MATRIKS
Setelah menyaksikan
tayangan ini anda dapat

menentukan penyelesaian
 suatu persamaan matrik
  dengan menggunakan
 sifat dan operasi matrik
Perhatikan Tabel:
  Absensi siswa kelas III
  Bulan: Februari 2006


 Nama     Sakit Ijin Alpa
 Siswa
Agus       0      1     3
Budi       1      2     0
Cicha      5      1     1
Jika judul baris dan kolom
                   dihilangkan


Nama    Sakit   Ijin   Alpa
                              Judul kolom
Siswa
Agus     0       1      3
Budi     1       2      0
Cicha    5       1      1

Judul baris
Maka terbentuk
susunan bilangan
sebagai berikut:

  0   1   3
  1   2   0
  5   1   1


disebut matriks
Matriks
            adalah
Susunan bilangan berbentuk
 persegipanjang yang diatur
  dalam baris dan kolom,
ditulis diantara kurung kecil
           atau siku
Bilangan yang disusun
     disebut elemen.

Banyak baris x banyak kolom
   disebut ordo matriks.

       Sebuah matriks
  ditulis dengan huruf besar
Contoh:

               1   2      3   baris ke 1
Matriks A =    4   5      6   baris ke 2
     kolom ke 1
         kolom ke 2
             kolom ke 3
•4 adalah elemen baris ke 2
kolom ke 1
•matriks A berordo 2 x 3
Matriks persegi
     Adalah matriks yang
 banyak baris dan kolom sama
Contoh:
          1     2    3    4

   A=     2      5   0     1
          5     6    7    8
           9    0    4      2


Banyak baris 4, banyak kolom 4
A adalah matriks berordo 4
Perhatikan matriks berikut:
            1     2    3

   A=       0      1   7
            0     0    5

  A adalah matriks segitiga atas
yaitu matriks yang elemen-elemen
   di bawah diagonal utamanya
            bernilai nol
Perhatikan matriks berikut:

            1       0      0
  B=        7         1    0
              4     3      5
 B adalah matriks segitiga bawah
yaitu matriks yang elemen-elemen
     di atas diagonal utamanya
             bernilai nol
Perhatikan matriks berikut:

             3     0    0
       C=    0      1   0
             0     0    5

     C adalah matriks diagonal
yaitu matriks persegi yang elemen-
   elemen di bawah dan di atas
    diagonal utama bernilai nol
Perhatikan matriks berikut:
           1   0   0
     I=    0   1   0
           0   0   1

 I adalah matriks Identitas
yaitu matriks diagonal yang
    elemen-elemen pada
diagonal utama bernilai satu
Transpos Matriks

Transpos matriks A, ditulis At
adalah matriks baru dimana
   elemen baris matriks At
merupakan kolom matriks A
1   2       3
   A=
          4   5       6


Transpos matriks A
                  1       4
adalah At =       2       5
                  3       6
Kesamaan Dua Matriks
      matriks A = matriks B
             jika
 ordo matriks A = ordo matriks B
  elemen yang seletak sama
1       2        3
     A=    x 7       0        1

             1   2       3
dan B =
             6   0       2y

Jika matriks A = matriks B,
maka x – 7 = 6 x = 13
           2y = -1 y = -½
Contoh 1:
                     p    5     8
Diketahui K =        2    4    3r
                     3    q    11

                    6    5     8
       dan L =      2    4     4q
                    3    2p    11

 Jika K = L, maka r adalah….
Bahasan:
                        K=L
           p   5    8    =
                              6   5    8
           2   4   3r         2   4    4q
           3   q   11         3   2p   11
    p = 6; q = 2p q = 2.6 = 12
    3r = 4q 3r = 4.12 = 48
         jadi r = 48 : 3 = 16
Contoh 2:
                   x       y           x
Misalkan A =
                       y       x           y
                               1
                   1               x
      dan B =                  2

                   2y          3

Jika At adalah transpos matriks A
     maka persamaan At = B
        dipenuhi bila x = ….
Bahasan:

     x       y           x                         x       y           y
A=                                   At   =
         y           x       y                         x           x y
                             At = B
     x       y       y                        1                1
                                                                   x
                                 =                             2
         x       x       y                    2y           3
x+y=1
x–y=3
2x = 4
Jadi x = 4 : 2 = 2
Operasi Pada
        Matriks
Penjumlahan
Pengurangan
Perkalian:
      perkalian skalar
            dengan matriks
      perkalian matriks
            dengan matriks
Penjumlahan/pengurangan
         Matriks A dan B
  dapat dijumlahkan/dikurangkan,
        jika ordonya sama.

      Hasilnya merupakan
         jumlah/selisih
   elemen-elemen yang seletak
Contoh 1:
    A=         1       2 -3        dan B =             2       5   - 1
               3       4   7                           3       0    9

             A + B =


1    2 -3          +           2     5       - 1   =       1   7 - 4
3        4    7                3     0        9        0       4   16
Contoh 2:
Jika A =             1       2       , B=   2   5
                     3       4              3   0

dan C =                  1       7
                      0          4
Maka (A + C) – (A + B) =….
Bahasan
(A + C) – (A + B) =       A+C–A–B

                          C–B

                            1   7           2   5
                           0    4           3   0
                            1   2   7   5
                           0    3   4   0
                           1    2
                            3   4
Perkalian skalar dengan matriks

  Jika k suatu bilangan (skalar)
maka perkalian k dengan matriks A
            ditulis k.A,
 adalah matriks yang elemennya
     diperoleh dari hasil kali
     k dengan setiap elemen

            matriks A
Contoh 1:
 Matriks A =                 1   2       - 3
                                          1
                             3   4        5

Tentukan elemen-elemen
 matriks 5A!
Jawab:

5A =


               1   2 - 3             5        10 - 15
         5.              1
               3   4     5       15            20   1
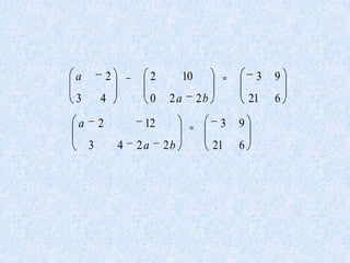
Contoh 2:
                         a   2             1       5
Matriks A =                      ,B=
                         3   4             0   a       b
                                 1     3
              dan C =
                                 7     2
         Jika A – 2B = 3C,
         maka a + b = ….
Bahasan
            A – 2B = 3C



a   2                1        5          1      3
        –2
3   4                0    a        b    7       2

a   2            2            10            3   9
        –
3   4            0       2a        2b   21      6
a           2       –        2         10                  3   9
3       4                    0    2a        2b            21   6

a       2                12                       3   9
    3           4       2a       2b              21   6
a       2        12         3   9
    3       4   2a    2b   21   6

a – 2 = -3    a = -1
4 – 2a – 2b = 6
4 + 2 – 2b = 6
    6 – 2b = 6
       -2b = 0     b=0
Jadi a + b = -1 + 0 = -1
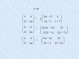
Contoh 3:
                           k         4
   Matriks A =
                           2l       3m
                 2m       3l    2k       1
 dan B =
                      k         l        7

    Supaya dipenuhi A = 2Bt,
dengan Bt adalah matriks transpos
    dari B maka nilai m = ….
Bahasan
                   B=         2m        3l    2k              1
                                   k          l           7

berarti Bt =                      2m    3l            k
                                  2k    1     l           7
                   A = 2Bt


       k       4        =         2m     3l           k
                             2.
      2l       3m                  2k    1        l       7
A = 2Bt



k    4                   2m     3l           k
             =
                    2.
2l   3m                   2k    1        l       7

k    4                  2(2m     3l )                2k
             =
2l   3m                  2(2k       1)        2 (l        7)

k    4                   4m     6l            2k
             =
                    .
2l   3m                  4k     2        2l      14
k      4   =   4m   6l        2k
2l    3m       4k   2    2l    14
       4 = 2k    k=2
      2l = 4k + 2  2l = 4.2 + 2
      2l = 10    l=5
     3m = 2l + 14
     3m = 2.5 + 14 = 24

       Jadi m = 8
Bubble Sort
• Metode sorting termudah
• Diberi nama “Bubble” karena proses pengurutan
  secara berangsur-angsur bergerak/berpindah ke
  posisinya yang tepat, seperti gelembung yang keluar
  dari sebuah gelas bersoda.
• Bubble Sort mengurutkan data dengan cara
  membandingkan elemen sekarang dengan elemen
  berikutnya.
Bubble Sort (2)
• Pengurutan Ascending :Jika elemen sekarang lebih besar dari
  elemen berikutnya maka kedua elemen tersebut ditukar.
• Pengurutan Descending: Jika elemen sekarang lebih kecil dari
  elemen berikutnya, maka kedua elemen tersebut ditukar.
• Algoritma ini seolah-olah menggeser satu per satu elemen dari
  kanan ke kiri atau kiri ke kanan, tergantung jenis pengurutannya,
  asc atau desc.
• Ketika satu proses telah selesai, maka bubble sort akan mengulangi
  proses, demikian seterusnya sampai dengan iterasi sebanyak n-1.
• Kapan berhentinya? Bubble sort berhenti jika seluruh array telah
  diperiksa dan tidak ada pertukaran lagi yang bisa dilakukan, serta
  tercapai perurutan yang telah diinginkan.
Contoh Algoritma: BUBBLE SORT
   banyaknya data: n
   Data diurutkan/disorting dari yang bernilai besar
Proses
step 1 :        Periksalah nilai dua elemen mulai dari urutan ke-n
                sampai urutan ke-1. Jika nilai kiri<kanan, tukarkan
                kedua data itu.
step 2   :      Periksalah nilai dua elemen mulai dari urutan ke-n
                sampai urutan ke-2. Jika nilai kiri<kanan, tukarkan
                kedua data itu.


step n-1 :      Periksalah nilai dua elemen mulai dari urutan ke-n
                                 …
                sampai urutan ke-n-1. Jika nilai kiri<kanan, tukarkan
                kedua data itu.
Bubble Sort: tahap demi tahap

Awal      7     4     5     8     10
Bubble Sort: tahap demi tahap

Awal        7     4     5     8     10


Step-1      7     4     5     8     10
Bubble Sort: tahap demi tahap

Awal        7     4     5     8     10


Step-1      7     4     5     10    8
Bubble Sort: tahap demi tahap

Awal        7     4     5     8     10


Step-1      7     4     10    5     8
Bubble Sort: tahap demi tahap

Awal        7     4     5     8     10


Step-1      7     10    4     5     8
Bubble Sort: tahap demi tahap

Awal        7     4     5     8     10


Step-1      10    7     4     5     8
Bubble Sort: tahap demi tahap

Awal        7     4     5     8     10


Step-1      10    7     4     5     8


Step-2      10    7     4     5     8
Bubble Sort: tahap demi tahap

Awal        7     4     5     8     10


Step-1      10    7     4     5     8


Step-2      10    7     4     8     5
Bubble Sort: tahap demi tahap

Awal        7     4     5     8     10


Step-1      10    7     4     5     8


Step-2      10    7     8     4     5
Bubble Sort: tahap demi tahap

Awal        7     4     5     8     10


Step-1      10    7     4     5     8


Step-2      10    8     7     4     5
Bubble Sort: tahap demi tahap

Awal        7     4     5     8     10


Step-1      10    7     4     5     8


Step-2      10    8     7     4     5


Step-3      10    8     7     4     5
Bubble Sort: tahap demi tahap

Awal        7     4     5     8     10


Step-1      10    7     4     5     8


Step-2      10    8     7     4     5


Step-3      10    8     7     5     4
Bubble Sort: tahap demi tahap

Awal        7     4     5     8     10


Step-1      10    7     4     5     8


Step-2      10    8     7     4     5


Step-3      10    8     7     5     4
Bubble Sort: tahap demi tahap

Awal        7     4     5     8     10


Step-1      10    7     4     5     8


Step-2      10    8     7     4     5


Step-3      10    8     7     5     4

Step-4      10    8     7     5     4
Bubble Sort (3)
Bubble Sort (4)
Bubble Sort (5)
Bubble Sort (6)

• Versi 1




• Versi 2
Bubble Sort (6)

• Dengan prosedur diatas, data terurut naik
  (ascending), untuk urut turun (descending) silahkan
  ubah bagian:
  if (data[j]<data[j-1]) tukar(&data[j],&data[j-1]);

  Menjadi:
  if (data[j]>data[j-1]) tukar(&data[j],&data[j-1]);

• “The bubble sort is an easy algorithm to program,
  but it is slower than many other sorts”
Exchange Sort
• Sangat mirip dengan Bubble Sort
• Banyak yang mengatakan Bubble Sort sama dengan Exchange
  Sort
• Pebedaan : dalam hal bagaimana membandingkan antar
  elemen-elemennya.
   – Exchange sort membandingkan suatu elemen dengan elemen-elemen
     lainnya dalam array tersebut, dan melakukan pertukaran elemen jika
     perlu. Jadi ada elemen yang selalu menjadi elemen pusat (pivot).
   – Sedangkan Bubble sort akan membandingkan elemen
     pertama/terakhir dengan elemen sebelumnya/sesudahnya,
     kemudian elemen tersebut itu akan menjadi pusat (pivot) untuk
     dibandingkan dengan elemen sebelumnya/sesudahnya lagi, begitu
     seterusnya.
Exchange Sort (2)
Exchange Sort (3)
Exchange Sort (4)
Exchange Sort (5)
• Prosedur Exchange Sort
Selection Sort
• Merupakan kombinasi antara sorting dan searching
• Untuk setiap proses, akan dicari elemen-elemen yang belum
  diurutkan yang memiliki nilai terkecil atau terbesar akan
  dipertukarkan ke posisi yang tepat di dalam array.
• Misalnya untuk putaran pertama, akan dicari data dengan
  nilai terkecil dan data ini akan ditempatkan di indeks terkecil
  (data[0]), pada putaran kedua akan dicari data kedua terkecil,
  dan akan ditempatkan di indeks kedua (data[1]).
• Selama proses, pembandingan dan pengubahan hanya
  dilakukan pada indeks pembanding saja, pertukaran data
  secara fisik terjadi pada akhir proses.
Selection Sort: contoh
    1   2   3   4   5   6
    5   2   4   6   1   3   Carilah elemen terkecil &
1

                            tukar dengan “5”
    1   2   3   4   5   6
2




    1   2   4   6   5   3   1 fixed. Carilah elemen terkecil
                            & tukar dengan “2”
3




    1   2   3   4   5   6
    1   2   4   6   5   3   1,2 fixed. Carilah elemen
                            terkecil & tukar dengan “4”
4




    1   2   3   4   5   6
    1   2   3   6   5   4   1,2,3 fixed. Carilah elemen
5




    1   2   3   4   5   6   terkecil & tukar dengan “6”
                            1,2,3,4 fixed. Carilah elemen
6




    1   2   3   4   5   6
    1   2   3   4   5   6   terkecil & tukar dengan “5”
    1   2   3   4   5   6   1,2,3,4,5 fixed, otomatis elemen
                            terakhir sudah pada posisi yang
                            benar
Selection Sort (2)
Beberapa Algoritma Sorting
1.   Bubble Sort
2.   Selection Sort
3.   Insertion Sort
4.   Merge Sort
5.   Quick Sort
Bubble Sort: pseudocode
BUBBLESORT(A)
1 for i←1 to length[A]
2     do for j←length[A] downto i+1
3             do if A[j] < A[j-1]
4                     then exchange A*j+ ↔ A*j-1]

Matriks dan sorting kel. bagus samsu vicky

  • 2.
  • 3.
    Setelah menyaksikan tayangan inianda dapat menentukan penyelesaian suatu persamaan matrik dengan menggunakan sifat dan operasi matrik
  • 4.
    Perhatikan Tabel: Absensi siswa kelas III Bulan: Februari 2006 Nama Sakit Ijin Alpa Siswa Agus 0 1 3 Budi 1 2 0 Cicha 5 1 1
  • 5.
    Jika judul barisdan kolom dihilangkan Nama Sakit Ijin Alpa Judul kolom Siswa Agus 0 1 3 Budi 1 2 0 Cicha 5 1 1 Judul baris
  • 6.
    Maka terbentuk susunan bilangan sebagaiberikut: 0 1 3 1 2 0 5 1 1 disebut matriks
  • 7.
    Matriks adalah Susunan bilangan berbentuk persegipanjang yang diatur dalam baris dan kolom, ditulis diantara kurung kecil atau siku
  • 8.
    Bilangan yang disusun disebut elemen. Banyak baris x banyak kolom disebut ordo matriks. Sebuah matriks ditulis dengan huruf besar
  • 9.
    Contoh: 1 2 3 baris ke 1 Matriks A = 4 5 6 baris ke 2 kolom ke 1 kolom ke 2 kolom ke 3 •4 adalah elemen baris ke 2 kolom ke 1 •matriks A berordo 2 x 3
  • 10.
    Matriks persegi Adalah matriks yang banyak baris dan kolom sama
  • 11.
    Contoh: 1 2 3 4 A= 2 5 0 1 5 6 7 8 9 0 4 2 Banyak baris 4, banyak kolom 4 A adalah matriks berordo 4
  • 12.
    Perhatikan matriks berikut: 1 2 3 A= 0 1 7 0 0 5 A adalah matriks segitiga atas yaitu matriks yang elemen-elemen di bawah diagonal utamanya bernilai nol
  • 13.
    Perhatikan matriks berikut: 1 0 0 B= 7 1 0 4 3 5 B adalah matriks segitiga bawah yaitu matriks yang elemen-elemen di atas diagonal utamanya bernilai nol
  • 14.
    Perhatikan matriks berikut: 3 0 0 C= 0 1 0 0 0 5 C adalah matriks diagonal yaitu matriks persegi yang elemen- elemen di bawah dan di atas diagonal utama bernilai nol
  • 15.
    Perhatikan matriks berikut: 1 0 0 I= 0 1 0 0 0 1 I adalah matriks Identitas yaitu matriks diagonal yang elemen-elemen pada diagonal utama bernilai satu
  • 16.
    Transpos Matriks Transpos matriksA, ditulis At adalah matriks baru dimana elemen baris matriks At merupakan kolom matriks A
  • 17.
    1 2 3 A= 4 5 6 Transpos matriks A 1 4 adalah At = 2 5 3 6
  • 18.
    Kesamaan Dua Matriks matriks A = matriks B jika  ordo matriks A = ordo matriks B elemen yang seletak sama
  • 19.
    1 2 3 A= x 7 0 1 1 2 3 dan B = 6 0 2y Jika matriks A = matriks B, maka x – 7 = 6 x = 13 2y = -1 y = -½
  • 20.
    Contoh 1: p 5 8 Diketahui K = 2 4 3r 3 q 11 6 5 8 dan L = 2 4 4q 3 2p 11 Jika K = L, maka r adalah….
  • 21.
    Bahasan: K=L p 5 8 = 6 5 8 2 4 3r 2 4 4q 3 q 11 3 2p 11 p = 6; q = 2p q = 2.6 = 12 3r = 4q 3r = 4.12 = 48 jadi r = 48 : 3 = 16
  • 22.
    Contoh 2: x y x Misalkan A = y x y 1 1 x dan B = 2 2y 3 Jika At adalah transpos matriks A maka persamaan At = B dipenuhi bila x = ….
  • 23.
    Bahasan: x y x x y y A= At = y x y x x y At = B x y y 1 1 x = 2 x x y 2y 3
  • 24.
  • 25.
    Operasi Pada Matriks Penjumlahan Pengurangan Perkalian:  perkalian skalar dengan matriks  perkalian matriks dengan matriks
  • 26.
    Penjumlahan/pengurangan Matriks A dan B dapat dijumlahkan/dikurangkan, jika ordonya sama. Hasilnya merupakan jumlah/selisih elemen-elemen yang seletak
  • 27.
    Contoh 1: A= 1 2 -3 dan B = 2 5 - 1 3 4 7 3 0 9 A + B = 1 2 -3 + 2 5 - 1 = 1 7 - 4 3 4 7 3 0 9 0 4 16
  • 28.
    Contoh 2: Jika A= 1 2 , B= 2 5 3 4 3 0 dan C = 1 7 0 4 Maka (A + C) – (A + B) =….
  • 29.
    Bahasan (A + C)– (A + B) = A+C–A–B C–B 1 7 2 5 0 4 3 0 1 2 7 5 0 3 4 0 1 2 3 4
  • 30.
    Perkalian skalar denganmatriks Jika k suatu bilangan (skalar) maka perkalian k dengan matriks A ditulis k.A, adalah matriks yang elemennya diperoleh dari hasil kali k dengan setiap elemen matriks A
  • 31.
    Contoh 1: MatriksA = 1 2 - 3 1 3 4 5 Tentukan elemen-elemen matriks 5A! Jawab: 5A = 1 2 - 3 5 10 - 15 5. 1 3 4 5 15 20 1
  • 32.
    Contoh 2: a 2 1 5 Matriks A = ,B= 3 4 0 a b 1 3 dan C = 7 2 Jika A – 2B = 3C, maka a + b = ….
  • 33.
    Bahasan A – 2B = 3C a 2 1 5 1 3 –2 3 4 0 a b 7 2 a 2 2 10 3 9 – 3 4 0 2a 2b 21 6
  • 34.
    a 2 – 2 10 3 9 3 4 0 2a 2b 21 6 a 2 12 3 9 3 4 2a 2b 21 6
  • 35.
    a 2 12 3 9 3 4 2a 2b 21 6 a – 2 = -3 a = -1 4 – 2a – 2b = 6 4 + 2 – 2b = 6 6 – 2b = 6 -2b = 0 b=0 Jadi a + b = -1 + 0 = -1
  • 36.
    Contoh 3: k 4 Matriks A = 2l 3m 2m 3l 2k 1 dan B = k l 7 Supaya dipenuhi A = 2Bt, dengan Bt adalah matriks transpos dari B maka nilai m = ….
  • 37.
    Bahasan B= 2m 3l 2k 1 k l 7 berarti Bt = 2m 3l k 2k 1 l 7 A = 2Bt k 4 = 2m 3l k 2. 2l 3m 2k 1 l 7
  • 38.
    A = 2Bt k 4 2m 3l k = 2. 2l 3m 2k 1 l 7 k 4 2(2m 3l ) 2k = 2l 3m 2(2k 1) 2 (l 7) k 4 4m 6l 2k = . 2l 3m 4k 2 2l 14
  • 39.
    k 4 = 4m 6l 2k 2l 3m 4k 2 2l 14 4 = 2k k=2 2l = 4k + 2 2l = 4.2 + 2 2l = 10 l=5 3m = 2l + 14 3m = 2.5 + 14 = 24 Jadi m = 8
  • 40.
    Bubble Sort • Metodesorting termudah • Diberi nama “Bubble” karena proses pengurutan secara berangsur-angsur bergerak/berpindah ke posisinya yang tepat, seperti gelembung yang keluar dari sebuah gelas bersoda. • Bubble Sort mengurutkan data dengan cara membandingkan elemen sekarang dengan elemen berikutnya.
  • 41.
    Bubble Sort (2) •Pengurutan Ascending :Jika elemen sekarang lebih besar dari elemen berikutnya maka kedua elemen tersebut ditukar. • Pengurutan Descending: Jika elemen sekarang lebih kecil dari elemen berikutnya, maka kedua elemen tersebut ditukar. • Algoritma ini seolah-olah menggeser satu per satu elemen dari kanan ke kiri atau kiri ke kanan, tergantung jenis pengurutannya, asc atau desc. • Ketika satu proses telah selesai, maka bubble sort akan mengulangi proses, demikian seterusnya sampai dengan iterasi sebanyak n-1. • Kapan berhentinya? Bubble sort berhenti jika seluruh array telah diperiksa dan tidak ada pertukaran lagi yang bisa dilakukan, serta tercapai perurutan yang telah diinginkan.
  • 42.
    Contoh Algoritma: BUBBLESORT banyaknya data: n Data diurutkan/disorting dari yang bernilai besar Proses step 1 : Periksalah nilai dua elemen mulai dari urutan ke-n sampai urutan ke-1. Jika nilai kiri<kanan, tukarkan kedua data itu. step 2 : Periksalah nilai dua elemen mulai dari urutan ke-n sampai urutan ke-2. Jika nilai kiri<kanan, tukarkan kedua data itu. step n-1 : Periksalah nilai dua elemen mulai dari urutan ke-n … sampai urutan ke-n-1. Jika nilai kiri<kanan, tukarkan kedua data itu.
  • 43.
    Bubble Sort: tahapdemi tahap Awal 7 4 5 8 10
  • 44.
    Bubble Sort: tahapdemi tahap Awal 7 4 5 8 10 Step-1 7 4 5 8 10
  • 45.
    Bubble Sort: tahapdemi tahap Awal 7 4 5 8 10 Step-1 7 4 5 10 8
  • 46.
    Bubble Sort: tahapdemi tahap Awal 7 4 5 8 10 Step-1 7 4 10 5 8
  • 47.
    Bubble Sort: tahapdemi tahap Awal 7 4 5 8 10 Step-1 7 10 4 5 8
  • 48.
    Bubble Sort: tahapdemi tahap Awal 7 4 5 8 10 Step-1 10 7 4 5 8
  • 49.
    Bubble Sort: tahapdemi tahap Awal 7 4 5 8 10 Step-1 10 7 4 5 8 Step-2 10 7 4 5 8
  • 50.
    Bubble Sort: tahapdemi tahap Awal 7 4 5 8 10 Step-1 10 7 4 5 8 Step-2 10 7 4 8 5
  • 51.
    Bubble Sort: tahapdemi tahap Awal 7 4 5 8 10 Step-1 10 7 4 5 8 Step-2 10 7 8 4 5
  • 52.
    Bubble Sort: tahapdemi tahap Awal 7 4 5 8 10 Step-1 10 7 4 5 8 Step-2 10 8 7 4 5
  • 53.
    Bubble Sort: tahapdemi tahap Awal 7 4 5 8 10 Step-1 10 7 4 5 8 Step-2 10 8 7 4 5 Step-3 10 8 7 4 5
  • 54.
    Bubble Sort: tahapdemi tahap Awal 7 4 5 8 10 Step-1 10 7 4 5 8 Step-2 10 8 7 4 5 Step-3 10 8 7 5 4
  • 55.
    Bubble Sort: tahapdemi tahap Awal 7 4 5 8 10 Step-1 10 7 4 5 8 Step-2 10 8 7 4 5 Step-3 10 8 7 5 4
  • 56.
    Bubble Sort: tahapdemi tahap Awal 7 4 5 8 10 Step-1 10 7 4 5 8 Step-2 10 8 7 4 5 Step-3 10 8 7 5 4 Step-4 10 8 7 5 4
  • 57.
  • 58.
  • 59.
  • 60.
    Bubble Sort (6) •Versi 1 • Versi 2
  • 61.
    Bubble Sort (6) •Dengan prosedur diatas, data terurut naik (ascending), untuk urut turun (descending) silahkan ubah bagian: if (data[j]<data[j-1]) tukar(&data[j],&data[j-1]); Menjadi: if (data[j]>data[j-1]) tukar(&data[j],&data[j-1]); • “The bubble sort is an easy algorithm to program, but it is slower than many other sorts”
  • 62.
    Exchange Sort • Sangatmirip dengan Bubble Sort • Banyak yang mengatakan Bubble Sort sama dengan Exchange Sort • Pebedaan : dalam hal bagaimana membandingkan antar elemen-elemennya. – Exchange sort membandingkan suatu elemen dengan elemen-elemen lainnya dalam array tersebut, dan melakukan pertukaran elemen jika perlu. Jadi ada elemen yang selalu menjadi elemen pusat (pivot). – Sedangkan Bubble sort akan membandingkan elemen pertama/terakhir dengan elemen sebelumnya/sesudahnya, kemudian elemen tersebut itu akan menjadi pusat (pivot) untuk dibandingkan dengan elemen sebelumnya/sesudahnya lagi, begitu seterusnya.
  • 63.
  • 64.
  • 65.
  • 66.
    Exchange Sort (5) •Prosedur Exchange Sort
  • 67.
    Selection Sort • Merupakankombinasi antara sorting dan searching • Untuk setiap proses, akan dicari elemen-elemen yang belum diurutkan yang memiliki nilai terkecil atau terbesar akan dipertukarkan ke posisi yang tepat di dalam array. • Misalnya untuk putaran pertama, akan dicari data dengan nilai terkecil dan data ini akan ditempatkan di indeks terkecil (data[0]), pada putaran kedua akan dicari data kedua terkecil, dan akan ditempatkan di indeks kedua (data[1]). • Selama proses, pembandingan dan pengubahan hanya dilakukan pada indeks pembanding saja, pertukaran data secara fisik terjadi pada akhir proses.
  • 68.
    Selection Sort: contoh 1 2 3 4 5 6 5 2 4 6 1 3 Carilah elemen terkecil & 1 tukar dengan “5” 1 2 3 4 5 6 2 1 2 4 6 5 3 1 fixed. Carilah elemen terkecil & tukar dengan “2” 3 1 2 3 4 5 6 1 2 4 6 5 3 1,2 fixed. Carilah elemen terkecil & tukar dengan “4” 4 1 2 3 4 5 6 1 2 3 6 5 4 1,2,3 fixed. Carilah elemen 5 1 2 3 4 5 6 terkecil & tukar dengan “6” 1,2,3,4 fixed. Carilah elemen 6 1 2 3 4 5 6 1 2 3 4 5 6 terkecil & tukar dengan “5” 1 2 3 4 5 6 1,2,3,4,5 fixed, otomatis elemen terakhir sudah pada posisi yang benar
  • 69.
  • 70.
    Beberapa Algoritma Sorting 1. Bubble Sort 2. Selection Sort 3. Insertion Sort 4. Merge Sort 5. Quick Sort
  • 71.
    Bubble Sort: pseudocode BUBBLESORT(A) 1for i←1 to length[A] 2 do for j←length[A] downto i+1 3 do if A[j] < A[j-1] 4 then exchange A*j+ ↔ A*j-1]