YESHWANTRAO CHAVAN COLLEGE OF
ENGINEERING
Department of
ELECTRONICS and TELECOMMUNICATION
Presented by- Group 1
Guided by-Prof. A. H. Siddiqui
Topic-Numerical Method-1
NEWTON RAPHSON METHOD
Formula:
Que 1: Find the real roots using Raphson Method
3x = cosx + 1
Ans-
Solution :
f(x) = 3x- cosx -1 f ‘(x)= 3+sinx
f(0) = -2
f(1) = 1.4597
Since +ve and –ve root found
Thus roots lie between [0,1]
Take x0 = 0.5
xn+1 = xn -3xn-cosxn - 1/3+sinxn
Since last two consecutive values are same so 0.607 is the
Real root
f(x) f ‘(x) x = x-f(x)/f ’(x)
-0.3776 3.4794 0.6085
x1 = 0.6085 0.00499 3.5716 0.607
x2 = 0.607 0.00036 3.5704 0.607
Que2 : Find the real roots of the equation
x = e-x
Solution :
f(x) = xex -1 = 0
f ’(x) = ex + xex
Root lies in the interval [0,1]
We will start with x0 = 1
f(x) f ‘(x) x = x-f(x)/f ’(x)
x0=1 1.71828 2 0.6839397
x1 = 0.6839397 0.3553424 3.337012 0.57745
x2 = 0.57745 0.02872 2.810211 0.56723
x3= 0.56723 0.00023 2.763615 0.567146
Thus the real root is 0.567
Method of false position (or regula falsi method)
Formula:
Que 3. Find the real root of the equation
by method of Regula Falsi method.
ANS. Let f(x)=
.
Now f(1)= = -0.28172 i.e –ve and
f(1.1)= = 0.30458 i.e +ve
therefore root lies between 1 and 1.1
further f(1)< f(1.1) numerically,hence we take first
=
approximations as
F( ) = -0.0112 (-ve)
Therefore root lies between
Let
=
Real root of given equation is 1.05 approx.
Que4. Find the root of the equation
near to x=1, by method of false position.
ANS. Let f(x) =
f(0)=-1 and f(1)=1
root lies between 1 and 0.
take
= 0.5
Now f( )=f(0.5)=-0.375(-ve)
f(0.5) and f(1) have opposite signs, hence root lies between
0.5 and 1
=0.64
and f( )=f(0.64)=-0.0979(-ve)
root lies between 0.64 and 1 as f(0.64) and f(1) have opposite signs.
=0.672
Approximate root of f(x)=0 near to x=1 is 0.672.
Que 5-Find the root of following equation using Regula-Falsi method.
ANS:
Let f(x) =
f(0.35) = 0.019 and f(0.36) = -0.00667 have opposite sign
Hence root lies between 0.35 and 0.36.
As, f(0.35) > f(0.36)
= 0.36 and = 0.35
= 0.3574
Now, f( ) = f(0.3574) = 0.001207
Here, f(0.36) and f(0.3574) has opposite sign
= 0.3574
Hence, Approximate root of given equation is 0.3574
Bisection method
Formulae:
1) X2 = (X0+X1)/2
2) X3 = (X1+X2)/2
Que6. Find the approximate root of by bisection method.
Solution:
Let,
Step 1:
To find
463  xx
463)(  xxxf
1)1(
4)0(


f
f
But, f(0) and f(1) have opposite signs. Therefore roots lies between 0 and 1.
x2
2
10
2
xx
x


00
x 11
x
125.1)(
5.0
2
10
2
2




x
x
f
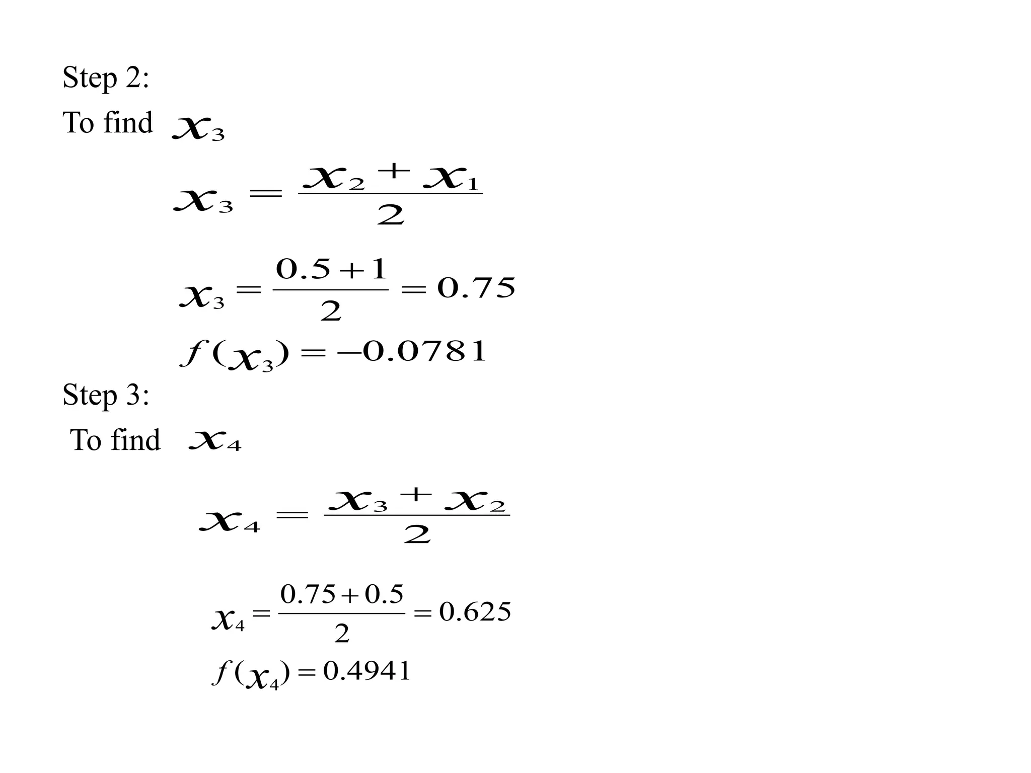
Step 2:
To find
Step 3:
To find
x3
2
12
3
xx
x


0781.0)(
75.0
2
15.0
3
3




x
x
f
x4
2
23
4
xx
x


4941.0)(
625.0
2
5.075.0
4
4




x
x
f
Step 4:
To find
Step 5:
To find
x5
2
34
5
xx
x


19995.0)(
6875.0
2
75.0625.0
5
5




x
x
f
x6
2
35
6
xx
x


0588.0)(
71875.0
2
75.06875.0
6
6




x
x
f
The approximate root of the given equation is 0.71875
Que7. FIND THE REAL ROOT BY BISECTION METHOD FOR f(x)=X³+X-
1
Ans: Now, from the table,
f(0.6) and f(0.7) have opposite signs
.·. the root lies between 0.6 and 0.7
Also, numerically f(0.7) < f(0.6)
.·. x₀ = 0.7 and x₁ = 0.6
Now, by bisection formula,
x ₂ = ( x₁ + x₀ ) / 2 = 0.65
.·. F(x₂) = -0.75
x₃ = (0.7+0.65)/2 = 0.675
F(x₃ ) = -0.01745
X 0.0 0.1 0.2 0.3 0.4 0.5 0.6 0.7 0.8 0.9 1.0
F(X) -1 -0.899 -0.792 -0.673 -0.536 -0.375 -0.184 0.0
43
0.31
2
0.629 1
X₄ = (0.675 + 0.7)/2 = 0.6875
f(x₄) = 0.01245
x₅ = (0.675 + 0.6875)/2 = 0.68125
f(x₅) = - 0.00258
x₆ = (0.68125 + 0.6875)/2 = 0.6843
f(x₆) = 0.00473
x₇ = (0.6843 + 0.681250)/2 = 0.6827
f(x₇) = 0.00089
x₈ = (0.6827 + 0.68125)/2 = 0.6820
Therefore , the root of the given equation is x = 0.6820
DIRECT ITERSTION METHOD OR METHOD OF
SUCCESSIVE APPROXIMATION
Que8. Using iteration method , find the roots of the following equation.
1)
Solution:
5.00
x
 
 
 
   
   
4
133
xlet:1case
.(iii)..........
3
1
.(ii)..........
13
(i)..........13
rootionapproximatfirstthe;5.0Let
13
4
3-
'
4
1
4
4
1
4
4
0
4
13
13












x
x
x
x
x
x
xxf
xxf
x
x
x
x
x
x


,0134
 xx
 
 
 
 
 
 
  0.3541
3
15.0
3
1
3
1
Now,
formula.suitableisthis,1thanlessisthisAs
1
0.1666
3
4
3
1
xLet:2case
e.convergencforsuitablenotiswhich1,
2613.1
44
0
1
4
0
'
0
'
3
'
4
0
'
0
'














x
x
x
x
x
x
x
x
x
x
x






 
 
 
 
0.3376isrootionapproximatourHence,
3376.0
3
13376.0
3
1
3376.0
3
13377.0
3
1
3377.0
3
13385.0
3
1
3385.0
3
13541.0
3
1
44
4
5
44
3
4
44
2
3
44
1
2




















x
x
x
x
x
x
x
x
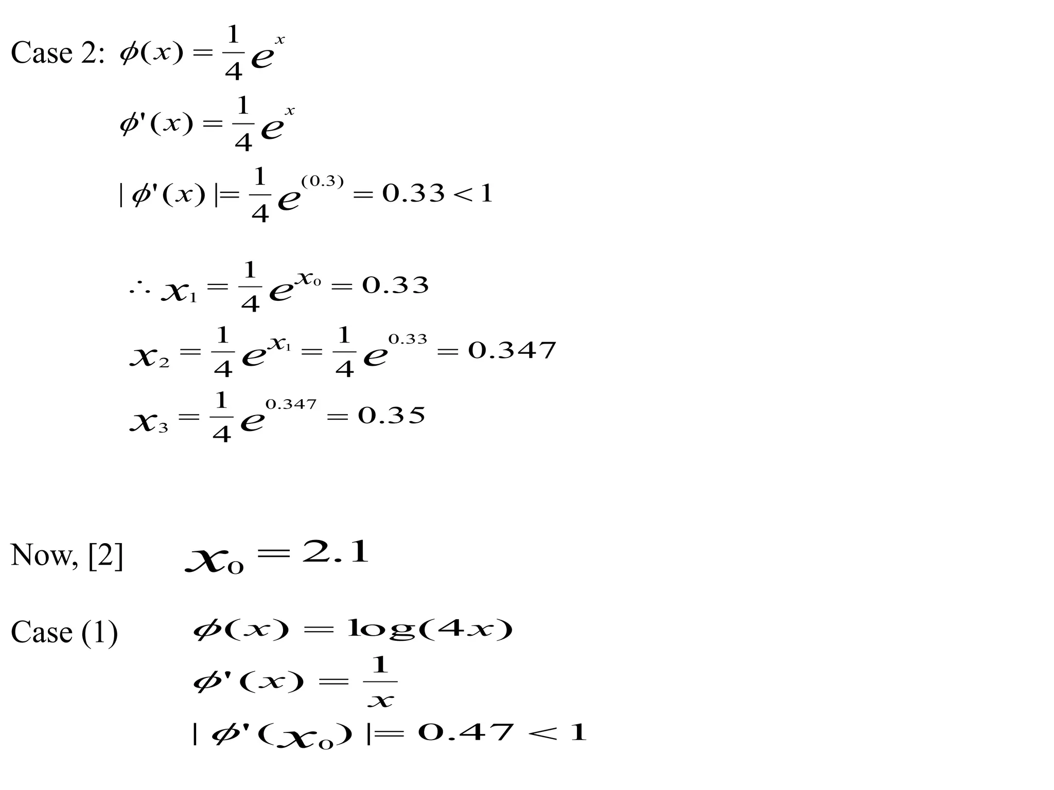
Que9.The equation has two roots near i)0.3 and ii)2.1
Find them by iteration method. Equation is
-4x=0.
Solution:-
Let f(x)= -4x=0
(i) = 0.3
x=log(4x) --------(1)
----------(2)
Case 1: Let,
e
x
e
x
x0
xe
x
4
e
x
x
4
1

13.3|)('|
4
4
1
)('
)4log()(
0



x
x
x
xx



Case 2:
Now, [2]
Case (1)
133.0
4
1
|)('|
4
1
)('
4
1
)(
)3.0(



e
e
e
x
x
x
x
x



35.0
4
1
347.0
4
1
4
1
33.0
4
1
347.0
3
33.0
2
1
1
0



ex
eex
ex
x
x
1.20
x
147.0|)('|
1
)('
)4log()(
0



x
x
x
xx



Now,
15.2)147.24ln(
147.2)14.24ln(
128.2)1.24ln()4ln(
3
2
1



x
x
xx o
152.2)152.24ln(
152.2)151.24ln(
151.2)15.24ln(
6
5
4



x
x
x
152.2x
Presented by Group:1
Roll no. Name
101 - Aditi Bobhate
102 - Aishwarya Ambulkar
103 - Aishwarya Joshi
104 - Akanksha Tirpude
105 - Ankita Tidke
106 - Ankita Khadatkar
107 - Ashwini Apurkar
108 - Bhakti Dhakhulkar
109 - Divya Lashkare
110 - Himanshi Shahu
111 - Maithili Pande
112 - Manasi Vyavhare
Numerical Method

Numerical Method

  • 1.
    YESHWANTRAO CHAVAN COLLEGEOF ENGINEERING Department of ELECTRONICS and TELECOMMUNICATION Presented by- Group 1 Guided by-Prof. A. H. Siddiqui Topic-Numerical Method-1
  • 2.
  • 3.
    Que 1: Findthe real roots using Raphson Method 3x = cosx + 1 Ans- Solution : f(x) = 3x- cosx -1 f ‘(x)= 3+sinx f(0) = -2 f(1) = 1.4597 Since +ve and –ve root found Thus roots lie between [0,1] Take x0 = 0.5 xn+1 = xn -3xn-cosxn - 1/3+sinxn Since last two consecutive values are same so 0.607 is the Real root f(x) f ‘(x) x = x-f(x)/f ’(x) -0.3776 3.4794 0.6085 x1 = 0.6085 0.00499 3.5716 0.607 x2 = 0.607 0.00036 3.5704 0.607
  • 4.
    Que2 : Findthe real roots of the equation x = e-x Solution : f(x) = xex -1 = 0 f ’(x) = ex + xex Root lies in the interval [0,1] We will start with x0 = 1 f(x) f ‘(x) x = x-f(x)/f ’(x) x0=1 1.71828 2 0.6839397 x1 = 0.6839397 0.3553424 3.337012 0.57745 x2 = 0.57745 0.02872 2.810211 0.56723 x3= 0.56723 0.00023 2.763615 0.567146 Thus the real root is 0.567
  • 5.
    Method of falseposition (or regula falsi method) Formula:
  • 6.
    Que 3. Findthe real root of the equation by method of Regula Falsi method. ANS. Let f(x)= . Now f(1)= = -0.28172 i.e –ve and f(1.1)= = 0.30458 i.e +ve therefore root lies between 1 and 1.1 further f(1)< f(1.1) numerically,hence we take first = approximations as
  • 7.
    F( ) =-0.0112 (-ve) Therefore root lies between Let = Real root of given equation is 1.05 approx.
  • 8.
    Que4. Find theroot of the equation near to x=1, by method of false position. ANS. Let f(x) = f(0)=-1 and f(1)=1 root lies between 1 and 0. take = 0.5 Now f( )=f(0.5)=-0.375(-ve) f(0.5) and f(1) have opposite signs, hence root lies between 0.5 and 1 =0.64
  • 9.
    and f( )=f(0.64)=-0.0979(-ve) rootlies between 0.64 and 1 as f(0.64) and f(1) have opposite signs. =0.672 Approximate root of f(x)=0 near to x=1 is 0.672.
  • 10.
    Que 5-Find theroot of following equation using Regula-Falsi method. ANS: Let f(x) = f(0.35) = 0.019 and f(0.36) = -0.00667 have opposite sign Hence root lies between 0.35 and 0.36. As, f(0.35) > f(0.36) = 0.36 and = 0.35 = 0.3574 Now, f( ) = f(0.3574) = 0.001207 Here, f(0.36) and f(0.3574) has opposite sign = 0.3574 Hence, Approximate root of given equation is 0.3574
  • 11.
    Bisection method Formulae: 1) X2= (X0+X1)/2 2) X3 = (X1+X2)/2
  • 12.
    Que6. Find theapproximate root of by bisection method. Solution: Let, Step 1: To find 463  xx 463)(  xxxf 1)1( 4)0(   f f But, f(0) and f(1) have opposite signs. Therefore roots lies between 0 and 1. x2 2 10 2 xx x   00 x 11 x 125.1)( 5.0 2 10 2 2     x x f
  • 13.
    Step 2: To find Step3: To find x3 2 12 3 xx x   0781.0)( 75.0 2 15.0 3 3     x x f x4 2 23 4 xx x   4941.0)( 625.0 2 5.075.0 4 4     x x f
  • 14.
    Step 4: To find Step5: To find x5 2 34 5 xx x   19995.0)( 6875.0 2 75.0625.0 5 5     x x f x6 2 35 6 xx x   0588.0)( 71875.0 2 75.06875.0 6 6     x x f
  • 15.
    The approximate rootof the given equation is 0.71875
  • 16.
    Que7. FIND THEREAL ROOT BY BISECTION METHOD FOR f(x)=X³+X- 1 Ans: Now, from the table, f(0.6) and f(0.7) have opposite signs .·. the root lies between 0.6 and 0.7 Also, numerically f(0.7) < f(0.6) .·. x₀ = 0.7 and x₁ = 0.6 Now, by bisection formula, x ₂ = ( x₁ + x₀ ) / 2 = 0.65 .·. F(x₂) = -0.75 x₃ = (0.7+0.65)/2 = 0.675 F(x₃ ) = -0.01745 X 0.0 0.1 0.2 0.3 0.4 0.5 0.6 0.7 0.8 0.9 1.0 F(X) -1 -0.899 -0.792 -0.673 -0.536 -0.375 -0.184 0.0 43 0.31 2 0.629 1
  • 17.
    X₄ = (0.675+ 0.7)/2 = 0.6875 f(x₄) = 0.01245 x₅ = (0.675 + 0.6875)/2 = 0.68125 f(x₅) = - 0.00258 x₆ = (0.68125 + 0.6875)/2 = 0.6843 f(x₆) = 0.00473 x₇ = (0.6843 + 0.681250)/2 = 0.6827 f(x₇) = 0.00089 x₈ = (0.6827 + 0.68125)/2 = 0.6820 Therefore , the root of the given equation is x = 0.6820
  • 18.
    DIRECT ITERSTION METHODOR METHOD OF SUCCESSIVE APPROXIMATION
  • 19.
    Que8. Using iterationmethod , find the roots of the following equation. 1) Solution: 5.00 x               4 133 xlet:1case .(iii).......... 3 1 .(ii).......... 13 (i)..........13 rootionapproximatfirstthe;5.0Let 13 4 3- ' 4 1 4 4 1 4 4 0 4 13 13             x x x x x x xxf xxf x x x x x x   ,0134  xx
  • 20.
                 0.3541 3 15.0 3 1 3 1 Now, formula.suitableisthis,1thanlessisthisAs 1 0.1666 3 4 3 1 xLet:2case e.convergencforsuitablenotiswhich1, 2613.1 44 0 1 4 0 ' 0 ' 3 ' 4 0 ' 0 '               x x x x x x x x x x x      
  • 21.
           0.3376isrootionapproximatourHence, 3376.0 3 13376.0 3 1 3376.0 3 13377.0 3 1 3377.0 3 13385.0 3 1 3385.0 3 13541.0 3 1 44 4 5 44 3 4 44 2 3 44 1 2                     x x x x x x x x
  • 22.
    Que9.The equation hastwo roots near i)0.3 and ii)2.1 Find them by iteration method. Equation is -4x=0. Solution:- Let f(x)= -4x=0 (i) = 0.3 x=log(4x) --------(1) ----------(2) Case 1: Let, e x e x x0 xe x 4 e x x 4 1  13.3|)('| 4 4 1 )(' )4log()( 0    x x x xx   
  • 23.
    Case 2: Now, [2] Case(1) 133.0 4 1 |)('| 4 1 )(' 4 1 )( )3.0(    e e e x x x x x    35.0 4 1 347.0 4 1 4 1 33.0 4 1 347.0 3 33.0 2 1 1 0    ex eex ex x x 1.20 x 147.0|)('| 1 )(' )4log()( 0    x x x xx   
  • 24.
  • 25.
    Presented by Group:1 Rollno. Name 101 - Aditi Bobhate 102 - Aishwarya Ambulkar 103 - Aishwarya Joshi 104 - Akanksha Tirpude 105 - Ankita Tidke 106 - Ankita Khadatkar 107 - Ashwini Apurkar 108 - Bhakti Dhakhulkar 109 - Divya Lashkare 110 - Himanshi Shahu 111 - Maithili Pande 112 - Manasi Vyavhare