-Guided by Dr. Varsha Pokharkar.
Vice-Principal
HOD (Pharmaceutics)
- Represented by Swati Sen.
Roll no.-12
F.Y. M.Pharm Sem-II
(Pharmaceutics)
Contents > Introduction
> Mechanism of Mucoadhesion
> Theories of Mucoadhesion
> Factors affecting Mucoadhesion
> Mucoadhesive polymers
> Routes of administration
> Mucoadhesive dosage form
> Characterization methods
> Case study
> References
What is Bioadhesion / Mucoadhesion ?
 The term bioadhesion implies attachment of a drug carrier system
to a specified biological location.
 The biological surface can be epithelial tissue or it can be the mucus
coat on the surface of a tissue.
 The adhesive attachment of the drug carrier system to a mucous
coat/ layer, the phenomenon is referred to as mucoadhesion.
A bioadhesive polymer is a synthetic or natural polymer which binds
to biological substrates such as mucosal membranes.
Such polymers are sometimes referred to as biological ‘glues’
because they are incorporated into drugs to enable the drugs to bind to
their target tissues.
 Mucoadhesive drug delivery system interact with the
mucus layer covering the mucosal epithelial surface, &
mucin molecules & increase the residence time of the
dosage form at the site of the absorption.
 Mucoadhesive drug delivery system is a part of
controlled delivery system.
 Combining the mucoadhesive with the enzyme
inhibitory and enhances penetration and also improves
patient compliance.
Advantages Targeting & localization of the dosage form at a specific site.
High drug flux at the absorbing tissue.
Excellent accessibility.
Painless administration.
Low enzymatic activity & avoid of first pass metabolism.
Disadvantages If MDDS are adhere too tightly it exert too much force to remove the formulation after
use, otherwise the mucosa could be injured.
Medications administered orally do not enter the blood stream.
Lack of standardized techniques often lead to unclear results.
Costly drug delivery system
Some patient suffers unpleasant feeling.
Prolongation of residence time.
Ulcer causing drugs may precipitate ulcerogenic effect due to
increase in residence time.
What is mucous?
• Mucoadhesive inner layer called mucosa is the inner epithelial cell
lining covered with viscoelastic fluid.
• Composed of water and mucin.
• Thickness varies from 40μm to 300 μm
General composition of mucosa
• Water………………………………95%
• Glycoprotein and lipids…………0.5-5%
• Mineral salts……………………….1%
• Free proteins………………………0.5-1%
Mechanisms of Mucoadhesion
The mechanism of mucoadhesion is generally divided in two steps:
A) The Contact Stage and
B) The Consolidation Stage.
Mechanism Of Mucoadhesion
• The mechanism if responsible for the formation of the
mucoadhesive bond.
• Three steps are involved:
Step 1: wetting and swelling of the polymer(contact stage)
Step 2: interpenetration between the polymer chains and
the mucosal membrane.
Step 3: formation of bonds between the entangled chains
(both known as consolidation stage)
• The mechanisms governing mucoadhesion are also
determined by the intrinsic properties of the formulation
and by the environment in which it is applied.
Intrinsic factors of the polymer are related to its
• molecular weight,
• concentration and
• chain flexibility.
Theories
Adsorption
Wetting
DiffusionFracture
Electronic
Theories of Mucoadhesion
• Electronic theory
Electronic theory is based on the premise that both mucoadhesive and
biological materials possess opposing electrical charges.
• Adsorption theory
According to the adsorption theory, the mucoadhesive device adheres to the
mucus by secondary chemical interactions, such as in Van der Waals and
hydrogen bonds, electrostatic attraction or hydrophobic interactions.
For example, hydrogen bonds are the prevalent interfacial forces in polymers
containing carboxyl groups.
Thus, when both materials come into
contact, they transfer electrons leading to
the building of a double electronic layer at
the interface, where the attractive forces
within this electronic double layer
determines the mucoadhesive strength.
• Wetting theory
The wetting theory applies to liquid systems which
presents the affinity to the surface in order
to spread over it.
This affinity can be found by using measuring
techniques such as the contact angle. The general
rule states that
contact angle the affinity.
The contact angle should be equal or close to zero to
provide adequate spreadability.
The spreadability coefficient, SAB, can be calculated from the difference
between the surface energies γB and γA and the interfacial energy γAB, as
indicated as
The greater the individual surface energy of mucus and device in relation to
the interfacial energy, the greater the adhesion work, WA, i.e. the greater the
energy needed to separate the two phase
It is believed that the adhesion force increases with the degree of penetration
of the polymer chains.
The penetration rate depends on the diffusion coefficient, flexibility and
nature of the mucoadhesive chains, mobility and contact time.
• Diffusion interlocking theory
Diffusion theory describes the interpenetration of both polymer and mucin
chains to a sufficient depth to create a semi-permanent adhesive bond.
According to the literature, the depth of interpenetration required to produce
an efficient bioadhesive bond lies in the range 0.2-0.5 µm.
This interpenetration depth of polymer and mucin chains can be estimated by
the equation:
(3)
𝑤ℎ𝑒𝑟𝑒, 𝑡 𝑖𝑠 𝑡ℎ𝑒 𝑐𝑜𝑛𝑡𝑎𝑐𝑡 𝑡𝑖𝑚𝑒,
𝐷 𝑏 𝑖𝑠 𝑡ℎ𝑒 𝑑𝑖𝑓𝑓𝑢𝑠𝑖𝑜𝑛
𝑐𝑜𝑒𝑓𝑓𝑖𝑐𝑖𝑒𝑛𝑡.
• Fracture theory
The “fracture theory” relates the force for polymer detachment from the
mucus to the strength of their adhesive bond.
The fracture is found to be greater when the polymer network strands are
longer or the degree of cross-linking within the system is reduced.
This theory allows the determination of fracture strength (σ) following the
separation of two surfaces via its relationship to Young's modulus of
elasticity (E), the fracture energy (ε) and the critical crack length(L) through
following equation
(4)
Factors Affecting Mucoadhesion
A. Polymer related factors
a. Molecular weight
b. Chain length
c. Spatial arrangement
d. Flexibility
e. Hydration of polymer
f. Hydrogen bonding
g. Polymer concentration
B. Environmental factors
a. pH
b. Applied Strength
c. Contact Time
d. Swelling
C. Physiological factors
a. Mucin Turnover
b. Disease State
Mucoadhesive/ Bioadhesive Polymers
Oral mucoadhesive drug delivery system
• Oral route is most preferred route for the delivery of any drug.
In oral drug delivery, mucoadhesion is provided by the formation of
• non-covalent bonds such as hydrogen bonds and ionic interactions
or
• physical adhesion between the mucus layer and mucoadhesive
polymers.
Gingival
Sublingual
Buccal
Drug
delivery
Advantages
• The buccal cavity provides highly vascular mucous
membrane site for the administration of drugs.
• Drug degradation in stomach, first-pass metabolism is
avoided and therapeutic drug levels of drug can be
achieved rapidly.
• avoidance of pain and discomfort related with the
injections as well as the removal of potential infections
caused by the use of needles.
Components and the structural feature of
oral mucosa
• Oral cavity is the area of mouth delineated by the lips, cheeks, hard palate,
soft palate and floor of mouth.
A. Epithelium:
Oral
mucosa
epithelium
basement
membrane
• The epithelium consists stratified squamous epithelium.
• It serves as a protective covering from the tissue and barrier to the entry of
foreign materials.
• The stratified squamous epithelia consists of a mitotically active basal cell
layer, represent the major absorption sites in the oral cavity.
• Unlike the skin, which has a complete turnover period of 30 days, the oral
mucosa has a turnover time in the range of 3-8 days.
B. Basement membrane and
connective tissues:
• This layer is a continous layer of
extracellular materials and
forms a boundary between the
basal layer and the connective
tissues.
• This basal complex anchors the
epithelium to the connective
tissue and supplements the
barrier function of the
superficial layers of the
epithelium to prevent some
large molecules from passing
through the oral mucosa.
• The bulk of connective tissue
consists of a collagen fibre
network, the organization of
which determines mechanical
stability, resistance, to deformation and extendibilty of the
tissue.
• Oral mucoadhesive dosage forms readily consists of
three features as follows:
1. They are readily localized in the oral cavity to improve
and enhance the bioavailability
2. They facilitate intimate contact of the formulation with
the underlying adsorption surface
3. They allow the modification of the tissue permeability
for absorption of macromolecules
Eg: peptide protein
They also prolong the residence time of the dosage form
to permit once or twice-a-day dosing.
i. Buccal drug delivery
 The buccal epithelium is composed of approximately 40-50 cell
layers, while sublingual layer consist of fewer cell layers. In humans,
dogs, and rabbits, the buccal mucosa measures 500-800 pm in
thickness.
 The drug administration through the mucosal membrane lining of
the cheeks (buccal mucosa).
 The buccal region offers an attractive route of administration for the
controlled systemic drug delivery.
 Buccal ,mucosa has an expanse of smooth muscle and relatively
immobile mucosa which makes it more desirable region for
retentive system.
 Mucoadhesive dosage
forms in the buccal cavity
include :adhesive tablets,
adhesive gels, adhesive
patches, and adhesive
ointments.
Advantages Contact with the digestive fluid is avoided
Well known for its good accessibility to the membrane that lines the
oral cavity
Disadvantages Saliva is continously secreted into oral cavity diluting the drug
resulting low drug concerntration.
Taste, irirtancy, allergy, and adverse properties like discolouration or
erosion of teeth may limit the drug use.
Patient can terminate the delivery in case of emergencies
The novel buccal dosage formulations exhibit better patient
compliance
Conventional type of bucaal drug delivery system did not allow to
eat, drink, or talk(in some cases)
ii. Sublingual drug delivery
 The sublingual region generally shows
the higher drug permeability than the
buccal region.
 The substance is fastly absorbed via the blood vessels below the the
tongue rather than the digestive tract.
 This route is been used for delivery of drugs having rapid onset of
action.
Eg. Nitroglycerine.
 The latest developments have been applied to the treatment of
angina pectoris, cancer, and in the cure of smoking.
Advantages
• Fast onset of action is achieved
• Avoids first pass metabolism
• Low dosage give high efficacy as
hepatic first pass metabolism is
avoided.
• Large contact surface of the oral
cavity contributes to rapid
absorption
Disadvantages
• The sublingual administration
of drugs interferes with
drinking, eating and talking.
• Unconcious patient cannot
administer sublinguly
iii. Gingival drug delivery
The gingival mucosa is being exploited for the
application of sustained release mucoadhesive
dosage forms.
Buccal tablets adhere to the gingival
mucosa for a period of six hours, without
interffereing with the nomal functioning of the mouth.
This dosage form could provide a viable alternative to intra muscular
administration.
Mucoadhesive Dosage Form for Oral Drug Delivery
Nasal Drug Delivery
 The nasal route is an ideal alternative to
the parentrals for administering drugs
intended for systemic effect, in view of the rich
vascularity of the nasal membranes and the ease
of intranasal administration.
 Besides avoidance of hepatic first-pass elimination.
 Controlled release can achieved also be after nasal administration.
 A number of polymers used in nasal mucoadhesion have been
thoroughly tested in humans for other application and most have
already GRAS (Generally Regarded as Safe) status.
Ocular Drug Delivery
 Various strategies were developed to enhance the bioavailability of
ophthalmic drugs by prolonging the contact time between the
formulations and the corneal/conjunctival epithelium.
 Viscous semi-solid preparations, like gels and ointments, provide a
sustained contact with the eye, but they induce sticky sensation,
blurred vision, irritation and reflex blinking due to discomfort
 Mucoadhesive concept is now implemented as new approach to
optimise the ocular dosage form.
Mucoadhesive polymers action
carbopol 934P
& carbopol 1342-
prolongation of precorneal
residence time of liposomes
polyalkylcyanoacrylate
(PACA)
& poly-ε-caprolactone
(PECL) nanoparticles
improve the corneal
penetration of hydrophilic
and lipophilic drugs
 In particular, the effectiveness of of liposomes in ocular drug depends
on many factors but chiefly on the liposomal surface charge, which
determines the precorneal vesicle retention.
 It was concluded that positively charged liposomes add to the corneal
penetration of drugs as compared to neutral or negatively charged
liposomes.
Vaginal and Rectal Drug Delivery
 Vaginal Bioadhesive preparations have been developed
as a new type of controlled-release form for the
treatment of both topical and systemic diseases.
+ The greatest advantage of such dosage forms is the
possibility of maintaining them in the vagina for extended
periods of time including daytime and nighttime, thereby
enabling lower dosing frequencies.
 Drugs administered rectally as a suppository
Different types of mucoadhesive dosage forms Delivery route
Delivery
routes
Dosage form
tablets ointments gel patch film
Buccal Theophyllin
e, multiple
polymers
Benzyl
nicotinate,m
ultiple
polymers,
Benzydamine,
chitosan
derivative,
Miconazole,
PVA/PVP
Fentanyl,
PVP
Nasal N/A Mupirocin,
glycerin
ester
Insulin,starch Insulin,
chitosan/PEG
Chlorpromaz
ine,chitosan/
pectin
Occular Diclofenac,
poly(acrylic)
acid
Sulphadicra
mide,
multiple
polymers
Puerarin,poloxa
mer/carbopol
Ciprofloxacin,
PVA/CMC
Fluorescein,
HPMC
Vaginal Metronidazo
le, chitosan
Terameproc
ol, white
petroleum
Amphotericin,
pluronic
ALA,
PMVE/MA
SDS, multiple
polymers
Rectal Ramosetron,
carbopol
Zinc oxide,
petroleum
Quinine, HPMC N/A Theophylline,
pHEMA
Mucoadhesive dosage form:
Semisolids > gels and ointment
> films
>patches
Solids >tablets
>matrix tablets
>bioadhesive microparticles
Liquids >suspensions
>gel forming liquids
Mucoadhesivedosage
forms
• Tablets
 Generally they are prepared by direct compression, but wet
granulation techniques can also be used.
 To get sustained release and more mucoadhesion, tablets can be
coated with water impermeable materials.
 Example: ethyl-cellulose and hydrogenated castor oil.
 Multilayered tablets might be designed by successively adding and
compressing the ingredients layer by layer.
 Sometimes mucoadhesive microspheres are also formulated, prior
to direct compression into tablets so as to get enhanced action and
prolonged drug release.
 Adhesive tablets: Unlike conventional tablets, bioadhesive tablets
allow drinking and speaking without major discomfort.
Eg: Triamcinolone acetonide has been formulated as a bioadhesive
tablet for the treatment of aphthous stomatitis.
• Matrix tablets: (a) monolithic
(b) two layered tablets
• In monolithic tablets:- mixture of drug + swelling
bioadhesive polymer bidirectional release and outer side
coated with impermeable hydrophobic substance.
• In two layered matrix tablets:- comprises of an inner
layer based on bioadhesive polymer and an outer non-
bioadhesive layer containing the drug for a bi-directional
release but only local action.
• In case of systemic outer layer is inert and acts as a protective
layer.
• Patches:
 Buccal patch is a non-dissolving thin matrix modified release
dosage form composed of one or more polymer films or layers
containing drug and/or other excipients.
 The patch contains a mucoadhesive polymer layer which bonds to
the oral mucosa, gingiva, or teeth for control drug release in oral
mucosa, oral cavity or both.
 Mucoadhesive buccal patches can be prepared either by solvent
casting or direct milling.
 The size of the patches can vary from 1 to 15𝑐𝑚2. The smaller the
size, the more convenient and comfortable are the patches. Patches
may be
 An impermeable backing
layer may also be applied
to control the direction of
drug release, prevent drug loss,
and minimize deformation and
disintegration of the device.
• In solvent casting method,
• In direct milling method,
casting the solution of the
drug and polymers onto
backing layer sheet
Patches are
prepared
Solvent is
allowed to
evaporate
formulation
constituents are
homogeneously
mixed
compressed (for
required thickness )
patches
(required)size and
shape then cut or
punched out.
• Films:
 films are the recently formulated
dosage form for buccal administration
which are preferred over mucoadhesive
buccal tablets in terms of flexibility and
comfort and can also avoid the comparatively short residence time of
oral gels on the mucosa, which are easily removed by saliva.
 Besides, the buccal films also take care of the wound surface in local
delivery for oral infections, thus reduce pain and do effective
treatment.
 They are generally prepared by a solvent casting method
drug and polymers are
dissolved in a casting
solvent
mixture solution is
casted into films,
dried,
laminated
with a backing layer.
• Gels and ointments:
 Gels and ointments are semisolid dosage forms with the
advantages of uncomplicated dispersion throughout the
oral mucosa. But, dosing from semisolid dosage forms
not much as exact as from tablets, patches, or films.
 Mucoadhesive formulations are used to defeat the poor
retention time of gels.
 Bioadhesive polymers,
e.g. poloxamer 407,
sodium carboxy methylcellulose,
carbopol, hyaluronic acid, and xanthan gum, go through a
phase transition from a liquid to a semisolid
Mucoadhesion Characterization Methods
Mucoadhesive polymers can be characterised by testing their
adhesion strength by –
A. in vitro/ ex vivo and
B. in vivo tests.
A. In Vitro Tests/ ex-vivo:
a. Tensile Strength Test:
It measures the force required
to break the adhesive bond
between a mucous
membrane and the
polymers.
The instruments usually
employed are modified
balances or tensile testers.
Bioadhesion Measurements by Tensile Strength
b. Shear Strength test:
• Shear stress measures the force that causes the bio- adhesive to slide
with respect to the mucus layer in a direction parallel to their plane
of contact. the weight required to detach the adhesive cup from the
mucosa was recorded using following formula
Force of adhesion 𝑁 =
𝑊𝑒𝑖𝑔ℎ𝑡 𝑔
1000
∗ 9.81
Bond strength(𝑁/𝑚2
)=
𝐹𝑜𝑟𝑐𝑒 𝑜𝑓𝑎𝑑ℎ𝑒𝑠𝑖𝑜𝑛 𝑁
𝑠𝑢𝑟𝑓𝑎𝑐𝑒 𝑎𝑟𝑒𝑎 𝑜𝑓 𝑐𝑢𝑝 (𝑚2)
c. Peel strength
• Peel strength is the amount of force or energy required for
tangential detachment of mucoadhesive formulation (cups) from
freshly excised bovine buccal mucosa.
• The test has shown limited use for mucoadhesive formulations.
However, for the patches it is of great value.
• The stress in this test is mainly focused at the edge of adhesive
system.
Bioadhesion Measurements by Shear Strength
d. in vitro retention time : The time for complete erosion or detachment
of the formulation is recorded.
 A mucoadhesive cup was pressed over the excised bovine buccal
mucosa for 30s > immersed in a beaker containing 500 ml of isotonic
phosphate buffer (pH 6.6) at 37 ± 0.2 °C. A stirrer was fitted at a
distance of 5 cm from the assembly and rotated at 25 rpm > time
recorded.
e. Ex vivo mucoadhesion time (for patches): The time required for
complete detachment of the patch from the mucosal surface was
recorded.
 Phosphate buffer pH 6.6 (800 ml) was used as disintegration
medium maintained at 37 °C > Porcine check mucosa, 3 cm long,
was attached to the surface of a glass slab (vertically attached to the
apparatus)> patch was then hydrated from one surface with 15 μl
phosphate buffer and then it was brought into contact with the
mucosal membrane. The apparatus was allowed to move up and
down to immerse the patch completely in the buffer solution.
f. Rheological methods : An in vitro rheological method for polymeric solution
and gels was first proposed by Hassan and Gallo.
 The viscosimetric changes of the system were monitored ensuing the
mucoadhesion force determination constituted by the polymer chosen and
mucin. This interaction force energy of the physical and chemical bonds of
the mucin–polymer then transformed into mechanical energy or work
which causes the change in viscosity.
 It was exposed that the mixture of polymeric gel and mucin solution
showed more rheological response than the sum of the values of polymer
and mucin.
ηt = ηm + ηp + ηb
where ηt - coefficient of viscosity of the system, and
ηm and ηp are the coefficients of viscosity of mucin and bioadhesive
polymer, respectively.
The bioadhesion component, ηb, can be obtained as
ηb = ηt – ηm – ηp
The bioadhesion force, F, is given as
𝐹 = η 𝑏 𝜎 𝑤ℎ𝑒𝑟𝑒 𝜎= shear gradient
g. Other In Vitro Methods
i. Adhesion Weight Method
ii. Fluorescent Probe Method
iii. Flow Channel Method
iv. Mechanical Spectroscopic
Method
v. Falling Liquid Film Method
vi. Colloidal Gold Staining
Method
vii. Viscometric method
viii. Thumb Test
ix. Adhesion Number
x. Electrical Conductance
B. In vivo tests
The common in vivo tests to montior bioadhesion
include:
1. Use of radioisotopes
2. Use of gamma scintigraphy
3. Use of pharmacoscintigraphy
4. Use of electron paramagnetic resonance(EPR)
oximetry
5. X-ray studies
6. Isolated-loop technique
7. Bioavailability studies
Case study
Preparation and Evaluation of Buccal Bioadhesive Films
Containing Clotrimazole
Department of Pharmaceutics, Institute of Technology, Banaras Hindu University, Varanasi 221005, India. Department of
Pharmacology, Institute of Medical Sciences, Banaras Hindu University, Varanasi 221005, India. Department of
Microbiology, Institute of Medical Sciences, Banaras Hindu University, Varanasi 221005, India.
Authors: 𝑺. 𝑺𝒊𝒏𝒈𝒉, 𝟏,𝟒
𝑺. 𝑱𝒂𝒊𝒏, 𝟏
𝑴. 𝑺. 𝑴𝒖𝒕𝒉𝒖, 𝟐
𝑺. 𝑻𝒊𝒘𝒂𝒓𝒊, 𝟏
𝐚𝐧𝐝, 𝑹. 𝑺. 𝑻𝒊𝒍𝒂𝒌 𝟑
Journal: AAPS PharmSciTech, Vol. 9, No. 2, June 2008
Abstract:
 Buccal bioadhesive films, releasing topical drugs in the oral cavity at a slow and
predetermined rate, provide distinct advantages over traditional dosage forms
 The aim of present study was to prepare and evaluate buccal bioadhesive films
of clotrimazole for oral candidiasis.
 The film was designed to release the drug at a concentration above the
minimum inhibitory concentration for a prolonged period of time so as to
reduce the frequency of administration of the available conventional dosage
forms.
Materials: Clotrimazole (CLZ), Sodium carboxy methyl cellulose (SCMC), carbopol
974 P (CP 974P), sabouraud dextrose agar (SDA) with chloramphenicol and
glycerol.
Preparation of the Buccal Bioadhesive Films (solvent casting
technique)
Weighed amount of CP
974P added to one-third
portion of DDW
CLZ dissolved in a minimum vol.
of ethanol > added to SCMC
contained in a dry beaker.
Add the other two-third
portion of DDW to the above
mixture with stirring to form
a homogeneous dispersion
add CP 974P solution &
glycerol to dispersion of
SCMC and stirred for 3
h
bubble-free gel poured
on a borosilicate glass
mould (10× 10×1.5 cm),
films were cut into smaller pieces
of 1×1 cm sizes, wrapped in
aluminum foil and stored in glass
containers
stirred for 1 h.
allowed to settle
>dried under hot air
at 40–45 °C for 16–20
h till a flexible film
formed
Characterization:
• Weight Uniformity
• Thickness Testing
• Folding Endurance
• Drug Content Uniformity
• Microenvironment pH
• Swelling Studies of Buccal Bioadhesive CTZ Films
• Moisture Absorption
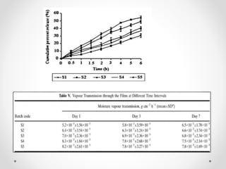
• Vapor Transmission
• Mechanical Characterization of the Films
• Bioadhesive Strength
• In vitro drug release
• Antifungal Efficacy of Buccal Bioadhesive Films
I. Preparation of the Agar Plates
II. Agar Diffusion Assay of CTZ Films
• Statistical Analysis(ANOVA; p<0.05)
Results:
• Discussion:
 The microenvironment pH of different batches decreased with the
increasing concentration of CP 974P due to its acidic nature. The
decrease in pH may lead to mucosal irritation.
 Folding endurance was found to more than 300 for each case,
indicative of reasonable flexibility of the films.
 Adhesion occurs shortly after the beginning of swelling but the
bond formed between mucosal layer and polymer is not very strong.
 The adhesion will increase with the degree of hydration until a
point where over hydration leads to an abrupt drop in adhesive
strength due to disentanglement at the polymer/tissue interface
.
Conclusion
• Present study showed the in-vitro efficacy of buccal bioadhesive films
of CTZ against C. albicans for prolonged period of time.
• Percent moisture absorbed decreased while vapor transmission rate
increased with increasing the concentration of CP 974P. Increase in CP
974P content reduced both the tensile strength and elongation break.
• The prepared buccal bioadhesive films provided a controlled and
prolonged in-vitro release of CTZ. Duration of growth inhibition
(antifungal activity) of buccal bioadhesive films of CTZ was
prolonged up to 6 h. This would be important for better patient
compliance because of the decrease in the frequency of
administration.
Reference
• Novel drug delivery system; Author: D.K Jain, Nirali Prakashan, Pg
no.5.1-5.30
• Mucoadhesion: A promising approach in drug delivery system;
Author: Shakir Mansuri a, Prashant Kesharwani, et.al. Journal:
Reactive and Functional Polymers 100 (2016) 151–172.
• Controlled and Novel Drug Delivery by N.K.Jain. Pg no. 365-376.
• A. Ahuja, R.K. Khar, J. Ali, Mucoadhesive drug delivery systems,
Drug Dev. Ind. Pharm. 23 (1997) 489–515.
• Mucoadhesive drug delivery system: an overview Author: Parijat
Pandey, Manisha Saini, Neeta; Journal: PHARMACEUTICAL AND
BIOLOGICAL EVALUATIONS August 2017; Vol. 4 (Issue 4): 183-
187.
Mucosal Drug Delivery System

Mucosal Drug Delivery System

  • 1.
    -Guided by Dr.Varsha Pokharkar. Vice-Principal HOD (Pharmaceutics) - Represented by Swati Sen. Roll no.-12 F.Y. M.Pharm Sem-II (Pharmaceutics)
  • 2.
    Contents > Introduction >Mechanism of Mucoadhesion > Theories of Mucoadhesion > Factors affecting Mucoadhesion > Mucoadhesive polymers > Routes of administration > Mucoadhesive dosage form > Characterization methods > Case study > References
  • 3.
    What is Bioadhesion/ Mucoadhesion ?  The term bioadhesion implies attachment of a drug carrier system to a specified biological location.  The biological surface can be epithelial tissue or it can be the mucus coat on the surface of a tissue.  The adhesive attachment of the drug carrier system to a mucous coat/ layer, the phenomenon is referred to as mucoadhesion. A bioadhesive polymer is a synthetic or natural polymer which binds to biological substrates such as mucosal membranes. Such polymers are sometimes referred to as biological ‘glues’ because they are incorporated into drugs to enable the drugs to bind to their target tissues.
  • 4.
     Mucoadhesive drugdelivery system interact with the mucus layer covering the mucosal epithelial surface, & mucin molecules & increase the residence time of the dosage form at the site of the absorption.  Mucoadhesive drug delivery system is a part of controlled delivery system.  Combining the mucoadhesive with the enzyme inhibitory and enhances penetration and also improves patient compliance.
  • 5.
    Advantages Targeting &localization of the dosage form at a specific site. High drug flux at the absorbing tissue. Excellent accessibility. Painless administration. Low enzymatic activity & avoid of first pass metabolism. Disadvantages If MDDS are adhere too tightly it exert too much force to remove the formulation after use, otherwise the mucosa could be injured. Medications administered orally do not enter the blood stream. Lack of standardized techniques often lead to unclear results. Costly drug delivery system Some patient suffers unpleasant feeling. Prolongation of residence time. Ulcer causing drugs may precipitate ulcerogenic effect due to increase in residence time.
  • 6.
    What is mucous? •Mucoadhesive inner layer called mucosa is the inner epithelial cell lining covered with viscoelastic fluid. • Composed of water and mucin. • Thickness varies from 40μm to 300 μm General composition of mucosa • Water………………………………95% • Glycoprotein and lipids…………0.5-5% • Mineral salts……………………….1% • Free proteins………………………0.5-1%
  • 8.
    Mechanisms of Mucoadhesion Themechanism of mucoadhesion is generally divided in two steps: A) The Contact Stage and B) The Consolidation Stage.
  • 9.
    Mechanism Of Mucoadhesion •The mechanism if responsible for the formation of the mucoadhesive bond. • Three steps are involved: Step 1: wetting and swelling of the polymer(contact stage) Step 2: interpenetration between the polymer chains and the mucosal membrane. Step 3: formation of bonds between the entangled chains (both known as consolidation stage)
  • 10.
    • The mechanismsgoverning mucoadhesion are also determined by the intrinsic properties of the formulation and by the environment in which it is applied. Intrinsic factors of the polymer are related to its • molecular weight, • concentration and • chain flexibility.
  • 11.
  • 12.
    Theories of Mucoadhesion •Electronic theory Electronic theory is based on the premise that both mucoadhesive and biological materials possess opposing electrical charges. • Adsorption theory According to the adsorption theory, the mucoadhesive device adheres to the mucus by secondary chemical interactions, such as in Van der Waals and hydrogen bonds, electrostatic attraction or hydrophobic interactions. For example, hydrogen bonds are the prevalent interfacial forces in polymers containing carboxyl groups. Thus, when both materials come into contact, they transfer electrons leading to the building of a double electronic layer at the interface, where the attractive forces within this electronic double layer determines the mucoadhesive strength.
  • 13.
    • Wetting theory Thewetting theory applies to liquid systems which presents the affinity to the surface in order to spread over it. This affinity can be found by using measuring techniques such as the contact angle. The general rule states that contact angle the affinity. The contact angle should be equal or close to zero to provide adequate spreadability. The spreadability coefficient, SAB, can be calculated from the difference between the surface energies γB and γA and the interfacial energy γAB, as indicated as The greater the individual surface energy of mucus and device in relation to the interfacial energy, the greater the adhesion work, WA, i.e. the greater the energy needed to separate the two phase
  • 14.
    It is believedthat the adhesion force increases with the degree of penetration of the polymer chains. The penetration rate depends on the diffusion coefficient, flexibility and nature of the mucoadhesive chains, mobility and contact time. • Diffusion interlocking theory Diffusion theory describes the interpenetration of both polymer and mucin chains to a sufficient depth to create a semi-permanent adhesive bond. According to the literature, the depth of interpenetration required to produce an efficient bioadhesive bond lies in the range 0.2-0.5 µm. This interpenetration depth of polymer and mucin chains can be estimated by the equation: (3) 𝑤ℎ𝑒𝑟𝑒, 𝑡 𝑖𝑠 𝑡ℎ𝑒 𝑐𝑜𝑛𝑡𝑎𝑐𝑡 𝑡𝑖𝑚𝑒, 𝐷 𝑏 𝑖𝑠 𝑡ℎ𝑒 𝑑𝑖𝑓𝑓𝑢𝑠𝑖𝑜𝑛 𝑐𝑜𝑒𝑓𝑓𝑖𝑐𝑖𝑒𝑛𝑡.
  • 15.
    • Fracture theory The“fracture theory” relates the force for polymer detachment from the mucus to the strength of their adhesive bond. The fracture is found to be greater when the polymer network strands are longer or the degree of cross-linking within the system is reduced. This theory allows the determination of fracture strength (σ) following the separation of two surfaces via its relationship to Young's modulus of elasticity (E), the fracture energy (ε) and the critical crack length(L) through following equation (4)
  • 16.
    Factors Affecting Mucoadhesion A.Polymer related factors a. Molecular weight b. Chain length c. Spatial arrangement d. Flexibility e. Hydration of polymer f. Hydrogen bonding g. Polymer concentration B. Environmental factors a. pH b. Applied Strength c. Contact Time d. Swelling C. Physiological factors a. Mucin Turnover b. Disease State
  • 17.
  • 19.
    Oral mucoadhesive drugdelivery system • Oral route is most preferred route for the delivery of any drug. In oral drug delivery, mucoadhesion is provided by the formation of • non-covalent bonds such as hydrogen bonds and ionic interactions or • physical adhesion between the mucus layer and mucoadhesive polymers. Gingival Sublingual Buccal Drug delivery
  • 20.
    Advantages • The buccalcavity provides highly vascular mucous membrane site for the administration of drugs. • Drug degradation in stomach, first-pass metabolism is avoided and therapeutic drug levels of drug can be achieved rapidly. • avoidance of pain and discomfort related with the injections as well as the removal of potential infections caused by the use of needles.
  • 21.
    Components and thestructural feature of oral mucosa • Oral cavity is the area of mouth delineated by the lips, cheeks, hard palate, soft palate and floor of mouth. A. Epithelium: Oral mucosa epithelium basement membrane • The epithelium consists stratified squamous epithelium. • It serves as a protective covering from the tissue and barrier to the entry of foreign materials. • The stratified squamous epithelia consists of a mitotically active basal cell layer, represent the major absorption sites in the oral cavity.
  • 22.
    • Unlike theskin, which has a complete turnover period of 30 days, the oral mucosa has a turnover time in the range of 3-8 days. B. Basement membrane and connective tissues: • This layer is a continous layer of extracellular materials and forms a boundary between the basal layer and the connective tissues. • This basal complex anchors the epithelium to the connective tissue and supplements the barrier function of the superficial layers of the epithelium to prevent some large molecules from passing through the oral mucosa. • The bulk of connective tissue consists of a collagen fibre network, the organization of which determines mechanical
  • 23.
    stability, resistance, todeformation and extendibilty of the tissue. • Oral mucoadhesive dosage forms readily consists of three features as follows: 1. They are readily localized in the oral cavity to improve and enhance the bioavailability 2. They facilitate intimate contact of the formulation with the underlying adsorption surface 3. They allow the modification of the tissue permeability for absorption of macromolecules Eg: peptide protein They also prolong the residence time of the dosage form to permit once or twice-a-day dosing.
  • 24.
    i. Buccal drugdelivery  The buccal epithelium is composed of approximately 40-50 cell layers, while sublingual layer consist of fewer cell layers. In humans, dogs, and rabbits, the buccal mucosa measures 500-800 pm in thickness.  The drug administration through the mucosal membrane lining of the cheeks (buccal mucosa).  The buccal region offers an attractive route of administration for the controlled systemic drug delivery.  Buccal ,mucosa has an expanse of smooth muscle and relatively immobile mucosa which makes it more desirable region for retentive system.  Mucoadhesive dosage forms in the buccal cavity include :adhesive tablets, adhesive gels, adhesive patches, and adhesive ointments.
  • 25.
    Advantages Contact withthe digestive fluid is avoided Well known for its good accessibility to the membrane that lines the oral cavity Disadvantages Saliva is continously secreted into oral cavity diluting the drug resulting low drug concerntration. Taste, irirtancy, allergy, and adverse properties like discolouration or erosion of teeth may limit the drug use. Patient can terminate the delivery in case of emergencies The novel buccal dosage formulations exhibit better patient compliance Conventional type of bucaal drug delivery system did not allow to eat, drink, or talk(in some cases)
  • 26.
    ii. Sublingual drugdelivery  The sublingual region generally shows the higher drug permeability than the buccal region.  The substance is fastly absorbed via the blood vessels below the the tongue rather than the digestive tract.  This route is been used for delivery of drugs having rapid onset of action. Eg. Nitroglycerine.  The latest developments have been applied to the treatment of angina pectoris, cancer, and in the cure of smoking.
  • 27.
    Advantages • Fast onsetof action is achieved • Avoids first pass metabolism • Low dosage give high efficacy as hepatic first pass metabolism is avoided. • Large contact surface of the oral cavity contributes to rapid absorption Disadvantages • The sublingual administration of drugs interferes with drinking, eating and talking. • Unconcious patient cannot administer sublinguly
  • 28.
    iii. Gingival drugdelivery The gingival mucosa is being exploited for the application of sustained release mucoadhesive dosage forms. Buccal tablets adhere to the gingival mucosa for a period of six hours, without interffereing with the nomal functioning of the mouth. This dosage form could provide a viable alternative to intra muscular administration.
  • 29.
    Mucoadhesive Dosage Formfor Oral Drug Delivery
  • 30.
    Nasal Drug Delivery The nasal route is an ideal alternative to the parentrals for administering drugs intended for systemic effect, in view of the rich vascularity of the nasal membranes and the ease of intranasal administration.  Besides avoidance of hepatic first-pass elimination.  Controlled release can achieved also be after nasal administration.  A number of polymers used in nasal mucoadhesion have been thoroughly tested in humans for other application and most have already GRAS (Generally Regarded as Safe) status.
  • 31.
    Ocular Drug Delivery Various strategies were developed to enhance the bioavailability of ophthalmic drugs by prolonging the contact time between the formulations and the corneal/conjunctival epithelium.  Viscous semi-solid preparations, like gels and ointments, provide a sustained contact with the eye, but they induce sticky sensation, blurred vision, irritation and reflex blinking due to discomfort  Mucoadhesive concept is now implemented as new approach to optimise the ocular dosage form.
  • 32.
    Mucoadhesive polymers action carbopol934P & carbopol 1342- prolongation of precorneal residence time of liposomes polyalkylcyanoacrylate (PACA) & poly-ε-caprolactone (PECL) nanoparticles improve the corneal penetration of hydrophilic and lipophilic drugs  In particular, the effectiveness of of liposomes in ocular drug depends on many factors but chiefly on the liposomal surface charge, which determines the precorneal vesicle retention.  It was concluded that positively charged liposomes add to the corneal penetration of drugs as compared to neutral or negatively charged liposomes.
  • 33.
    Vaginal and RectalDrug Delivery  Vaginal Bioadhesive preparations have been developed as a new type of controlled-release form for the treatment of both topical and systemic diseases. + The greatest advantage of such dosage forms is the possibility of maintaining them in the vagina for extended periods of time including daytime and nighttime, thereby enabling lower dosing frequencies.  Drugs administered rectally as a suppository
  • 34.
    Different types ofmucoadhesive dosage forms Delivery route Delivery routes Dosage form tablets ointments gel patch film Buccal Theophyllin e, multiple polymers Benzyl nicotinate,m ultiple polymers, Benzydamine, chitosan derivative, Miconazole, PVA/PVP Fentanyl, PVP Nasal N/A Mupirocin, glycerin ester Insulin,starch Insulin, chitosan/PEG Chlorpromaz ine,chitosan/ pectin Occular Diclofenac, poly(acrylic) acid Sulphadicra mide, multiple polymers Puerarin,poloxa mer/carbopol Ciprofloxacin, PVA/CMC Fluorescein, HPMC Vaginal Metronidazo le, chitosan Terameproc ol, white petroleum Amphotericin, pluronic ALA, PMVE/MA SDS, multiple polymers Rectal Ramosetron, carbopol Zinc oxide, petroleum Quinine, HPMC N/A Theophylline, pHEMA
  • 35.
    Mucoadhesive dosage form: Semisolids> gels and ointment > films >patches Solids >tablets >matrix tablets >bioadhesive microparticles Liquids >suspensions >gel forming liquids Mucoadhesivedosage forms
  • 36.
    • Tablets  Generallythey are prepared by direct compression, but wet granulation techniques can also be used.  To get sustained release and more mucoadhesion, tablets can be coated with water impermeable materials.  Example: ethyl-cellulose and hydrogenated castor oil.  Multilayered tablets might be designed by successively adding and compressing the ingredients layer by layer.  Sometimes mucoadhesive microspheres are also formulated, prior to direct compression into tablets so as to get enhanced action and prolonged drug release.  Adhesive tablets: Unlike conventional tablets, bioadhesive tablets allow drinking and speaking without major discomfort. Eg: Triamcinolone acetonide has been formulated as a bioadhesive tablet for the treatment of aphthous stomatitis.
  • 37.
    • Matrix tablets:(a) monolithic (b) two layered tablets • In monolithic tablets:- mixture of drug + swelling bioadhesive polymer bidirectional release and outer side coated with impermeable hydrophobic substance. • In two layered matrix tablets:- comprises of an inner layer based on bioadhesive polymer and an outer non- bioadhesive layer containing the drug for a bi-directional release but only local action. • In case of systemic outer layer is inert and acts as a protective layer.
  • 38.
    • Patches:  Buccalpatch is a non-dissolving thin matrix modified release dosage form composed of one or more polymer films or layers containing drug and/or other excipients.  The patch contains a mucoadhesive polymer layer which bonds to the oral mucosa, gingiva, or teeth for control drug release in oral mucosa, oral cavity or both.  Mucoadhesive buccal patches can be prepared either by solvent casting or direct milling.  The size of the patches can vary from 1 to 15𝑐𝑚2. The smaller the size, the more convenient and comfortable are the patches. Patches may be  An impermeable backing layer may also be applied to control the direction of drug release, prevent drug loss, and minimize deformation and disintegration of the device.
  • 39.
    • In solventcasting method, • In direct milling method, casting the solution of the drug and polymers onto backing layer sheet Patches are prepared Solvent is allowed to evaporate formulation constituents are homogeneously mixed compressed (for required thickness ) patches (required)size and shape then cut or punched out.
  • 40.
    • Films:  filmsare the recently formulated dosage form for buccal administration which are preferred over mucoadhesive buccal tablets in terms of flexibility and comfort and can also avoid the comparatively short residence time of oral gels on the mucosa, which are easily removed by saliva.  Besides, the buccal films also take care of the wound surface in local delivery for oral infections, thus reduce pain and do effective treatment.  They are generally prepared by a solvent casting method drug and polymers are dissolved in a casting solvent mixture solution is casted into films, dried, laminated with a backing layer.
  • 41.
    • Gels andointments:  Gels and ointments are semisolid dosage forms with the advantages of uncomplicated dispersion throughout the oral mucosa. But, dosing from semisolid dosage forms not much as exact as from tablets, patches, or films.  Mucoadhesive formulations are used to defeat the poor retention time of gels.  Bioadhesive polymers, e.g. poloxamer 407, sodium carboxy methylcellulose, carbopol, hyaluronic acid, and xanthan gum, go through a phase transition from a liquid to a semisolid
  • 43.
    Mucoadhesion Characterization Methods Mucoadhesivepolymers can be characterised by testing their adhesion strength by – A. in vitro/ ex vivo and B. in vivo tests. A. In Vitro Tests/ ex-vivo: a. Tensile Strength Test: It measures the force required to break the adhesive bond between a mucous membrane and the polymers. The instruments usually employed are modified balances or tensile testers.
  • 44.
  • 45.
    b. Shear Strengthtest: • Shear stress measures the force that causes the bio- adhesive to slide with respect to the mucus layer in a direction parallel to their plane of contact. the weight required to detach the adhesive cup from the mucosa was recorded using following formula Force of adhesion 𝑁 = 𝑊𝑒𝑖𝑔ℎ𝑡 𝑔 1000 ∗ 9.81 Bond strength(𝑁/𝑚2 )= 𝐹𝑜𝑟𝑐𝑒 𝑜𝑓𝑎𝑑ℎ𝑒𝑠𝑖𝑜𝑛 𝑁 𝑠𝑢𝑟𝑓𝑎𝑐𝑒 𝑎𝑟𝑒𝑎 𝑜𝑓 𝑐𝑢𝑝 (𝑚2) c. Peel strength • Peel strength is the amount of force or energy required for tangential detachment of mucoadhesive formulation (cups) from freshly excised bovine buccal mucosa. • The test has shown limited use for mucoadhesive formulations. However, for the patches it is of great value. • The stress in this test is mainly focused at the edge of adhesive system.
  • 46.
  • 47.
    d. in vitroretention time : The time for complete erosion or detachment of the formulation is recorded.  A mucoadhesive cup was pressed over the excised bovine buccal mucosa for 30s > immersed in a beaker containing 500 ml of isotonic phosphate buffer (pH 6.6) at 37 ± 0.2 °C. A stirrer was fitted at a distance of 5 cm from the assembly and rotated at 25 rpm > time recorded. e. Ex vivo mucoadhesion time (for patches): The time required for complete detachment of the patch from the mucosal surface was recorded.  Phosphate buffer pH 6.6 (800 ml) was used as disintegration medium maintained at 37 °C > Porcine check mucosa, 3 cm long, was attached to the surface of a glass slab (vertically attached to the apparatus)> patch was then hydrated from one surface with 15 μl phosphate buffer and then it was brought into contact with the mucosal membrane. The apparatus was allowed to move up and down to immerse the patch completely in the buffer solution.
  • 48.
    f. Rheological methods: An in vitro rheological method for polymeric solution and gels was first proposed by Hassan and Gallo.  The viscosimetric changes of the system were monitored ensuing the mucoadhesion force determination constituted by the polymer chosen and mucin. This interaction force energy of the physical and chemical bonds of the mucin–polymer then transformed into mechanical energy or work which causes the change in viscosity.  It was exposed that the mixture of polymeric gel and mucin solution showed more rheological response than the sum of the values of polymer and mucin. ηt = ηm + ηp + ηb where ηt - coefficient of viscosity of the system, and ηm and ηp are the coefficients of viscosity of mucin and bioadhesive polymer, respectively. The bioadhesion component, ηb, can be obtained as ηb = ηt – ηm – ηp The bioadhesion force, F, is given as 𝐹 = η 𝑏 𝜎 𝑤ℎ𝑒𝑟𝑒 𝜎= shear gradient
  • 49.
    g. Other InVitro Methods i. Adhesion Weight Method ii. Fluorescent Probe Method iii. Flow Channel Method iv. Mechanical Spectroscopic Method v. Falling Liquid Film Method vi. Colloidal Gold Staining Method vii. Viscometric method viii. Thumb Test ix. Adhesion Number x. Electrical Conductance
  • 50.
    B. In vivotests The common in vivo tests to montior bioadhesion include: 1. Use of radioisotopes 2. Use of gamma scintigraphy 3. Use of pharmacoscintigraphy 4. Use of electron paramagnetic resonance(EPR) oximetry 5. X-ray studies 6. Isolated-loop technique 7. Bioavailability studies
  • 51.
    Case study Preparation andEvaluation of Buccal Bioadhesive Films Containing Clotrimazole Department of Pharmaceutics, Institute of Technology, Banaras Hindu University, Varanasi 221005, India. Department of Pharmacology, Institute of Medical Sciences, Banaras Hindu University, Varanasi 221005, India. Department of Microbiology, Institute of Medical Sciences, Banaras Hindu University, Varanasi 221005, India. Authors: 𝑺. 𝑺𝒊𝒏𝒈𝒉, 𝟏,𝟒 𝑺. 𝑱𝒂𝒊𝒏, 𝟏 𝑴. 𝑺. 𝑴𝒖𝒕𝒉𝒖, 𝟐 𝑺. 𝑻𝒊𝒘𝒂𝒓𝒊, 𝟏 𝐚𝐧𝐝, 𝑹. 𝑺. 𝑻𝒊𝒍𝒂𝒌 𝟑 Journal: AAPS PharmSciTech, Vol. 9, No. 2, June 2008 Abstract:  Buccal bioadhesive films, releasing topical drugs in the oral cavity at a slow and predetermined rate, provide distinct advantages over traditional dosage forms  The aim of present study was to prepare and evaluate buccal bioadhesive films of clotrimazole for oral candidiasis.  The film was designed to release the drug at a concentration above the minimum inhibitory concentration for a prolonged period of time so as to reduce the frequency of administration of the available conventional dosage forms. Materials: Clotrimazole (CLZ), Sodium carboxy methyl cellulose (SCMC), carbopol 974 P (CP 974P), sabouraud dextrose agar (SDA) with chloramphenicol and glycerol.
  • 52.
    Preparation of theBuccal Bioadhesive Films (solvent casting technique) Weighed amount of CP 974P added to one-third portion of DDW CLZ dissolved in a minimum vol. of ethanol > added to SCMC contained in a dry beaker. Add the other two-third portion of DDW to the above mixture with stirring to form a homogeneous dispersion add CP 974P solution & glycerol to dispersion of SCMC and stirred for 3 h bubble-free gel poured on a borosilicate glass mould (10× 10×1.5 cm), films were cut into smaller pieces of 1×1 cm sizes, wrapped in aluminum foil and stored in glass containers stirred for 1 h. allowed to settle >dried under hot air at 40–45 °C for 16–20 h till a flexible film formed
  • 54.
    Characterization: • Weight Uniformity •Thickness Testing • Folding Endurance • Drug Content Uniformity • Microenvironment pH • Swelling Studies of Buccal Bioadhesive CTZ Films • Moisture Absorption • Vapor Transmission • Mechanical Characterization of the Films • Bioadhesive Strength • In vitro drug release • Antifungal Efficacy of Buccal Bioadhesive Films I. Preparation of the Agar Plates II. Agar Diffusion Assay of CTZ Films • Statistical Analysis(ANOVA; p<0.05)
  • 55.
  • 59.
    • Discussion:  Themicroenvironment pH of different batches decreased with the increasing concentration of CP 974P due to its acidic nature. The decrease in pH may lead to mucosal irritation.  Folding endurance was found to more than 300 for each case, indicative of reasonable flexibility of the films.  Adhesion occurs shortly after the beginning of swelling but the bond formed between mucosal layer and polymer is not very strong.  The adhesion will increase with the degree of hydration until a point where over hydration leads to an abrupt drop in adhesive strength due to disentanglement at the polymer/tissue interface .
  • 60.
    Conclusion • Present studyshowed the in-vitro efficacy of buccal bioadhesive films of CTZ against C. albicans for prolonged period of time. • Percent moisture absorbed decreased while vapor transmission rate increased with increasing the concentration of CP 974P. Increase in CP 974P content reduced both the tensile strength and elongation break. • The prepared buccal bioadhesive films provided a controlled and prolonged in-vitro release of CTZ. Duration of growth inhibition (antifungal activity) of buccal bioadhesive films of CTZ was prolonged up to 6 h. This would be important for better patient compliance because of the decrease in the frequency of administration.
  • 61.
    Reference • Novel drugdelivery system; Author: D.K Jain, Nirali Prakashan, Pg no.5.1-5.30 • Mucoadhesion: A promising approach in drug delivery system; Author: Shakir Mansuri a, Prashant Kesharwani, et.al. Journal: Reactive and Functional Polymers 100 (2016) 151–172. • Controlled and Novel Drug Delivery by N.K.Jain. Pg no. 365-376. • A. Ahuja, R.K. Khar, J. Ali, Mucoadhesive drug delivery systems, Drug Dev. Ind. Pharm. 23 (1997) 489–515. • Mucoadhesive drug delivery system: an overview Author: Parijat Pandey, Manisha Saini, Neeta; Journal: PHARMACEUTICAL AND BIOLOGICAL EVALUATIONS August 2017; Vol. 4 (Issue 4): 183- 187.