A STRATEGIC PAPER FOR THAILAND OIL PALM DEVELOPMENT
ISSUES AND CHALLENGES WITH OIL PALM
CULTIVATION AND DEVELOPMENT FOR
THAILAND SMALL HOLDERS
ASIAN PALM OIL CONFERENCE 2015
SURAT THANI 20TH – 21ST AUGUST
CONTENTS
1. DEMOGRAPHICS OF THE THAILAND OIL PALM INDUSTRY
2. POLICY FOR OIL PALM DEVELOPMENT
3. CURRENT STATUS OF OIL PALM DEVELOPMENT
4. ISSUES AND CHALLENGES CONFRONTING THE INDUSTRY
5. MOVING FORWARD – PRIVATE SECTOR INITIATIVE
6. CONCLUSION
1. INDUSTRY BACKGROUND
 There were 3 groups of growers in Thailand oil palm industry
i. Small holders and independent growers – individually owned between 10 to 20
rai
ii. Cooperatives and self help land settlement growers – mostly own about 30 rai.
iii. Private sector plantations – operated bigger areas than the above
 Third biggest world producer
i. Increasing demand for bio diesel – industry is aggressively promoting oil palm
cultivation – energy security for economic development
ii. Domestic consumption – to reduce importation of palm oil
 Yield performance
i. Disparity in milling capacities – inconsistent FFB supply due to distance, pricing
and logistics
ii. Low FFB yield performance – avg. 16 to 17 t/ha
iii. Low OER from processing – avg. 16% to 17%
WORLD PALM OIL PRODUCERS
 Mature areas 4.3M rai
(688,000 ha)
 11.3 M tons FFB
Third World’s
Producer
KEY STATISTICS
Top 5 Palm Oil Producers (96% of Global) (2012)
Indonesia(53%); Malaysia (36%); Thailand (3%): Columbia
(2%): Nigeria (2%)
Top 5 Standard Compliant Palm Oil Producers (99% of
Global) (2012)
Indonesia (49%); Malaysia (42%); Papua New Guinea (5%);
Brazil (2%); Columbia (1%)
Top 5 Palm Oil Exporters (93% of Global) (2013)
Indonesia (44%); Malaysia (29%); Ghana (18%); Guatemala
(1%); Thailand (1%)
Top 5 Palm Oil Importers (65% of Global) (2012)
India (21%); China (16%); Netherlands (16%); Germany (6%);
Malaysia(6%)
Global Palm Oil Production (2012) 53.8 Million metric tons
Global Palm Oil Exports (2012) 41.2 Million metric tons (77% of production)
Global Harvested Area (2012) 16.4 Million Hectares
Total number of oil palm farmers 3 Million smallholders and farmers
Standard-Compliant Palm Oil Production (2012) 8.2 Million metric tons (15% of Global Production)
Sources: Top 5 producers, global production, global exports, Index Mundi 2013; Top 2 Standard-Compliant Producers:I ISD, H. Wiler, FiBL,
personal communication, Aug. 26,2013; S.Yaacob, RSPO, personal communication, April 15, 2013; Top 5 exporters: International Trade Center
2013, Index Mundi 2013; Global area harvested: FAO, 2013; Standard-compliant production (2012 RSPO data and 2011 Organic data): IISD, H.
Wiler, FiBL, personal communication, Aug. 26, 2013; S. Yaacob, RSPO, personal communication, April 15, 2013
RSPO PRODUCTION VOLUMES AND AREA HARVESTED 2012
7th8th 9th
LEADING PRODUCERS OF SUSTAINABLE PALM OIL BY STANDARD,
2011/2012
Thailand’s
Production
Negligible
RSPOSUSTAINABLEPALMOIL
THEBIGDEMAND………
.….IS A HUGE OPPORTUNITY FOR THAILAND
OIL PALM PLANTATION AREAS BY REGIONS IN THAILAND
0
500000
1000000
1500000
2000000
2500000
3000000
3500000
4000000
Southern Central North eastern Northern
3535642
446532
75032
19677
3580909
490816
78396
25445
3666133
517496
102778
29318
AreainRai
Region
Oil Palm Planted Areas
2010 2011 2012
Total 2012: 4,315,725 rai (690,516 Ha)
Total 2011: 4,175,566 rai (668,090 Ha)
Total 2010: 4,076,883 rai (652,301 Ha)
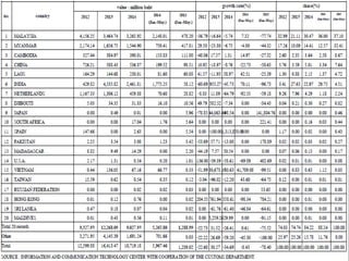
COMPARISON ON PRODUCTION, HOUSEHOLD
PLANTED AREA36.10%
44.10%
19.36%
0.30%
0.20%
7.70%
23.20%
38.40%
3.70%
26.90%
5.80%
22%
41.80%
4.00%
26.40%
< 1.6 ha 1.6 to <8 ha 8 to <48 ha 48 to <160 ha >160 ha
Estimated share of FFB production, no. of household and planted area by land size in oil
palm farming
No. of households Planted Area (ha) FFB Production (mt)
• Thailand has a higher proportion of small holders than Indonesia and Malaysia. the
average size of landholding in Thailand of large scale and smallholder in 2007 was
796 ha (4,975 rai) and 3.89 ha (24.31 rai) respectively.
2. POLICY ON OIL PALM
 Renewable energy policy and targets
i. By 2021, production target policy set at 5.97 milliliter per day
ii. Energy demand for economic development – in tandem with Alternative Energy
Development Plan (2012 – 2021): 25% in 10 years
iii. Alternative sources of bio diesel stock and security – reduce dependency on
fossil fuel and imports – low carbon emission targets
Renewable And Alternative Energy Development Plan (AEDP 2012 – 2021)
2. POLICY ON OIL PALM
 Incentives and subsidies for voluntary conversion to oil palm
i. Objective to increase oil palm area and production trends – in 2013 plantation
area had increased to approximately 4.5 million Rai (720,000 ha)
ii. In 2011 - Average OER targets of 18.5% and FFB yield of 21 t/ha (3.36 t/rai)
iii. Subsidies distribution must reached the target group with proper regulatory
mechanisms to ensure proper replanting are carried out
 Due to the high demand of palm oil, some changes in land use
legislations for large scale cultivation is necessary
i. Replanting programs – with quality seeds from approved sources and scheduled
replants – data and info acquired from local land development authority with
cooperation from farmers association and cooperatives.
ii. Ensuring palm age profile to be developed and sustaining long term FFB
production for the industry – to stay globally competitive
iii. Smallholders still play a fundamental role in the strategic goals for social
inclusion and income distribution with intensified dissemination of information
nation wide across the industry.
Why the drop in area
increment?
TOTAL OIL PALM PLANTATION AREAS
Most of the new areas
are located at the
Southern Province
especially in Krabi and
Surat Thani
2. POLICY ON OIL PALM
 Incentives and subsidies to replant old oil palm areas
ii. Domestic demand for palm oil and export – a driving factor for intensifying
cultivation
iii. Food security for domestic consumption – considerations of policy change for
large scale cultivation by private sector cooperation with Farmers Cooperatives
Smallholders Association, etc
iv. Community wealth development via government subsidy for targeted small
holders to improve household income through good agricultural practices
Year
Beginning Stock
(1)
Production
(2)
Import
(3)
TOTAL
(4)
EXPORT
(5)
Domestic Consumption
(6) Ending Stock
(7)
Consumption Biodiesel
2008 88,916 1,543,761 28,385 1,661,062 288,054 989,061 276,000 107,947
2009 107,947 1,387,604 1,495,551 67,292 910,700 380,000 137,559
2010 137,559 1,287,509 1,425,068 65,942 911,339 380,000 67,787
2011 67,787 1,832,151 59,793 1,959,731 388,939 896,464 376,742 297,586
2012* 297,586 1,925,532 40,056 2,263,174 300,000 1,000,000 607,111 356,063
2013* 356,063 2,042,698 2,398,761 300,000 1,000,000 610,000 488,761
Remark: * Amount of CPO in 2012 & 2013 are estimates from the Office of Agriculture Economics
Data Source: (1), (2), (6),(7) from Department Of Internal Trade
(3), (5) from Customs Department
(5) Adjustment to balance
Source: Office Of Agriculture Economics (2013)
3. CURRENT STATUS ON OIL PALM
 At the same period, a trend of oil extraction rates (OER) in Thailand has been declining.
The average OER in the period from 2005 to 2009 was only 16.6%. If the average OER
of 18.8% from 1990 to 1994 had been achieved in 2009, an additional 146,923 tons of
CPO would have been produced.
 The value is THB3,366 million or USD102 million. Potential OER rely on good
management practices. Malaysia and Indonesia achieve OER of up to 25% under
optimum conditions.
 Various factors such as palms from low quality planting material (seeds), FFB delivery,
and the utilization oil mill capacity are the cause of the lower potential OER
FFB Production (t/ha)
OER%
Linear (FFB production t/ha)
Linear (OER%)
If yield were to increase by 2.5
t/ha, an additional FFB
production of 1,276 million
tons and CPO production of
217,016 tons would have been
produced with a value of THB
4,972 million or USD151
million
4. ISSUES AND CHALLENGES
 Smallholders Income
i. New planting and quality seedlings – nursery development – quality seeds
ii. Seedlings supply from nursery operators without quality assurance – defective
seedling – long term impact to smallholders
iii. Improvement in yield and OER – knowledge and understanding of crop quality
iv. Value added from replanting – rubber wood for biomass fuel stock
 Smallholders Crop Sale And Delivery
i. Crops sold through intermediaries – with good bargaining positions and make
decisions which mill to sell offering better price
ii. Crop quality not regulated – no differentiation between fresh crops under ripe
and overripe crop
iii. Crop contaminations – purely up to intermediaries decision – affect smallholders
income and adverse impact to the mill operations
Country Planted Area (ha)* GNP (USD) ** % of population below poverty
Malaysia 5,100,000 10,304 3.8
Thailand 890,000 5,678 7.2
Indonesia 10,500,000 3,592 13.2
Philippines 73,210 2,614 25
*Data by MPOB
** Asean Elusive
Integration:
Philippine Daily
Inquirer; 4May2014
p16
4. ISSUES AND CHALLENGES
 Introduction of regulatory measures
i. Imperative to formulate regulation and guidelines for smallholders to comply
the good agricultural practices (GAP) for getting high quality crop harrvested
and delivered to the oil mill.
ii. Crop purchase by intermediaries must be well regulated to prevent unfair
pricing manipulations and fixations.
iii. Establishment of FFB crop quality standards and guidelines must be
implemented and disseminated respectively to all stakeholders in the
industry – through community leaders and district agricultural agencies
iv. Oil palm trees age profiles must be monitored for replanting programmes to
ensure optimum FFB production.
 Distribution of incentives and subsidies
i. Small holders within permitted zone for OP development and replanting
programmes – to provide subsidies for seedlings and fertilizers from
licensed importers, nursery operators and approved traders.
ii. Mechanism for effective distribution of subsidies – via current establishment
iii. Concerted effort and support from farmers council, cooperatives, district
agricultural agencies and provincial administration – intensified cultivation
areas
4. ISSUES AND CHALLENGES
 Knowledge and training in oil palm cultivation
i. Generally, smallholders and farmers lack of knowledge – on cultivation, good
agriculture practices, fertilizer recommendation, crop protection, water
management – especially for new replanting zones
ii. Adoption of modern farming technology and mechanisation for productivity
and efficiency – improve crop quality
iii. Insufficient - agronomy support from relevant extension services – internal
such as agricultural agencies and external such as institutional and private
agencies – farmers council; cooperatives
iv. Understanding and implementing sustainability practices – compliance with
RSPO criteria to produce certified sustainable palm oil (CSPO) – for premium
price
5. MOVING FORWARD WITH THH VENTURES
 Our role and mission
 A strategic private initiative with Thailand local business partner
 Consortium of advisors and experts in oil palm cultivation and oil palm milling
 Support authority with regulatory developments and industry legislation
 Our approach to sustainable development
 From seeds, nursery operation, cultivation and milling – compliance to RSPO
 Malaysian expertise and advisory extension to support local OP industry – especially
smallholders
 Palm waste for renewable energy and fuel stocks to support alternative energy
development.
 RSPO compliance for the industry – future exports of palm oil
 Supporting the needs of small holders
 Skills training and providing knowledge to small holders community – all aspects of oil
palm cultivation and related technology
 Improvement on household income through sustainable agriculture good practices
5. MOVING FORWARD – A PRIVATE SECTOR INITIATIVE
 Propose business model for small holders community
 Licensed supplier of seeds from reputable origin are only allowed and permitted to
supply to licensed nurseries – quality assurance system must be established
 Establishment of proper nursery practices and management – meet established
regulatory requirements - seedlings from nurseries must at least 10 months old
 FFB crop sale only to licensed collection centres with knowledge and understanding
of quality requirements and specification for mills
 Crop will be processed by appointed mills which are set up to support the
smallholders community within the area/zones
 Mills are obligated to purchase FFB from smallholders through a mutual agreement
prior to setting up of mill – with FFB price structure and pre-set quality incentives
 Palm Oil Mill Development
 Investment for the mill development – economics of scale within zone areas for
better mill operational efficiency – contributing to better OER and FFB price.
 Strategic locations for logistical advantage and FFB crop quality assurances.
 Oil palm waste management – potential for biogas and EFB fuel pallets for power
generation to support AEDP long term plan.
STRATEGIC DEVELOPMENT PLANS
SEED SUPPLY TO LICENSED NURSERY OPERATORS
Yield increase
from 1.8 ton to
3 ton per rai
Oil Extraction Rate OER
from 17% to 20%
Cooperatives
Smallholders
Min nursery area = 12 rai
Supply 20,000 seedlings
at 10 months old
Planting at least 18,750 rai
need 420,000 seedlings
PROPOSE BUSINESS MODEL
• Farmers Cooperatives to
engage and implement
initiatives with
government subsidy
• Replanting programmes
• Private investment in
palm oil mills & buy
FFB from smallholders
with agreed price
mechanisms
• Suitable locations
• Putrania import seeds ,
distribution and
marketing
• Liaison with nursery
operators on quality
control
• THH export seeds
and provide technical
support and technical
advisory which
comprise of
experience oil palm
practitioners
Quality Seeds
From Established
Seeds Producers
in Malaysia
Appointed
Licensed
Nursery
Operators In
Thailand
Smallholders
Palm Oil Mill
Operators
Contractual supply with
agreed price
Compliance to
quality standards
INTRODUCTION OF TECHNOLOGY FOR IMPROVEMENT IN PRODUCTIVITY
Improve smallholders livelihood with
better income resulting from increase in
palm productivity and oil extraction rate
Modern farming via mechanisation
PROPOSE IMPLEMENTATION PLAN
Subsidy allocation for
conversion from rubber
to oil palm within the
approved zone
GOVERNMENT
AGENCIES, FARMERS
COUNCIL AND
RELEVANT
COOPERATIVES
Engagement by Coop to
identify farmers to plant
oil palm and entitlement
for subsidy
Order required
seedlings from
appointed nursery
operators
CONSULTANCY & ADVISORY
Training in Good Agricultural
Practices
Adoption of Good
Nursery Practices And
StandardsBetter Farmers Productivity & Income
Improved OER for mill
6. CONCLUSION
 Imperative for various regulatory measures are established to drive the industry - generating
economic wealth for the smallholders and to sustain the energy and food security for the
nation’s economic development.
 Extensive agronomic extension services particularly for oil palm to be widely reached out to
small holders – via provincial and government agencies – as well as knowledge sharing and
dissemination by relevant agencies..
 FFB crop pricing based on quality criteria must be established and monitored by relevant
agencies or authorities in the industry – driven by established policy and set targets such as
by the Thai Oil Palm Board and Department Of Agriculture.
 Palm oil millers and smallholders must be encouraged to have a supply and purchase
agreement through organisation such as Farmers Council and Cooperatives to safeguard
smallholders interest.
The Thai oil palm industry has a great potential to grow into a respected world
palm oil producer provided that all the stakeholders play their role with the
recommendations as follows:
rahmat@thhventures.com

Presentation For APOC 2015

  • 1.
    A STRATEGIC PAPERFOR THAILAND OIL PALM DEVELOPMENT ISSUES AND CHALLENGES WITH OIL PALM CULTIVATION AND DEVELOPMENT FOR THAILAND SMALL HOLDERS ASIAN PALM OIL CONFERENCE 2015 SURAT THANI 20TH – 21ST AUGUST
  • 2.
    CONTENTS 1. DEMOGRAPHICS OFTHE THAILAND OIL PALM INDUSTRY 2. POLICY FOR OIL PALM DEVELOPMENT 3. CURRENT STATUS OF OIL PALM DEVELOPMENT 4. ISSUES AND CHALLENGES CONFRONTING THE INDUSTRY 5. MOVING FORWARD – PRIVATE SECTOR INITIATIVE 6. CONCLUSION
  • 3.
    1. INDUSTRY BACKGROUND There were 3 groups of growers in Thailand oil palm industry i. Small holders and independent growers – individually owned between 10 to 20 rai ii. Cooperatives and self help land settlement growers – mostly own about 30 rai. iii. Private sector plantations – operated bigger areas than the above  Third biggest world producer i. Increasing demand for bio diesel – industry is aggressively promoting oil palm cultivation – energy security for economic development ii. Domestic consumption – to reduce importation of palm oil  Yield performance i. Disparity in milling capacities – inconsistent FFB supply due to distance, pricing and logistics ii. Low FFB yield performance – avg. 16 to 17 t/ha iii. Low OER from processing – avg. 16% to 17%
  • 4.
    WORLD PALM OILPRODUCERS  Mature areas 4.3M rai (688,000 ha)  11.3 M tons FFB Third World’s Producer
  • 5.
    KEY STATISTICS Top 5Palm Oil Producers (96% of Global) (2012) Indonesia(53%); Malaysia (36%); Thailand (3%): Columbia (2%): Nigeria (2%) Top 5 Standard Compliant Palm Oil Producers (99% of Global) (2012) Indonesia (49%); Malaysia (42%); Papua New Guinea (5%); Brazil (2%); Columbia (1%) Top 5 Palm Oil Exporters (93% of Global) (2013) Indonesia (44%); Malaysia (29%); Ghana (18%); Guatemala (1%); Thailand (1%) Top 5 Palm Oil Importers (65% of Global) (2012) India (21%); China (16%); Netherlands (16%); Germany (6%); Malaysia(6%) Global Palm Oil Production (2012) 53.8 Million metric tons Global Palm Oil Exports (2012) 41.2 Million metric tons (77% of production) Global Harvested Area (2012) 16.4 Million Hectares Total number of oil palm farmers 3 Million smallholders and farmers Standard-Compliant Palm Oil Production (2012) 8.2 Million metric tons (15% of Global Production) Sources: Top 5 producers, global production, global exports, Index Mundi 2013; Top 2 Standard-Compliant Producers:I ISD, H. Wiler, FiBL, personal communication, Aug. 26,2013; S.Yaacob, RSPO, personal communication, April 15, 2013; Top 5 exporters: International Trade Center 2013, Index Mundi 2013; Global area harvested: FAO, 2013; Standard-compliant production (2012 RSPO data and 2011 Organic data): IISD, H. Wiler, FiBL, personal communication, Aug. 26, 2013; S. Yaacob, RSPO, personal communication, April 15, 2013
  • 6.
    RSPO PRODUCTION VOLUMESAND AREA HARVESTED 2012 7th8th 9th
  • 7.
    LEADING PRODUCERS OFSUSTAINABLE PALM OIL BY STANDARD, 2011/2012 Thailand’s Production Negligible
  • 8.
  • 9.
    THEBIGDEMAND……… .….IS A HUGEOPPORTUNITY FOR THAILAND
  • 10.
    OIL PALM PLANTATIONAREAS BY REGIONS IN THAILAND 0 500000 1000000 1500000 2000000 2500000 3000000 3500000 4000000 Southern Central North eastern Northern 3535642 446532 75032 19677 3580909 490816 78396 25445 3666133 517496 102778 29318 AreainRai Region Oil Palm Planted Areas 2010 2011 2012 Total 2012: 4,315,725 rai (690,516 Ha) Total 2011: 4,175,566 rai (668,090 Ha) Total 2010: 4,076,883 rai (652,301 Ha)
  • 11.
    COMPARISON ON PRODUCTION,HOUSEHOLD PLANTED AREA36.10% 44.10% 19.36% 0.30% 0.20% 7.70% 23.20% 38.40% 3.70% 26.90% 5.80% 22% 41.80% 4.00% 26.40% < 1.6 ha 1.6 to <8 ha 8 to <48 ha 48 to <160 ha >160 ha Estimated share of FFB production, no. of household and planted area by land size in oil palm farming No. of households Planted Area (ha) FFB Production (mt) • Thailand has a higher proportion of small holders than Indonesia and Malaysia. the average size of landholding in Thailand of large scale and smallholder in 2007 was 796 ha (4,975 rai) and 3.89 ha (24.31 rai) respectively.
  • 12.
    2. POLICY ONOIL PALM  Renewable energy policy and targets i. By 2021, production target policy set at 5.97 milliliter per day ii. Energy demand for economic development – in tandem with Alternative Energy Development Plan (2012 – 2021): 25% in 10 years iii. Alternative sources of bio diesel stock and security – reduce dependency on fossil fuel and imports – low carbon emission targets Renewable And Alternative Energy Development Plan (AEDP 2012 – 2021)
  • 13.
    2. POLICY ONOIL PALM  Incentives and subsidies for voluntary conversion to oil palm i. Objective to increase oil palm area and production trends – in 2013 plantation area had increased to approximately 4.5 million Rai (720,000 ha) ii. In 2011 - Average OER targets of 18.5% and FFB yield of 21 t/ha (3.36 t/rai) iii. Subsidies distribution must reached the target group with proper regulatory mechanisms to ensure proper replanting are carried out  Due to the high demand of palm oil, some changes in land use legislations for large scale cultivation is necessary i. Replanting programs – with quality seeds from approved sources and scheduled replants – data and info acquired from local land development authority with cooperation from farmers association and cooperatives. ii. Ensuring palm age profile to be developed and sustaining long term FFB production for the industry – to stay globally competitive iii. Smallholders still play a fundamental role in the strategic goals for social inclusion and income distribution with intensified dissemination of information nation wide across the industry.
  • 14.
    Why the dropin area increment? TOTAL OIL PALM PLANTATION AREAS Most of the new areas are located at the Southern Province especially in Krabi and Surat Thani
  • 15.
    2. POLICY ONOIL PALM  Incentives and subsidies to replant old oil palm areas ii. Domestic demand for palm oil and export – a driving factor for intensifying cultivation iii. Food security for domestic consumption – considerations of policy change for large scale cultivation by private sector cooperation with Farmers Cooperatives Smallholders Association, etc iv. Community wealth development via government subsidy for targeted small holders to improve household income through good agricultural practices Year Beginning Stock (1) Production (2) Import (3) TOTAL (4) EXPORT (5) Domestic Consumption (6) Ending Stock (7) Consumption Biodiesel 2008 88,916 1,543,761 28,385 1,661,062 288,054 989,061 276,000 107,947 2009 107,947 1,387,604 1,495,551 67,292 910,700 380,000 137,559 2010 137,559 1,287,509 1,425,068 65,942 911,339 380,000 67,787 2011 67,787 1,832,151 59,793 1,959,731 388,939 896,464 376,742 297,586 2012* 297,586 1,925,532 40,056 2,263,174 300,000 1,000,000 607,111 356,063 2013* 356,063 2,042,698 2,398,761 300,000 1,000,000 610,000 488,761 Remark: * Amount of CPO in 2012 & 2013 are estimates from the Office of Agriculture Economics Data Source: (1), (2), (6),(7) from Department Of Internal Trade (3), (5) from Customs Department (5) Adjustment to balance Source: Office Of Agriculture Economics (2013)
  • 16.
    3. CURRENT STATUSON OIL PALM  At the same period, a trend of oil extraction rates (OER) in Thailand has been declining. The average OER in the period from 2005 to 2009 was only 16.6%. If the average OER of 18.8% from 1990 to 1994 had been achieved in 2009, an additional 146,923 tons of CPO would have been produced.  The value is THB3,366 million or USD102 million. Potential OER rely on good management practices. Malaysia and Indonesia achieve OER of up to 25% under optimum conditions.  Various factors such as palms from low quality planting material (seeds), FFB delivery, and the utilization oil mill capacity are the cause of the lower potential OER FFB Production (t/ha) OER% Linear (FFB production t/ha) Linear (OER%) If yield were to increase by 2.5 t/ha, an additional FFB production of 1,276 million tons and CPO production of 217,016 tons would have been produced with a value of THB 4,972 million or USD151 million
  • 18.
    4. ISSUES ANDCHALLENGES  Smallholders Income i. New planting and quality seedlings – nursery development – quality seeds ii. Seedlings supply from nursery operators without quality assurance – defective seedling – long term impact to smallholders iii. Improvement in yield and OER – knowledge and understanding of crop quality iv. Value added from replanting – rubber wood for biomass fuel stock  Smallholders Crop Sale And Delivery i. Crops sold through intermediaries – with good bargaining positions and make decisions which mill to sell offering better price ii. Crop quality not regulated – no differentiation between fresh crops under ripe and overripe crop iii. Crop contaminations – purely up to intermediaries decision – affect smallholders income and adverse impact to the mill operations Country Planted Area (ha)* GNP (USD) ** % of population below poverty Malaysia 5,100,000 10,304 3.8 Thailand 890,000 5,678 7.2 Indonesia 10,500,000 3,592 13.2 Philippines 73,210 2,614 25 *Data by MPOB ** Asean Elusive Integration: Philippine Daily Inquirer; 4May2014 p16
  • 19.
    4. ISSUES ANDCHALLENGES  Introduction of regulatory measures i. Imperative to formulate regulation and guidelines for smallholders to comply the good agricultural practices (GAP) for getting high quality crop harrvested and delivered to the oil mill. ii. Crop purchase by intermediaries must be well regulated to prevent unfair pricing manipulations and fixations. iii. Establishment of FFB crop quality standards and guidelines must be implemented and disseminated respectively to all stakeholders in the industry – through community leaders and district agricultural agencies iv. Oil palm trees age profiles must be monitored for replanting programmes to ensure optimum FFB production.  Distribution of incentives and subsidies i. Small holders within permitted zone for OP development and replanting programmes – to provide subsidies for seedlings and fertilizers from licensed importers, nursery operators and approved traders. ii. Mechanism for effective distribution of subsidies – via current establishment iii. Concerted effort and support from farmers council, cooperatives, district agricultural agencies and provincial administration – intensified cultivation areas
  • 20.
    4. ISSUES ANDCHALLENGES  Knowledge and training in oil palm cultivation i. Generally, smallholders and farmers lack of knowledge – on cultivation, good agriculture practices, fertilizer recommendation, crop protection, water management – especially for new replanting zones ii. Adoption of modern farming technology and mechanisation for productivity and efficiency – improve crop quality iii. Insufficient - agronomy support from relevant extension services – internal such as agricultural agencies and external such as institutional and private agencies – farmers council; cooperatives iv. Understanding and implementing sustainability practices – compliance with RSPO criteria to produce certified sustainable palm oil (CSPO) – for premium price
  • 21.
    5. MOVING FORWARDWITH THH VENTURES  Our role and mission  A strategic private initiative with Thailand local business partner  Consortium of advisors and experts in oil palm cultivation and oil palm milling  Support authority with regulatory developments and industry legislation  Our approach to sustainable development  From seeds, nursery operation, cultivation and milling – compliance to RSPO  Malaysian expertise and advisory extension to support local OP industry – especially smallholders  Palm waste for renewable energy and fuel stocks to support alternative energy development.  RSPO compliance for the industry – future exports of palm oil  Supporting the needs of small holders  Skills training and providing knowledge to small holders community – all aspects of oil palm cultivation and related technology  Improvement on household income through sustainable agriculture good practices
  • 22.
    5. MOVING FORWARD– A PRIVATE SECTOR INITIATIVE  Propose business model for small holders community  Licensed supplier of seeds from reputable origin are only allowed and permitted to supply to licensed nurseries – quality assurance system must be established  Establishment of proper nursery practices and management – meet established regulatory requirements - seedlings from nurseries must at least 10 months old  FFB crop sale only to licensed collection centres with knowledge and understanding of quality requirements and specification for mills  Crop will be processed by appointed mills which are set up to support the smallholders community within the area/zones  Mills are obligated to purchase FFB from smallholders through a mutual agreement prior to setting up of mill – with FFB price structure and pre-set quality incentives  Palm Oil Mill Development  Investment for the mill development – economics of scale within zone areas for better mill operational efficiency – contributing to better OER and FFB price.  Strategic locations for logistical advantage and FFB crop quality assurances.  Oil palm waste management – potential for biogas and EFB fuel pallets for power generation to support AEDP long term plan.
  • 23.
    STRATEGIC DEVELOPMENT PLANS SEEDSUPPLY TO LICENSED NURSERY OPERATORS Yield increase from 1.8 ton to 3 ton per rai Oil Extraction Rate OER from 17% to 20% Cooperatives Smallholders Min nursery area = 12 rai Supply 20,000 seedlings at 10 months old Planting at least 18,750 rai need 420,000 seedlings
  • 24.
    PROPOSE BUSINESS MODEL •Farmers Cooperatives to engage and implement initiatives with government subsidy • Replanting programmes • Private investment in palm oil mills & buy FFB from smallholders with agreed price mechanisms • Suitable locations • Putrania import seeds , distribution and marketing • Liaison with nursery operators on quality control • THH export seeds and provide technical support and technical advisory which comprise of experience oil palm practitioners Quality Seeds From Established Seeds Producers in Malaysia Appointed Licensed Nursery Operators In Thailand Smallholders Palm Oil Mill Operators Contractual supply with agreed price Compliance to quality standards
  • 25.
    INTRODUCTION OF TECHNOLOGYFOR IMPROVEMENT IN PRODUCTIVITY Improve smallholders livelihood with better income resulting from increase in palm productivity and oil extraction rate Modern farming via mechanisation
  • 26.
    PROPOSE IMPLEMENTATION PLAN Subsidyallocation for conversion from rubber to oil palm within the approved zone GOVERNMENT AGENCIES, FARMERS COUNCIL AND RELEVANT COOPERATIVES Engagement by Coop to identify farmers to plant oil palm and entitlement for subsidy Order required seedlings from appointed nursery operators CONSULTANCY & ADVISORY Training in Good Agricultural Practices Adoption of Good Nursery Practices And StandardsBetter Farmers Productivity & Income Improved OER for mill
  • 27.
    6. CONCLUSION  Imperativefor various regulatory measures are established to drive the industry - generating economic wealth for the smallholders and to sustain the energy and food security for the nation’s economic development.  Extensive agronomic extension services particularly for oil palm to be widely reached out to small holders – via provincial and government agencies – as well as knowledge sharing and dissemination by relevant agencies..  FFB crop pricing based on quality criteria must be established and monitored by relevant agencies or authorities in the industry – driven by established policy and set targets such as by the Thai Oil Palm Board and Department Of Agriculture.  Palm oil millers and smallholders must be encouraged to have a supply and purchase agreement through organisation such as Farmers Council and Cooperatives to safeguard smallholders interest. The Thai oil palm industry has a great potential to grow into a respected world palm oil producer provided that all the stakeholders play their role with the recommendations as follows:
  • 28.