Embed presentation







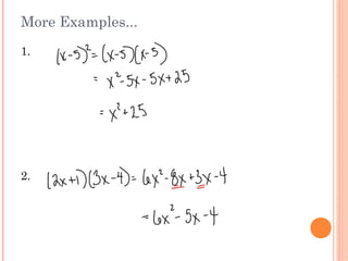
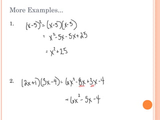
This document discusses techniques for multiplying polynomials including FOIL, the double distributive property, and squaring binomials. It provides examples of squaring binomial expressions like (x + 3)2 by multiplying (x + 3) by itself using FOIL. The document also lists more example problems but does not show the solutions.





