The profit maximizing capacitated
lot-size (PCLSP) problem
by Kjetil K. Haugen
Asmund Olstad
and
B˚ I. Pettersen
ard
Molde University College
Servicebox 8, N-6405 Molde, Norway
E-mail: Kjetil.Haugen@hiMolde.no

European Journal of Operational Research, 176:165–176, 2006

1
Idea – Abstract

• Introduce a ”new” set of lot-sizing models
including pricing – PCLSP.

• PCLSP – practically at least as relevant
as CLSP.

• PCLSP – computationally more feasible
than CLSP.

2
Outline

1) Introduce LSP, CLSP and PCLSP.

2) Brief discussion of algorithmic properties
of LSP and CLSP.

3) Introduce a Lagrange Relaxation algorithm for PCLSP.

4) Judge algorithmic performance by examples and compare with CLSP

5) Discuss practical relevance of PCLSP.

3
The simple lot-size problem (LSP) (1)

T

Min Z =

stδt + htIt + ctxt

(1)

t=1

s.t.
xt + It−1 − It = dt ∀t
0 ≤ xt ≤ Mtδt ∀t

(2)

It ≥ 0, ∀t

(4)

δt ∈ {0, 1} ∀t

(5)

(3)

4
The simple lot-size problem (LSP) (2)

Decision variables:

xt =

amount produced in period t

It =

inventory between t, t + 1

δt = 1 if xt > 0 in period t ; 0 otherwise
Parameters:

T = number of time periods
st = setup cost in period t
ht = storage cost between t, t + 1
ct = unit production cost in period t
Mt = ”Big M” in period t
5
The simple lot-size problem (LSP) (3)

– Problem characteristics

Basic trade off:

• Many set-ups ⇒

• Few set-ups ⇒

t st δt

t st δt

↑ and

↓ and

t ht It

t ht It

↓

↑

Slight generalization of EOQ-model:
Given dt = d, ct = c, ht = h∀t ⇒ LSP = EOQ
6
The simple lot-size problem (LSP) (4)

– Algorithmic characteristics

• Polynomial DP-algorithm by Wagner and
Whitin (1950).

• Solves very fast.

• Planning horizon theorems; xt · It = 0.
• Interesting candidate as sub-problem
solver in more advanced lot-size problems.
7
The capacitated problem (CLSP) (1)

T

J

Min Z =

sjtδjt + hjtIjt + cjtxjt

(6)

t=1 j=1

s.t.
J

ajtxjt ≤ Rt

∀t

(7)

xjt + Ij,t−1 − Ijt = djt ∀jt
0 ≤ xjt ≤ Mjtδjt ∀jt

(8)

Ijt ≥ 0, ∀jt

(10)

δjt ∈ {0, 1} ∀jt

(11)

j=1

(9)

8
CLSP (2)
Decision variables:

xjt = amount of item j produced in t
Ijt = inventory of item j between t, t + 1
δjt =

1 if item j is produced in period t
0 otherwise

Parameters:

T
J
sjt
hjt
cjt
ajt
Rt

=
=
=
=
=
=
=

number of time periods
number of items
setup cost for item j in period t
storage cost, item j between t, t + 1
unit production cost, item j at t
resource used, item j at t
capacity resource available at t
T

Mjt =

djs
s=t
9
CLSP (2) – characteristics

• Much harder to solve compared to LSP.
• Reason:
Violation of capacity constraint ⇒
”moving production around” (combinatorial).
• Due to non existence of polynomial algorithms (NP-hardness) heuristical (Lagrange relaxation based) approaches common.
• A very ”popular” OR research problem.
• Still: typical problem sizes not much
larger than 100 x 100 – not satisfactory
given product variety today.
10
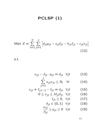
PCLSP (1)

T

J

djtpjt − sjtδjt − hjtIjt − cjtxjt

Max Z =
t=1 j=1

(12)
s.t.

αjt − βjt · pjt = djt ∀jt

(13)

J

ajtxjt ≤ Rt

∀t

(14)

xjt + Ij,t−1 − Ijt = djt
0 ≤ xjt ≤ Mjtδjt
Ijt ≥ 0,
δjt ∈ {0, 1}
αjt
≥ pjt ≥ 0
βjt

∀jt
∀jt
∀jt
∀jt

(15)
(16)
(17)
(18)

∀jt

(19)

j=1

11
PCLSP (2)

Decision variables added to CLSP:

pjt = price of item j in period t
Parameters added to CLSP:

αjt = constant in linear demand,
item j at t
βjt = slope in linear demand,
item j at t

12
PCLSP characteristics

• Linear demand,
(unrealistic).

Monopoly assumption

• PCLSP is a generalization of CLSP. ∗
• Immediate feasible solutions are obtainable (as opposed to CLSP) by ”pricing
out”. †
• PLSP (uncapacitated single item version) is well known from OR-literature.
Thomas (1970) constructed a polynomial
DP-algorithm with complexity as of the
Wagner/Whitin algorithm.
∗ Easy

to see by the special case pjt = pjt where pjt are
ˆ
ˆ
assumed constant.

† That

is, any capacity constraint violation can be
”removed” as any demand may be forced to zero
jt
(pjt = αjt ).
β
13
Basic hypothesis

The added problem flexibility obtained by introduction of price variables should make the problem easier
to solve.

14
LUBP sub problems

By relaxing the capacity constraint (14), the
PCLSP-problem (12) – (19) may be expressed
as:

T

Max Z = Z +
t=1

s.t.



λt Rt −

J



ajtxjt

j=1

constraints (13) to (19)

It is ”straightforward” to adjust the DPalgorithm by Thomas (1970) to provide very
efficient solutions to the LUBP sub-problems.
Note: Solving LUBP yields upper bound on
PCLSP.
15
LLBP sub problems

If δij ’s are fixed (Set-up structure) in PCLSP,
a standard quadratic programming problem is
obtained:

T

J

Max Z =

djtpjt − hjtIjt − cjtxjt
t=1 j=1

s.t.

(13), (15), (17), (19).

Any solution to LLBP is feasible and typically
non-optimal. Hence, Any solution to LLBP
is a lower bound to PCLSP.

16
Algorithmic structure

LUBP
Set-up
structure

Z

*
k

PCLSP

λt

LLBP

Algorithmic structure
17
Algorithm: Lagrange relaxation

0. Define λt = 0, ∀t = 1, 2, . . . , T
1. Solve LUBP (Obtain Set-up structure)
2. Solve LLBP (for Set-up structure obtained in step 1.) Define λt from this
solution as λk , where k denotes iteration
t
count.
Stop if: (define reasonable stopping criteria)
k
3. Update λt by smoothing: λk+1 = θk ·
t
k−1
λt +(1−θk )λk , ∀t, where θk is a smootht
ing parameter, 0 ≤ θk ≤ 1

4. Go to step 1.
18
Some results (1)

Problem
CAP93%
CAP91%
CAP73%
CAP61%

CLSP
#It. G(%)
50
10
50
3
50
2
50
1

PCLSP
#It. G(%)
17
0.59
32
0.41
6
0.2
22
0.06

• Cases captured from Thizy and Wassenhove (1985). 8 products over 8 time periods.

• #It. means number of iterations performed in algorithm.

• G(%)

means
gap
ZLU BP −ZLLBP
· 100.
Z

in

percent

LU BP

19

or
Some results (2)

Problem
CAP93%
CAP91%
CAP73%
CAP61%

CLSP
#It. G(%)
50
10
50
3
50
2
50
1

PCLSP
#It. G(%)
1
3.68
1
2.82
1
1.5
1
0.65

The same cases with Gaps after one iteration in PCLSP compared to 50 iterations in
CLSP.

20
PCLSP – practical relevance

Demonstrated (by some examples) that
PCLSP solves significantly faster than CLSP.
What about practical relevance?
Obvious facts:

• If monopolistic market
PCLSP
CLSP

conditions

⇒

• If Free markets (price taking behavior)
CLSP is ”correct”

• Most markets are neither (oligopoly) –
what then?
21
Price constraints

• Given ”relatively small” price changes, underlying Nash equilibrium may be stable.

• Price constraints may serve the purpose

• Relatively simple to introduce (no radical
algorithmic changes)

22

Pclsp ntnu

  • 1.
    The profit maximizingcapacitated lot-size (PCLSP) problem by Kjetil K. Haugen Asmund Olstad and B˚ I. Pettersen ard Molde University College Servicebox 8, N-6405 Molde, Norway E-mail: Kjetil.Haugen@hiMolde.no European Journal of Operational Research, 176:165–176, 2006 1
  • 2.
    Idea – Abstract •Introduce a ”new” set of lot-sizing models including pricing – PCLSP. • PCLSP – practically at least as relevant as CLSP. • PCLSP – computationally more feasible than CLSP. 2
  • 3.
    Outline 1) Introduce LSP,CLSP and PCLSP. 2) Brief discussion of algorithmic properties of LSP and CLSP. 3) Introduce a Lagrange Relaxation algorithm for PCLSP. 4) Judge algorithmic performance by examples and compare with CLSP 5) Discuss practical relevance of PCLSP. 3
  • 4.
    The simple lot-sizeproblem (LSP) (1) T Min Z = stδt + htIt + ctxt (1) t=1 s.t. xt + It−1 − It = dt ∀t 0 ≤ xt ≤ Mtδt ∀t (2) It ≥ 0, ∀t (4) δt ∈ {0, 1} ∀t (5) (3) 4
  • 5.
    The simple lot-sizeproblem (LSP) (2) Decision variables: xt = amount produced in period t It = inventory between t, t + 1 δt = 1 if xt > 0 in period t ; 0 otherwise Parameters: T = number of time periods st = setup cost in period t ht = storage cost between t, t + 1 ct = unit production cost in period t Mt = ”Big M” in period t 5
  • 6.
    The simple lot-sizeproblem (LSP) (3) – Problem characteristics Basic trade off: • Many set-ups ⇒ • Few set-ups ⇒ t st δt t st δt ↑ and ↓ and t ht It t ht It ↓ ↑ Slight generalization of EOQ-model: Given dt = d, ct = c, ht = h∀t ⇒ LSP = EOQ 6
  • 7.
    The simple lot-sizeproblem (LSP) (4) – Algorithmic characteristics • Polynomial DP-algorithm by Wagner and Whitin (1950). • Solves very fast. • Planning horizon theorems; xt · It = 0. • Interesting candidate as sub-problem solver in more advanced lot-size problems. 7
  • 8.
    The capacitated problem(CLSP) (1) T J Min Z = sjtδjt + hjtIjt + cjtxjt (6) t=1 j=1 s.t. J ajtxjt ≤ Rt ∀t (7) xjt + Ij,t−1 − Ijt = djt ∀jt 0 ≤ xjt ≤ Mjtδjt ∀jt (8) Ijt ≥ 0, ∀jt (10) δjt ∈ {0, 1} ∀jt (11) j=1 (9) 8
  • 9.
    CLSP (2) Decision variables: xjt= amount of item j produced in t Ijt = inventory of item j between t, t + 1 δjt = 1 if item j is produced in period t 0 otherwise Parameters: T J sjt hjt cjt ajt Rt = = = = = = = number of time periods number of items setup cost for item j in period t storage cost, item j between t, t + 1 unit production cost, item j at t resource used, item j at t capacity resource available at t T Mjt = djs s=t 9
  • 10.
    CLSP (2) –characteristics • Much harder to solve compared to LSP. • Reason: Violation of capacity constraint ⇒ ”moving production around” (combinatorial). • Due to non existence of polynomial algorithms (NP-hardness) heuristical (Lagrange relaxation based) approaches common. • A very ”popular” OR research problem. • Still: typical problem sizes not much larger than 100 x 100 – not satisfactory given product variety today. 10
  • 11.
    PCLSP (1) T J djtpjt −sjtδjt − hjtIjt − cjtxjt Max Z = t=1 j=1 (12) s.t. αjt − βjt · pjt = djt ∀jt (13) J ajtxjt ≤ Rt ∀t (14) xjt + Ij,t−1 − Ijt = djt 0 ≤ xjt ≤ Mjtδjt Ijt ≥ 0, δjt ∈ {0, 1} αjt ≥ pjt ≥ 0 βjt ∀jt ∀jt ∀jt ∀jt (15) (16) (17) (18) ∀jt (19) j=1 11
  • 12.
    PCLSP (2) Decision variablesadded to CLSP: pjt = price of item j in period t Parameters added to CLSP: αjt = constant in linear demand, item j at t βjt = slope in linear demand, item j at t 12
  • 13.
    PCLSP characteristics • Lineardemand, (unrealistic). Monopoly assumption • PCLSP is a generalization of CLSP. ∗ • Immediate feasible solutions are obtainable (as opposed to CLSP) by ”pricing out”. † • PLSP (uncapacitated single item version) is well known from OR-literature. Thomas (1970) constructed a polynomial DP-algorithm with complexity as of the Wagner/Whitin algorithm. ∗ Easy to see by the special case pjt = pjt where pjt are ˆ ˆ assumed constant. † That is, any capacity constraint violation can be ”removed” as any demand may be forced to zero jt (pjt = αjt ). β 13
  • 14.
    Basic hypothesis The addedproblem flexibility obtained by introduction of price variables should make the problem easier to solve. 14
  • 15.
    LUBP sub problems Byrelaxing the capacity constraint (14), the PCLSP-problem (12) – (19) may be expressed as: T Max Z = Z + t=1 s.t.  λt Rt − J  ajtxjt j=1 constraints (13) to (19) It is ”straightforward” to adjust the DPalgorithm by Thomas (1970) to provide very efficient solutions to the LUBP sub-problems. Note: Solving LUBP yields upper bound on PCLSP. 15
  • 16.
    LLBP sub problems Ifδij ’s are fixed (Set-up structure) in PCLSP, a standard quadratic programming problem is obtained: T J Max Z = djtpjt − hjtIjt − cjtxjt t=1 j=1 s.t. (13), (15), (17), (19). Any solution to LLBP is feasible and typically non-optimal. Hence, Any solution to LLBP is a lower bound to PCLSP. 16
  • 17.
  • 18.
    Algorithm: Lagrange relaxation 0.Define λt = 0, ∀t = 1, 2, . . . , T 1. Solve LUBP (Obtain Set-up structure) 2. Solve LLBP (for Set-up structure obtained in step 1.) Define λt from this solution as λk , where k denotes iteration t count. Stop if: (define reasonable stopping criteria) k 3. Update λt by smoothing: λk+1 = θk · t k−1 λt +(1−θk )λk , ∀t, where θk is a smootht ing parameter, 0 ≤ θk ≤ 1 4. Go to step 1. 18
  • 19.
    Some results (1) Problem CAP93% CAP91% CAP73% CAP61% CLSP #It.G(%) 50 10 50 3 50 2 50 1 PCLSP #It. G(%) 17 0.59 32 0.41 6 0.2 22 0.06 • Cases captured from Thizy and Wassenhove (1985). 8 products over 8 time periods. • #It. means number of iterations performed in algorithm. • G(%) means gap ZLU BP −ZLLBP · 100. Z in percent LU BP 19 or
  • 20.
    Some results (2) Problem CAP93% CAP91% CAP73% CAP61% CLSP #It.G(%) 50 10 50 3 50 2 50 1 PCLSP #It. G(%) 1 3.68 1 2.82 1 1.5 1 0.65 The same cases with Gaps after one iteration in PCLSP compared to 50 iterations in CLSP. 20
  • 21.
    PCLSP – practicalrelevance Demonstrated (by some examples) that PCLSP solves significantly faster than CLSP. What about practical relevance? Obvious facts: • If monopolistic market PCLSP CLSP conditions ⇒ • If Free markets (price taking behavior) CLSP is ”correct” • Most markets are neither (oligopoly) – what then? 21
  • 22.
    Price constraints • Given”relatively small” price changes, underlying Nash equilibrium may be stable. • Price constraints may serve the purpose • Relatively simple to introduce (no radical algorithmic changes) 22