MATRIKS
Setelah menyaksikan  tayangan ini anda dapat menentukan penyelesaian suatu persamaan matrik dengan menggunakan sifat dan operasi matrik
Perhatikan Tabel:  Absensi siswa kelas III Bulan: Februari 2006 1 1 5 Cicha 0 2 1 Budi 3 1 0 Agus Alpa Ijin Sakit Nama Siswa
Jika judul baris dan kolom dihilangkan Judul kolom Judul  baris 1 1 5 Cicha 0 2 1 Budi 3 1 0 Agus Alpa Ijin Sakit Nama Siswa
Maka terbentuk susunan bilangan sebagai berikut: 0  1  3 1  2  0 5  1  1 disebut matriks
Matriks   adalah Susunan bilangan berbentuk persegipanjang yang diatur dalam baris dan kolom, ditulis diantara kurung kecil  atau siku
Bilangan yang disusun  disebut elemen. Banyak baris x banyak kolom disebut ordo matriks. Sebuah matriks ditulis dengan huruf besar
Contoh: Matriks A = baris ke 1 baris ke 2 kolom ke 1 kolom ke 2 kolom ke 3 matriks A berordo 2 x 3 4  adalah elemen baris ke 2  kolom ke 1
Matriks persegi Adalah matriks yang banyak baris dan kolom sama
Contoh: Banyak baris 4, banyak kolom 4 A adalah matriks berordo 4 A =  diagonal utama
A =  A adalah matriks segitiga atas yaitu matriks yang elemen-elemen di bawah diagonal utamanya bernilai nol Perhatikan matriks berikut:
B =  B adalah matriks segitiga bawah yaitu matriks yang elemen-elemen di atas diagonal utamanya bernilai nol Perhatikan matriks berikut:
C =  C adalah matriks diagonal yaitu matriks persegi yang elemen- elemen di bawah dan di atas diagonal utama bernilai nol Perhatikan matriks berikut:
I  =  I  adalah matriks Identitas yaitu matriks diagonal yang elemen-elemen pada diagonal utama bernilai satu Perhatikan matriks berikut:
Transpos Matriks Transpos matriks A, ditulis A t adalah matriks baru dimana elemen baris matriks A t merupakan kolom matriks A
Transpos matriks A A = adalah A t  =
Kesamaan Dua Matriks matriks A = matriks B jika ordo matriks A = ordo matriks B elemen yang seletak sama
dan B =  A = Jika  matriks A = matriks B,  maka x – 7 = 6    x = 13 2y = -1    y = - ½
Contoh 1: Diketahui K = dan  L = Jika K = L, maka r adalah….
Bahasan: K = L = p = 6;  q = 2p    q = 2.6 = 12 3r = 4q    3r = 4.12 = 48 jadi  r = 48 : 3 = 16
Misalkan A = dan B = Jika A t  adalah transpos matriks A maka persamaan A t  = B dipenuhi bila x = …. Contoh 2:
Bahasan: A = = A t  = B A t  =
x + y = 1 x – y = 3 2x = 4 Jadi x = 4 : 2 = 2 
Operasi Pada Matriks Penjumlahan Pengurangan Perkalian:    perkalian skalar dengan matriks    perkalian matriks dengan matriks
Penjumlahan/pengurangan  Matriks A dan B  dapat dijumlahkan/dikurangkan, jika ordonya sama.  Hasilnya merupakan jumlah/selisih elemen-elemen yang seletak
Contoh 1: dan B = A = A  +  B  = +  =
Jika A = ,  B = dan C = Maka (A + C) – (A + B) =…. Contoh 2:
(A + C) – (A + B) = A + C – A – B  = C – B =  = = Bahasan
Perkalian skalar dengan matriks  Jika  k  suatu bilangan (skalar) maka perkalian  k  dengan matriks A ditulis  k. A, adalah  matriks yang elemennya diperoleh dari hasil kali k  dengan setiap elemen matriks A
Matriks A = Tentukan elemen-elemen matriks 5A! Jawab: 5A =  Contoh 1:
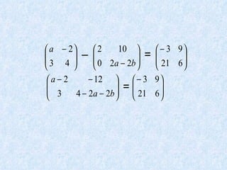
Matriks A = , B = dan C = Jika A  – 2B  = 3C,  maka a + b = …. Contoh 2:
=  3 –  = A  – 2B  = 3C –  2  Bahasan
–  = =
= a – 2 = -3    a = -1 4 – 2a – 2b = 6 4 + 2 – 2b = 6 6 – 2b = 6 -2b = 0    b = 0 Jadi a + b = -1 + 0 = -1
Matriks A = dan B = Supaya dipenuhi A = 2B t , dengan B t  adalah matriks transpos  dari B maka nilai  m  = …. Contoh 3:
B = berarti B t  = A = 2B t = Bahasan
A = 2B t = = =
= 4 =   2 k    k  = 2 2 l =  4 k  + 2    2 l  = 4.2 + 2   2 l =  10    l =  5 3 m =  2 l +  14 3 m =  2.5 + 14 = 24 Jadi  m =  8

Matriks 2

  • 1.
  • 2.
    Setelah menyaksikan tayangan ini anda dapat menentukan penyelesaian suatu persamaan matrik dengan menggunakan sifat dan operasi matrik
  • 3.
    Perhatikan Tabel: Absensi siswa kelas III Bulan: Februari 2006 1 1 5 Cicha 0 2 1 Budi 3 1 0 Agus Alpa Ijin Sakit Nama Siswa
  • 4.
    Jika judul barisdan kolom dihilangkan Judul kolom Judul baris 1 1 5 Cicha 0 2 1 Budi 3 1 0 Agus Alpa Ijin Sakit Nama Siswa
  • 5.
    Maka terbentuk susunanbilangan sebagai berikut: 0 1 3 1 2 0 5 1 1 disebut matriks
  • 6.
    Matriks adalah Susunan bilangan berbentuk persegipanjang yang diatur dalam baris dan kolom, ditulis diantara kurung kecil atau siku
  • 7.
    Bilangan yang disusun disebut elemen. Banyak baris x banyak kolom disebut ordo matriks. Sebuah matriks ditulis dengan huruf besar
  • 8.
    Contoh: Matriks A= baris ke 1 baris ke 2 kolom ke 1 kolom ke 2 kolom ke 3 matriks A berordo 2 x 3 4 adalah elemen baris ke 2 kolom ke 1
  • 9.
    Matriks persegi Adalahmatriks yang banyak baris dan kolom sama
  • 10.
    Contoh: Banyak baris4, banyak kolom 4 A adalah matriks berordo 4 A = diagonal utama
  • 11.
    A = A adalah matriks segitiga atas yaitu matriks yang elemen-elemen di bawah diagonal utamanya bernilai nol Perhatikan matriks berikut:
  • 12.
    B = B adalah matriks segitiga bawah yaitu matriks yang elemen-elemen di atas diagonal utamanya bernilai nol Perhatikan matriks berikut:
  • 13.
    C = C adalah matriks diagonal yaitu matriks persegi yang elemen- elemen di bawah dan di atas diagonal utama bernilai nol Perhatikan matriks berikut:
  • 14.
    I = I adalah matriks Identitas yaitu matriks diagonal yang elemen-elemen pada diagonal utama bernilai satu Perhatikan matriks berikut:
  • 15.
    Transpos Matriks Transposmatriks A, ditulis A t adalah matriks baru dimana elemen baris matriks A t merupakan kolom matriks A
  • 16.
    Transpos matriks AA = adalah A t =
  • 17.
    Kesamaan Dua Matriksmatriks A = matriks B jika ordo matriks A = ordo matriks B elemen yang seletak sama
  • 18.
    dan B = A = Jika matriks A = matriks B, maka x – 7 = 6  x = 13 2y = -1  y = - ½
  • 19.
    Contoh 1: DiketahuiK = dan L = Jika K = L, maka r adalah….
  • 20.
    Bahasan: K =L = p = 6; q = 2p  q = 2.6 = 12 3r = 4q  3r = 4.12 = 48 jadi r = 48 : 3 = 16
  • 21.
    Misalkan A =dan B = Jika A t adalah transpos matriks A maka persamaan A t = B dipenuhi bila x = …. Contoh 2:
  • 22.
    Bahasan: A == A t = B A t =
  • 23.
    x + y= 1 x – y = 3 2x = 4 Jadi x = 4 : 2 = 2 
  • 24.
    Operasi Pada MatriksPenjumlahan Pengurangan Perkalian:  perkalian skalar dengan matriks  perkalian matriks dengan matriks
  • 25.
    Penjumlahan/pengurangan  MatriksA dan B dapat dijumlahkan/dikurangkan, jika ordonya sama.  Hasilnya merupakan jumlah/selisih elemen-elemen yang seletak
  • 26.
    Contoh 1: danB = A = A + B = + =
  • 27.
    Jika A =, B = dan C = Maka (A + C) – (A + B) =…. Contoh 2:
  • 28.
    (A + C)– (A + B) = A + C – A – B = C – B =  = = Bahasan
  • 29.
    Perkalian skalar denganmatriks  Jika k suatu bilangan (skalar) maka perkalian k dengan matriks A ditulis k. A, adalah matriks yang elemennya diperoleh dari hasil kali k dengan setiap elemen matriks A
  • 30.
    Matriks A =Tentukan elemen-elemen matriks 5A! Jawab: 5A = Contoh 1:
  • 31.
    Matriks A =, B = dan C = Jika A – 2B = 3C, maka a + b = …. Contoh 2:
  • 32.
    = 3– = A – 2B = 3C – 2 Bahasan
  • 33.
  • 34.
    = a –2 = -3  a = -1 4 – 2a – 2b = 6 4 + 2 – 2b = 6 6 – 2b = 6 -2b = 0  b = 0 Jadi a + b = -1 + 0 = -1
  • 35.
    Matriks A =dan B = Supaya dipenuhi A = 2B t , dengan B t adalah matriks transpos dari B maka nilai m = …. Contoh 3:
  • 36.
    B = berartiB t = A = 2B t = Bahasan
  • 37.
    A = 2Bt = = =
  • 38.
    = 4 = 2 k  k = 2 2 l = 4 k + 2  2 l = 4.2 + 2 2 l = 10  l = 5 3 m = 2 l + 14 3 m = 2.5 + 14 = 24 Jadi m = 8