Embed presentation
Downloaded 70 times

























































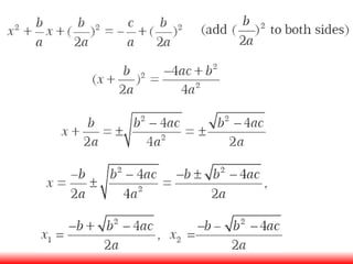
A quadratic equation is an algebraic equation involving a second-degree polynomial with terms containing the variables squared and multiplied by constants. To solve a quadratic equation, you can use methods such as factoring, completing the square, or using the quadratic formula. These methods allow you to find the roots or solutions to the quadratic equation.























































