Game Theory
• Theory of games started in 20 th century, 
developed by John Von Neumann and 
Morgenstern
In many practical problems, it is required to take 
decision in a situation where there are two or 
more opposite parties with conflicting interests 
and the action of one depends upon the action 
which the opponent takes.
• A great variety of competitive situations are 
commonly seen every day life 
• e.g in military battles, political campaigns 
marketing campaigns
Competitive games 
Following properties 
1- There are finite no of competitors 
2- Each player has available to him a list of finite no 
of possible courses of actions. 
3 - A play is said to be played when each of the players 
chooses a single course of action from the list. 
Here it is assumed that the choices are made 
simultaneously so that no player knows his 
opponents choice until he has decided his own 
course of action. 
4 - Every play determines an outcome.
Two person Zero sum game 
A game with only two players in which the gains 
of one player are the losses of another player 
is called two person zero sum game
Pay off matrix 
• In a two person zero sum game the resulting gain can 
be represented in the form of matrix called pay off 
matrix. 
• Suppose player A has m courses of action and B has n 
courses of action. 
• Pay off can be represented by m by n matrix 
• Rows are of courses of action available for A 
• columns are of courses of action available for B 
• In A’s payoff matrix aij represents the payment to A 
when A chooses action “i “and B chooses action” j” 
• B’s pay off matrix will be negative of A’s pay off matrix
B 
+1 -1 
-1 +1 
A 
1 finger 2 finger 
1 finger 
2 fingers 
A’s pay off matrix
Strategy 
• The strategy of a player is the predetermined 
rule 
by which 
• a player decides his course of action from his 
own list of courses of action during the game
Pure / mixed strategies 
A Pure strategy is a decision in advance of all plays, 
always to choose a particular course of action 
A mixed strategy is a decision in advance of all 
plays,to choose a course of action for each play in 
accordance with some particular probability 
distribution. 
Opponents are kept guessing as to which course of 
action is to be selected by the other on any 
particular occasion. 
Pure strategy is a special case of mixed strategy.
Solution of a game 
By solving a game we mean to find the best 
strategies for both the players and the value of the 
game. 
Value of the game 
Is the maximum guaranteed gain to player A (A maximixing 
player) if both the players use their best strategies. 
It is generally denoted by “v” and is unique. 
Fair game : if the value of the game is zero.
Maximin and minimax criterion of 
optimality 
It states that if a player lists his worst possible 
outcomes of all his potential strategies then 
he will choose that strategy which 
corresponds to the best of these worst 
outcomes.
• Maxmin for A is given by max {min aij } = apq 
I j 
Minimax fo B min {max aij } = ars 
j I 
a pq ≤ a r s 
Maximin for A ≤ minimax for B 
If v is the value of the game 
Maxmin for A ≤ v ≤ minimax for B
Saddle pint 
• if minimax = maximin = value of the game then 
game is called a game with saddle point. 
Def: A saddle point of a pay off matrix is that 
position in the matrix where the maximum of row 
min’s coincides with the minimum of column ‘s 
maxima. 
The cell entry at that saddle point is called the 
value of the game. 
In a game with saddle point the players use pure 
strategies i.e they choose the same course of 
action through out the game
Method for detecting a saddle point 
Find the minimum value in each row and write it in row 
minima 
Find the maximum value in each column and put it in 
column maxima. 
Select the largest element in row minima and enclose it in 
circle and select the lowest element in column max and 
encloses it in rectangle. 
Find the element which is same in the circle and rectangle 
and mark the position of such element in matrix.. 
It is the saddle point which represents the value of the 
game.
Player B 
9 3 1 8 0 
6 5 4 6 7 
2 4 3 3 8 
5 6 2 2 1 
Pl 
a 
y 
er 
A 
Row 
minima 
0 
4 
2 
1 
4 
9 6 4 8 8 
4 
4 
Col max 
MAXIMIN = MINMAX = VLUE OF THE GAME = 4 
GAME IS NOT FAIR 
Best strategy for player A is 
second action 
while for player B best action is 
third one
Rules of dominance 
Rule 1 
if all the elements in a row (say I th)of payoff 
matrix are less than or equal to the 
corresponding elements of other row(say j th) 
then player A will never choose the I th 
strategy or in other words I th strategy is 
dominated by the j th strategy.
Rule 2 
• If all the elements in a column(say r th) of 
payoff matrix are greater than or equal t o the 
corresponding elements of other column (say 
s th) then the player B will never choose the r 
th strategy or in other words the r th strategy 
is dominated by the s th strategy
Rule 3 
• A pure strategy may be dominated if it is 
inferior to an average of two or more other 
pure strategies.
-1 -2 8 
7 5 -1 
6 0 12 
No saddle point exists, 
For A pure strategy I is dominated by strategy 
III. 
also for player B pure strategy I is dominated 
by strategy II.
Solution of 2 x n or m x 2 games without 
saddle point(graphical method) 
• Either of the players has only two 
undominated pure strategies available. 
• By using graphical method it is aimed to 
reduce a game to the order of 2 x 2 by 
identifying and eliminating the dominated 
strategies and then solve it by analytical 
method.
• Consider the following 2 x n payoff matrix game 
without saddle point 
Player B 
B1 B2 Bn Player A prob 
A1 
A11 A12 - - a1n 
A21 A22 - - a2n 
A2 
• Player A has two strategies A1 and A2 with 
probabilities p1 and p2 resp such that 
• p1 + p2 =1, 
P1 
p2
• For each of the pure strategies available to 
player B, expected payoff for player A would 
be as follows: 
Player B’s pure 
strategy 
Player A’s 
expected payoff 
B1 
B2 
- 
- 
Bn 
a11 p1 + a21 p2 
a12 p1 +a22 p2 
a1n p1 +a2np2
According to the maximum criterion for mixed strategy 
games player 
A should select the value of probabilities p1,p2 to 
maximize his minimum expected payoff. 
This can be done by plotting st lines representing player 
A’s expected payoffs. The highest point of the lower 
boundary of these lines(lower envelope) will give 
maximum expected payoff and the optimum values of 
probabilities p1 and p2. Now the two strategies of player B 
corresponding to those lines which pass through the 
maximum point can be determined
• The m x 2 games are also treated in the same 
way except that the upper boundary of the st 
lines corresponding to B’s expected payoff 
will give the maximum expected payoff to 
player B and the lowest point on this 
boundary (upper envelope) will then give the 
minimum expected payoff and the optimum 
values of prob q1 and q2.
Solve the game graphically with the 
following payoff matrix 
B1 B2 B3 B4 
A1 8 5 -7 9 
A2 -6 6 4 -2 
When B chooses B1 expected payoff for A shall be 
8 p1 + (-6)(1-p1) or 14 p1 -6 
Similarly expected payoff functions in respect to 
B2,B3 and B4 can be derived as 
6-p1; 4- 11p1 ; 11 p1 -2 resp. 
We can represent these graphically plotting each 
payoff as a function of p1
• Lines are marked B1,B2,B3 and B4 and they 
represent the respective strategies. For each 
value of p1 the height of the lines at that point 
denotes the payoff of each of B’s strategy 
against (p1,1-p1) for A.A is concerned with his 
least payoff when he plays a particular 
strategy, which is represented by the lowest of 
the four lines at that point and wishes to 
choose p1 in order to maximize this minimum 
payoff.
• This is at K where the lower envelope lowest 
of the lines at his point is the highest. this 
point lies at the intersection of the lines 
representing B1 and B2 strategies.distance 
• KL = -0.4 represents the game value V 
• Alternatively the game can be written as a 2 
by 2 game as follows with strategies A1 and 
A2 for A and B1 and B3 for B
P 
L 
A A 
Y 
e 
r 
B1 B3 
A1 
A2 
8 -7 
-6 4 
Player B 
Using algebraic method opt strategy for A and B are (2/5, 3/5) and 
(11/25, 0, 14/25,0)
Theorem 
• For any zero sum two person game where the 
optimum strategies are not pure and for 
player A payoff matrix is A, the optimal 
strategies are (x1,x2) and (y1,y2) given by 
• 
a a 
22  
21 
a a 
22  
12 
11 21 
x 
and 
y 
and thevalueof the gameto Ais 
a a a a 
11 22  
12 21 
( 11 22) ( 12 21) 
1 
1 
2 
11 12 
2 
a a a a 
v 
a a 
y 
a a 
x 
   
 
 
 
 

If (x1,x2) and(y1,y2) are the mixed strategies for 
players A and B resp then 
x1 +x2 = 1 
y1 + y2 = 1 
x1≥ 0, x2 ≥0, y1 ≥ 0 , y2 ≥ 0
Expected gain to A when B uses strategy 1 
a11 x1 + a21x2 
Expected gain to A when B uses strategy II 
a12 x1 + a22x2 
Similarly expected loss for B when A uses strategy I 
a11y1 +a12y2 
Similarly expected loss for B when A uses strategy II 
a21 y1+ a22 y2
• If v is the value of the game then 
• since A expects to get at least v 
• a11 x1 + a21x2 ≥ v 
• a12 x1 + a22x2 ≥ v 
• Also B expects atmost v 
• a11y1 +a12y2≤v 
• a21 y1+ a22 y2 ≤v
a11 x1 + a21x2=v 
a12 x1 + a22x2 =v 
a11y1 +a12y2=v 
a21 y1+ a22 y2 =v 
(a11 – a12 ) x1 = (a22-a21) x2
a a 
21 22 
x 
similarly 
 
a a 
22 
 
12 21 11 
1 
y 
1 
2 
12 11 
2 
a a 
y 
a a 
x 
 
 
 
 
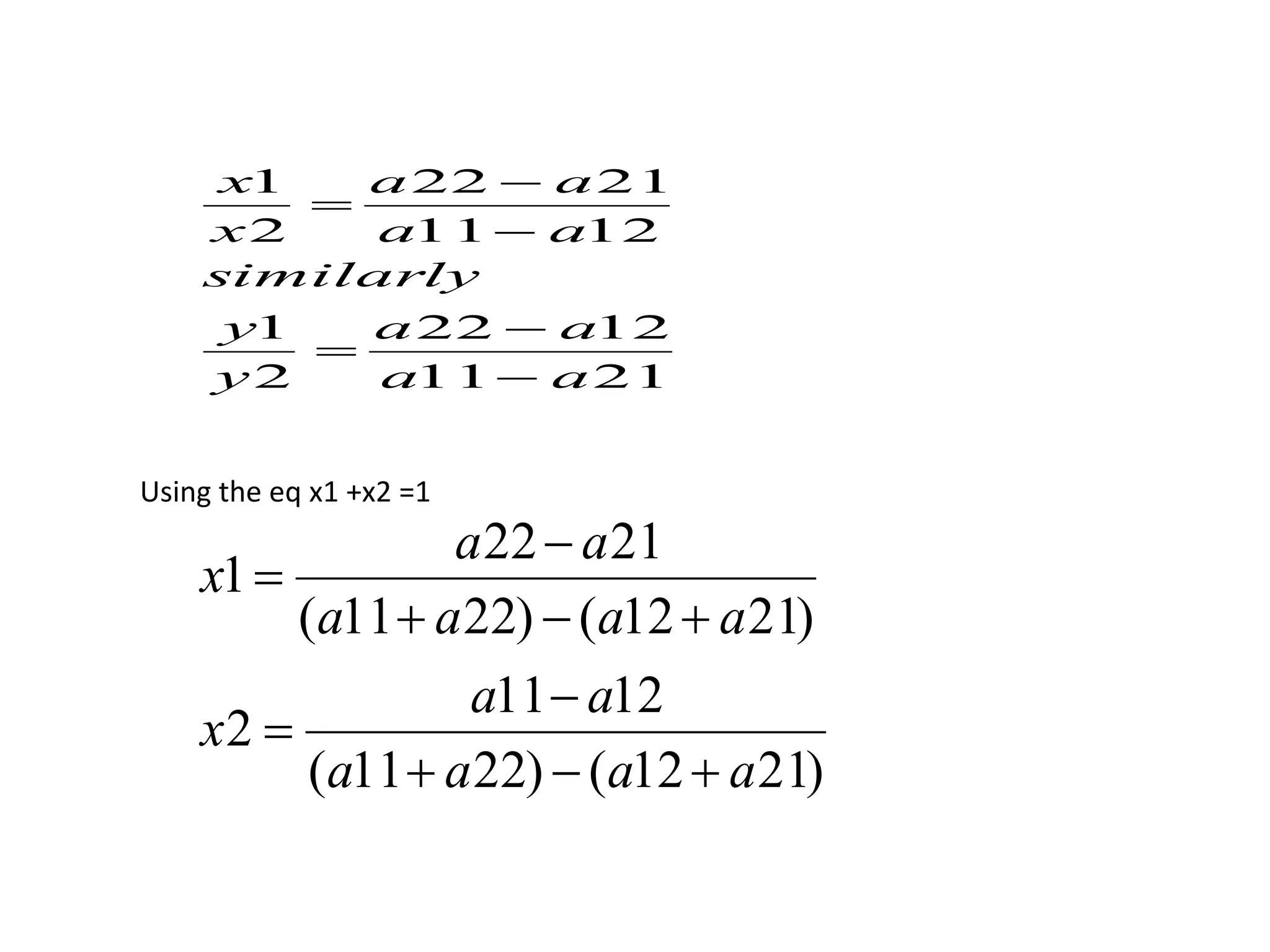
Using the eq x1 +x2 =1 
a a 
22  
21 
a a 
11  
12 
( 11 22) ( 12 21) 
2 
( 11 22) ( 12 21) 
1 
a a a a 
x 
a a a a 
x 
   
 
   

similarly 
a a 
22  
12 
a a 
11  
21 
( 11 22) ( 12 21) 
2 
( 11 22) ( 12 21) 
1 
a a a a 
y 
a a a a 
y 
   
 
   

Value of the game 
a a a a 
11 22  
12 21 
a a a a 
( 11 22) ( 12 21) 
v 
   

By using the dominance properties we always 
try to reduce the size of payoff matrix to 2 x 2. 
In case the payoff matrix reduces to size 2 x n or 
m x 2 then graphical method is used
Q Solve the game whose payoff matrix 
is 
-1 -2 8 
7 5 -1 
6 0 12 
No saddle point exists, 
For A pure strategy I is dominated by strategy 
III. 
also for player B pure strategy I is dominated 
by strategy II.
II III 
5 -1 
0 12 
II 
III 
a a 
22  
21 
a a 
11  
12 
( 11 22) ( 12 21) 
2 
( 11 22) ( 12 21) 
1 
a a a a 
x 
a a a a 
x 
   
 
   
 
X1 = 2/3 
X2 = 1/3
a a 
22  
12 
a a 
11  
21 
( 11 22) ( 12 21) 
2 
( 11 22) ( 12 21) 
1 
a a a a 
y 
a a a a 
y 
   
 
   
 
Y1 = 13/18 
Y2 =5/18
a a a a 
11 22  
12 21 
a a a a 
( 11 22) ( 12 21) 
v 
   
 
Value of the game is 10/3 
Thus optimal strategy for A is (0,2/3 1/3) 
And 
For B (0,13/18,5/18) 
Value of the game for A is 10/3
Q: solve the game whose pay off 
matrix is 
I Ii Iii iv 
I 1 3 -3 7 
II 2 5 4 -6
Newgame (2)
Newgame (2)

Newgame (2)

  • 1.
  • 2.
    • Theory ofgames started in 20 th century, developed by John Von Neumann and Morgenstern
  • 3.
    In many practicalproblems, it is required to take decision in a situation where there are two or more opposite parties with conflicting interests and the action of one depends upon the action which the opponent takes.
  • 4.
    • A greatvariety of competitive situations are commonly seen every day life • e.g in military battles, political campaigns marketing campaigns
  • 5.
    Competitive games Followingproperties 1- There are finite no of competitors 2- Each player has available to him a list of finite no of possible courses of actions. 3 - A play is said to be played when each of the players chooses a single course of action from the list. Here it is assumed that the choices are made simultaneously so that no player knows his opponents choice until he has decided his own course of action. 4 - Every play determines an outcome.
  • 6.
    Two person Zerosum game A game with only two players in which the gains of one player are the losses of another player is called two person zero sum game
  • 7.
    Pay off matrix • In a two person zero sum game the resulting gain can be represented in the form of matrix called pay off matrix. • Suppose player A has m courses of action and B has n courses of action. • Pay off can be represented by m by n matrix • Rows are of courses of action available for A • columns are of courses of action available for B • In A’s payoff matrix aij represents the payment to A when A chooses action “i “and B chooses action” j” • B’s pay off matrix will be negative of A’s pay off matrix
  • 8.
    B +1 -1 -1 +1 A 1 finger 2 finger 1 finger 2 fingers A’s pay off matrix
  • 9.
    Strategy • Thestrategy of a player is the predetermined rule by which • a player decides his course of action from his own list of courses of action during the game
  • 10.
    Pure / mixedstrategies A Pure strategy is a decision in advance of all plays, always to choose a particular course of action A mixed strategy is a decision in advance of all plays,to choose a course of action for each play in accordance with some particular probability distribution. Opponents are kept guessing as to which course of action is to be selected by the other on any particular occasion. Pure strategy is a special case of mixed strategy.
  • 11.
    Solution of agame By solving a game we mean to find the best strategies for both the players and the value of the game. Value of the game Is the maximum guaranteed gain to player A (A maximixing player) if both the players use their best strategies. It is generally denoted by “v” and is unique. Fair game : if the value of the game is zero.
  • 12.
    Maximin and minimaxcriterion of optimality It states that if a player lists his worst possible outcomes of all his potential strategies then he will choose that strategy which corresponds to the best of these worst outcomes.
  • 13.
    • Maxmin forA is given by max {min aij } = apq I j Minimax fo B min {max aij } = ars j I a pq ≤ a r s Maximin for A ≤ minimax for B If v is the value of the game Maxmin for A ≤ v ≤ minimax for B
  • 14.
    Saddle pint •if minimax = maximin = value of the game then game is called a game with saddle point. Def: A saddle point of a pay off matrix is that position in the matrix where the maximum of row min’s coincides with the minimum of column ‘s maxima. The cell entry at that saddle point is called the value of the game. In a game with saddle point the players use pure strategies i.e they choose the same course of action through out the game
  • 15.
    Method for detectinga saddle point Find the minimum value in each row and write it in row minima Find the maximum value in each column and put it in column maxima. Select the largest element in row minima and enclose it in circle and select the lowest element in column max and encloses it in rectangle. Find the element which is same in the circle and rectangle and mark the position of such element in matrix.. It is the saddle point which represents the value of the game.
  • 16.
    Player B 93 1 8 0 6 5 4 6 7 2 4 3 3 8 5 6 2 2 1 Pl a y er A Row minima 0 4 2 1 4 9 6 4 8 8 4 4 Col max MAXIMIN = MINMAX = VLUE OF THE GAME = 4 GAME IS NOT FAIR Best strategy for player A is second action while for player B best action is third one
  • 17.
    Rules of dominance Rule 1 if all the elements in a row (say I th)of payoff matrix are less than or equal to the corresponding elements of other row(say j th) then player A will never choose the I th strategy or in other words I th strategy is dominated by the j th strategy.
  • 18.
    Rule 2 •If all the elements in a column(say r th) of payoff matrix are greater than or equal t o the corresponding elements of other column (say s th) then the player B will never choose the r th strategy or in other words the r th strategy is dominated by the s th strategy
  • 19.
    Rule 3 •A pure strategy may be dominated if it is inferior to an average of two or more other pure strategies.
  • 20.
    -1 -2 8 7 5 -1 6 0 12 No saddle point exists, For A pure strategy I is dominated by strategy III. also for player B pure strategy I is dominated by strategy II.
  • 21.
    Solution of 2x n or m x 2 games without saddle point(graphical method) • Either of the players has only two undominated pure strategies available. • By using graphical method it is aimed to reduce a game to the order of 2 x 2 by identifying and eliminating the dominated strategies and then solve it by analytical method.
  • 22.
    • Consider thefollowing 2 x n payoff matrix game without saddle point Player B B1 B2 Bn Player A prob A1 A11 A12 - - a1n A21 A22 - - a2n A2 • Player A has two strategies A1 and A2 with probabilities p1 and p2 resp such that • p1 + p2 =1, P1 p2
  • 23.
    • For eachof the pure strategies available to player B, expected payoff for player A would be as follows: Player B’s pure strategy Player A’s expected payoff B1 B2 - - Bn a11 p1 + a21 p2 a12 p1 +a22 p2 a1n p1 +a2np2
  • 24.
    According to themaximum criterion for mixed strategy games player A should select the value of probabilities p1,p2 to maximize his minimum expected payoff. This can be done by plotting st lines representing player A’s expected payoffs. The highest point of the lower boundary of these lines(lower envelope) will give maximum expected payoff and the optimum values of probabilities p1 and p2. Now the two strategies of player B corresponding to those lines which pass through the maximum point can be determined
  • 25.
    • The mx 2 games are also treated in the same way except that the upper boundary of the st lines corresponding to B’s expected payoff will give the maximum expected payoff to player B and the lowest point on this boundary (upper envelope) will then give the minimum expected payoff and the optimum values of prob q1 and q2.
  • 26.
    Solve the gamegraphically with the following payoff matrix B1 B2 B3 B4 A1 8 5 -7 9 A2 -6 6 4 -2 When B chooses B1 expected payoff for A shall be 8 p1 + (-6)(1-p1) or 14 p1 -6 Similarly expected payoff functions in respect to B2,B3 and B4 can be derived as 6-p1; 4- 11p1 ; 11 p1 -2 resp. We can represent these graphically plotting each payoff as a function of p1
  • 28.
    • Lines aremarked B1,B2,B3 and B4 and they represent the respective strategies. For each value of p1 the height of the lines at that point denotes the payoff of each of B’s strategy against (p1,1-p1) for A.A is concerned with his least payoff when he plays a particular strategy, which is represented by the lowest of the four lines at that point and wishes to choose p1 in order to maximize this minimum payoff.
  • 29.
    • This isat K where the lower envelope lowest of the lines at his point is the highest. this point lies at the intersection of the lines representing B1 and B2 strategies.distance • KL = -0.4 represents the game value V • Alternatively the game can be written as a 2 by 2 game as follows with strategies A1 and A2 for A and B1 and B3 for B
  • 30.
    P L AA Y e r B1 B3 A1 A2 8 -7 -6 4 Player B Using algebraic method opt strategy for A and B are (2/5, 3/5) and (11/25, 0, 14/25,0)
  • 31.
    Theorem • Forany zero sum two person game where the optimum strategies are not pure and for player A payoff matrix is A, the optimal strategies are (x1,x2) and (y1,y2) given by • a a 22  21 a a 22  12 11 21 x and y and thevalueof the gameto Ais a a a a 11 22  12 21 ( 11 22) ( 12 21) 1 1 2 11 12 2 a a a a v a a y a a x        
  • 32.
    If (x1,x2) and(y1,y2)are the mixed strategies for players A and B resp then x1 +x2 = 1 y1 + y2 = 1 x1≥ 0, x2 ≥0, y1 ≥ 0 , y2 ≥ 0
  • 33.
    Expected gain toA when B uses strategy 1 a11 x1 + a21x2 Expected gain to A when B uses strategy II a12 x1 + a22x2 Similarly expected loss for B when A uses strategy I a11y1 +a12y2 Similarly expected loss for B when A uses strategy II a21 y1+ a22 y2
  • 34.
    • If vis the value of the game then • since A expects to get at least v • a11 x1 + a21x2 ≥ v • a12 x1 + a22x2 ≥ v • Also B expects atmost v • a11y1 +a12y2≤v • a21 y1+ a22 y2 ≤v
  • 35.
    a11 x1 +a21x2=v a12 x1 + a22x2 =v a11y1 +a12y2=v a21 y1+ a22 y2 =v (a11 – a12 ) x1 = (a22-a21) x2
  • 36.
    a a 2122 x similarly  a a 22  12 21 11 1 y 1 2 12 11 2 a a y a a x     Using the eq x1 +x2 =1 a a 22  21 a a 11  12 ( 11 22) ( 12 21) 2 ( 11 22) ( 12 21) 1 a a a a x a a a a x        
  • 37.
    similarly a a 22  12 a a 11  21 ( 11 22) ( 12 21) 2 ( 11 22) ( 12 21) 1 a a a a y a a a a y        
  • 38.
    Value of thegame a a a a 11 22  12 21 a a a a ( 11 22) ( 12 21) v    
  • 39.
    By using thedominance properties we always try to reduce the size of payoff matrix to 2 x 2. In case the payoff matrix reduces to size 2 x n or m x 2 then graphical method is used
  • 40.
    Q Solve thegame whose payoff matrix is -1 -2 8 7 5 -1 6 0 12 No saddle point exists, For A pure strategy I is dominated by strategy III. also for player B pure strategy I is dominated by strategy II.
  • 41.
    II III 5-1 0 12 II III a a 22  21 a a 11  12 ( 11 22) ( 12 21) 2 ( 11 22) ( 12 21) 1 a a a a x a a a a x         X1 = 2/3 X2 = 1/3
  • 42.
    a a 22 12 a a 11  21 ( 11 22) ( 12 21) 2 ( 11 22) ( 12 21) 1 a a a a y a a a a y         Y1 = 13/18 Y2 =5/18
  • 43.
    a a aa 11 22  12 21 a a a a ( 11 22) ( 12 21) v     Value of the game is 10/3 Thus optimal strategy for A is (0,2/3 1/3) And For B (0,13/18,5/18) Value of the game for A is 10/3
  • 44.
    Q: solve thegame whose pay off matrix is I Ii Iii iv I 1 3 -3 7 II 2 5 4 -6