Embed presentation
Downloaded 38 times























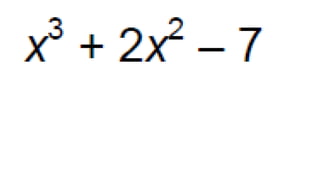
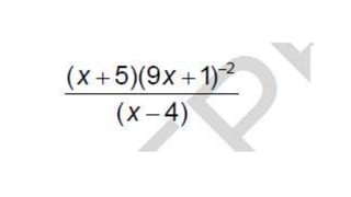
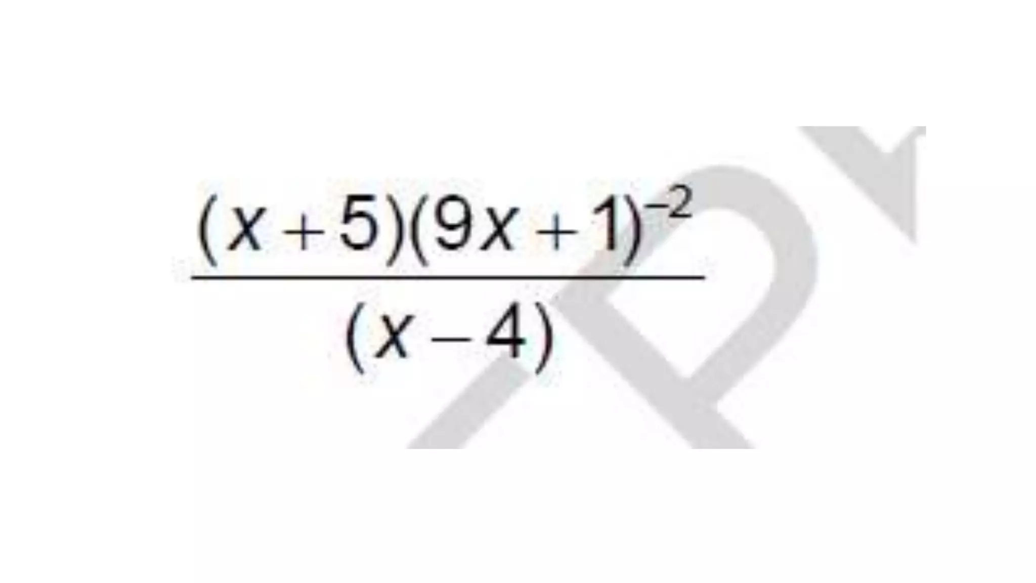
This document discusses the characteristics of polynomials and non-polynomials. It states that for an expression to be a polynomial, the variables cannot have negative or fractional exponents, and a variable cannot be in the denominator. It then provides examples of expressions and identifies whether they are polynomials or non-polynomials based on these criteria.





















