Example 2 (Fig. 7.2) actual thickness provided is 1.2 m.
This was considered to vary from 1 M to 1.4 M . In Example 3 (Fig. 7.3) the slab thickness is 50 cm and the
transverse beams are 80 cm x 150 cm (including slab). Longitudinal beams are 85 cm x 110 cm. While the
beam sizes are considered to remain the same, the slab thickness is taken to vary from 50 cm to.90 cm . All
these variations are considered in steps of 10 cm each. The effect of rigidity of the super structure has not been
taken into account.
7.1.3 Soil Investigation
. Soil investigations to determine the safe bearing capacity of soil for purposes of design were done through
specialised consultants and their reports obtained. Since in conventional design, properties like modulus of
sub-grade reaction are not utilised, these consultants were not requested to intimate value of modulus of
sub-grade reactions and they did not do so. Values of modulus of sub grade reaction were, therefore, calculated
by variousmethods described in 5.6 above. Details of soil investigationsindicating soil strata at various depths,
'N' values from standard penetration tests, location of water table and values of modulus of sub-grade reaction
calculated are indicated in Figs. 7.4 and 7.5 for Examples l , 2 , and 3.
RAFT FOUNDATIONS-DESIGNAND ANALYSIS

t

T
16985

RAFT SLAB THICKNESS4OOoMM

Fig. 7 1
.
-

..

1 0 6 6 0
t 2 2 8 0 t6090

~

+ l 5 8 O b 7500 -tlW+

-06
160

~t
Fig.7.2

22904
41

STUDIES CARRIED OUT ON EFFECT OF VARIOUS PARAMETERS

f5

I

i ~ n JKN
n

1N
-

I 6213 4m.4

1 SRI ~ K N U N

1767 TKN

~9-

BEAM S I Z E S
B1=650X1500mm
B2=600X1500mm
B3=800X 1 1 00mm

1
g

COLUMN S I Z E
=400X800mm

T h i ckness

PLAN OF R A F T AT FRONT BLOCK
<ALL

DIMENSIONS ARE IN MM)

Fig. 7.3

In soil investigations for Examples 1 and 2, four standard penetration tests have been carried out extending
to a depth of 9 m. 'N' value are varying from 9 to 50, water table in different bore holes is varying between
3.1 8 to 4 m. below existing groupd level. In bore hole No.3 top 30 cm or so had brick bats mixed with silty
clay. Four dynamic cone penetration tests were also carried out on an interval of 30 cm each with depths
extending upto 14 m. Values of K,in Kipp per ft' units have been calculated by the four methods given in para
5.6. Soil consultant had recommended a safe bearing capacity of 150 ICbI/m2 at a depth of 2.5 m. It would be
seen that there is large variation in the values of K,determined by various methods and for various bore holes.
The minimum being 70 and maximum being 476. Average value for the four bore holes by each methods are
also indicated. For the purpose of study, 4 values, i.e., 70, 156, 389 and 415 kipps per ft. have been adopted
for studying the effect of variation in value of modulus of subgrade reaction. Any designer could have adopted
any of the 20 values in Fig. 7.4. These values in metric units would be 10996,24506,61108,65203 K N / ~ ~ .
For soil investigation in case of Example 3, three standard penetration tests and four dynamic cone
penetration tests extending upto a depth of 10 m. were carried out. The depth of the water table varied form
1.5 to 1.84 m. below ground level. Fig. 7.5 would show that value of K,varies from bore hole to bore hole and
from one method to another method. Out of three bor holes one bore hole was located within the raft
dimensions of front block, another one was very near to is raft and 3rd one was under the rear block. Two
values selected are 117.42,90.14 Kip ft. or 18402 and I4956 ICbI/m3 . It is usual practice to assume one value
of K,y entire raft, but this is not the reality . Ifmil values under the raft changes from one bore hole to other,
for
soil parameters would also change. To take into account the variation of K, under the same raft from one portion

i
42

RAFT FOUNDATIONS-DESIGNAND ANALYSIS

EXAMPLE

1 AND 2

Average
100

70

295

160

156

K s By BOVLES M I a K c f
D

229

202

254

264

237.25

K s BY BOVLES M 11 tn K c f
D

268

285

344

347.0

311

ALPAN'S CURVE In K c f

393

348

476

476

389

Average Value o f N

22.71

20.03

25.2

26.21

23.54

Ks By I S CODE IN K c f

Fig. 7.4

to anofher, the raft was considered to have different values of K,in the 3 portion which had been demarcated
on a rational basis. These values are two combinations of 224.65,270.33,372.14 and 114.07 , 131.23,118.19
Kip/c ft.in metric units these values would be 34976, 42466, 58460 and 17920, 20615,18567 in K N / ~ ~ ,
respectively. A kafe bearing capacity of 1.5 kg/crn2 w s suggested by soil consultants for this raft.
a
7.1.4 Lwd Considered in Study

In accordance with the common practice, only vertical load as being transferred to raft from columns,
neglecting base moment for columns are considered.
STUDIES CARRIED OUT ON EFFECT OF VARIOUS PARAMETERS

EXAMPLE -3

SILTY W D

SMDY SOU

average

KsBy BOWLES IN I in K c f
MD

118.19

90.14

144.27

117.47

KS BY BOWLES MD I1 in K c f

372.14

435.45

270.33

327.89

274.17

113.32

312.57

127

106.1

115.74

11.8

9

14.4

Ks By I S CODE I N K c f
Ks By ALPAN'S CURVE

m

Kcf

ACRAGE VALUE OF N

274.19
115.74
11.73

Fig. 7.5
7.1.5 Analysis

The analysis has been camed out on an electronic computer utilising SAP -1Vcomputer programme based on
finite element methodj~inite
element method of structural analysis is based upon the general principle of going
from part to whole. The elastic continuum whole forming the structure is discretised with a number of finite
elements just as the way a building is discretised as elementary beams, columns and slabs for purpose of
analysis and design. For a two-dimensional continuum considered for raft analysis, such finite elements are
triangular, group of triangles or quadrilaterals. Each of the node has six degrees of freedom, three each for
displacement and rotation. Raft is taken as a thin plate on elastic foundation .The soil is idealised as a spring
44

RAFT FOUNDATIONSDESIGNAND ANALYSIS

under each node on the concept of Winkler's model. Spring constant is a function of soil sub-grade modulus
and the area under the node. Suchan analysis suffers from the disadvantage that when the raft gets separated
from the soil supporting it, physically, under such condition the soil will no longer act as support. But in the
method adopted for analysis the spring which is representing the soil continuum as a support takes tension.
However, it has been felt that this limitation is not of much significance because such tension would be
exceptional.
.
.
Fig. 7 6 indicates the finite elements in which raft of Fig. 71 has been divided. Six elements in this figure
have been selected and used for comparison of values of bending moments in X and Y directions and.deflection
in the.2 direction. Comparative values for Example 1 are indicated in Table 7.1, a constant thickness of 1
for
M and varying values of modulus of sub-grade reaction. Ratio of maximum and minimum values of M, and
M y in X and Y directions for particular elements have been worked out. These ratios vary considerably.
Maximum value among all the elemental ratios have been indicated at the bottom of the same Table. This ratio
has also been worked out for deflection and indicated at the bottom of the same Table. Table 7.2indicates
similar values for a constant value of K,taken as 70 KipsJc ft (10996KN/m3) and varying values of thickness
from 80 to 120 cm. Another set of ratios has been worked out for bending moments and deflection selecting
the maximum and minimum values for the same element irrespective of the thickness or modulus of sub-grade
reaction. Maximum values of these ratios have been shown for each element in the last column of Table 7.2
and-their maximum have been indicated at its bottom.

(ALL DIMENSIONS ARE I N MM>

Fig. 7.6
STUDIES CARRIED OUT ON EFFECT OF VARIOUS PARAMETERS

,-

10720

1
<ALL DIMENSIONS ARE IN MH)

Fig. 7.7

<ALL DIMENSIONS ARE I N MM)

Fig. 7.8
RAFT FOUNDA-HONS-DESIGN AND ANALYSIS

EXAMPLEI
Table 7.1 Uniform Average Thickness 1.0 Metre
Plate Element No.
and Node No.

K, Value In Average '6' in
K N / ~ ~
mm

BM, in
KNdm

Ratio of
MadMin

BM, in
KNdm

- 65203 & 11.0
- 18.0
30,81,36,31
28
80,33,32,37
29

10996
24506
61 108
65203

- 16.08
- 07.94

10996
24506
61108
65203

154.6
130.7
94.3
98.5

M,

- 03.06
- 02.86

135.0
115.2
95.7
97.9

4

1.41
1.64
5.62

- 11.80
- 05.28
- 02.10
- 01.95

67.5
65.9
59.5
61.
O

130.5
106.5
58.9
62.7

MU
Mfl

1.13
2.22
6.05

Maximum Ratio in any Element

6

6

,

Mm
M,

I

8.43
7.97

-

I

Fig. 7.7, Tables 7.3 and 7.4 indicate similar information for Example 2. Fig. 7.8, Table 7.5 and 7.6 indicate
similar information for Example 3.
7.1.6 Discussions o Results
f

Table 7.1 indicates that for 1 M thickness of raft in example 1, bending moment in X direction could be as
much as 8.43 times more depending upon the value of modulus of sub-grade reaction selected in the analysis.
Bending moment in Y direction could be 7.97 times more. Deflection value could increase upto 6.66 times. A
higher value of modulus of sub-grade reaction means lesser values of deflection directly proportional to its
value.
STUDIES CARRIED OUT ON EFFECT OF VARIOUS PARAMETERS

Table 7.2 Uniform Modulus of Sub-grade Reaction 10996 K N / ~ ~

(

Plate Element No. Thickness in A veroge '6'
tnetre
in m m
and Node No.

18,24,25, 19
18

19,25,26,20
19

30,81,36,31
28

80,33,32,37
29

BM, in
KNdm

I

BM, in
KNdm

I

I

0.80
0.90
1 .OO
1.10
1.20

- 10.08
- 10.31
- 10.52
- 10.70
- 10.85

49.4
64.5
79.0
92.8
105.5

53.6
69.7
84.5
97.9
109.5

M,

0.80
0.90
1 .OO
1.10
1.20

- 10.35
- 10.53
- 10.70
- 10.84
- 10.96

53.3
70.0
86.0
101O
.
1 14.9

44.3
53.4
61.7
69.1
75.6

MU

0.80
0.90
1. O
O
1.10
1.20

- 17.07
- 16.57
- 16.08
- 15.63
- 15.21

122.7
129.2
135.0
140.2
145.0

130.7
143.0
154.6
165.2
174.9

0.80
0.90
1.oO
1.10
1 .20

- 11.53

66.5
67.2
67.5
67.6
67.5

100.5
115.9
130.5
143.9
155.9

- 1 1.66
- 11.80

- 11.94
- 12.07

Maximum Ratio in any Element

Ratio o f
Max./Min.

2.14
2.04
1.08

I

Over All
Max./Min

,

8.79
10.33
6.87

2.16
1.71
1.059

11.27
4.20
6.60

MU
M~?

1.18
1.34
1.12

1.52
1.86
5.98

M,

1.02
1.55
1.047

1.14
2.65
6.19

2.16
3.53
1.12

11.27
10.33
06.87

My"

6

My?

6

6

My,

6.

Mu
Mv

6

Table 7.2 shows that for a constant value of modulus of sub-grade reaction taken as 70 Kipslc ft (10996
K m 3 ) , the bending moment in X direction could be as much as 2.16 times and can even change siin depending
upon the thickness of raft selected by the designer. This values for bending moment in Y direction is 3.53. The
value of deflection does not change much and becomes only a maximum of 1.21 time depending upon the
thickness of the raft.
RAFT FOUNDATIONS-DESIGN AND ANALYSIS

EXAMPLE I1
Table 7 3 Uniform Average Thickness 1.20 Metre
Plate Element No.
and Node No.

3.4, 10,9
3
5,6,7,8
4
17.18.23.24
15
21,22,28,27
18
34,35,39,38
28
36,37,41,40
29

Ks Value i
n
Average '6'
in mm
K N / ~ ~

BM, i
n
KNdm

Ratio of

BMvv
in
KNdm

Mar/Min.

10996
24506
61108
65203

8.83
3.91
1.58
1.46

144.6
130.0
99.7
97.2

344.6
291.6
233.1
220.6

Mn

10996
24506
61 108
65203

9.86
4.34
1.82
1.68

140.6
137.0
106.6
109.9

461.6
402.8
326.1
321.5

4

10996
24506
61 108
65203

9.76
4.33
1.53
1.55

73.3
64.3
44.0
48.5

280.1
100.7
128.1
93.6

M,

10996
24506
61 108
65203

11.49
05.60
02.43
02.38

343.8
300.8
240.8
220.6

397.4
262.8
157.4
165.8

10996
24506
61 108
65203

7.7 1
3.38
1.23
1.28

130.7
113.8
93.4
89.2

152.3
74.5
31.7
20.4

10996
24506
61 108
65203

6.72
2.79
I .09
0.97

60.10
59.6
53.8
53.5

148.9
119.8
96.5
96.0

'7
Mw

6

4
6

Mu

4
6

M,

4
6

Mu

M ,
S
Mu

Maximum Ratio in any Element

M,~n

1.49
1.56
6.05
1.32
1.44
5.87
1.67
2.99
4.38
1.56
2.52
4.83
1.47
7.46
6.27

1

1.12
1.55
6.93
1.67
7.46
6.93

6
Table 7.3 shows that the variation of bending moment in X direction for the same thickness of raft and
varying modulus of sub-grade reactionis 1.67. This value for bending moment in Y direction is 7.46 and for
deflection is 6.93. For the fixed value of modulus of sub-grade reaction and varying values of thickness these
ratios in X direction, Y direction and deflection are 1.5888,2.149, 1.105, respectively. The overall variation
values for this raft of bending moment in X direction, bending moment in Y direction and deflection are 2.24,
10.01 and 7.26, respectively.

On comparison of values' for Examples 1 and 2, it would be apparent that
(a). The variation in bending moments in X direction is more for Example 1 as compared to Example 2.
(b) The variation in value of bending moment in Y direction for Example 2 is lower as compared to
values of variation in this direction for Example 1.
I

49

STUDIES CARRIED OUT ON EFFECT OF VPiRlOUS PARAMETERS

Table 7.4 Uniform Modulus of Sub-grade Reaction 10996 K N I ~ ~
Plate Element No. Thickness in Average '6'
Metre
in m m
and No& No.

3,4,10,9
:

3

!
i

5.6.7.8
4

17,18,23,24
15

21,22,28,27
18

34,35,39,38
28

36,37,41,40

1

29

EM, in
KNmh

Ratio of
Max./Min.

EM, in
KN&

Max./Min

1.077
1.206
1.03

1.47
1.69

1. O
O
1.10
1.20
1.30
1.40

8.72
8.77
8.83
8.94
8.98

136.5
141.5
144.6
146.3
147.0

308.8
327.8
344.6
359.4
372.5

1. O
O
1.10
1.20
1.30
1.40

9.74
9.79
9.86
9.92
10.01

139.2
140.8
140.6
139.1
136.8

421.1
442.4
461.6
479.0
494.7

Mu
M~~

1.029
1.173
1.027

1. O
O
1.10
1.20
1.30
1.40

9.74
9.77
9.76
9.73
9.69

68.2
71.1
73.3
74.9
76.1

208.6
244.6
280.1
314.5
347.2'

M*

1.116
1.664
1.009

1.73
3.7 1
6.39

1. O
O
1.10
1.20
1.30
1.40

11.13
11.82
11.49
1 1.20
10.95

3 17.8
333.0
343.8
351.4
356.6

305.4
351.4
397.4
442.3
485.1

1.122
1.588
1.08

1.62
3.08
4.97

1. O
O
1.10
1.20
1.30
1.40

7.62
7.66
7.70
7.75
7.80

199.3
125.5
130.7
135.1
138.9

96.2
124.0
152.3
180.1
206.8

MU
M~~

1.588
2.149
1.024

2.24
10.01
6.35

1.OO
1.10
1.20
1.30
1.40

. 6.37

60.1
60.3
60.1
59.5
58.7

127.9
138.4
148.9
158.9
168.5

MU

1.027
1.317
1.105

1.13
1.76
7.26

1.588
2.149
1.105

~
~

5.96

2.24
:0.01
7.26

6.55
6.72
6.88
7.04

MU
My).

6

6.15

'

P

6

~

My?,

6

Mu

M~~
6

6

4
6

Mu

Maximum Ratio in any Element

M)?

6

(c) Deflection of raft is more or less independent of the thickness of the raft and varies only very slightly,
whereas it is more or less directly proportional to the value of modulus of sub-grade reaction. Higher
the value of modulus of sub-grade reaction selected lower are the values of deflection and higher
the values of bending moments.
RAFT FOUNDATIONSDESIGNAND ANALYSIS

1

Table 7.5 Uniform Average Thickness 0.50 Metre
Plate Element No.
and Node No.

Average '6'
K, Value in
in mm
K N / ~ ~

BM, in
KNm/m

Ratio of
MdMin.

BM, in

KN;~/~

31.0
39.4
8.8
29.0

198.0
251.4
68.2
176.0

4

SET-1
SET-11

0.52
0.18
0.56
0.65

18402
14156

0.32

- 0.32

SET- I
SET-I1

0.52
0.45

216.0
269.5
80.6
188.0

M,
M.v

26

13.0
18.3
1.8
11.0

34,35,44,43

18402
14156

31

SET-I
SET-I1

0.70
0.28
0.5 1
0.63

16.0
20.7
4.5
15.0

196.0
248.9
52.9
187.0

Mn
M~

47,48,57,56

18402
14156

42

SET-I
SET-I1

-01.10
- 12.70
- 04.46
-09.10

- 11.0
- 11.9
- 7.6
- 11.0

52.0
60.2
42.9
50.0

11,12,21,20

18402
14156

10

SET-I
SET-I1

04.12
- 08.85

- 14.0

4.48
3.67
3.71

- 09.15
- 11.60
18.0

31,32,41,40

18402
14156

28
29,30,39,38

4
6

6

6

Mu
My,

6.

10.16
03.34
01.42
4.60
4.7 1
2.50
1.67
1.40
2.85

Maximum Ratio in any Element
Note: Set-I - For Combination of Modulus of Subgrade Reaction - 34976,42466,58460 KN/m3

Set-I1-For Combination of Modulus of Subgrade Reaction - 22731,20615, 18567 KN/m3
Observation (a) above is justified because Example 1 is unsymmetrical in plan in respect of both axis as
compared to Example 2 which is symmetrical abput Y axis. This symmetry results in lower variation in the
value of bending moment in X direction. It is, therefore, apparent that while the thickness and the value of
modulus of sub-grade reaction selected for a particular raft which is symmetrical in plan and symmetridal in
loading may not be of much consequence, but this will not hold good as soon as there is deviation from
symmetry and the values may go several times more.
Tables 7.5 and 7.6relating to Example 3 which is raft with beam and slab construction indicate that bending
moment in X direction for the same thickness of raft, but varying values of modulus of sub-grade reaction can
be as much as 4.6 times. The corresponding value in Ydirection and deflection are 4.71 and 3.71, respectively.
For the same value of modulus of sub-grade reaction and varying thickness values, these ratios are 4.31.6.55
and 8.61, respectively, for direction bending moments, Y direction bending moments and deflection. Values
of these ratios for overallrariation are 20, 12.17 and 16.4, respectively.
51

STUDIES CARRIED OUT ON EFFECT OF VARIOUS PARAMETERS

I

i

Table 7.6 Uniform Modulus of Sub-grade Reaction - 18402 K N I ~ ~

I
t

31,32,41,40
28

29,30,39,38
26

34,35,44,43
31

I

47,48,57,56
42

1 1 , 12.21.20

10

0.50
0.60
0.70
0.80
0.90
0.50
0.60
0.70
0.80
0.90
0.50
0.60
0.70
0.80
0.90

Rafio of
Max./Min.

O v e r All
MaxJMin

3.18
3.32
5.56

11.19
09.64
16.45

MLV
Mu

6

2.77
3.07
8.61

20.00
08.21
08.61

196.0
316.5
436.3
547.2
643.6

Mxr
M,'
6

2.46
3.28
3.33

08.73
12.17
08.32

MAT
MY,.

2.80
3.94
1.24

M,

2.61
6.55
1.23

03.77
10.67
02.82

3.18
6.55
8.6 1

20.00
12.17
14.45

BM, in
KNmh

BM,, in
KNmh

0.52
- 0.34
- 1.28
- 2.14
- 2.89

31.0
50.7
69.2
85.5
98.5

198.0
331.1
451.6
562.1
657.2

Mu

0.32

13.0
22.1
28.4
33.0
36.0

2 16.0
347.7
464.4
570.6
662.0

16.0
24.6
30.9
35.9
39.3

- 10.01

- 11.0
- 15.3
- 20.3

P!ate Elenent No. Thickness in Average '6'
in mm
Metre
and Node NO.

- 0.43
- 1.30

2.09
- 2.78
-

0.70
- 0.02
- 0.09
- 1.63
-

2.33

'

0.50
0.60
0.70
0.80
0.90

- 10.10

-09.32
- 08.73

-25.0
- 30.0

52.0
101.4
137.9
173.1
205.0

0.50
0.60
0.70
0.80
0.90

-09.15
- 08.78
- 08.27
-07.84
- 07.44

- 15.0
- 21.6
- 28.0
- 33.9
- 39.2

21 .O
42.3
71.4
104.3
137.5

-

10.78

My!

6

6'

My?

6

M,

Maximum Ratio in any Element

My?

6

1

03.90
04.78
02.85

A comparison of values in Tables 7.5 and 7.6 with those given in Tables 7.3, 7.4 will show that ratio of
bending moment in X and Y directions for raft in Example 3 is higher as compared to raft in Example 2.
Comparison is not made with Example 1 which is very unsymmetrical in plans.This indicates that variation
in values of bending moment would be more in case of rafts with beam and slab construction as compared to
raft of uniform thickness.

7.1.7 Conclusions
The study shows that values of bending moments in a raft may vary several times depending upon the raft size
selected For the design and the soil properties under the raft. This variation increases further as the deviation
from the symmetry of the shape or loading of the raft increases. In the study under consideration, the values
52

RAFT FOUNDATIONS-DESIGN AND ANALYSIS

could be as much as 20 times. In these examples effect of base moment of columns due to vertical or horizontal
loads or variation in wind ward and leeward column loads due to horizontal forces has not been-considered.
It is felt that considerationof these values would increase the variation further. Adoption of an accurate method
of analysis like finite element method, solved on an electronic computer using vertical loads alone, with a
tentative raft size and value of sub-grade modulus determined in a routine manner in itself is, therefore, not
enough in determining realistically the values of bending moment and deflection for a particular raft. Raft
designed in such a manner may not be able to resist the forces properly and finally lead to failure.
The results of the above study were presented by the author in a 'Seminar on Concrete in Foundation
Systems' organised by the Indian Concrete Institute at Madras on December 29-30, 1988.

7.2

Study 2 -Effect of Horizontal Loads

Seismic loads are basically inertia loads which can act on the building in any direction. For the purpose of
analysis and design these are assumed to be acting in X and Y directions. Though these are basically dynamic
loads, it is common practice to treat them as static horizontal loads determined by seismic co-efficient method.
For more accurate analysis, the response spectrum method or detailed dynamic analysis using design
accellerograrn as input is required to be canied out. It is usual to adopt seismic co-efficientmethod for buildings
upto 12 to 13-storeyed height. In this study, the effect of horizontal loads has accordingly been restricted to
seismic co-efficient method. It is expected that the effect would not be much different in case any of the other
methods was used.
The effect of horizontal loads on the building structure is to alter the moments at the column bases and also
to increase the vertical load in some columns and decrease it in the others. Examples 1 and 2 in Study 1 were
selected to study the effect on raft moments where horizontal load are also acting. The super-structurein both
these examples consist of frames in both the directions. The super-structure for both these examples was
analysed on three dimensional analysis for buildings programme utilising earthquake force on seismic
co-efficient method with earthquake acting in +x direction, -x direction, +y and -y directions. The output
obtained from the TAB analysis was used as an input for the analysis of raft foundation for both the examples.
Further details and the results achieved are discussed below:
7.2.1 Example Selected

Examples 1 relates to the side block. For the purpose of analysis a thickness of 1 metre for the raft slab and
value of soil modulus Ks = 10776. KN/m3 has been assumed. There are 6 loads cases which have been
analysed; load case 1 vertical loads only; case No.2 vertical + column base moments; case No.3 vertical loads
+ base moments + seismic force in + 'x' direction; case No.4 :vertical load + base moments + seismic forces
-'x' direction;case No.5 vertical load + base moments + seismic force in +y direction; case No. 6 vertical loads
+ base moments + seismic force in -y direction. For the purpose of comparison 6 plate elements as originally
selected for this example in Study 1 have been considered. Comparative values of Delta, i.e., settlements,
bending moments in x direction, bending moments in y direction have been tabulated in Table 7.7. The range
over which each of these three values vary from one load case to another are indicated in column 7. Column 8
indicates minimum and maximum ratio these values have with reference to value when vertical loads only are
acting. These ratios, thus, indicate the number of times each of these value can vary if horizontal loads are
acting.
53

STUDIES CARRIED OUT ON EFFECT OF VARIOUS PARAMETERS

g

Table 7.7
Plate Element No.
& Node No.
3
1,7,8,2

Load
Case

L

18
18,24,25,1?

19
19,25,26,20

28
30,81,36,3 1

29
80,33,32,37

3
4
5
6

BM, in

BM,, in

KNdm

KNdm

- 11.62
- 12.82
- 15.83
- 11.18
- 11.05
- 15.26

1
2
3
4
5
6

9
13, 14.6.79

Average
%'inmm

1

Range of
Variation

83.3
41.6
42.7
-9.7
41.5
49.9
-1.2
14.7
28.4
1.O
23.2
57.3

3.3
- 24.5
-16.7
- 30.8
- 23.4
- 26.2

1
2
3
4
5
6

- 10.52
- 10.85
-11.03
- 10.69
- 10.79
- 10.82

79.0
136.1
174.3
115.2
227.1
138.1

84.5
129.4
94.0
181.1
138.5
137.2

1
2
3
4
5
6

- 10.70
- 10.39
- 09.55
- 11.26
- 10.19
- 10.35

86.0
132.7
170.9
11'3.5
238.8
128.1

61.7
83.6
56.9
121.0
117.1
71.6

1
2
3
4
5
6

- 16.08
- 15.76
-12.11
- 20.58
- 17.68
- 15.92

135.0
135.3
132.6
143.7
220.8
132.0

157.6
157.7
149.7
172.8
135.0
204.2

1
2
3
4
5
6

- 11.80

67.5
103.6
101.0
106.7
163.4
88.9

130.5
210.8
188.9
248.5
229.7
213.9

-16.16
- 18.32
- 13.92
- 18.29
-16.21

Min. Max.

tiAvG -11.05

96.7
36.7
65.2
10.5
19.4
50.4

-9.97
-9.15
- 7.42
- 10.92
- 8.32
- 9.83

Ratio
(W.R.T Case-I)

Min. Max.

P

BM,
BM,
~AVG

9.7

+ -15.83
+ 83.3

10.5 + 96.7
7.0 -+ 10.92

(S.C) 0.1 08 + 0.67
0.74

+ 1.095

19.33

+ 47.75

BM,

23.2 + 57.3

BM,,

30.8 -+ 3.3

(S.C) 5.06 + 9.33
(S.C) (S.C)

10.52 + 1 1.03

1.016 + 1.048

79.0 -+ 227.1
84.5 -+ 181.1

1.46 + 2.87
1.112 + 2.143

,t
i

'

BM,
BM,

,t
i

9.55+11.26

0.89 + 1.05

BM,

86.0 + 238.8

1.32 + 2.78

-+ 121.0

0.92 + 1.96

BM,,

56.3

tiAvG

12.1 1 -+ 20.58

0.75

BM,

132.0 -+ 220.8

0.98 + 1.64

135.0 + 204.2

0.87 -+ 1.32

11.80 + 18.32

1.18 + 1.55

67.5 -+ 163.4

1.32 + 2.42

130.5 + 248.5

1.45 + 1.90

BM,

tiAvG
BM,
BMvv

+ 1.28

Similar study is done for Example 2, i.e., Central core the values are represented in Table 7.8. Thickness
selected is that as actually provided, i.e., 1.0 m with soil modulus = 10776 K N I ~Mark (S.C.) in these Tables
~.
mean sign change.
54

RAFT FOUNDATIONS-DESIGN AND ANALYSIS

Table 7.8

I

1

Ratio (W.R.
T
Case-l)
Min. Mar

Average '6'
in mm

BM, in
KNm/m

BM ,in

- 8.13
-8.13
- 9.21
- 6.88
- 6.56
- 9.71

- 100.5
- 101.3
- 98.8
- 107.4
- 90.5
- 112.0

- 296.7
- 299.7
- 307.9
-287.7
- 222.9
- 376.3

BM,
BM,

- 7.76

- 92.7
- 93.5
- 67.7
- 123.8
- 75.9
- 11 1.1

- 302.9

6AvG

- 7.78
- 6.44
- 9.00
- 6.71
- 8.84

- 303.0
- 284.8
-316.8
- 21 8.9
387.0

BM,
BM,

- 21 8.9 + - 387.0

- 9.26
- 9.00
- 10.89
- 7.40
- 9.09
- 9.1 1

- 60.2
- 58.7
- 77.5
- 40.8
- 68.7
- 48.9

- 151.9
- 153.4

6AvG

-7.40 +- 10.89 1.80 + 1.18

BM,

0.67 + 1.13
- 40.8 + -68.7
- 101.6 -3- 188.7 0.67 + 1.24

- 10.61
- 10.52
- 10.34
- 11.17
- 10.98
- 10.07

- 230.4

- 301.I
- 298.3
- 292.5

- q28
- 6.40
- 6.95
- 7.70
- 7.50
- 5.31

-91.3
-91.9
- 114.2
- 130.8
- 107.3
- 76.3

-80.9
- 79.5
- 72.8
-150.9
- 94.3
- 63.7

-5.19
- 5.23
- 4.3 1
- 7.53
- 6.76
-3.71

and Node No.

Load
Case

- 48.5

- 104.7
- 104.1

- 234.2
- 230.0
- 256.1
-201.9
- 266.4

- 48.6
- 45.5
- 49.1
. - 59.6
- 37.7

KN&~
hAVG

Range of
Variation
Min. Max.

-

- 6.56 + 9.71

0.81 -+ 1.19

- 90.5 + - 112.0 0.90 + 1.I 1
0.75j1.27
-222.9+-376.3

- 6.44

- 9.00

0.83 + 1.16

- 67.7 + - 123.8 0.73 -+ 1.34
0.72 + 1.28

-

- 169.9
- 101.6
- 188.7
- 119.2

BM,

6AvG - 10.07 + - 11.77 0.95 + 1.05
BM,
BMv,

- 259.6
-311.4
- 285.5

- 96.5 .
- 141.8
- 153.6
- 54.8

&AvG

BM,
BM,

.

&AvG

BM
.,
BM,,

Case 1 - Vertical Loads Only
Case 2 - Vertical Loads + Column Base Moments
Case 3 - Vertical Loads + Column Base Moments + Seismic Force(+ x Direction)
Case 4 - Vertical Loads + Column Base Moments + Seismic Force(-x Direction)
Case 5 - Vertical Loads + Column Base Moments + Seismic Force(+ y Direction)
Case 6 - Vertical Loads + Column BaSe Moments + Seismic Force(- y Direction)

- 201.9 + -266.4 0.88 + 1.16
- 259.6 + - 31 I .4 0.86 + 1.03

-5.31+-7.70

0.85j1.23

- 76.3 + - 130.8 0.84 + 1.43
0.79j1.87
-63.7+-150.9

- 3.71 + - 7.53

0.71 -+ 1.45

- 37.7 + - 59.6 0.78 -+ 1.23
- 54.8 + - 153.6 0.52 + 1.47
55

STUDIES CARRIED OUT ON EFFECT OF VARIOUS PARAMETERS

7.2.2 Discussion of Results
Table 7.7 shows that there is large variation in the bending moments in X and Ydirections both, when effect
of horizontal loads.is considered. The values vary over a range which lies on both sides of the value of the
vertical load alone. In case of plate element No. 18 B.M in direction for vertical loads alone is 79.0 KNmIm.
For different load case, this value increases in a range of 79.0 to 227.1 K N d m The minimum increased values
have a ratio of 1.32 and maximum of 2.78 . Similar values for plate element No. 28 are 0.98 to 1.64 for BM,
and 0.87 to 1.32 for BM,,.
Table 7.8 indicates variation but in this case the increase is comparatively low as compared to Example 1.
This is on the expected lines as the raft for the central core is symmetrical about one axis and lesser variation
is expected.

.-

f

1

'1

i
t

;

7.2.3 Conclusion

I

The study shows that values of bending moments in a raft of particular thckness and for the same value of
so11modulus will vary considerably when the effect of horizontal loads on the super-structure as transmitted
to the foundation is considered. The increase could be several times. The usual practice of assuming that 25
to 50% increase can be permitted when seismic force are considered is not sufficient to cover these excessive
values and the structural designs, if carried out neglecting the effect of horizontal loads may not be safe. Similar
results are expected if raft of the other thickness and soil modulus are considered

z3;

Study 3: Comparison with Conventional Rigid Methods

7.3.1 Details of Conventional Method: Combined Footing Approach
In the conventional rigid combined footing approach (explained in detail by TENG'), the raft is analysed using
simple statics without any consideration of the elastic properties of the raft and the soil. Here the raft is analy sed
as a large beam member independently in both the directions. The row of column loads perpendicular to the
length of the beam are coupled together in single column load. Then for these column loads acting on the beam,
the upward soil pressure is calculated and the moments and the shears at any section is determined by simple
statics. Hence, the moment per unit width of the raft is determined by dividing the moment values by
corresponding width of the section. In the situation when the width of the raft is changing both the values, i.e.,
corresponding to lesser width and the bigger width are determined and the section designed to allow for this
sudden change which in fact means concentration of stresses at this junction. Then the same analysis is repeated
for the other direction. ( ' Y direction) considering raft as a whole. These in general are the lower bound values.
The above analysis gives the total bending moments and shears across the whole raft. But the distribution
of this moment and shear along this section, i.e., the width, is a problem of highly indeterminate nature and
the average moment obtained above may not exactly indicate the sign and the magnitude of the bending
moment at a particular location. In order to obtain some idea as to the upper bound values the raft is divided
into strips bounded on the centre line of the column bays in each direction. Each of these strips is then analysed
-as independent combined footing by simple statics. Using the column loads on each strip the soil pressure
under each strip is determined without reference to the planar distribution determined for the raft as a whole.
The eccentricity of the load and the pressure distribution below the raft which is considered to be linearly
varying are taken into account in this analysis. This method undoubtedly gives very high stresses because it
ignores the two way action of the raft and transfer of stresses from one strip to another strip. Therefore, certain
arbitrary reduction in values (30% in this case) is made.
STRIP 2
4130

STRIP 1
,2690
!

STRIP 3
3100

I

STRIP 4
3660

I

- 1-

600tl
300-0

STRIPS

,

@+@
@+(@
@

350x350

I

STRlP 5
1749

STRlP 6 STRlP 7
1674 ! 935

RAFT S L A B T H I C K N E S S 1 0 0 0 MM

EXAMPLE- 1
COMBINED

(ALL DIMENSIONS ARE I N MM)

COMBINED

0 COMBINED

Fig. 7.9

o
m
v,

5

O

D

E

5
v,
V)
r

STUDIES CARRIED OUT ON EFFECT OF VARIOUS PARAMETERS

EXAMPLE 2

'

STIP.5

'

STRIP G'STRP.7 ' S T R P . ~
STRP.9

I

( AL.L

DIMENSIONS ARE

Fig. 7.10

7.3.2 Examples Selected
The raft in Examples 1 and 2 has been divided into strips, and this division is indicated in Figs. 7.9 and 7.10.
While examining these strips which are made on the centre line of column bays, it would be seen that there
are some strips which have columns only at one end of the strip or there is a big cantilever beyond a particular
column. Here a judicious examination is required to be carried out by the designer to see the likelihood of
particular strip acting individually or in combination with the adjoining strip. Keeping in view the location of
columns in Example 1, Strip No. 1 and 2.5 and 6,8 and 9 were considered to be combined into one each and
58

RAFT FOUNDATIONS-DESIGN AND ANALYSIS

also analyzed. Similarly, in Example 2, strip Nos. 6, 7 and 8 were combined and analysed as a combined
footing. -The values of the bending moments were calculated in all these strips at the column point and mid
point of the span and also at the points where the raft changes width.
Both these rafts have already been considered in Study Nos. 1 and 2. Study No. 1 was carried out in 2 parts.
In the first part thickness was kept constant and values of modulus of sub-grade reaction were changed. Ratio
of maximum and minimum value of moments in X and Y direction were worked out for each element and
tabulated. In the second part value of Ks was kept constant and values of thicknesses were varied. Similar
values as above were calculated and tabulated.
In Study 2 (refer ljara 7.2 above), the effect of horizontal loads was considered for single thickness of
1 metre of raft slab and one value of modulus six loads cases were considered for the purpose of
comparison and the variation in bending moments in the raft due to earthquake loads were worked out. If
acomplete picture of the variation in the values of moments in the raft was to be obtained, all permutations
and combinations of the raft thickness, values of soil modulus and seismic forces is required to be
considered. This, however, would have involved much more computational efforts. Since the objective
have been only to get an idea of variation, the cases considered have been restricted in the manner
explained above.

,
I

In fact, it is difficult to say as to what thickness and what value of Ksout of the four values would be adopted
by any designer, he being free to adopt any of them but the effect of seismic forces would be applicable to all
of them. Therefore, percentage increase or decrease in the values of moments due to earthquake effect has
,
been worked out and then applied to maximum values of moments for any combination of thickness and K.
values of M, and M y
thus obtained are expected to be values likely to be met with if analysis is carried out for
all combinations.
It would be noted that the values of bending moments obtained in finite element analysis are for each
element and represent the values of the bending moments at the centre of that element in both the directions.
The values obtained in the conventional rigid method are at the sections along the length or width of the raft.
For comparing both, some method is to be evolved which could bring these to a common base. After
careful consideration, it was decided that comparison may be made of the maximum positive, maximum
negative, minimum positive, minimum negative and the average of all positive and negative values determined
by each method. This comparison would reasonably indicate extent of variation in the values of moments
determined by the two methods. These values have been tabulated in Tables 7.9 and 7.10 for Examples 1 and
2, respectively.
7.3.3 Discussion of Results
Table 7.9 for Example 1 shows that the values of bending moments in the rigid raft analysis are always higher
than those which could be possible for any combination of raft thickness and modulus of sub-grade reaction
and the earthquake effect. The extent of difference between the 2 values varies but in general these values are
higher than those likely to be obtained by each analysis.
In Table 7.10 relating to Example 2 also the values of moments in the rigid method analysis are higher than
the values expected in any combination of raft thickness, soil modulus and considering earthquake effects
except in case of M ymaximum and M yaverage. This indicates that there may be sections wherein values of
moments determined by rigid raft, approach may be lower than those expected in the actual structure under
seismic consideration.

L=
I
Table 7.9
Example 1 :

1

Mxx(+ve)
KNm

M, (-ve)
KNm

My, ( + v e )
KNm

M,, (- v e )
KNm

(- v e Implies Tension at Bottom)

Max.

Min.

Avg.

Max.

Min.

Avg.

Max.

Min.

Avg.

1

Finite Element Analysis
Considering Vertical Loadr
on1y for Ks = 10996 KN/m"
a n d d = 1.0m

162.7

0.142

72.0

-54.67

- 1.28

- 18.27

205.4

3.34

89.0

2

409.1
Finite Element Analysis
considering Seismic Loads
also for Ks= 10996 K N / ~ ~
and d = 1.0m

0.98

174.38 -40.78

- 0.235

- 19.80

487.9

19.42

167.47

3

Percentage Increase of
2 over 1

4

Finite Element Analysis
considering Vertical Loads
only for any Combination
of Ks and d

187.6

0.106

76.58

- 59.53

-0.13

-36.24

233.9

1.544

112.78

- 24.7

- 0.92

- 15.26

5

Expected Values for Finite
Element Analysis for any
Combination of Ks and d if
Seismic Loads also were
Considered i.e. 4 x 3

471.63

0.73

185.47

-44.4

-0.0238

-39.27

555.6

8.977

212.2

- 56.8 -0.032

- 15.39

6

Rigid Raft Analysis
considering the Raft as a
whole

914.01

-

-

-

536.06

82.21

266.5

- 19.91 - 19.91 - 19.91

7

605.56
Rigid Raft Analysis
considering Individual Strips

69.74

532.52

- 1011.3

- 6.0

-413.6

574.6

52.046

346.0

-293.7

8

Values for Rigid Raft
Analysis for Strips
Decreased by 30 %
i.e 7 x 0.7

423.89

48.82

372.76

-707.9

-4.2

-289.5

402.2

36.43

242.2 -205.6

Max.

Min.

- 16.13 - 14.39 - 15.26

- 37.08

- 15.39

- 0.50

-

-

151.4% 590% 142.2% -25.4% -81.64%

126.51 317.68

Avg.

8.37% 137.54% 481.4% 88.17% 129.8% -96.5%

- 1.0

0.851 %

- 173.30
Table 7.10
Example 1 :

1

I

M, (-ve)
Km
N

Mxx
(+ve)
Km
N

-

My, (+ve)
Km
N

-

-

M, (- ve)
Km
N

(- ve Implies Tension at Bottom)

Max.

Min.

Avg.

Max.

Min.

Avg.

Max.

Min.

Avg.

1

Finite Element Analysis
considering Vertical Loads
also for Ks = 10996KN/m3
andd= 1.0m

-

-

-

- 239.9

-48.46

- 125.54

-

-

-

- 542.9 - 80.95 - 194.14

2

FiniteElementAnalysis
considering Seismic Loads
only for Ks= 10996 KN/rn3
andd= ].OM

-

-

-

-280.2

-33.89

- 133.9

-

-

-

- 683.1

3

Percentage Increase of
2 over 1

-

-

-

16.79 % - 30.07%

6.65 %

-

-

-

25.82 % - 43.32% 0.50 %

4

Finite Element Analysis
considering Vertical Loads
only for any Combination
KFand d

-

-

-

- 356.6

- 1.629 - 192.4

-

-

- - 644.10

5

Expected Values for Finite
Element Analysis for any
combination of Ks and d if
Seismic Loads also were
considered i.e 4 x 3

-

-

-

-416.5

- 1.139

-

-

-

6

Rigid Raft Analysis
considering the Raft as a
whole

7
8

-205.2

Max.

Min.

-45.88

Avg.

- 193.17

- 1.67 - 341.06

- 810.4 - 0.95 - 342.76

n

5

2
z

0

- 12.41

- 37.29

- 6.0

- 283.43

- 721.6 148.03 5.321 62.517 - 254.83 -4.20

-221.99

-416.4

78.20

14.4

Rigid Raft Analysis
considering Individual Strips

400.02 300.24 400.02 - 191.O

- 88.0

- 1030.86

21 1.47

7.6

Raft
Values for R~gid
Analysis for Strips
decreased by 30 %
i.e 7 x 0.7

280.014 210.170 280.014 - 1337.7

-61.6

154.9

154.9

3
'
Y

-198.401

-631.1

154.9

_

L

-87.75

51.7

89.31 1 - 314.04

J

1

9

%
V,

I
D
v,
V,
61

STUDIES CARRIED OUT ON EFFECT OF VARIOUS PARAMETERS

Table 7.1 1

T

Strip NO.

(Continuous Beam) wL2/10
(KN- d m )

1011.3
503.37
505.07
373.0
605.56
529.86
410.58

223.25
260.19
253.03
281.09
207.96
260.55
281.09

Raft as a whole

M, (Max.)
Example I

Rigid Raft Method
(KN- d m )

1
2
3
4
7
1 +2
5+6

Dir. of Moments

*914.01

137.0

*Smaller Width of
Section Considered
386.08
566.0
574.6
118.0

181.18
176.25
248.65
44.678

293.7

156.35

Raft as a whole

I

10
11
12
13
8+9

Myy(Max.)

536.06

175.7

Strip No.

Rigid Raft Method
(KN - d m )

(Continuous Beam) wL2/10
(KN - d m )

5
6
7
8
9
6+7+8

578.4
839.0
650.0
1911.0
403.9
868.0

286.54
392.2
217.86
392.2
370.34
3922

Table 7.12
Dir. of Moments

M (Max.)
,
Example 2

Raft as a whole

M y (Max.)

I

631.10

392.2

1
2
3
4

21 1.50
139.0
364.0
143.
O

156.7
186.0
116.6
116.6

Raft as a whole

87.75

65.10
RAFT FOUNDATIONS-DESIGN AND ANALYSIS

7.3.4 Znverted Floor Method
In the other method, i.e., Inverted floor also called beam analogy method by some designers, the raft is treated
as an inverted floor. Analysis of each strip bounded by the column bay centre line is carried out as a continuous
beam in both the directions as compared to analysis by simple statics in the combined footings approach.
Though not mentioned specifically in any text book there, has also been a practice in design offices not to
adopt the values for design purposes lower than WL2/10 at any of the sections of this case. For Examples 1
and 2 the maximum value of bending moments determined by combined footing approach and inverted floor
approach in these directions for each strip and raft as a whole have been tabulated in Tables 7.11 and 7.12. A
study of these tables would indicate that bending moments determined by ~ ~ ~are always lower than those
1 1 0
determined by combined footings approach in general.
This study also shows that WL2/10 values shown in Tables 7.11 and 7.12 are not always higher than the
expected values of moments in row No. 5 of each Tables 7.9 and 7.10. Situations may, therefore, arise wherein
continuous beam analogy values may not lead to safe designs. This is in line with the recommendations of
Mr. M ~.~omlinson'O.

7.3.5 Conclusions
This study has shown that values of moments determined by conventional combined footings approach are
higher than the values likely to be obtained after considering the variation of changes in rigidity of the raft,
soil pressure distribution, values of modulus sub-grade reaction and earthquake forces. This may, however, be
not true in case of inverted floor system even where using wL2/10 as lower bound values.
7.4

Study 4. Another Office Building

This is an office building which has six blocks. Two central blocks are eight-storeyed with basement while the
side blocks are two storeyed with basements. Each central block has a lift machine room, stair case, mumty
and water tanks above the general terrace level. The two central blocks are separated from the two storeyed
blocks. In this study, these two central blocks have been considered.These blocks are separated by a separation
joint from each other but the raft foundation is continuous. Through the building looks symmetrical in plan
but due to loadings and position of few columns this is not so. A plan of the raft is shown in Fig. ZS?

7.4.1 Example Details
The design of the raft has been done utilising beam and slab constructl'on with beams projecting upward. For
this purpose raft was considered to consist of beams only in both longitudinal and transverse directions. Each
of these beams was analysed as a beam on an elastic foundation utilising value of modulus of sub grade reaction,
calculated from soil properties. The loads considered were only vertical loads. However, taking into account
the assumptions made, design bending moment values obtained from the analysis were subjected to a minimum
value of w12 / 10 where W is the load carried by the beam per unit length considering the raft as an inverted
floor.
The superstructurehas been analysed on a three dimensional analysis programme on computer considering
the earthquake effects and the values oi column loads, base moment, increase and decrease in column loads
due to the earth-quake obtained. These values have been utilised to study the variation in the values of shear
forces, bending moments, contact pressures and deflections of the raft when earth-quake effects are taken into
account against only vertical loads considered in the first analysis.
The analysis for raft has been done utilising SAP 5 Computer Programme based on finite elements method.
The finite elements chosen are the beam elements of the beam slab foundation system. The rigidity of the raft

I
SLAB THICKNESS =400mm
BEAMS ALONG X-X =I000 XI200 mm
BEAMS ALONG Y-Y =I000 X800 mm

(ALL DIMENSIONS ARE I N MM)
Fig. 7.1 1
64

RAFT FOUNDATIONS-DESIGN AND ANALYSIS

slab is not considered. Each beam element is defined by two nodes, each node is also the point of application
of concentrated loads (vertical load forces and moments). The soil has been idealised as a spring under each
node. The spring constant is a function of soil sub grade modulus and the area under the node.

7.4.2 Comparison of Results
Six different cases of loading i.e., vertical loads only, vertical loads plus base moments due to vertical loads
only, vertical loads and their values for seismic loads acting in positive X direction, negative X direction,
positive Y direction and negative Y direction have been considered. For comparison of results, some beam
elements shown in Fig. 7.11 have been selected. The maximum (larger of the values on the two nodes) shear
force, bending moment, contact pressure and deflection in Z direction have been tabulated along with the range
of these values. All these values are shown in Table 7.13. Also shown are the values obtained in simplified
flexible design explained in 7.4.1 above. Also shown in this table are the ratios these values have with the
value considering vertical load alone.

7.4.3 Discussions of Results
A study of the table would show that:
(a) Shear force for beam element No. 40, for vertical load alone is 24.27 KN.For other load cases, it
varies from 0.07 KN to 467.5 KN giving a ratio of 0.003 to 19.26. Maximum increase in shear force
is seen in case of beam element No. 44 where ratio goes as high as 92.90.

Node Nos. Load
Case
and
Element No.

V,,
KN

BM,,
KNm

-

Table 71
.3

BP,,
, ,6
KNm/
mZ

Ratio (W.R.T
Case I )
Min.
Ma*.

Range of
Variations

Min.
2,3
2

10, 11
16

24,25
40

Conventional
Design Values.

Max

0.16 + 00.81
4.70 + 30.20
3.12+ 11.52 - 172.25 j 2 4 4 . 5 0
0.94+ 01.12
116.11 + 138.32
0.94+01.12
-42.98+-51.21

1
2
3
4
5
6

30.20 - 21.22 123.70 -45.73 ,V
07.91
66.11 128.71 -47.65 B
M
,
24.36 118.58 125.51 -47.67 ,
P
B
89.00128.34 -47.526,
15.07
04.70 - 172.25 138.32 - 51.21
04.81 244.50 116.11 -42.98

1
2
3
4
5
6

04.79 -550.60 104.65 - 38.76,
,
V
09.74 - 529.40 110.37 - 40.90 B
M
,
13.80 - 549.08 109.23 - 40.45 ,
P
B
05.96 - 513.50 ' 105.75 - 39.90, 6
10.46 - 527.25 106.66 - 39.50
09.40-535.17108.33
-40.12

1.24 + 2.88
1797.00
4.79 + 13.80
0.10 + 1.00 -513.50 + -550.60
1851.30
1.01 + 1.05 104.65 + 110.37 130.0 1195.0
1.02 + 1.06 - 38.76 + -40.90
- 125.00

1
2
3
4
5
6

24.27 102.20 145.63 - 53.93,V
,
05.58 159.90 157.21 - 58.22 B
M
,
450.20 2250.00 148.89 - 58.07 B
P
,
460.50 2080.83 160.54 -59.56 , 6
54.99.555.73 - 57.68
00.07
19.00 240.58 154.22 - 57.12

0.003 + 19.26
1797.00
0.07 + 467.50
0.54 + 22.02 2080.83 + 2250.00
1851.30
1.02 + 01.10 145.63 + 160.54 130.0 1195.0
- 125.00
1.06 + 01.10 -53.95 + -59.56

1319.00
1359.00
130.01 195.0
-125.00
65

STUDIES CARRIED OUT ON EFFECT OF VARIOUS PARAMETERS
Table 7.13 (Continued)
25,26
41
I

r
I

1

4.8
7

14, 18
I

,

26

23.29
44

805.00
59.42 + 346.58
0.67 + 03.91
723.30
1.36 + 05.20 -1284.17j2788.33
1.02 + 01.10 145.63 + 160.54 130.0 1 195.0
- 125.00
1.06 + 01 .I0 - 53.93 + 59.56

1
2
3
4
5
6

88.67 535.73
137.27 740.57
59.42 -1284.17
346.58 2788.83
153.00 727.75
130.70 763.33

1
2
3
4
5
6

81.87 235.60 140.37 - 51.97 V
,
89.27 272.53 143.71 -53.22 BM,,,
98.42 292.67 152.66 - 56.53 BP,,
76.98 233.67 129.63 -47.93 amax
24.03 - 84.67 148.68 - 55.07
198.92 611.08 138.95 -51.46

0.29 + 2.43
0.36 j 2 . 5 9
0.92 + 1.09
0.92 + 1.09

1
2
3
4
5
6

145.80 -536.47 105.62 -42.25 V
,,
01.45 - 92.00 115.01 -46.01 BM,,,
28.06 -214.67 108.46 -43.38 B ,
P
28.60-112.50116.21 -48.156,,,
50.62 - 245.92 113.97 - 45.58
50.98 - 200.25 110.75 - 44.30

1105.30
1.45 + 145.80
0.01 j 0 . 3 5
762.00
0.17 + 0.46 - 92.00 + - 536.47
1.03 + 1.10 105.62 + 116.20 130.01 195.0
-125.00
1.03+1.14-42.25+-48.15

1
2
3
4
5
6

01.63
06.82
09.21
20.23
137.75
151.42

29.60
65.86
79.26
90.58
420.67
438.92

145.63
157.21
148.89
160.54
155.73
154.22

141.97
148.54
139.57
153.20
148.96
153.69

- 53.93 V
,
- 58.22 B ,
M
- 59.20 B ,
P
- 59.56

amax

-57.68
- 57.11

-52.55 V
,
- 54.98 BM,,
P
- 51.66 B ,
- 56.71 amax
- 55.14
- 56.88

4.18 + 92.90
2.23 + 14.83
0.98 + 01.08
0.98 + 01.08

1026.00
24.03 + 198.92
707.30
-84.67 j611.08
129.43 + 152.66 130.0 1 195.0
- 125.00
- 47.93 + - 56.53

29.69 + 438.92
603.30
139.57 + 153.69 130.01 195.0
- 51.66 + 56.88
- 125.00

Case 1 : Vertical Loads only,
'
Case 2 : Vertical Load + Base Moments,
Case 3 : Vertical Loads + Seismic Loads (Seismic Force in +X Direction),
Case 4 : Seismic Force in -X Direction,
Case 5 : Vertical Loads + Seismic Loads(seismic Force in +Y Direction),
Case 6 : Seismic Force in -YDirection. All Loads Correspond to un Factored Condition.

The variation is more in beams which are heavily loaded in the nodes and the beams which is
discontinued at both nodes.
(b) Bending moment for Beam element No. 40 for vertical load alone is 102.2 KNM. For other load
case, it varies from - 2080.83 KNM to + 2250.0 KNM. Minimum positive Bending moments in
this.element is 54.99 giving a ratio of 0.54 to 22.02. Maximum increase is also occurring in this
beam. These are the beam which are heavily loaded at the nodes.
~ ~
(c) Bearing pressure due to vertical loads alone in case of beam No. 2 is 123.7 K N / with maximum
of 138.22 giving a ratio 0.94 to 1.12. Maximum increase in bearing pressure is also in this beam.
The safe bearing pressure recommended by soil consultant is 130 KN/~'.
(d) Deflection due to vertical load alone in case of beam No. 2 is 45.73 mm. For other load cases, it
varies from - 42.98 to 5 1.21 mm giving a ratio of 0.94 to 1.12. Maximum increase is also in this
beam.
RAFT FOUNDATIONS-DESIGN AND ANALYSIS

(e) When shear force values of any beam for any of the load case is compared with S.F. value in method
adopted for actual design these are always lower.
(f) When bending moment values for any of the load are compared with the values on the method
adopted for design (keeping in view the higher permissible stresses in working stress method and
lower load factor in limit state design permitted while considering seismic effect) it is seen that these
values are lower. Except in case of element No. 41.
7.4.4 Conclusions

These results show that:
(a) While variation in bending moment and shear force values are very large, this is not so for beanng
pressure and settlement. This is what was expected. This is a beam and slab raft (Beam size 1.2 m
x 1 m, 0.8 m x 1 m with slab thickness of 0.4 m) which is comparatively rigid as compared to a raft
of uniform thickness.
(b) The design done by the method actually adopted is safe except at one point, confirming the statement
that even inverted floor approach could lead to unsafe design. Simultaneously, it is to be kept in
mind that while detailing the reinforcement in members like raft, frequent curtailment is not practical
in view of various restrictions like minimum development length, ease of fabrications etc. In fact.
when the resisting moment of the section as actually provided was calculated at this section it was
found to be safe.

-

,

i

1
STUDIES CARRIED OUT ON ANALYSIS
AND DESIGN OF PILED RAFTS
8.1

Design Procedures being Used

Rafts supported on plles are being increasingly used for multi-storeyed buildings with basements in poor soils
with high water table conditions. The piles are necessary to transmit the super-structure loads to a deeper
competent soil strata and the raft is required to transmit the column/wall loads evenly to the piles and also to
resist the buoyancy forces of the ground water. Piles are sometimes used to decrease the settlement of the raft.
The raft as a solid medium integrated with the retaining walls with necessary water proofing layer also serves
as a water proofing medium.
The analysis of piled raft is a complex problem even more than that of a soil supported raft as too many
parameters influence the behaviour of the system. Very little is known about the exact behaviour of piled raft
foundations in service. The problem is to be understood by considering the composite behaviour of the entire
system, viz., super-structure, sub-structure, raft, piles and the soil medium. These factors influence sharing of
load berween piles and raft, between piles themselves and consequently the settlements, shears and moments
in the raft.
For design of piled raft, different practices are followed by various designers. Most simple method followed
is the conventional rigid approach, wherein the raft is assumed to be rigid. Piles are uniformly distributed
throughout the raft and a planar distribution of pressure is considered on the raft due to the piles. As a variation
of this method, some designers try to concentrate more pile under the heavily loaded columns as compared to
lightly loaded columns assuming that it would give a better uniform distribution on the piles. In another
approach individual pile caps below each column are provided and are connected either by a slab of the
thickness equal to that of the pile cap or of a lesser thickness, neglecting the effect of one pile cap on the other.
Where computer facilities are available, some designers use the concept of beam on elastic foundation. Here
again various methods are available. Some designers assume a uniform distribution of load on piles replacing
the piles by a soil medium having a hypothetical bearing capacity. K value corresponding to this bearing
capacity is selected and used for analysis. As further improvement to this method, raft is taken as a plate
supported on springs. The properties of the spring are determined depending upon the type and elastic
properties of the piles neglecting the effect of one pile on the other and different soil layer on each other. Effect
68

RAFT FOUNDATIONS-DESIGN AND ANALYSIS

of one pile on another and different soil layers can also be considered. This is done in computer programmes
wherein the spring replacing piles are coupled both horizontally and vertically meaning that the deflection of
any spring is affected by adjacent springs. The mat super-structure inter-action is usually neglected. None of
these methods take into account the effect of the soil foundation interaction except to the limited extend
mentioned in each of the method above. Sharing of loads between piles and raft soil system has also been
suggested n d followed by some. However, there are no practical methods available for working out this extent
of sharing. ~oulos" has suggested a method, but it is applicable for piles less than 40 in number and makes
assumptions which are controversial.
There has also been a practice of designing the raft foundation for vertical loads alone excluding the effect
of column base moments or the effect of horizontal load, ie., earthquake and wind. In all these analysis,
thickness of the raft and the safe load carrying capacity of the pile is decided before hand. In beam on elastic
foundation concept the rigidity of the raft plays a very important role and, therefore, the presumed thickness
of the raft affects final shears and bending moments in the raft and the loads on the piles. No effort is, however,
generally made to quantify this effect and optimise the thickness of the raft.
In this study, effect of rigidity of the raft, i.e., thickness selected, the effect of superstructure rigidity.
variation in column loads and base moments due to earthquake and the type of piles, on pile loads and raft
moments, has been calculated and studied.

8.2

Example Selected

The problem is studied by considering a real building with piled raft.
The side blocks are two storeyed with an eight storeyed central block. The entire building has a basement
and has a T-shaped plan. The basement is to accommodate substation, air conditioning plant, stores etc. The
building is proposed to be constructed in a pond by retaining the water body.
The foundation is proposed to be provided with piled raft with overall dimensions as shown in Fig. 8.1.
There would be 708 bore cast-in-situ piles. The piles are predominantly friction piles of 50 cm diameter and
21m length. The thickness of raft considered is 1.20 m.

8.3

Soil Data

The subsoil below the bed levcl of the pond consists of successive layers of silty claylclayey silt down to 30
m depth and beyond. The sequence of soil stratification is summarised in Table 8.1.
Table 8.1 Sequence of Soil Stratification
Stratwn Description

Thickness (m)
Range
Average

Average SPT
Values ( N )

I

Fill Material

2.4 - 4.5

3.5

-

I1
111

Grey silty claylclayey sandy silt
Greyldark grey silty clay with organic matterldecayed wood

4.0 - 7.0

5.5

1

5.0 - 6.0

5.5

3

IV
V

Mottled greyhluish grey silty clay with kankar

3.0 - 4.0

3.5

11

Yellowish greylmottled grey silty claylclayey silt

2.5 - 4.5

3.5

17

VI

Mottled grey clayey siltlclayey sandy silt with laminations

7.5 - 9.5

8.5

25
Fig. 8.1 Plan of raft showing strips considered

8.4

!

'

i

:

Methods of Analysis Studied

In this study the following methods have been adopted :
(a) Conventional rigid method with simplified models as
(i) Combined footing approach
(ii) continuous beam analogy or inverted floor
(b) Using finite element approach

8.4.1 Conventional Rigid Method with Simplified Models
8.4.1.1

Combinedfooting approach

The drastic simplification adopted in this model is that the closely spaced piles, (spacing nearly equal to or
less than the d l thickness) can be approximated as a bed of equivalent soil strata. The raft is analysed by
conventional rigid approach using simple statics without any consideration for the elastic properties of the raft
and the soil. Here the raft is idealised as a large beam member independently in both the direction. The row
of column loads perpendicular to the length of the beam are clubbed together as single column load. Then for
these known column loads acting on the beam the upward soil pressure is determined and the moments and
the shears at any section is determined by simple statics. Then the moment per unit width of the raft is
70

RAFT FOUNDATIONS-DESIGN AND ANALYSIS

$
determined by dividing the moment values by the corresponding width of the section. Then analysis is repeated
for the other direction (Y direction). The analysis is also repeated for individual strips with relevant column
load. This approach adopted by the early designers tends to give high values of moments with long rafts.
Assumption that such a long raft acts as a rigid member is the main cause of such high values of moments
obtained by this method. The plan configuration of the raft with the location of the strips are shown in Fig. 8.1.
The values of moments obtained by this method are given in Table 8.2.
8.4.1.2

8.4.1.3

Cornpanson of results

From Table 8.2 it could be seen that. in case of rigid method with simplified models of combined footing
approach momentdshears determined by simple statics, the value of the bending moments obtained in X and
Y directions are quite large. If one attempts to proportion the raft with these values, the raft thickness shall be
very large with heavy requirement of steel. However in case of continuous beam analogy method, the value
of bending moments obtained are comparatively lower. Many designers consider the former value to be
unrealistically high and these values reasonable and adopt them for the purposes of approximate designs. The
basis of this differentiation is, however, not known.
Table 8.2 Raft Moments obtained by conventional Rigid Methods

S
f

1

-;

'

8'

f

I-.

Continuous beam analogy: invertedjoor

The other approach of the rigid method is to use the continuous beam analogy by treating the raft as an inverted
floor. First, the average soil pressure of the equivalent soil strata under the raft is determined by dividing the
total column loads by the plan area of the raft neglecting the effect of eccentricity of loads and moments. Raft
is considered as a whole in both the directions and idealised as a long continuous beam with known intensity
of upward pressure based on average soil pressure mentioned above. With no consideration of actual column
loads, the column points are only taken as rigid supports of the inverted continuous beam. The moments and
shears of the continuous beam is determined by method of moment distribution or by any other standard
method. As an approximation, the maximum positive and negative moments (excepting the cantilevering
The 0
portions at the ends) is taken as ~ ~ ~ . 1 1 procedure is repeated also for individual strips with their
corresponding average upward, equivalent soil pressure. The values of moments obtained by this approach are
also indicated in Table 8.2.

No.

fg

Description

Raft as whole in X direction
Raft as whole in Y direction
X direction Strips
A

B
C
Y direction Strips
1

2

Combinedfooting approach
( K N d m width)

As continuous beam analogy

(KNm per metre width)

.
STUDIES CARRIED OUT ON ANALYSIS AND DESIGN OF PILED RAFTS

71

8.4.2 Piled Raft Analysis Based on Finite Element Approach
A more sophisticated method of analysis models the complete system, vjz., the super-structure, raft, piles and
soil medium with appropriate finite element types and carry out the analysis by considering the interaction
between thesecomponents. In such analysis, the superstructure is modelled as a three dimensional space frame,
the raft discretised as plate bending elements, piles as compressible elastic axial elements. The supporting soil
is treated as consisting of different layers of homogeneous linear elastic material with corresponding elastic
modulus determined with reference to soil properties. Normally the soil medium is discretised into a number
of rectangular prism elements. This generalised approach requires enormous computational efforts, time
consuming and quite expensive and hence cannot be used in normal design practice.
However, simplified versions of finite element approach are commonly adopted with the use of computers.
In this study a general purpose three dimensional finite element package (SAP-IV Structural Analysis Package)
has been used. In the present case of piled raft, the raft has been modelled as plate bending elements and the
piles are modelled as axial elements. The piles being predominantly frictional piles, as recommended by
~ o w l e s "and
the axial stiffness of the pile element has been taken as EAIL, where E is the modulus of
elasticity, A is area of cross section of the pile and L, is the effective length of the pile. No exclusive modelling
of the soil medium has been done, although the confining effect of soil on the frictional piles is considered by
considering the effective length of the pile as half the length of the pile.
Similarly, no separate modelling of the superstructure has been done. However, its stiffness contribution
on the overall behaviour of the system has been approximately considered as discussed subsequently.The raft
is considered to be entirely supported on the piles and do not have any soil support underneath. This is
particularly true in the present case where the building is located in a pond.

en^'

8.5

Study of Parameters Influencing the Raft Behaviour

8.5.1 Effext of Raft Stiffness on the Pile Loads and Raft Moments

;

'

In this study the effect of raft stiffness is considered by increasing the E value of the raft instead of increasing
the thickness of raft. This has been adopted for computational convenience.This analysls has been camed out
value of 50 times E, at increments of 10E. This is done essentially to asstarting from single E value upto~a
certain the effect of raft stiffness on pile loads and raft moments.
The increase in moment values in the raft with hypothetical Increase in stiffness values along a Xdirection
strip and Y strlp are graphically shown in F~gs. and 8.3. A lo-, 20- and 50-fold increase in stiffness value
8.2
of the raft increases the raft moments upto 325. 450 and 600 per cent, respectively, at certain locations. Due
to the variation in raft rigidity the pile load variation is upto 75 per cent over the safe load. Considering the
stiffening effect of superstructure (i-e.,value corresponding to 3 E) this pile load variation decreases to 50 per
cent. With the 10-fold increase in raft stiffness (which amounts to more than doubling the raft thickness), thls
variation reduces nearly to 10 per cent.
The effect of increase in the raft sbffness on the pile load variation along a strip is shown in Fig. 8.4. It is
is
seen that beyond a ten fold increase in raft stiffness the pile load variat~on very small. This clearly shows
that raft with assumed thickness is not rigid enough so as to distribute the loads on to the piles uniformly and
number of piles wlll be carrying loads upto 1.75 times the average load.

8.5.2 Effect of Superstructure and Retaining WaUs on Foundation Stiffness
To obtain a realistic assessment of foundation performance, it is essential to include the additional stiffening
effect of the structure above the raft level. In this case the stiffness effect of superstructure is included in the
RAFT FOUNDATIONS-DESIGN AND ANALYSIS

Element numbers

F g 8 2 Effect of Raft Stiffness on Raft Moments Along X-direction Strip.
i. .

Element numbers

F g 8 3 Effect of Raft Stiffness on Raft Moments Along Y-direction Strip.
i. .
STUDIES CARRIED OUT ON ANALYSIS AND DESIGN OF PILED RAFTS

Ekment numbers

Fig. 8.4 Effect of Raft Stiffness on Pile Loads Along X-direction Strip.

-60

-

Only rat t stiffness
Combined st i t f ness

1

a

5

Element numbers

Fig. 8.5 Effect of Superstructure and Retaining Wall on Raft Moments Along X-direction Strip.
74

RAFT FOUNDATIONS-DESIGN AND ANALYSIS

raft analysis by adding the cumulative bending stiffness of the floor slabs to that of the raft stiffness and
As ~ this
equivalentraft thickness is obtained as recommended by ~ o o ~ e r per ~ . procedure for this eight-storeyed
building, the bending stiffness contribution of super-structure is of the order of 20 per cent of the raft stiffness
and the original raft thickness of 1.2 m get enhanced to equivalent thickness of 1.28 m only.
Similarly, the stiffness effect of retaining walls is also included in the raft analysis by adding the bending
stiffnessof retaining walls and the superstructure to that of the raft. In this case theequivalent bending stiffness
of the raft works out to 3 times and the raft thickness gets enhanced to an equivalent thickness of 1.73 m.
Due to the stiffening effect of these components, the raft moments tend to increase and the increase being
in the order of 20-70 per cent over the values obtained considering the stiffness of the raft alone. This effect
has been shown for chosen X direction and Y direction strips in Figs. 8.5 and 8.6. The variation between the
loads carried by the individual piles also tend to decrease due to this effect.
Beside the raft, the super-structure frame and the infill walls will also come in play in resisting the foundation
moments due to the composite action. However, this has not been considered in the present study as the effect
is very small.

8.5.3 Effect of Earthquake Loads and Moments
When subjected to earthquake forces (lateral loads), column loads and base moments get affected causing
increase in column load, on the one side, and corresponding decrease, on the other. This causes a large
eccentricity of loads with respect to the C.G of the raft. This in turn also results in uneven loading on the piles.
This behaviour will induce differential settlement causing additional moments in the raft. Hence, it is necessary
to investigate the effect of earthquake loading for the design of the raft.
In the present study, the vertical load and seismic analysis of the building was done using a three dimensional
analysis package, TABS. The loads and moments of the columns at the foundation level are determined for
seismic loads applied in two orthogonal directions independently. The raft is analysed by finite element
modelling explained earlier for each of the above cases, and the critical values of loads and moments are
obtained. The stiffness of the raft is kept at its actual stiffness.
The effect of earthquake has been studied with respect to the variation of the moments in the raft and the
pile loads. Analysis is made for the non-seismic condition (load factor = 1.5) and the seismic condition (load
factor = 1.2) as per Limit State Method.
These analysis indicated that for Xdirection the raft moments in non-seismic conditions are generally more
compared to the seismic condition except at few locations where the seismic moments are more (Fig. 8.7).
This behaviour is not surprising while the raft is continuous, super-structureis in three blocks separated by the
expansion joints. These three blocks behave independently in seismic condition and their effect on foundations
with earth quake in X direction is compensatingrather than additive. However, for the earthquake forces along
the + Y direction the seismic moments are found to be more. This shows the raft moments in seismic conditions
cannot be ignored as they are likely to govern in certain situations (Fig. 8.8).
The pile loads tend to increase in the regions in the far end of the raft in the direction of the earthquake due
to the overturning effect of lateral loads on the foundation.
8.5.4 Effect of End Bearing and Friction Piles
In practice both types of piles, frictional or end bearing or a combination of both, may be encountered at site.
The behaviour of the pile raft will change due to change in the axial stiffness of the pile which depends upon
its effective length, the other factors remaining same. This will, in turn, alter the pile loads and raft moments.

I

I

1

1
'

.

1
'

1;
STUDIES CARRIED OUT ON ANALYSIS AND DESIGN OF PILED RAFTS

9

5

Element numbers

Fig. 8.6 Effect of Superstructure and Retaining Wall on Raft Moments Along Y-direction Strip.

i

3

5

Element numbers

Fig. 8.7 Effect of Earthquake, Forces on Raft Moments About Y - Axis Along X-direction Strip.
RAFT FOUNDATIONS-DESIGN AND ANALYSIS

Element numbers

Fig. 8.8 Effect of Earthquake Forces on Raft Moments About X - Direction Along X - Direction Strip.

Fig. 8.9 Effect of Pile Type (Friction and End Bearing) on Raft Moments Along Y - Direction Strip.
STUDIES CARRIED OUT ON ANALYSIS AND DESIGN OF PILED RAFTS

77

As stated earlier, in the present modelling; the axial stiffness for friction piles and end bearing piles are
taken as 2AEIL and AUL, respectively.
AS the end bearing piles are more flexible,-raft supported on such flexible piles tend to behave in a more
rigid manner compared to the raft supported on friction piles. This effect studied in the present problem
indicated that the moments of the raft supported on end bearing piles are increased 10 to 40 per cent compared
to friction piles supported rafts. This behaviour is indicated in Fig. 8.9. For the raft supported on end bearing
piles, the pile load variation also decreases due to a less flexible behaviour of such rafts, compared to rafts
supported on friction piles which tends to show more flexible behaviour (Fig. 8.10).

Element n u m b e e

Fig. 8.10 Effect of Pile Type (Friction and End Bearing) on Pile Loads Along X - Direction Strip.
8.5.5 Summary o Results
f

The results of the analysis are summarised as under:
(a) Rafts analysed by conventional rigidmethod with moments determined by simple statics gives very
high values, particularly in case of very large sized rafts. However, moments determined by
continuous beam analogy as an inverted floor results in lower values. In this case, the moments
obtained by simple statistics is nearly six times than the moments obtained by continuous beam
analysis.
(b) Increase in raft thickness results increases in raft moments. Considering an initial thickness of the
raft based on punching shear consideration then increasing the thickness by 2.2,2.7 and 3.7 times,
increases the raft moments by 2.25.4.5 and 6 times, respectively. Increase in raft thickness however
decreases pile load variation which more or less becomes uniform at thickness equal to 2.2 times.
78

RAFT FOUNDATIONS-DESIGNAND ANALYSIS

(c) Pile loads increased upto 175 per cent of the safe load carrying capacity for assumed thickness of
1.2 m. However increase in raft thickness (increase in rigidity) tends to decrease the difference in
loads camed out by the individual piles. By doubling the initial raft thickness, the variation between
the pile loads decreases from 75 to 10 per cent. Further increase in raft thickness further decreases
this percentage at a slower rate.
(d) The effect of super-structure on the raft moments is not substantial. If the effect of stiffening of the
retaining wall is also considered then h e increase in raft moments is only 1.2 to 1.7 times over the
moments considering the raft alone. The common practice is not to design the raft for these increased
moments as these are to be re proportioned and resisted by super structure and retaining walls.
(e) Under seismic conditions, the increase in base moments and the column loads affects the raft
moments. In the present case, analysis for earthquake along Y-direction has increased the raft design
moments upto 2.5 times compared to non-seismic conditions. However, for earthquake analyses in
other directions, the design moments are not more than for non-seismic conditions. Pile loads get
increased upto 200 per cent. It is also to be kept in view that for seismic condition on increase is
permissible stress upto 50 per cent is allowed.
(f) The type of piles (frictional piles-or end bearing piles) also affect raft moments. The raft moments
obtained with end bearing piles are of the order of 1.1 to 1.4 times compared to those obtained with
assumption of friction piles.

8.6

Discussions

In conventional design and construction practice, the rafts are being designed for vertical column loads only
and piles of equal capacity are provided throughout the raft. The stiffening effect of the super-structure, the
column base moments due to vertical loads and even the seismic effect on the column loads and their base
moments are neglected. This is being done irrespective of the fact whether the raft was being considered as
rigid or flexible. In practice though, the piles are assumed to be of the same length, their length vary depending
upon the soil variation. For normally adopted thickness of raft satisfying the punching shear consideration,the
raft would be quite flexible and this could cause the differential loads on the piles. The piles in the vicinity of
the columns will be loaded more as compared to the piles away from the columns. Such heavily-loaded piles
exceed safe load capacity. This behaviour will induce differential settlements causing additional moments in
the raft. When earthquake effects are considered, the variation pointed out above get further increased and
moments become very large.
The practice of designing the piled raft as rigid raft with piles replaced by and equivalent soil medium and
moments determined by simple statics give very high moment values for large sized rafts. This requires higher
thickness and higher quantity of steel as compared to that required by other methods. This method being very
conservative covered up many assumptions as pointed out earlier.
Rigid raft approach with moments detennined by continuous beam analogy, i.e., inverted floor give lower
values of moments coinpared to above approach, and while considered to be reasonable by many designers
and used for approximate design has also been considered as dangerous by others. In this study, however, it is
seen that the values obtained for this approach more or less account for the assumptions pointed out above.
In design office where computer facilities are available, rafts are being analysed by flexible approach
considering the stiffness of the raft alone. The piles are being assumed to be equally loaded and hence piles of
equal safe load capacity are provided throughout the raft. All other assumption of designing the raft only for
vertical loads, neglecting the seismic effects, are being made. This study has shown that the variation of

,
STUDIES CARRIED OUT ON ANALYSIS AND DESIGN OF PILED RAFTS

I
!

I

;

1

!

moments in the rafts, while these factors are considered, are very substantial and the raft design, neglecting
these factors, would not be safe. Even the piles will be subjected to loads much higher than their safe carrying
capacity and consequently affect the structure.
It would, thus, be seen that in case flexible approach is adopted, for the designer two options are available.
In the first alternative, a thickness large enough to obtain a rigid behaviour with piles of equal capacity is
provided. In the other alternative, raft of normal thickness exhibiting flexible behaviour and piles having a
capacity to sustain the maximum loads likely to come on any of the piles are provided. However, it would be
necessary to analyse the raft for all conditions of loading without making any assumption pointed out above
and design the raft for worst values of moments also. It is clear that the practice of designing the raft on flexible
approach and simultaneously making the assumption being made in conventional design is not a safe practice.

8.7

,
i

79

Conclusions

In this study three approaches of piled raft analysis as recommended in the literature and adopted by practical
designers have been discussed in detail along with the effect of various assumptions being made. The results
indicate that while the rigid raft approach by simple statics using vertical loads for columns alone, gives highest
value of moments, the flexible raft approach carried out for column vertical loads alone, neglecting the effect
of rigidity, effect of pile types, and earthquake loads, may lead to unsafe design both for the raft as well as the
piles.
This study was presented by the author at the International Symposium on Innovative World of Concrete,
held at Bangalore India, August-September, 1993.
JOINTS IN RAFTS
$

Joints are required to be provided in building super-structures to take care of thermal and seismic effects.
Concepts in this connection are more or less clear and no difficulty is generally experienced in locating these
joints. Structural designers, however, face a question as to whether these joints should be extended to
foundation raft. There are no clear guidelines available on this aspect.
In buildings where there are no basements, this question has a simple answer in the affirmative as there is
not much of difficulty in extending the joints in the raft. This provision rather becomes helpful as the continuity
of the raft is broken and even conventional rigid methods, if adopted, for analysis and designs does not create
any problem. However, where the buildings have basements, provision of joints requires a deeper thought as
joints are always a source of le*ge
in the building.
If the buildings have basements, foundations are generally more than 3 m below ground level and are very
little affected by thermal variations. Thermal effects are, therefore, not of much consequence at this depth.
Seismic effects, however, are still important as they are independent of the depth of foundation. There is always
a doubt in the mind of the structural designer about the behaviour of a common raft under seismic forces
supporting more than one block of buildings. The buildings can vibrate in different modes and create a pattern
of forces on the foundation which are much different from normal static loads. The possibility of large amount
of torsional stresses also exist. Complete division of very long buildings is also recommended on the ground
that portions of such buildings may experience different seismic waves.
No guidelines are available on this issue. The author had discussed this question with number of structural
designers but no consensus existed.
The author is of the view that in multi-block buildings having basements, unless technology to ensure water
tight construction is available,joints need not be provided in the basement rafts. Wherever computer facilities
of adequate size are available, raft should be analysed as a whole. On the other hand, where it cannot be done,
a separate analysis can be carried out for portion of the raft taking 2 or 3 bays on either side of the joint and
neglecting the other portions. The common portion can then be designed for these values or the individual
block values whichever is higher. While detailing, reinforcement should be provided liberally at the joint.
SUMMARY OF STUDIES
10.1 Text books, hand books, reports of committees, codes and proceedings of conferences, while discussing
merits and demerits, continue to provide for all methods of analysis starting from conventional rigid approach
to most modem methods solved on electroniccomputer taking into account the soil structure interaction.These,
however, give no guidelines to a practical designer which could enable him to
(a) Know the extent by which he is farther away in his approach from what is actually happening and
the amount of risk he is taking by opting for a particular method.
(b) To select the method which is most suitable for his problem at hand.
10.2 Rigidity of raft selected in the preliminary design has a tremendous effect on the stresses actually
developing in the raft. Study 1 shows that this variation could as much as ten-fold.
10.3 Soil pressure distribution under the raft is neither uniform non linearly varying. This depends upon the
relative rigidity of foundation and soil. For a known value of soil rigidity, there is a value of raft rigidity which
would make the soil pressure more or less uniform. There are however no exact methods available to determine
the rigidity of soil or soil pile system. Rigidity of raft can also not be determined exactly as it is affected by
super-structure from h e top and the soil below.
10.4 Modulus of subgrade reaction, which is a measure of soil rigidity, is a function of the nature and properties
of the soil below and behaviour of structure above. There are methods available starting from empirical
approximate ones on one hand to those taking into account the soil nature and soil properties below. All these
methods make number of assumptions.Even the latest method assumes horizontal layers of soil having uniform
soil properties in given area below the raft. This situation does not exist. It is quite common experience that
the soil layers are rarely horizontal, and the properties of soil determined by bore holes varies to large extent
from one bore hole to another. For the same soil properties empirical methods given in the literature give
different values so much so that value determined by one method is 6 to 7 times that determined by another
method. Accurate determination of value of modulus of subgrade reaction is, therefore, not possible. Variation
in the bending moments for same value of rigidity of raft with varying values of modulus of subgrade reaction
is also considerable. Study 1 shows that this variation would be as'much as ten-fold.
10.5 A designer can adopt any of the thickness and value of subgrade reaction with in the ranges considered
in these studies. The extent of variations that can be expected on the values of bending moments would be
much high.
82

RAFT FOUNDATIONS-DESIGN AND ANALYSIS

10.6 In seismic areas or in high wind areas, there are horizontal 1oads.whichact upon the super-structure and,
therefore, also on the foundation. Their effect is to vary the column base moments and also increase in vertical
load in some columns and decrease in others. This increase and decrease is a cyclic process which depends
upon the direction in which the horizontal forces are acting. Study 2 has shown that bending moments
determined in a raft of known thickness founded on a soil having a known value of soil modulus can vary
approximately upto 20 times at some locations, general value being twice.
10.7 Variation in stresses due to change in rigidity or soil modulus is smaller for the rafts which are
symmetrical in plan and more uniform loaded.
10.8 In a building having basement the retaining walls also affect the rigidity of the raft increasing the values
of bending moment upto 70 per cent from the case in which this effect has been neglected.
10.9 Analysis of superstructure is done for the complete frame work when all the beams and columns are in
position and loaded as a whole by design loads. In actual practice this is never so. Buildings are constructed
step by step and the portion already constructed gets loaded step by step and consequently undergo deformation.
When next stage gets constructed imposing loads on the already constructed portion, it is this deformed
structure which undergoes further deformation. This deformation is different from the one which the structure
would have undergone had it been in one go. This process is repeated on every stage and continues till the
building is complete. During this construction process, building also experiences live loads which at some
stage may be even higher than the actual design live loads. Effom have been made to take this effect into
account and quantify the same but without success. Since foundation is constructed in the very beginning, the
foundation settlements and the stresses in the foundation also undergo the same cycles. In any method of raft
analysis, whether conventional or modern, it is not possible to take this effect into account.
10.10 Study in para 8 which has been carried out for a structure having basement supported on piled raft with
building blocks of varying height separated from each other by expansion joint indicate the same effects as in
rafts supporting a single block.
10.11 Study 3 and study in section 8 also show that the bending moment values obtained by conventional
rigid combined footing approach are higher than those obtained by treating the raft as inverted floor. Values
obtained by combined footing approach are quite large and provide an envelope on the values which can be
obtained by considering variations in rigidity of raft, soil properties and the effect of horizontal loads. In some
cases the values obtained by treating the raft as inverted floor also provide an envelope but points where it is
not so, are large in number.
10.12 In a piled raft the rigidity of pile soil system also depends upon the type of piles, i.e., friction or bearing
piles. This also affects the stresses in the raft which may vary by 10 to 40 per cent.
10.13 Though number of computer packages are available to take into account soil structure interaction, each
of them adopt the approach which necessarily take into account soil properties. Since soil properties can be
determined only to some level of accuracy, no useful purpose can be sewed by using far more accurate
computational procedures.
10.14 Design of raft foundation carried out on flexible approach for vertical loads alone, neglecting the effect
of raft rigidity seismic load and variation of soil modulus would generally be unsafe.
10.15 Design of raft foundation carried out by rigid conventional combined footing approach carried out for
vertical loads alone would generally be safe.
10.16 Designer should be liberal while providing reinforcement in rafts.
I

SUMMARY OF STUDIES

83

10.17 Method suitable for adoption in design ofices for proportioning the load between piles and soil below
the raft in a piled raft supporting large number of piles is not yet available.
10.18 Raft of a given thickness may behave as rigid with poor soils and flexible with hard soils or rocks.

1

,

i
I

10.19 Study 4 also shows that design of raft foundation as flexible usingconiceptof beam on elastic foundation
with minimum values of BM as ~ ~ ~ for each span is generally safe;
1 1 0
10.20 For normally adopted thickness of piled raft satisfying the punching shearconsiderations,the raft would
be quite flexible and this could cause the differential loads on the piles, may be even exceeding their safe load

carrying capacity.
FACTORS AFFECTING CHOICE OF
METHOD OF ANALYSIS
The following factors affect the choice of the structural designer to select a particular method of analysis of
raft foundation and finally prepare structural drawings for the same:
(a) Importance of the building;
(b) Time available for carrying out the design;
(c) Permitted cost of analysis in design;
(d) Nature of soil, its bearing capacity and extent of soil investigation carried out;
(e) Cost of the building;
(f) Type of the building and loads imposed by the buildings;
(g) Infrastructure facilities available with the structural designer, and
(h) Limitations in reinforcement detailing and fabrication.
11.1 Buildings have importance depending upon their occupancy, size and purpose which they serve and
details in this connection are available in the National Standards of each country. However, for our purpose,
buildings having nuclear facility, power plants or dealing with toxic substance have very high importance as
slight damages may prove disproportionately dangerous for the society. For such building, it is necessary to
have detailed investigations carried out on the soil, seismicity of location and its effect on the buildings. These
buildings for our purpose can be called category one.
All other buildings can be considered as category two.

11.2 Time available for design may get restricted due to owner. Quite often owner may be spending any
amount of time in deciding whether to undertake the construction of a building or-nst but once having done
so, start pressurising the architect and engineer concerned to start construction imme&ately. Architects take
their own time to prepare the drawings and so do, soil consultants for their soil investigation report. All the
pressure is then on the structural designer to give foundation design. It could also be due to structural designer
who would have taken up number of jobs at the same time restricting the time which he can afford to spend
upon design of raft foundations. Time taken in carrying out the design by different methods is different. It is
shortest when the foundation design is done according to conventional combined footing approach. It is the
longest when it is done on computer taking into account all the factors affecting the actual raft behaviour.
FACTORS AFFECTING CHOICE OF METHOD OF ANALYSIS

85

11.3 Raft foundation analysis costs are minimum for conventional rigid combined footing approach and
increase gradually as various factors are taken into account. These would be maximum when the design is
carried out on computer utilising flexible approach taking into account all the forces that the building is likely
to be subjected to, rigidity of the raft, soil and their interaction. Structural design has to be carried out by the
designer in a manner so that the cost of the design does not exceed the amount made available for the purpose.
Quite often, there is a tendency on the part of the owners to spend minimum on design.
11.4 All flexible methods utilise the elastic properties of soil. Accuracy of these methods, therefore, depend
upon the accuracy with which the soil properties have been determined. Accuracy of determining the soil
properties depend upon the nature of the soil and the extent to which Soil Investigations have been camed out.
Detailed soil investigation not only cost considerable amount of money but also take time. Moreover, these
properties can be more accurately determined for either fully cohesionless or cohesive soil but the accuracy
falls for the combination of the two. Modulus of sub-grade reaction or soil modulus at the present state of art
cannot be determined accurately.
11.5 Cost of the building generally determines the amount which can be spent on analysis and design. It also
determines theextent to which risk can be taken in thedesign. Quite often, it may not be the cost of the building
alone but also the indirect cost of equipment, etc., kept within the building which will determine the extent to
which the interruption in the functioning of the building can be accepted.
11.6 Type of building affects the accuracy with which its rigidity can be determined. It also determines the
loads it is going to impose on the soil. When the loads imposed on the soil are lower as compared to its bearing
capacity, flexible approach of raft design with variation in soil pressure distribution below the raft can be
adopted. This may not be possible in case loads imposed more or less match the bearing capacity. In this case,
rigidity of raft will have to be suitably increased so that uniform distribution of soil pressure below the raft
could be obtained.
11.7 Infrastructure facilities relating to computer hardware and software available with the structural designer
also affect the method of analysis selected. While a calculator is enough for designing a raft by conventional
rigid method, for a medium size building, a personal computer (PC 486 with 120 MB hard disc and 4 MB
RAM) would have been a minimum requirement, if flexible method using raft as a plate is to be used.
11.8 It is also to be kept in view that stresses obtained from analysis are to be used for determining the
reinforcement to be provided in the raft. Detailing of reinforcement is to be done keeping in view the basic
requirements of overlap, and development length, spacing and ease of fabrication. Generally, large diameter
bar are provided in more than one layer at top and bottom of the raft. Large diameter bars have considerable
anchorage length and, therefore, their curtailmentsat very close intervals is not practicable. Spacing of the bar
in the two layers have also to be co-related to each other for ease of fabrication and concreting. Small variation
in magnitude of bending moments along the span (unless the spans are several times the anchorage length of
the reinforcement bars) are of no practical value. While detailing the reinforcement in rafts of uniform
thickness, the common practice is to provide first a uniformly distributed reinforcement, if not in the entire
area, then in very large segment to cater for minimum value of moment. Additional reinforcement is then
provided in selected areas to allow for additional bending moments. While providing this additional reinforcement, the spacing at which this can be provided, get restricted to some multiple of the spacings of the
reinforcement already provided uniformly. The quantity of this additional reinforcement, therefore, is also
related to thequantity of the reinforcement already provided. Bending moments variation of magnitude smaller
than that for which this quantity is required are of no consequence. Thus, certain discrete values of bending
moments only are of consequence for the detailing requirement of reinforcement..Inessence, this means that
86

RAFT FOUNDATIONSDESIGNAND ANALYSIS

design using refined methods of analysis, capable of working out small variation at closer spacing are not of
much practical use unless they give minimum and maximum values lower than those obtained by the method
adopted.
In above factors, it has been presumed that the structural designers is professionally qualified and
has technical and professional competence to undertake the design according to all the methods available
today.
GUIDELINES
The factors detailed in Chapter 11 in their various permutations and combinations in the light of the results of
studies mentioned in Chapter 10 are to be considered in selecting a method of analysis suitable for adoption
in the then existing circumstances. Laying down any strict guideline is, therefore, very difficult. However, on
the basis of the experience and what has,been stated in earlier chapters, it is recommended that:

12.1 In case of buildings of highest importance, mentioned in para 11.1, detailed soil investigations should
be got canied out and flexible approach taking into account the full soil structure inter-action and possible
forces likely to be imposed should be adopted. No compromise may be made due to limited time, permitted
cost of design or infrastructure facility available with the designer. The analysis should be repeated for possible
values of soil properties and rigidity of super-structure which at the moment are not amenable for accurate
determination.
12.2 In case of relatively small buildings of category 2 importance, conventional rigid method using combined
footings approach would be satisfactory.
12.3 In case of buildings of importance of category 2, small in size, which are repeated several times so that
the economy in foundation design becomes important and it is possible to get detailed soil investigations carried
out, methods based on flexible approach taking into account the soil structure inter-action in full should be
undertaken. If there is restriction on time available for carrying out the design and detailed soil investigations
cannot be carried out, rigid method using combined footing approach can still be adopted without any risk of
safety.
12.4 Bending moments and shear forces become very high in conventional rigid combined footings approach
as the length of the building increases. In such cases, expansionjoints in the super-structureshould be continued
through the raft.
12.5 If there are basements and raft has to be made continuous and load imposed by the building is lower
than the bearing capacity of soil, flexible approach as explained in para 7.4.1 using the Winkler model for soil
with minimum values of bending moment of ~ ~ ~would normally be safe. If, however, loads imposed are
1 1 0
such that these match with the bearing capacity, values of soil pressure determined in this analysis should be
checked and analysis repeated with increased thickness till a more or less uniform soil pressure is achieved.If

.
88

RAFT FOUNDATIONS-DESIGN AND ANALYSIS

bearing capacity of soil is very high as compared to the loads imposed, the value of minimum bending moments
can be decreased to WL2/12 from wL2/10.

1 . In case of piled rafts
26
(a) conventional rigid combined footing approach can be used for small size rafts.
(b) In other cases, flexible approach taking into account the effect of seismic forces and other imposed
loads would be appropriate. If raft is of uniform thickness, it is to be treated as a plate supported on
individual springs located at the point of each pile. If raft is beam and slab raft, it is to be treated as
consisting of beams on elastic foundation in either direction.
In'both the cases, analysis is to be carried out for likely values of modulus of subgrade reaction. It is also
to be seen that the loads carried by each pile as determined in the analysis should not exceed the safe load
canying capacity of the pile. In case, this happens, the alternative available is either to change the type of piles
with higher load canying capacity or to increase the rigidity of the raft so as to make the loads carried by each
pile more or less uniform. In case, if time and infrastructureavailable for canying out the design or the permitted
cost for design are constraints and it is not possible to take into account the effect of seismicity or the
2
super-structure rigidity in the analysis, above approaches with minimum values of bending moment as W 110
L
would give satisfactorjland safe results. In this case also, however, the load coming on each pile is to be checked
and ensured that it does not exceed the safe load canying capacity of the pile.
REFERENCES
Indian Standard Code of Practice of design and construction of raft foundation, IS 2950, 1965.
Indian Standard Code of Practice of design and construction of raft foundation, IS 2950 (Part I), 1973.
Indian Standard Code of Practice of design and construction of raft foundation, IS 2950 (Part I), 198 1.
Foundation of Structures, Clarence W. Dunham, 2nd edition, 1962.
Foundation Engineering, Peck, Hansen, Thorburn, 1954.
Rafr Foundation, A.L.L Baker, 1965.
Foundation Design, Teng Wayne C, 1962.
International conference on planning and design of tall buildings, Le high University 1972 - System
and concepts foundation design -Technical Committee 11.
Foundation Design and Practice, Elwyn E. Seelye, 1956.
Foundation Design and Construction, M.J. Tomiinson, 4th Edition, 1980.
Foundation Engineering Handbook, Hans F. Winterkorn and Hsai - Yang Fang, 1975.
Handbook of Concrete Engineering, Mark Fintel, 1974.
Foundation Analysis and Design, Joseph E, Bowles, 2nd Edition, 1977.
Design of combined footings and mats, ACI Committee 336, ACI Journal October, 1966,
Revalidated 1980.
Some Aspects of Interactive Structural Design, F. Sawko and R.J. Cope, The structural engineer,
June 1974.
Some recent foundation research and its application in Design, Meyerhof, The Structural Engineer, 1953.
Reinforced Concrete Designers Handbook, Reynold Charles E & Steedman James C, 9th Edition, 1981.
Building code requirements for reinforced concrete, ACI 318, 1977.
Structural Failure in Residential Buildings, Schild. Oswald, Rogier, Schwciket, Schn A Puuff, Vol 111,
Basements and adjoining structures.
Method of determination of modulus of subgrade reaction (K Value) of soils in field, IS 9214, 1979.
Method of tests for soils, Part XI, Determination of shear strength parameters of specimen tested in
unconsolidated undrained triaxial compression test without the measurement of pore water pressure,
IS : 2720 (Part XI), 1971.
RAFr FOUNDATIONS-DESIGN AND ANALYSIS

Method of test for soils, Part XII, Determination of shear strength parameters of soil from consolidated undrained triaxial test with measurement of pore water pressure (first version), IS : 2720
(Part XII) 1981.
Soil Engineering in Theory and Practice, Prof. Alam Singh, University of Jodhpur, 2nd Edition, 1986.
"Raft Analysis and Design, Some practical examples", J.A. Hooper, The Structural Engineer,
August 1984.
"Bending of Beams Resting on Isotropic Elastic solids", A.S. Vesic, Jounurl Engineering Mechanics
Division, ASCE, Vol87 EM2, April 1961.
"Estimating the settlements of foundations on sand ALPAN", I, Civil Engineering and Public Work
Review, London, Vol. 59, November 1964.
Foundation Design and Construction,M.J. Tomlinson, 5th Edition, 1986.
Handbook of Concrete Engineering, Mark Fintel, 2nd Edition, 1986.
Foundation Engineering Handbook, Hsai Yang Fang, 2nd Edition, 1991.
"Building code requirement for reinforced concrete", ACI 318,1989 (Available in ACI manual 1993).
Reinforced Concrete Designers Handbook, Charles E. Reynold and James C. Sleedman 10th Edition, 1988.
Suggested Analysis and design procedure for combined footings and mats, Report of ACI committee
336 DOC NO. ACI 336 2 R 88, (available in ACI manual 93)
Foundation Analysis and Design, Joseph E. Bowles, 4th Edition, 1988.
"Geotechnique Today", Proceedings of Indian Geotechnical Conference 1992, Calcutta, December
18-2Oth, 1992.
Thirteenth international conference on soil mechanics and foundation engineering, Delhi,
January 1994.
Design of Foundation Systems, N.P. Kurian, Narosa Publishing House, New Delhi, 1993.
Proceedings of eleventh international conference on Soil Mechanics and Foundation Engineering, San
Francisco, 1988.
Pile Foundation Analysis and Design, H.G. Poulos and E.H Davis, 1980.
Soil structure interaction. The real behaviour of structures, Institution of Structural Engineers, The
Institution of Civil Engineers, UK. International Association of Bridge and StructuralEngineers, 1989.
APPENDIX
ILLUSTRATIVE EXAMPLES*
A.l

-

Example One: Conventional Rigid Method Combined Footing Approach

Details of this method have been given in para 7.3.1 on page 55. The principles involved have also been
explained therein. Though this method is recommended practically in every reference in Chapter 4, details are
explained by 'Teng' in reference 7.

A.1.1 Exampk Selected
This is an 8-storeyed residential building consisting of 4 flats on each floor. Details are already given in para
7.1.1 page 39. Please see Fig. A. 1.1 for the ground floor of the building. This case is covered by guidelines
Para 12.2 page 87, Safe bearing capacity for individual footings was not enough to carry the loads of the
structure. The decision was therefore taken to have a raft foundation. Detailed soil investigations were got
)The
conducted and information in this connection is available in para 7.1.3 (page 3 . bore log is given in
Fig. 7.4 on page 42. The recommended bearing capacity was 1.5 kg per sq.cm. at a depth of 2.5 metres. Central
core of this building (Example 2 of study 1) is considered for illustration.

A.1.2 Joints in the Rafr
The overall dimensions of the building are about 50 metres x 50 metres with 4 flats projecting from the central
core and attached with it by very weak connection through the approach corridor. The structural system for
the superstructure required expansion joint separating the 4 flats from the central core. Since there was no
basement it was decided to continue the joint into the raft. The location of the expansion joints has been marked
in Fig. A.1.1. Super-structure for central core was analyzed on 3 dimensional building system computer
program taking into account the earthquakeload by seismic coefficient method. The vertical loads on columns
of central core are shown in Fig. 7.2 on page 40,Efforts were made to make the centre of gravity of the load
system to coincide with the centre of gravity of the raft by extending raft beyond the edge line in two directions,
but this could not be achieved fully and some eccentricity remained.

*

Design of reinforced concrete members in these examples has been carried out as per Indian standards. Designers in
other countries can follow the correspondingprovisions of their codes if those happen to be different.
RAFT FOUNDA-I'IONS-DESIGN AND ANALYSIS

TYPICAL FLOOR, PLAN
Fig. A. 1.1
A.1.3 Preliminaly Design, ie., Thickness of Raff

The thickness of raft is worked out on the basis of punching shear as per calculations below.
Consideration is also to be kept in view that column bars are able to have full development length in
compression vertically embedded in raft so that load transfer can take place. If raft is not of sufficient thickness
for this consideration, pedestals can be added.

Checkfor Punching Stress: (All dimensions are in mm)
Maximum column load = 2230 KN.
Effective Depth of raft slab = d
93

APPENDIX-ILLUSTRATIVE EXAMPLES

Check for punching stress at critical section taken at d/2 from column face (C1. 33.2.4.1(b) : I.S. 456- 1978)
Perimeter of critical section

=2(700+d+400+d)=2(1100+2d)
Total resisting area

= 2d(1100+24

Permissible shear stress

=

KsT (C1 30.6.3.1 - 1.S : 456 - 1978)
,

Punching Stress

I

Adopt overall depth of 1200 mm . This will be sufficient for vertical compression development length of
25mm dia column bars.
A.1.4 Anuiysis a a Whole
s

I

I

1

II
I

According to the method raft is first to be analysed as a whole in the two direction modelling it as a large beam
member with point loads from top. The location of these point loads is along the centre llne of the columns.
Magnitude of loads is obtained by totalling all the columns loads in each row perpendicular to the length of
the beam. Upward load on this beam is obtained by multiplying the soil pressure with the width perpendicular
to the team length. The equivalent beam obtained along the length of the raft is shown in Fig. A. 1.2. W~dth
of
this beam is varying and is also shown in the figure.
Calculations for the centre of gravity of the load and centre of gravity of the area are carried out as below
and it is seen that there is eccentricity of 218 mm.
This leads to variation in pressure distribution below the raft.
Further calculations are therefore required to be done considering this

'

Calculation of eccentricity along Y -Yaxis

A.1.4.1

I

A.1.4.2

C.G of Area = C Ai yi tZAi (about point B)
Area = C Ai = (7.5 x 2.35) + (10.66 x 8.275) + (6.09 x 6.45)
= 145.117 m2
C A i y, = (7.5 x 2.35 x 15.9) + (10.66 x 8.275 x 10.5875) + (6.09 x 6.45 x 3.925)
= 1340.8564 m3
C.G of Area from point B = 1340.85641145.117
RAFT FOLINDATIONS-DESIGN AND ANALYSIS

Fig. A. 1.2
C.G of Load = CPi yi/C Pi (About Point B)
Z Pi = 18852 KN = Total Load
C Pi yi = 2386 x 2.2 + 220 x 3.6 + 2415 x 6.15 + 400 x 6.3 + 3931 x 8.425
+ 2549 x 8.575 + 6951 x 14.375
= 178310.43 KNm
C.G of the load from Point B
= 17831.043/1885.2 = 9.458 m
Eccentricity = 9.458 - 9.24 = 0.218 m
Moment = Me = Load x eccentricity
= 18852.0 x 0.218
= 4121.15 KNm
Upward pressure = Load1Are.ak Me y 1,
1
1 = 6.09 x 6.453112+ 6.45 x 6.09 x (9.24 - 6.45t212+ 10.66 x 8.2753112+ 10.66 x 8.275
,
(8.27512 - 2.79)2 + 7.5 x 2.353/12 + 7.5 x 2.35 (2.3512 + 5.485)2
= 136.18 + 1421.1 +503.36 + 160.21 + 8.11 + 781.80
= 3010.76 m4
P,, = Load1Are.a f My 1,
1
= 18852l145.117 + 4121.15 x 7.83513010.76
= 129.9 + 10.72
= 140.6 K N / at point A, i.e., extreme left
~ ~
Pressure at any point on the beam at a distance y form C.G area (in KN/m2)
APPENDIX-ILLUSTRATIVE EXAMPLES

Fig. A.1.3 Pressure load diagram for the idealised beam (KNlm)

o

=

(CPJCA, + Myll,)

= 188521145.117+ 4121.15 x ~13016.76)
= 129.91 + 1.37 y

A.1.4.11

A.1.4.12
A.1.4.12.1
A.1.4.12.2

A.1.4.12.3

Pressure from this equation and consequent loading at each point of columns and mid point of
the span is calculated and shown in Table A.l.l and Fig. A.1.3. Moments are then calculated by
simple statics using data in Fig. A. 1.2 and Table A.1.3.
Check Total Load
= (1054.7534 + 1030.6283)12 x 2.35 + (1464.8663 + 1344.1219)12 x 8.275
+ (767.88955 + 714.12221)/2 x 6.45
= 2450.3233 + 11622.2189 + 4779.4879
= 18852.029 Say 18852 KN
Moment: Taking top tension as positive
Moment : At point N = 0.0 KNm
Moment : At point M =

- 1728.17 - 14.79 = - 1742.97 KNm
or
- 286.20 KNm /m for a width of 6.09 m
Moment at point L
= 2386 x 0.7 - (738.29 + 714.12 x 2) x 2.g2/6
= 1670.2 - 3036.76
= - 1366.56 KNm
or - 224.39 KNrnIm for a width of 6.09 m
RAFT FOUNDAT1ONSDESIGNAND ANALYSIS

Table A.l.l
Point
A

B
C
D
E
F
G
H
I
J
K
L
M
N

Y
+ 7.835171
+ 5.485171
+ 5.135171

+ 2.235171
- 0.664829
- 0.814829
- 2.789829
- 2.939829
- 3.089829
- 4.364829
- 5.639829
- 6.339829
- 7.039829
- 19.239829

o (In KN/MZ)
Pressure
140.63379
137.4171
136.93802
132.96848
128.99895
128.79363
126.09024
125.88492
125.6796
123.93437
122.18914
121.23098
120.27282
117.26145

in metres

Loading in KN/m
fw X a)

7.5
7.5 110.66*
10.66
10.66
10.66
10.66
10.66 16.09*
6.09
6.09
6.09
6.09
6.09
6.09
6.09

1054.7534
1030.62831 1464.8663
1459.7
1417.44
1375.12
1372.94
1344.121767.88
766.63
765.38
754.76
744.13
738.29
732.46
714.12

W d h of slab (w)
it

*At this section raft has two w d h .
its

A141.
...24

A1415
...2

A141.
...26

A141.
...27

A141.
...28

Moment at point K
= 2386x 1.4- (744.13 + 2 x 714.12) x 3.62/6
= 3340.4 - 4692.33
= - 1351.93 KNm
or - 221.I99 KNmIm for a width of 6.09 m
Moment at point J
= 2386 x 2.675 + 220 x 1.275 - (754.76032 + 2 x 714.12221)/6 x 4.8752
= 6382.55 + 280.5 - 8646.7453
= - 1983.6953 KNm
or - 325.72993 KNmlm for a width of 6.09 m.
Moment at l
= 2386 (3.950) + 220 x 2.55 - (765.38875 + 20 x 71.412221)/6 x 6.15~
= 9424.7 + 561.0 - 13828.115
= - 3843.4151 KNm
or - 63 1.10264 KNmIm for a width of 6.09
Moment of H
= 2386.0 x 4.10 + 220.0 x 2.70 + 2415 x 0.15 - (766.63915 + 2 x 714.12221)/6 x 6.30~
= 9782.6 + 594.0 + 362.25 - 14519.155
= 3780.3048 KNm
or 620.73971 K N d m for a width of 6.09 m
Moment of Point G
= 2386 (4.25) + 220 (2.85) + 2415.0 (0.30) + 400 x 0.15
- (767.88956 + 2 x 714.12221)/6 x 6.452
= 10140.5 + 627.0 + 724.5 + 60.0 - 15227.444
= - 3675.444 KNm
APPENDIX-ILLUSTRATIVE EXAMPLES

A.1.4.12.9

A.1.4.12.10

A.1.4.12.11

A.1.4.12.12

A.1.4.12.13

A.1.4.12.14

A.1.4.13

or - 603.52 118 K N d m for width of 6.09 m
or - 344.78837 KNmlm for width of 10.66 m
Moment at point F
=2386x6.225 + 2 2 0 ~ 4 . 8 2 5
+2415x2.275 +400x2.125
= 14852.85 + 1061.5 + 5494.125 + 850 - 24665.906 - 2640.1926
= - 5047.62366
or - 473.5 106 K N d m for 10.66 m width
Moment at point E (Taking moment from L.H.S)
= 6951.Ox 5.80-2.35 ( 2 x 1054.7534 + 1030.6283 x2.35 + 6.15 )1(105.47534 + 103.56283)'
x 208.5381712
= - (2 x 1464.8663 + 1375.1288)16 x 6.15~
= 403 15.8 - 17959.722 - 27 136.77 = 4780.6921 KNm
or - 448.47017 KNmIm for width of 10.66 m
Moment of Point D
= 6951 x 290 - (2085.381 7)12 x 2.35 (1 1.795311 + 3250)
= - (2 x 1464.8663 + 1417.444)16 x 3.25*
- .
= 20157.9 - 10853.784 - 7652.8421
= 1651.2739 KNm
or 154.9037 K N d m for width of 10.66
Moment at point C
= - 2082.581712 x 2.35 (1.1795311 + 0.35)
= - (2 x 1464.8663 + 1459.7593)16 x 0.35~
= - 3747.846 - 89.618793
= - 3837.4648 KNm
or - 359.98732 KNmlm for a width of 10.66 m
Moment at point B
= - (2 x 1054.7534 + 1030.6283)16 x 2.352
= - 2890.2327 KNm
or - 385.36436 KNmIm for width of 7.5 m
= - 271.12877 K N d m for width of 10.66 m
Moment at Point A
= -714.12221 ~ 6 . 4 5
(6.4512+ 10.625 ) - [767.88955-714.12221)12~6.45 [6.4513 + 10.6251
- 1344.1219 x 8.275 [8.275/2 + 2.351 - [1464.8663- 1344.1219y2 x 8.275 [8.27513 + 2.351
- 1030.628 X 2.35 [2.35/2] -[1054.75- 1030.6233y2 [2.35/3] + 6951 x 2.70 + 2549 [5.80 + 2.701
+3931 [0.15+5.80+2.70] +40[21.25 +0.15 +5.80+2.70]+241.5 [0.15+2.125+0.15
+ 5.80 + 2.701 + 22 [2.55 + 0.15 + 2.125 + 0.15 + 5.80 + 2.701 + 238.6 r1.40 + 2.55 + 0.15
+ 2.125 + 0.15 + 5.80 + 2.701
= -63794.322- 2215.181-72157.924 -2552.021 -2845.822- 09.450 + 18767.70 + 21666.50
+ 34003.15 + 4310.0 + 26383.875 + 2964.5 + 35491.75 - 143574.72 + 143587148
= + 0.991
= 0.00
This check is necessary to see that over all calculations are correct.
The bending moment diagram for M for raft as a whole is shown in Fig. A.1.4.
,
98

RAFT-FOUNDATIONSDESIGNAND ANALYSIS

Fig. A.1.4 Bending moment M, for raft as a whole

A.1.4.14

Similar calculation are carried out for raft as a whole in short direction for MIT.The large beam
member is shown in Fig. A.1.5 eccentricity in this direction is found to be 31mm only. Loading
diagram is shown in Fig. A.1.6. Bending moment diagram is shown in Fig. A.1.7.

Fig. A. 1.5 Idealised beam for raft as a whole in short direction
APPENDIX-ILLUSTRATIVE EXAMPLES

2-

$

bb

$

1 .
- 9

g

Z Z Z g

N ( U N ( U

OD
0

a
!
0

(r
I

2

2

"

rn
9
0

;

" "
ma,

a

-

a,

(U

a
,

8
*a,

*

LO

g$g

LO

!

g

m

m
v
,

6

2

*ru

s

4

'Q

a
,

4

1

Fig. A. 1.6 Pressure loading diagram for idealised beam for raft on a whole in short direction

EXAMPLE 2

Fig. A. 1.7 Bending moment diagram M,T raft as a whole short direction (Top tension as +ve)

A.1.4.15

Final result for raft as a whole
Max + ve, Min. + ve, Average + ve, Max - ve, Min. - ve and average -ve values for M, and M,,.
for raft as a whole are calculated and shown below for proper appreciation
M, Maximum +ve = 154.9037 KNm for width 10.66 m - occurs only at one point
M, Minimum +ve insignificant
M, Maximum - ve = - 631 .lo26 KNm
M, Minimum - ve = - 221.9922 KNm
M, Average - ve = - 416.4559 KNm
RAFT FOUNDATIONS-DESIGN AND ANALYSIS

M,, max +ve value = 78.21 KNMlm
M;;. min +ve value = 14.40 KnmJm
M;:, avg +ve value = 51.70 K N d m
M;,max -ve value = - 87.75 KNm/m
M;;, min -ve value = - 12.41 KNm/m
M,, avg -ve value = - 37.30 K N d m
..
A.1.5 Division of Rafi into Strips
This raft is divided into strips in both the directions as shown in Fig. 7.10, page 57. Normally strips are taken
from centre line to centre line of bay, but sometimes this rule cannot be followed and a judgement has to be
made taking column locations into account. Such exceptions are evident in this figure.
A.1.6. Analysis of Rafi Strips-wise for M,and Myy
Large beam members.with their corresponding width in respect of strips are shown in Figures A. 1.8 to A. 1.16
- for strip no. 1 to strip no. 9 respectively. There is possibility of strip no. 6 , 7 , 8 to behave as an independent
part and, therefore, this combination is also idealised on a large beam and is shown in Fig. A.1.17 .
Calculations for each strip or combination of strip is carried out in the same manner as done for raft as a
whole without reference to other strips. Each strip is considered as a combined footing carrying the loads from
columns in that strip, eccentricity of column loads C.G. with reference to footing area C.G. determined, BMS
worked out by simple statics. These values are decreased by 30% to allow for effect of continuity with other
strips. Calculations for strip no. 1 for My, and strip no. 9 for M, are shown below :
A.1.6.1
Strip No. 1 (see Fig A . I . ~ )
A.1.6.1.1
Total load on beam = C Pi = 6951 KN
A.1.6.1.2
Area of beam = 3.275 x 1.58 x 2 + 5.625 x 7.50 = 52.536 m2
A.1.6.1.3
C.G. of the area from point K = CAI Xi
/Ai

1.58

1

7.50

I

Fig. A. I .8 Strip No. 1 Myy

I

1.58
APPENDIX-ILLUSTRATIVE EXAMPLES

Fig. A. 1.9 Strip No. 2 M?,

Fig. A. 1.10 Strip No. 3 MD

= 5.33656 m from point K
RAFT FOUNDATIONSDESIGNAND ANALYSIS

Fig. A. 1.1 1 Strip No. 4 Myy

Fig. A.1.12 StripNo. 5 M ,

A.1.6.1.5
A.1.6.1.6

Eccentricity = 5.336 - 5.33 = 0.006 m
Moment due to eccentricity Me = P, x e
Me = 6951.0 x 0.0065645 = 4562 KNm
I

APPENDIX-ILLUSTRATIVE EXAMPLES

fe

Fig. A.1.13 Strip No. 6 M
,
Z
Y

t
A.1.6.1.7

A.1.6.1.8

Z

Y

Fig. A.1.14 Strip No. 7 M
,

3.275 x (1.58)'/12 + 3.275 x 1.58 x 4.54 + 5.625 x (7.50)~ + 5.625 x 7.5 x 0 + 3.275
I12
x (1.58)~/12+ 3.275 x 1.58 x 4.54
= 246.831 3 m4
Pressure at any point on the beam at a distance y from C.G. of the area in K N / ~For. pressure
~
calculations see table A. 1.2.

I,=
RAFT FOUNDATIONS-DESIGN AND ANALYSIS

Fig. A. 1 .I 5 Strip No.8 Mu

Fig. A.1.16 Strip NO.9 Mu
I

APPENDIX-ILLUSTRATIVE EXAMPLES

Fig. A.1.17 Strip No. 6, 7, and 8 combined 11
2,

p -c
i

Me

Y

~ = [Iq ,]
A.1.6.1.9

Pressure loading diagram is given in Fig A. 1.18

Fig. A. 1.18 Pressure loading diagram of idealised beam for strip No. 1
RAFT FOUNDATIONS-DESIGNAND ANALYSIS

A.1.6.1.11

r--

Moments Taking top tension as positive
Moment at point K = 0.0 KNm
Table A.1.2

Point

a ( K N / ~ ~ ) Width of strip ( W ) in m.

Loading in KN/m (0 x w )

Pressure

*Smaller width of sectionnargerwidth of section.

A.1.6.1.12

A.1.6.1.13

A.1.6.1.14

Moment at point J
= - (430.08263 x (0.74)~)/2+ (0.44792 x (0.74)~)16
= - 117.7975 KNm
or - 35.97 KNm/m for a width of 3.275 m
Moments reduced by 30 % = - 82.458 KNm
or - 25.17 K N d m for a width of 3.275 meter
Moments at point I
= 1143 x 0.84 - 430.08 x 1. ~ 8 ~ - 2
1 0.956 x 1.5g216
= 422.89 KNm or 129.12 K N d m for a width of 3.275 m
Moments reduced by 30 % = 296.02 KNm or 90.389 K N d m for a width of 3.275 m
Moment for a width of 5.625 m = 75.18 KNm lm
Reduced by 30% = 52.63 K N d m
Moment at point H
= 1143 x 1.255 - 430.08 x 1.58 x 1.205 - 740.33 x 0.415~12 0.43 x 0.415~16
, - 0.956 X 1.58 X 0.94112
= 549.73 KNm
or 97.73 KNrnJm for a width of 5.65 m
Moments reduced by 36% = 384.81 KNm
or 68.41 KNm/m for a width of 5.65 m
APPENDIX-ILLUSTRATIVE EXAMPLES

A.1.6.1.15

107

Moment at Point G
= 1 143 x 2.5 1 - 430.08263 x 1.58 x 2.46 - (0.09563 x 1.58)12 x 2.1966667 - (740.33409
x (I .67)')12 - 1.73616 x ( I .67)'16
= 159.14 KNm

A.1.6.1.16

or 28.89 KNmIm for the width of 5.65 m
Moment reduced by 30% = I 11.39 KNm
or 19.80 KNmIm for a width of 5.625 m
Moment at point F

A.1.6.1.17

or 21 1.48 K N d m for a width of 5.65 m
Moment reduced by 30 % = 832.698 KNm
or 148.03 K N d m fcr a width of 5.625 m
Moment at point E

= 42.76 KNm

A.1.6.1.18

or 7.60 K N d m for a width of 5.625 m
Moment reduced by 30% = 29.93 KNm or 5.32 K N d m for a width of 5.625 m
Moment at Point D
= 1564 x 1.43 - 435.578 x 1.58 x 1.79 - 0.956 x 1.58 x 2.0512 - 747.09 x 1212- 1.04 x l213
= 629.17 KNm

A.1.6.1.19

A.1.6.1.20

or 111.85 KNdn'i for a.width of 5.625 m
Moment reduced by 30 %= 440.42 KNm
or 78.29 K N d m for a width of 5.625 m
Moment at Point C
= 1564 x 0.43 - 435.578 x 1.58212- 0.956 x 1.58213
= 128.03 KNm
or 39.09 K N d m for a width of 3.275 m
Moment reduced by 30 %= 89.62 KNm
or 27.366 K N d m for a width of 3.275 m
Moment for a width of 5.65 m = 22.76 K N d m
Moment reduced by 30% = 15.93 KNrnIm
Moment at Point B
= - 435.578 x 1.15~12
-0.696 x 1.15~13
= - 288.50 KNm
or - 88.09 KNmIm for a width of 3.275 m
Moment reduced by 30 %= - 201.95 KNm
or - 61.66 KNmIm for a width of 3.275 m
RAFT FOUNDATIONS-DESIGN AND ANALYSIS

Table A.13 Final Reduced Moments
Point

Moment (KNm)for strip
as a whole

Moment (KNm/m)permetre
width of strip

1

Moment at Point A
= 1564x 1.15 +2230x4.01 +2014x7.41+ 1143~9.92-435.578~
1.582L2-~.956x 1.58~16
- 7 4 0 . 3 3 ~ 7 . 5 ~ 5 . 3 3 - 7 . 7 9 6 ~ 7 . 5 ~ 4 . 0 8 D - 4 3 0 . 0 8 ~5 8 ~ 9 . 8 7 - 0 . 9 5 6 ~
1.
1.58X9.6OD
= 0.0
Final Reduced moments are shown in Table A.1.3
(See Fig A.1.16)
Strip No 9 MIX
Total load on the beam = 2309.0 KN = CPi
Area of the beam
= (8.275 x 2.29) + (2.35 x 0.7 1)
= 20.6182 m2
C.G of the area from point F = CA, Xi ICA,
CA,X, = 0.71 x 2.35212+ 2.29 x 8.275 x 6.4875
= 124.897
CAi Xi ICA, = 124.897L20.618 = 6.05759 m from point F
C.G. of load from pt. F = CP,X/cPi
ZP,Xi = 1143 x 2.7 + 1166 x 8.5 = 12997.1 KNm
ZPi Xi ICP, = 12997.112309 = 5.62887 m from point F
Eccentricity (e) = 6.05759 - 5.62887 = 0.4287 m
Moment due to eccentvicity Me= Pi x e
= 2309 x 0.4287 = 989.88 KNm
1, = (0.71 x 2.353112) + (2.35 x 0.71 x 4.882) + (2.29 x 8.2753112) + (2.29 x 8.275 x 0.4299~)
= 152.179 m4
Pressure at any point on the beam at a distance y from C.G. of the area (in KNlm2 )

These values for this strip are shown in Table A. 1.4.

I

a
109

APPENDIX-ILLUSTRATIVE EXAMPLES

Table A.1.4

Point

Y

CJ in

KN/~*

W d h of strip ( w ) in m
it

'

Loading in K N m h
( 0 x w)

A

- 4.567

82.27

2.29

188.417
220.07

- 2.442

96.10

2.29

C

0.457

1 14.96

2.29

263.27

D

3.357

133.82

2.29

306.46

E

3.707

136.10

2.29 10.7 1*

B

1

311.68196.63

* Larger width at section lsmaller width at section

Fig. A1.19 Pressure diagram for the idealised beam. Strip No. 9

A.1.6.2.9
The pressure loading diagram for the idealised beam is (in ICIV/m2 ) is shown in Fig. A. 1.19.
A.1.6.2.10 Moments taking top tension as +ve
A.1.6.2.11 Moment at point F = 0.0 KNm
-A.1.6.2.12 Moment at point E
= - (96.63 x 2.352/2) + (10.8 x 2.35213)
= - 286.81 KNm or - 403.959 K N d m for a width of 0.71m
Moment reduced by 30% = - 200.767 KNm or
= - 283.77 KNrn/m for a width of 0.71 m
Moment for a width of 2.29 m = - 125.244 KNmlm
~ o m e nreduced by 30% = - 87.67 K N d m
t
A.1.6.2.13 Moment at point D
= - (96.63 x 2.35 x 1.525) - (10.853 x 2.35 x 1.9112) - (306.46 x 0.35~ - (5.21 x 0.35~13)
12)
= - 389.74 KNm or - 170.19 K n d m for a width of 2.29 m
Moment reduced by 30% = - 272.8 1 KNm or
= - 119.13 K N d m for a width of 2.29 m
110
A.1.6.2.14

A.1.6.2.15

A.1.6.2.16

A.1.6.2.17

RAFT FOUNDATIONS-DESIGNAND ANALYSIS

Moment at point C
= 1166 x 2.90 - 188.417 x 5.025~12 74.85 x 5.025~16
= 687.55 KNm or 300.24 KNdm for a width of 2.29 m
Moment reduced by 30% = 48 1.29 KNm or
= 210.17 KNmIm for a width of 2.29 m
Moment at point B
= - (188.42 x 2.125~12 3 1.65 x 2.125~16)
+
= - 449.23 KNm or - 196.17 KNrn for a width of 2.29 m
Moment reduced by 30% = - 314.46 KNrn or
- 137.32 KNdm for a width of 2.29 m
~ o m e nat point A
t
= 1166 x 2.125 + 1143 x 7.925 - 188.42 x 8 . ~ - 123.26 x~8.2752/3
5 ~
- 96.63 x 2.35 x 9.45 - 10.85 x 2.35 x 9.84D
= 0.0 KNrn
Final Moments are shown in Table A.1.5.
Table A.1.5
Point

Per unit width
Moment K N d m

A

A.1.6.3

Total strip
Moment KNm

0.0

0.0

Similar analysis is canied out for all the remaining strips

A.1.7 Overall Bending Moments

Values of Bending Moments M and M obtained from analysis of raft as a whole and strips are shown on
,
,
the raft plans in Fig. A. 1.20 and A. 1.21 respectively.
,
It would be seen from that figures that Maximum + ve B.M. M if 154.5 KN metre per metre width at the
centre of columns in grid line 1 and 2 with higher values of 280 and 210 in ship nos. 5 and 9 respectively.
,
Maximum - ve M is - 603 KNm per metre width below columns in grid line 5 for raft as a whole. This
value becomes 1337 in strip no 8 under columns F3. Thus in the long direction reinforcement at bottom of raft
corresponding to B.M. value of 600 KN metre can be provided with additional bars under column F3 in the
width of strip no. 8.
Normally 50% reinforcement is provided on the other face. This will correspond to 300 KN metre and will
be sufficient to care of positive M
.
,
Similarly design value of M can also be selected and reinforcement provided.
,
APPENDIX-ILLUSTRATIVE EXAMPLES

X
9

(
F

;:gzx

-.

t , l - ! &

8:-

Q)

.
,
m

a

a
3

u,$

n

B
"
4,

l
-

" n a
>;.I
I

C LC.
0 0

.sc

;! 5 ."S
-: " E . 5
1 ,

2:

9 0

m u , , -

l

a

O "

a;:

0 9

W

" E

m 0

s:
"
,

0

.g:
> ,,3 w a 3
~ > a
a
,
2

b :

t

-

a

-

3

3

;;i 2 2
Y g ' s2 g A .3 2
J m

V

o m

!: e
o
!
C


u
,

0

a

.cs
s e
s

LC.
112

RAFT FOUNDATIONS-OESIGNAND ANALYSIS

U

RAFT SLAB
THICKNESS
= 1200MM

0 MOMENT VALUES AT SMALLER WIDTH OF SECTION
0 MOMENT VALUES AT LARGER WIDTH OF SECTION

ALL VALUES ARE I N KN-M

PER M WIDTH

Fig. A. 1.21 Values of Myy. Values of individual strips reduced by 30%. [ I values for faft as a whole

A 2 Example 2: Flexible R f - Beam on Elastic Foundation
.
at
Flexible approach is explained in para 5.2 on page 22. Ideally the raft should be designed as flexible plate
supported on elastic foundation taking soil as a continuum. This however requires large amount of data about
the soil properties and very large computational effort. Concept of raft supported on elastic springs with a
spring constant determined using coefficient of subgrade reaction, i.e., 'Winkler's model, is a simplification
I

APPENDIX-ILLUSTRATIVE EXAMPLES

I
.

tI

of this method. This is further simplified when instead of analysing the raft as a plate it is analysed as a
combination of beams on elastic foundation. The basic principles used in rigid method, i.e., first analysing the
raft as a whole-in both the directions by converting into a laige beam to give lower bound values and then
analysing individual smps or combination of smps in both the directions to give upper bound values is extended
to flexible approach with the modification that instead of determining the bending moment in each beam by
simple statics, these are determined by treating each beam supported on suitably located springs having spring
constant determined on the basis of modulus of subgrade reaction and contributing area of raft for the spring.
For obtaining accurate results, these analysis are required to be repeated for varying values of modulus of
subgrade reaction. When it is not possible to take such an exercise, designing the raft as per the values of bending
moment determined in this analysis with a minimum valueof w12/10would normally give satisfactory safe design.

A.2.1 Example Selected

t

i

I

This is an eight storeyed office building with a basement having six blocks of varying height. The example is
already explained in para 7.4 and 7.4.1 on page 63.
This is a long building (length being about 80 metres) which isdivided into 15 spans. If this raft was analysed
by rigid method the bending moments will become very large and practically unmanageable. The recom~ ~
mended bearing capacity was 130 KN per sq. m. at a depth of 3.5 metres. A value of 11000 K N / was
suggested for modulus of subgrade reaction. This case is covered by para 12.5 of the guidelines.

1i

A.2.2 Joints in the Rajl

rI

i

/

A plan of the building is shown in Fig. A.2.1. Joints r e q u i ~ d be provided in superstructure to take into
to
account the thermal and seismic effects are shown in this plan. Since the building has a basement under all the

I

I

'1

aoJe

I

EXPANSION JOINT

EXPANSION

Iv

I/4INT
TTT

I

I

(ALL

DIMENSIUNS ARE IN M>

Fig. A.2.1 Plan with position of expansionjoint
114

RAFr FOUNDATIONSDESIGNAND ANALYSIS

blocks expansion joints were not extended into the raft in eight storeyed portion. Joints between two storeyed
and eight storeyed were extended into the raft and treated properly. This could be done as subsoil water level
was low and some earlier constructed building in the same vicinity having joints in the basement had given
satisfactory performance. The building size is so large thatanalysing the entire building as a plate would require
very large computational effort. For the purpose of design, raft under 8 storeyed portion is treated separately
from the raft under two storeyed portion.
A.2.3 o p e of Raftto be adopted
The raft could be slab of uniform thickness or a beam and slab construction. In this case design was done
utilising beam and slab construction with beams projecting upward. Details of the design are already mentioned
in para 7.4. However for the purpose of this example the method as indicated in para A.2 above is adopted.
Raft for the eight storeyed portion is shown in Fig. A.2.2. Loads on each column are also shown in this figure
on right hand side of column number.
A.2.4 Determinution of Preliminary Sizes
A3.4.1

Calculation o bearing pressure
f
Total load on the raft (summation of all column loads)
Total area of the raft
Bearing pressure

= 225300 KN

= 80.855 x 24.03
= 1942.95 = 1943 m2
= 22530011943
= 115.95 = 116 K N / ~ '

Assume a bearing pressure of 120 K N / (= w)
~ ~
A.2.4.2
Determination o depth of slab
f
Assume width of beam as 1000 mm in both the directions
Consider the panel defined by nodes 30 - 3 1 - 36 - 35 - Fig A.2.2(A)
I, = Short span of the panel = 5.714 m
1 = Long span of the panel = 7.01 m
,
Effective span lx.em = 5.714 - 1.0 = 4.714 m
lJf,,, = 7.01 - 1.0 = 6.01 m
1,/1, = 6.01 14.714 = 1.275 (< 2 . slab is to be designed as a two way slab)
:
Negative moment per unit width at continuous edge = M,
= ai w l,.,m2 (cI 36.1.2 table 22 IS 456 : 1978)
,
w, = factored load per unit area, i.e. = 1.5 x w
= 1.5 x 120 = 180 K N / ~ ~
M, = 0.046 x 180 x (4.714)'
= 183.9965 KNm
or, F&= 15 ~/m'andf,=415 ~ / m '
~,,,,,,/bd2= 2.07 (Table D, page 10 , SP 16 : 1980)
Assuming a balanced section

Say overall depth of slab = 400 mm
SLAB THICKNESS =400mm
BEAMS ALONG X-X = I 0 0 0 X1200 mm
BEAMS ALONG Y-Y = I 0 0 0 X800 mm

mA

STRIPS SELECTED FOR ANALYSIS

( A L L D I M E N S I O N S A R E I N MM & COLUMN L O A D S I N KN)
Fig. A.2.2 Raft foundation
RAFT FOUNDATIONS-DESIGN AND ANALYSIS

SLAB THICKNESS = 4 0 0 m m
BEAMS ALONG X-X = I 0 0 0 X 1 2 0 b n
BEAMS ALONG Y-Y = I 0 0 0 XBOOln

(ALL DIMENSIONS ARE I N M 8 COLUMN LOADS I N KN)
M

Fig. A.2.2(A)

A.2.4.3

Transverse beam
Bending moment in beam K12 - L12 (see Fig. A.2.2(A) long direction)
Load per metre length on the beam from bearing area (a) - shown shaded in Fig. A.2.2(A)
assuming the raft as an inverted beam slab system.
w' (a) = w1,.(3 - m2)I6
where w = 120 KN/m2 bearing pressure
I = short dimension of the panel defined by nodes 30 - 31 - 36 - 35 - Fig A.2.2(A)
,
1 = Longer dimension of the panel
,
m = l,/l,
. .

Load perm length from bearing area marked (b) in Fig. A.2.2(A)
wjcb,= w1,.(3 - m2)/6
..
wherew = 120 ~ ~ lbearing pressure
r n ~
1 = short dimension of the panel defined by nodes 35 - 36 - 40 - 39
,
I,. = Longer dimension of the panel
m = I#,

1
I

APPENDIX-ILLUSTRATIVE EXAMPLES

Total load on beam
= w'(~)+ w'(~) = WT
= 266.91 + 256.29 = 523.2 KNIm
Effective span of beam = clear span = 1
= 7.01 - 1.0 = 6.01 m
(Assuming 1 metre as width of beam)
Bending moment = wT12110
= 523.2 x (6.01)~110
= 1889.8 KNm
Factored moment = 1.5 x 1890 = 2835 x lo6 Nmm
Assuming a balance section (where factored moment = Mulim
For fck = 15 ~ l r n m ~ = 415 ~ l m m ~
and&
~ ~ ~= 2.07 Nlmm (Table D,~
~ ~ l b d Page 10, SP 16:1980)
Assuming the width of the beam as 1000 mrn

-

d =

A.2.4.4

4

2835 lo6 = 1170rnm say overall 1200 rnm
loo0 x 2.07

Longitudinal Beam
Bending moment for beam L12 - L13 (Beam No. 63)
Load per m length on beam from bearing area marked (c) (shown shaded in Fig. A.2.2 (A))
w'(c) = wlJ3 = 120 x 5.25713 = 210.28 KNIm
where
w = 120 KN/m2
1 = Shorter dimension of panel defined by nodes 35 - 36 - 40 - 39
,
Load per metre length from bearing area marked (d) in Fig. A.2.2 (A)
w'(~) = w1/3 = 120 x 5.25713 = 210.28 KN/m
where
w = 120 IW/rn2
1, = Shorter dimension of panel defined by nodes 36 - 37 - 41 .- 40
Total load on beam, wT = w'(, + w'(&
= 210.28 x 2 = 420.56 KNlm
Effective span of beam = clear span = 1
= 5.257 - 1.O = 4.257 m
(Assuming 1 metre as width of beam)
Bending moment = wT 12110
= 420.56 x (4.257)2110 = 762.14 KNm
Factored bending moment = 1.5 x 762.14 = 1143.21 KNm
Assuming the width of the beam as 1000 mm
d=

Ij

143.21 lo6 = 743 mm Say overall depth 800 mm
1 O x 2.07
OO
118

RAFT FOUNDATIONS-DESIGN AND ANALYSIS

A3.4.5

Checkfor punching shear
The raft has beam and slab construction with columns located at intersection.Assuming provision
of a pedestal 2300 x 2300 mm, the column can be considered to be supported on a slab of uniform
thickness. In this pedestal column size = 610 x 610 mm
Perimeter of critical sections = 4 x (610 + 4
(As per clause 33.2.4.1 (b) - IS 456: 1978)
Maximum column load = 4707 KN
Factored load = 1.5 x 4707 = 7060.5 KN
Critical area resisting punching = 4 (610 + 4 x d
Permissible punching stress = K, T
,
(Clause 30.6.3.1 IS : 456 - 1978)
K, = (0.5+pc) : PC = 6101610 = 1
K, = 1.5 (> 1) : adopt K, = 1
.
T = 0.25
,
fd = characteristic strength of concrete
T = 0.25
,
0.968 N / I T ~ ~
Punching stress < Permissible stress

6

m=

which is less than 1.2 m depth of the pedestal already provided. If a punching shear calculation
is made to check the pedestal punching through itself it would be found to be safe.
As per above calculation raft therefore consists of beam and slab construction with 1000 mm x
1200 mm beam in the transverse direction and 1000 mm x 800 m m beams in the longitudinal
direction with a slab thickness of 400 mm. Under each column a pedestal is provided with its top
at 1200 mm level and projecting 650 mm on both sides of the beam as shown in Fig.A.2.2 (A).
A.2.5. Analysis as a Whole in Long Dirkction
The raft is converted into a large beam as shown in Fig. A.2.3. This beam rectangular in cross section has the
same width and rigidity as whole of the raft. Calculations for this conversion are as under.
Distance of N.A from

A - A = &Ii. &Ii
Xi
(Refer cross section)

= 0.257 m say 0.26 m
Moment of inertia a b u t N.A
APPENDIX-ILLUSTRATIVE EXAMPLES

+9
L

W

m

r

3

z
IY

w

m
r

w

I
:

A

I
I
1

'rO

'4

@

:4
.

3

11

?

N

%
ru
ro

'4

N
O

'4

N

'
.
a

m

N
a-

a

a?

N
-

A

'em

-4
N

+a

!-

2 (4
r

I
-

z

a
I
-

V)

.
.!-

+-

z

0
U

u
z
H

a

v
,
120

RAFT FOUNDATIONSDESIGNAND ANALYSIS

Equivalent beam with same width and I would have depth
,

Thus equivalent beam is 0.569 m deep and 24.03 m wide.
The various point loads on this beam are sum of all column loads in the line perpendicular to the length of
the beam at that point. Springs have been provided under each column and also at the mid point of span. More
number of springs can be provided but that much more of calculations get involved. Bending moment values
under columns and mid point of span are enough. Springs are also located at the two extreme ends. Calculation.
of spring constant are indicated below the figure. It would be seen that spring constant at the end of the raft
are doubled as recommended by Bowles. This is done to allow for the end effect expected in such rafts. The
problem is solved on electronic computer utilising a finite element approach. Portion of beam between the
nodes is treated as a finite beam element and the.values of bending moment shear force and pressure at each
node are obtained. This computer programme is such that values of SF and BM given are per metre width of
beam, i.e., the strip of the raft being analysed or raft as a whole. These are shown in table A.2.1.
Bending moment, shear force and pressure diagrams are also drawn in Fig. A.2.4. For Bending moment
only values are indicated at each node.
Table A.2.1 Table showing values of Shear Force, Bending Moment and Soil Pressure for the raft as

a whole in long direction
Node

1

1

Shear Force in KN

Lefi

Right

Moments KNm

Soil Pressure K N / ~ *

I
121

APPENDIX-ILLUSTRATIVE EXAMPLES

Node

Left
20
21
22
23
24
25
26
27
28
29
30
31
32
33

ll6a

106.980
116.349
134.040
138.899
145.371
133.947
126.611
11 1.848
106.799
99.622
101.312
98.377
105.381
107.410

- 1 10.908

262.874

- 30.803

- 30.803

2 10.468

- 360.065
- 1 2.364

346.55 1
- 12.364
392.640
25.338
327.233
13.660
265.549
- 5.895
273.322
10.731
160.102
0.001

- 272.932

- 386.178

25.338
- 317.295
13.660
- 273.860
- 5.895
- 270.123
10.731
- 257.21 0
0.001

I
-

- 16

1 . 2 1 3 4 1 5
0

Right

- 256.186

lTaP

Soil Pressure K N / ~ '

Moments KNm

Shear Force in KN

6 1 7

-

4 9

I

174.926
- 337.966
191.919
- 204.69 1
21 8.053
- 132.843
196.190
- 163.853
204.599

'

- 107.410
0.000

SHEAR FORCE DIAGRAM ( I N KN>
I7
n5

la4i

lOSB

174.9

I

1 ~ 1 n P W lh

I
LtO

m

unz
3lu

till

I

ua9
EOIL
m 9
337.9

BENDING MOMENT DIAGRAM ( I N KN-M)

S O I L PRESSURE DIAGRAM ( I N KN/Sq.M)

Fig. A.2.4 Force diagram for raft on a whole (Longer direction)

I

m7.4

l6aa

"
122

RAFT FOUNDATIONS-DESIGN AND ANALYSIS

A.2.6 Analysis as a Whole in the Short Direction

The equivalent beam in the short direction with same rigidity and width with calculation for spring constant
and the result obtained are shown in Fig. A.2.5 and Table A.2.2 respectively. Both these values are treated as
lower bound.
Distance of N.A from

A - A = U,CX,/ Ui
.
(Refer cross section)

Moment of inertia about N.A

Equivalent beam of same width and I, would have depth

Thus equivalent beam is of cross section 0.905 metre x 80.855 metre.

I
80.855 M
CROSS

SPRING CONSTANTS

SECTION

OF

SHORTER

BEAM

N-->

I
-

(N)-->

(NOTE)

NODE NO.
MEMBER NO.

- THIS

BEAM HAS A CROSS SECTIONAL AREA OF 3.877 M~
ALL DIMENSIONS ARE I N H.

Fig. A.2.5 Idealised beam for the raft as a whole in shorter direction and cross section of the beam
i
I

APPENDIX-ILLUSTRATIVE EXAMPLES

408373

4la674

SHEAR FORCE DIAGRAM ( I N KN)

BENDING MUMENT DIAGRAM ( I N KN-M)

SOIL PRESSURE DIAGRAM ( I N KN/Sa.M)

Fig. A.2.6 Force diagram for raft as a whole (Short direction)
Equivalent beam of same width and I would have depth
,

Thus equivalent beam is of cross section 0.905 metre x 80.855 metre.

I
124

RAFF FOUNDATIONS-DESIGN AND ANALYSIS

I

I
Table A.2.2 Table showing values of Shear Force, Bending Moment and Soil Pressure for the raft as
a whole in shorter direction
Moments KNm

Shear Force in KN

Node

Left
0.000
- 256.458
136.840
- 17.253
- 188.110
- 408.373
190.660
0.690
- 187.994
- 4 10.674
184.852
16.539
- I 36.160
-317.372
0.000

1
2
3
4
5
6
7
8
9
10
11
12
13
14
15

Right
0.000
318.806
136.840
- 17.253
- 188.110
416.659
190.660
0.690
- 187.994
401.459
184.852
16.539
- 136.160
256.0 13

0.000
- 254.580

126.530
235.046
66.058
- 434.278
80.579
233.985
82.997
- 424.934
66.848
222.973
124.816
- 254.268

Soil Pressure
KE!/~'
113.147
115.651
92.013
83.843
111.143
140.228
117.689
99.110
1 16.220
137.908
109.289
82.794
9 1.470
115.334
113.008

A.2.7 Analysis for a Strip in the Short Direction
The equivalent beam for the strip M7 - 57, shown in Fig. A.2.2, position of springs, spring constant and result
obtained are shown in Fig. A.2.7 Table A.2.3 and Fig. A.2.8 respectively. It would be noted that while analysing
this strip strings have been located at a closer interval as compared to long direction. This is not necessary in
each case. These are upper bound value and can be decreased by 30% for design. Calculations for determining
depth of equivalent beam, and spring constant, is not shown.

Table A.2.3 Table showing values of Shear Force, Bending Moment and Soil Pressure for the beam M7 - J7
Node

1

Moments KNm

Shear Force in Kn
Right
0.000
278.829
124.074
- 25.856
- 185.089
361.155
177.196
0.219
- 177.140
367.425
187.441
24.924
-.130.167
-217.629

' 0.000

Soil Pressure
KN/~*
APPENDIX-ILLUSTRATIVE EXAMPLES
2542 KN

3807 KN

SPRING CONSTANTS

/I

3836 KN

2678 KN

N-->

:-

K = 11000 X 5.257 X 1.7525 = 101341.8 KN/M

N D N .
OE O

(N>-->

M M E NO.
E BR

<ALL DIMENSIONS ARE IN U.)

Fig. A.2.7. Idealised beam for strip M7-J7

I

I

SHEAR FORCE DIAGRAM FOR BEAM 'M7-J7'

BENDING MOMENT DIAGRAM FOR BEAM 'M7-J7'

( I N KN)

( I N KN-M)

SOIL PRESSURE DIAGRAM FOR BEAM 'M7-J7'
( I N KN/Sq.l
Fig. A.2.8 Force diagram for idealised beam for strip M7-J-7

I
126

RAFT FOUNDATIONS-DESIGN AND ANALYSIS

A.2.8 Analysis of a Strip in the Long Direction
Strip L5 - L20 shown in Fig. A.2.2 is idealised as a long beam as shown in Fig. A.2.9 . Bending moment shear
force and pressure diagram are indicated in Fig. A.2.10 . It is to be noted that these values are upper bound
values and can be decreased by 30% to allow for sharing of the load by other strips or in the other direction.
Values shown in Fig. A.29 and A2.10 and table A.2.4 are thus 70% of values actually obtained.
A.2.9 Other Strips
Though the method requires all strips to be analysed but having a look on the loading on the raft some strips
can be left out and some analysed. In this case it would be sufficient if strips J5 - M5,J7 - M7, J9 - M9, J10
-M10, J11 -MI1 are only analysed in short direction. It would be noted that strip J11 - M11 and J15 -MIS,
stripJ10-M10andJ16-M16arestripJ9-M9andJ17-M17areminrorimageofeachotherwithvery
slight variation in loads. One end and one middle strip can be analysed in long direction. This being only an
illustration, instead of going through all strips, further inferences are drawn from these analysed strips.

@ --->
SPRING CONSTANTSI-

N

---->

lECleER N E
w R

M WER
E

Fig. A.2.9 Idealised beam on elastic foundation for strip L5-L20 in long direction
From these results it is observed that:
(a) Values of soil pressure at various nodes in all the four analysis carried out and shown above are
generally within safe bearing pressure of 130 KN/m2. Maximum value reached at any point in a
strip is 187 KNIsqm. Allowing a reduction of 30% this will be very near to SBC. So O.K.
(b) Values of B.M. obtained from analysis of individual strip in long direction are not much different
from that obtained from raft as a whole. Either these are low or within 30%. It would thus be O.K.
if raft in the long direction is designed for a B.M value of +_ 210 KNmIper metre width throughout
and additional reinforcement added in the portion where it goes more.

I

1
,

I

,
APPENDIX-ILLUSTRATIVE EXAMPLES

SHEAR FORCE DIAGRAM C I N KN

1

>

BENDING MOMENT DIAGRAM C I N KN-M

SOIL PRESSURE DIAGRAM FOR BEAM L5-L20

<

)

I N KN/Sq.M

>

Fig. A.2.10 Force diagrams for beam LS-L20
(c) B.M. in short direction between strips and raft as a whole is not much different and can be designed
for a value of 250 K N d m and additional reinforcement added in central portion to resist a total
B.M. value of - 430 K N d m .
(d) While designing the raft it is to be seen that the values of B.M. given above are per unit width of
the strips, while the raft actually provided consists of beams and slab. Using these values of per unit
width total bending moment to be resisted by each strip should first be calculated and then the design
carried out for the T beam. Care is to be taken to see that reinforcement detailing in slab is such that
it is also capable of functioning as a slab supported on the four edges carrying a load equal to the
upward average pressure of soil.

+
128

RAFT FOUNDATIONS-DESIGN AND ANALYSIS

Table A.2.4 Table showing values of Shear Force. Bending Moment and Soil Pressure for the beam L5 - LU)
Moments KNm

shear Force in KN

L.ft

Right

Soil Pressure
KN/~'
I
I
1

'APPENDIX-ILLUSTRATIVE EXAMPLES

A.2.10
!

129

VQliation on Value of K and Seismic Effects

Analysis has been carried out for a single value of K. Effect of earth quake forces has not been considered. It
would be therefore necessary to adopt a minimum value of BM's as f w12/10 by treating the raft as inverted
floor system with a uniform load of 120 KN/m2 as done in preliminary designs.

1
I

A.3 Example 3: Piled Raft-plate on Elastic Foundation
Ideally the raft should be designed as a flexible plate supported on piles and soil taking into account the pile,
soil raft and superstructure interaction. The most simple method could be to treat piles being replaced by soil
having a bearing capacity higher than the total load canying capacity of piles actually provided, divided by
the area of the raft. The raft can then be designed by rigid method as already explained in Example I. As an
improvement, it could abo be analysed adopting the approach of beam on elastic foundation as given in
Example 11. Further refinement somewhat short of ideal solution could be to treat the raft as a plate supported
on springs neglecting the effect of one pile on the other and the effect of soil on the raft. In the present example
this method is used.
The piled raft has been modelled as a plate consisting of plate bending elements and the piles are modelled
as axial elements. The piles being predominantly frictional piles, the axial stiffness of the pile element has
been taken as h EAIL where E is modulus of elasticity, A the cross sectional area and L is the length of the pile.
h is a factor depending upon the pile characteristics. According to Bowles has a value of I , for end bearing
piles and 2 for friction piles. Analysis has been canied out using a general purpose 3 dimensional finite element
package (SAP IV).
A.3.1 Example Selected

I

:

The building consists of 3 blocks. The two side blocks are two storeyed and the central block is 8 storeyed.
The entire building has a basement and has a T shape. Expansion joints have been provided to separate two
storeyed blocks from 8 storeyed blocks but the joint is not continued in the raft which is made continuous.A
plan of the building at the basement level is given in Fig. A.3.1. Expansion joint as provided are shown in this
plan. The building at the groundfloor extend beyond the basement in the portion shown dotted in the above
figure. Then again in the 1st floor level building has a set back from the basement line with the result that the
columns F13, H13, K13, Ml I, M9, M7, M5, K3, H3, F3, are lightly loaded. 708 bored cast-in-situ 21 metre
long piles have been provided. Each pile has a safe load bearing capacity of 46 tonnes. The piles have been
spaced as below:
Portion PQR W

- 1.54 metres x 1.925 metres.

Portion RRl Wl W - 1.54 x 1.52 metres.
Portion WW,UV and RSTR, = 2.40 x 1.52 with some extra piles near column C2 and C14 which are
comparatively more loaded in this area.
Arrangement of piles in the panel A1, A2, C2, C1 and F10, F12, H12, H10 is shown in Fig. A.3.2 andA.3.3
as a blow up.
A.3.2 Type of RaftAdopted
The raft adopted in this case is a slab of uniform thickness of 1.2 metres. The depth has been decided on the
consideration of punching shear in accordance with the provision of IS: 456-1978 as per calculation given
below:
130

RAFT FOUNDATIONS-DESIGN AND ANALYSIS

PANSION JOINT

-------------

+ SHOWS COLUMN LOCATIONS

I

3!4
6l6

I SHOWS TWIN COLUMN LOCATIONS

Fig. A.3.1 Plan of raft showing column locations
The permissible shear stress at the critical section, i.e., at dl2 from the column faces is equalto Ks T,,
where K , = (0.5 + PC)but not greater than 1,

PCbeing the ratio of short side to longer side of the column.

T, = 0.16%

For concrete of M20 grade

fck

2

= 20 Nlmm

T, = 0.16 &=

0.72 N/mm2

Here the column for which the check is being applied is 750 mm x 750 mm with maximum load being
6095.3 KN
Therefore

Thus,
Permissible stress

P = 6095.3 KN
APPENDIX-ILLUSTRATIVE EXAMPLES

-

I

7314

I

Fig. A.3.2 Blow up of X showing pile locations and plate elements

-

9-

-

@SHNS

SHOVS PILE LOCATION
NODE NUnBER (N)

PLATE ELDENT
NUMBER (E)

Fig. A.3.2 Blow up of Y showing pile locations and plate elements
132

RAFT FOUNDATIONSDESIGNAND ANALYSIS

Area of concrete resisting the shear
=2{(750+d)+(750+d)}d
=4(750+d)d
Therefore shear stress

For a clear cover of 60 mm and 20 mm diameter steel; effective cover

Thus overall depth required

= 1127+70= 1197mm

Overall depth provided

= 1200 mm

A.3.3 Division of l a # into Plate Elements

The raft has been divided into plate elements with nodes on each pile. No nodes have been located under the
columns. Arrangement of plate element has been shown in the blow up figures A.3.2 and A.3.3. The load on
each column has been distributed on the 4 nodes around the columns in proportion to the contributory areas
as per calculation shown below:
Let the column (here F12) be surrounded by the four nodes (i.e. pile points) N1, N2, N3 and N4 to make a
rectanguldplate element of size 1925 mm x 1540 mm.
The td;al area of the element gets divided into four parts A,, A2, A3 and A4 as shown in Fig. A.3.4:
Now the load on any node Niis given by,

Here

P = Total load of the column
A, = Area opposite node Ni
I

APPENDIX-ILLUSTRATIVE EXAMPLES

I

2 9

Fig. A.3.4 Distribution of column load on surrounding nodes
Here

Total area of the plate element = 2964500 mm2
Here N1, N2, N3 and N4 are node nos. 590,591,567 and 566 respectively.
Here the loads on corresponding nodes are

/

Here the nodes are not getting any load from other columns. In case load from other column(s) is also
coming onto a particular node, the sum of all such loads should be taken. One such case is available at nodes
between columns H9 and HlO.
134

RAFr FOUNDATIONS-DESIGN AND ANALYSIS

A.3.4 Output
Output gives moments about X axis, Y axis and in-plane moment of the element at the centre point of the
element. In case, these values are required at any other point other than the centre point, option is available in
the SAP programme to define that point as the 5th node. Though the raft is 1 :2 metre thick, but the thickness
has not been considered in this model and the modelling is done at the central plane of the thickness. Loads
on each pile are also given as an output.
The values of the moment in X and Y direction are plotted on the plan and used for design purposes. Care
is required to be taken while detailing reinforcement. Care is also to be taken to see that difference between
the actual structure and the modelling is taken into account in detailing.
However, as already explained in Chapter 8 ,above analysis is carried out considering only vertical loads
and neglecting the effect of rigidity of super-structure and retaining walls. Loads on some piles would also 8e
found to be exceeding safe bearing capacity by as much as 75%. It would therefore be necessary to select one
of the two approaches given in para 12.6.
Approach actually to be adopted will depend upon the particular case. In this example there was no
possibility of obtaining piles with higher load and proposal was thereyore being processed for additional piles
in sections where load was exceeding. Once this is done, question of effect of seismic forces would arise. This
is explained in para 8.5.3. In case analysis is not repeated taking into account seismic forces, minimum values
of bending moment at any location should be ~ 1 ~ 1 determined by treating the raft as an inverted floor.
10
This would result in a safe design.

+

*

.

j

i

:

;
J

1

1

Raft foundations _design_and_analysis_with_a_practical_approach

  • 1.
    Raft Foundations Design and Analysiswith a Practical Approach SHARAT CHANDRA CUPTA Advisor, Indian Buildings Congress, Former Chief Engineer Central Public Works Department PUBLISHING FOR ONE WORLD NEW AGE INTERNATIONAL (P) LIMITED, PUBLISHERS - New Delhi Bangalore Calcutta Chennai Guwahati Hyderabad Lukhnow Mumbai Pune .
  • 2.
    Copyright O 1997New Age International (P) Limited, Publishers NEW A G E INTERNATIONAL (P) LIMITED, PUBLISHERS NEW DELHI BANGALORE : : CALCUTTA CHENNAI : : GUWAHATI HYDERABAD : LUCKNOW MUMBAI : : PUNE : : 4835124, Ansari Road, Daryaganj, New Delhi-110 002 35, Annapoorna Complex, South End Road, Basavangudy, Bangalore-560 004 4018, Ballygunge Circular Road, Calcutta-700 019 20, IInd Main Road Kasthuribai Nagar, Adyar, Chennai-600 020 Pan Bazar, Rani Bari, Guwahati-781 001 1-2-41219, Gaganmahal, Near A.V. College, Domalguda, Hyderabad-500 029 18, Madan Mohan Malviya Marg, Lucknow-226 001 1281A. Noorani Building, Block No. 3, First Floor. L.J. Road, Mahim, Mumbai-400 016. 44, Prashant Housing Society, Lane No. 6, Paud Road, Kothrud, Pune-4 1 1029. This book cr any-part there of may not be reproduced in any form without the written permission of the publisher This book is not to be sold outside the country to which it is consigned by New Age International (P) Limited ISBN :81-224-1078-2 Published by H.S. Poplai for New Age International (P) Limited, 4835124, Ansari Road, Daryaganj, New Delhi- 110002. Typeset by EPTECH, and printed ai Ram Printograph, C-114, Okhla Industrial Area, Phase I, New Delhi-110020. Printed in India Production : M.I. Thomas
  • 3.
    CONTENTS Preface i t I 1. 2. 1 i NEED OF RAFTFOUNDATION 3. I I INTRODUCTION TYPES OF RAFT FOUNDATION 4. SURVEY OF AVAILABLE LITERATURE Foundation Engineering by Peck, Hansen and Thornburn 1 Foundation Design and Practice by Elwyn. E.S. Seelye 4.2 4.3 Foundation Design by Teng Foundation of Structures by Dunham 4.4 4.5 Indian Standard Code of Practice for Design and Construction of Raft Foundation - IS 2950-1965 Raft Foundation - The Soil Line Method of Design by A.L.L. Baker Indian Standard Code of Practice for Design and Construction of Raft Foundation 1.S : 2950 (Part-I) 1973 Foundation Engineering Handbook Edited by' Hans F. Winterkorn & Hsaiyang Fang Foundation Analysis and Design by Joseph. E. Bowels Building Code Requirements for Reinforced Concrete (ACI 318 - 77) Foundation Design and Construction by M.J. Tomlinson Design of Combined Footings and Mats ACI Committee 336 Pile Foundation Analysis and Design by H.G.Poulos and E.H. Davis 1980 Reinforced Concrete Designers Handbook by Charles E. Reynolds and James C. Steedman - 9th Edition 1981 IS 2950 (Part I) 1981 -Code for Design and Construction of Raft Foundation Part I ~esi~n Eleventh International Conference of Soil Mechanics and Foundation Engineering San Francisco, August 12 - 16,1985 Foundation Design and Construction by M.J. Tomlinson, 5th Edition, 1986
  • 4.
    CONTENTS Handbook of ConcreteEngineering -Mark Fintel - 2nd Edition, 1986 Reinforced Concrete Designer Handbook by Charles E. Reynolds and James Steedman, 10th Edition, 1988 Building Code Requirements in Reinforced Concrete - ACI - 3 18 - 1989 Foundation Engineering Hand book by Hsai-Yang-Fang 2nd Edition, 1991 Design of Combined Footings and Mats - ACI committee 336 2R - 88 Published in ACI Manual 1993 Foundation Analysis and Design by Bowles, 4th Edition, 1988 Proceedings of Indian Geo-Technical Conference 1992, Calcutta, December, 1992 Designs of Foundation Systems - Principles and Practices by Nainan P. Kwian, 1992 13th International Conference on Soil Mechanics and Foundation Engineering, New Delhi, January, 1994 Soil Structure Inter-action -The Real Behaviour of Structures, published by the Institution of Structural Engineers, U.K. The Institution of Civil Engineers, U.K. International Association for Bridge and Structural Engineering in March, 1989 5. DESIGN APPROACH AND CONSIDERATIONS 5.1 Rigid Approach 5.2 Flexible Approach 5.3 Parameters for Raft Design Pressure Distribution Under the Raft 5.4 5.5 Rigidity Criteria 5.5.1 Proposed by IS : 2950 (Part I) 1981 5.5.2 ACI Committee, 336 5.5.3 Hetenyi's Criteria 5.6 Modulus of Sub-Grade Reaction 5.6.1 Recommended by Bowles 5.6.2 IS : 2950 Part I Indian Standard Code of Practice for Design and Construction of Raft Foundation 2950 - 1981 5.6.3 I.S. 9214-1979 - Method of Determination of Modulus of Subgrade Reaction (k value) of Soils in Field 5.6.4. IS 8009 - Part I - 1978. Code of Practice for Calculation of Settlements of Foundations - Part I - Shallow Foundations. Subjected to Sy_mmetrical Static Vertical Load. 5.6.5 Recommendation by Alpan and Prof. Alarn Singh 5.6.6 Summary 6. STRUCTURALDESIGNERS DILEMMA 7. STUDIES CARRIED OUT ON EFFECT OF VARIOUS PARAMETERSON DESIGN OF RAFT 38 7.1 Study 1 7.1.1 Examples Selected 7.1.2 Raft Size 40 41 41 i
  • 5.
    CONTENTS 7.1.3 5 ! : Soil Investigation 7.1.4 Load Consideredin Study 7.1.5 Analysis 7.1.6 Discussions of Results 7.1.7 Conclusions Study 2 -Effect of Horizontal Loads 7.2.1 Example Selected 7.2.2 Discussion of Results 7.2.3 Conclusion Study 3: Comparison with Conventional Rigid Methods Details of Conventional Method: Combined Footing Approach 7.3.1 7.3.2 Examples Selected 7.3.3 Discussion of Results 7.3.4 Inverted Floor Method 7.3.5 Conclusions Study 4. Another Office Building 7.4.1 Example Details 7.4.2 Comparison of Results 7.4.3 Discussions of Results 7.4.4 Conclusions ' 7.2 7.3 7.4 1 t t 1 ! I 8. 1 t STUDIES CARRIED OUT ON ANALYSIS AND DESIGN OF PILED RAFTS 8.1 8.2 ! Design Procedures being Used Example Selected 8.3 8.4 i Soil Data Methods of Analysis Studied 8.4.1 Conventional Rigid Method with Simplified Models 8.4.1.1 Combined footing approach 8.4.1.2 Continuous beam analogy :inverted floor 8.4.1.3 Comparison of results 8.4.2 Piled RafPAnalysis Based on Finite Element Approach Study of Parameters Influencing the Raft Behaviour 8.5.1 Effect of Raft Stiffness on the Pile Loads and Raft Moments 8.5.2 Effect of Superstructure and Retaining Walls on Foundation Stiffness 8.5.3 Effect of Earthquake Loads and Moments 8.5.4 Effect of End Bearing and Friction Piles 8.5.5 Summary of Results 8.5 : ; I I 8.6 8.7 I 9. 10. Discussions Conclusions JOINTS IN RAFl'S SUMMARY OF STUDIES
  • 6.
    CONTENTS 11. FACTORS AFFECTING CHOICEOF MET,HODOF ANALYSIS 12. GUIDELINES APENDM - ILLUSTRATIVE EXAMPLES A.l Conventional Rigid Method - Combined footing approach A.2 Flexible Raft - Beam on elastic foundation A.3 Piled Raft-Plate on elastic foundation
  • 7.
    INTRODUCTION I i t In 1957, whenthe author was a student of Civil Engineering at the Indian Institute of Technology, Kharagpur, the first institute of national importance, one of his professors of Civil Engineering at his first lecture in the class said: "Civil Engineering is 50% common sense but common sense is that sense which is quite uncommon. " After 34 years of experience in Civil Engineering construction and design, the author only wonders how true the statement of his Professor was and how much more it is true in case of foundation engineering. ! 1.1 Foundation engineering has been practised as an art, without help of science, since time immemorial upto 1920 when it had achieved a considerable amount of refinement. It was in the earlier 1920s that a concerted effort was made to study and undentand the physical laks governing the behaviour of sub surface materials, i.e.. soil from which foundations derived their support and on whose behaviour its own behaviour depends. This is the time when study of soil mechanics was started and it was in 1919 when Karl Terzaghi, popularly known as 'father of soil mechanics', made successful attempt to explain the phenomenon of settlement oti a scientific basis. Though study of soil mechanics has provided us with new techniques for selecting appropriate type of foundation and predicting the behaviour of completed structures, it has not been able to decrease the importance of the accumulated experience of the ages. Amount of uncertainty and degree of variation in the properties of soil and number of parameters on which performance of a foundation depends, make exact solution impractical, if not impossible. With so much of advancement in science and computer application, structural design is still defined as:I5 a creation of a structuralfonn to satisfy a number of requirements. It is a combination of art and science. As a rule, there is no direct procedure leading to the solution of a specific problem. An engineer uses all his resources of knowledge experience and imagination to produce a trial scheme. He then constructs a mathematical model of such a solution to assess its adequacy and ifnecessary, modifies the original concept in the light of analytical results. The process is repeated until the designer is satisfied with thefinalproduct, taking into account not only structural adequacy but also such non-quantifiablefactors as aesthetics, ease of construction and performance. The design process is characterised by a complex interaction of parameters and the need to arrive at decisions based on incomplete data Intuitive decisions which have to be taken, appear to be diametrically opposite to the logical nature of ... '
  • 8.
    2 RAFT FOUNDATIONS-DESIGN ANDANALYSIS Foundation design and analysis is, at a stage behind structural analysis and design for superstructure, and even now continues to be practised more as an art and will probably continue to be done so, for many years to come. 1.2 Available textbooks, handbooks, various publications and papers give widely different approaches to design of raft foundations. A designer, when faced with a task of designing a raft foundation, finds himself in a precarious position where he has to balance the time available for design, the cost of design, the need of adequate safety and, above all, acceptance of the design by the client and the professional community in general and decide the method of design to be followed by him. Generally, it is not practical for any designer to go through the various approaches as available in engineering literature at a particular time, compare their merits and demerits and select the most suitable for his purpose. He, therefore, perforce selects a particular textbook and applies the same to his problem, quite often little realising that the theoretical problem dealt with in the textbook is widely different from his practical problem relating to an actual building. Resulting solution may not be as satisfactory as he feels. An effort has been made in the following chapters to explain the various approaches suggested in literature, give their comparative limitations, examine the implications of the so-called more sophisticated approaches and finally make recommendation for the method which can be followed by a designer till he accumulates enough experience so as to select his own method particularly applicable to his problem. Intention of this publication is not to hinder initiative of an individual in going deeper in any problem, but to give him a comparative idea of available approaches with sufficient number of references which he can study during the beginning of his profession and formulate his own opinion in due course but still continuing to design satisfactory raft foundations. This publication should, therefore, be studied in this background.
  • 9.
    NEED OF RAFTFOUNDATION. Raft or Mat foundation is a combined footing that covers the entire area beneath a structure and supports all walls and columns. This raft or mat normally rests directly on soil or rock, but can also be supported on piles as well. Raft foundation is generally suggested in the following situations: (a) Whenever building loads are so heavy or the allowable pressure on soil so small that individual footings would cover more than floor area. (b) Whenever soil contains compressible lenses or the soil is sufficiently erratic and it is difficult to define and assess the extent of each of the weak pockets or cavities and, thus, estimate the overall and differential settlement. (c) When structures and equipment to be supported are very sensitive to differential settlement. (d) Where structures naturally lend themselves for the use of raft foundation such as silos, chimneys, water towers, elc. (e) Floating foundation cases wherein soil is having very poor bearing capacity and the weight of the super-structure is proposed to be balanced by the weight of the soil removed. (f) Buildings where basements are to be provided or pits located below ground water table. (g) Buildings where individual foundation, if provided, will be subjected to large widely varying bending moments which may result in differential rotation and differential settlement of individual footings causing distress in the building. Let us now examine each of the above situations in greater detail. 2.1 In case of soil having low bearing pressure, use of raft foundation gives three-fold advantage: (a) Ultimate bearing capacity increases with increasing width of the foundation bringing deeper soil layers in the effective zone. (b) Settlement decreases with increased depth. (c) Raft foundation equalises the differential settlement and bridges over the cavities. Every structure has a limiting differential settlement which it can undergo without damage. The amount of differential settlement between various parts of a structure supported on a mat foundation is much lower than that if the sarne.structure was supported on individual footings and had undergone the same amount of maximum settlement. With these considerations, maximum total settlement which
  • 10.
    RAFT FOUNDATIONS-DESIGN ANDANALYSIS can be allowed for a particular structure on mat foundation is more than what is permitted when the structure is resting on individual footings. This, therefore, allows a higher bearing capacity for such situations. It may, however, be noted that if in a case deeper layers of soil are of very poor quality, increase in width of the foundation may not always lead to higher bearing capacity. In situation where comparatively s h a l l y top layers of soil are underlain with deeper layers of much poorer soils, it may be advantageous to provide individual footings so that the zone of influence of the footings remains within the top stronger layer. In such a situation, provision of a mat foundation may be disadvantageous. 2.2 Some designers work on the rule that if more than 50%of the area of the structure is occupied by individual footings, it is necessary to provide an overall raft. This is not true and quite often, the quantity of reinforcing steel and concrete required to avoid excessive deflection and cracking of a raft carrying unequal column loads, necessitating carry-over of stresses from one part of the raft to the other part, may be large and may make raft foundation uneconomical. In such situations, it may be more economical to excavate the entire site to a level formation, construct individual closed space footings (sometimes touching each other) and then backfill around them. In these cases, however, one must weigh form work costs against the extra footing material required by using mat foundation. It should be considered that it is possible to construct alternate footings by using spacer pads against already laid footings and thus save form work cost. Quite often, doubt exists about the structural behaviour of individual footings touching each other. This problem of interaction of footings has been studied by many researchers. It has been reported that the effect of adjacent footings may vary considerably with the angle of shearing resistance. For low values, they are negligible though for high values they appear to be significant, particularly if a footing is surrounded by other footings on both sides. It is also stated that these effects are considerably reduced as length over breadth ratio of the footings approaches unity. There are practically no such effects in the case of punching shear failure. For these and other reasons, it has been recommended that interference effects need not be considered in designs. Adesigner should, however, be aware of the possibility of their existence in some special circumstances 11. 2.3 Situations exist in practice w h p a soil stratum contains compressible lenses or the soils have a formation where individual layers of soil are neither parallel nor can be reasonably stratified into different layers of known properties to enable calculations of settlement to a reasonable accuracy. In such situations, individual footings, if provided, would undergo widely varying settlements resulting in large differential settlement which cannot be tolerated by the structure. 2.4 Situations, as mentioned in (c) and (d) above, are explicit and do not require further explanation. These are special cases, and adoption of raft foundation is more or less necessary by the particular nature of the problem involved. 2.5 In cases where soil is very soft and highly compressible and the buildings cannot be founded on such soils in normal circumstances, it may be possible to provide the building with a basement in such a manner that weight of the structure is equal to the weight of the soil removed and, thus, there being no change in the stresses in the soil beneath the basement and, therefore, little settlement. However, in practice it is rarely possible to balance the loading so that no additional pressure comes on the soil. However, in such cases still, it is only a part of the total load which comes on the bottom soil and, thus, it is possible to construct a building inducing a much larger load than the soil would have otherwise supported. The basement provided, gives additional space in the building for the owner and can be made use of. However while constructing such foundations, I I 1 I I I
  • 11.
    NEED OF RAFTFOUNDATION 5 reconsolidation of the soil, which has swelled as a result of removal of over burden pressure in excavating for the sub-structure, should always be considered and necessary steps be taken to prevent detrimental effects. 2.6 Basements located below ground water table should use a mat as their base to provide water tight ' c.onstruction.The alternative of having individual columns footings connected by thin slabs has not proved to be successful in most of the cases; presents difficulties in water proofing; causes concentration of stresses at the junction of the thin slabs and footings and also at the junction of basement walls and raft causing cracks to develop. This arrangement, therefore, should not be resorted to unless the economy is of such a magnitude as to outweigh all other considerations. Even in cases where sub-soil water level is low and basement does not extend below ground water table, long-term built up of surface water accumulating against basement walls and bottom should be allowed for. This is particularly so in case of impermeable soils (permeability co-efficient below 0.1 mm per second) or of large surface areas draining towards the building. i.e., areas on sloping ground near hillocks. The basement walls should also normally be designed as self-supporting cantilever retaining walls even though they may eventually be strutted by floor construction. It is inconvenient and often impossible to provide temporary raking struts to support a basement retaining wall until such time as strutting given by ground floor or intermediate basement floor is completed. 2.7 Situations also arise when isolated footings are subjected to very large eccentric loadings, and one is faced with the possibility of excessive footing rotation, excessive differential settlement or possibility of exceeding the allowable bearing capacity of the soil at some location. This can happen when the building consists of shear walls and columns, shear walls sharing most of the horizontal load subjecting its footings to larger settlements and rotation, decreasing the effectiveness of the shear walls and also creating difficulties by way of large differential settlements. Raft, if provided, will even out these deformations. Mats or rafts are supported on piles'in cases where sub-soil conditions warrant provision of piles, but one has to have the basement. In such situations, raft also helps in making the basement water tight. It would, therefore, be seen that it is not possible to lay down hard and fast rules defining situations wherein a raft foundation is required. The author, therefore, opines that every designer should learn all that he can within reason about the conditions at site, determine the types of foundations that are practical, compare their cost, suitability, ease of construction, safety and select a type which in his judgement would serve the purpose well. There can always be differences of opinion about the solution decided by him, but as already mentioned in chapter I , it cannot be helped because foundation design still continues to be practised more as an art than an exact science. Two artists seldom agree.
  • 12.
    TYPES OF RAFTFOUNDATION Raft can be classified into various types on the basis of criteria used for classification. 3.1 Based on the method of their support, raft can be: (a) Raft supported on soil, (b) Raft supported on piles, and (c) Buoyancy raft. 3.2 On the basis of structural system adopted for the structure of the raft, these can be classified as: (a) Plain slab rafts which are flat concrete slabs having a uniform thickness throughout. This can be with pedestals or without pedestals. (b) Beam and slab raft which can be designed with down stand beam or upstand beam systems. (c) Cellular raft or framed raft with foundation slab, walls, columns and one of the floor slabs acting together to give a very rigid structure. Raft of uniform depth is most popular due to its simplicity of design and construction. This type is most suitable where the column loads are moderate and the column spacing fairly small and uniform. Pedestals are utilised to distribute the load on a bigger area in case of heavy column loads. 3.3 Slab and beam raft is used as a foundation for heavy buildings where stiffness is the principal requirement to avoid excessive distortion of the super structure as a-resultof variation in the load distribution over the raft or the compressibility of the supporting soil. These rafts, however, have many obvious difficulties. If the beams are deep, ribs placed below the basement floor or raft, the bottom of the excavation becomes badly cut up with trenches, impairing the bearing value of the soil because of its disturbance.Water proofing in case of basements becomes more complicated arid involved. If the beams are projecting up, usefulness of the basement is destroyed unless the entire foundation is lowered and the gap filled up or an upper slab is provided supported on these inverted beams to form the ground floor of the structure. 3.4 Buoyancy raft are necessarily to be provided with a basement so that the weight of the soil removed balances to a large extent, the imposed load. Cellular raft consisting of foundation slabs, walls, columns and ground floor slab can be designed, but it creates considerable amount of uncertainties, difficulty of construction and quite often even in such cases, raft is designed as a slab of uniform rhickncss.
  • 13.
    7 TYPES OF RAFTFOUNDATION Raft, as a slab of uniform thickness, has an additional advantage of providing better water-proofing treatment ease of reinforcement fabrication and laying of concrete. This type of raft is most commonly used. Various types of rafts are shown in Fig. 3.1 --------------------- R A------- -------------- F T S U P P O R T E D ON SOIL RAFT SUPPORTED ON PILE BUOYANCY RAFT ------------- FLAT PLATE RAFT --------------- i ' : FLAT PLATE WITH PEDESTALS ------------------------- BEAM AND SLAB RAFT ------------------ Fig. 3.1 Various types of rafts FRAMED RAFT -----------
  • 14.
    SURVEY OF AVAILABLE LITERATURE Testbooksand design manuals by various authors suggest varying approaches to analysis and design of raft foundation. Differences of opinion exist in the method of analysis proposed to be adopted while determining moments, shear forces for the design of raft. Once the bending moments and shear forces are known, structural design does not present any difficulty and there exists no difference of opinion in this respect except very minor difference relating to desired thickness of slab and the effectiveness of the shear reinforcement Methods suggested by different authors are summarised below. These have been arranged chronologically with reference to date of publication of the testbooktdesign handbook. 4.1 Foundation Engineering b y Peck, Hansen and hornb burn^ Raft is usually regarded and designed as an inverted continuqus flat slab floor supported without any upward deflections at the columns and walls. The soil pressure acting against the slab is commonly assumed to be uniformly distributed and equal to the total of all column loads multiplied by appropriate load factors and divided by the area of the raft. The moment and shears in the slabs are determined by the use of appropriate coefficient listed in the specifications for the design of flat slab floors. On account of erratic variation in compressibility in almost every soil deposit, there are likely to be correspondingly erratic deviations of the soil pressure from the average value. Since the moment and the shears are determined on the basis of the average pressure, it is considered good practice to provide this slab with more than theoretical amount of reinforcement and to use the same percentage of steel at top and bottom. This method has been widely used, often with complete success. On the other hand, it has also sometimes led to structural failure not only of the slab but also of the super structure. Therefore, its limitations must be clearly understood. The analogy follows only if the differential settlement between columns will be small and if the pattern of the differential settlement will be erratic rather systematic. The method is valid when the columns are more or less equally loaded and equally spaced. If the downward loads on some areas are on the average much heavier than on others, differential settlementsmay lead to substantial re-distribution of moments in the slabs resulting in unconservative design. Rafts are sometimes designed as if they rested on a bed of closely and equally spaced elastic springs of equal stiffness. The contact pressure beneath any small area is then proportional to the deflection of the spring
  • 15.
    SURVEY OF AVAILABLELITERATURE 9 in that area and thus to the settlement. The constant of proportionality 'K' is called the modulus of sub-grade reaction. Although, the theory has been well developed but the value of 'K' for real soils is not constant and depends not only on the stress deformation characteristics of the soil but also in a complex manner on the shape for and size of the loaded area and the magnitude and position of nearby loaded areas. Evaluation of 'K' design is difficult and fraught with uncertainty. Whatever method may be adopted for design, there is no guarantee that the deflections of the raft will actually be unimportant. In case, the structure covers a fairly large area with possibilities of differential settlements, it is not enough to provide great strength in the slab. It is also necessary to provide sufficient stiffness. However, a stiff foundation is likely to be subjected to bending moments far in excess of those corresponding to the flat slabsubgrade modulus analysis. There appears to.be no further edition of this book after 1954. 4.2 Foundation Design and Practice b y Elwyn. E.S. seelye9 According to Seelye after determining the soil pressures at various points of raft, shear and moment diagrams can be constructed for bands assumed from centre of bay to centre of bay. However, 65% of the moment is assumed to be resjsted by half the width of the band. There has not been any further edition of this book after 1956. 4.3 Foundation Design b y en^' In the conventional method, it is assumed that the mat is infinitely rigid and that the bearing pressure against bottom of the mat follows the planner distribution. The mat is analysed as a whole in each of two perpendicular directions. Thus the total shear forces acting on any section cutting across the entire mat is equal to the arithmetic sum of all forces and reactions (bearing pressure) to the left orright of the section. The total bending moments acting on such section is equal to the sum of all moments to the left or right of this section. Although the total shear and moments can be determined by the principles of simple statics, the distribution along this section is a problem of highly indeterminate nature, the average moment not being indicative of the sign and the magnitude of the bending moments in the individual strip in either direction. In order to obtain some idea as to the upper limit of these values, each strip bounded on central line of the column bays, may be analysed as independent continuous or combined footings. If the column loads are used, the soil reaction under each strip is determined without reference to the planner distribution determination for the mat as a whole. This method, undoubtedly, gives very high stress because it ignores the two way action of the mat. Therefore, certain arbitrary reduction in values (15% to 33113%) is made. The author gives other method like Finite Difference Method also for the design of the raft. There has not been any further edition of this book after 1962. The book, however, has been reprinted in 1992. The recommendation in this book can be summarised in the following words: A great refinement of calculations is not always justified or practicable in case of raft.foundations because of the uncertainties of the action of soil and of short thick members that are arranged in complicated and multiple systems. It is reasonable to assume that the mat is so stiff and the load so constant that plastic soil will compress and adjust itself so that each column load will spread almost uniformly under the mat in the general vicinity of that particular column. For example, the total unit pressure under the rectangular area D, E, F, G shown in Fig. 4.1 may be assumed equal to 114th of the total loads on the columns at D, E, F and G divided by the area of D, E, F, G plus the weight of the mat per sq m. For the purpose of computing average pressure
  • 16.
    10 RAFT FOUNDATIONS-DESIGN ANDANALYSIS under the slabs, near the walls, the outer column loads are treated as though they were concentrated at the columns. For this method, however, the load on adjacent columns should not differ very much and the bays in either direction should be reasonably, equal in length, the larger spacing not exceeding 1.2 time, the smaller one and the columns should be arringed in reasonably straight rows. Fig. 4.1 Plan of assumed columns strips and distribution of loads One method of making a preliminary analysis of such a mat is on the basis of an assumed supporting system of columns strips that constitute a grid of beam along the column rows in each direction. The portion of the slabs in the central areas is taken up to be supported by this grid. The effective width of these strips or shallow beams has to be assumed and it is normal to take it slightly more than, what is determined by 45 degrees fiom the pedestal or column, to the lower reinforcement in themat. Technically the top reinforcement of a central panel may be less than of the bottom. However, it may be advisable to reinforce both sides equally because any yielding of end restraint will increase the, tension in the top of the mat above the computed value. Each column strip may be analysed by moment dishbution if the variation of loading or spans make this desirable, the entire thing being designed as an inverted floor. The effect of hydrostatic pressure has to be considered wherever it is present. There has been no further edition of this book after 1962. 4.5 - Indian Standard Code of Practicefor Design and Construction of Raft Foundation IS 2950-1965' There are two approaches for design-conventional method and the elastic method. In the conventional method, the foundation is considered infinitely rigid and pressure distribution independent of the deflection of the raft. Soil pressures are also assumed to be planner so that the centroid of the soil pressure coincides with the line of action of the resulting forces of all the loads acting on the foundation. The method is normally used in design because of its simplicity . A generous amount of reinforcement is provided to safeguard uncertainties caused
  • 17.
    I I I I ! i I i I! SURVEY OF AVAILABLELITERATURE by differential settlement. The raft is anabjsed as a whole in each of the two perpendicular directions. Thus, total shear forces and total bending moments acting on any section cutting across the entire raft is equal to the arithmetic sum of all forces and reactions/moments to the left or right of the section. The actual reinforcement provided shall be twice that worked out theoretically. Elastic method has two approaches. In one, the soil is replaced by an infinite number of isolated springs. In the other, the soil is assumed as a continuous elastic medium obeying Hook's Law. These methods are applicable in case the foundation is comparatively flexible and the loads tend to concentrate over small areas. The actual reinforcement can be one-and-a-half times that required theoretically.The famous soil line method falls in this category. As limitations to applicability of the methods, code mentions that the coda1 provisions: (1) do not apply to large and heavy industrial construction where special considerations of the base pressure distribution will be required. (2) apply only to fairly uniform soil conditions and for fairly horizontal planes of separation of layer below. (3) foundations in seismic area and/or to vibrating load shall be given special considerations. This code has been revised in 1973. Kindly see para 4.7. 4.6 ' ' 11 - RafL Foundation The Soil Line Method of Design by A.L.L. ~ a k e q According to Mr. Baker, the design of raft as a reversed floor is dangerous. Engineers being aware of this, who. therefore, normally adopt the second method in which earth pressure is assumed to be uniform throughout and moments are obtained at any section by statics. He, however, feels that in the second method also high values of moments are obtained, which may or may not be present, and it is irrational or wasteful to provide for such moments without investigating the deflections and variation in soil pressure. Mr. Baker has, therefore, suggested the soil line method which takes into account the variations in soil pressure and its relation to deflection but in order to simplify the calculations, it is assumed that the earth pressure varies throughout a beam according to straight line law. There is no further edition of this book after 1969. 4.7 Indian Standard Code of Practice for Design and Construction of Raft Foundation 1.S :2950 (Part-I) 1973~ In the revised version of the code, following methods of analysis have been proposed: (a) Assumption of linearly varying contact pressure (b) Perfectly rigid structures (c) Perfectly flexible structures (d) Structures stiffened along one axis (e) Structures stiffened along both the axis (f) General methods: (i) Based on modulus of subgrade reaction, and (ii) Based on modulus of compressibility (half space theory). Method (a) corresponds to the conventional method in the earlier version of the code and has similar limitations. In method (b), contact pressure distribution is to be calculated based on Boussineq's Equation for Elastic Isotropic half space and is applicable when deformations of raft under loads are small as compared to the mean settlement of the structure.
  • 18.
    12 RAFT FOUNDATIONS-DESIGN ANDANALYSIS Method (c) is applicable for structures which have relatively less stiffening members specially resting on very stiff foundation soil. In this case, the deflections of the raft are same as the settlements of the foundation soil under external load. Method (d) is something in between methods (b) and (c) . Here in the direction of the stiffened axis the contact pressure distribution is determined by Boussineq's Equation as in method (b). In perpendicular direction distribution is determined as given in (f). Method (e) is same as method (b). The two methods under (f) are elastic methods and are used when simplified methods from (a) to (e) are not applicable. Details given in the codedo not provide enough guidance to enable the analysis and design 10 be completed by the designer. Apart from the limitations applicable in earlier version of the code it is stated that: (i) Allowable settlement both total and differential shall satisfy the requirement of the super-structure (ii) The approximate values of permissible settlements as given in earlier code have been deleted. This code has further been revised. Please see para 4.15. 4.8 Foundation Engineering Handbook Edited by Hans F. Witerkorn & Hsaiyang an^'' Dr. Joseph E. Bowles and Wayne C. Teng are authors of chapters on spread footings, combined and special footings and mat foundation respectively. Chapter on floating foundation has been written by Dr. H.Q. Golder. This book classifies the method of design of mat foundation according to assumptions used. The rigid method which is the conventional method assumes that: (a) Mat is extremely rigid as compared to the sub-soil and, therefore, the flexural deflection of the mat, does not alter the contact pressure. (b) The contact pressure or the pile reaction are distributed in a straight line or a plain surface such that the centroid of the contact pressure coincides with the line of action of the resultant force of all the loads acting on the mat. When mat foundation is supported on piles, piles are assumed to be perfectly elastic. Raft is considered to be rigid when the column spacing is less than 1.751h or when the mat is supporting a rigid super-structure. his same as defined by Heteny. The mat is analysed as a whole in each of the two perpehdicular directions. The mat is divided into perpendicular bands of width between centre lines of adjacent column rows. Each band is assumed to act as an independent beam subjected to common contact pressure and known column loads. The simplified elastic method assumes that the soil behaves like an infinite number of individual elastic springs each of which is not affected by others. This foundation model is also referred to as Winkler foundation. Analysis procedures have also been developed for the beams on the simplified elastic foundation concept. The mat is considered as a plate and the effect of each column load is considered in area surrounding the load. Using the method of super-imposition,effect of all the column loads within the zone of influence is calculated. Among computer-oriented methods suggested is finite difference method, based on the assumption that the sub-grade can be substituted by a bed of uniformly distributed elastic springs with a spring constant equal to coefficient of sub-grade reaction. For this purpose, the mat is divided into square areas. The deflection at the nodal points of these areas is expressed by a differential equation in terms of deflection at the adjacent points to the right, left, top and bottom. These simultaneous equations are solved with an electronic computer and deflection at all the points are determined. Once deflections are known, the bending moment at any point in each direction is determined from theory of elasticity. The finite element method transforms the problem of plates on elastic foundation into a computer-oriented procedure of matrix structural analysis. The mat is idealised as a mesh of finite elements inter-connected only
  • 19.
    13 SURVEY OF AVAILABLELITERATURE at the comers and the soil may be modeled as a set of isolated springs or as an elastic isotropic half space. The matrix structural analysis can be extended to include the influence of the super-structure as well, thus the interaction between the super-structure, the foundation and the soil is accounted for. It is further suggested that in a mat supported on hard rock, the column loads are transmitted to the rock on relatively small areas directly under the column. A greater economy may be achieved by designing the mat by elastic methods. On very soft soils, the contact pressure against the mat foundation approaches planer distribution and, therefore, it is commonly justified to design a mat on mud, soft clay, peat, organic soils or even medium clays by the conventional rigid method. A generous amount of reinforcement running in both directions at top and bottom is suggested regardless of method of design used in view of the likelihood that the stresses actually introduced would bedifferent from those calculated irrespective of the method used foi analysis. Second edition of this book is published in 1991. Please see para 4.21. 4.9 " Foundation Analysis and Design by Joseph. E. ~ o w e l s ' The mat may be designed as rigid structures thereby soil pressure are computed as Q = V/A in the case where the resultant of the forces coincide with the centre of the mat area. If resultant has eccentricity with respect to geometric centre, soil pressure is calculated by the relation In case, however, if the eccentricity is very large, the resulting internal stresses may be seriously in error. Once the dimensions of the mat are established, soil pressures at various locations beneath the base may be computed. With the pressure distribution known, the mat is sub-divided into a series of continuous beams (strips) centred on the appropriate column lines as shown in Fig. 4.2. For the series of beams, shear and moment diagram may be established using either combined footinglanalysis or beam moment coefficient. The depth is selected to satisfy shear stresses and is usually constant but the steel reinforcement vary from strip to strip. The perpendicular direction is analysed similarly, to complete the design. Fig. 4.2
  • 20.
    14 RAFT FOUNDATIONS-DESIGN ANDANALYSIS When the soil bearing pressure is low say 0.5 ~ i ~ s l f(25 K N I ~or less and if the deformation of the mat t2 ~) surface can be tolerated, the mat may be designed as an inverted flat slab, using heavy beams from column to column. The portion between beams is designed as a conventional one or two way slabs. When footings are designed as flexible members, the computation takes some form of the solution of a beam on an elastic foundation. The experience has indicated that the solution obtained are generally reliable when the data are satisfactory. Possibly the reasons, as to why the methods have not been widely used in the past, are ease of making conventional solution, which have been generally satisfactory and usually not much different from elastic solution. Second reason is that the soil data are generally obtained using the standard penetration test for which no straight forward conversion to a value of modulus of sub-grade reaction exists. Various methods for elastic analysis like finite element and finite differences have also been explained in this book. New edition of this book is publisheg in 1988. Kindly see para 4.23 4~10 Building Code Requirements for Reinforced Concrete (ACI 318 - 7 ) 8 71 Matters relating to design of footings are included in this code in Chapter 15. paragraph 15.10 relates to combined footings and mats. This paragraph reads as under: 15.10.1 Footings supporting more than one column, pedestal, or wall (combinedfootings or mats) shall be proportioned to resist the factored loads and induced reactions, iir accordance with appropriated design requirements of this code. 15.10.2 The Direct Design Method of Chapter 13 shall not be usedfor design of combinedfootings and mats. 15.10.3 Distribution of soil pressure under combined footings and mats shall be consistent with propemees of the soil and the structure and with establishedprinciples ofsoil mechanics. It would be seen that this code does not provide for much guidance in design of raft foundation. This code has been revised several times. Final being in 1989. Please see Para 4.20. 4.11 Foundation Design and Construction by M .J . ~ o m l i n s o n ' ~ Mr. Tomlinson states that it is wrong in principal to assume that araft acts as an inverted floor slab on unyielding supports and to design the slab on the assumption that its whole area is loaded to the maximum safe bearing pressure on the soil as this canlead to wasteful and sometimes dangsrous designs. Allowance must be made for deflection under the most favourable combination of dead and live load and variation in soil compressibility. Guidance is required from the soil mechanics engineer on the estimated total and differential settlement for dead and live load considered separately. Some flexibility is desirable to keep bending moments and shear stresses to a minimum, but the degree of flexibility must be related to the allowable distortion of the super-structure.Basement rafts carrying heavy building on weak soils are often founded on piles. The normal function of the piles is to transfer the loading to stronger and less compressible soil at greater depth or if economically possible, to transfer the load to bed rock or other relatively incompressible strata. The piles also have the effect of stiffening the raft and reducing or eliminating re-consolidation of ground heave, thereby reducing differential settlement or tilting. In such cases, considerable heave takes place with further upward movement caused by displacement due to pile driving. After completion of piling, the swelled soil should be trimmed off to the finished level. The basement walls should generally be designed as self-supportingcantilever retaining walls even though they may eventually be supported by the floor construction and additional stability against overturning given by super-structure loading on top of the wall. The basement floor slabs must be able
  • 21.
    SURVEY OF AVAILABLELITERATURE 15 to withstand pressure on the underside of the slab together with stresses caused by differential settlement, non-uniform column loads, reaction from the retaining walls. If the columns are provided with independent bases with only a light slab between them, there would be likelihood of failure of the slab from the pressure of the underlying soil. Fifth edition of this book has been out in 1986. Please see para 4.17. t g 4.12 i a 1 The committee observes that no authentic method has been devised that can evaluate all the factors involved in the problem and allow carrying out determination of contact pressures under combined footings and mats. Simplifying assumption must, therefore, be made based on the knowledge of the interaction of the various elements of the system. The following factors should be considered while examining any problem: (1) Soil type immediately below the footing (2) Soil type at the greater depth (3) Size of footing (4) Shape of footing (5) Eccentricity of loading (6) Rigidity of footing (7) Rigidity of the super-structure (8) Modulus of sub-grade reaction The committee suggests procedure to be followed for design of footings under two columns: grid foundations and smp footings supporting more than two columns and mat foundation. Linear soil pressure distribution is suggested for footings which can be considered rigid to the extent that only very small relative deformations result from the loading. The rigidity may result from the spacing of the columns on the footing from the rigidity of the footing itself or the rigidity of the super-structure.Limitations which must be fulfilled to make this assumption valid have been discussed in the report. Distribution of soil pressure by means of sub-grade reaction has been suggested where sub-soils are of such character that the deformations are localised in the general vicinity of the loads and when the maximum contact pressure is smaller than about one and a half times the ultimate bearing capacity. In case of rigid footings, it is suggested that uniform or linear distribution of soil pressure can be assumed and the design based on statics. Flexible footing procedure is divided into 2 parts i.e. uniform condition and general condition. Uniform conditions are considered to be those where the variation in adjacent column loads and spans is not greater than 20%. For cases where supporting columns are at random location with varying intensities of loads a detailed design procedure based on plate theories has been recommended. 4.13 : Design of Combined Footings and Mats ACI Committee 33614 Pile Foundation Analysis and Design by H.G.Poulos and E.H.Davis 1 9 8 0 ~ ~ In this book, Chapter 10 deals with piled raft systems. The author says that, "in design of foundation for a large building on a deep deposit of clay it may be found that a raft foundation would have an adequate factor of safety against ultimate bearing capacity failure but the settlement would be excessive; traditional practice would then be, to pile the foundation and to choose the number of piles to give an adequate factor of safety assuming the piles take all the load; however it is clearly illogical to design the piles on an ultimate load basis when they have only been introduced in order to reduce the settlement on other-wise satisfactory raft." According to the author, once the have been introduced solely for the purpose of reducing the settlement
  • 22.
    16 RAFT FOUNDATIONS-DESIGN ANDANALYSIS design question becomes not "how many piles are required to carry the weight of the structure" but "how many piles are required to reduce the settlement to an acceptance level". However, in Chapter 5, the settlement behaviour of a free standing pile is obtained from the elastic-based analysis. The pile is divided into number of elements and the expressions for vertical settlement of the pile and the soil at each element in terms of unknown stresses on the piles are obtained and solved, imposing the vertical displacement compatibility condition, to arrive at the settlement behaviour of the pile. As a further extension, the unit consisting of a single pile with an attached cap resting on the soil surface is considered. It is assumed that purely elastic condition prevails upto the load at which the pile would fail if no cap were present and thereafter any additional load is taken entirely by the cap. The book gives charts indicating interaction factor between the raft and the pile for various values of length of the piles, diameter of the pile, poisson ratio of soil, height of soil layer over the rigid stratum and the cap diameter.The method is further extended to group of piles upto about 40 numbers. Curves are drawn which are applicable only for rigid rafts or perfectly flexible rafts. The entire emphasis is to work out the ratio of the load carried out by the piles and the raft soil system. No details are given on &e method to determine the bending moment and shear forces in the raft. It is only mentioned that none of the simple methods are satisfactory and a proper analysis of plate on piles and continuum is desirable. 4.14 Reinforced Concrete Designers Handbook by Charles E. Reynolds and JamesC. Steedman 9th Edition 1981" - This book suggests the analysis of a raft foundation supporting a series of symmetrically arranged equal loads on the assumption of uniformly distributed pressure on the ground considering the structure as an inverted reinforced concrete floor acted upon by the load of earth pressure from bottom. It is further suggested that when the columns on the raft are not equally loaded or are not symmetrically arranged, the raft should be so designed that the centroid coincides with the centre of gravity of the loads. If this coincidence of centre of gravity is impracticable owing to the extent of the raft being limited on one or more sides, the plan of the raft should be made so that the eccentricity of the total loading is a minimum, though this may produce a raft which is not rectangular in plan. 4.15 - IS 2950 (Part I) 1981 Code for Design and Construction of Raft Foundation Part I ~ e s i ~ n ~ In the second revision of the code, two methods of analysis have been suggested depending upon the assumption involved. Conventional method assuming planner distribution of contact pressure is applicable to foundations which are rigid relative to supporting soil and the compressible soil layer is relatively shallow. The rigidity of the foundation is determined with a relative stiffness factor K > 0.5 or columns spacing less than 1.75A. Methods of determining value of K and hare given in the code. Conventionalmethod is applicable when either of the two conditions are satisfied. The value of K depends upon the flexural rigidity of the super-structure, modulus of the compressibilityof the foundationsoil, thickness of the raft, length of the section in the bending axis and length perpendicular to the section under investigation. Value of h depends upon modulus of sub-grade reaction for the footing of the width of the raft, modulus of elasticity of concrete and moment of inertia of the raft. In this method, the rf is analysed as a whole in each of the two perpendicular at directions on the basis of statics. In case of flexible footings, simplified methods are applicable when variation in adjacent column load is not more than 20% of the higher value and the structure (combined action of the super-structure and raft) may be considered as flexible, ie., relative stiffness factor K is greater than 0.5. In this method, it is assumed that
  • 23.
    17 SURVEY OF AVAILABLEI-ITERATURE &' i : the sub-grade conslsts of an infinite array of individual elastic springs each of which is not affected by others. This method is more or less same as the famous soil line method. When conditions, as mentioned above, for flexible foundations are not satisfied ,a method based on closed form of solution of elastic plate theory has been suggested. The distribution of deflection and contact pressure on the raft due to a column load is determined by the plate theory. Since the effect of a column load on the elastic foundation is damped out rapidly. It is possible to determine the total effect at a point of all column loads with~nthe zone of influence by the method of super-imposition. The computation of the effect at any point is restricted to columns of two adjoining bays in all directions. The code also lays down that: (a) Size and shape of the foundation adopted affects the magnitude of subgrade modulus which should be taken into consideration. (b) Consideration must be given to the increased contact pressure developed along the edges of the raft on cohesive soils and the opposite effect on granular soils. (c) Expansion joint should be provided when the structure supported by the raft consists of several parts with varying heights and loads or there is a change in the direction of the raft. (d) This code does not explicitly provide any guidance as to how factors emphasised in (a) and (b) above should be allowed for. The second part of the code relating to construction aspect is still not printed. There has not been any further revision and this code was reaffirmed in 1987. 4.16 Eleventh Intenationul Conference of Soil Mechanics a d Foundation Engineering San Francisco, August 12 1 6 , 1 9 8 5 ~ ~ - In the conference while two papers were presented on instrumentation of pile raft foundation and cap pile soil interaction, there was no recommendation or paper on design of raft foundation. 4.17 Foundation Design and Construction by M.J. Tomiinson, 5th Edition, 1986" There is no significant change in this edition from what was recommended in 4th edition 4.18 - - Handbook of Concrete Engineering Mark Fintei 2nd Edition, 1986% This book makes no recommendation about raft foundation. 4.19 Reinforced Concrete Designer Handbook by Charles E. Reynolds and James Steedman, 10th Edition, 1988~' There is no change in recommendations from what was done in the earlier edition published in 1981 4.20 - - - Building Code Requirements in Reinforced Concrete ACI 318 1989~' Building code requirements since their second edition in 1977 have gone in for further revision 1983, 1989 and 1992. In the latest revision there is no change in the code requirements for design of combir.ed footings and mats, but in commentary a reference has been made to 'design procedure for combined footings and mat i per report prepared by ACI committee 336'and also to a paper 'simplified design of footings by' Kramrisch, s Fritz and Rpgers Paul published in American Society of Civil Engineers Proceeding, V. 87, NOSM 5, October 1961, p. 19.
  • 24.
    18 4.21 RAFT FOUNDKTIONS-DESIGN ANDANALYSIS Foundation Engineering Handbook by Hsai-Yang-Fang2nd Edition, 1 9 9 1 ~ ~ This edition has omitted the chapter on mat foundation which was originally'included in first edition. 4.22 - - Design of Combined Footings and Mats ACI committee 336 2R 88 Published in ACI Manual 1 ~ 3 ~ ~ 1966 report mentioned in para 4.12 above was reaffirmed in 1980 but has been completely revised and elaborated in 1988. This report suggests that: (a) Maximum unfactored design contact pressure should not exceed the available soil pressure determined by geotechnical engineer. Where wind or earthquake forces form a part of the load combination, the allowable soil pressure may be increased as allowed by the local code and in consultation with geo-technical engineer. (b) Combined footings and mats are sensitive to time dependent sub surface response. Many structural engineers analyse and design mat foundations by computer using the finite element method. Soil response can be estimated by modelling with coupled or uncoupled "Soil springs". The spring properties are usually calculated using a modulus of subgrade reaction, adjusted for footing size, tributary area to the node, effective depth, and change of modulus with depth. The use of uncoupled springs in the model is a simplified approximation. The time dependent characteristics of the soil response, consolidation settlement or partial consolidation settlement, often can significantly influence the subgrade reaction values. Thus, the use of a single constant modulus of subgrade reaction can lead to misleading results. (c) Caution should be exercised when using finite element analysis for soils. Without good empirical results, soil springs derived form values of subgrade reaction may only be a rough approximation of the actual response of soils. Some designers perform several finite element analyses with soil springs calculated from a range of subgrade moduli to obtain an adequate design. (d) The response of a footing is a complex interaction of the footing itself, the superstructure above, and the soil. That interaction may continue for a long time until final equilibrium is established between the superimpos&lloads and the supporting soil reactions. Moments, shears, and deflections can only be computed if these soil reactions can be determined. (e) No analytical method has been devised that can evaluate all of the various factors involved in the problem of soil-structure interaction and allow the accurate determination of the contact pressures and associated subgrade response. (f) For mat foundationsmodulus of subgrade reaction cannot be reliably estimated on the basis of field plate load tests because the scale effects are too severe. (g) Mats may be designed and analysed as either rigid bodies or as flexible plates supported by elastic foundation. A combination analysis is common in current practice. An exact theoretical design of mat as plate on an elastic foundation can be made. However a number of factors like, difficulty in projecting subgrade responses, variation in soil properties both horizontal and vertical, mat shape, variety of superstructure loads and assumption in their development and effect of superstructure stiffness on mat rapidly reduce exactness to a combination of approximations.The design is further affected by excavation heave. (h) After propottioning the mat size, compute the minimum mat thickness based on punching shear at critical columns based on column load and shear perimeter. It is common practice not to use shear reinforcement so that mat depth is maximum. I I 1 I * ;
  • 25.
    i I 19 SURVEY OF AVAILABLELITERATURE (i) In case column spacing is less than 1.75 divided by h or the mat is very thick and variation of column loads and spacing is not over 2096, mat may be designed by treating it as a rigid body and considering strips both ways. These strips are analysed as combined footings with multiple column loads and loaded with the soil pressure on the strip and column reactions equal to loads obtained from the superstructure analysis. Since a mat transfers load honzontally, any given strip may not satisfy vertical load summation. Q) In case the criteria is not met with an approximate analysis can be made using the method suggested by ACI Committee 336 in 1966. (k) Computer aided finite differences,finite grid or finite element methods can be used where computers are available. The report gives details of these 3 methods. In any of these 3 methods node pressure should not exceed the safe bearing pressure value recommended by the geotechnical engineer. (1) A mat analysis is only as good as the soil parameters. Since it is very difficult for the geotechnlcal engineer to provide accurate vdues of moGulus of subgrade reaction, the structural designer may do the parametric study, varying the value of K over range of one half the furnished value to 5 or 10 times the furnished value. (m) The analysis and design of combined footings and mats is a soil-structure interaction effort in which there is no unique method to determine mat deflection. The determination of mat deflection extends far beyond the analysis of a beam or finite element model to the prediction of subgrade response. The prediction of subgrade response, though part of the structural analysis of the mat, is more elusive than designers wish to admit. Experience with extensive measurements of both foundation loadings and subgrade response are needed to develop a high degree of confidence in the method selected. A very close working relationship must exist between the geotechnical and structural engineers to properly analyse comb~ned footings and mats. 4.23 Foundation Analysis and Design by Bowles, 4th Edition, 1 9 8 8 ~ ~ In this edition analysis of mat foundation has further been elaborated considerably. Among the design methods included are conventional or rigid methods as explained in earlier edition stating that this method is not recommended at present because of substantial amount of approximations and the wide availability of computer programmes which are relatively easy to use and mat being generally too expensive and important not to use most refined analytical method available. The approximate flexible procedure suggested by ACI Committee 436 (1966) has been retained and elaborated. Further details have been given for finite difference method, finite element method and finite grid method applicable with computer. 4.24 Proceedings of Indian Geo-Technical Conference 1992, Calcutta, December, 1 9 9 2 ~ ~ This conference does not have papers relating to design and analysis of raft foundation. 4.25 - Designs of Foundation Systems Principles and Prrictices by Nainan P. Kurian, 1 9 9 2 ~ ~ The book details conventional approach to raft design as a flat slab and beam and slab raft, following the Indian Standard Code of Practice, more on the inverted floor approach. The book only mentions that an integrated analysis of the beam and slab on the computer by the finite element method using package programmes such as SAP IV which will give exact results based on the actual behaviour of the system can be carried out. This book also mentions about the design of raft foundation by the Soil line method stating that this method has
  • 26.
    20 RAW FOilNDATlONSDESlGNAND ANALYSIS 1I ratherbecome obsolete in the wake of possibility of using more refined flexible methods with the aid of computer. 4.26 13th International Conference on Soil Mechanics and Foundation Engineering, New Delhi January, 1 9 9 4 ~ ~ A paper by M.F. Randolph was presented as a special lecture on design methods for Pile Groups and Piled Rafts. The paper recalls that in majority of the cases where piles form part of the foundation for a building or other structures, the primary reason for inclusion of the piles is to reduce settlements. However, once the decision has been made that piles are required the traditional design approach has been to ensure that the total structural load can be carried out by the piles, with adequate factor of safety against bearing failure. However, there is elastic interaction'between the raft and soil below, between piles and piles as the performance of a pile within a group is affected by the presence of other piles. The key question that arises in the design of pile rafts concerns the relative proportion of load carried out by raft and the piles and the effect of additional pile support on absolute and differentialsettlements.,Thepaper suggests that this distribution of load between the raft and piles be taken into account. The paper also gives methods by which this proportion of load between the two components are carried out. 4.27 - Soil Structure Inter-action The Real Behaviour of Structures, published by the Institution of Structure Engineers, U.K. The Institution of Civil Engineers, U.K. International Association for Bridge and Structural Engineering in March, 1 9 ~ 9 ~ ~ The above institutions constituted a joint committee under Dr. Sam Thornborn which prepared this report. Pointing out that, (i) Red behaviour of structures in contact with ground involves an inter-active process beginning with the construction phase and ending with a state of balance after a period of adjustment of stresses and strains within the structure and within the ground influenced by the structure. (ii) Actual behaviour of the structure relates to the inherent spatial variations in the ground and it should be appreciated that these variations are not always readily identifiable by occasional and local boring, sampling and testing. The report deals with the question of soil structure interaction in 2 parts. Pari I relates to structures supported by ground and Part I1 for ground supported by structures. (a) Under structures supported by ground, the report points out that engineers could estimate the settlements for a perfectly flexible load or they could estimate the avenge settlement of a rigid load but in between these limits, the engineers could say nothing. (b) Analytical methods have been developing so rapidly over the last few years that it is now possible to obtain solution to many complex problems which a few years ago would have been quite out of reach. If used sensibly and with discernment, these powerful analytical methods can be of considerable assistance enabling a designer to gain a feel for the behaviour of soil structure system. However, if used blindly, such methods cause menace and can be extremely misleading. The key to successful use is to gain a clear understanding of the idealisations that are being made and to be aware of, how far they may be, from reality. (c) For a framed building founded on a raft, during excavation some heave of the soil will occur. The raft will then be constructed and will be influenced by the differential settlement there after. As the II i i , I 1 I
  • 27.
    SURVEY OF AVAILABLELITERATURE i t (d) (e) (f) (g) structural load is applied short term settlements take place, the part of the structure in existence distorts and the overall stiffness gradually increases. The cladding is then added and may substantially increase the stiffness of the building. Finally, the imposed load is applied. Not all the components of the buildings are subject to the same relative deflection. The relative deflections experienced by the raft will be the largest. Those experienced by the structural members will vary with location and elevation in the building. The likelihood of damage will diminish, the larger the proportion of medium and long-term settlements,the smaller the ratio of imposedldead loads and later the stage at which the finishes are applied. The report has an appendix which has reviewed currently available techniques for the analysis of the total soil structure system. More readily available computer packages that utilise these techniques, have been listed in the appendix. The manner in which and the limitations with which super-structure can be modelled have been singled out. For soil model, it is pointed out that commonly known approach of treating the soil as a set of liner unconnected springs cannot be recommended for the analysis of rafts and continuous footings although this model has the advantage of being easily included in standard computer programmes for structural analysis. It is a poor physical model. The results of analysis based on use of this model may be excessively sensitive to the pattern of applied load. The half space continuum using elastic theory for both stresses and strains has severe limitations because it does not take into account, the soil layering or the variation of soil modulus with depth within a given layer. In an extension of this method where elastic theory is used for strains only and then stresses are calculated using the various deformation moduli of the soil is better approximation. In a further improvement of a layered coniinuum the exact stresses and strains in a layered soil mass are calculated. Super structure stiffness has a marked influence on the behaviour of the raft and should not be ignored although the quantitative assessment of all but the simplest of the wall system connected to the raft may prove difficult. However, often the raft is itself a major contributor to the overall stiffness of the building. Since the raft is in intimate contact with the supporting soil, the inter-active effects are perhaps most marked in consideration of its own behaviour. In the design of raft foundation, it is totally unrealistic to ignore deformation and rely on moment and shears obtained from the analysis of the conventional flat slab method. It is equally unrealistic to compute deformation without consideration of the structural stiffness and then to design on the basis of the corresponding stress resultants. Rational design approach must be based on the results of an interactive analysis.
  • 28.
    DESIGN APPROACH AND CONSIDERATIONS Summaryof methods suggested by various authors discussed in Chapter 4 would indicate that basically two approaches have been suggested for analysing the behaviour of raft foundation: A. Rigid foundation approach B. Flexible foundation approach 5.1 Rigid Approach In rigid foundation approach, it is presumed that raft is rigid enough to bridge over non-uniformities of soil structure. Pressure distribution is considered to be either uniform or varying linearly. Design of rigid raft follows convkntional methods where again following two approaches have been suggested: (a) Inverted floor system (b) Combined footing approach In rigid rafts, differential settlements are comparatively low but bending moment and shear forces to which raft is subjected are considerably high. 5.2 Flexible Approach In flexible foundation approach, raft is considered to distribute load in the area immediately surrounding the column depending upon the soil characteristics. In this approach differential settlements are comparatively larger but bending moments and shear forces to which the raft is subjected are comparatively low. Analysis is suggested basically on two theories (a) Flexible plate supported on elastic foundation, i.e., Hetenyi's Theory (b) Foundation supported on bed of uniformly distributed elastic springs with a spring constant determined using coefficient of sub-grade reaction. Each spring is presumed to behave independently, i.e., Winklers's foundation Based on these two basic approaches, methods suggested include simplified methods subject to certain limitations which can be carried out by manual computation. Also now available are computer based methods
  • 29.
    23 DESIGN APPROACH ANDCONSIDERATIONS like finite element and finite differences methods. Finite differences method is based on the second approach uf uniformly distributed elastic springs and can consider one value of sub-grade modulus for the entire area. Finite element method transforms the problem of plates on elastic foundation into a computer oriented method of matrix structural analysis. In this method, plate is idealised as a mesh of finite elements inter-connected only at the nodes (corners), and the soil may be modelled as a set of isolated springs or as an elastic isotropic half space. The matrix structural analysis can be extended to include the influence of the super-structure as well. Thus, the interaction between the super-structure, the foundation and the soil can be accounted for. It is possible to consider different values of sub-grade modulus in different areas of the raft foundation. In case of piled rafts against the usual assumption of entire load being carried by piles alone, emphasis is now being laid on sharing of load between raft supported on soil, i.e., raft soil system and raft pile system. Sufficiently accurate methods for practical distribution of these loads are not yet available. As a simplification of treating the entire raft as a plate, concept of beam on elastic foundation is also being used. For this purpose raft is considered to consist of beams in both the directions. Each of these beams is treated as supported on springs having spring constant calculated using modulus of subgrade reaction and carrying column loads. The beam is then analysed as a bean1 on elastic foundation. 5.3 Parameters for Raft Design In all these methods, however, three basic parameters, i.e., rigidity of the raft, pressure distribution under the raft and value of sub-grade modulus become important in addition to whatever other info&ation'is received from soil investigation report. These three parameters and method of their determination are discussed in subsequent paragraphs. A problem which has to be solved while designing a raft foundation is to evaluate the actual contact pressure of the soil against the raft. This problem has occupied many researchers theoretically and a lesser number experimentally with no exact values being known. Contact pressure, settlement of foundation, soil characteristics and its behaviour are so much inter-related and their relationship so complex, that soil foundation structure interaction is not clear even now. Considering all these aspects it can be said that the contact pressure distribution under the raft depends upon: (1) The nature of the soil below the raft, i.e., a single homogenous mass or a layered formation, thicknesses of various layers and their relative locations (2) Properties of the soil (3) The nature of the foundation, i.e., whether rigid, flexible or soft (4) Rigidity of the super-structure (5) The quantum of loads and their relative magnitude (6) Presence of adjoining foundation (7) Size of raft (8) Time at which pressure measurements are taken The total settlement under the raft foundation can be considered to be made up of three components, i.e., S = Sd+Sc+Ss where Sd is the immediate or distortion settlement, Sc the consolidation settlement and S is the secondary s compression settlement. The immediate component is that portion of the settlement which occurs simul- -,
  • 30.
    24 RAFT FOUNDATIONS-DESIGN ANDANALYSIS taneously with the load application,primarily as aresultof distortion within the foundation soils. Thesettlement is generally not elastic although it is calculated using elastic theory. The remaining components result from the gradual expulsion of water from the void and corresponding compression of the soil skeleton. The distinction between the consolidation and secondary compression settlement is made on the basis of physical process which control the time rate of settlement. Consolidation settlements are largely due to primary consolidation in which the time rate of settlement is controlled by the rate at which water can be expelled horn the void spaces in the soil. The secondary compression settlement,the speed of settlement is controlled largely by the rate at which the soil skeleton itself yields and compresses. The time rate and the relative magnitude of the 3 components differ for different soil types. Water flows so readily through most clean granular soil that the expulsion of water from the pores for all practical purposes is instantaneous and thus foundation settles almost simultaneously with the application of load. In cohesive soil, it takes considerable time for water to escape and thus settlement in cohesive soils continue much longer. In fact, it has been reported that the pressure under a mat foundation on clay may vary from time to time. It is usual to assume that the soil below the foundation is an isotropic homogeneous material for its entire depth. But normally this is not the situation and we get different layers in varying thickness, having different properties below foundation. If the thickness of the upper most layer is large relative to the dimension of the loaded area, it would probably be sufficient if the soils were considered as a homogenous layer of indefinite depth. However, if the upper stratum is relatively thin ignoring theeffect of layering, it may have an appreciable influence on the contact pressure distribution and consequently settlements. This is likely to be of special importance when a compressive stratum is underlain by rock or a very hard or dense soil. Such presence decreases the settlement considerably. It is very significant when this occurs within a depth equal to width of the footings. Incase, there is a stiff stratum underlain by a soft stratum like layer of sand over soft clay layer, effect is negligible if depth is greater or equal to 3.5 b2.1n case of raft, dimensions of raft are generally such that the possibilities of encountering a different soil layer within the significant depth are quite large and as such it would be necessary to account for the different soil layers within the significant depth. Moreover it is to be remembered that properties of soil constituting each layer which determine the shear strength characteristics and settlement characteristicsof the soil become more important as rafts are generally adopted in areas where soils of poorer types are'~ncounteredand which some years ago might have not been taken up for construction at all. Effect of groundwater table is appreciable on the load carrying capacity of the soil and consequently settlements. It is, therefore, necessary to consider the expected ground water table in life time of the structure including the temporary rises as during floods. Even in areas where sub-soil water table is not present, it is necessary to consider long term built up water for design of basement and raft foundation. If permeability coefficient of the soil is below 0.1 mm per second, soil is cohesive and probability of surface water accumulated against basement walls exist'. In such situations, it may be necessary to design raft foundations of basement for water uplift also. The conventional analysis of footings, in general, uses the concept of a rigid fcotings and with rigid footing are associated the concept of uniform soil pressure. Actually to have a uniform soil pressure distribution, we require a very flexible footing. If simultaneously we accept the concept of soil being elastic (modulus of elasticity or coefficient of sub-grade modulus), settlementof rigid footing will be uniform and that for a flexible footing the settlement would be non-uniform and but if this is the case then how can the contact pressure be uniform (under a rigid footing). In reality we have a soil snucture interaction problem and there is a non-uniform soil pressure and differential settlements within the footings. It has been suggested that in case of square footing resting on clay on average contact pressure of 0.6 PIA with additional 0.1 PIAalong edges would be reasonable
  • 31.
    25 . DESIGN APPROACHAND CONSIDERATIONS 1 I 1 : i- i : 1 : pressure distribution. For a rectangular footing of large length it is suggested that it would be reasonable to have an average pressure equal to 0.8 P average + 0.1 PIB for the edges. Here P is total load, A, area and B, length of the footing. For footings on sands a pressure distribution of uniform soil pressure is reasonable. Rigidity of foundation gets modified by the rigidity of super-structure. Arigid super-structurewill not allow differential settlement to take place in foundation. Situation can arise when a particular column of the building may be hanging from the super-structure and even transmitting the weight of attached soil mass to the super structure rather than transmitting any load from the super-structure to the foundation soil. In fact, a rigid foundation with a rigid super structure means less differential settlement, large variation of contact pressure and high bending and shear stress in foundation members. A flexible foundation with flexible super structure means large differential settlements, uniform contact pressure and lower values of bending and shear stresses in foundation members. Quantum of loads and their relative magnitude affect the contact pressure. When the loads are so high that bearing pressures are increased to the point of shear failure in the soil, the contact pressure is changed leading to an increase in pressure over the centre of the loaded area in all cases. The consolidation pressure involves expulsion of water from the soil being compressed. This takes time and at any time between the application of the load producing consolidation and the time at which essentially ultimate or 100 per cent consolidation has occurred, the measured settlements and consequently contact pressure distribution would be different. Many times it may take several years to achieve final settlement. There are situations in engineering practice where footings are placed so close to each other that their zones of influence overlap. Studies have shown that effect of adjacent footings may vary considerably with angle of shearing resistance. For low values they are negligible. For higher values they appear to be significant particularly if footing is surrounded by others on all sides. There are practically no effects in case of punching shear failure. It is generally recommended that interference effect may be neglected. In view of various factors affecting the pressure distribution under a raft foundation and difficulties in determining affect of each, it is generally believed that contact pressure distribution under a raft could be of the following type as shown in Fig. 5.1. , ( c ) SOFT SOIL ------- Fig. 5.1 Contact pressure distribution under a raft
  • 32.
    26 RAFT FOUNDATIONS-DESIGN ANDANALYSIS Fig. 5.1 (a) is applicable when the mat is supported on hard rock and column loads are transmitted to the rock on areas of relatively small size directly under the columns. If the raft rests on a stiff dense soil, then loads are distributed to the sub-soil in relatively large areas, as shown in Fig. 5.1 (b). It is only on very soft soils that the contact pressure against the mat foundation approaches linear distribution as shown in Fig. 5.1 (c). Therefore, it is commonly justified to design a mat on mud, soft clay, peet or organic soil by the conventional rigid method using uniform pressure. In fact assumption of rigid footings with uniform soil pressure results in designing the raft for assumed bending moments which are larger than the actual bending moments. The resulting design is conservative generally but may not be economical. A greater economy can, perhaps, be achieved by designing the mat with elastic methods, but at what risk and is it really so ? Actual pressure distribution under the raft, therefore, remains unanswered. 5.5 Rigidity Criteria Whether a structure behaves as rigid or flexible, it depends on the relative stiffness of the structure and the foundation soil.The behaviour of the foundation as rigid or flexible will also depend upon the rigidity of the super-structure above and properties of soil below. In physical terms, a rigid foundation would mean a foundation which is capable of bridging over pockets of soil with different properties and thus try to even out the settlements at various points. A rigid foundation would, therefore, have comparatively lower values of differential settlement but higher values of stresses. A rigid foundation with a rigid super-structure on a comparatively compressible soil will result in uniform settlements of structure. A flexible foundation with a flexible super-structures and a comparatively rigid soil below will behave as a flexible foundation and would result in large differential settlements and low stresses. Thus: (i) Arigid member is characterisedby high bending moments and relatively small, uniform deflections. Over all differential settlements are small. (ii) An intermediate member, as the term implies, has intermediate bending and deflection values. (iii) The flexible member has comparatively smaller bending moments and deflection is maximum in vicinity of the loads and small values else where. Overall differential settlement would be of higher orders. - Rigidity criteria proposed by various authorities are discussed below: 5.5.1 Proposed by IS : 2950 (Part I) 19813 Appendix C of this standard gives the method of deciding rigidity of super-structure and foundation. This is reproduced below: Rigidity of Superstructure and Foundation C-1 Determination of the Rigidity of the Structure C-1.1 Theflexural rigidity El of the structure of any section may be estimatcdaccotding to the relation given below (see also Fig. 5.2):
  • 33.
    DESIGN APPROACH ANDCONSIDERATIONS Fig. 5.2 Determination of rigidity of a structure where El = modulus of elasticity of the infilling material (wall material) in kg/crn2, I, = Moment of,inertia of the infilling in cm4, b = length or breadth of the s ructure in the direction of bending. H = total~height the infill In cm, of E, =modulus of elasticity of frame material in kg/cm2 Ib = moment of inertia of the beam in cm4 J / . where 1 = Spacing of columns in cm, h, = Length of upper column in cm, hl = Length of lower column in cm, I,, = Moment of inertia of upper column in cm4, Il = Moment of inertia of lower column in cm4 If = hioment of inertia of foundation beam or raft in cm4,
  • 34.
    28 RAFT FOUNDATIONS-DESIGN AND ANALYSIS Note:The summation is to be done over all the storeys, including the foundation beam of raft. In the case of the' foundation I;replaces Pb and 1, becomes zero, whereas for the topmost beam 1'" become zero Relative Sti#hess Factor K: C-2 C-2.1 Whether a structure behave as rigid orflexible depends on the relative s t i m s s ofthe structure and thefoundation soil. This relation is expressed by the relative stimess factor K given below: (a) For the whole structure (b) For rectangular rafts or beams (c) For circular rafts where El = Flexible rigidity of the structure over the length (a) in kg/cm2 E, = Modulus of compressibility of the foundation soil in kg/cm2 b = Length of the section in the bending axis in cm, a = Length perpendicular to the section under investigation in cm, d = Thickness of the raft or beam in cm, R = Radius of the raft in cm C-2.1.1 For K > 0.5, the foundation may be considered as rigid C-3 Determination of Critical Column Spacing C-3.1 Evaluation of the characteristics h is made as follows: where k = Modulus of sub-grade reaction in kg/cm3 for footing of width B in cm B = Width of raft in cm, E, = Modulus of elasticity of concrete in kgf/cm2 1 =Moment of inertia of the raft in cm4 Modulus of compressibility of the soil is the additional property required in this particular case. 5.5.2 ACI Committee, 436 Suggested design procedure for combined footings and mats - American Concrete Institute Journal, October, 196614 Relevant extracts from this paper are given below:
  • 35.
    I1 a Ig DESIGN APPROACH ANDCONSIDERATIONS 29 Footings supportingjield structures Continuous strip footings supporting structures which because of their rigidity will not allow the individual columns to settle differentially should be designed as rigid footings with a linear distribution of soil pressure. This distribution can be determined on the basis of simple statics. To determine the approximate rigidity of the structure, an analysis must be made comparing the combined stiffness of the footings, super-structure framing members, and shear walls with the stiffness of the soil. The relative stiffness will determine whether the footing should be considered rigid or flexible. The following formulas may be used in this analysis : where E = Modulus of elasticity of the materials used in the structure, kips per sq.ft (metric tons per sq.m) I, =Moment of inertia of the structure per unit length, ft3 (m3) IF = Moment of inertia of the footing per unit length, ft3(m3) Es= Modulus of elasticity of the soil, kips per sq.ft (metric tons per sq.m) b =Width of footings, ft (m) per An approximate value of ElIC unit length of building can bedetermined by summing the flexural rigidity of the footing (E'L,) the flexural rigidity of the each framed member (FIB)and the flexural rigidity of any shear walls (F3112) where a and h are the thickness and height of the wall, respectively. Computations indicates that as the relative stiffness K, increases, the differential settlement decreases rapidly. For K , = 0 ,the ratio of differential to total settlement is 0.5 for long footing and 0.35 for a square one. For K , = 0.5 , the ratio of differential to total settlement is about 0.1. If the analysis of the relative stiffness of the footing yields a value above 0.5, the footing can be considered rigid and the variation of soil pressure determined on the basis of simple statistics. If the relative stiffness factor is found to be less than 0.5, the footing shall be designed as a flexible member using the foundation modulus approach as described under section 6.4 of the report. Columns Spacing The column spacing on continuous footings is important in determining the variation in soil pressure distribution. If the average of two adjacent spans in a continuous strip having adjacent loads and column spacings that vary by not more than 20 per cent of the greater value or is less than 1.75/h, the footing can be considered rigid and the variation of soil pressure determined on the basis of simple statics. - If the average of two adjacent span, as limited above, is greater than 1.75/h, the design of the footing shall be governed by subgrade modulus theories. For general cases falling outside the limitation stated above, the critical spacing i t which the subgrade modulus theory becomes effective has to be determined individually. Evaluation of the factor can be made on the basis of the following formulae: '
  • 36.
    30 RAFT FOUNDATIONS-DESIGN ANDANALYSIS K, = SR,r Where K, = Coefficient of vertical subgrade reaction, Kips per cu ft (metric tons per cu m) K, basic value of coefficient of vertical subgrade reaction for a square area with width b = 1 ft (0.3 m). '= Kips per cu ft (metric tons per cu m) b = Width of footings, ft (m) S = Size or shape factor for a footing on a particular type of soil E, = Modulus of elasticity of concrete, Kips per sq ft (metric tons per sq m) I = Moment of inertia of footings ft4 (m4 For sandy soils the size factor S can be determined from the following formula: with a limiting value of 0.25 for large footings. As for clay soils, the shape factor S can be determined from the following formula: When n is the ratio of the longer side to the shorter side of the footing. As for extremely long footings, where n approaches infinity, S can be assumed as 0.67. can Values for Kt,, be determined from the results of field tests performed on the subgrade of the proposed structure or can be estimated on the basis of empirical values in "Evaluation of coefficients of Subgrade Reaction" by Terzaghi. 5.5.3 Hetenyi's Criteria From theory of beams on elastic foundation, Hetenyi proposed rigidity criteria on the basis of hLterm which considers width, length and elastic properties of the media. This term is hL = (K,.L ~ ) " ~ 4 El where K, = KB = Modulus of sub grade reaction X Width of footing - units of psf. L = Total length of foundation member E = Modulus of elasticity of footing material I = Moment of inertia of footing If 1 c W4 footing can be considered as rigid. For value between W4 and l semi rigid, and elastic, if , 3 > I ~ o w l e sfound this criteria of very limited application. 7 '~ 5.6 Modulus of Sub-Grade Reaction One of the important terms required in analysing foundation on the basis of flexible footings is value of modulus of sub-grade reaction also called coefficient of sub-grade reaction for the particular soil in the foundation of the buildings. Mathematically, this can be axpressed as intensity of soil pressure required to create a unit
  • 37.
    31 DESIGN APPROACH ANDCONSIDERATIONS 3 I deflection. Theoretically, it can be determined by performing a plate load test and plotting a curve of soil pressure versus deflection. In actual practice, however, many other factors enter and actual value in field is different from what can be determined by a simple plate load'test. Major problems associated are: (a) Soil is not perfectly elastic and results are effected by the magnitudes of soil pressure and deflection (b) Footing size affects the value (c) Footing shape also affects (d) Depth at which footing is located also affects (e) Soil stratificationand other changes with depth which may not show when testing with a small plate (f) In methods where soil modulus is determined in laboratory, site condition can not be exactly duplicated in field laboratory (g) Various authors have suggested different factors to take these problems into account On the other hand, certain authors have suggested very simple values for modulus of sub-grade reaction which can be determined from bearing capacity factors used in Terzaghi bearing capacity equation. 5.6.1 Recommended by ~ o w l e s ' ~ Has related value of modulus of sub-grade reaction with safe bearing capacity by the relation Ks = 36 qa where qa is the allowable bearing capacity in Kips per sq ft. A slightly improved values are also suggested by the equation. where c is cohesion, Nc and N q are bearing capacity factors, Sc and Sq are shape factors for particular soil in foot units . Moreover: Sc = I + - NcxB NcxL General values suggested by Bowles are given below: Soil Range of Ks. Kef ~ o o s sand e 30 - 100 Medium sand 60 - 500 ~ e n s sand e 100-800 clayey sand (Medium) 200 - 500 Silty sand (Medium) 150 - 300 Clayey soil : qu 5 4 Ksf 4<qu18Ksf 75 - 150 150 - 300
  • 38.
    32 RAFT FOLINDATIONS-DESIGN ANDANALYSIS 5.6.2 IS : 2950 P r I Indian Standard Code of Practice for Design and Construction of RafC Foundation at 2950 1981' - Provision relating to determination of modulus of sub-grade reaction are included in Appendix B. This is reproduced below. Figures given in bracket in Tables I and I1 are in Kipdc ft. units. B-1 General - 1 The modulus of subgrade reaction ( k ) as applicable to the case of load through a plate of size 30 x 30 cm or between 30 cm wide on the soil is given in Table 1 for cohesionless soils and in Table 2 for cohesive soils. Unless more specific determination of K is done (see B-2 and B-3) these values may be used for design of rafl foundation in cases where the depth of the soil affected by the width of the footing may be considered isotropic and the extrapolation of plate load test results is valid. Table I Modulus of Subgrade Reaction (K) CohesionlessSoils for Modulus OfSubgrade Reactions (K)in kg/cm3. Soil Characteristic Relative Density (1) For dry or moist state Standard Penetration test value ( N ) For submerged state (2) 0.9(57) 1 5 to 4.7 . . 0.9to 2 9 (95to 300) (57to 185) 4.7 to 18.0 2 9 to 10.8 . (300to 1146) Dense 1 5 (95) . 10 to 30 Medium (4) < 10 Loose (3) (185 to 687) 30 and over * The above values apply to a square plate 30 X 30 cm or beams 30 cm wide for Table II Modulus of Subgrade Reaction (K) Cohesive Soils Soil Characteristic Modulus of Subgrade Reaction (K)in K ~ / C ~ ~ Consistency Unconfined compressive strength, kg/cm2 (1) (2) (3) Stiff l to 2 2 7 (1 . 72) Very stiff 2 to4 2 7 to 5.4 (172to 344) . 4 and over 5.4to 10.8 (344to 688) Hard * The values apply to a square plate 30 x 30 cm. The above values are bared on the assumption that the average loading intensity does not exceed half the ultimate bearing capacity.
  • 39.
    DESIGN APPROACH ANDCONSIDERATIONS B-2 33 Field Determination In cases where the depth of the soil affected by the width of the footing may be considered as isotropic the value of K may be determined in accordance with IS :9214 - 1979". The test shall be carried out with a plate of size not less than 30 cm. B-2.2 The average value of K shall be based on a number of plate load tests carried out over the area, the number and location of the tests depending upon the extent and importance of the structure. NOTE IS:9214 - 1979 lays down that Ks can be determined as slope of the secant drawn between the points corresponding to zero settlement and point corresponding to 1.25 mm settlement of a load settlement curve obtained from a plate load test on the soil using a 75 cm dia plate or smaller dia with corrections for size of the plate used. B-3 Laboratory Determination B-3.1 For stratifed deposits or deposits with lenses of different materials, evaluation of Kfrom plate load will be unrealistic and its determination shall be based on laboratory tests (see IS: 2720 (Part XI)- 1972" and IS: 2720 (Part X1I)- 1 9 8 1 ) ~ ~ B-3.2 In carrying out the test, the continuing cell pressure may be so selected as to be-representative of the depth of average stress influence zone (about 0.5 B to B) B-3.3 The value of K shall be determined from the following relationship where Es= Modulus of elasticity of soil (see Appendix A) E = Young's modulus of foundation material p = Poisson's ratio of soil ( see Appendix A) and I = Moment of inertia of structure if determined or of the foundation B-3.4 In the absence of laboratory test data, appropriate values of Esand p may be determined in accordance with Appendix A and used in B-3.3 for evaluation of K. 8-4 Calculations B-4. I When the structure is rigid (see Appendix C) the average modulus of sub grade reaction may also be determined asfollows: Ks = Average contact pressure Average settlement of the raft Appendix C lays down the method of determining the rigidity of superstructure and foundation and has +n dealt with in para 5.5 above. Appendix A lays down mettrod of determination of modulus of elasticity of soil by field tests or laboratory tests. ~ w '~ Equation in B-3.3 above is based on work carried out by ~ e s i c~ o~ . l e shas observed that the 12th root of any value will be close to 1 and equation can be considered to be equivalent to
  • 40.
    34 RAFT FOUNDATIONS-DESIGN ANDANALYSIS and suggested that value of Kscan be calculated by the equation Ks= 36 qa where qa is allowable bearing capacity in kips per sq. ft. - 5.6.3 1.S. 9214-1979 Method of Determination of Modulus of Subgrade Reaction (k value) of Soils in Fiedo Modulus of sub-grade reaction is defined as a ratio of load per unit area (applied through a centrally loaded rigid body) of a horizontal surface of a mass of soil to corresponding setdement of the surface. It is determined as the slope of secant drawn between the point corresponding to zero settlement and the points of 1.25 rnm settlement, of a load settlement curve obtained on a soil using 75 cm dia or smaller loading plates with corrections for size of the plate. The value of modulus of subgrade reaction so determined is required to be corrected for (a) when using plates smaller than 75 cm in dia (b) correction for bending of the plate. (c) correction for saturation. Average value of k is to be based on a number of plate load tests carried out over the area, the number and location depending upon the extent and importance of the structure. Final correction is required to be applied for the size of actual raft being different from plate. - - - 5.6.4. IS 8009 Part I 1978. Code of Practice for Cirlculation of SettCements of Foundations Part I Shullow Foundations, Subjected to Symmetrical Static Vertical Load IS 6403 1981 Code of pmctice for determination of bearing capacity of shallow foundations. - - - Another method of arriving at the value of modulus of subgrade reactions would be to determine the bearing capacity of soil for the contemplated raft foundation and the settlement for the same raft foundation in accordance with the two codes referred above and utilize the same. This value should be more realistic as it is usual in case of all foundations to fix their dimensions in plan for full bearing capacity. However, determination of bearing capacity of soils is not an exact mathematical exercise leading to accurate results. Large number of approximations and engineering judgements are involved. Two types of failure, i.e., general sheer failureand local sheer failures have been recognised. Settlement calculations in the present state of knowledge are considered to be at best estimate of the most probable magnitude of settlement. Calculations in this code are based on the assumption that the loads transmitted to the foundation are static and vertical. The soil mass below is considered to consist of horizontal soil layers having known properties determined on the basis of base log data from several bores. In practice, however, no two base log data is similar, soil layers are not horizontal and it is quite difficult to idealise the soil below foundation in the manner contemplated in the code. Different memods of calculating settlement are applicable for cohesionless and cohesive soils. Because of difficulty in sampling of cohesionless soil and consequent inability for determining their compressibility characteristics, settlement calculations are based on semi empirical methods utilising results of either static cone penetration tests, standard penetration test or plate load test Plate load tests being getting out of fashion, it will normally be worked on the basis of ' K values from standard penetration test. In case of cohesive soils, settlement is considered to be built up to two components; immediate settlement plus primary consolidation settlement Procedure for estimation of immediate and consolidation settlement differ for different types of soil profile, i.e., nature and location of various soil layers below the foundation. These also depend even on the fact whether the cohesive soil layer is pre-consolidated or normally loaded clay.
  • 41.
    DESIGN APPROACH ANDCONSIDERATIONS 35 Settlements as calculated are required to be corrected for the effect of depth of the foundation and effect of rigidity of raft. Correction due to depth of foundation is applied as a depth factor. For rigidity it is assumed that the deflection at the centre of rigid foundation is equal to 0.8 times that for a flexible foundation. TOapply this factor, one has to decide whether the foundation is rigid or flexible. As already discussed in para 5.5 this itself is full of uncertainties and approximations. Further settlements of an actual structure would depend upon the time rate of loading. Methods have been suggested to take this into account, but these methods again are based on number of assumptions and neglecting the effect of loading and unloading cycles which undergo during the construction process. Having determined bearing capacity and settlement modulus of subgrade reaction can be determined by the basic definition. 5.6.5 Recommendation by Alpan and Pmf. Alam Singh ~ l ~ a determined settlement curves of plate loads tests already reported by Terzaghi, Peck and Thornburn. n ' ~ He correlated the values of np (reciprocal of the modulus of subgrade reaction) with SPT blows which were re-plotted this correlation in SI units. Alam Singh has also developed also available for the tests. Alam singhZ5 a correction chart for overburden pressure. S.P.T. value determined in field is corrected for overburden pressure from these charts. He has further suggested that the value so determined should not be more than 3 times the original value of N. When N is greater than 15, it should be further corrected as per relationship. N = 15 +0.5 (WT15) This N corr is used in the curve to find out reciprocal of modulus of subgrade reactions. These values are for plates and have to be corrected for size of the raft foundation. Alam Singh has suggested use of curves presented by Bjermm and Eggested which are based on a plate size of 0.32 m size sq plate. In this plot curve 1 and 2 represent the extreme boundaries. Average curve is suggested for N values between 10 to 20, curve 2 for N value > 50, curve 1 for N < 10 and Terzaghi, Peck curve for N values between 30 and 50. As is apparent there are number of limitations to this method. All suggestions are for cohesionless soil. Original test reported by Terzaghi, Peck and Thornburn cannot be considered to have universal application. 5.6.6 Summary It would thus be seen that even for the same soil data values of modulus of sub grade reaction determined by methods suggested in the different text books and codes will be different. Which value to be adopted for the correct design, is a million dollar question.
  • 42.
    STRUCTURAL DESIGNER^ DILEMMA Structural designof raft foundation is being carried out by structural engineers individually, or while working in any consultancy organisation which could be in public or private sector. Competence of these structural designers varies widely. On one extreme are those who have some knowledge of structural design, but do not have much of guidance from their seniors. Such engineers when faced with problem of undertaking design of raft foundation will pick up a text book or manual on reinforced concrete design and follow the procedure laid down which in most cases would be conventional combined footing and would normally be safe ut expensive. On the other extreme are top class engineers who have wide experience and knowledge of structural designs with ability to analyse the problem, carry out alternative analysis and design a raft foundation which would not only be safe, but would be economical. Such designers are, however, very few and seldom undertake design for normal buildings. Majority of the designers have knowledge in between those two extremes. They have read moderately, have some experience of design and would normally try to make a design which is not only safe but should also be economical. These designers will study more than one book or manual on concrete and structural design and will normally find that the opinions and methods of design recommended in various text books and manuals differ widely. They will also find that the examples considered in the text books and manuals mostly are very simple and regular-shaped uniformly loaded rafts which satisfy number of assumptions made in the text book, whereas their problem is much different. They may also have a feeling that conventional methods of raft design are old fashion and may lead to high thickness and high quantity of reinforcement; Flexible methods give low thickness and low values of bending moments and accordingly low cost of reinforcements. They f&e the dilemma as to which of the methods they should adopt. Quite often since no straightaway guidance is available in the books or manuals for practical design of raft, they also finally take up one or two text books and work out a design. Quite often analysis is carried out on computer using flexible approach utilising the value of modulus of subgrade reaction suggested by the soil consultant or worked out by them as per method given in any book and simultaneously design the raft for vertical loads neglecting various other factors which affect the design of raft. Such designs are seldom satisfactory, though structures designed by them, do not show any distress to start with. Structures seldom get loaded to the design loads. How will these structures behave when subjected to full designed loads including seismic effects can be judged only by number of otherwise standing structures failings in such circumstances. e
  • 43.
    STRUCTURAL DESIGNERS'S DILEMMA $ E :: Keepingsuch designers in view, it was felt that enough material should be made available to them to allow them to appreciate the effect on raft foundation of variation in the values of the various parameters adopted by them in design and also the effect of neglecting base moments of the column and horizontal loads. Studies have, therefore, been carried out on the effect of various parameters on the values of bending moments, shear force, contact pressure and deflection in the rafts already constructed for actual buildings. These studies are presented in Chapters 7 and 8. Finally, keeping in view the various constraints under which a designer has to cany out the design, suggestions have been made for methods to be adopted in Chapter 12 for various situations.
  • 44.
    STUDIES CARRIED OUTON EFFECT OF VARIOUS PARAMETERS ON DESIGN OF RAFT The usual practice of design being followed is to work out preliminary sizes of the raft, i.e., thickness of the slabs, if it is uniformly thick raft or beam size and slab thickness in case it is beam and slab system on the basis of shear and analyse the raft for vertical loads alone. As an improvement where computer facilities and greater expertise are available, raft is analysed as flexible raft selecting one particular value of modulus of subgrade reaction, one assumed size of the raft and vertical loads alone. Values of bending moments thus obtained are used. In both these designs unless the preliminary sizes selected are found to be structurally unsafe in resisting moments and shears, even after addition of permissible reinforcement, the design is completed and finalised. As already pointed out in previous chapters the real position is not so simple. Different designers may select different preliminary sizes, different values of modulus of subgrade reaction even for the same soil, and pattern of pressure distribution under the raft. In actual buildings, columns have base moments which are resisted by the junction of the raft and the columns. Buildings subjected to earthquake forces have not only increased column base moments but also undergo cyclic effect in which vertical loads in different groups of columns decrease and increase. Studies have, therefore, been carried out to consider on the design of raft foundation the effect of neglecting some of these aspects and making assumptions which in fact are not true. These studies have been carried out in four parts. 7.1 Study 1 In sophisticated flexible analysis, utilising computer, it is soil properties which matter to a large extent. In exact analysis all soil properties matter, but in commonly adopted analysis where soil-raft interaction is idealised as a.spring of known rigidity most important soil property is modulus of sub-grade reaction. The rigidity of raft which is determined by the size of the raft and effect of super-structure on the same, is another vital parameter which comes into play in any analysis. The effect of variation in values of both these parameters on the value of bending moments and shear forces, one gets on an analysis, has been studied in this study. Efforts have been
  • 45.
    STUDIES CARRIED OUTON EFFECT OF VARIOUS PARAMETERS 39 made to present results, in numerical values and show the large variation which, one can get .for the same structure, having a particular loading pattern founded on the same soil when different sizes of raft or values of modulus of sub grade reacrion determined by various methods available in literature are adopted. While carrying out this study, only vertical loads have been considered. Contribution made by super structure in the rigidity of raft has been neglected. 7.1.I Examples Selected Most of the text-books on structural engineering and reinforced concrete design,while dealing with examples on raft analysis, generally consider a simple symmetrical shape with more or less symmetricaVunifom loading. But in practice this never happens. Even when the shape may be symmetrical, the loading is not. TOmake the study realistic, raft foundations for actual buildings have been considered in this study. One eight-storeyed block of residential flats consisting of four flats on each floor with a central core having staircase, lift and other service areas, which has already been constructed few years ago, has been considered in this study. The central core goes beyond eight storeys to provide staircase mumty, machineroom and water tank. Ground floor has got part parking. The central core is separate from other blocks. The raft foundation consists of a slab having uniform thickness, one for each side block and other for central core. The central core is symmetrical in shape about one axis. The side block is not symmetrical about any axis. Loading on these blocks are as per actual loads obtained during design process. Example 1 relates to the side block, and Example 2 to central core. The third example considered is the front block of another six-storeyed institutional building, which consists of a front block and rear block separated by expansion joints. Its front block isrectangular in shape but has unsymmetrical loading. The raft consists of beams in both direction and a slab monolithic with the b%ams. In two out of these three examples, raft dimensions have been so adjusted that the centre of gravity of vertical loads and centre of gravity of raft area coincide. The loading can, therefore, be considered to be symmetrical and it is this aspect which is very important. In practical examples, it may generally be possible to coincide CG of raft and load. It is, however, not possible to have simultaneously a symmetrical shape in plan also. 7.1.2 Rafr Size The raft thckness actually provided for Example 1 (Fig. 7.1) is one metre. In this study, it was considered that this thickness could vary from 80 cm to 1.2 m. For Example 2 (Fig. 7.2) actual thickness provided is 1.2 m. This was considered to vary from 1 M to 1.4 M . In Example 3 (Fig. 7.3) the slab thickness is 50 cm and the transverse beams are 80 cm x 150 cm (including slab). Longitudinal beams are 85 cm x 110 cm. While the beam sizes are considered to remain the same, the slab thickness is taken to vary from 50 cm to.90 cm . All these variations are considered in steps of 10 cm each. The effect of rigidity of the super structure has not been taken into account. 7.1.3 Soil Investigation . Soil investigations to determine the safe bearing capacity of soil for purposes of design were done through specialised consultants and their reports obtained. Since in conventional design, properties like modulus of sub-grade reaction are not utilised, these consultants were not requested to intimate value of modulus of sub-grade reactions and they did not do so. Values of modulus of sub grade reaction were, therefore, calculated by variousmethods described in 5.6 above. Details of soil investigationsindicating soil strata at various depths, 'N' values from standard penetration tests, location of water table and values of modulus of sub-grade reaction calculated are indicated in Figs. 7.4 and 7.5 for Examples l , 2 , and 3.
  • 46.
    RAFT FOUNDATIONS-DESIGNAND ANALYSIS t T 16985 RAFTSLAB THICKNESS4OOoMM Fig. 7 1 . - .. 1 0 6 6 0 t 2 2 8 0 t6090 ~ + l 5 8 O b 7500 -tlW+ -06 160 ~t Fig.7.2 22904
  • 47.
    41 STUDIES CARRIED OUTON EFFECT OF VARIOUS PARAMETERS f5 I i ~ n JKN n 1N - I 6213 4m.4 1 SRI ~ K N U N 1767 TKN ~9- BEAM S I Z E S B1=650X1500mm B2=600X1500mm B3=800X 1 1 00mm 1 g COLUMN S I Z E =400X800mm T h i ckness PLAN OF R A F T AT FRONT BLOCK <ALL DIMENSIONS ARE IN MM) Fig. 7.3 In soil investigations for Examples 1 and 2, four standard penetration tests have been carried out extending to a depth of 9 m. 'N' value are varying from 9 to 50, water table in different bore holes is varying between 3.1 8 to 4 m. below existing groupd level. In bore hole No.3 top 30 cm or so had brick bats mixed with silty clay. Four dynamic cone penetration tests were also carried out on an interval of 30 cm each with depths extending upto 14 m. Values of K,in Kipp per ft' units have been calculated by the four methods given in para 5.6. Soil consultant had recommended a safe bearing capacity of 150 ICbI/m2 at a depth of 2.5 m. It would be seen that there is large variation in the values of K,determined by various methods and for various bore holes. The minimum being 70 and maximum being 476. Average value for the four bore holes by each methods are also indicated. For the purpose of study, 4 values, i.e., 70, 156, 389 and 415 kipps per ft. have been adopted for studying the effect of variation in value of modulus of subgrade reaction. Any designer could have adopted any of the 20 values in Fig. 7.4. These values in metric units would be 10996,24506,61108,65203 K N / ~ ~ . For soil investigation in case of Example 3, three standard penetration tests and four dynamic cone penetration tests extending upto a depth of 10 m. were carried out. The depth of the water table varied form 1.5 to 1.84 m. below ground level. Fig. 7.5 would show that value of K,varies from bore hole to bore hole and from one method to another method. Out of three bor holes one bore hole was located within the raft dimensions of front block, another one was very near to is raft and 3rd one was under the rear block. Two values selected are 117.42,90.14 Kip ft. or 18402 and I4956 ICbI/m3 . It is usual practice to assume one value of K,y entire raft, but this is not the reality . Ifmil values under the raft changes from one bore hole to other, for soil parameters would also change. To take into account the variation of K, under the same raft from one portion i
  • 48.
    42 RAFT FOUNDATIONS-DESIGNAND ANALYSIS EXAMPLE 1AND 2 Average 100 70 295 160 156 K s By BOVLES M I a K c f D 229 202 254 264 237.25 K s BY BOVLES M 11 tn K c f D 268 285 344 347.0 311 ALPAN'S CURVE In K c f 393 348 476 476 389 Average Value o f N 22.71 20.03 25.2 26.21 23.54 Ks By I S CODE IN K c f Fig. 7.4 to anofher, the raft was considered to have different values of K,in the 3 portion which had been demarcated on a rational basis. These values are two combinations of 224.65,270.33,372.14 and 114.07 , 131.23,118.19 Kip/c ft.in metric units these values would be 34976, 42466, 58460 and 17920, 20615,18567 in K N / ~ ~ , respectively. A kafe bearing capacity of 1.5 kg/crn2 w s suggested by soil consultants for this raft. a 7.1.4 Lwd Considered in Study In accordance with the common practice, only vertical load as being transferred to raft from columns, neglecting base moment for columns are considered.
  • 49.
    STUDIES CARRIED OUTON EFFECT OF VARIOUS PARAMETERS EXAMPLE -3 SILTY W D SMDY SOU average KsBy BOWLES IN I in K c f MD 118.19 90.14 144.27 117.47 KS BY BOWLES MD I1 in K c f 372.14 435.45 270.33 327.89 274.17 113.32 312.57 127 106.1 115.74 11.8 9 14.4 Ks By I S CODE I N K c f Ks By ALPAN'S CURVE m Kcf ACRAGE VALUE OF N 274.19 115.74 11.73 Fig. 7.5 7.1.5 Analysis The analysis has been camed out on an electronic computer utilising SAP -1Vcomputer programme based on finite element methodj~inite element method of structural analysis is based upon the general principle of going from part to whole. The elastic continuum whole forming the structure is discretised with a number of finite elements just as the way a building is discretised as elementary beams, columns and slabs for purpose of analysis and design. For a two-dimensional continuum considered for raft analysis, such finite elements are triangular, group of triangles or quadrilaterals. Each of the node has six degrees of freedom, three each for displacement and rotation. Raft is taken as a thin plate on elastic foundation .The soil is idealised as a spring
  • 50.
    44 RAFT FOUNDATIONSDESIGNAND ANALYSIS undereach node on the concept of Winkler's model. Spring constant is a function of soil sub-grade modulus and the area under the node. Suchan analysis suffers from the disadvantage that when the raft gets separated from the soil supporting it, physically, under such condition the soil will no longer act as support. But in the method adopted for analysis the spring which is representing the soil continuum as a support takes tension. However, it has been felt that this limitation is not of much significance because such tension would be exceptional. . . Fig. 7 6 indicates the finite elements in which raft of Fig. 71 has been divided. Six elements in this figure have been selected and used for comparison of values of bending moments in X and Y directions and.deflection in the.2 direction. Comparative values for Example 1 are indicated in Table 7.1, a constant thickness of 1 for M and varying values of modulus of sub-grade reaction. Ratio of maximum and minimum values of M, and M y in X and Y directions for particular elements have been worked out. These ratios vary considerably. Maximum value among all the elemental ratios have been indicated at the bottom of the same Table. This ratio has also been worked out for deflection and indicated at the bottom of the same Table. Table 7.2indicates similar values for a constant value of K,taken as 70 KipsJc ft (10996KN/m3) and varying values of thickness from 80 to 120 cm. Another set of ratios has been worked out for bending moments and deflection selecting the maximum and minimum values for the same element irrespective of the thickness or modulus of sub-grade reaction. Maximum values of these ratios have been shown for each element in the last column of Table 7.2 and-their maximum have been indicated at its bottom. (ALL DIMENSIONS ARE I N MM> Fig. 7.6
  • 51.
    STUDIES CARRIED OUTON EFFECT OF VARIOUS PARAMETERS ,- 10720 1 <ALL DIMENSIONS ARE IN MH) Fig. 7.7 <ALL DIMENSIONS ARE I N MM) Fig. 7.8
  • 52.
    RAFT FOUNDA-HONS-DESIGN ANDANALYSIS EXAMPLEI Table 7.1 Uniform Average Thickness 1.0 Metre Plate Element No. and Node No. K, Value In Average '6' in K N / ~ ~ mm BM, in KNdm Ratio of MadMin BM, in KNdm - 65203 & 11.0 - 18.0 30,81,36,31 28 80,33,32,37 29 10996 24506 61 108 65203 - 16.08 - 07.94 10996 24506 61108 65203 154.6 130.7 94.3 98.5 M, - 03.06 - 02.86 135.0 115.2 95.7 97.9 4 1.41 1.64 5.62 - 11.80 - 05.28 - 02.10 - 01.95 67.5 65.9 59.5 61. O 130.5 106.5 58.9 62.7 MU Mfl 1.13 2.22 6.05 Maximum Ratio in any Element 6 6 , Mm M, I 8.43 7.97 - I Fig. 7.7, Tables 7.3 and 7.4 indicate similar information for Example 2. Fig. 7.8, Table 7.5 and 7.6 indicate similar information for Example 3. 7.1.6 Discussions o Results f Table 7.1 indicates that for 1 M thickness of raft in example 1, bending moment in X direction could be as much as 8.43 times more depending upon the value of modulus of sub-grade reaction selected in the analysis. Bending moment in Y direction could be 7.97 times more. Deflection value could increase upto 6.66 times. A higher value of modulus of sub-grade reaction means lesser values of deflection directly proportional to its value.
  • 53.
    STUDIES CARRIED OUTON EFFECT OF VARIOUS PARAMETERS Table 7.2 Uniform Modulus of Sub-grade Reaction 10996 K N / ~ ~ ( Plate Element No. Thickness in A veroge '6' tnetre in m m and Node No. 18,24,25, 19 18 19,25,26,20 19 30,81,36,31 28 80,33,32,37 29 BM, in KNdm I BM, in KNdm I I 0.80 0.90 1 .OO 1.10 1.20 - 10.08 - 10.31 - 10.52 - 10.70 - 10.85 49.4 64.5 79.0 92.8 105.5 53.6 69.7 84.5 97.9 109.5 M, 0.80 0.90 1 .OO 1.10 1.20 - 10.35 - 10.53 - 10.70 - 10.84 - 10.96 53.3 70.0 86.0 101O . 1 14.9 44.3 53.4 61.7 69.1 75.6 MU 0.80 0.90 1. O O 1.10 1.20 - 17.07 - 16.57 - 16.08 - 15.63 - 15.21 122.7 129.2 135.0 140.2 145.0 130.7 143.0 154.6 165.2 174.9 0.80 0.90 1.oO 1.10 1 .20 - 11.53 66.5 67.2 67.5 67.6 67.5 100.5 115.9 130.5 143.9 155.9 - 1 1.66 - 11.80 - 11.94 - 12.07 Maximum Ratio in any Element Ratio o f Max./Min. 2.14 2.04 1.08 I Over All Max./Min , 8.79 10.33 6.87 2.16 1.71 1.059 11.27 4.20 6.60 MU M~? 1.18 1.34 1.12 1.52 1.86 5.98 M, 1.02 1.55 1.047 1.14 2.65 6.19 2.16 3.53 1.12 11.27 10.33 06.87 My" 6 My? 6 6 My, 6. Mu Mv 6 Table 7.2 shows that for a constant value of modulus of sub-grade reaction taken as 70 Kipslc ft (10996 K m 3 ) , the bending moment in X direction could be as much as 2.16 times and can even change siin depending upon the thickness of raft selected by the designer. This values for bending moment in Y direction is 3.53. The value of deflection does not change much and becomes only a maximum of 1.21 time depending upon the thickness of the raft.
  • 54.
    RAFT FOUNDATIONS-DESIGN ANDANALYSIS EXAMPLE I1 Table 7 3 Uniform Average Thickness 1.20 Metre Plate Element No. and Node No. 3.4, 10,9 3 5,6,7,8 4 17.18.23.24 15 21,22,28,27 18 34,35,39,38 28 36,37,41,40 29 Ks Value i n Average '6' in mm K N / ~ ~ BM, i n KNdm Ratio of BMvv in KNdm Mar/Min. 10996 24506 61108 65203 8.83 3.91 1.58 1.46 144.6 130.0 99.7 97.2 344.6 291.6 233.1 220.6 Mn 10996 24506 61 108 65203 9.86 4.34 1.82 1.68 140.6 137.0 106.6 109.9 461.6 402.8 326.1 321.5 4 10996 24506 61 108 65203 9.76 4.33 1.53 1.55 73.3 64.3 44.0 48.5 280.1 100.7 128.1 93.6 M, 10996 24506 61 108 65203 11.49 05.60 02.43 02.38 343.8 300.8 240.8 220.6 397.4 262.8 157.4 165.8 10996 24506 61 108 65203 7.7 1 3.38 1.23 1.28 130.7 113.8 93.4 89.2 152.3 74.5 31.7 20.4 10996 24506 61 108 65203 6.72 2.79 I .09 0.97 60.10 59.6 53.8 53.5 148.9 119.8 96.5 96.0 '7 Mw 6 4 6 Mu 4 6 M, 4 6 Mu M , S Mu Maximum Ratio in any Element M,~n 1.49 1.56 6.05 1.32 1.44 5.87 1.67 2.99 4.38 1.56 2.52 4.83 1.47 7.46 6.27 1 1.12 1.55 6.93 1.67 7.46 6.93 6 Table 7.3 shows that the variation of bending moment in X direction for the same thickness of raft and varying modulus of sub-grade reactionis 1.67. This value for bending moment in Y direction is 7.46 and for deflection is 6.93. For the fixed value of modulus of sub-grade reaction and varying values of thickness these ratios in X direction, Y direction and deflection are 1.5888,2.149, 1.105, respectively. The overall variation values for this raft of bending moment in X direction, bending moment in Y direction and deflection are 2.24, 10.01 and 7.26, respectively. On comparison of values' for Examples 1 and 2, it would be apparent that (a). The variation in bending moments in X direction is more for Example 1 as compared to Example 2. (b) The variation in value of bending moment in Y direction for Example 2 is lower as compared to values of variation in this direction for Example 1.
  • 55.
    I 49 STUDIES CARRIED OUTON EFFECT OF VPiRlOUS PARAMETERS Table 7.4 Uniform Modulus of Sub-grade Reaction 10996 K N I ~ ~ Plate Element No. Thickness in Average '6' Metre in m m and No& No. 3,4,10,9 : 3 ! i 5.6.7.8 4 17,18,23,24 15 21,22,28,27 18 34,35,39,38 28 36,37,41,40 1 29 EM, in KNmh Ratio of Max./Min. EM, in KN& Max./Min 1.077 1.206 1.03 1.47 1.69 1. O O 1.10 1.20 1.30 1.40 8.72 8.77 8.83 8.94 8.98 136.5 141.5 144.6 146.3 147.0 308.8 327.8 344.6 359.4 372.5 1. O O 1.10 1.20 1.30 1.40 9.74 9.79 9.86 9.92 10.01 139.2 140.8 140.6 139.1 136.8 421.1 442.4 461.6 479.0 494.7 Mu M~~ 1.029 1.173 1.027 1. O O 1.10 1.20 1.30 1.40 9.74 9.77 9.76 9.73 9.69 68.2 71.1 73.3 74.9 76.1 208.6 244.6 280.1 314.5 347.2' M* 1.116 1.664 1.009 1.73 3.7 1 6.39 1. O O 1.10 1.20 1.30 1.40 11.13 11.82 11.49 1 1.20 10.95 3 17.8 333.0 343.8 351.4 356.6 305.4 351.4 397.4 442.3 485.1 1.122 1.588 1.08 1.62 3.08 4.97 1. O O 1.10 1.20 1.30 1.40 7.62 7.66 7.70 7.75 7.80 199.3 125.5 130.7 135.1 138.9 96.2 124.0 152.3 180.1 206.8 MU M~~ 1.588 2.149 1.024 2.24 10.01 6.35 1.OO 1.10 1.20 1.30 1.40 . 6.37 60.1 60.3 60.1 59.5 58.7 127.9 138.4 148.9 158.9 168.5 MU 1.027 1.317 1.105 1.13 1.76 7.26 1.588 2.149 1.105 ~ ~ 5.96 2.24 :0.01 7.26 6.55 6.72 6.88 7.04 MU My). 6 6.15 ' P 6 ~ My?, 6 Mu M~~ 6 6 4 6 Mu Maximum Ratio in any Element M)? 6 (c) Deflection of raft is more or less independent of the thickness of the raft and varies only very slightly, whereas it is more or less directly proportional to the value of modulus of sub-grade reaction. Higher the value of modulus of sub-grade reaction selected lower are the values of deflection and higher the values of bending moments.
  • 56.
    RAFT FOUNDATIONSDESIGNAND ANALYSIS 1 Table7.5 Uniform Average Thickness 0.50 Metre Plate Element No. and Node No. Average '6' K, Value in in mm K N / ~ ~ BM, in KNm/m Ratio of MdMin. BM, in KN;~/~ 31.0 39.4 8.8 29.0 198.0 251.4 68.2 176.0 4 SET-1 SET-11 0.52 0.18 0.56 0.65 18402 14156 0.32 - 0.32 SET- I SET-I1 0.52 0.45 216.0 269.5 80.6 188.0 M, M.v 26 13.0 18.3 1.8 11.0 34,35,44,43 18402 14156 31 SET-I SET-I1 0.70 0.28 0.5 1 0.63 16.0 20.7 4.5 15.0 196.0 248.9 52.9 187.0 Mn M~ 47,48,57,56 18402 14156 42 SET-I SET-I1 -01.10 - 12.70 - 04.46 -09.10 - 11.0 - 11.9 - 7.6 - 11.0 52.0 60.2 42.9 50.0 11,12,21,20 18402 14156 10 SET-I SET-I1 04.12 - 08.85 - 14.0 4.48 3.67 3.71 - 09.15 - 11.60 18.0 31,32,41,40 18402 14156 28 29,30,39,38 4 6 6 6 Mu My, 6. 10.16 03.34 01.42 4.60 4.7 1 2.50 1.67 1.40 2.85 Maximum Ratio in any Element Note: Set-I - For Combination of Modulus of Subgrade Reaction - 34976,42466,58460 KN/m3 Set-I1-For Combination of Modulus of Subgrade Reaction - 22731,20615, 18567 KN/m3 Observation (a) above is justified because Example 1 is unsymmetrical in plan in respect of both axis as compared to Example 2 which is symmetrical abput Y axis. This symmetry results in lower variation in the value of bending moment in X direction. It is, therefore, apparent that while the thickness and the value of modulus of sub-grade reaction selected for a particular raft which is symmetrical in plan and symmetridal in loading may not be of much consequence, but this will not hold good as soon as there is deviation from symmetry and the values may go several times more. Tables 7.5 and 7.6relating to Example 3 which is raft with beam and slab construction indicate that bending moment in X direction for the same thickness of raft, but varying values of modulus of sub-grade reaction can be as much as 4.6 times. The corresponding value in Ydirection and deflection are 4.71 and 3.71, respectively. For the same value of modulus of sub-grade reaction and varying thickness values, these ratios are 4.31.6.55 and 8.61, respectively, for direction bending moments, Y direction bending moments and deflection. Values of these ratios for overallrariation are 20, 12.17 and 16.4, respectively.
  • 57.
    51 STUDIES CARRIED OUTON EFFECT OF VARIOUS PARAMETERS I i Table 7.6 Uniform Modulus of Sub-grade Reaction - 18402 K N I ~ ~ I t 31,32,41,40 28 29,30,39,38 26 34,35,44,43 31 I 47,48,57,56 42 1 1 , 12.21.20 10 0.50 0.60 0.70 0.80 0.90 0.50 0.60 0.70 0.80 0.90 0.50 0.60 0.70 0.80 0.90 Rafio of Max./Min. O v e r All MaxJMin 3.18 3.32 5.56 11.19 09.64 16.45 MLV Mu 6 2.77 3.07 8.61 20.00 08.21 08.61 196.0 316.5 436.3 547.2 643.6 Mxr M,' 6 2.46 3.28 3.33 08.73 12.17 08.32 MAT MY,. 2.80 3.94 1.24 M, 2.61 6.55 1.23 03.77 10.67 02.82 3.18 6.55 8.6 1 20.00 12.17 14.45 BM, in KNmh BM,, in KNmh 0.52 - 0.34 - 1.28 - 2.14 - 2.89 31.0 50.7 69.2 85.5 98.5 198.0 331.1 451.6 562.1 657.2 Mu 0.32 13.0 22.1 28.4 33.0 36.0 2 16.0 347.7 464.4 570.6 662.0 16.0 24.6 30.9 35.9 39.3 - 10.01 - 11.0 - 15.3 - 20.3 P!ate Elenent No. Thickness in Average '6' in mm Metre and Node NO. - 0.43 - 1.30 2.09 - 2.78 - 0.70 - 0.02 - 0.09 - 1.63 - 2.33 ' 0.50 0.60 0.70 0.80 0.90 - 10.10 -09.32 - 08.73 -25.0 - 30.0 52.0 101.4 137.9 173.1 205.0 0.50 0.60 0.70 0.80 0.90 -09.15 - 08.78 - 08.27 -07.84 - 07.44 - 15.0 - 21.6 - 28.0 - 33.9 - 39.2 21 .O 42.3 71.4 104.3 137.5 - 10.78 My! 6 6' My? 6 M, Maximum Ratio in any Element My? 6 1 03.90 04.78 02.85 A comparison of values in Tables 7.5 and 7.6 with those given in Tables 7.3, 7.4 will show that ratio of bending moment in X and Y directions for raft in Example 3 is higher as compared to raft in Example 2. Comparison is not made with Example 1 which is very unsymmetrical in plans.This indicates that variation in values of bending moment would be more in case of rafts with beam and slab construction as compared to raft of uniform thickness. 7.1.7 Conclusions The study shows that values of bending moments in a raft may vary several times depending upon the raft size selected For the design and the soil properties under the raft. This variation increases further as the deviation from the symmetry of the shape or loading of the raft increases. In the study under consideration, the values
  • 58.
    52 RAFT FOUNDATIONS-DESIGN ANDANALYSIS could be as much as 20 times. In these examples effect of base moment of columns due to vertical or horizontal loads or variation in wind ward and leeward column loads due to horizontal forces has not been-considered. It is felt that considerationof these values would increase the variation further. Adoption of an accurate method of analysis like finite element method, solved on an electronic computer using vertical loads alone, with a tentative raft size and value of sub-grade modulus determined in a routine manner in itself is, therefore, not enough in determining realistically the values of bending moment and deflection for a particular raft. Raft designed in such a manner may not be able to resist the forces properly and finally lead to failure. The results of the above study were presented by the author in a 'Seminar on Concrete in Foundation Systems' organised by the Indian Concrete Institute at Madras on December 29-30, 1988. 7.2 Study 2 -Effect of Horizontal Loads Seismic loads are basically inertia loads which can act on the building in any direction. For the purpose of analysis and design these are assumed to be acting in X and Y directions. Though these are basically dynamic loads, it is common practice to treat them as static horizontal loads determined by seismic co-efficient method. For more accurate analysis, the response spectrum method or detailed dynamic analysis using design accellerograrn as input is required to be canied out. It is usual to adopt seismic co-efficientmethod for buildings upto 12 to 13-storeyed height. In this study, the effect of horizontal loads has accordingly been restricted to seismic co-efficient method. It is expected that the effect would not be much different in case any of the other methods was used. The effect of horizontal loads on the building structure is to alter the moments at the column bases and also to increase the vertical load in some columns and decrease it in the others. Examples 1 and 2 in Study 1 were selected to study the effect on raft moments where horizontal load are also acting. The super-structurein both these examples consist of frames in both the directions. The super-structure for both these examples was analysed on three dimensional analysis for buildings programme utilising earthquake force on seismic co-efficient method with earthquake acting in +x direction, -x direction, +y and -y directions. The output obtained from the TAB analysis was used as an input for the analysis of raft foundation for both the examples. Further details and the results achieved are discussed below: 7.2.1 Example Selected Examples 1 relates to the side block. For the purpose of analysis a thickness of 1 metre for the raft slab and value of soil modulus Ks = 10776. KN/m3 has been assumed. There are 6 loads cases which have been analysed; load case 1 vertical loads only; case No.2 vertical + column base moments; case No.3 vertical loads + base moments + seismic force in + 'x' direction; case No.4 :vertical load + base moments + seismic forces -'x' direction;case No.5 vertical load + base moments + seismic force in +y direction; case No. 6 vertical loads + base moments + seismic force in -y direction. For the purpose of comparison 6 plate elements as originally selected for this example in Study 1 have been considered. Comparative values of Delta, i.e., settlements, bending moments in x direction, bending moments in y direction have been tabulated in Table 7.7. The range over which each of these three values vary from one load case to another are indicated in column 7. Column 8 indicates minimum and maximum ratio these values have with reference to value when vertical loads only are acting. These ratios, thus, indicate the number of times each of these value can vary if horizontal loads are acting.
  • 59.
    53 STUDIES CARRIED OUTON EFFECT OF VARIOUS PARAMETERS g Table 7.7 Plate Element No. & Node No. 3 1,7,8,2 Load Case L 18 18,24,25,1? 19 19,25,26,20 28 30,81,36,3 1 29 80,33,32,37 3 4 5 6 BM, in BM,, in KNdm KNdm - 11.62 - 12.82 - 15.83 - 11.18 - 11.05 - 15.26 1 2 3 4 5 6 9 13, 14.6.79 Average %'inmm 1 Range of Variation 83.3 41.6 42.7 -9.7 41.5 49.9 -1.2 14.7 28.4 1.O 23.2 57.3 3.3 - 24.5 -16.7 - 30.8 - 23.4 - 26.2 1 2 3 4 5 6 - 10.52 - 10.85 -11.03 - 10.69 - 10.79 - 10.82 79.0 136.1 174.3 115.2 227.1 138.1 84.5 129.4 94.0 181.1 138.5 137.2 1 2 3 4 5 6 - 10.70 - 10.39 - 09.55 - 11.26 - 10.19 - 10.35 86.0 132.7 170.9 11'3.5 238.8 128.1 61.7 83.6 56.9 121.0 117.1 71.6 1 2 3 4 5 6 - 16.08 - 15.76 -12.11 - 20.58 - 17.68 - 15.92 135.0 135.3 132.6 143.7 220.8 132.0 157.6 157.7 149.7 172.8 135.0 204.2 1 2 3 4 5 6 - 11.80 67.5 103.6 101.0 106.7 163.4 88.9 130.5 210.8 188.9 248.5 229.7 213.9 -16.16 - 18.32 - 13.92 - 18.29 -16.21 Min. Max. tiAvG -11.05 96.7 36.7 65.2 10.5 19.4 50.4 -9.97 -9.15 - 7.42 - 10.92 - 8.32 - 9.83 Ratio (W.R.T Case-I) Min. Max. P BM, BM, ~AVG 9.7 + -15.83 + 83.3 10.5 + 96.7 7.0 -+ 10.92 (S.C) 0.1 08 + 0.67 0.74 + 1.095 19.33 + 47.75 BM, 23.2 + 57.3 BM,, 30.8 -+ 3.3 (S.C) 5.06 + 9.33 (S.C) (S.C) 10.52 + 1 1.03 1.016 + 1.048 79.0 -+ 227.1 84.5 -+ 181.1 1.46 + 2.87 1.112 + 2.143 ,t i ' BM, BM, ,t i 9.55+11.26 0.89 + 1.05 BM, 86.0 + 238.8 1.32 + 2.78 -+ 121.0 0.92 + 1.96 BM,, 56.3 tiAvG 12.1 1 -+ 20.58 0.75 BM, 132.0 -+ 220.8 0.98 + 1.64 135.0 + 204.2 0.87 -+ 1.32 11.80 + 18.32 1.18 + 1.55 67.5 -+ 163.4 1.32 + 2.42 130.5 + 248.5 1.45 + 1.90 BM, tiAvG BM, BMvv + 1.28 Similar study is done for Example 2, i.e., Central core the values are represented in Table 7.8. Thickness selected is that as actually provided, i.e., 1.0 m with soil modulus = 10776 K N I ~Mark (S.C.) in these Tables ~. mean sign change.
  • 60.
    54 RAFT FOUNDATIONS-DESIGN ANDANALYSIS Table 7.8 I 1 Ratio (W.R. T Case-l) Min. Mar Average '6' in mm BM, in KNm/m BM ,in - 8.13 -8.13 - 9.21 - 6.88 - 6.56 - 9.71 - 100.5 - 101.3 - 98.8 - 107.4 - 90.5 - 112.0 - 296.7 - 299.7 - 307.9 -287.7 - 222.9 - 376.3 BM, BM, - 7.76 - 92.7 - 93.5 - 67.7 - 123.8 - 75.9 - 11 1.1 - 302.9 6AvG - 7.78 - 6.44 - 9.00 - 6.71 - 8.84 - 303.0 - 284.8 -316.8 - 21 8.9 387.0 BM, BM, - 21 8.9 + - 387.0 - 9.26 - 9.00 - 10.89 - 7.40 - 9.09 - 9.1 1 - 60.2 - 58.7 - 77.5 - 40.8 - 68.7 - 48.9 - 151.9 - 153.4 6AvG -7.40 +- 10.89 1.80 + 1.18 BM, 0.67 + 1.13 - 40.8 + -68.7 - 101.6 -3- 188.7 0.67 + 1.24 - 10.61 - 10.52 - 10.34 - 11.17 - 10.98 - 10.07 - 230.4 - 301.I - 298.3 - 292.5 - q28 - 6.40 - 6.95 - 7.70 - 7.50 - 5.31 -91.3 -91.9 - 114.2 - 130.8 - 107.3 - 76.3 -80.9 - 79.5 - 72.8 -150.9 - 94.3 - 63.7 -5.19 - 5.23 - 4.3 1 - 7.53 - 6.76 -3.71 and Node No. Load Case - 48.5 - 104.7 - 104.1 - 234.2 - 230.0 - 256.1 -201.9 - 266.4 - 48.6 - 45.5 - 49.1 . - 59.6 - 37.7 KN&~ hAVG Range of Variation Min. Max. - - 6.56 + 9.71 0.81 -+ 1.19 - 90.5 + - 112.0 0.90 + 1.I 1 0.75j1.27 -222.9+-376.3 - 6.44 - 9.00 0.83 + 1.16 - 67.7 + - 123.8 0.73 -+ 1.34 0.72 + 1.28 - - 169.9 - 101.6 - 188.7 - 119.2 BM, 6AvG - 10.07 + - 11.77 0.95 + 1.05 BM, BMv, - 259.6 -311.4 - 285.5 - 96.5 . - 141.8 - 153.6 - 54.8 &AvG BM, BM, . &AvG BM ., BM,, Case 1 - Vertical Loads Only Case 2 - Vertical Loads + Column Base Moments Case 3 - Vertical Loads + Column Base Moments + Seismic Force(+ x Direction) Case 4 - Vertical Loads + Column Base Moments + Seismic Force(-x Direction) Case 5 - Vertical Loads + Column Base Moments + Seismic Force(+ y Direction) Case 6 - Vertical Loads + Column BaSe Moments + Seismic Force(- y Direction) - 201.9 + -266.4 0.88 + 1.16 - 259.6 + - 31 I .4 0.86 + 1.03 -5.31+-7.70 0.85j1.23 - 76.3 + - 130.8 0.84 + 1.43 0.79j1.87 -63.7+-150.9 - 3.71 + - 7.53 0.71 -+ 1.45 - 37.7 + - 59.6 0.78 -+ 1.23 - 54.8 + - 153.6 0.52 + 1.47
  • 61.
    55 STUDIES CARRIED OUTON EFFECT OF VARIOUS PARAMETERS 7.2.2 Discussion of Results Table 7.7 shows that there is large variation in the bending moments in X and Ydirections both, when effect of horizontal loads.is considered. The values vary over a range which lies on both sides of the value of the vertical load alone. In case of plate element No. 18 B.M in direction for vertical loads alone is 79.0 KNmIm. For different load case, this value increases in a range of 79.0 to 227.1 K N d m The minimum increased values have a ratio of 1.32 and maximum of 2.78 . Similar values for plate element No. 28 are 0.98 to 1.64 for BM, and 0.87 to 1.32 for BM,,. Table 7.8 indicates variation but in this case the increase is comparatively low as compared to Example 1. This is on the expected lines as the raft for the central core is symmetrical about one axis and lesser variation is expected. .- f 1 '1 i t ; 7.2.3 Conclusion I The study shows that values of bending moments in a raft of particular thckness and for the same value of so11modulus will vary considerably when the effect of horizontal loads on the super-structure as transmitted to the foundation is considered. The increase could be several times. The usual practice of assuming that 25 to 50% increase can be permitted when seismic force are considered is not sufficient to cover these excessive values and the structural designs, if carried out neglecting the effect of horizontal loads may not be safe. Similar results are expected if raft of the other thickness and soil modulus are considered z3; Study 3: Comparison with Conventional Rigid Methods 7.3.1 Details of Conventional Method: Combined Footing Approach In the conventional rigid combined footing approach (explained in detail by TENG'), the raft is analysed using simple statics without any consideration of the elastic properties of the raft and the soil. Here the raft is analy sed as a large beam member independently in both the directions. The row of column loads perpendicular to the length of the beam are coupled together in single column load. Then for these column loads acting on the beam, the upward soil pressure is calculated and the moments and the shears at any section is determined by simple statics. Hence, the moment per unit width of the raft is determined by dividing the moment values by corresponding width of the section. In the situation when the width of the raft is changing both the values, i.e., corresponding to lesser width and the bigger width are determined and the section designed to allow for this sudden change which in fact means concentration of stresses at this junction. Then the same analysis is repeated for the other direction. ( ' Y direction) considering raft as a whole. These in general are the lower bound values. The above analysis gives the total bending moments and shears across the whole raft. But the distribution of this moment and shear along this section, i.e., the width, is a problem of highly indeterminate nature and the average moment obtained above may not exactly indicate the sign and the magnitude of the bending moment at a particular location. In order to obtain some idea as to the upper bound values the raft is divided into strips bounded on the centre line of the column bays in each direction. Each of these strips is then analysed -as independent combined footing by simple statics. Using the column loads on each strip the soil pressure under each strip is determined without reference to the planar distribution determined for the raft as a whole. The eccentricity of the load and the pressure distribution below the raft which is considered to be linearly varying are taken into account in this analysis. This method undoubtedly gives very high stresses because it ignores the two way action of the raft and transfer of stresses from one strip to another strip. Therefore, certain arbitrary reduction in values (30% in this case) is made.
  • 62.
    STRIP 2 4130 STRIP 1 ,2690 ! STRIP3 3100 I STRIP 4 3660 I - 1- 600tl 300-0 STRIPS , @+@ @+(@ @ 350x350 I STRlP 5 1749 STRlP 6 STRlP 7 1674 ! 935 RAFT S L A B T H I C K N E S S 1 0 0 0 MM EXAMPLE- 1 COMBINED (ALL DIMENSIONS ARE I N MM) COMBINED 0 COMBINED Fig. 7.9 o m v, 5 O D E 5 v, V)
  • 63.
    r STUDIES CARRIED OUTON EFFECT OF VARIOUS PARAMETERS EXAMPLE 2 ' STIP.5 ' STRIP G'STRP.7 ' S T R P . ~ STRP.9 I ( AL.L DIMENSIONS ARE Fig. 7.10 7.3.2 Examples Selected The raft in Examples 1 and 2 has been divided into strips, and this division is indicated in Figs. 7.9 and 7.10. While examining these strips which are made on the centre line of column bays, it would be seen that there are some strips which have columns only at one end of the strip or there is a big cantilever beyond a particular column. Here a judicious examination is required to be carried out by the designer to see the likelihood of particular strip acting individually or in combination with the adjoining strip. Keeping in view the location of columns in Example 1, Strip No. 1 and 2.5 and 6,8 and 9 were considered to be combined into one each and
  • 64.
    58 RAFT FOUNDATIONS-DESIGN ANDANALYSIS also analyzed. Similarly, in Example 2, strip Nos. 6, 7 and 8 were combined and analysed as a combined footing. -The values of the bending moments were calculated in all these strips at the column point and mid point of the span and also at the points where the raft changes width. Both these rafts have already been considered in Study Nos. 1 and 2. Study No. 1 was carried out in 2 parts. In the first part thickness was kept constant and values of modulus of sub-grade reaction were changed. Ratio of maximum and minimum value of moments in X and Y direction were worked out for each element and tabulated. In the second part value of Ks was kept constant and values of thicknesses were varied. Similar values as above were calculated and tabulated. In Study 2 (refer ljara 7.2 above), the effect of horizontal loads was considered for single thickness of 1 metre of raft slab and one value of modulus six loads cases were considered for the purpose of comparison and the variation in bending moments in the raft due to earthquake loads were worked out. If acomplete picture of the variation in the values of moments in the raft was to be obtained, all permutations and combinations of the raft thickness, values of soil modulus and seismic forces is required to be considered. This, however, would have involved much more computational efforts. Since the objective have been only to get an idea of variation, the cases considered have been restricted in the manner explained above. , I In fact, it is difficult to say as to what thickness and what value of Ksout of the four values would be adopted by any designer, he being free to adopt any of them but the effect of seismic forces would be applicable to all of them. Therefore, percentage increase or decrease in the values of moments due to earthquake effect has , been worked out and then applied to maximum values of moments for any combination of thickness and K. values of M, and M y thus obtained are expected to be values likely to be met with if analysis is carried out for all combinations. It would be noted that the values of bending moments obtained in finite element analysis are for each element and represent the values of the bending moments at the centre of that element in both the directions. The values obtained in the conventional rigid method are at the sections along the length or width of the raft. For comparing both, some method is to be evolved which could bring these to a common base. After careful consideration, it was decided that comparison may be made of the maximum positive, maximum negative, minimum positive, minimum negative and the average of all positive and negative values determined by each method. This comparison would reasonably indicate extent of variation in the values of moments determined by the two methods. These values have been tabulated in Tables 7.9 and 7.10 for Examples 1 and 2, respectively. 7.3.3 Discussion of Results Table 7.9 for Example 1 shows that the values of bending moments in the rigid raft analysis are always higher than those which could be possible for any combination of raft thickness and modulus of sub-grade reaction and the earthquake effect. The extent of difference between the 2 values varies but in general these values are higher than those likely to be obtained by each analysis. In Table 7.10 relating to Example 2 also the values of moments in the rigid method analysis are higher than the values expected in any combination of raft thickness, soil modulus and considering earthquake effects except in case of M ymaximum and M yaverage. This indicates that there may be sections wherein values of moments determined by rigid raft, approach may be lower than those expected in the actual structure under seismic consideration. L= I
  • 65.
    Table 7.9 Example 1: 1 Mxx(+ve) KNm M, (-ve) KNm My, ( + v e ) KNm M,, (- v e ) KNm (- v e Implies Tension at Bottom) Max. Min. Avg. Max. Min. Avg. Max. Min. Avg. 1 Finite Element Analysis Considering Vertical Loadr on1y for Ks = 10996 KN/m" a n d d = 1.0m 162.7 0.142 72.0 -54.67 - 1.28 - 18.27 205.4 3.34 89.0 2 409.1 Finite Element Analysis considering Seismic Loads also for Ks= 10996 K N / ~ ~ and d = 1.0m 0.98 174.38 -40.78 - 0.235 - 19.80 487.9 19.42 167.47 3 Percentage Increase of 2 over 1 4 Finite Element Analysis considering Vertical Loads only for any Combination of Ks and d 187.6 0.106 76.58 - 59.53 -0.13 -36.24 233.9 1.544 112.78 - 24.7 - 0.92 - 15.26 5 Expected Values for Finite Element Analysis for any Combination of Ks and d if Seismic Loads also were Considered i.e. 4 x 3 471.63 0.73 185.47 -44.4 -0.0238 -39.27 555.6 8.977 212.2 - 56.8 -0.032 - 15.39 6 Rigid Raft Analysis considering the Raft as a whole 914.01 - - - 536.06 82.21 266.5 - 19.91 - 19.91 - 19.91 7 605.56 Rigid Raft Analysis considering Individual Strips 69.74 532.52 - 1011.3 - 6.0 -413.6 574.6 52.046 346.0 -293.7 8 Values for Rigid Raft Analysis for Strips Decreased by 30 % i.e 7 x 0.7 423.89 48.82 372.76 -707.9 -4.2 -289.5 402.2 36.43 242.2 -205.6 Max. Min. - 16.13 - 14.39 - 15.26 - 37.08 - 15.39 - 0.50 - - 151.4% 590% 142.2% -25.4% -81.64% 126.51 317.68 Avg. 8.37% 137.54% 481.4% 88.17% 129.8% -96.5% - 1.0 0.851 % - 173.30
  • 66.
    Table 7.10 Example 1: 1 I M, (-ve) Km N Mxx (+ve) Km N - My, (+ve) Km N - - M, (- ve) Km N (- ve Implies Tension at Bottom) Max. Min. Avg. Max. Min. Avg. Max. Min. Avg. 1 Finite Element Analysis considering Vertical Loads also for Ks = 10996KN/m3 andd= 1.0m - - - - 239.9 -48.46 - 125.54 - - - - 542.9 - 80.95 - 194.14 2 FiniteElementAnalysis considering Seismic Loads only for Ks= 10996 KN/rn3 andd= ].OM - - - -280.2 -33.89 - 133.9 - - - - 683.1 3 Percentage Increase of 2 over 1 - - - 16.79 % - 30.07% 6.65 % - - - 25.82 % - 43.32% 0.50 % 4 Finite Element Analysis considering Vertical Loads only for any Combination KFand d - - - - 356.6 - 1.629 - 192.4 - - - - 644.10 5 Expected Values for Finite Element Analysis for any combination of Ks and d if Seismic Loads also were considered i.e 4 x 3 - - - -416.5 - 1.139 - - - 6 Rigid Raft Analysis considering the Raft as a whole 7 8 -205.2 Max. Min. -45.88 Avg. - 193.17 - 1.67 - 341.06 - 810.4 - 0.95 - 342.76 n 5 2 z 0 - 12.41 - 37.29 - 6.0 - 283.43 - 721.6 148.03 5.321 62.517 - 254.83 -4.20 -221.99 -416.4 78.20 14.4 Rigid Raft Analysis considering Individual Strips 400.02 300.24 400.02 - 191.O - 88.0 - 1030.86 21 1.47 7.6 Raft Values for R~gid Analysis for Strips decreased by 30 % i.e 7 x 0.7 280.014 210.170 280.014 - 1337.7 -61.6 154.9 154.9 3 ' Y -198.401 -631.1 154.9 _ L -87.75 51.7 89.31 1 - 314.04 J 1 9 % V, I D v, V,
  • 67.
    61 STUDIES CARRIED OUTON EFFECT OF VARIOUS PARAMETERS Table 7.1 1 T Strip NO. (Continuous Beam) wL2/10 (KN- d m ) 1011.3 503.37 505.07 373.0 605.56 529.86 410.58 223.25 260.19 253.03 281.09 207.96 260.55 281.09 Raft as a whole M, (Max.) Example I Rigid Raft Method (KN- d m ) 1 2 3 4 7 1 +2 5+6 Dir. of Moments *914.01 137.0 *Smaller Width of Section Considered 386.08 566.0 574.6 118.0 181.18 176.25 248.65 44.678 293.7 156.35 Raft as a whole I 10 11 12 13 8+9 Myy(Max.) 536.06 175.7 Strip No. Rigid Raft Method (KN - d m ) (Continuous Beam) wL2/10 (KN - d m ) 5 6 7 8 9 6+7+8 578.4 839.0 650.0 1911.0 403.9 868.0 286.54 392.2 217.86 392.2 370.34 3922 Table 7.12 Dir. of Moments M (Max.) , Example 2 Raft as a whole M y (Max.) I 631.10 392.2 1 2 3 4 21 1.50 139.0 364.0 143. O 156.7 186.0 116.6 116.6 Raft as a whole 87.75 65.10
  • 68.
    RAFT FOUNDATIONS-DESIGN ANDANALYSIS 7.3.4 Znverted Floor Method In the other method, i.e., Inverted floor also called beam analogy method by some designers, the raft is treated as an inverted floor. Analysis of each strip bounded by the column bay centre line is carried out as a continuous beam in both the directions as compared to analysis by simple statics in the combined footings approach. Though not mentioned specifically in any text book there, has also been a practice in design offices not to adopt the values for design purposes lower than WL2/10 at any of the sections of this case. For Examples 1 and 2 the maximum value of bending moments determined by combined footing approach and inverted floor approach in these directions for each strip and raft as a whole have been tabulated in Tables 7.11 and 7.12. A study of these tables would indicate that bending moments determined by ~ ~ ~are always lower than those 1 1 0 determined by combined footings approach in general. This study also shows that WL2/10 values shown in Tables 7.11 and 7.12 are not always higher than the expected values of moments in row No. 5 of each Tables 7.9 and 7.10. Situations may, therefore, arise wherein continuous beam analogy values may not lead to safe designs. This is in line with the recommendations of Mr. M ~.~omlinson'O. 7.3.5 Conclusions This study has shown that values of moments determined by conventional combined footings approach are higher than the values likely to be obtained after considering the variation of changes in rigidity of the raft, soil pressure distribution, values of modulus sub-grade reaction and earthquake forces. This may, however, be not true in case of inverted floor system even where using wL2/10 as lower bound values. 7.4 Study 4. Another Office Building This is an office building which has six blocks. Two central blocks are eight-storeyed with basement while the side blocks are two storeyed with basements. Each central block has a lift machine room, stair case, mumty and water tanks above the general terrace level. The two central blocks are separated from the two storeyed blocks. In this study, these two central blocks have been considered.These blocks are separated by a separation joint from each other but the raft foundation is continuous. Through the building looks symmetrical in plan but due to loadings and position of few columns this is not so. A plan of the raft is shown in Fig. ZS? 7.4.1 Example Details The design of the raft has been done utilising beam and slab constructl'on with beams projecting upward. For this purpose raft was considered to consist of beams only in both longitudinal and transverse directions. Each of these beams was analysed as a beam on an elastic foundation utilising value of modulus of sub grade reaction, calculated from soil properties. The loads considered were only vertical loads. However, taking into account the assumptions made, design bending moment values obtained from the analysis were subjected to a minimum value of w12 / 10 where W is the load carried by the beam per unit length considering the raft as an inverted floor. The superstructurehas been analysed on a three dimensional analysis programme on computer considering the earthquake effects and the values oi column loads, base moment, increase and decrease in column loads due to the earth-quake obtained. These values have been utilised to study the variation in the values of shear forces, bending moments, contact pressures and deflections of the raft when earth-quake effects are taken into account against only vertical loads considered in the first analysis. The analysis for raft has been done utilising SAP 5 Computer Programme based on finite elements method. The finite elements chosen are the beam elements of the beam slab foundation system. The rigidity of the raft I
  • 69.
    SLAB THICKNESS =400mm BEAMSALONG X-X =I000 XI200 mm BEAMS ALONG Y-Y =I000 X800 mm (ALL DIMENSIONS ARE I N MM) Fig. 7.1 1
  • 70.
    64 RAFT FOUNDATIONS-DESIGN ANDANALYSIS slab is not considered. Each beam element is defined by two nodes, each node is also the point of application of concentrated loads (vertical load forces and moments). The soil has been idealised as a spring under each node. The spring constant is a function of soil sub grade modulus and the area under the node. 7.4.2 Comparison of Results Six different cases of loading i.e., vertical loads only, vertical loads plus base moments due to vertical loads only, vertical loads and their values for seismic loads acting in positive X direction, negative X direction, positive Y direction and negative Y direction have been considered. For comparison of results, some beam elements shown in Fig. 7.11 have been selected. The maximum (larger of the values on the two nodes) shear force, bending moment, contact pressure and deflection in Z direction have been tabulated along with the range of these values. All these values are shown in Table 7.13. Also shown are the values obtained in simplified flexible design explained in 7.4.1 above. Also shown in this table are the ratios these values have with the value considering vertical load alone. 7.4.3 Discussions of Results A study of the table would show that: (a) Shear force for beam element No. 40, for vertical load alone is 24.27 KN.For other load cases, it varies from 0.07 KN to 467.5 KN giving a ratio of 0.003 to 19.26. Maximum increase in shear force is seen in case of beam element No. 44 where ratio goes as high as 92.90. Node Nos. Load Case and Element No. V,, KN BM,, KNm - Table 71 .3 BP,, , ,6 KNm/ mZ Ratio (W.R.T Case I ) Min. Ma*. Range of Variations Min. 2,3 2 10, 11 16 24,25 40 Conventional Design Values. Max 0.16 + 00.81 4.70 + 30.20 3.12+ 11.52 - 172.25 j 2 4 4 . 5 0 0.94+ 01.12 116.11 + 138.32 0.94+01.12 -42.98+-51.21 1 2 3 4 5 6 30.20 - 21.22 123.70 -45.73 ,V 07.91 66.11 128.71 -47.65 B M , 24.36 118.58 125.51 -47.67 , P B 89.00128.34 -47.526, 15.07 04.70 - 172.25 138.32 - 51.21 04.81 244.50 116.11 -42.98 1 2 3 4 5 6 04.79 -550.60 104.65 - 38.76, , V 09.74 - 529.40 110.37 - 40.90 B M , 13.80 - 549.08 109.23 - 40.45 , P B 05.96 - 513.50 ' 105.75 - 39.90, 6 10.46 - 527.25 106.66 - 39.50 09.40-535.17108.33 -40.12 1.24 + 2.88 1797.00 4.79 + 13.80 0.10 + 1.00 -513.50 + -550.60 1851.30 1.01 + 1.05 104.65 + 110.37 130.0 1195.0 1.02 + 1.06 - 38.76 + -40.90 - 125.00 1 2 3 4 5 6 24.27 102.20 145.63 - 53.93,V , 05.58 159.90 157.21 - 58.22 B M , 450.20 2250.00 148.89 - 58.07 B P , 460.50 2080.83 160.54 -59.56 , 6 54.99.555.73 - 57.68 00.07 19.00 240.58 154.22 - 57.12 0.003 + 19.26 1797.00 0.07 + 467.50 0.54 + 22.02 2080.83 + 2250.00 1851.30 1.02 + 01.10 145.63 + 160.54 130.0 1195.0 - 125.00 1.06 + 01.10 -53.95 + -59.56 1319.00 1359.00 130.01 195.0 -125.00
  • 71.
    65 STUDIES CARRIED OUTON EFFECT OF VARIOUS PARAMETERS Table 7.13 (Continued) 25,26 41 I r I 1 4.8 7 14, 18 I , 26 23.29 44 805.00 59.42 + 346.58 0.67 + 03.91 723.30 1.36 + 05.20 -1284.17j2788.33 1.02 + 01.10 145.63 + 160.54 130.0 1 195.0 - 125.00 1.06 + 01 .I0 - 53.93 + 59.56 1 2 3 4 5 6 88.67 535.73 137.27 740.57 59.42 -1284.17 346.58 2788.83 153.00 727.75 130.70 763.33 1 2 3 4 5 6 81.87 235.60 140.37 - 51.97 V , 89.27 272.53 143.71 -53.22 BM,,, 98.42 292.67 152.66 - 56.53 BP,, 76.98 233.67 129.63 -47.93 amax 24.03 - 84.67 148.68 - 55.07 198.92 611.08 138.95 -51.46 0.29 + 2.43 0.36 j 2 . 5 9 0.92 + 1.09 0.92 + 1.09 1 2 3 4 5 6 145.80 -536.47 105.62 -42.25 V ,, 01.45 - 92.00 115.01 -46.01 BM,,, 28.06 -214.67 108.46 -43.38 B , P 28.60-112.50116.21 -48.156,,, 50.62 - 245.92 113.97 - 45.58 50.98 - 200.25 110.75 - 44.30 1105.30 1.45 + 145.80 0.01 j 0 . 3 5 762.00 0.17 + 0.46 - 92.00 + - 536.47 1.03 + 1.10 105.62 + 116.20 130.01 195.0 -125.00 1.03+1.14-42.25+-48.15 1 2 3 4 5 6 01.63 06.82 09.21 20.23 137.75 151.42 29.60 65.86 79.26 90.58 420.67 438.92 145.63 157.21 148.89 160.54 155.73 154.22 141.97 148.54 139.57 153.20 148.96 153.69 - 53.93 V , - 58.22 B , M - 59.20 B , P - 59.56 amax -57.68 - 57.11 -52.55 V , - 54.98 BM,, P - 51.66 B , - 56.71 amax - 55.14 - 56.88 4.18 + 92.90 2.23 + 14.83 0.98 + 01.08 0.98 + 01.08 1026.00 24.03 + 198.92 707.30 -84.67 j611.08 129.43 + 152.66 130.0 1 195.0 - 125.00 - 47.93 + - 56.53 29.69 + 438.92 603.30 139.57 + 153.69 130.01 195.0 - 51.66 + 56.88 - 125.00 Case 1 : Vertical Loads only, ' Case 2 : Vertical Load + Base Moments, Case 3 : Vertical Loads + Seismic Loads (Seismic Force in +X Direction), Case 4 : Seismic Force in -X Direction, Case 5 : Vertical Loads + Seismic Loads(seismic Force in +Y Direction), Case 6 : Seismic Force in -YDirection. All Loads Correspond to un Factored Condition. The variation is more in beams which are heavily loaded in the nodes and the beams which is discontinued at both nodes. (b) Bending moment for Beam element No. 40 for vertical load alone is 102.2 KNM. For other load case, it varies from - 2080.83 KNM to + 2250.0 KNM. Minimum positive Bending moments in this.element is 54.99 giving a ratio of 0.54 to 22.02. Maximum increase is also occurring in this beam. These are the beam which are heavily loaded at the nodes. ~ ~ (c) Bearing pressure due to vertical loads alone in case of beam No. 2 is 123.7 K N / with maximum of 138.22 giving a ratio 0.94 to 1.12. Maximum increase in bearing pressure is also in this beam. The safe bearing pressure recommended by soil consultant is 130 KN/~'. (d) Deflection due to vertical load alone in case of beam No. 2 is 45.73 mm. For other load cases, it varies from - 42.98 to 5 1.21 mm giving a ratio of 0.94 to 1.12. Maximum increase is also in this beam.
  • 72.
    RAFT FOUNDATIONS-DESIGN ANDANALYSIS (e) When shear force values of any beam for any of the load case is compared with S.F. value in method adopted for actual design these are always lower. (f) When bending moment values for any of the load are compared with the values on the method adopted for design (keeping in view the higher permissible stresses in working stress method and lower load factor in limit state design permitted while considering seismic effect) it is seen that these values are lower. Except in case of element No. 41. 7.4.4 Conclusions These results show that: (a) While variation in bending moment and shear force values are very large, this is not so for beanng pressure and settlement. This is what was expected. This is a beam and slab raft (Beam size 1.2 m x 1 m, 0.8 m x 1 m with slab thickness of 0.4 m) which is comparatively rigid as compared to a raft of uniform thickness. (b) The design done by the method actually adopted is safe except at one point, confirming the statement that even inverted floor approach could lead to unsafe design. Simultaneously, it is to be kept in mind that while detailing the reinforcement in members like raft, frequent curtailment is not practical in view of various restrictions like minimum development length, ease of fabrications etc. In fact. when the resisting moment of the section as actually provided was calculated at this section it was found to be safe. - , i 1
  • 73.
    STUDIES CARRIED OUTON ANALYSIS AND DESIGN OF PILED RAFTS 8.1 Design Procedures being Used Rafts supported on plles are being increasingly used for multi-storeyed buildings with basements in poor soils with high water table conditions. The piles are necessary to transmit the super-structure loads to a deeper competent soil strata and the raft is required to transmit the column/wall loads evenly to the piles and also to resist the buoyancy forces of the ground water. Piles are sometimes used to decrease the settlement of the raft. The raft as a solid medium integrated with the retaining walls with necessary water proofing layer also serves as a water proofing medium. The analysis of piled raft is a complex problem even more than that of a soil supported raft as too many parameters influence the behaviour of the system. Very little is known about the exact behaviour of piled raft foundations in service. The problem is to be understood by considering the composite behaviour of the entire system, viz., super-structure, sub-structure, raft, piles and the soil medium. These factors influence sharing of load berween piles and raft, between piles themselves and consequently the settlements, shears and moments in the raft. For design of piled raft, different practices are followed by various designers. Most simple method followed is the conventional rigid approach, wherein the raft is assumed to be rigid. Piles are uniformly distributed throughout the raft and a planar distribution of pressure is considered on the raft due to the piles. As a variation of this method, some designers try to concentrate more pile under the heavily loaded columns as compared to lightly loaded columns assuming that it would give a better uniform distribution on the piles. In another approach individual pile caps below each column are provided and are connected either by a slab of the thickness equal to that of the pile cap or of a lesser thickness, neglecting the effect of one pile cap on the other. Where computer facilities are available, some designers use the concept of beam on elastic foundation. Here again various methods are available. Some designers assume a uniform distribution of load on piles replacing the piles by a soil medium having a hypothetical bearing capacity. K value corresponding to this bearing capacity is selected and used for analysis. As further improvement to this method, raft is taken as a plate supported on springs. The properties of the spring are determined depending upon the type and elastic properties of the piles neglecting the effect of one pile on the other and different soil layer on each other. Effect
  • 74.
    68 RAFT FOUNDATIONS-DESIGN ANDANALYSIS of one pile on another and different soil layers can also be considered. This is done in computer programmes wherein the spring replacing piles are coupled both horizontally and vertically meaning that the deflection of any spring is affected by adjacent springs. The mat super-structure inter-action is usually neglected. None of these methods take into account the effect of the soil foundation interaction except to the limited extend mentioned in each of the method above. Sharing of loads between piles and raft soil system has also been suggested n d followed by some. However, there are no practical methods available for working out this extent of sharing. ~oulos" has suggested a method, but it is applicable for piles less than 40 in number and makes assumptions which are controversial. There has also been a practice of designing the raft foundation for vertical loads alone excluding the effect of column base moments or the effect of horizontal load, ie., earthquake and wind. In all these analysis, thickness of the raft and the safe load carrying capacity of the pile is decided before hand. In beam on elastic foundation concept the rigidity of the raft plays a very important role and, therefore, the presumed thickness of the raft affects final shears and bending moments in the raft and the loads on the piles. No effort is, however, generally made to quantify this effect and optimise the thickness of the raft. In this study, effect of rigidity of the raft, i.e., thickness selected, the effect of superstructure rigidity. variation in column loads and base moments due to earthquake and the type of piles, on pile loads and raft moments, has been calculated and studied. 8.2 Example Selected The problem is studied by considering a real building with piled raft. The side blocks are two storeyed with an eight storeyed central block. The entire building has a basement and has a T-shaped plan. The basement is to accommodate substation, air conditioning plant, stores etc. The building is proposed to be constructed in a pond by retaining the water body. The foundation is proposed to be provided with piled raft with overall dimensions as shown in Fig. 8.1. There would be 708 bore cast-in-situ piles. The piles are predominantly friction piles of 50 cm diameter and 21m length. The thickness of raft considered is 1.20 m. 8.3 Soil Data The subsoil below the bed levcl of the pond consists of successive layers of silty claylclayey silt down to 30 m depth and beyond. The sequence of soil stratification is summarised in Table 8.1. Table 8.1 Sequence of Soil Stratification Stratwn Description Thickness (m) Range Average Average SPT Values ( N ) I Fill Material 2.4 - 4.5 3.5 - I1 111 Grey silty claylclayey sandy silt Greyldark grey silty clay with organic matterldecayed wood 4.0 - 7.0 5.5 1 5.0 - 6.0 5.5 3 IV V Mottled greyhluish grey silty clay with kankar 3.0 - 4.0 3.5 11 Yellowish greylmottled grey silty claylclayey silt 2.5 - 4.5 3.5 17 VI Mottled grey clayey siltlclayey sandy silt with laminations 7.5 - 9.5 8.5 25
  • 75.
    Fig. 8.1 Planof raft showing strips considered 8.4 ! ' i : Methods of Analysis Studied In this study the following methods have been adopted : (a) Conventional rigid method with simplified models as (i) Combined footing approach (ii) continuous beam analogy or inverted floor (b) Using finite element approach 8.4.1 Conventional Rigid Method with Simplified Models 8.4.1.1 Combinedfooting approach The drastic simplification adopted in this model is that the closely spaced piles, (spacing nearly equal to or less than the d l thickness) can be approximated as a bed of equivalent soil strata. The raft is analysed by conventional rigid approach using simple statics without any consideration for the elastic properties of the raft and the soil. Here the raft is idealised as a large beam member independently in both the direction. The row of column loads perpendicular to the length of the beam are clubbed together as single column load. Then for these known column loads acting on the beam the upward soil pressure is determined and the moments and the shears at any section is determined by simple statics. Then the moment per unit width of the raft is
  • 76.
    70 RAFT FOUNDATIONS-DESIGN ANDANALYSIS $ determined by dividing the moment values by the corresponding width of the section. Then analysis is repeated for the other direction (Y direction). The analysis is also repeated for individual strips with relevant column load. This approach adopted by the early designers tends to give high values of moments with long rafts. Assumption that such a long raft acts as a rigid member is the main cause of such high values of moments obtained by this method. The plan configuration of the raft with the location of the strips are shown in Fig. 8.1. The values of moments obtained by this method are given in Table 8.2. 8.4.1.2 8.4.1.3 Cornpanson of results From Table 8.2 it could be seen that. in case of rigid method with simplified models of combined footing approach momentdshears determined by simple statics, the value of the bending moments obtained in X and Y directions are quite large. If one attempts to proportion the raft with these values, the raft thickness shall be very large with heavy requirement of steel. However in case of continuous beam analogy method, the value of bending moments obtained are comparatively lower. Many designers consider the former value to be unrealistically high and these values reasonable and adopt them for the purposes of approximate designs. The basis of this differentiation is, however, not known. Table 8.2 Raft Moments obtained by conventional Rigid Methods S f 1 -; ' 8' f I-. Continuous beam analogy: invertedjoor The other approach of the rigid method is to use the continuous beam analogy by treating the raft as an inverted floor. First, the average soil pressure of the equivalent soil strata under the raft is determined by dividing the total column loads by the plan area of the raft neglecting the effect of eccentricity of loads and moments. Raft is considered as a whole in both the directions and idealised as a long continuous beam with known intensity of upward pressure based on average soil pressure mentioned above. With no consideration of actual column loads, the column points are only taken as rigid supports of the inverted continuous beam. The moments and shears of the continuous beam is determined by method of moment distribution or by any other standard method. As an approximation, the maximum positive and negative moments (excepting the cantilevering The 0 portions at the ends) is taken as ~ ~ ~ . 1 1 procedure is repeated also for individual strips with their corresponding average upward, equivalent soil pressure. The values of moments obtained by this approach are also indicated in Table 8.2. No. fg Description Raft as whole in X direction Raft as whole in Y direction X direction Strips A B C Y direction Strips 1 2 Combinedfooting approach ( K N d m width) As continuous beam analogy (KNm per metre width) .
  • 77.
    STUDIES CARRIED OUTON ANALYSIS AND DESIGN OF PILED RAFTS 71 8.4.2 Piled Raft Analysis Based on Finite Element Approach A more sophisticated method of analysis models the complete system, vjz., the super-structure, raft, piles and soil medium with appropriate finite element types and carry out the analysis by considering the interaction between thesecomponents. In such analysis, the superstructure is modelled as a three dimensional space frame, the raft discretised as plate bending elements, piles as compressible elastic axial elements. The supporting soil is treated as consisting of different layers of homogeneous linear elastic material with corresponding elastic modulus determined with reference to soil properties. Normally the soil medium is discretised into a number of rectangular prism elements. This generalised approach requires enormous computational efforts, time consuming and quite expensive and hence cannot be used in normal design practice. However, simplified versions of finite element approach are commonly adopted with the use of computers. In this study a general purpose three dimensional finite element package (SAP-IV Structural Analysis Package) has been used. In the present case of piled raft, the raft has been modelled as plate bending elements and the piles are modelled as axial elements. The piles being predominantly frictional piles, as recommended by ~ o w l e s "and the axial stiffness of the pile element has been taken as EAIL, where E is the modulus of elasticity, A is area of cross section of the pile and L, is the effective length of the pile. No exclusive modelling of the soil medium has been done, although the confining effect of soil on the frictional piles is considered by considering the effective length of the pile as half the length of the pile. Similarly, no separate modelling of the superstructure has been done. However, its stiffness contribution on the overall behaviour of the system has been approximately considered as discussed subsequently.The raft is considered to be entirely supported on the piles and do not have any soil support underneath. This is particularly true in the present case where the building is located in a pond. en^' 8.5 Study of Parameters Influencing the Raft Behaviour 8.5.1 Effext of Raft Stiffness on the Pile Loads and Raft Moments ; ' In this study the effect of raft stiffness is considered by increasing the E value of the raft instead of increasing the thickness of raft. This has been adopted for computational convenience.This analysls has been camed out value of 50 times E, at increments of 10E. This is done essentially to asstarting from single E value upto~a certain the effect of raft stiffness on pile loads and raft moments. The increase in moment values in the raft with hypothetical Increase in stiffness values along a Xdirection strip and Y strlp are graphically shown in F~gs. and 8.3. A lo-, 20- and 50-fold increase in stiffness value 8.2 of the raft increases the raft moments upto 325. 450 and 600 per cent, respectively, at certain locations. Due to the variation in raft rigidity the pile load variation is upto 75 per cent over the safe load. Considering the stiffening effect of superstructure (i-e.,value corresponding to 3 E) this pile load variation decreases to 50 per cent. With the 10-fold increase in raft stiffness (which amounts to more than doubling the raft thickness), thls variation reduces nearly to 10 per cent. The effect of increase in the raft sbffness on the pile load variation along a strip is shown in Fig. 8.4. It is is seen that beyond a ten fold increase in raft stiffness the pile load variat~on very small. This clearly shows that raft with assumed thickness is not rigid enough so as to distribute the loads on to the piles uniformly and number of piles wlll be carrying loads upto 1.75 times the average load. 8.5.2 Effect of Superstructure and Retaining WaUs on Foundation Stiffness To obtain a realistic assessment of foundation performance, it is essential to include the additional stiffening effect of the structure above the raft level. In this case the stiffness effect of superstructure is included in the
  • 78.
    RAFT FOUNDATIONS-DESIGN ANDANALYSIS Element numbers F g 8 2 Effect of Raft Stiffness on Raft Moments Along X-direction Strip. i. . Element numbers F g 8 3 Effect of Raft Stiffness on Raft Moments Along Y-direction Strip. i. .
  • 79.
    STUDIES CARRIED OUTON ANALYSIS AND DESIGN OF PILED RAFTS Ekment numbers Fig. 8.4 Effect of Raft Stiffness on Pile Loads Along X-direction Strip. -60 - Only rat t stiffness Combined st i t f ness 1 a 5 Element numbers Fig. 8.5 Effect of Superstructure and Retaining Wall on Raft Moments Along X-direction Strip.
  • 80.
    74 RAFT FOUNDATIONS-DESIGN ANDANALYSIS raft analysis by adding the cumulative bending stiffness of the floor slabs to that of the raft stiffness and As ~ this equivalentraft thickness is obtained as recommended by ~ o o ~ e r per ~ . procedure for this eight-storeyed building, the bending stiffness contribution of super-structure is of the order of 20 per cent of the raft stiffness and the original raft thickness of 1.2 m get enhanced to equivalent thickness of 1.28 m only. Similarly, the stiffness effect of retaining walls is also included in the raft analysis by adding the bending stiffnessof retaining walls and the superstructure to that of the raft. In this case theequivalent bending stiffness of the raft works out to 3 times and the raft thickness gets enhanced to an equivalent thickness of 1.73 m. Due to the stiffening effect of these components, the raft moments tend to increase and the increase being in the order of 20-70 per cent over the values obtained considering the stiffness of the raft alone. This effect has been shown for chosen X direction and Y direction strips in Figs. 8.5 and 8.6. The variation between the loads carried by the individual piles also tend to decrease due to this effect. Beside the raft, the super-structure frame and the infill walls will also come in play in resisting the foundation moments due to the composite action. However, this has not been considered in the present study as the effect is very small. 8.5.3 Effect of Earthquake Loads and Moments When subjected to earthquake forces (lateral loads), column loads and base moments get affected causing increase in column load, on the one side, and corresponding decrease, on the other. This causes a large eccentricity of loads with respect to the C.G of the raft. This in turn also results in uneven loading on the piles. This behaviour will induce differential settlement causing additional moments in the raft. Hence, it is necessary to investigate the effect of earthquake loading for the design of the raft. In the present study, the vertical load and seismic analysis of the building was done using a three dimensional analysis package, TABS. The loads and moments of the columns at the foundation level are determined for seismic loads applied in two orthogonal directions independently. The raft is analysed by finite element modelling explained earlier for each of the above cases, and the critical values of loads and moments are obtained. The stiffness of the raft is kept at its actual stiffness. The effect of earthquake has been studied with respect to the variation of the moments in the raft and the pile loads. Analysis is made for the non-seismic condition (load factor = 1.5) and the seismic condition (load factor = 1.2) as per Limit State Method. These analysis indicated that for Xdirection the raft moments in non-seismic conditions are generally more compared to the seismic condition except at few locations where the seismic moments are more (Fig. 8.7). This behaviour is not surprising while the raft is continuous, super-structureis in three blocks separated by the expansion joints. These three blocks behave independently in seismic condition and their effect on foundations with earth quake in X direction is compensatingrather than additive. However, for the earthquake forces along the + Y direction the seismic moments are found to be more. This shows the raft moments in seismic conditions cannot be ignored as they are likely to govern in certain situations (Fig. 8.8). The pile loads tend to increase in the regions in the far end of the raft in the direction of the earthquake due to the overturning effect of lateral loads on the foundation. 8.5.4 Effect of End Bearing and Friction Piles In practice both types of piles, frictional or end bearing or a combination of both, may be encountered at site. The behaviour of the pile raft will change due to change in the axial stiffness of the pile which depends upon its effective length, the other factors remaining same. This will, in turn, alter the pile loads and raft moments. I I 1 1 ' . 1 ' 1;
  • 81.
    STUDIES CARRIED OUTON ANALYSIS AND DESIGN OF PILED RAFTS 9 5 Element numbers Fig. 8.6 Effect of Superstructure and Retaining Wall on Raft Moments Along Y-direction Strip. i 3 5 Element numbers Fig. 8.7 Effect of Earthquake, Forces on Raft Moments About Y - Axis Along X-direction Strip.
  • 82.
    RAFT FOUNDATIONS-DESIGN ANDANALYSIS Element numbers Fig. 8.8 Effect of Earthquake Forces on Raft Moments About X - Direction Along X - Direction Strip. Fig. 8.9 Effect of Pile Type (Friction and End Bearing) on Raft Moments Along Y - Direction Strip.
  • 83.
    STUDIES CARRIED OUTON ANALYSIS AND DESIGN OF PILED RAFTS 77 As stated earlier, in the present modelling; the axial stiffness for friction piles and end bearing piles are taken as 2AEIL and AUL, respectively. AS the end bearing piles are more flexible,-raft supported on such flexible piles tend to behave in a more rigid manner compared to the raft supported on friction piles. This effect studied in the present problem indicated that the moments of the raft supported on end bearing piles are increased 10 to 40 per cent compared to friction piles supported rafts. This behaviour is indicated in Fig. 8.9. For the raft supported on end bearing piles, the pile load variation also decreases due to a less flexible behaviour of such rafts, compared to rafts supported on friction piles which tends to show more flexible behaviour (Fig. 8.10). Element n u m b e e Fig. 8.10 Effect of Pile Type (Friction and End Bearing) on Pile Loads Along X - Direction Strip. 8.5.5 Summary o Results f The results of the analysis are summarised as under: (a) Rafts analysed by conventional rigidmethod with moments determined by simple statics gives very high values, particularly in case of very large sized rafts. However, moments determined by continuous beam analogy as an inverted floor results in lower values. In this case, the moments obtained by simple statistics is nearly six times than the moments obtained by continuous beam analysis. (b) Increase in raft thickness results increases in raft moments. Considering an initial thickness of the raft based on punching shear consideration then increasing the thickness by 2.2,2.7 and 3.7 times, increases the raft moments by 2.25.4.5 and 6 times, respectively. Increase in raft thickness however decreases pile load variation which more or less becomes uniform at thickness equal to 2.2 times.
  • 84.
    78 RAFT FOUNDATIONS-DESIGNAND ANALYSIS (c)Pile loads increased upto 175 per cent of the safe load carrying capacity for assumed thickness of 1.2 m. However increase in raft thickness (increase in rigidity) tends to decrease the difference in loads camed out by the individual piles. By doubling the initial raft thickness, the variation between the pile loads decreases from 75 to 10 per cent. Further increase in raft thickness further decreases this percentage at a slower rate. (d) The effect of super-structure on the raft moments is not substantial. If the effect of stiffening of the retaining wall is also considered then h e increase in raft moments is only 1.2 to 1.7 times over the moments considering the raft alone. The common practice is not to design the raft for these increased moments as these are to be re proportioned and resisted by super structure and retaining walls. (e) Under seismic conditions, the increase in base moments and the column loads affects the raft moments. In the present case, analysis for earthquake along Y-direction has increased the raft design moments upto 2.5 times compared to non-seismic conditions. However, for earthquake analyses in other directions, the design moments are not more than for non-seismic conditions. Pile loads get increased upto 200 per cent. It is also to be kept in view that for seismic condition on increase is permissible stress upto 50 per cent is allowed. (f) The type of piles (frictional piles-or end bearing piles) also affect raft moments. The raft moments obtained with end bearing piles are of the order of 1.1 to 1.4 times compared to those obtained with assumption of friction piles. 8.6 Discussions In conventional design and construction practice, the rafts are being designed for vertical column loads only and piles of equal capacity are provided throughout the raft. The stiffening effect of the super-structure, the column base moments due to vertical loads and even the seismic effect on the column loads and their base moments are neglected. This is being done irrespective of the fact whether the raft was being considered as rigid or flexible. In practice though, the piles are assumed to be of the same length, their length vary depending upon the soil variation. For normally adopted thickness of raft satisfying the punching shear consideration,the raft would be quite flexible and this could cause the differential loads on the piles. The piles in the vicinity of the columns will be loaded more as compared to the piles away from the columns. Such heavily-loaded piles exceed safe load capacity. This behaviour will induce differential settlements causing additional moments in the raft. When earthquake effects are considered, the variation pointed out above get further increased and moments become very large. The practice of designing the piled raft as rigid raft with piles replaced by and equivalent soil medium and moments determined by simple statics give very high moment values for large sized rafts. This requires higher thickness and higher quantity of steel as compared to that required by other methods. This method being very conservative covered up many assumptions as pointed out earlier. Rigid raft approach with moments detennined by continuous beam analogy, i.e., inverted floor give lower values of moments coinpared to above approach, and while considered to be reasonable by many designers and used for approximate design has also been considered as dangerous by others. In this study, however, it is seen that the values obtained for this approach more or less account for the assumptions pointed out above. In design office where computer facilities are available, rafts are being analysed by flexible approach considering the stiffness of the raft alone. The piles are being assumed to be equally loaded and hence piles of equal safe load capacity are provided throughout the raft. All other assumption of designing the raft only for vertical loads, neglecting the seismic effects, are being made. This study has shown that the variation of ,
  • 85.
    STUDIES CARRIED OUTON ANALYSIS AND DESIGN OF PILED RAFTS I ! I ; 1 ! moments in the rafts, while these factors are considered, are very substantial and the raft design, neglecting these factors, would not be safe. Even the piles will be subjected to loads much higher than their safe carrying capacity and consequently affect the structure. It would, thus, be seen that in case flexible approach is adopted, for the designer two options are available. In the first alternative, a thickness large enough to obtain a rigid behaviour with piles of equal capacity is provided. In the other alternative, raft of normal thickness exhibiting flexible behaviour and piles having a capacity to sustain the maximum loads likely to come on any of the piles are provided. However, it would be necessary to analyse the raft for all conditions of loading without making any assumption pointed out above and design the raft for worst values of moments also. It is clear that the practice of designing the raft on flexible approach and simultaneously making the assumption being made in conventional design is not a safe practice. 8.7 , i 79 Conclusions In this study three approaches of piled raft analysis as recommended in the literature and adopted by practical designers have been discussed in detail along with the effect of various assumptions being made. The results indicate that while the rigid raft approach by simple statics using vertical loads for columns alone, gives highest value of moments, the flexible raft approach carried out for column vertical loads alone, neglecting the effect of rigidity, effect of pile types, and earthquake loads, may lead to unsafe design both for the raft as well as the piles. This study was presented by the author at the International Symposium on Innovative World of Concrete, held at Bangalore India, August-September, 1993.
  • 86.
    JOINTS IN RAFTS $ Jointsare required to be provided in building super-structures to take care of thermal and seismic effects. Concepts in this connection are more or less clear and no difficulty is generally experienced in locating these joints. Structural designers, however, face a question as to whether these joints should be extended to foundation raft. There are no clear guidelines available on this aspect. In buildings where there are no basements, this question has a simple answer in the affirmative as there is not much of difficulty in extending the joints in the raft. This provision rather becomes helpful as the continuity of the raft is broken and even conventional rigid methods, if adopted, for analysis and designs does not create any problem. However, where the buildings have basements, provision of joints requires a deeper thought as joints are always a source of le*ge in the building. If the buildings have basements, foundations are generally more than 3 m below ground level and are very little affected by thermal variations. Thermal effects are, therefore, not of much consequence at this depth. Seismic effects, however, are still important as they are independent of the depth of foundation. There is always a doubt in the mind of the structural designer about the behaviour of a common raft under seismic forces supporting more than one block of buildings. The buildings can vibrate in different modes and create a pattern of forces on the foundation which are much different from normal static loads. The possibility of large amount of torsional stresses also exist. Complete division of very long buildings is also recommended on the ground that portions of such buildings may experience different seismic waves. No guidelines are available on this issue. The author had discussed this question with number of structural designers but no consensus existed. The author is of the view that in multi-block buildings having basements, unless technology to ensure water tight construction is available,joints need not be provided in the basement rafts. Wherever computer facilities of adequate size are available, raft should be analysed as a whole. On the other hand, where it cannot be done, a separate analysis can be carried out for portion of the raft taking 2 or 3 bays on either side of the joint and neglecting the other portions. The common portion can then be designed for these values or the individual block values whichever is higher. While detailing, reinforcement should be provided liberally at the joint.
  • 87.
    SUMMARY OF STUDIES 10.1Text books, hand books, reports of committees, codes and proceedings of conferences, while discussing merits and demerits, continue to provide for all methods of analysis starting from conventional rigid approach to most modem methods solved on electroniccomputer taking into account the soil structure interaction.These, however, give no guidelines to a practical designer which could enable him to (a) Know the extent by which he is farther away in his approach from what is actually happening and the amount of risk he is taking by opting for a particular method. (b) To select the method which is most suitable for his problem at hand. 10.2 Rigidity of raft selected in the preliminary design has a tremendous effect on the stresses actually developing in the raft. Study 1 shows that this variation could as much as ten-fold. 10.3 Soil pressure distribution under the raft is neither uniform non linearly varying. This depends upon the relative rigidity of foundation and soil. For a known value of soil rigidity, there is a value of raft rigidity which would make the soil pressure more or less uniform. There are however no exact methods available to determine the rigidity of soil or soil pile system. Rigidity of raft can also not be determined exactly as it is affected by super-structure from h e top and the soil below. 10.4 Modulus of subgrade reaction, which is a measure of soil rigidity, is a function of the nature and properties of the soil below and behaviour of structure above. There are methods available starting from empirical approximate ones on one hand to those taking into account the soil nature and soil properties below. All these methods make number of assumptions.Even the latest method assumes horizontal layers of soil having uniform soil properties in given area below the raft. This situation does not exist. It is quite common experience that the soil layers are rarely horizontal, and the properties of soil determined by bore holes varies to large extent from one bore hole to another. For the same soil properties empirical methods given in the literature give different values so much so that value determined by one method is 6 to 7 times that determined by another method. Accurate determination of value of modulus of subgrade reaction is, therefore, not possible. Variation in the bending moments for same value of rigidity of raft with varying values of modulus of subgrade reaction is also considerable. Study 1 shows that this variation would be as'much as ten-fold. 10.5 A designer can adopt any of the thickness and value of subgrade reaction with in the ranges considered in these studies. The extent of variations that can be expected on the values of bending moments would be much high.
  • 88.
    82 RAFT FOUNDATIONS-DESIGN ANDANALYSIS 10.6 In seismic areas or in high wind areas, there are horizontal 1oads.whichact upon the super-structure and, therefore, also on the foundation. Their effect is to vary the column base moments and also increase in vertical load in some columns and decrease in others. This increase and decrease is a cyclic process which depends upon the direction in which the horizontal forces are acting. Study 2 has shown that bending moments determined in a raft of known thickness founded on a soil having a known value of soil modulus can vary approximately upto 20 times at some locations, general value being twice. 10.7 Variation in stresses due to change in rigidity or soil modulus is smaller for the rafts which are symmetrical in plan and more uniform loaded. 10.8 In a building having basement the retaining walls also affect the rigidity of the raft increasing the values of bending moment upto 70 per cent from the case in which this effect has been neglected. 10.9 Analysis of superstructure is done for the complete frame work when all the beams and columns are in position and loaded as a whole by design loads. In actual practice this is never so. Buildings are constructed step by step and the portion already constructed gets loaded step by step and consequently undergo deformation. When next stage gets constructed imposing loads on the already constructed portion, it is this deformed structure which undergoes further deformation. This deformation is different from the one which the structure would have undergone had it been in one go. This process is repeated on every stage and continues till the building is complete. During this construction process, building also experiences live loads which at some stage may be even higher than the actual design live loads. Effom have been made to take this effect into account and quantify the same but without success. Since foundation is constructed in the very beginning, the foundation settlements and the stresses in the foundation also undergo the same cycles. In any method of raft analysis, whether conventional or modern, it is not possible to take this effect into account. 10.10 Study in para 8 which has been carried out for a structure having basement supported on piled raft with building blocks of varying height separated from each other by expansion joint indicate the same effects as in rafts supporting a single block. 10.11 Study 3 and study in section 8 also show that the bending moment values obtained by conventional rigid combined footing approach are higher than those obtained by treating the raft as inverted floor. Values obtained by combined footing approach are quite large and provide an envelope on the values which can be obtained by considering variations in rigidity of raft, soil properties and the effect of horizontal loads. In some cases the values obtained by treating the raft as inverted floor also provide an envelope but points where it is not so, are large in number. 10.12 In a piled raft the rigidity of pile soil system also depends upon the type of piles, i.e., friction or bearing piles. This also affects the stresses in the raft which may vary by 10 to 40 per cent. 10.13 Though number of computer packages are available to take into account soil structure interaction, each of them adopt the approach which necessarily take into account soil properties. Since soil properties can be determined only to some level of accuracy, no useful purpose can be sewed by using far more accurate computational procedures. 10.14 Design of raft foundation carried out on flexible approach for vertical loads alone, neglecting the effect of raft rigidity seismic load and variation of soil modulus would generally be unsafe. 10.15 Design of raft foundation carried out by rigid conventional combined footing approach carried out for vertical loads alone would generally be safe. 10.16 Designer should be liberal while providing reinforcement in rafts.
  • 89.
    I SUMMARY OF STUDIES 83 10.17Method suitable for adoption in design ofices for proportioning the load between piles and soil below the raft in a piled raft supporting large number of piles is not yet available. 10.18 Raft of a given thickness may behave as rigid with poor soils and flexible with hard soils or rocks. 1 , i I 10.19 Study 4 also shows that design of raft foundation as flexible usingconiceptof beam on elastic foundation with minimum values of BM as ~ ~ ~ for each span is generally safe; 1 1 0 10.20 For normally adopted thickness of piled raft satisfying the punching shearconsiderations,the raft would be quite flexible and this could cause the differential loads on the piles, may be even exceeding their safe load carrying capacity.
  • 90.
    FACTORS AFFECTING CHOICEOF METHOD OF ANALYSIS The following factors affect the choice of the structural designer to select a particular method of analysis of raft foundation and finally prepare structural drawings for the same: (a) Importance of the building; (b) Time available for carrying out the design; (c) Permitted cost of analysis in design; (d) Nature of soil, its bearing capacity and extent of soil investigation carried out; (e) Cost of the building; (f) Type of the building and loads imposed by the buildings; (g) Infrastructure facilities available with the structural designer, and (h) Limitations in reinforcement detailing and fabrication. 11.1 Buildings have importance depending upon their occupancy, size and purpose which they serve and details in this connection are available in the National Standards of each country. However, for our purpose, buildings having nuclear facility, power plants or dealing with toxic substance have very high importance as slight damages may prove disproportionately dangerous for the society. For such building, it is necessary to have detailed investigations carried out on the soil, seismicity of location and its effect on the buildings. These buildings for our purpose can be called category one. All other buildings can be considered as category two. 11.2 Time available for design may get restricted due to owner. Quite often owner may be spending any amount of time in deciding whether to undertake the construction of a building or-nst but once having done so, start pressurising the architect and engineer concerned to start construction imme&ately. Architects take their own time to prepare the drawings and so do, soil consultants for their soil investigation report. All the pressure is then on the structural designer to give foundation design. It could also be due to structural designer who would have taken up number of jobs at the same time restricting the time which he can afford to spend upon design of raft foundations. Time taken in carrying out the design by different methods is different. It is shortest when the foundation design is done according to conventional combined footing approach. It is the longest when it is done on computer taking into account all the factors affecting the actual raft behaviour.
  • 91.
    FACTORS AFFECTING CHOICEOF METHOD OF ANALYSIS 85 11.3 Raft foundation analysis costs are minimum for conventional rigid combined footing approach and increase gradually as various factors are taken into account. These would be maximum when the design is carried out on computer utilising flexible approach taking into account all the forces that the building is likely to be subjected to, rigidity of the raft, soil and their interaction. Structural design has to be carried out by the designer in a manner so that the cost of the design does not exceed the amount made available for the purpose. Quite often, there is a tendency on the part of the owners to spend minimum on design. 11.4 All flexible methods utilise the elastic properties of soil. Accuracy of these methods, therefore, depend upon the accuracy with which the soil properties have been determined. Accuracy of determining the soil properties depend upon the nature of the soil and the extent to which Soil Investigations have been camed out. Detailed soil investigation not only cost considerable amount of money but also take time. Moreover, these properties can be more accurately determined for either fully cohesionless or cohesive soil but the accuracy falls for the combination of the two. Modulus of sub-grade reaction or soil modulus at the present state of art cannot be determined accurately. 11.5 Cost of the building generally determines the amount which can be spent on analysis and design. It also determines theextent to which risk can be taken in thedesign. Quite often, it may not be the cost of the building alone but also the indirect cost of equipment, etc., kept within the building which will determine the extent to which the interruption in the functioning of the building can be accepted. 11.6 Type of building affects the accuracy with which its rigidity can be determined. It also determines the loads it is going to impose on the soil. When the loads imposed on the soil are lower as compared to its bearing capacity, flexible approach of raft design with variation in soil pressure distribution below the raft can be adopted. This may not be possible in case loads imposed more or less match the bearing capacity. In this case, rigidity of raft will have to be suitably increased so that uniform distribution of soil pressure below the raft could be obtained. 11.7 Infrastructure facilities relating to computer hardware and software available with the structural designer also affect the method of analysis selected. While a calculator is enough for designing a raft by conventional rigid method, for a medium size building, a personal computer (PC 486 with 120 MB hard disc and 4 MB RAM) would have been a minimum requirement, if flexible method using raft as a plate is to be used. 11.8 It is also to be kept in view that stresses obtained from analysis are to be used for determining the reinforcement to be provided in the raft. Detailing of reinforcement is to be done keeping in view the basic requirements of overlap, and development length, spacing and ease of fabrication. Generally, large diameter bar are provided in more than one layer at top and bottom of the raft. Large diameter bars have considerable anchorage length and, therefore, their curtailmentsat very close intervals is not practicable. Spacing of the bar in the two layers have also to be co-related to each other for ease of fabrication and concreting. Small variation in magnitude of bending moments along the span (unless the spans are several times the anchorage length of the reinforcement bars) are of no practical value. While detailing the reinforcement in rafts of uniform thickness, the common practice is to provide first a uniformly distributed reinforcement, if not in the entire area, then in very large segment to cater for minimum value of moment. Additional reinforcement is then provided in selected areas to allow for additional bending moments. While providing this additional reinforcement, the spacing at which this can be provided, get restricted to some multiple of the spacings of the reinforcement already provided uniformly. The quantity of this additional reinforcement, therefore, is also related to thequantity of the reinforcement already provided. Bending moments variation of magnitude smaller than that for which this quantity is required are of no consequence. Thus, certain discrete values of bending moments only are of consequence for the detailing requirement of reinforcement..Inessence, this means that
  • 92.
    86 RAFT FOUNDATIONSDESIGNAND ANALYSIS designusing refined methods of analysis, capable of working out small variation at closer spacing are not of much practical use unless they give minimum and maximum values lower than those obtained by the method adopted. In above factors, it has been presumed that the structural designers is professionally qualified and has technical and professional competence to undertake the design according to all the methods available today.
  • 93.
    GUIDELINES The factors detailedin Chapter 11 in their various permutations and combinations in the light of the results of studies mentioned in Chapter 10 are to be considered in selecting a method of analysis suitable for adoption in the then existing circumstances. Laying down any strict guideline is, therefore, very difficult. However, on the basis of the experience and what has,been stated in earlier chapters, it is recommended that: 12.1 In case of buildings of highest importance, mentioned in para 11.1, detailed soil investigations should be got canied out and flexible approach taking into account the full soil structure inter-action and possible forces likely to be imposed should be adopted. No compromise may be made due to limited time, permitted cost of design or infrastructure facility available with the designer. The analysis should be repeated for possible values of soil properties and rigidity of super-structure which at the moment are not amenable for accurate determination. 12.2 In case of relatively small buildings of category 2 importance, conventional rigid method using combined footings approach would be satisfactory. 12.3 In case of buildings of importance of category 2, small in size, which are repeated several times so that the economy in foundation design becomes important and it is possible to get detailed soil investigations carried out, methods based on flexible approach taking into account the soil structure inter-action in full should be undertaken. If there is restriction on time available for carrying out the design and detailed soil investigations cannot be carried out, rigid method using combined footing approach can still be adopted without any risk of safety. 12.4 Bending moments and shear forces become very high in conventional rigid combined footings approach as the length of the building increases. In such cases, expansionjoints in the super-structureshould be continued through the raft. 12.5 If there are basements and raft has to be made continuous and load imposed by the building is lower than the bearing capacity of soil, flexible approach as explained in para 7.4.1 using the Winkler model for soil with minimum values of bending moment of ~ ~ ~would normally be safe. If, however, loads imposed are 1 1 0 such that these match with the bearing capacity, values of soil pressure determined in this analysis should be checked and analysis repeated with increased thickness till a more or less uniform soil pressure is achieved.If .
  • 94.
    88 RAFT FOUNDATIONS-DESIGN ANDANALYSIS bearing capacity of soil is very high as compared to the loads imposed, the value of minimum bending moments can be decreased to WL2/12 from wL2/10. 1 . In case of piled rafts 26 (a) conventional rigid combined footing approach can be used for small size rafts. (b) In other cases, flexible approach taking into account the effect of seismic forces and other imposed loads would be appropriate. If raft is of uniform thickness, it is to be treated as a plate supported on individual springs located at the point of each pile. If raft is beam and slab raft, it is to be treated as consisting of beams on elastic foundation in either direction. In'both the cases, analysis is to be carried out for likely values of modulus of subgrade reaction. It is also to be seen that the loads carried by each pile as determined in the analysis should not exceed the safe load canying capacity of the pile. In case, this happens, the alternative available is either to change the type of piles with higher load canying capacity or to increase the rigidity of the raft so as to make the loads carried by each pile more or less uniform. In case, if time and infrastructureavailable for canying out the design or the permitted cost for design are constraints and it is not possible to take into account the effect of seismicity or the 2 super-structure rigidity in the analysis, above approaches with minimum values of bending moment as W 110 L would give satisfactorjland safe results. In this case also, however, the load coming on each pile is to be checked and ensured that it does not exceed the safe load canying capacity of the pile.
  • 95.
    REFERENCES Indian Standard Codeof Practice of design and construction of raft foundation, IS 2950, 1965. Indian Standard Code of Practice of design and construction of raft foundation, IS 2950 (Part I), 1973. Indian Standard Code of Practice of design and construction of raft foundation, IS 2950 (Part I), 198 1. Foundation of Structures, Clarence W. Dunham, 2nd edition, 1962. Foundation Engineering, Peck, Hansen, Thorburn, 1954. Rafr Foundation, A.L.L Baker, 1965. Foundation Design, Teng Wayne C, 1962. International conference on planning and design of tall buildings, Le high University 1972 - System and concepts foundation design -Technical Committee 11. Foundation Design and Practice, Elwyn E. Seelye, 1956. Foundation Design and Construction, M.J. Tomiinson, 4th Edition, 1980. Foundation Engineering Handbook, Hans F. Winterkorn and Hsai - Yang Fang, 1975. Handbook of Concrete Engineering, Mark Fintel, 1974. Foundation Analysis and Design, Joseph E, Bowles, 2nd Edition, 1977. Design of combined footings and mats, ACI Committee 336, ACI Journal October, 1966, Revalidated 1980. Some Aspects of Interactive Structural Design, F. Sawko and R.J. Cope, The structural engineer, June 1974. Some recent foundation research and its application in Design, Meyerhof, The Structural Engineer, 1953. Reinforced Concrete Designers Handbook, Reynold Charles E & Steedman James C, 9th Edition, 1981. Building code requirements for reinforced concrete, ACI 318, 1977. Structural Failure in Residential Buildings, Schild. Oswald, Rogier, Schwciket, Schn A Puuff, Vol 111, Basements and adjoining structures. Method of determination of modulus of subgrade reaction (K Value) of soils in field, IS 9214, 1979. Method of tests for soils, Part XI, Determination of shear strength parameters of specimen tested in unconsolidated undrained triaxial compression test without the measurement of pore water pressure, IS : 2720 (Part XI), 1971.
  • 96.
    RAFr FOUNDATIONS-DESIGN ANDANALYSIS Method of test for soils, Part XII, Determination of shear strength parameters of soil from consolidated undrained triaxial test with measurement of pore water pressure (first version), IS : 2720 (Part XII) 1981. Soil Engineering in Theory and Practice, Prof. Alam Singh, University of Jodhpur, 2nd Edition, 1986. "Raft Analysis and Design, Some practical examples", J.A. Hooper, The Structural Engineer, August 1984. "Bending of Beams Resting on Isotropic Elastic solids", A.S. Vesic, Jounurl Engineering Mechanics Division, ASCE, Vol87 EM2, April 1961. "Estimating the settlements of foundations on sand ALPAN", I, Civil Engineering and Public Work Review, London, Vol. 59, November 1964. Foundation Design and Construction,M.J. Tomlinson, 5th Edition, 1986. Handbook of Concrete Engineering, Mark Fintel, 2nd Edition, 1986. Foundation Engineering Handbook, Hsai Yang Fang, 2nd Edition, 1991. "Building code requirement for reinforced concrete", ACI 318,1989 (Available in ACI manual 1993). Reinforced Concrete Designers Handbook, Charles E. Reynold and James C. Sleedman 10th Edition, 1988. Suggested Analysis and design procedure for combined footings and mats, Report of ACI committee 336 DOC NO. ACI 336 2 R 88, (available in ACI manual 93) Foundation Analysis and Design, Joseph E. Bowles, 4th Edition, 1988. "Geotechnique Today", Proceedings of Indian Geotechnical Conference 1992, Calcutta, December 18-2Oth, 1992. Thirteenth international conference on soil mechanics and foundation engineering, Delhi, January 1994. Design of Foundation Systems, N.P. Kurian, Narosa Publishing House, New Delhi, 1993. Proceedings of eleventh international conference on Soil Mechanics and Foundation Engineering, San Francisco, 1988. Pile Foundation Analysis and Design, H.G. Poulos and E.H Davis, 1980. Soil structure interaction. The real behaviour of structures, Institution of Structural Engineers, The Institution of Civil Engineers, UK. International Association of Bridge and StructuralEngineers, 1989.
  • 97.
    APPENDIX ILLUSTRATIVE EXAMPLES* A.l - Example One:Conventional Rigid Method Combined Footing Approach Details of this method have been given in para 7.3.1 on page 55. The principles involved have also been explained therein. Though this method is recommended practically in every reference in Chapter 4, details are explained by 'Teng' in reference 7. A.1.1 Exampk Selected This is an 8-storeyed residential building consisting of 4 flats on each floor. Details are already given in para 7.1.1 page 39. Please see Fig. A. 1.1 for the ground floor of the building. This case is covered by guidelines Para 12.2 page 87, Safe bearing capacity for individual footings was not enough to carry the loads of the structure. The decision was therefore taken to have a raft foundation. Detailed soil investigations were got )The conducted and information in this connection is available in para 7.1.3 (page 3 . bore log is given in Fig. 7.4 on page 42. The recommended bearing capacity was 1.5 kg per sq.cm. at a depth of 2.5 metres. Central core of this building (Example 2 of study 1) is considered for illustration. A.1.2 Joints in the Rafr The overall dimensions of the building are about 50 metres x 50 metres with 4 flats projecting from the central core and attached with it by very weak connection through the approach corridor. The structural system for the superstructure required expansion joint separating the 4 flats from the central core. Since there was no basement it was decided to continue the joint into the raft. The location of the expansion joints has been marked in Fig. A.1.1. Super-structure for central core was analyzed on 3 dimensional building system computer program taking into account the earthquakeload by seismic coefficient method. The vertical loads on columns of central core are shown in Fig. 7.2 on page 40,Efforts were made to make the centre of gravity of the load system to coincide with the centre of gravity of the raft by extending raft beyond the edge line in two directions, but this could not be achieved fully and some eccentricity remained. * Design of reinforced concrete members in these examples has been carried out as per Indian standards. Designers in other countries can follow the correspondingprovisions of their codes if those happen to be different.
  • 98.
    RAFT FOUNDA-I'IONS-DESIGN ANDANALYSIS TYPICAL FLOOR, PLAN Fig. A. 1.1 A.1.3 Preliminaly Design, ie., Thickness of Raff The thickness of raft is worked out on the basis of punching shear as per calculations below. Consideration is also to be kept in view that column bars are able to have full development length in compression vertically embedded in raft so that load transfer can take place. If raft is not of sufficient thickness for this consideration, pedestals can be added. Checkfor Punching Stress: (All dimensions are in mm) Maximum column load = 2230 KN. Effective Depth of raft slab = d
  • 99.
    93 APPENDIX-ILLUSTRATIVE EXAMPLES Check forpunching stress at critical section taken at d/2 from column face (C1. 33.2.4.1(b) : I.S. 456- 1978) Perimeter of critical section =2(700+d+400+d)=2(1100+2d) Total resisting area = 2d(1100+24 Permissible shear stress = KsT (C1 30.6.3.1 - 1.S : 456 - 1978) , Punching Stress I Adopt overall depth of 1200 mm . This will be sufficient for vertical compression development length of 25mm dia column bars. A.1.4 Anuiysis a a Whole s I I 1 II I According to the method raft is first to be analysed as a whole in the two direction modelling it as a large beam member with point loads from top. The location of these point loads is along the centre llne of the columns. Magnitude of loads is obtained by totalling all the columns loads in each row perpendicular to the length of the beam. Upward load on this beam is obtained by multiplying the soil pressure with the width perpendicular to the team length. The equivalent beam obtained along the length of the raft is shown in Fig. A. 1.2. W~dth of this beam is varying and is also shown in the figure. Calculations for the centre of gravity of the load and centre of gravity of the area are carried out as below and it is seen that there is eccentricity of 218 mm. This leads to variation in pressure distribution below the raft. Further calculations are therefore required to be done considering this ' Calculation of eccentricity along Y -Yaxis A.1.4.1 I A.1.4.2 C.G of Area = C Ai yi tZAi (about point B) Area = C Ai = (7.5 x 2.35) + (10.66 x 8.275) + (6.09 x 6.45) = 145.117 m2 C A i y, = (7.5 x 2.35 x 15.9) + (10.66 x 8.275 x 10.5875) + (6.09 x 6.45 x 3.925) = 1340.8564 m3 C.G of Area from point B = 1340.85641145.117
  • 100.
    RAFT FOLINDATIONS-DESIGN ANDANALYSIS Fig. A. 1.2 C.G of Load = CPi yi/C Pi (About Point B) Z Pi = 18852 KN = Total Load C Pi yi = 2386 x 2.2 + 220 x 3.6 + 2415 x 6.15 + 400 x 6.3 + 3931 x 8.425 + 2549 x 8.575 + 6951 x 14.375 = 178310.43 KNm C.G of the load from Point B = 17831.043/1885.2 = 9.458 m Eccentricity = 9.458 - 9.24 = 0.218 m Moment = Me = Load x eccentricity = 18852.0 x 0.218 = 4121.15 KNm Upward pressure = Load1Are.ak Me y 1, 1 1 = 6.09 x 6.453112+ 6.45 x 6.09 x (9.24 - 6.45t212+ 10.66 x 8.2753112+ 10.66 x 8.275 , (8.27512 - 2.79)2 + 7.5 x 2.353/12 + 7.5 x 2.35 (2.3512 + 5.485)2 = 136.18 + 1421.1 +503.36 + 160.21 + 8.11 + 781.80 = 3010.76 m4 P,, = Load1Are.a f My 1, 1 = 18852l145.117 + 4121.15 x 7.83513010.76 = 129.9 + 10.72 = 140.6 K N / at point A, i.e., extreme left ~ ~ Pressure at any point on the beam at a distance y form C.G area (in KN/m2)
  • 101.
    APPENDIX-ILLUSTRATIVE EXAMPLES Fig. A.1.3Pressure load diagram for the idealised beam (KNlm) o = (CPJCA, + Myll,) = 188521145.117+ 4121.15 x ~13016.76) = 129.91 + 1.37 y A.1.4.11 A.1.4.12 A.1.4.12.1 A.1.4.12.2 A.1.4.12.3 Pressure from this equation and consequent loading at each point of columns and mid point of the span is calculated and shown in Table A.l.l and Fig. A.1.3. Moments are then calculated by simple statics using data in Fig. A. 1.2 and Table A.1.3. Check Total Load = (1054.7534 + 1030.6283)12 x 2.35 + (1464.8663 + 1344.1219)12 x 8.275 + (767.88955 + 714.12221)/2 x 6.45 = 2450.3233 + 11622.2189 + 4779.4879 = 18852.029 Say 18852 KN Moment: Taking top tension as positive Moment : At point N = 0.0 KNm Moment : At point M = - 1728.17 - 14.79 = - 1742.97 KNm or - 286.20 KNm /m for a width of 6.09 m Moment at point L = 2386 x 0.7 - (738.29 + 714.12 x 2) x 2.g2/6 = 1670.2 - 3036.76 = - 1366.56 KNm or - 224.39 KNrnIm for a width of 6.09 m
  • 102.
    RAFT FOUNDAT1ONSDESIGNAND ANALYSIS TableA.l.l Point A B C D E F G H I J K L M N Y + 7.835171 + 5.485171 + 5.135171 + 2.235171 - 0.664829 - 0.814829 - 2.789829 - 2.939829 - 3.089829 - 4.364829 - 5.639829 - 6.339829 - 7.039829 - 19.239829 o (In KN/MZ) Pressure 140.63379 137.4171 136.93802 132.96848 128.99895 128.79363 126.09024 125.88492 125.6796 123.93437 122.18914 121.23098 120.27282 117.26145 in metres Loading in KN/m fw X a) 7.5 7.5 110.66* 10.66 10.66 10.66 10.66 10.66 16.09* 6.09 6.09 6.09 6.09 6.09 6.09 6.09 1054.7534 1030.62831 1464.8663 1459.7 1417.44 1375.12 1372.94 1344.121767.88 766.63 765.38 754.76 744.13 738.29 732.46 714.12 W d h of slab (w) it *At this section raft has two w d h . its A141. ...24 A1415 ...2 A141. ...26 A141. ...27 A141. ...28 Moment at point K = 2386x 1.4- (744.13 + 2 x 714.12) x 3.62/6 = 3340.4 - 4692.33 = - 1351.93 KNm or - 221.I99 KNmIm for a width of 6.09 m Moment at point J = 2386 x 2.675 + 220 x 1.275 - (754.76032 + 2 x 714.12221)/6 x 4.8752 = 6382.55 + 280.5 - 8646.7453 = - 1983.6953 KNm or - 325.72993 KNmlm for a width of 6.09 m. Moment at l = 2386 (3.950) + 220 x 2.55 - (765.38875 + 20 x 71.412221)/6 x 6.15~ = 9424.7 + 561.0 - 13828.115 = - 3843.4151 KNm or - 63 1.10264 KNmIm for a width of 6.09 Moment of H = 2386.0 x 4.10 + 220.0 x 2.70 + 2415 x 0.15 - (766.63915 + 2 x 714.12221)/6 x 6.30~ = 9782.6 + 594.0 + 362.25 - 14519.155 = 3780.3048 KNm or 620.73971 K N d m for a width of 6.09 m Moment of Point G = 2386 (4.25) + 220 (2.85) + 2415.0 (0.30) + 400 x 0.15 - (767.88956 + 2 x 714.12221)/6 x 6.452 = 10140.5 + 627.0 + 724.5 + 60.0 - 15227.444 = - 3675.444 KNm
  • 103.
    APPENDIX-ILLUSTRATIVE EXAMPLES A.1.4.12.9 A.1.4.12.10 A.1.4.12.11 A.1.4.12.12 A.1.4.12.13 A.1.4.12.14 A.1.4.13 or -603.52 118 K N d m for width of 6.09 m or - 344.78837 KNmlm for width of 10.66 m Moment at point F =2386x6.225 + 2 2 0 ~ 4 . 8 2 5 +2415x2.275 +400x2.125 = 14852.85 + 1061.5 + 5494.125 + 850 - 24665.906 - 2640.1926 = - 5047.62366 or - 473.5 106 K N d m for 10.66 m width Moment at point E (Taking moment from L.H.S) = 6951.Ox 5.80-2.35 ( 2 x 1054.7534 + 1030.6283 x2.35 + 6.15 )1(105.47534 + 103.56283)' x 208.5381712 = - (2 x 1464.8663 + 1375.1288)16 x 6.15~ = 403 15.8 - 17959.722 - 27 136.77 = 4780.6921 KNm or - 448.47017 KNmIm for width of 10.66 m Moment of Point D = 6951 x 290 - (2085.381 7)12 x 2.35 (1 1.795311 + 3250) = - (2 x 1464.8663 + 1417.444)16 x 3.25* - . = 20157.9 - 10853.784 - 7652.8421 = 1651.2739 KNm or 154.9037 K N d m for width of 10.66 Moment at point C = - 2082.581712 x 2.35 (1.1795311 + 0.35) = - (2 x 1464.8663 + 1459.7593)16 x 0.35~ = - 3747.846 - 89.618793 = - 3837.4648 KNm or - 359.98732 KNmlm for a width of 10.66 m Moment at point B = - (2 x 1054.7534 + 1030.6283)16 x 2.352 = - 2890.2327 KNm or - 385.36436 KNmIm for width of 7.5 m = - 271.12877 K N d m for width of 10.66 m Moment at Point A = -714.12221 ~ 6 . 4 5 (6.4512+ 10.625 ) - [767.88955-714.12221)12~6.45 [6.4513 + 10.6251 - 1344.1219 x 8.275 [8.275/2 + 2.351 - [1464.8663- 1344.1219y2 x 8.275 [8.27513 + 2.351 - 1030.628 X 2.35 [2.35/2] -[1054.75- 1030.6233y2 [2.35/3] + 6951 x 2.70 + 2549 [5.80 + 2.701 +3931 [0.15+5.80+2.70] +40[21.25 +0.15 +5.80+2.70]+241.5 [0.15+2.125+0.15 + 5.80 + 2.701 + 22 [2.55 + 0.15 + 2.125 + 0.15 + 5.80 + 2.701 + 238.6 r1.40 + 2.55 + 0.15 + 2.125 + 0.15 + 5.80 + 2.701 = -63794.322- 2215.181-72157.924 -2552.021 -2845.822- 09.450 + 18767.70 + 21666.50 + 34003.15 + 4310.0 + 26383.875 + 2964.5 + 35491.75 - 143574.72 + 143587148 = + 0.991 = 0.00 This check is necessary to see that over all calculations are correct. The bending moment diagram for M for raft as a whole is shown in Fig. A.1.4. ,
  • 104.
    98 RAFT-FOUNDATIONSDESIGNAND ANALYSIS Fig. A.1.4Bending moment M, for raft as a whole A.1.4.14 Similar calculation are carried out for raft as a whole in short direction for MIT.The large beam member is shown in Fig. A.1.5 eccentricity in this direction is found to be 31mm only. Loading diagram is shown in Fig. A.1.6. Bending moment diagram is shown in Fig. A.1.7. Fig. A. 1.5 Idealised beam for raft as a whole in short direction
  • 105.
    APPENDIX-ILLUSTRATIVE EXAMPLES 2- $ bb $ 1 . -9 g Z Z Z g N ( U N ( U OD 0 a ! 0 (r I 2 2 " rn 9 0 ; " " ma, a - a, (U a , 8 *a, * LO g$g LO ! g m m v , 6 2 *ru s 4 'Q a , 4 1 Fig. A. 1.6 Pressure loading diagram for idealised beam for raft on a whole in short direction EXAMPLE 2 Fig. A. 1.7 Bending moment diagram M,T raft as a whole short direction (Top tension as +ve) A.1.4.15 Final result for raft as a whole Max + ve, Min. + ve, Average + ve, Max - ve, Min. - ve and average -ve values for M, and M,,. for raft as a whole are calculated and shown below for proper appreciation M, Maximum +ve = 154.9037 KNm for width 10.66 m - occurs only at one point M, Minimum +ve insignificant M, Maximum - ve = - 631 .lo26 KNm M, Minimum - ve = - 221.9922 KNm M, Average - ve = - 416.4559 KNm
  • 106.
    RAFT FOUNDATIONS-DESIGN ANDANALYSIS M,, max +ve value = 78.21 KNMlm M;;. min +ve value = 14.40 KnmJm M;:, avg +ve value = 51.70 K N d m M;,max -ve value = - 87.75 KNm/m M;;, min -ve value = - 12.41 KNm/m M,, avg -ve value = - 37.30 K N d m .. A.1.5 Division of Rafi into Strips This raft is divided into strips in both the directions as shown in Fig. 7.10, page 57. Normally strips are taken from centre line to centre line of bay, but sometimes this rule cannot be followed and a judgement has to be made taking column locations into account. Such exceptions are evident in this figure. A.1.6. Analysis of Rafi Strips-wise for M,and Myy Large beam members.with their corresponding width in respect of strips are shown in Figures A. 1.8 to A. 1.16 - for strip no. 1 to strip no. 9 respectively. There is possibility of strip no. 6 , 7 , 8 to behave as an independent part and, therefore, this combination is also idealised on a large beam and is shown in Fig. A.1.17 . Calculations for each strip or combination of strip is carried out in the same manner as done for raft as a whole without reference to other strips. Each strip is considered as a combined footing carrying the loads from columns in that strip, eccentricity of column loads C.G. with reference to footing area C.G. determined, BMS worked out by simple statics. These values are decreased by 30% to allow for effect of continuity with other strips. Calculations for strip no. 1 for My, and strip no. 9 for M, are shown below : A.1.6.1 Strip No. 1 (see Fig A . I . ~ ) A.1.6.1.1 Total load on beam = C Pi = 6951 KN A.1.6.1.2 Area of beam = 3.275 x 1.58 x 2 + 5.625 x 7.50 = 52.536 m2 A.1.6.1.3 C.G. of the area from point K = CAI Xi /Ai 1.58 1 7.50 I Fig. A. I .8 Strip No. 1 Myy I 1.58
  • 107.
    APPENDIX-ILLUSTRATIVE EXAMPLES Fig. A.1.9 Strip No. 2 M?, Fig. A. 1.10 Strip No. 3 MD = 5.33656 m from point K
  • 108.
    RAFT FOUNDATIONSDESIGNAND ANALYSIS Fig.A. 1.1 1 Strip No. 4 Myy Fig. A.1.12 StripNo. 5 M , A.1.6.1.5 A.1.6.1.6 Eccentricity = 5.336 - 5.33 = 0.006 m Moment due to eccentricity Me = P, x e Me = 6951.0 x 0.0065645 = 4562 KNm
  • 109.
    I APPENDIX-ILLUSTRATIVE EXAMPLES fe Fig. A.1.13Strip No. 6 M , Z Y t A.1.6.1.7 A.1.6.1.8 Z Y Fig. A.1.14 Strip No. 7 M , 3.275 x (1.58)'/12 + 3.275 x 1.58 x 4.54 + 5.625 x (7.50)~ + 5.625 x 7.5 x 0 + 3.275 I12 x (1.58)~/12+ 3.275 x 1.58 x 4.54 = 246.831 3 m4 Pressure at any point on the beam at a distance y from C.G. of the area in K N / ~For. pressure ~ calculations see table A. 1.2. I,=
  • 110.
    RAFT FOUNDATIONS-DESIGN ANDANALYSIS Fig. A. 1 .I 5 Strip No.8 Mu Fig. A.1.16 Strip NO.9 Mu
  • 111.
    I APPENDIX-ILLUSTRATIVE EXAMPLES Fig. A.1.17Strip No. 6, 7, and 8 combined 11 2, p -c i Me Y ~ = [Iq ,] A.1.6.1.9 Pressure loading diagram is given in Fig A. 1.18 Fig. A. 1.18 Pressure loading diagram of idealised beam for strip No. 1
  • 112.
    RAFT FOUNDATIONS-DESIGNAND ANALYSIS A.1.6.1.11 r-- MomentsTaking top tension as positive Moment at point K = 0.0 KNm Table A.1.2 Point a ( K N / ~ ~ ) Width of strip ( W ) in m. Loading in KN/m (0 x w ) Pressure *Smaller width of sectionnargerwidth of section. A.1.6.1.12 A.1.6.1.13 A.1.6.1.14 Moment at point J = - (430.08263 x (0.74)~)/2+ (0.44792 x (0.74)~)16 = - 117.7975 KNm or - 35.97 KNm/m for a width of 3.275 m Moments reduced by 30 % = - 82.458 KNm or - 25.17 K N d m for a width of 3.275 meter Moments at point I = 1143 x 0.84 - 430.08 x 1. ~ 8 ~ - 2 1 0.956 x 1.5g216 = 422.89 KNm or 129.12 K N d m for a width of 3.275 m Moments reduced by 30 % = 296.02 KNm or 90.389 K N d m for a width of 3.275 m Moment for a width of 5.625 m = 75.18 KNm lm Reduced by 30% = 52.63 K N d m Moment at point H = 1143 x 1.255 - 430.08 x 1.58 x 1.205 - 740.33 x 0.415~12 0.43 x 0.415~16 , - 0.956 X 1.58 X 0.94112 = 549.73 KNm or 97.73 KNrnJm for a width of 5.65 m Moments reduced by 36% = 384.81 KNm or 68.41 KNm/m for a width of 5.65 m
  • 113.
    APPENDIX-ILLUSTRATIVE EXAMPLES A.1.6.1.15 107 Moment atPoint G = 1 143 x 2.5 1 - 430.08263 x 1.58 x 2.46 - (0.09563 x 1.58)12 x 2.1966667 - (740.33409 x (I .67)')12 - 1.73616 x ( I .67)'16 = 159.14 KNm A.1.6.1.16 or 28.89 KNmIm for the width of 5.65 m Moment reduced by 30% = I 11.39 KNm or 19.80 KNmIm for a width of 5.625 m Moment at point F A.1.6.1.17 or 21 1.48 K N d m for a width of 5.65 m Moment reduced by 30 % = 832.698 KNm or 148.03 K N d m fcr a width of 5.625 m Moment at point E = 42.76 KNm A.1.6.1.18 or 7.60 K N d m for a width of 5.625 m Moment reduced by 30% = 29.93 KNm or 5.32 K N d m for a width of 5.625 m Moment at Point D = 1564 x 1.43 - 435.578 x 1.58 x 1.79 - 0.956 x 1.58 x 2.0512 - 747.09 x 1212- 1.04 x l213 = 629.17 KNm A.1.6.1.19 A.1.6.1.20 or 111.85 KNdn'i for a.width of 5.625 m Moment reduced by 30 %= 440.42 KNm or 78.29 K N d m for a width of 5.625 m Moment at Point C = 1564 x 0.43 - 435.578 x 1.58212- 0.956 x 1.58213 = 128.03 KNm or 39.09 K N d m for a width of 3.275 m Moment reduced by 30 %= 89.62 KNm or 27.366 K N d m for a width of 3.275 m Moment for a width of 5.65 m = 22.76 K N d m Moment reduced by 30% = 15.93 KNrnIm Moment at Point B = - 435.578 x 1.15~12 -0.696 x 1.15~13 = - 288.50 KNm or - 88.09 KNmIm for a width of 3.275 m Moment reduced by 30 %= - 201.95 KNm or - 61.66 KNmIm for a width of 3.275 m
  • 114.
    RAFT FOUNDATIONS-DESIGN ANDANALYSIS Table A.13 Final Reduced Moments Point Moment (KNm)for strip as a whole Moment (KNm/m)permetre width of strip 1 Moment at Point A = 1564x 1.15 +2230x4.01 +2014x7.41+ 1143~9.92-435.578~ 1.582L2-~.956x 1.58~16 - 7 4 0 . 3 3 ~ 7 . 5 ~ 5 . 3 3 - 7 . 7 9 6 ~ 7 . 5 ~ 4 . 0 8 D - 4 3 0 . 0 8 ~5 8 ~ 9 . 8 7 - 0 . 9 5 6 ~ 1. 1.58X9.6OD = 0.0 Final Reduced moments are shown in Table A.1.3 (See Fig A.1.16) Strip No 9 MIX Total load on the beam = 2309.0 KN = CPi Area of the beam = (8.275 x 2.29) + (2.35 x 0.7 1) = 20.6182 m2 C.G of the area from point F = CA, Xi ICA, CA,X, = 0.71 x 2.35212+ 2.29 x 8.275 x 6.4875 = 124.897 CAi Xi ICA, = 124.897L20.618 = 6.05759 m from point F C.G. of load from pt. F = CP,X/cPi ZP,Xi = 1143 x 2.7 + 1166 x 8.5 = 12997.1 KNm ZPi Xi ICP, = 12997.112309 = 5.62887 m from point F Eccentricity (e) = 6.05759 - 5.62887 = 0.4287 m Moment due to eccentvicity Me= Pi x e = 2309 x 0.4287 = 989.88 KNm 1, = (0.71 x 2.353112) + (2.35 x 0.71 x 4.882) + (2.29 x 8.2753112) + (2.29 x 8.275 x 0.4299~) = 152.179 m4 Pressure at any point on the beam at a distance y from C.G. of the area (in KNlm2 ) These values for this strip are shown in Table A. 1.4. I a
  • 115.
    109 APPENDIX-ILLUSTRATIVE EXAMPLES Table A.1.4 Point Y CJin KN/~* W d h of strip ( w ) in m it ' Loading in K N m h ( 0 x w) A - 4.567 82.27 2.29 188.417 220.07 - 2.442 96.10 2.29 C 0.457 1 14.96 2.29 263.27 D 3.357 133.82 2.29 306.46 E 3.707 136.10 2.29 10.7 1* B 1 311.68196.63 * Larger width at section lsmaller width at section Fig. A1.19 Pressure diagram for the idealised beam. Strip No. 9 A.1.6.2.9 The pressure loading diagram for the idealised beam is (in ICIV/m2 ) is shown in Fig. A. 1.19. A.1.6.2.10 Moments taking top tension as +ve A.1.6.2.11 Moment at point F = 0.0 KNm -A.1.6.2.12 Moment at point E = - (96.63 x 2.352/2) + (10.8 x 2.35213) = - 286.81 KNm or - 403.959 K N d m for a width of 0.71m Moment reduced by 30% = - 200.767 KNm or = - 283.77 KNrn/m for a width of 0.71 m Moment for a width of 2.29 m = - 125.244 KNmlm ~ o m e nreduced by 30% = - 87.67 K N d m t A.1.6.2.13 Moment at point D = - (96.63 x 2.35 x 1.525) - (10.853 x 2.35 x 1.9112) - (306.46 x 0.35~ - (5.21 x 0.35~13) 12) = - 389.74 KNm or - 170.19 K n d m for a width of 2.29 m Moment reduced by 30% = - 272.8 1 KNm or = - 119.13 K N d m for a width of 2.29 m
  • 116.
    110 A.1.6.2.14 A.1.6.2.15 A.1.6.2.16 A.1.6.2.17 RAFT FOUNDATIONS-DESIGNAND ANALYSIS Momentat point C = 1166 x 2.90 - 188.417 x 5.025~12 74.85 x 5.025~16 = 687.55 KNm or 300.24 KNdm for a width of 2.29 m Moment reduced by 30% = 48 1.29 KNm or = 210.17 KNmIm for a width of 2.29 m Moment at point B = - (188.42 x 2.125~12 3 1.65 x 2.125~16) + = - 449.23 KNm or - 196.17 KNrn for a width of 2.29 m Moment reduced by 30% = - 314.46 KNrn or - 137.32 KNdm for a width of 2.29 m ~ o m e nat point A t = 1166 x 2.125 + 1143 x 7.925 - 188.42 x 8 . ~ - 123.26 x~8.2752/3 5 ~ - 96.63 x 2.35 x 9.45 - 10.85 x 2.35 x 9.84D = 0.0 KNrn Final Moments are shown in Table A.1.5. Table A.1.5 Point Per unit width Moment K N d m A A.1.6.3 Total strip Moment KNm 0.0 0.0 Similar analysis is canied out for all the remaining strips A.1.7 Overall Bending Moments Values of Bending Moments M and M obtained from analysis of raft as a whole and strips are shown on , , the raft plans in Fig. A. 1.20 and A. 1.21 respectively. , It would be seen from that figures that Maximum + ve B.M. M if 154.5 KN metre per metre width at the centre of columns in grid line 1 and 2 with higher values of 280 and 210 in ship nos. 5 and 9 respectively. , Maximum - ve M is - 603 KNm per metre width below columns in grid line 5 for raft as a whole. This value becomes 1337 in strip no 8 under columns F3. Thus in the long direction reinforcement at bottom of raft corresponding to B.M. value of 600 KN metre can be provided with additional bars under column F3 in the width of strip no. 8. Normally 50% reinforcement is provided on the other face. This will correspond to 300 KN metre and will be sufficient to care of positive M . , Similarly design value of M can also be selected and reinforcement provided. ,
  • 117.
    APPENDIX-ILLUSTRATIVE EXAMPLES X 9 ( F ;:gzx -. t ,l - ! & 8:- Q) . , m a a 3 u,$ n B " 4, l - " n a >;.I I C LC. 0 0 .sc ;! 5 ."S -: " E . 5 1 , 2: 9 0 m u , , - l a O " a;: 0 9 W " E m 0 s: " , 0 .g: > ,,3 w a 3 ~ > a a , 2 b : t - a - 3 3 ;;i 2 2 Y g ' s2 g A .3 2 J m V o m !: e o ! C u , 0 a .cs s e s LC.
  • 118.
    112 RAFT FOUNDATIONS-OESIGNAND ANALYSIS U RAFTSLAB THICKNESS = 1200MM 0 MOMENT VALUES AT SMALLER WIDTH OF SECTION 0 MOMENT VALUES AT LARGER WIDTH OF SECTION ALL VALUES ARE I N KN-M PER M WIDTH Fig. A. 1.21 Values of Myy. Values of individual strips reduced by 30%. [ I values for faft as a whole A 2 Example 2: Flexible R f - Beam on Elastic Foundation . at Flexible approach is explained in para 5.2 on page 22. Ideally the raft should be designed as flexible plate supported on elastic foundation taking soil as a continuum. This however requires large amount of data about the soil properties and very large computational effort. Concept of raft supported on elastic springs with a spring constant determined using coefficient of subgrade reaction, i.e., 'Winkler's model, is a simplification
  • 119.
    I APPENDIX-ILLUSTRATIVE EXAMPLES I . tI of thismethod. This is further simplified when instead of analysing the raft as a plate it is analysed as a combination of beams on elastic foundation. The basic principles used in rigid method, i.e., first analysing the raft as a whole-in both the directions by converting into a laige beam to give lower bound values and then analysing individual smps or combination of smps in both the directions to give upper bound values is extended to flexible approach with the modification that instead of determining the bending moment in each beam by simple statics, these are determined by treating each beam supported on suitably located springs having spring constant determined on the basis of modulus of subgrade reaction and contributing area of raft for the spring. For obtaining accurate results, these analysis are required to be repeated for varying values of modulus of subgrade reaction. When it is not possible to take such an exercise, designing the raft as per the values of bending moment determined in this analysis with a minimum valueof w12/10would normally give satisfactory safe design. A.2.1 Example Selected t i I This is an eight storeyed office building with a basement having six blocks of varying height. The example is already explained in para 7.4 and 7.4.1 on page 63. This is a long building (length being about 80 metres) which isdivided into 15 spans. If this raft was analysed by rigid method the bending moments will become very large and practically unmanageable. The recom~ ~ mended bearing capacity was 130 KN per sq. m. at a depth of 3.5 metres. A value of 11000 K N / was suggested for modulus of subgrade reaction. This case is covered by para 12.5 of the guidelines. 1i A.2.2 Joints in the Rajl rI i / A plan of the building is shown in Fig. A.2.1. Joints r e q u i ~ d be provided in superstructure to take into to account the thermal and seismic effects are shown in this plan. Since the building has a basement under all the I I '1 aoJe I EXPANSION JOINT EXPANSION Iv I/4INT TTT I I (ALL DIMENSIUNS ARE IN M> Fig. A.2.1 Plan with position of expansionjoint
  • 120.
    114 RAFr FOUNDATIONSDESIGNAND ANALYSIS blocksexpansion joints were not extended into the raft in eight storeyed portion. Joints between two storeyed and eight storeyed were extended into the raft and treated properly. This could be done as subsoil water level was low and some earlier constructed building in the same vicinity having joints in the basement had given satisfactory performance. The building size is so large thatanalysing the entire building as a plate would require very large computational effort. For the purpose of design, raft under 8 storeyed portion is treated separately from the raft under two storeyed portion. A.2.3 o p e of Raftto be adopted The raft could be slab of uniform thickness or a beam and slab construction. In this case design was done utilising beam and slab construction with beams projecting upward. Details of the design are already mentioned in para 7.4. However for the purpose of this example the method as indicated in para A.2 above is adopted. Raft for the eight storeyed portion is shown in Fig. A.2.2. Loads on each column are also shown in this figure on right hand side of column number. A.2.4 Determinution of Preliminary Sizes A3.4.1 Calculation o bearing pressure f Total load on the raft (summation of all column loads) Total area of the raft Bearing pressure = 225300 KN = 80.855 x 24.03 = 1942.95 = 1943 m2 = 22530011943 = 115.95 = 116 K N / ~ ' Assume a bearing pressure of 120 K N / (= w) ~ ~ A.2.4.2 Determination o depth of slab f Assume width of beam as 1000 mm in both the directions Consider the panel defined by nodes 30 - 3 1 - 36 - 35 - Fig A.2.2(A) I, = Short span of the panel = 5.714 m 1 = Long span of the panel = 7.01 m , Effective span lx.em = 5.714 - 1.0 = 4.714 m lJf,,, = 7.01 - 1.0 = 6.01 m 1,/1, = 6.01 14.714 = 1.275 (< 2 . slab is to be designed as a two way slab) : Negative moment per unit width at continuous edge = M, = ai w l,.,m2 (cI 36.1.2 table 22 IS 456 : 1978) , w, = factored load per unit area, i.e. = 1.5 x w = 1.5 x 120 = 180 K N / ~ ~ M, = 0.046 x 180 x (4.714)' = 183.9965 KNm or, F&= 15 ~/m'andf,=415 ~ / m ' ~,,,,,,/bd2= 2.07 (Table D, page 10 , SP 16 : 1980) Assuming a balanced section Say overall depth of slab = 400 mm
  • 121.
    SLAB THICKNESS =400mm BEAMSALONG X-X = I 0 0 0 X1200 mm BEAMS ALONG Y-Y = I 0 0 0 X800 mm mA STRIPS SELECTED FOR ANALYSIS ( A L L D I M E N S I O N S A R E I N MM & COLUMN L O A D S I N KN) Fig. A.2.2 Raft foundation
  • 122.
    RAFT FOUNDATIONS-DESIGN ANDANALYSIS SLAB THICKNESS = 4 0 0 m m BEAMS ALONG X-X = I 0 0 0 X 1 2 0 b n BEAMS ALONG Y-Y = I 0 0 0 XBOOln (ALL DIMENSIONS ARE I N M 8 COLUMN LOADS I N KN) M Fig. A.2.2(A) A.2.4.3 Transverse beam Bending moment in beam K12 - L12 (see Fig. A.2.2(A) long direction) Load per metre length on the beam from bearing area (a) - shown shaded in Fig. A.2.2(A) assuming the raft as an inverted beam slab system. w' (a) = w1,.(3 - m2)I6 where w = 120 KN/m2 bearing pressure I = short dimension of the panel defined by nodes 30 - 31 - 36 - 35 - Fig A.2.2(A) , 1 = Longer dimension of the panel , m = l,/l, . . Load perm length from bearing area marked (b) in Fig. A.2.2(A) wjcb,= w1,.(3 - m2)/6 .. wherew = 120 ~ ~ lbearing pressure r n ~ 1 = short dimension of the panel defined by nodes 35 - 36 - 40 - 39 , I,. = Longer dimension of the panel m = I#, 1
  • 123.
    I APPENDIX-ILLUSTRATIVE EXAMPLES Total loadon beam = w'(~)+ w'(~) = WT = 266.91 + 256.29 = 523.2 KNIm Effective span of beam = clear span = 1 = 7.01 - 1.0 = 6.01 m (Assuming 1 metre as width of beam) Bending moment = wT12110 = 523.2 x (6.01)~110 = 1889.8 KNm Factored moment = 1.5 x 1890 = 2835 x lo6 Nmm Assuming a balance section (where factored moment = Mulim For fck = 15 ~ l r n m ~ = 415 ~ l m m ~ and& ~ ~ ~= 2.07 Nlmm (Table D,~ ~ ~ l b d Page 10, SP 16:1980) Assuming the width of the beam as 1000 mrn - d = A.2.4.4 4 2835 lo6 = 1170rnm say overall 1200 rnm loo0 x 2.07 Longitudinal Beam Bending moment for beam L12 - L13 (Beam No. 63) Load per m length on beam from bearing area marked (c) (shown shaded in Fig. A.2.2 (A)) w'(c) = wlJ3 = 120 x 5.25713 = 210.28 KNIm where w = 120 KN/m2 1 = Shorter dimension of panel defined by nodes 35 - 36 - 40 - 39 , Load per metre length from bearing area marked (d) in Fig. A.2.2 (A) w'(~) = w1/3 = 120 x 5.25713 = 210.28 KN/m where w = 120 IW/rn2 1, = Shorter dimension of panel defined by nodes 36 - 37 - 41 .- 40 Total load on beam, wT = w'(, + w'(& = 210.28 x 2 = 420.56 KNlm Effective span of beam = clear span = 1 = 5.257 - 1.O = 4.257 m (Assuming 1 metre as width of beam) Bending moment = wT 12110 = 420.56 x (4.257)2110 = 762.14 KNm Factored bending moment = 1.5 x 762.14 = 1143.21 KNm Assuming the width of the beam as 1000 mm d= Ij 143.21 lo6 = 743 mm Say overall depth 800 mm 1 O x 2.07 OO
  • 124.
    118 RAFT FOUNDATIONS-DESIGN ANDANALYSIS A3.4.5 Checkfor punching shear The raft has beam and slab construction with columns located at intersection.Assuming provision of a pedestal 2300 x 2300 mm, the column can be considered to be supported on a slab of uniform thickness. In this pedestal column size = 610 x 610 mm Perimeter of critical sections = 4 x (610 + 4 (As per clause 33.2.4.1 (b) - IS 456: 1978) Maximum column load = 4707 KN Factored load = 1.5 x 4707 = 7060.5 KN Critical area resisting punching = 4 (610 + 4 x d Permissible punching stress = K, T , (Clause 30.6.3.1 IS : 456 - 1978) K, = (0.5+pc) : PC = 6101610 = 1 K, = 1.5 (> 1) : adopt K, = 1 . T = 0.25 , fd = characteristic strength of concrete T = 0.25 , 0.968 N / I T ~ ~ Punching stress < Permissible stress 6 m= which is less than 1.2 m depth of the pedestal already provided. If a punching shear calculation is made to check the pedestal punching through itself it would be found to be safe. As per above calculation raft therefore consists of beam and slab construction with 1000 mm x 1200 mm beam in the transverse direction and 1000 mm x 800 m m beams in the longitudinal direction with a slab thickness of 400 mm. Under each column a pedestal is provided with its top at 1200 mm level and projecting 650 mm on both sides of the beam as shown in Fig.A.2.2 (A). A.2.5. Analysis as a Whole in Long Dirkction The raft is converted into a large beam as shown in Fig. A.2.3. This beam rectangular in cross section has the same width and rigidity as whole of the raft. Calculations for this conversion are as under. Distance of N.A from A - A = &Ii. &Ii Xi (Refer cross section) = 0.257 m say 0.26 m Moment of inertia a b u t N.A
  • 125.
  • 126.
    120 RAFT FOUNDATIONSDESIGNAND ANALYSIS Equivalentbeam with same width and I would have depth , Thus equivalent beam is 0.569 m deep and 24.03 m wide. The various point loads on this beam are sum of all column loads in the line perpendicular to the length of the beam at that point. Springs have been provided under each column and also at the mid point of span. More number of springs can be provided but that much more of calculations get involved. Bending moment values under columns and mid point of span are enough. Springs are also located at the two extreme ends. Calculation. of spring constant are indicated below the figure. It would be seen that spring constant at the end of the raft are doubled as recommended by Bowles. This is done to allow for the end effect expected in such rafts. The problem is solved on electronic computer utilising a finite element approach. Portion of beam between the nodes is treated as a finite beam element and the.values of bending moment shear force and pressure at each node are obtained. This computer programme is such that values of SF and BM given are per metre width of beam, i.e., the strip of the raft being analysed or raft as a whole. These are shown in table A.2.1. Bending moment, shear force and pressure diagrams are also drawn in Fig. A.2.4. For Bending moment only values are indicated at each node. Table A.2.1 Table showing values of Shear Force, Bending Moment and Soil Pressure for the raft as a whole in long direction Node 1 1 Shear Force in KN Lefi Right Moments KNm Soil Pressure K N / ~ * I
  • 127.
    121 APPENDIX-ILLUSTRATIVE EXAMPLES Node Left 20 21 22 23 24 25 26 27 28 29 30 31 32 33 ll6a 106.980 116.349 134.040 138.899 145.371 133.947 126.611 11 1.848 106.799 99.622 101.312 98.377 105.381 107.410 -1 10.908 262.874 - 30.803 - 30.803 2 10.468 - 360.065 - 1 2.364 346.55 1 - 12.364 392.640 25.338 327.233 13.660 265.549 - 5.895 273.322 10.731 160.102 0.001 - 272.932 - 386.178 25.338 - 317.295 13.660 - 273.860 - 5.895 - 270.123 10.731 - 257.21 0 0.001 I - - 16 1 . 2 1 3 4 1 5 0 Right - 256.186 lTaP Soil Pressure K N / ~ ' Moments KNm Shear Force in KN 6 1 7 - 4 9 I 174.926 - 337.966 191.919 - 204.69 1 21 8.053 - 132.843 196.190 - 163.853 204.599 ' - 107.410 0.000 SHEAR FORCE DIAGRAM ( I N KN> I7 n5 la4i lOSB 174.9 I 1 ~ 1 n P W lh I LtO m unz 3lu till I ua9 EOIL m 9 337.9 BENDING MOMENT DIAGRAM ( I N KN-M) S O I L PRESSURE DIAGRAM ( I N KN/Sq.M) Fig. A.2.4 Force diagram for raft on a whole (Longer direction) I m7.4 l6aa "
  • 128.
    122 RAFT FOUNDATIONS-DESIGN ANDANALYSIS A.2.6 Analysis as a Whole in the Short Direction The equivalent beam in the short direction with same rigidity and width with calculation for spring constant and the result obtained are shown in Fig. A.2.5 and Table A.2.2 respectively. Both these values are treated as lower bound. Distance of N.A from A - A = U,CX,/ Ui . (Refer cross section) Moment of inertia about N.A Equivalent beam of same width and I, would have depth Thus equivalent beam is of cross section 0.905 metre x 80.855 metre. I 80.855 M CROSS SPRING CONSTANTS SECTION OF SHORTER BEAM N--> I - (N)--> (NOTE) NODE NO. MEMBER NO. - THIS BEAM HAS A CROSS SECTIONAL AREA OF 3.877 M~ ALL DIMENSIONS ARE I N H. Fig. A.2.5 Idealised beam for the raft as a whole in shorter direction and cross section of the beam
  • 129.
    i I APPENDIX-ILLUSTRATIVE EXAMPLES 408373 4la674 SHEAR FORCEDIAGRAM ( I N KN) BENDING MUMENT DIAGRAM ( I N KN-M) SOIL PRESSURE DIAGRAM ( I N KN/Sa.M) Fig. A.2.6 Force diagram for raft as a whole (Short direction) Equivalent beam of same width and I would have depth , Thus equivalent beam is of cross section 0.905 metre x 80.855 metre. I
  • 130.
    124 RAFF FOUNDATIONS-DESIGN ANDANALYSIS I I Table A.2.2 Table showing values of Shear Force, Bending Moment and Soil Pressure for the raft as a whole in shorter direction Moments KNm Shear Force in KN Node Left 0.000 - 256.458 136.840 - 17.253 - 188.110 - 408.373 190.660 0.690 - 187.994 - 4 10.674 184.852 16.539 - I 36.160 -317.372 0.000 1 2 3 4 5 6 7 8 9 10 11 12 13 14 15 Right 0.000 318.806 136.840 - 17.253 - 188.110 416.659 190.660 0.690 - 187.994 401.459 184.852 16.539 - 136.160 256.0 13 0.000 - 254.580 126.530 235.046 66.058 - 434.278 80.579 233.985 82.997 - 424.934 66.848 222.973 124.816 - 254.268 Soil Pressure KE!/~' 113.147 115.651 92.013 83.843 111.143 140.228 117.689 99.110 1 16.220 137.908 109.289 82.794 9 1.470 115.334 113.008 A.2.7 Analysis for a Strip in the Short Direction The equivalent beam for the strip M7 - 57, shown in Fig. A.2.2, position of springs, spring constant and result obtained are shown in Fig. A.2.7 Table A.2.3 and Fig. A.2.8 respectively. It would be noted that while analysing this strip strings have been located at a closer interval as compared to long direction. This is not necessary in each case. These are upper bound value and can be decreased by 30% for design. Calculations for determining depth of equivalent beam, and spring constant, is not shown. Table A.2.3 Table showing values of Shear Force, Bending Moment and Soil Pressure for the beam M7 - J7 Node 1 Moments KNm Shear Force in Kn Right 0.000 278.829 124.074 - 25.856 - 185.089 361.155 177.196 0.219 - 177.140 367.425 187.441 24.924 -.130.167 -217.629 ' 0.000 Soil Pressure KN/~*
  • 131.
    APPENDIX-ILLUSTRATIVE EXAMPLES 2542 KN 3807KN SPRING CONSTANTS /I 3836 KN 2678 KN N--> :- K = 11000 X 5.257 X 1.7525 = 101341.8 KN/M N D N . OE O (N>--> M M E NO. E BR <ALL DIMENSIONS ARE IN U.) Fig. A.2.7. Idealised beam for strip M7-J7 I I SHEAR FORCE DIAGRAM FOR BEAM 'M7-J7' BENDING MOMENT DIAGRAM FOR BEAM 'M7-J7' ( I N KN) ( I N KN-M) SOIL PRESSURE DIAGRAM FOR BEAM 'M7-J7' ( I N KN/Sq.l Fig. A.2.8 Force diagram for idealised beam for strip M7-J-7 I
  • 132.
    126 RAFT FOUNDATIONS-DESIGN ANDANALYSIS A.2.8 Analysis of a Strip in the Long Direction Strip L5 - L20 shown in Fig. A.2.2 is idealised as a long beam as shown in Fig. A.2.9 . Bending moment shear force and pressure diagram are indicated in Fig. A.2.10 . It is to be noted that these values are upper bound values and can be decreased by 30% to allow for sharing of the load by other strips or in the other direction. Values shown in Fig. A.29 and A2.10 and table A.2.4 are thus 70% of values actually obtained. A.2.9 Other Strips Though the method requires all strips to be analysed but having a look on the loading on the raft some strips can be left out and some analysed. In this case it would be sufficient if strips J5 - M5,J7 - M7, J9 - M9, J10 -M10, J11 -MI1 are only analysed in short direction. It would be noted that strip J11 - M11 and J15 -MIS, stripJ10-M10andJ16-M16arestripJ9-M9andJ17-M17areminrorimageofeachotherwithvery slight variation in loads. One end and one middle strip can be analysed in long direction. This being only an illustration, instead of going through all strips, further inferences are drawn from these analysed strips. @ ---> SPRING CONSTANTSI- N ----> lECleER N E w R M WER E Fig. A.2.9 Idealised beam on elastic foundation for strip L5-L20 in long direction From these results it is observed that: (a) Values of soil pressure at various nodes in all the four analysis carried out and shown above are generally within safe bearing pressure of 130 KN/m2. Maximum value reached at any point in a strip is 187 KNIsqm. Allowing a reduction of 30% this will be very near to SBC. So O.K. (b) Values of B.M. obtained from analysis of individual strip in long direction are not much different from that obtained from raft as a whole. Either these are low or within 30%. It would thus be O.K. if raft in the long direction is designed for a B.M value of +_ 210 KNmIper metre width throughout and additional reinforcement added in the portion where it goes more. I 1 , I ,
  • 133.
    APPENDIX-ILLUSTRATIVE EXAMPLES SHEAR FORCEDIAGRAM C I N KN 1 > BENDING MOMENT DIAGRAM C I N KN-M SOIL PRESSURE DIAGRAM FOR BEAM L5-L20 < ) I N KN/Sq.M > Fig. A.2.10 Force diagrams for beam LS-L20 (c) B.M. in short direction between strips and raft as a whole is not much different and can be designed for a value of 250 K N d m and additional reinforcement added in central portion to resist a total B.M. value of - 430 K N d m . (d) While designing the raft it is to be seen that the values of B.M. given above are per unit width of the strips, while the raft actually provided consists of beams and slab. Using these values of per unit width total bending moment to be resisted by each strip should first be calculated and then the design carried out for the T beam. Care is to be taken to see that reinforcement detailing in slab is such that it is also capable of functioning as a slab supported on the four edges carrying a load equal to the upward average pressure of soil. +
  • 134.
    128 RAFT FOUNDATIONS-DESIGN ANDANALYSIS Table A.2.4 Table showing values of Shear Force. Bending Moment and Soil Pressure for the beam L5 - LU) Moments KNm shear Force in KN L.ft Right Soil Pressure KN/~'
  • 135.
    I I 1 'APPENDIX-ILLUSTRATIVE EXAMPLES A.2.10 ! 129 VQliation onValue of K and Seismic Effects Analysis has been carried out for a single value of K. Effect of earth quake forces has not been considered. It would be therefore necessary to adopt a minimum value of BM's as f w12/10 by treating the raft as inverted floor system with a uniform load of 120 KN/m2 as done in preliminary designs. 1 I A.3 Example 3: Piled Raft-plate on Elastic Foundation Ideally the raft should be designed as a flexible plate supported on piles and soil taking into account the pile, soil raft and superstructure interaction. The most simple method could be to treat piles being replaced by soil having a bearing capacity higher than the total load canying capacity of piles actually provided, divided by the area of the raft. The raft can then be designed by rigid method as already explained in Example I. As an improvement, it could abo be analysed adopting the approach of beam on elastic foundation as given in Example 11. Further refinement somewhat short of ideal solution could be to treat the raft as a plate supported on springs neglecting the effect of one pile on the other and the effect of soil on the raft. In the present example this method is used. The piled raft has been modelled as a plate consisting of plate bending elements and the piles are modelled as axial elements. The piles being predominantly frictional piles, the axial stiffness of the pile element has been taken as h EAIL where E is modulus of elasticity, A the cross sectional area and L is the length of the pile. h is a factor depending upon the pile characteristics. According to Bowles has a value of I , for end bearing piles and 2 for friction piles. Analysis has been canied out using a general purpose 3 dimensional finite element package (SAP IV). A.3.1 Example Selected I : The building consists of 3 blocks. The two side blocks are two storeyed and the central block is 8 storeyed. The entire building has a basement and has a T shape. Expansion joints have been provided to separate two storeyed blocks from 8 storeyed blocks but the joint is not continued in the raft which is made continuous.A plan of the building at the basement level is given in Fig. A.3.1. Expansion joint as provided are shown in this plan. The building at the groundfloor extend beyond the basement in the portion shown dotted in the above figure. Then again in the 1st floor level building has a set back from the basement line with the result that the columns F13, H13, K13, Ml I, M9, M7, M5, K3, H3, F3, are lightly loaded. 708 bored cast-in-situ 21 metre long piles have been provided. Each pile has a safe load bearing capacity of 46 tonnes. The piles have been spaced as below: Portion PQR W - 1.54 metres x 1.925 metres. Portion RRl Wl W - 1.54 x 1.52 metres. Portion WW,UV and RSTR, = 2.40 x 1.52 with some extra piles near column C2 and C14 which are comparatively more loaded in this area. Arrangement of piles in the panel A1, A2, C2, C1 and F10, F12, H12, H10 is shown in Fig. A.3.2 andA.3.3 as a blow up. A.3.2 Type of RaftAdopted The raft adopted in this case is a slab of uniform thickness of 1.2 metres. The depth has been decided on the consideration of punching shear in accordance with the provision of IS: 456-1978 as per calculation given below:
  • 136.
    130 RAFT FOUNDATIONS-DESIGN ANDANALYSIS PANSION JOINT ------------- + SHOWS COLUMN LOCATIONS I 3!4 6l6 I SHOWS TWIN COLUMN LOCATIONS Fig. A.3.1 Plan of raft showing column locations The permissible shear stress at the critical section, i.e., at dl2 from the column faces is equalto Ks T,, where K , = (0.5 + PC)but not greater than 1, PCbeing the ratio of short side to longer side of the column. T, = 0.16% For concrete of M20 grade fck 2 = 20 Nlmm T, = 0.16 &= 0.72 N/mm2 Here the column for which the check is being applied is 750 mm x 750 mm with maximum load being 6095.3 KN Therefore Thus, Permissible stress P = 6095.3 KN
  • 137.
    APPENDIX-ILLUSTRATIVE EXAMPLES - I 7314 I Fig. A.3.2Blow up of X showing pile locations and plate elements - 9- - @SHNS SHOVS PILE LOCATION NODE NUnBER (N) PLATE ELDENT NUMBER (E) Fig. A.3.2 Blow up of Y showing pile locations and plate elements
  • 138.
    132 RAFT FOUNDATIONSDESIGNAND ANALYSIS Areaof concrete resisting the shear =2{(750+d)+(750+d)}d =4(750+d)d Therefore shear stress For a clear cover of 60 mm and 20 mm diameter steel; effective cover Thus overall depth required = 1127+70= 1197mm Overall depth provided = 1200 mm A.3.3 Division of l a # into Plate Elements The raft has been divided into plate elements with nodes on each pile. No nodes have been located under the columns. Arrangement of plate element has been shown in the blow up figures A.3.2 and A.3.3. The load on each column has been distributed on the 4 nodes around the columns in proportion to the contributory areas as per calculation shown below: Let the column (here F12) be surrounded by the four nodes (i.e. pile points) N1, N2, N3 and N4 to make a rectanguldplate element of size 1925 mm x 1540 mm. The td;al area of the element gets divided into four parts A,, A2, A3 and A4 as shown in Fig. A.3.4: Now the load on any node Niis given by, Here P = Total load of the column A, = Area opposite node Ni
  • 139.
    I APPENDIX-ILLUSTRATIVE EXAMPLES I 2 9 Fig.A.3.4 Distribution of column load on surrounding nodes Here Total area of the plate element = 2964500 mm2 Here N1, N2, N3 and N4 are node nos. 590,591,567 and 566 respectively. Here the loads on corresponding nodes are / Here the nodes are not getting any load from other columns. In case load from other column(s) is also coming onto a particular node, the sum of all such loads should be taken. One such case is available at nodes between columns H9 and HlO.
  • 140.
    134 RAFr FOUNDATIONS-DESIGN ANDANALYSIS A.3.4 Output Output gives moments about X axis, Y axis and in-plane moment of the element at the centre point of the element. In case, these values are required at any other point other than the centre point, option is available in the SAP programme to define that point as the 5th node. Though the raft is 1 :2 metre thick, but the thickness has not been considered in this model and the modelling is done at the central plane of the thickness. Loads on each pile are also given as an output. The values of the moment in X and Y direction are plotted on the plan and used for design purposes. Care is required to be taken while detailing reinforcement. Care is also to be taken to see that difference between the actual structure and the modelling is taken into account in detailing. However, as already explained in Chapter 8 ,above analysis is carried out considering only vertical loads and neglecting the effect of rigidity of super-structure and retaining walls. Loads on some piles would also 8e found to be exceeding safe bearing capacity by as much as 75%. It would therefore be necessary to select one of the two approaches given in para 12.6. Approach actually to be adopted will depend upon the particular case. In this example there was no possibility of obtaining piles with higher load and proposal was thereyore being processed for additional piles in sections where load was exceeding. Once this is done, question of effect of seismic forces would arise. This is explained in para 8.5.3. In case analysis is not repeated taking into account seismic forces, minimum values of bending moment at any location should be ~ 1 ~ 1 determined by treating the raft as an inverted floor. 10 This would result in a safe design. + * . j i : ; J 1 1