FM Modulators & Demodulators
FM Generation by Parameter Variation Method:
• The generator which produces the carrier of
an FM waveform is in many instances a tuned circuit
oscillator.
• Such oscillator circuits furnish a sinusoidal
waveform whose frequency is very largely
determined by and is very nearly equal to the
resonant frequency of an inductance-capacitance
combination.
• Thus the frequency of oscillation is f = 1/(2π√LC) in
which L is the inductance and C the capacitance.
• Such an LC combination, a parallel combination in
this case, is shown in Fig.
• The capacitor consists here of a fixed capacitor Co,
which is shunted by a voltage-variable capacitor Cv.
• A voltage-variable capacitor, commonly called a
varicap, is one whose capacitance value depends
on the biasing voltage maintained across its
electrodes.
• Semiconductor diodes, when operated with a
reverse bias, have characteristics suitable to permit
their use as voltage-variable capacitors.
• In the circuit of above Fig. the modulating signal
varies the voltage across Cv. As a consequence the
capacitance of Cv changes and causes a
corresponding change in the oscillator frequency,
Ordinarily the modulating frequency is very small in
comparison with the oscillator frequency.
• Therefore the fractional change in Cv may be very
small during the course of many cycles of the
oscillator signal. We may consequently expect that
even with this variable capacitance, the
instantaneous oscillator frequency will be given by
f = (2π√LC)-1
.
• Then we have the result that the system suggested in
above Fig will generate an oscillator output signal
whose instantaneous frequency depends on the
instantaneous value of the modulating signal.
• Any oscillator whose frequency is controlled by the
modulating-signal voltage is called a voltage-
controlled oscillator or VCO.
• Frequency modulation may be achieved by the
variation of any element or parameter on which the
frequency depends.
• If the frequency variation is to occur in response to a
modulating signal m(t), then a component must be
available, capacitor, resistor, or inductor, whose value
can be varied with an electrical signal.
• Let us now look at a mathematical representation of VCO
by considering this as a block to which a variable voltage
V(t) is input and Vosc(t) output. The block level relation can
be written as
• where, B is the amplitude of the output of VCO and ωc, the
angular frequency in absence of any Frequency controlling
voltage;
• Go is the frequency sensitivity in radian/volt, i.e. rate of
change et instantaneous angular frequency w.r.t. frequency
controlling voltage v(t). Thus, instantaneous angular
frequency
• Note that, frequency modulation is achieved if v(t)
is the modulating message signal m(t).
• Thus frequency modulation may be achieved by
the, modulating signal to control these biasing
voltages.
• There is a certain measure of inconsistency in
requiring that a device have long-time frequency
stability and yet be able to respond readily to a
modulating signal.
FM Generation by Armstrong's Indirect Method
• A frequency-modulated waveform in which the
modulating waveform is m(t) is written
cos [ωct +m(t)] if the modulation is narrowband [|
m(t)|« 1], then we may use the approximation
• The term m(t) sin ωct is a DSB-SC waveform in which
m(t) is the modulating waveform and sin ωct the
carrier.
• We note that the carrier of the FM waveform, that is cosωct,
and the carrier of the DSB-SC waveform are in quadrature.
We may note in passing that if the two carriers are in phase,
the result is an AM signal since
• A technique used in commercial FM systems to generate
NBFM, which is based on our observation in connection with
above Eq. is shown in below Fig.
• Here a balanced modulator is employed to generate the DSB-
SC signal using sin wave as the carrier of the modulator.
• This carrier is then shifted in phase by 90° and, when added
to the balanced modulator output, thereby forms an NBFM
signal.
• However, the signal so generated will be phase-modulated
rather than frequency-modulated.
Frequency Multiplication and Application to FM:
• A frequency multiplier is a combination of a nonlinear element and
a band pass filter.
• We consider the operation, qualitatively in order to see the relevance
of the process to our present interest of increasing the frequency
deviation of an FM signal.
• Assume that the input signal to the transistor in the circuit of below
Fig. is a periodic signal, possibly sinusoidal but not necessarily so.
• The amplitude of the input signal is large enough and the biasing
(not shown) is such that the transistor operates nonlinearly. Collector
current flows, not continuously but rather in spurts, forming pulses,
one pulse for each cycle of the input driving signal.
• The collector-current waveform has the same fundamental period as
has the driving signal but is rich in higher-frequency harmonics.
• The LC parallel resonant circuit is tuned to resonance at the
nth
harmonic of the frequency f of the input signal. The
sharpness of the resonance is such that the impedance
presented by the resonant circuit is very small at all
harmonic frequencies except the nth
.
• All components of collector current except the component
at frequency of pass through the resonant circuit without
developing appreciable voltage.
• However, in response to this nth
harmonic current
component, there appears across the resonant
circuit a very nearly sinusoidal voltage waveform of
frequency nf. The resonant circuit serves as a
bandpass filter to selectively single out the nth
harmonic of the driving waveform.
• The process of frequency multiplication performed
by the multiplier under consideration is one in
which a periodic signal of frequency f serves to
generate a second periodic signal of frequency nf,
with n an integer. In principle, we may multiply by
an arbitrary integral number n by simply tuning the
resonant circuit to nf.
FM Demodulator
Balanced FM Demodulator
Pulse Averaging Discriminator
STEREOPHONIC FM BROADCASTING
• In monophonic broadcasting of sound, a single audio baseband signal is
transmitted from broadcasting studio to a home receiver.
• At the receiver the audio signal is applied to a loudspeaker which then
reproduces the original sound. The original source of the baseband waveform is
a single microphone at the broadcasting studio.
• In stereophonic broadcasting, two microphones (or two groups of
microphones) are used.
• Two audio baseband signals are transmitted to the receiver where they are
applied to two individual loudspeakers.
• At the broadcast studio, the microphones are located some distance apart
from one another, and at the receiver the two loud-speakers are also
physically separated.
• The advantage of such stereophonic broadcasting is that it yields at the
receiver a more "natural" sound.
• The sound heard at the receiver is more nearly what the listener would hear if
he were located at the broadcasting studio itself, where his two ears would
receive somewhat different sounds.
Stereophonic FM broadcasting
Receiver:
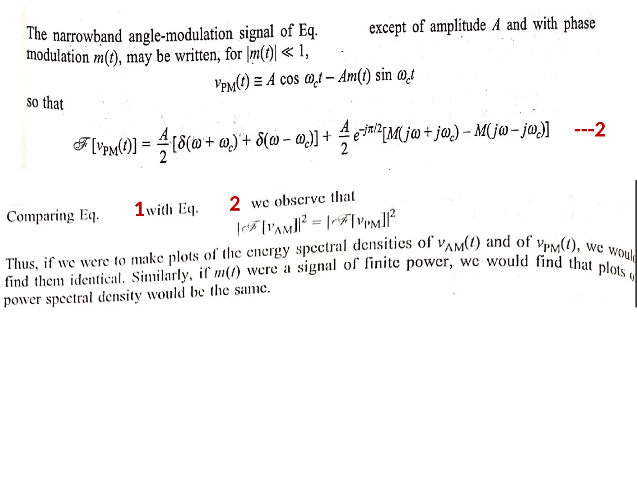
ARBITRARY MODULATED FM SIGNAL
Spectrum of Narrowband Angle Modulation
Previously we considered the spectrum, in NBFM, which is
produced by sinusoidal modulation.
We found that, just as in AM, such modulation gives rise to two
sidebands at frequencies
We extend the result now to an arbitrary modulating waveform. Hence
even if a modulating signal of waveform m(t), with a continuous
distribution of spectral components, is used in either AM or narrowband
angle modulation the forms of the sideband spectra will be the same in
the two cases.
• More formally, we have in AM, when the modulating waveform is
m(t), the signal is
---1
---2
1 2
Spectrum of Wideband Angle Modulation
Phasor Diagram of FM

principals of communication system unit 2 material

  • 2.
    FM Modulators &Demodulators FM Generation by Parameter Variation Method: • The generator which produces the carrier of an FM waveform is in many instances a tuned circuit oscillator. • Such oscillator circuits furnish a sinusoidal waveform whose frequency is very largely determined by and is very nearly equal to the resonant frequency of an inductance-capacitance combination. • Thus the frequency of oscillation is f = 1/(2π√LC) in which L is the inductance and C the capacitance.
  • 3.
    • Such anLC combination, a parallel combination in this case, is shown in Fig. • The capacitor consists here of a fixed capacitor Co, which is shunted by a voltage-variable capacitor Cv. • A voltage-variable capacitor, commonly called a varicap, is one whose capacitance value depends on the biasing voltage maintained across its electrodes. • Semiconductor diodes, when operated with a reverse bias, have characteristics suitable to permit their use as voltage-variable capacitors.
  • 5.
    • In thecircuit of above Fig. the modulating signal varies the voltage across Cv. As a consequence the capacitance of Cv changes and causes a corresponding change in the oscillator frequency, Ordinarily the modulating frequency is very small in comparison with the oscillator frequency. • Therefore the fractional change in Cv may be very small during the course of many cycles of the oscillator signal. We may consequently expect that even with this variable capacitance, the instantaneous oscillator frequency will be given by f = (2π√LC)-1 .
  • 6.
    • Then wehave the result that the system suggested in above Fig will generate an oscillator output signal whose instantaneous frequency depends on the instantaneous value of the modulating signal. • Any oscillator whose frequency is controlled by the modulating-signal voltage is called a voltage- controlled oscillator or VCO. • Frequency modulation may be achieved by the variation of any element or parameter on which the frequency depends. • If the frequency variation is to occur in response to a modulating signal m(t), then a component must be available, capacitor, resistor, or inductor, whose value can be varied with an electrical signal.
  • 7.
    • Let usnow look at a mathematical representation of VCO by considering this as a block to which a variable voltage V(t) is input and Vosc(t) output. The block level relation can be written as • where, B is the amplitude of the output of VCO and ωc, the angular frequency in absence of any Frequency controlling voltage; • Go is the frequency sensitivity in radian/volt, i.e. rate of change et instantaneous angular frequency w.r.t. frequency controlling voltage v(t). Thus, instantaneous angular frequency
  • 8.
    • Note that,frequency modulation is achieved if v(t) is the modulating message signal m(t). • Thus frequency modulation may be achieved by the, modulating signal to control these biasing voltages. • There is a certain measure of inconsistency in requiring that a device have long-time frequency stability and yet be able to respond readily to a modulating signal.
  • 9.
    FM Generation byArmstrong's Indirect Method • A frequency-modulated waveform in which the modulating waveform is m(t) is written cos [ωct +m(t)] if the modulation is narrowband [| m(t)|« 1], then we may use the approximation • The term m(t) sin ωct is a DSB-SC waveform in which m(t) is the modulating waveform and sin ωct the carrier.
  • 10.
    • We notethat the carrier of the FM waveform, that is cosωct, and the carrier of the DSB-SC waveform are in quadrature. We may note in passing that if the two carriers are in phase, the result is an AM signal since • A technique used in commercial FM systems to generate NBFM, which is based on our observation in connection with above Eq. is shown in below Fig. • Here a balanced modulator is employed to generate the DSB- SC signal using sin wave as the carrier of the modulator. • This carrier is then shifted in phase by 90° and, when added to the balanced modulator output, thereby forms an NBFM signal. • However, the signal so generated will be phase-modulated rather than frequency-modulated.
  • 12.
    Frequency Multiplication andApplication to FM: • A frequency multiplier is a combination of a nonlinear element and a band pass filter. • We consider the operation, qualitatively in order to see the relevance of the process to our present interest of increasing the frequency deviation of an FM signal. • Assume that the input signal to the transistor in the circuit of below Fig. is a periodic signal, possibly sinusoidal but not necessarily so. • The amplitude of the input signal is large enough and the biasing (not shown) is such that the transistor operates nonlinearly. Collector current flows, not continuously but rather in spurts, forming pulses, one pulse for each cycle of the input driving signal. • The collector-current waveform has the same fundamental period as has the driving signal but is rich in higher-frequency harmonics.
  • 13.
    • The LCparallel resonant circuit is tuned to resonance at the nth harmonic of the frequency f of the input signal. The sharpness of the resonance is such that the impedance presented by the resonant circuit is very small at all harmonic frequencies except the nth . • All components of collector current except the component at frequency of pass through the resonant circuit without developing appreciable voltage.
  • 14.
    • However, inresponse to this nth harmonic current component, there appears across the resonant circuit a very nearly sinusoidal voltage waveform of frequency nf. The resonant circuit serves as a bandpass filter to selectively single out the nth harmonic of the driving waveform. • The process of frequency multiplication performed by the multiplier under consideration is one in which a periodic signal of frequency f serves to generate a second periodic signal of frequency nf, with n an integer. In principle, we may multiply by an arbitrary integral number n by simply tuning the resonant circuit to nf.
  • 15.
  • 18.
  • 19.
  • 20.
    STEREOPHONIC FM BROADCASTING •In monophonic broadcasting of sound, a single audio baseband signal is transmitted from broadcasting studio to a home receiver. • At the receiver the audio signal is applied to a loudspeaker which then reproduces the original sound. The original source of the baseband waveform is a single microphone at the broadcasting studio. • In stereophonic broadcasting, two microphones (or two groups of microphones) are used. • Two audio baseband signals are transmitted to the receiver where they are applied to two individual loudspeakers. • At the broadcast studio, the microphones are located some distance apart from one another, and at the receiver the two loud-speakers are also physically separated. • The advantage of such stereophonic broadcasting is that it yields at the receiver a more "natural" sound. • The sound heard at the receiver is more nearly what the listener would hear if he were located at the broadcasting studio itself, where his two ears would receive somewhat different sounds.
  • 21.
  • 24.
  • 25.
    ARBITRARY MODULATED FMSIGNAL Spectrum of Narrowband Angle Modulation Previously we considered the spectrum, in NBFM, which is produced by sinusoidal modulation. We found that, just as in AM, such modulation gives rise to two sidebands at frequencies We extend the result now to an arbitrary modulating waveform. Hence even if a modulating signal of waveform m(t), with a continuous distribution of spectral components, is used in either AM or narrowband angle modulation the forms of the sideband spectra will be the same in the two cases.
  • 26.
    • More formally,we have in AM, when the modulating waveform is m(t), the signal is ---1
  • 27.
  • 28.
    Spectrum of WidebandAngle Modulation
  • 32.