MEDAN MAGNET
AAppaa yyaanngg ddiimmaakkssuudd ?? 
Jika sebuah kawat yang diletakkan 
vertikal di sekitar tumpukan serbuk besi 
diberi arus listrik, maka serbuk besi ini 
akan membentuk garis-garis konsentris 
dengan kawat sebagai pusatnya. 
Garis-garis ini menggambarkan bahwa di 
sekitar kawat tersebut medan magnet 
Medan magnetik diberi simbol : B 
Medan Magnet: merupakan ruang 
magnet yang di dalamnya masih bisa di 
rasakan adanya gaya magnet
MMaaggnneett 
Ditemukan di Magnesia 
(sebuah kota di Asia Kecil) lebih dulu dari listrik. 
Di tempat tersebut terdapat batu-batuan yang saling 
tarik menarik. 
MMaaggnneett bbeessaarr Bumi 
(sudah dimanfaatkan untuk navigasi sejak 
dulu)
MMAAGGNNEETT DDAANN KKUUTTUUBB MMAAGGNNEETT 
• Kutub magnet: 
bagian magnet yang paling kuat 
pengaruh kemagnetannya 
• Kutub-kutub magnet: 
utara (U) dan selatan (S) 
• Jarum untuk kompas : 
secara bebas mengarah ke utara dan 
selatan 
• Bumi sebagai magnet : 
Kutub-kutub magnet bumi sedikit 
bergeser dari kutub- kutub 
geografi
Medan Magnet (B) sseerruuppaa mmeeddaann lliissttrriikk ((EE))
PPeerrbbeeddaaaann aannttaarraa ggaayyaa lliissttrriikk ddaann ggaayyaa mmaaggnneett 
Gaya Listrik 
Bekerja searah dengan 
medan listrik 
Bekerja pada partikel 
bermuatan tanpa 
memperdulikan 
apakah bergerak atau 
tidak 
Bekerja memindahkan 
partikel 
Gaya Magnet 
 Bekerja dalam arah tegak 
lurus medan magnet 
 Bekerja pada partikel 
bermuatan hanya jika 
partikel tersebut bergerak 
 Tidak bekerja untuk 
memindahkan partikel
1. Medan magnet ddiisseekkiittaarr//aakkiibbaatt aarruuss lliissttrriikk
GGaayyaa mmaaggnneett ppaaddaa kkaawwaatt bbeerraarruuss 
   
F = 
ILxB magnet 
F ILBsinq magnet =
I 0 òB·ds = m 
B = konstan 
MMeeddaann mmaaggnneett ddii sseekkiittaarr kkaawwaatt bbeerraarruuss 
I 
r 
B·ds = B ds 
òB·ds = 2prB 
B I 
r 
m 
2 
= 0 
p 
r I 0 2p B = m atau
Medan magnet ddii sseekkiittaarr kkaawwaatt bbeerraarruuss 
a 
q 
r 
tanq = - a 
sinq = a 
rˆ 
ds x 
ds = dx 
x 
r
0 ˆ 
4 r 
B m 
ds´r 
d = é I 
ds´rˆ = ds rˆ sinq 
tanq =-a 
q 
r 
rˆ 
B berarah keluar 
ù 
= dx sinq 
a 
ds x 
ds =dx 
x 
2 
úû 
êë 
p 
Arah: 
Besar: 
r = a 
sinq 
2 
r 2 
a 
ö sin 
çè 
÷ø 
= æ 
q 
ö 
æ 
m 
= é ù 
2 
B = é dx 
dx 
m 
d I sin sin 
ö a 
çè 
4 
2 
0 q q 
p 
÷ø 
æ 
ù 
úû 
êë 
a 
I 
÷ ÷ø 
ç çè 
úû 
êë 
3 
0 sin 
4 
q 
p 
ds 
r 
dB
a 
tanq =-a 
q 
r 
rˆ 
ds x 
ds =dx 
x 
x = - a 
tanq 
dx = a 
q 
q sin2q 
d 
dx = 
a d sin2 
q 
ö 
æ 
m a d 
B m dx 
q 
æ 
÷ ÷ø 
d = é I a 
2 
ö 
ç çè 
ù 
úû 
êë 
3 
0 sin 
4 
q 
p 
= é 2 2 
ö q 
çè 
q 
p 
a 
I 
÷ø 
æ 
÷ ÷ø 
ç çè 
ù 
úû 
êë 
3 
0 
sin 
sin 
4 
I sin 
4 
m d 
a 
q q 
0 úû 
p 
ù 
= é 
êë 
ò dB I ò úû 
m d 
a 
= = é sin 
I ( 2) 
= m - 
B 0 q q 
[ ]180 
p 
ù 
êë 
4 
0 
q 
0 cos 
4 
p 
a 
I 
p 
= 0 - 
4 
a 
m 
I 
p 
a 
m 
2 
= 0
Medan magnet ddii ddaallaamm kkaawwaatt bbeerraarruuss II00 
I = a r A 2 0 
0 I 
A 
2 
I 
R 
r 
p 
= p 2 0 
2 
I 
R 
= r 
B r 
B I 
m 
2 
åB·ds = 2p r B = m I 0 
0 2 
2 0 Circle 
I 
R 
p 
= m 
r 
= 0 
p
Medan magnet di sekitar kawat panjang berarus 
B 
B r 
0 2 0 2 
r 
I 
R 
p 
= m 
B I 
= 0 0 
r 
m 
2 
p 
R
Satuan SI untuk B adalah : tesla (T) 
1 tesla = 1 newton / (coulomb meter/detik) 
= 1 newton / (ampere meter) 
Kalau dikaitkan dengan “definisi “ medan magnet : Jika sebuah kawat dengan 
panjang 1 meter dan berarus listrik 1 ampere dalam pengaruh medan magnet 
menghasilkan gaya 1 Newton, maka besar medan magnet tersebut adalah 1 tesla. 
Satuan yang lebih awal untuk B (bukan SI) 
adalah : gauss. 
1 tesla = 104 gauss
2. Partikel bermuatan ddaallaamm MMeeddaann mmaaggnneett
v 
   
= ´ 
B 
Fmagnet 
Muatan uji, +q 
F qv B 
Gaya Lorentz
Gaya yang bekerja pada muatan yang bergerak dalam 
medan magnet 
 Besarnya gaya magnetik FB yang bekerja pada suatu partikel 
sebanding dengan muatan q dan laju partikel |v| 
 arah dari gaya FB bergantung pada arah kecepatan partikel v 
dan arah medan magnetik B 
 Ketika partikel bergerak sejajar dengan vektor medan 
magnetik, gaya magnetik yang bekerja pada partikel adalah 
nol
Ketika vektor kecepatan partikel v membuat sudut q 
¹ 0 dengan medan magnetik, gaya magnetik bekerja dalam 
arah yang tegak lurus dengan v dan B. Dengan kata lain F ^ 
bidang yang dibentuk oleh v dan B 
Gaya magnetik yang bekerja pada muatan positif 
berlawanan arah dengan gaya magnetik yang bekerja pada 
muatan negatif yang begerak dalam arah yang sama 
Besarnya medan magnetik yang bekerja pada partikel yang 
bergerak sebanding dengan sin q dimana q adalah sudut 
yang dibentuk vektor kecepatan partikel dan medan 
magnetik B
MMeenneennttuukkaann aarraahh ggaayyaa LLoorreennttzz ::
GAYA LORENTZ 
    
Lorentz ( gy listrik ) ( gy magnet) F qE qvxB - - = + 
Ke mana arah Fmagnet?
Partikel bermuatan dalam medan magnetik serba sama 
Medan menembus bidang F = qv´B B 
FB 
+ 
+ 
v v 
+ 
+ 
+ 
+ 
+ 
Perhatikan laju 
tidak berubah 
tetapi arah berubah 
Force is always 
^ to v
Medan menembus bidang 
F = qv´B B 
FB 
+ 
v 
+ 
Karena gaya selalu dalam 
arah radial, ia bekerja untuk 
mempertahankan partikel 
bergerak dalam lingkaran 
F qvB B = 
mv2 
= 
r 
qB = mv 
r 
r = mv 
qB
Contoh Soal 
Sebuah titik P mempunyai jarak 10 cm dari 
sebuah kawat berarus listrik 5 Ampere. 
Jika mo = 4p x 10-7 Wb/Am, Tentukan medan 
magnet kawat tersebut!
Jawaban: 
B I 
= 4 
= 0 r 
r 
m 
2 
p 
B I 
2p
Medan magnet

Medan magnet

  • 1.
  • 2.
    AAppaa yyaanngg ddiimmaakkssuudd?? Jika sebuah kawat yang diletakkan vertikal di sekitar tumpukan serbuk besi diberi arus listrik, maka serbuk besi ini akan membentuk garis-garis konsentris dengan kawat sebagai pusatnya. Garis-garis ini menggambarkan bahwa di sekitar kawat tersebut medan magnet Medan magnetik diberi simbol : B Medan Magnet: merupakan ruang magnet yang di dalamnya masih bisa di rasakan adanya gaya magnet
  • 3.
    MMaaggnneett Ditemukan diMagnesia (sebuah kota di Asia Kecil) lebih dulu dari listrik. Di tempat tersebut terdapat batu-batuan yang saling tarik menarik. MMaaggnneett bbeessaarr Bumi (sudah dimanfaatkan untuk navigasi sejak dulu)
  • 4.
    MMAAGGNNEETT DDAANN KKUUTTUUBBMMAAGGNNEETT • Kutub magnet: bagian magnet yang paling kuat pengaruh kemagnetannya • Kutub-kutub magnet: utara (U) dan selatan (S) • Jarum untuk kompas : secara bebas mengarah ke utara dan selatan • Bumi sebagai magnet : Kutub-kutub magnet bumi sedikit bergeser dari kutub- kutub geografi
  • 6.
    Medan Magnet (B)sseerruuppaa mmeeddaann lliissttrriikk ((EE))
  • 7.
    PPeerrbbeeddaaaann aannttaarraa ggaayyaalliissttrriikk ddaann ggaayyaa mmaaggnneett Gaya Listrik Bekerja searah dengan medan listrik Bekerja pada partikel bermuatan tanpa memperdulikan apakah bergerak atau tidak Bekerja memindahkan partikel Gaya Magnet  Bekerja dalam arah tegak lurus medan magnet  Bekerja pada partikel bermuatan hanya jika partikel tersebut bergerak  Tidak bekerja untuk memindahkan partikel
  • 8.
    1. Medan magnetddiisseekkiittaarr//aakkiibbaatt aarruuss lliissttrriikk
  • 13.
    GGaayyaa mmaaggnneett ppaaddaakkaawwaatt bbeerraarruuss    F = ILxB magnet F ILBsinq magnet =
  • 14.
    I 0 òB·ds= m B = konstan MMeeddaann mmaaggnneett ddii sseekkiittaarr kkaawwaatt bbeerraarruuss I r B·ds = B ds òB·ds = 2prB B I r m 2 = 0 p r I 0 2p B = m atau
  • 15.
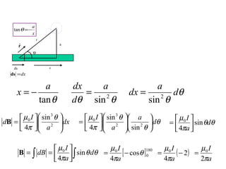
    Medan magnet ddiisseekkiittaarr kkaawwaatt bbeerraarruuss a q r tanq = - a sinq = a rˆ ds x ds = dx x r
  • 16.
    0 ˆ 4r B m ds´r d = é I ds´rˆ = ds rˆ sinq tanq =-a q r rˆ B berarah keluar ù = dx sinq a ds x ds =dx x 2 úû êë p Arah: Besar: r = a sinq 2 r 2 a ö sin çè ÷ø = æ q ö æ m = é ù 2 B = é dx dx m d I sin sin ö a çè 4 2 0 q q p ÷ø æ ù úû êë a I ÷ ÷ø ç çè úû êë 3 0 sin 4 q p ds r dB
  • 17.
    a tanq =-a q r rˆ ds x ds =dx x x = - a tanq dx = a q q sin2q d dx = a d sin2 q ö æ m a d B m dx q æ ÷ ÷ø d = é I a 2 ö ç çè ù úû êë 3 0 sin 4 q p = é 2 2 ö q çè q p a I ÷ø æ ÷ ÷ø ç çè ù úû êë 3 0 sin sin 4 I sin 4 m d a q q 0 úû p ù = é êë ò dB I ò úû m d a = = é sin I ( 2) = m - B 0 q q [ ]180 p ù êë 4 0 q 0 cos 4 p a I p = 0 - 4 a m I p a m 2 = 0
  • 18.
    Medan magnet ddiiddaallaamm kkaawwaatt bbeerraarruuss II00 I = a r A 2 0 0 I A 2 I R r p = p 2 0 2 I R = r B r B I m 2 åB·ds = 2p r B = m I 0 0 2 2 0 Circle I R p = m r = 0 p
  • 19.
    Medan magnet disekitar kawat panjang berarus B B r 0 2 0 2 r I R p = m B I = 0 0 r m 2 p R
  • 20.
    Satuan SI untukB adalah : tesla (T) 1 tesla = 1 newton / (coulomb meter/detik) = 1 newton / (ampere meter) Kalau dikaitkan dengan “definisi “ medan magnet : Jika sebuah kawat dengan panjang 1 meter dan berarus listrik 1 ampere dalam pengaruh medan magnet menghasilkan gaya 1 Newton, maka besar medan magnet tersebut adalah 1 tesla. Satuan yang lebih awal untuk B (bukan SI) adalah : gauss. 1 tesla = 104 gauss
  • 21.
    2. Partikel bermuatanddaallaamm MMeeddaann mmaaggnneett
  • 22.
    v   = ´ B Fmagnet Muatan uji, +q F qv B Gaya Lorentz
  • 23.
    Gaya yang bekerjapada muatan yang bergerak dalam medan magnet  Besarnya gaya magnetik FB yang bekerja pada suatu partikel sebanding dengan muatan q dan laju partikel |v|  arah dari gaya FB bergantung pada arah kecepatan partikel v dan arah medan magnetik B  Ketika partikel bergerak sejajar dengan vektor medan magnetik, gaya magnetik yang bekerja pada partikel adalah nol
  • 24.
    Ketika vektor kecepatanpartikel v membuat sudut q ¹ 0 dengan medan magnetik, gaya magnetik bekerja dalam arah yang tegak lurus dengan v dan B. Dengan kata lain F ^ bidang yang dibentuk oleh v dan B Gaya magnetik yang bekerja pada muatan positif berlawanan arah dengan gaya magnetik yang bekerja pada muatan negatif yang begerak dalam arah yang sama Besarnya medan magnetik yang bekerja pada partikel yang bergerak sebanding dengan sin q dimana q adalah sudut yang dibentuk vektor kecepatan partikel dan medan magnetik B
  • 25.
  • 26.
    GAYA LORENTZ    Lorentz ( gy listrik ) ( gy magnet) F qE qvxB - - = + Ke mana arah Fmagnet?
  • 27.
    Partikel bermuatan dalammedan magnetik serba sama Medan menembus bidang F = qv´B B FB + + v v + + + + + Perhatikan laju tidak berubah tetapi arah berubah Force is always ^ to v
  • 28.
    Medan menembus bidang F = qv´B B FB + v + Karena gaya selalu dalam arah radial, ia bekerja untuk mempertahankan partikel bergerak dalam lingkaran F qvB B = mv2 = r qB = mv r r = mv qB
  • 31.
    Contoh Soal Sebuahtitik P mempunyai jarak 10 cm dari sebuah kawat berarus listrik 5 Ampere. Jika mo = 4p x 10-7 Wb/Am, Tentukan medan magnet kawat tersebut!
  • 32.
    Jawaban: B I = 4 = 0 r r m 2 p B I 2p