UNIVERSITY OF HAWAI'I LIBRARY
INFLUENCE OF ULTRAVIOLET RADIATION
ON THE PIGMENTATION AND GROWTH OF
THE RED ALGA, GRACILARIA sALICORNIA
.,.
A THESIS SUBMITTED TO THE GRADUATE DIVISION OF THE
UNIVERSITY OF HAWAI'I IN PARTIAL FlJLFILUv.fENT
OF THE REQUIREMENTS FOR THE DEGREE OF
MASTER OF SCIENCE
IN
OCEANOGRAPHY
AUGUST 2005
By
Kevin E. Kelly
Thesis committee:
Edward A. Laws, Chairperson
Robert R, Bidigare
Robert A. Kinzie
We certify that we have read this thesis and that, in our opinion, it is
satisfactory in scope and quality as a thesis for the degree of Master of
Science in Oceanography
THESIS COMMITTEE
Chairperson
ii
ACKNOWLEDGEMENTS
I was invited to interview with the DH Oceanography department in 1997, and was taken
by the island and friendly, relaxed atmosphere of the students and professors. I paid less
attention to the research being conducted. It became obvious that the program was not a
perfect fit as I spent my first two years avoiding lab work and any ideas for a thesis topic.
Oh Plan B, why weren't you there for me? I want to thank the department for the OCN
201 TAship that supported me then. I finally ventured into a lab and began a project,
only to have my field work trigger an international incident. I thank Rich Radkte for that
memorable trip to Greenland. While I always knew I would finish, I lost most believers
over the next two years, where my only link to DH was my OCN 699 tuition payment. I
want to thank the professor who gave me passing marks for those credits, and kept alive
the hope that one day I may graduate. The creation of the Marine Biotechnology and
Engineering Center (MarBEC) piqued my interest, motivating me to begin a research
project. For one really fun summer, I was supported by NASA and worked at the Ames
Research Center in Dr. Lynn Rothschild lab. Dispite returning to Hawaii with a large yet
unacceptable data set, I am very appreciative for the chance to experience life at a NASA
campus. Through a fortuitous clause in the MarBEC contract with NSF (that prematurely
shut down), funding would be available until I graduated. I thank those who would not
leave me unfunded after the program closed. I thank my committee for patiently dealing
with me for an extremely long time, Fred Mecher and Rick Spencer of Hawaii Marine
Enterprises for their generosity, Nancy Koike for her surprised look every time I came
by, Steph Christensen for her great attitude and help with my lab analysis, my mom, who
will never admit that she lost faith in me, and my wife, Irene, who never did lose faith.
iii
ABSTRACT
Physiological damage to macroalgae from both UVA (320-400 nm) and UVB (280-320
nm) radiation is well documented in the scientific literature. Due to the occurrence of
mycosporine-like amino acids (MAAs) in marine algae from the poles to the tropics, and
their UV absorption maxima between 310 and 360 nm, it is assumed that MAAs act as
sunscreens to counter this stress while allowing the light-harvesting pigments to absorb
the maximum photosynthetically active radiation (PAR, 400-700 nm) for growth. This
study agrees with previous investigations that MAA concentration is positively correlated
with natural doses of UV radiation. In addition, this study addresses the metabolic cost
of producing these photoprotective compounds. Specifically, does this metabolic cost
impact growth rate? Gracilaria salicornia was grown in both UV transparent (full
sunlight) and UV filtered (50% reduced irradiance below 350 nm) 40-liter tanks, and
growth rate and intracellular concentrations of photosynthetic pigments were compared
during two time-series experiments (14 and 21 days) between June and August, 2003. Of
the five MAAs consistently detected, porphra-334 (Amax=334) showed the quickest and
most substantial divergence in concentration between the two treatments (full sunlight =
higher concentration). Shinorine (Amax=334) and palythine (/"max=320) responses
generally lagged by two to three days and were less pronounced. The concentration of
palythene (Amax=360) and mycosporine-glycine (Amax=309) also diverged, but differences
were very small for most days in each time-series. Pigment responses also diverged
midway through the experiment, with carotenoid concentration in the control treatment
increasing relative to the experimental treatment. Growth rates between the two
treatments were not statistically different.
iv
TABLE OF CONTENTS
Acknowledgements iii
Abstract .iv
List of Tables vi
List of Figures vii
Chapter 1: Introduction l
Physiological Effects of UV Radiation 2
Mycosporine-like amino acids 4
Description 4
Photoprotective role of MAAs 5
Mechanisms for MAA induction 7
Photoprotective Carotenoids 8
Description of Gracilaria salicornia 9
This Study 13
Chapter 2. Materials and Methods 15
Experimental Design 15
On-site techniques 15
Algal maintenance 15
Irradiance measurements 16
Growth rate measurements 17
Harvest method 18
Analytical methods 18
MAA analysis 18
Pigment analysis 22
Determining dry weight and MAA to protein 23
Statistical Analyses 24
Chapter 3. Results 25
Irradiance 25
Growth Rate 25
Zeaxanthin Concentration 26
MAA Induction and Concentration 28
Total MAA Concentration 28
Individual MAA concentrations 28
Variation of MAA concentrations within individual thalli.. 33
Chapter 4. Discussion 35
Variation in MAA production between control and treatment samples 37
Variation in growth rate between control and treatment samples 39
Variation in concentration of MAAs between control and treatment samples 39
Chapter 5. Conclusions and Future Directions .42
References 45
v
LIST OF TABLES
1.1 UV radiation levels at polar, temperate, and tropicallatitudes 2
1.2 Protein concentration as a percentage of dry weight 11
1.3 Concentrations of seven MAAs from 1994 survey 12
2.1 Irradiance of UV opaque algae as percentage of UV-transparent algae I?
2.2 Publish, measured and calculated data to determine MAA response factors 20
3.1 Two-tailed paired t-test statistics (growth rate) 25
3.2 One-tailed paired t-test statistics (zeaxanthin concentration) 26
3.3 Zeaxanthin concentrations, percent increase and percent difference 26
3.4 P-values for one-tailed paired t-test (MAA concentrations) 30
3.5 Maximum concentration, percent increase and percent difference (Run A) 32
3.6 Maximum concentration, percent increase and percent difference (Run B) 33
4.1 Selected algae with high [MAA] from 11 separate surveys 36
VI
LIST OF FIGURES
Figure Page
1.1 Gracilaria salicomia 9
1.2 Molecular structure of MAAs found in G. salicomia 13
2.1 Irradiance Spectra for Control and Treatment 17
2.2 Linear range of the Beckman-Coulter HPLC 21
2.3 Ratio of wet weight to dry weight for samples of G. salicomia 24
3.1 Comparison of irradiance, growth and photoprotectants 27
3.2 Comparison of concentrations of the major MAAs 29
3.3 Comparison of concentrations of the minor MAAs 31
3.4 Cross-sectional gradient in the concentration of MAAs 34
vii
CHAPTER 1. INTRODUCTION
All photosynthetic organisms rely on solar radiation as their primary source of energy.
Photosynthetically active radiation (PAR) is the range of the solar spectrum within which
oxygenic phototrophs are able to convert the sun's energy into chemical energy. PAR is
commonly considered to range from 400 to 700 nm, as there is too little energy to drive
photosynthesis at wavelengths longer than 700 nm, and the efficiency of energy transfer
in the chloroplast's reaction center is very low at wavelengths shorter than 400 nm
(Rothschild 1999). Short wavelength radiation, below 400 nm (i.e., ultraviolet radiation,
UVR), contains higher energy per photon and commonly causes photodamage to living
organisms. The stratospheric ozone layer has a high absorption coefficient for UVB
radiation (280-320 nm) and is primarily responsible for absorbing much of the energy in
this waveband. Depletion of the ozone layer by chlorofluorocarbons is likely the cause
for increased levels of UVB striking the earth's surface (Smith et al. 1992). UVA (320-
400 nm) and PAR (400-700 nm) are not strongly attenuated by the atmosphere and ozone
layer and, thus, are relatively insensitive to ozone thinning (Franklin and Forster 1997).
While higher levels of UVA radiation do reach the earth's surface relative to UVB, the
energy transmitted per photon is much lower.
The energy of incident UV radiation (UVR) is primarily dependent on season and
latitude, with the highest levels occurring during the summer months at all locations. At
higher latitudes, the reduced flux of UVR is offset by longer summer days, effectively
increasing the total daily dose to levels higher than received in the tropics. Nevertheless,
1
on an annual basis, the tropics receive 1.5 to three fold higher levels of UVR (Kirk 1994).
Table 1.1 provides published data for peak sea level radiation levels across latitudes.
. all . d 1dI
All measurements taken at noon dunng summer
T bIll UV d" I Ia e ra IatlOn eve s at po ar, temperate an tropIC atItu es
UVB (280-320) Wm-L
UVA (320-400) Wm-L
Source
Spitsbergen,
0.8-1.2 Wm-2
15-20 Wm-2
Karsten et al1998a.
Norway (80
0
N)
Bremerhaven,
1.5-2.0 Wm-2
20-35 Wm-2
Karsten et al 1998a.
Germany (53°N)
Southern Spain
2.0-2.5 Wm-2
35-50Wm-2
Karsten et al 1998a.
(35°N)
Victoria,
2.2-2.4 Wm-2
70Wm-2 Karsten and West
Australia (35°S) 2000.
Kaneohe Bay,
2.5-3.1 Wm-2
45-65 Wm-2
Gulko 1995.
Oahu (21.5°N)
J
A. Physiological Effects of UV Radiation
While it has been shown that radiation as low as 350 nm can drive photosynthesis in
macroalgae (HaldalI1964), the net accumulated damage to the photosynthetic apparatus
(i.e., damage in excess of a plant's abiltiy to repair) increases as wavelength of the
incident light shifts from the visible to the ultraviolet (Jones and Kok 1966). Furthmore,
near UV-photodamage recovers more slowly than that from PAR photoinhibition
(Nultsch et al. 1990). While small levels of UVA are necessary to repair DNA dimers
and produce vitamin D (Sancar and Sancar 1988), shortwave UVA and UVB radiation
(280-340 nm) generally cause serious damage to plants if repair mechanisms are unable
to keep pace with the rate of photodamage.
Natural waters generally protect aquatic organisms from UVR through rapid attenuation
due to dissolved and suspended material, although significant amounts of UVB have been
2
measured (-1% surface intensity) at 15-25 m depth in ideal conditions (Smith and Baker
1979). Jerlov (1950) found that in clear tropical water solar UVR can have significant
biological effects to a depth of 20 m, and Karentz and Lutze (1990) observed UVB
damage in algae growing at 10 m in Antarctic waters. Prolonged exposure to natural
levels of both UVB and shortwave UVA radiation can be fatal to many forms of marine
plants and animals (Lorenzen 1979; Calkins 1982).
There are several studies investigating the effects of UV radiation on the photosynthetic
machinery of macrophytes. These effects fall into two catagories: reductions in
photosynthetic performance due to direct damage to photosynthetic components, and
damage to DNA. With regards to the first category, laboratory studies have shown that
UVR can affect most aspects of PSII, including the water-splitting complex's D1/D2
polypeptide matrix (Renger et al. 1989). Reduced chlorophyll and carotenoid
concentrations and subsequent depressed rates of photosynthesis have been observed in
red macroalgae exposed for long periods to high levels of natural light (Wood 1989).
UVB radiation can cause the formation of thymine dimers in DNA, which could
ultimately lead to lethal transcription errors. This has only been observed in laboratory
studies, as these dimers are repaired rapidly in the presence of blue light-UVA radiation
(Burna et al. 1997). UVR affects DNA and RNA, enzymes, membranes, mitosis, cell size,
photosynthesis, growth, orientation and motility, and consequently, productivity (Karsten
et al. 1998a). Thus, organisms have evolved a variety of mechanisms that protect them
from UV damage.
3
B. Mycosporine-like Amino Acids
1. Description
Mycosporine is the generic name for nitrogenous metabolites of fungi that have strong
UV absorption maxima near 310 nm. Mycosporine-like amino acids (MAAs) are water-
soluble compounds characterized by a cyclohexenone or cyclohexenimine chromophore
conjugated with the nitrogen sustituent of an amino acid or its imino alcohol. MAAs have
absorption maxima ranging from 310 to 360 nm and an average molecular weight of-
300 (Nakamura et al. 1982). To date, twenty-five distinct MAA compounds have been
described (Whitehead and Hedges 2002).
Marine MAAs were first documented in corals and blue-green algae collected from the
Great Barrier Reef (Shibata 1969). Photobiologists hypothesized soon thereafter that
they were produced to protect marine organisms from damaging UVR, based on their
strong absorption coefficients in this range (Sivalingham et al. 1974). Since then, MAAs
have been found in species across the marine taxonomic spectrum, including krill
(Nakamura et al. 1982), fish (Zamzow and Losey 2002), and holothurids (Shick et al.
1992). In one study (Karentz et al. 1991), researchers surveyed 57 Antarctic species,
representing 13 phyla, for the presence of MAAs. MAAs were detected in - 90% of the
species in ten of the thirteen phyla screened. Furthermore, MAAs have been detected in
microalgae and macroalgae collected throughout the world's oceans (Karsten et al. 1998),
and in benthic algae to depths of 20 m (Dunlap et al. 1986). It is accepted that MAAs are
synthesized by algae (Karentz et al. 1991) and are incorporated into other phyla either
through ingestion (e.g., fish, holothurids) or via a symbiotic relationship (cnidarians). Of
4
the 80 marine algal taxa surveyed by Sivalingam (1974), the red algae consistently had
the highest concentrations of MAAs. Numerous subsequent studies corroborate this trend.
2. Photoprotective role of MAAs.
Because their absorption maxima range from 310-360 nm (Dunlap and Shick 1998),
MAAs are believed to provide protection against the damaging effects of UV radiation
(280 - 400 nm). In one study of the terrestrial cyanobacterium Gloeocapsa sp., Garcia-
Pichel and Castenholz (1993) estimated that MAAs provided at least a 30% effective
sunscreen from the harmful effects of UVR.
Evidence for the photoprotective function of MAAs was first seen in the relationship
between UV dose and MAA concentration in both corals and algae. In vivo MAA
concentrations in many species of corals have been shown to decrease with increasing
depth (Dunlap et al. 1986, Shick et al. 1995, Banaszak et al. 1998). Studies of benthic
macroalgae determined a similar relationship (Karsten et al. 1998a, Huovinen et al.
2004). Transplating the red alga, Chondrus crispus, from the subtidal zone to the
intertidal zone triggered the immediate production of MAAs (Franklin et al. 1999).
Karsten et al. (1998a) demonstrated that MAA concentrations in rhodophytes from polar
(80
0
N) and cold-temperate (53°N) regions are approximately half of those measured in
algae from a warm-temperate (35°N) region. MAA concentrations also vary within a
single species by season, with minimum levels detected during winter months (Post and
Larkum 1993). Finally, microscale variation of MAAs within an individual organism has
been observed for the red alga Eucheuma striatum, with higher concentrations in the
5
apical tips than the self-shaded basal regions (Wood 1989). All of these studies suggest
that MAA concentrations are usually positively correlated with natural doses of UV
radiation.
In contrast, under artificial light regimes, certain species of algae exposed to specific
wavebands (e.g., PAR, UVA, UVB, or a combinations of wavebands) have exhibited
contrary results, with increases in overall radiation causing a decrease in MAA
production (Hoyer et al. 2001). Experiments involving the transplantation of deep water
species to shallow water did not consistently lead to the production of MAAs and
ocassionally caused a decrease in MAA levels (Figueroa and Gomez 2001). In laboratory
studies with Antarctic macroalgae, Hoyer et al. (2002) found that less than half of the
species tested showed a positive correlation of MAA production with dose, and two of
eighteen species exhibited a negative correlation. This provides evidence that MAA
induction is not consistent across all species.
In an experiment of similar design to the current study, Kinzie (1993) compared the
photosynthetic rate, and levels of chlorophyll a and MAAs in PAR and PAR + UV
adapted samples of the hermatypic coral Montipora verrucosa. While chlorophyll a
concentration did not differ between treatments, total MAA concentrations were higher
for the UV + PAR adapted corals. Photosynthesis did not differ if the same light regime
was applied during measurement as was used during acclimation. Hebling et al. (1996)
conducted laboratory experiments with Antarctic diatoms that were acclimated to high
levels of UVR (i.e., allowed to produce MAAs). Those acclimated to high UV showed
6
similar photosynthetic rates (under high UV) as non-acclimated algae under low UV.
They concluded that MAA compounds are synthesized in response to high light
conditions and that they decrease the photoinhibitory effects of UVR. Conversely, in
algae that lack the capability to produce MAAs (e.g., many deep-water species),
prolonged exposure to surface irradiance caused bleaching, reflecting the
photodestruction of pigments and/or pigment producing processes (Karsten et al. 2001).
3. Mechanisms for MAA induction.
Numerous studies have investigated the relationship between UVR and MAA induction
in algae, coral, and a number of other marine organisms (Maegawa et al. 1993, Banaszak
et al. 1998). These compounds appear to be derived from the shikimic acid pathway,
similar to the synthesis of mycosporine observed in fungi (Dunlap et al. 1997).
The diversity of MAA compounds found in a given species and the varying responses to
different wavelengths of light within a given species has led to the hypothesis that
multiple mechanisms or triggers are responsible for MAA induction. Numerous
experiments have demonstrated that the production of specific MAAs is induced by
UVB, UVA or PAR (Karsten et al. 1998c) or a combination of these wavelengths
(Franklin et al. 2001, Kraebs et al. 2002). Franklin (2001) demonstrated that blue light
induces rates of MAA production similar to those obtained with the full PAR spectrum,
but red or green light only induced trace amounts of MAAs. Kraebs (2002) showed that
palythinol ("'max 332 nm) production was only induced in algae that were subjected to
shortwave UVB radiation « 305 nm). Other experiments have demonstrated that the
7
concentration and possibly the composition of MAAs is dependent upon the quantity, and
not the wavelength, of radiation applied (Karsten et al. 1998b, Franklin et al. 1999). In
contrast, no in vivo induction of MAAs was recorded with UV alone or UV + PAR in the
red alga, Gracilaria cornea, despite the fact that this species has high natural
concentrations of MAAs (Sinha et al. 1998).
The diversity of responses from many of the recent studies indicate that each MAA is
synthesized by a different variation of the shikimic acid pathway, with each pathway
induced by a photoreceptor triggered by a specific waveband (Franklin et al. 2001,
Portwich and Garcia-PicheI2000, Riegger and Robinson 1997, Shick et al. 1991). In the
red alga, Chondrus crispus, Kraebs hypothesized that, as the simplest structure,
mycosporine-glycine is the precursor to other MAAs. One photoreceptor would
stimulate palythinol production, which later converts to shinorine. A different
photorecptor would stimulate astema-330, which would convert to palythine. The
response observed would be dependent on the prevailing irradiance conditions (Kraebs et
al.2002).
C. Photoprotective Carotenoids
Carotenoids protect the light-harvesting complex against singlet oxygen-generated
damage created by photosensitized oxidation. Without carotenoids, there would be no
photosynthesis in the presence of oxygen. Photoprotective carotenoids (e.g., zeaxanthin)
protect algae in high light environments, stabilize chlorophylls, and protect them from
bleaching in the presence of oxygen (Borowitzka and Borowitzka 1988).
8
Carotenoids, apart from their antenna function in photosynthesis, play an important role
in the mechanisms protecting the photosynthetic apparatus against various harmful
environmental factors. They protect plants against overexcitation in strong light and
dissipate the excess of absorbed energy. They scavenge reactive oxygen species formed
during photooxidative stress and moderate the effect of extreme temperatures. In the red
algae, carotenoids act primarily as sun screens.
D. Description of Gracilaria salicomia
Gracilaria salicomia is classified in the division Rhodophyta (red algae), class
Rhodophyceae, subclass Florideophycidae, order Gracilariales and family Gracilariaceae.
Gracilaria is one of six genera in the Gracilariaceae and contains most of the species, of
which there are 100 worldwide. All species within the Gracilariales are
pseudoparenchymatous throughout, save the narrow 1-2 celled pigmented cortex (Abbott
1999). Relative to the other algal divisions, red algae produce shorter chain
polysaccharides that are used for the commercial production of glycocolloids (e.g., agar,
agarose). The ability to produce commercial-quality colloidal agar has generated much
research on this order of macrophytes.
Figure 1.1 Gracilaria salicomia
(Photo credit: len Smith)
Gracilaria salicomia is characterized by
cylindrical branches of 2-5 mm in diameter,
usually with distinctive constrictions at
branching intersections. It grows from an
inconspicuous disklike holdfast in 30 cm-
sized clumps. The coloration varies from
bright yellow in full sunlight to orange-
brown in shady habitats.
9
G. salicornia is an ubiquitous red alga found in relatively sheltered intertidal and subtidal
waters around Hawaii (Figure 1.1). It was first identified on Oahu in 1946, but was
introduced to Waikiki and Kaneohe Bay from Hilo Harbor in 1974 for aquaculture as a
source of agar (Abbott 1999). All projects were ultimately abandoned, and the algae
were left on the reefs. This species is usually sterile and reproduces asexually, although
at times it is tetrasporangial and more rarely gametangial. Populations have been
sexually and asexually propagating for the past 30 years and have overgrown corals and
native algal species in ever increasing locations. It is now the dominant species in
Kaneohe Bay and along the south shore of Oahu. The seaweed grows in tidepools and on
reef flats, where it forms mats from 1 to 20 cm thick, by itself or tangled with other
seaweeds. The morphology is extremely variable, depending on the depth of the
surrounding water. It is a hardy species, often fully emergent at low tide, exposed to
hours of intense tropical sunlight.
Growth studies on several species of Gracilaria showed that algae in this genus have the
ability to store nitrogen in intracellular pools during periods of non-limiting supply in the
water column (Peckol et al. 1994; Naldi and Wheeler 1999; Smit 2002). In studies of G.
salicornia, Largo et al. (1989) noted its ability to out-compete other species of Gracilaria
(i.e., G. verrucossa, G. arcuata, G. eucheumoides, and G. coronopijolia) under natural
conditions when growth rates are not limited, and pulses of nitrogenous nutrients occur.
In a separate study, Lamed (1998) determined that G. salicornia has the ability to take up
nitrogen in excess of growth demand and store it in intracellular reserve pools. This
represents an important strategy to exploit available nitrogenous nutrients when they are
10
available intermittently, as in intertidal and shallow subtidal regions where runoff after
rainstorms is a major source of nutrients. Based on a review of protein concentration of
Gracilaria species in the literature, samples in this study were assumed to be 18% protein
as a percentage of dry weight (Table 1.2). Data from Lourenco (2002) showed that free
amino acids comprise 96.7% of cellular nitrogenous compounds, while chlorophyll,
phycoerythrin, and MAAs comprise the remaining 3.3%.
'hfd
Values recalculated based on method In Lourenco 2002.
T bl 12 Pt'a e ro em concentratIOn as a percentage 0 ry weIgl t
Species % protein Conditions Source
Gracilaria cornea 5 Nitrogen limited Orduna-Rojas 2002
Gracilaria spp. 9.3 Natural levels Burkholder 1971
G. tenu~frons 14.2 Natural levels Lourenco 2002
G. dominRensis 10.8 Natural levels Lourenco 2002
G. foli~fera 10 Natural levels Ryther 1979
G. tenuistipitata 181
Nitrogen enrichment Uu 2001
G. pacifica 18.251
Nitrogen enrichment Naldi and Wheeler 1999
.,
In the summer of 1994, a survey of MAAs in 41 macrophytes of Kaneohe Bay (Oahu)
identified seven distinct MAAs and two unknown UV-absorbing compounds (Banaszak
and Lesser 1995). Of these algae, two species of Gracilaria (G. parvispora and G.
salicornia) had much higher concentrations of MAAs than the other species screened in
the survey. These two species also exhibited a high structural diversity of MAAs,
producing relatively high levels of six of the seven MAAs quantified by HPLC (Table 1.3
and Figure 1.2).
11
1994MAA ff
Data from Banaszak and Lesser, 1995.
2Data from Cockell and Knowland, 1999.
3palythene was detected in substantial concentrations in this experiment.
T bl 13 Ca e oncentratlOns 0 seven s rom survey
MAA
[MAA] in G. parvispora [MAA] in G. salicornia
Amax
2
(nmol/mg protein)! (nmol/mg protein)!
Mycosporine glycine 5.27 17.46 310nm
Shinorine 190.00 60.82 334nm
Porphyra-334 322.20 46.97 334nm
Palythine 51.28 97.25 320nm
Astema-330 0.00 17.77 330nm
Palythinol 0.00 0.00 332nm
Palythene 532.40 O.ooj 360nm
Total [MAA] 1104.35 244.27
I
The species with the greatest concentration of MAAs, G. parvispora, known locally as
ogo, is endemic to Hawaii. It has been a popular ingredient in Hawaiian and Japanese
diets for hundreds of years. Today, this species is rare in Hawaiian waters, in part due to
overharvesting. G. parvispora is also difficult to grow in culture. G. salicornia, on the
other hand, is an introduced species and is widely distributed throughout the Hawaiian
Islands. It is also a popular edible seaweed and is easy to cultivate. A number of local
aquaculture companies provide a large supply to local markets. Because of these
attributes, G. salicornia was chosen as an ideal species to investigate in this study.
12
Figure 1.2 Molecular structures and corresponding absorption maximum of MAAs found
in Gracilaria salicornia (adapted from Sinha et al. 1998)
~
I
OCR OCH.
H H NH H
leO'H leO'Hporph)'ra·334 ()....... 334 nm) shinorlne (Aw., ... 334 nm) pal)·thene (),.,... • 360 l'UTI)
palydline (A.., ". 320 nm) m)'cosporinc-gly 0..... = 310nm)
E. This Study
The current study examines the pigmentation and growth of the red macroalgae G.
salicornia under varying light conditions. Dozens of thalli were removed from the
relatively low light environment of a 20,000 liter aquaculture production tank and evenly
distributed into either UV-transparent tanks (control) or UV-filtered tanks (treatment).
Samples were otherwise treated identically. Growth rate was measured daily, after which
samples were harvested from each tank for pigment analysis. MAA and pigment
composition and concentrations were determined, and individual compounds were
averaged for each of the sets of tanks. This experiment tests three related hypotheses
regarding the relationship between algal MAA production and UV exposure. First, as
13
MAAs are believed to act primarily as UV sunscreens, removing UVR less than 350 nm
will reduce the need to synthesize these photo-protective compounds. Specifically, algae
screened from UVR will produce lower concentrations of MAAs than algae exposed to
the full solar spectrum. Second, because MAA production likely represents a substantial
metabolic investment due to the high nitrogen content and the energy cost of synthesis,
algae in control tanks will exhibit lower growth rates than algae shielded from UVR, due
to the control tank algae's need to produce significanly higher concentrations of MAAs.
The ability to test this hypothesis is dependent on the outcome of the first hypothesis.
Third, because individual MAA production may be triggered by specific wavelengths, the
production of algae exposed to variable light regimes will express different MAA ratios.
Specifically, some MAAs may be produced at high rates, while other MAAs will be
produced at depressed rates or not at all.
14
CHAPTER 2. MATERIALS AND METHODS
A. Experimental design
Two outdoor grow-out experiments (Run A: 21 June - 5 July, Run B: 25 July - 14
August) were conducted at Hawaii Marine Enterprise's macroalgae mariculture facility
(HME) in Kahuku, Oahu during the summer of 2003. Initial screenings of the seven
available cultured algae showed that G. salicornia remained healthy for the longest
period (- 2 weeks) after transfer to experimental tanks, so this species was chosen as the
test alga. Algae were divided and placed in either UV transparent or UV opaque tanks
and allowed to grow for 15 (Run A) and 21 days (Run B). Nutrients and trace elements
were added at the beginning of each experiment and then weekly. Growth measurements
were performed daily. Samples were harvested daily for MAA and pigment analyses.
B. On-site techniques
1. Algal maintenance
At the beginning of each run, 400 grams of G. salicornia were removed from a
production tank, cleaned of epiphytes, and divided evenly into the ten 40-L rectangular
experimental tanks. Tanks were flushed with fresh seawater at a rate of 40 L hr-1
to
maintain a relatively constant temperature throughout the day (18-20"C). Air was
bubbled vigorously from the bottom of each tank, causing vertical circular flow of 30
rpm. Daily tank cleanings were necessary to minimize growth of epiphytic diatoms.
15
Nutrients and trace metals were added weekly to each tank based on research by Ryther
and LaPointe (1979) and adapted at RME based on confidential data. Seawater flow was
shut off, and excess sulfate and nitrate were added to each tank. Algae soaked in this
nutrient bath for eight hours. The seawater was then turned back on. Bulk feeding
weekly, instead of smaller concentrations daily has been shown to minimize
contamination of invasive algae while still providing the necessary nutrients for maximal
growth. This is due to the ability of Gracilaria species to store nitrogen intracellularly
(Smit 2002). The nutrient bath occurred in the evening to minimize the inevitable
increase in temperature in the tanks and to minimize algal stress.
2. Irradiance measurements
An initial five to ten fold increase in effective irradiance was experienced by all algae due
to the transfer from the 20 m3
production tanks to the 40-L experimental tanks. All ten
experimental tanks received direct sunlight between 6 AM and 1 PM (RST), after which
they were shaded by the building against which they were placed. Five tanks were
chosen at random as control tanks (i.e., full sun) and the five treatment tanks were
surrounded with pre-cut Lucite© brand plexiglas, designed to minimize irradiance below
350 nm. Figure 2.1 presents the irradiance spectra for the control and treatment tanks,
while Table 2.1 provides an average effective solar irradiance for the treatment algae (i.e,
UV opaque) as a percentage of the control (i.e, UV transparent). Measurements were
made with an Ocean Optics USB2000 spectroradiometer equipped with a 180
0
cosine
corrected sensor, from 300 to 850 nm with a 2 nm resolution. Measurements were taken
in the center of each tank on five separate days at random times between 9 AM and 1PM.
16
Figure 2.1 Irradiance Spectra for Control and Treatment
UV-Opaque ~&- uv-Transparent
,''
n ~
"-'
.
I 
If ~
~
'"4 v .......
0,9
,0
0.8
OJ
0.2
~ UV-Opaque I l
uv-Transoarent
1!I
i
I~ R !
fA)I 11 i
I  ) 'I i
tV i
i
,,/ /J i
~
'V
! I
~ /-
i
0,1
0.2
0,9
,0
0,8
,~ 07
r,6il) 0.5
,~
~O.4
~ 0.3
M M
280 290 300 310 320 330 340 350 360 369 379 389 399 280 320 360 399 438 476 514 551 588 625 661 696 731 766 799
Wavelength (nm) Wavelength (nm)
Table 2.1 Irradiance of UV-opaque algae as a percentage of UV-transparent algae, n =25
Wavelength < 350nm 350-400nm 400 -700 nm
% of control 32.00% 54.08% 98.27%
Daily solar radiation data were obtained from the weather station at the Hawaii Institute
of Marine Biology (HIMB) in Kaneohe Bay, 36 km NNW of the study site. A LiCor
Li200SZ pyranometer accepting radiation from 280 to 2800 nm recorded total solar
radiation (cal cm-Imin-I). A LiCor Q12272 quantum sensor accepting radiation from 400
to 700 nm recorded photosynthetically active radiation (!lE m-2
sec-I). An Eppley TUVR
sensor accepting radiation from 290 to 385 nm recorded ultraviolet radiation (mW cm-2
).
3. Growth rate measurements
Daily growth measurements were performed for each tank using a volume displacement
method. All algae were removed from each tank and patted dry prior to measurement. A
2000 mL graduated cylinder was filled with seawater, and a 50 mL graduated cylinder
was inserted inside this to a specific depth, removing excess water. Algae were placed in
17
the large graduated cylinder, and the 50 mL graduated cylinder was reinserted. The
seawater that flowed into the 50 mL graduated cylinder equaled the volume of algae.
Replicate measurements demonstrated that this technique had a precision of +/- 0.5 mL.
Instantaneous growth rate was determined using the equation I..l =lit In (Ft / Fa), where I..l:
growth rate (d-I
), Ft : algal volume at time t, and Fa: algal volume at time O. Volume was
converted 1.00 mL: 1.01 g wet weight (ww) and data is reported in g dry weight (dw) via
the equation dw (g) = 0.0838 *ww (g). Conversion data is provided in section 2.C.3.
4. Harvest method
After measuring algal volume, approximately 5 g samples, including inner and outer
sections of the thalli, were harvested from each of the ten tanks and placed in individual
seawater-filled 20 mL sealable vials. Vials were kept in an ice-filled cooler until
analysis. Harvesting occurred at approximately noon (HST). Samples were brought to
HIMB and wet weighed to determine total harvest amount. Approximately one gram of
sample was used immediately for MAA analysis, and two one-gram samples were stored
in separate foil packs in a Zip-loc© freezer bag initially in a _4°C freezer and then
transferred to a -80°C freezer for subsequent pigment analysis. The maximum time
between harvest and sample preperation was three hours, and averaged about 2 hours.
C. Analytical methods
1. MAA analysis
MAAs were separated by reverse-phase HPLC on a Brownlee RP-8 column (Spheri-5,
4.6 mm ill x 250 mm), protected by a RP-8 guard column (Spheri-5, 4.6 mm ill x 30
18
mm). The mobile phase consists of 40% HPLC-grade methanol (v:v), 0.1% glacial acetic
acid (v:v) in HPLC-grade water (Fisher Scientific) and run at a flow rate of 0.6 mL min-I.
Detection of the peaks was carried out by UV absorbance at 313 nm and 340 nm using a
diode array absorption detector. Identities of peaks were confirmed by the ratios of 313
nm to 340 nm absorbances and by the maximal wavelength of absorbance. Prior to the
start of the experiment, individual MAA response factors and the linear range of the
instrument were determined using pure MAA standards.
MAA standards (palythine, porphyra-334 and shinorine) were generously provided by
Dr. Kazuo Yabe of Tokai University and have been stored in foil-wrapped vials at -20°C
since January 2001. Standards were dissolved in 100% methanol and stored in the dark
at 20°C in 500 mL volumetric flasks. Standards were diluted with HPLC-grade water to
40% MeOH immediately prior to all subsequent analyses.
Spectrophotometric analyses were performed on samples of each standard to determine
their concentrations using the following formula~
c =the concentration of the MAA (mol L-I),
A =unitless absorption determined by spectrophotometry,
E =the published molar extinction coefficient (L morl
cm-I), and
b = the pathlength of light through the sample (l cm).
19
These standards were simultaneously run on the HPLC system to determine instrument
response factors. Data used to determine HPLC response factors are shown in Table 2.2.
Response factors are the ratio of the calculated standard concentration to the HPLC area.
Concentrations of mycosporine-glycine and palythene were calculated using palythine
and shinorine response factors, respectively, as they are most structurally similar
(Bidigare et al. 1996).
fMAAdd d I I dd
ExtInctIOn coeffiCIent from Takano et al. 1978
2Extinction coefficient from Takano et al. 1979
3Extinction coefficient from Tsujino et al. 1980
T bl 2 2 P bl' h da e u IS e ,measure an ca cu ate ata to etermme res Jonse actors
MAA
Extinction
Absorbance concentration HPLC area
Response
coefficient factor
compound
(L morl
cm-I)
reading (f..lM) units (~ area-I)
Palythinel
3.62 x 104
1.52 41.99 15084310 2.78 * 10-6
Porphyra-3342
4.23 x 104
1.33 31.44 8392708 3.75 *10-6
Shinorine
j
4.65 x 104
1.58 33.98 10860863 3.13 * 10-6
I,
Concentration of all compounds greater than 1% of the total MAA concentration are
reported and expressed in rnicromoles per gram dw sample (f..lmol g-I dw) based on these
HPLC response factors.
A dilution series for each standard was prepared to determine the linear range of the
HPLC. These data are shown in Figure 2.2. Linear range is assumed to be at least to
concentrations of 34 f..lM for all MAAs; R2
values were> 0.995. All subsequent samples
that exceeded these limits were diluted appropriately in repeat analyses. Finally, MAA
stability for each standard was checked daily on a spectrophotometer for the duration of
the experiment (20 June - 14 August, 2003), and no degradation was observed.
20
Figure 2.2 Linear Range of the Beckman-Coulter HPLC
45
• Palythine
a Shinorine
... Porphyra
- - Response factors Regr
40
35
-~ 30
:i.
-c:
250
~....
- 20c:
Q)
0
c:
0 15
0
10
5
0
0 20 40 60
% Primary Standard
80 100
For sample preparation, l-g samples of whole thalli, rinsed in fresh seawater and cleaned
to remove epiphytes, were extracted in 5 mL of 100% methanol for 24 hr in the dark at
4°C. A 1.2 mL aliquot of each extract was transferred to a clean vial and diluted with
distilled water to 40% MeOH (final concentration).
For each daily run, a sample from one tank was chosen at random to be analyzed in
triplicate, to determine the analytical precision for all five MAAs within a single sample
(i.e., three l-g samples from the same tank were extracted in separate test tubes). In
addition, a sample from one tank was chosen at random for co-injection analysis (i.e.,
three 0.5 mL aliquots from the same test tube were pipetted into separate amber vials and
spiked with a 0.5 mL aliquots of the palythine, porphyra-334 and shinorine primary
21
standards). This aided in identification of MAA peaks as well as providing a measure of
instrument reproducibility and MAA recovery.
2. Pigment Analysis
Samples stored in the -80°C freezer were removed the day before analysis and extracted
in the dark for 24 hours in 18 mL of 100% HPLC grade acetone (Fisher Scientific) at
4°C. After extraction, samples were centrifuged (five min, 1500x g) to remove cellular
debris. The clear pigment extracts were separated using the HPLC method of Bidigare et
al. (2004). Samples of a mixture of 0.3 mL H20 plus 1.0 mL extract were injected onto a
Varian 9012 HPLC system equipped with a Varian 9300 autosampler, a Timberline
column heater (26°C), and Spherisorb 5 mm ODS2 analytical (4.6 mm ill x 250 mm)
column and corresponding guard cartridge. Pigments were detected with a
ThermoSeparation UV2000 detector ("-=436 nm). A ternary solvent system was
employed for HPLC pigment analysis: eluent A (MeOH: 0.5 M ammonium acetate,
80:20), eluent B (acetonitrile:water, 87.5:12.5) and eluent C (ethyl acetate). The linear
gradient used for pigment separation was a modified version of that originally described
by Wright et al. (1991): t = 0 min (90%A, lO%B), t = 1 min (lOO%B), t = 11 min (78%B,
22%C), t = 27.5 min (10%B, 90%C), and t = 29 min (lOO%B). Eluents A and B contain
0.01% of 2,6-di-tert-butyl-p-cresol (BHT) (Sigma Chemical Co.) to prevent the
conversion of chlorophyll a into chlorophyll a allomers. HPLC grade solvents (Fisher)
were used to prepare e1uents A, Band C. The eluent flow rate was held constant at 1 mL
min-I. Pigment peaks were identified by comparing their retention times with those of
pigment standards and algal extracts, Phaeodactylum tricornutum (diatom) and
22
Dunaliella sp. (chlorophyte). Pigment identifications were confirmed by online diode
array spectroscopy. Extinction coefficients, summarized by Bidigare (1991), were used
to calculate concentrations from the raw data. The concentrations of all pigments greater
than 1% of the total pigment concentration were determined, but only the screening
pigment, zeaxanthin, is reported and expressed in micrograms per gram dw sample.
3. Determining dry weight and MAA to protein
Ten samples of G. salicornia were washed in fresh water to remove salts and epiphytes,
patted dry with a clean paper towel and placed in aluminum weighing trays. Sample
weights varied from 1.0 to 8.3 g wet weight. Samples were placed in a drying oven
overnight at 60°C, removed, and reweighed. Wet and dry weights were determined by
subtracting tray weight. Data were plotted for linearity (R2
=0.991). Samples were
calculated to be 91.7% water. Based on the available literature for algae of this genus,
protein constitutes approximately 18% of the dry weight for this species (see Table 1.2
for source data). To compare these results with other research, MAA concentration (in
moles per gram algae wet weight) were multiplied by 12 for concentration as a percent of
dry weight and by 66.6 for concentration as a percent of protein. To compare data from
studies that reported in mg MAA gm-1
dw, an average molecular weight of 321 is used.
This was determined using the following equation, based on the average percentage of
the total for each MAA multiplied by that MAA's molecular weight.
Average molecular weight (321) = (50%*346)porphyra + (25%*332)shinorine +
(12%*245)palythine + (1O%*283)palythene + (3%*245)mycosporine-glycine
23
Figure 2.3 Ratio of wet weight to dry weight for G. salicomia
0.8 -r----------------------~__,
0.7
0.6
'""' 0.500
'-'
.....
..0
.er 0.4(l)
~
e-O 0.3
0.2
0.1
1084 6
Wet weight (g)
2
0.0 r------,,------,-------,------.------i
o
D. Statistical analyses
The results are given as means of five daily duplicates (+/- standard deviation) over the
course of each experiment. Daily averages for the control and treatment samples over the
course of each run were analyzed using the two-sample paired t-test (SigmaPlot), the null
hypothesis being that the pigment concentrations and growth rates were the same in the
control and treatment time series. A two-tailed paired t-test was employed for growth
rate. A one-tailed t-test was used for pigment and MAA concentrations, the expectation
being that the pigment concentrations in the control would be either the same or higher
than the treatment. Statistical significance was set to p ::S 0.05.
24
CHAPTER 3. RESULTS
A. Irradiance
Total solar irradiance is presented in Figure 3.1. The daily average was 6.46 MJ m-2
and
6.50 MJ m-2
for Run A (21 June 2003 to 5 July 2003) and B (25 July 2003 to 14 August
2003), respectively, with UVR comprising 17.15% and 15.75%. UV filters covering the
tanks of the treatment algae reduced experimental dose to 32% of the irradiance below
350 nm, 54% between 350 and 400 nm, and 98.3% of PAR compared to the unfiltered
control tanks (Table 2.1). All algae experienced an initial five to ten-fold increase in total
irradiance due to the transfer from the production to experimental tanks (data not shown).
B. Growth rate
Clumps of Gracilaria salicornia were removed from 20-m3
production tanks where they
were under steady-state maximal growth rate for the given light field. Self-shading
causes sunlight to be the limiting factor in the production tanks. Instantaneous growth
rates were measured from change in total biomass from one sampling time to the next.
Growth rates (Figure 3.1) show a similar trend between runs, peaking around day seven
at approximately 0.16 and declining to 0.00 by day fourteen. Growth rates were not
significantly different (paired t-test, P > .30) between treatment and control for either run.
'I d . dT bl 31 Ta e wo-tal e pane t-test statIstIcs
Growth Run A RunB
T value -0.82483 1.01246
P value 0.433369 0.33307
DF 8 11
25
C. Zeaxanthin concentration
Tables 3.2 and 3.3 and Figure 3.1 illustrate both similarities and differences between
Runs A and B in the response of zeaxanthin production. Both runs show rapid initial
increases in concentration and have similar concentration levels over the duration of each
run. In addition, concentrations generally level off after the initial increase. Conversely,
divergence between treatment and control occurred by day 6 in Run A, but not until day
15 for Run B. Maximum increase in concentration was much higher for Run B, as was
the difference in maximum concentrations between control and treatment. Peak
concentrations were 67.03 Jlmol g-l dw in Run A and 81.84 Jlmol g-l dw in Run B, a 22%
difference between runs. While concentrations often varied substantially within both
treatment and control during both runs, as is illustrated by large standard deviation bars,
the average control concentration was significantly greater than the average treatment
concentration (P < 0.05) for both Runs A and B.
'1 d . dT bl 320a e ne-tal e palre t-test statIstIcs
Zeaxanthin Run A RunB
P value 0.03151 0.01910
DF 7 9
t d'f£dt .t fthO
Data obtamed on day 4
T bl 33 Zea e axan In concen ra Ions, percen Increase an percen I erence
[ZEA]H [UVT]oeak Increase DaYmax [UVO]peak Increase DaYmax Diffmax
Run A 19.65 67.03 241% 10 49.58 152% 13 35%
Run B 16.29 81.84 402% 13 79.47 388% 13 3%
1-
26
Figure 3.1 Comparison of irradiance, growth and photoprotectants
Run A: 21 June - 5 July
Irradiance
Run B: 25 July - 14 August
Irradiance
10
12 .,-----------------.=====i1
1=0~:1
12 ====0;----------------,
J=0~:1
0 0
II
0 12 15 18 21 0 12 15 18 21
Day Day
Growth Growth
0.4 0.4
---+- UV-Transparent ---.- UV-Transparent
-0- UV-Opaque 0.3
-0- UV-Opaque
0.3
";"~
";"
>-
0.2 ~ 0.2
<1> $
1!! e
.t::
0.1
t 0.1
~0 0
~ 0.0 ~ 0.0
16 ~c- enen
.().1 -0.1
-0.2.().2
0 12 15 18 21 0 12 15 18 21
D8Y Day
Zeaxanthin concentration Zeaxanthin concentration
120 120
---e--- UV-Transparent
-- UV-Transparent
'00
-0- UV-Dpaque
--0- UV-Opaque100
!
~
"0
";"
80 ';" 80
0 Cl
0 Cl
:I. ='-
"
80 C 80
~ :c
"E
~ 40 ~ 40<1>
'"!::!.
~
20 20
0 0
0
Day
12 15 18 21 0 12 15 18 21
Day
Total MAA concentration Total MAA concentration30
30
__ UV Transparent __ UV Transparent
--0- UV Opaque
--0- UV Opaque
25 25
~
~.., 20 .., 20
"'0
"'0
"0 "0
§. '5 E 15:I... ..
i •
10 ~ '0~ ~
0
0
0
Day'2
15 18 21 0 12 15 18 21
Day
27
D. MAA Induction and Concentration
1. Total MAA concentration.
Samples were harvested on day one of each run directly from the production tanks to
determine baseline concentrations of MAAs. The same data were used for control and
treatment to begin each time-series. For Run A, average total MAA concentration
increased 93% for UV-transparent and 53% for UV-opaque samples 48 hr after transfer
from the production tank. The increases for Run B 72 hr following transfer were 107 and
62%, respectively. This difference continued for the duration of each run, averaging 23%
for both Runs A and B, although the difference in total concentration (i.e., [MAA]total UVT
- [MAA] total uvol[MAA]total uvo) for a given sample day fluctuated between 19 and 37%
for Run A and 5 and 34% for Run B. MAA concentrations varied widely within tank
replicates, as is indicated by the standard deviation bars in Figure 3.1.
Total MAA concentration in Run A remained very consistent between days 3 and 10
dropping slightly and then increasing again at the end of the experiment. Run B
concentration remained consistent from days 4 to 13, and then nearly doubled over the
next five days, before dropping slightly over the final three days of the experiment. Total
MAA concentrations were one-third higher for Run B due to this strong increase.
2. Individual MAA concentrations
Porphyra-334 had the highest overall concentration in G. salicornia in this experiment.
G. salicornia responded rapidly, doubling the concentration of porphyra-334 within four
to six days and constituting roughly 50% of total MAA concentration throughout the
28
duration of Runs A and B for both UV-opaque and UV-transparent samples. After its
early peak, the percentage of porphyra-334 comprised steadily decreased approximately
10% over the course of each run. Peak concentrations were within 4 and 6% between
runs for UV transparent and UV opaque treatments, although this occurred after 4 days
for Run A and 19 days for Run B.
Figure 3.2 Comparison of concentrations of the major MAAs
Run A [Porphyra-334] Run B [Porphyra-334]
12r---------r-~-==""'il
-.- UV Transparent
--0- UV Opaque
10
12rr======;------------,
---.- UV Transparent
-0-- UV Opaque
21181512
10
21181512
o+--~-~-~_~_~~_~--J
o
Day Day
Run A [Shinorine] Run B [Shinorine]
10
___ UV Transparent
--0- UV Opaque
12 -,;=======;-------------,
--- UV Transparent
--0- UV Opaque
10
21181512
o+-~-r--'-~-r--'-~..---~..---~,..........~,..........--"----,--J
o
Day Day
Shinorine was the second most abundant MAA, averaging 20-25% of the total.
Concentration of shinorine increased and decreased in patterns similar to porphyra-334
over the course of each run, although the increases in maximum concentrations relative to
29
initial concentrations were more than twice that of porphyra-334 (Table 3.5 and 3.6).
Shinorine did not demonstrate the immediate divergence between control and treatment
as seen for porphyra-334. Rather, it showed a stronger divergence pattern after one-week
acclimation in the experimental tanks (Figure 3.2). Average concentrations of porphyra-
334 and shinorine from UV-transparent samples were significantly greater than UV-
opaque samples for both runs (Table 3.4).
'1 d . dT bl 34 Pa e -va ues or one-tal e pane t-test
MAAs
Total
Porphyra Shinorine Palythine Palythene
Mycospo.-
MAA glycine
Run A 0.000 0.000 0.000 0.008 0.050 0.007
RunB 0.000 0.000 0.000 0.012 0.010 0.000
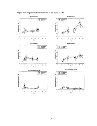
The minor MAAs, palythine, palythene and mycosporine-glycine (Figure 3.3), comprise
the remaining 20 to 30% of the total concentration. While divergences between treatment
and control was not as noticeable for these compounds relative to the major MAAs,
differences were statistically significant over the course of each run. Differences
between treatment and control values were often minor, and non-existent on certain days.
For example, the palythene UV-opaque peak concentration was greater than the UV-
transparent peak for run A (Table 3.5). Concentrations increased for all samples relative
to the baseline. Mycosporine-glycine concentrations peaked between 407 and 750%, due
to extremely low levels in the baseline, and not due to high peak concentrations.
Mycosporine-glycine also peaked on days 3 and 5 for Runs A and B, respectively, and
decreased to double initial concentrations after one week. Palythine and palythene
showed strong initial increases and remained stable (Run A) or increased gradually (Run
B) over the course of the run.
30
Figure 3.3 Comparison of concentrations of the minor MAAs
Run A [Palythinel Run B [Palythinel
--e- UV Transparent ---e---- VV Transparent
-0- UV Opaque -0-- UV Opaque
4 4
~ ~
"0
; 3
-:
'"'0
§. E
:t
'iF 2
12
~
~
Ol
I::.
0 0
0 6 9 12 15 18 21 0 6 9 12 15 18 21
Day Day
Run A [PalytheneJ Run B [Palythenel
5
---e---- UV Transparent _____ UV Transparent
-0- UV Opaque -0- UV Opaque
4 4
~
~
"0
'", 3 -:
'"
~ 1:t
'iF
I! 2 2
Ol Ol
I::. I::.
0 0
0 6 9 12 15 18 21 0 6 9 12 15 18 21
Day
Day
Run B [Mycosporine-glycineJ
Run A [Mycosporine-glycinel
-+- UV Transparent ---e---- UV Transparent
-0- UV Opaque ~
-0- UV Opaque
~ 4
"0
4
-: ';"
'"
Cl
13
"0
E
:t
"~ c:
t
'0
~
2 ~ 2c:
[ '8-
~ '"8
e ",
~
0
6 9 12 15 18 21 0 6 9 12 15 18 21
Day Day
31
In Run A, individual MAAs increased quickly and levels stabilized for the duration of the
experiment (Figures 3.2 and 3.3). Slight decreases in individual concentrations with
subsequent slight increases in the middle and near the end of the run caused peak values
to occur early (days 3, 4, 5, or 6) or late (days 14 or 15). Overall increases in
concentration ranged from 62% for UV-opaque porhyra-334, to 750% for UV-transparent
mycosporine-glycine. Differences between control and treatment maximum values
varied substantially between individual MAAs (Table 3.5).
(R A)d
[MAA]t=l. ConcentratIOn at start of expenment (J.lmol g dw)
[UVT]peak and [UVO]peak: Peak concentration during run (J.lmol g-l dw)
Increase: ([MAA]peak - [MAA]t=I)/[MAA]t=1
DaYmax: Day in which concentration peaked
Diffmax: ([UVT]max - [UVO]max)/[UVO]max
T bl 35M .a e aXlmum concentratIOn, percent Increase an percent 1 erence un
[MAA]t=l [UVT]peak Increase DaYmax [UVO]peak Increase DaYmax Diffmax
Porphyra 4.42 9.14 107% 4 7.15 62% 4 28%
Shinorine 1.2 4.06 238% 15 2.80 133% 15 45%
Palythine 1.05 1.99 90% 15 1.75 67% 4 14%
Palythene 0.49 1.62 231% 5 1.74 255% 6 -7%
Mycospor. 0.14 1.19 750% 3 0.71 407% 15 68%
Total 7.3 15.34 110% 6 12.98 78% 4 19%
-I
For Run B, figures 3.2 and 3.3 show strong fluctuations in individual concentrations, but
table 3.6 illustrates the consistency seen across the detected compounds. Peak
concentrations were seen on day 18 for all UV-transparent samples and on the following
day for UV-opaque samples. Mycosporine-glycine is the single exception, peaking on
days 5 and 6, respectively. The difference in the maximum concentrations between
treatments also showed consistency, between 10 and 16%, with mycosporine-glycine at
5%.
32
(R B)d'ffdT bl 36M .a e aXlmum concentratIOn, percent Increase an percent 1 erence un
[MAA]t=1 [UVT]peak Increase DaYmax [UVO]peak Increase DaYrnax Diffrnax
Porphyra 3.13 8.75 180% 18 7.60 143% 19 15%
Shinorine 1.05 5.24 399% 18 4.71 349% 19 11%
Palythine 1.06 3.87 265% 18 3.35 216% 19 16%
Palythene 0.56 2.23 298% 18 2.03 263% 19 10%
Mycospor. 0.12 0.77 542% 5 0.73 508% 6 5%
Total 5.36 20.54 283% 18 17.92 234% 19 15%
3. Variation of MAA concentrations within individual thalli
In tumble culture, the thallus of G. salicornia branches in a densely-packed spherical
shape from the central stem. While the change in the light field within a sample was not
directly measured, it is reasonable to assume that apical tips experience higher levels of
incident light than tissue from the basal region. Samples harvested directly from the
production tanks were used to investigate a potential MAA concentration gradient
between tissues from the apical tips to the central region. Three separate algal spheres,
each approximately 20 cm in diameter, were subdivided into three sections and analyzed
for MAA concentrations. As is illustrated in Figure 3.4, apical tips produce 27% more
palythine and 45% more shinorine than do the basal regions, while apical tips have 320%
more porphyra-334 than does the basal region. In addition, samples analyzed from
different thalli but occurring in the same depth zone (i.e., basal, middle, apical)
demonstrated more consistency in concentration for a given MAA than samples in which
depth zone was not considered. Standard deviation values were consistently about 20%
of the average in the time-series experiment and were less than 10% for this experiment.
While consisting of only 2 to 7.5% of the total MAA concentration for a given sample,
mycosporine-glycine exhibited similar tendencies as those of porphyra-334 in the cross- .
33
sectional concentration gradient. Apical tips contained 414% greater concentration of
mycosporine-glycine (0.443 vs. 0.107 ~mol g-l dw) compared to tissue analyzed from the
basal region.
Figure 3.4 Cross-sectional gradient in the concentration of MAAs
4.0
3.5
3.0
~
"0
-'
2.5I
~
'0
§. 2.0
~ 1.56
1.0
0.5
0.0
- Inner
1",,,,,,,,,,,,,,,,.,,.. ,,,,,,,,"1 Middle
- Outer
Mycosporine-glycine
0.5 -,------=---=----=--::.-.,,------,
~ 0.4
......
00
] 0.3
.=: 0.2
~
6 0.1
0.0
Inner Middle Outer
Shinorine Palythine Porphyra-334
34
CHAPTER 4. DISCUSSION
This study corroborates many previous studies that have documented that MAA
concentration is directly related to the intensity of the incident light. As with studies of
other algal species, Gracilaria salicornia immediately increased production of MAAs
upon transfer from a lower to higher light environment. Intracellular concentrations of
MAAs increased between 53 and 107% within 72 hours after transfer from the highly
shaded conditions of the production tank to the direct sunlight of the experimental tanks.
This is analogous to numerous experiments (e.g., Franklin et al. 1999; Karsten et al.
2001), where the transplantation of macroalgae from the subtidal to the intertidal triggers
an immediate production of MAAs. Even though the shortest wavelengths of light were
filtered from algae in the treatment tanks, algae in all tanks experienced a substantial
increase in light at wavelengths above 350 nm compared with conditions in the
production tanks. This triggered substantial increases in MAA concentrations in both
control and treatment samples.
Numerous surveys have been conducted to investigate the relationship of MAA
concentrations and composition across macroalgal divisions as well as across
geographical regions and habitats to identify consistent trends and/or relationships
(Karentz et al. 1991, Karsten et al. 1998a, Banaszak et al. 1998, Sinha et al. 1998, Hoyer
et al. 2001, Huovinen et al. 2004). Based on surveys in polar (Karentz et al. 1991),
temperate (Karsten et al. 1998a) and tropical (Karsten et al. 1998b) regions, rhodophytes
have both the highest concentrations and the greatest diversity of MAAs within
35
individual species. Many red algal species have as many as eight unique compounds,
with total concentration in milligrams per gram of algal dry weight (see Table 4.1).
Karsten et al.
2000
Karsten et al.
1998b
Karsten et al.
2000
Karsten et al.
1998a
Huovinen 2004
Karsten et al.
1998a
Karsten et al.
1998b
Karsten and
West 2000
Karentz et al.
1991
Karsten et al.
1998a
Source
2.42 mg g-l dw
3.42 mg i 1
dw
[MAA]total
Palythinol 12.8 mg g-l dw
(62%)
Porphyra- 10.6 mg g-l dw
334 (NA)
Palythine 9.39 mg g-l dw
(76%)
Palythinol 8.55 mg i 1 dw
(76%)
Porphyra- 7.1 mg g-l dw
334 (90%)
Shinorine
7.79 mg g-l dw
(99%)
Temperate
TropicalGuatemala
Baja,
Mexico
Antarctica
Southern
Chile
Southern
S ain
Table 4.1
Mexico Tropical Porphyra- >30 mg g-l dw
a omelOtlca an ial sori 334 60%)
Species
*Concentrations were converted from /lmol to mg to allow for comparison
Table 4.1 provides data on the species with the highest levels of MAAs from surveys in
eleven separate locations. The highest recorded values were reported from each of the
study locations. All species are red algae, with natural levels of total MAAs ranging
from 2.42 to 12.8 mg g-l dw. The surveys also reported values for scores of other species
of red, green, and brown algae, with MAA concentrations for brown algae the lowest
(generally < 0.1 mg g-l dw), green algae in the middle (generally 0.0 - 1.0 mg g-l dw)
and red algae ranging from 0.0 to 12.8 mg g-l dw (see table for citations). The peak value
from Table 3.6 of this study (converted from ~mol g-l dw) is included for comparison.
36
In a comprehensive survey of macroalgae from the poles to the tropics, Banaszak et al.
(1998) found that the predominant MAA in rhodophytes, based on frequency of
occurrence among species and relative concentration within a given species, is shinorine,
followed by mycosporine-glycine. Of the eleven species listed in Table 4.1, porphyra-
334 is the predominant MAA in six. The sample with the highest recorded concentration
came from the reproductive tissue (i.e., mature tetrasporangial sori) of Caloglossa
apomeiotica. Vegetative tissue from the same sample expressed one-tenth the level
observed in the sori (Karsten et al. 2000). In the current study, the five unique UV-
absorbing compounds consistently detected were porphyra-334, shinorine, palythine,
palythene and mycosporine-glycine, with porphyra-334 accounting for approximately
50% of the total concentration. Shinorine, palythine, palythene and mycosporine-glycine
comprised approximately 25, 12, 10 and 3%, respectively.
A. Variation in MAA production between control and treatment samples
While all samples exhibited increased concentrations of MAAs, control (UV-transparent)
algal samples produced significantly higher aggregate levels of MAAs than that found in
treatment samples. Total MAA production was, on average, 23% greater in control
samples for both Runs A and B. Moreover, concentrations of each of the five individual
MAA compounds detected were significantly greater in the control algae over the course
of each run. These responses occurred under conditions with similar levels of PAR but
reduced UVR for the treatment samples.
37
Because each of the five MAAs has a unique absorption spectrum, intracellular
absorption of light by MAAs is dependent on 1) the incident light field, 2) the
concentration of each MAA, and 3) the unique absorption spectrum and extinction
coefficient of each MAA present. Combining these properties provides a spectrally
weighted extinction coefficient (SWEC) for each of the MAAs. Integrating SWEC
values over a part of, or the entire UV light field gives the percentage of sunlight
absorbed by each MAA. Based upon a SWEC analysis, porphyra-334 is the most
important MAA in screening G. salicornia from UVB and UVA radiation, responsible
for 41.5 to 54.6% (averaging 47.4%) of the absorbed UV radiation. Because shinorine
absorbs with equal effectiveness in the UVA and UVB, its contribution remained
relatively constant at 25% in both the UVA and UVB regions and for both the treatment
and control algae. Mycosporine-glycine absorbs almost entirely in the UVB, while
Palythene absorbs almost entirely in the UVA and is the MAA responsible for almost all
of the UV light absorbed above 350 nm. While palythine concentrations were
approximately half that of shinorine, due to strong absorption properties in the UVB, it
contributed an equivalent level of protection in this region.
While MAA synthesis is widespread across algal classes, and therefore likely a
conservative trait, phylogenetic trends in the occurrence of MAAs have not been
observed. Hoyer et al. (2001) suggest that macroalgae can be separated into three
physiologically different groups; (1) species with no capability for MAA biosynthesis;
(2) species with a basal MAA concentration that is adjusted relative to changes in
environmental radiation; and (3) species with a constant and relatively high MAA
38
diversity and concentration irrespective of light conditions. Based on the results of the
current study, G. salicornia belongs to the second category of macroalgae.
B. Variation in growth rate between control and treatment samples
Because the synthesis of MAAs represents a substantial energy and nitrogen cost to the
algae, and control samples produced an average of 23% higher concentration of MAAs,
the growth rate in the control samples could have been slowed due to this metabolic cost.
This was not observed, as growth rates were not significantly different for either run.
Because growth was not nitrogen limited, due to weekly supersaturated nutrient baths,
excess nitrogen was available for MAA synthesis. In addition, in the shallow, unshaded
experimental tanks, all algae were supersaturated with light. These two factors probably
masked the additional energy requirements taxing the control algae. Furthermore, the
algae appeared stressed within a few days of transfer into the experimental tanks. This
could have been due to photoinhibition from PAR, which triggers an entirely separate set
of physiological responses to ensure algal health. This stress would likely have been the
same for both control and treatment samples and could have caused the depressed growth
rates seen in all samples.
c. Variation in concentration of MAAs between control and treatment samples
The success of recent experiments to induce the production of individual MAAs with
specific bands of light (e.g., palythine is synthesized in Chondrus crispus when exposed
to blue or white light, but not red or green light) has led to the hypothesis that MAAs are
induced by photochemical triggers (Karsten et al. 1998c; Franklin et al. 2001; Kraebs et
39
al. 2002). Because no consistent pattern has emerged among related species, these
findings are specific to the MAA, algal species and wavelength of the given experiment.
By blocking natural sunlight below 350 nm, the current study investigated this hypothesis
for G. salicornia. While the ratio between the concentration of individual MAAs varied
over the course of each run, this was primarily caused by the initial increase in the
concentration of porphyra-334 followed by a gradual decline. This pattern occurred in
both the control and treatment samples. Specifically, relative MAA concentrations were
similar for both control and treatment samples throughout each run. Thus, if the
production of any of these five MAAs is triggered by a specific wavelength of light, it
likely occurs in the spectrum above 350 nm.
This may be most surprising for palythine, which absorbs almost entirely below 350 nm,
making its synthesis in the treatment samples unnecessary for UV protection. In
examining Figure 3.3, it is apparent that palythine levels increased between two and four
fold for both treatemnt and control algae over the course of both runs. Furthermore the
differences between treatment and control were slight throughout each run, with
treatment concentrations greater than that of control algae on two days in each run. Thus,
while palythine absorbs almost entirely below 350 nm, its production does not appear to
be triggered by a wavelength in its absorption range.
The fact that control samples had significantly greater concentrations for all MAAs could
be the result of either a general reduction in light levels or specifically from the reduction
of UVR in the treatment samples. Most studies that investigated wavelength-specific
40
induction of MAAs found that blue light and UVA had the greatest effect (Franklin et al.
2001, Klisch and Haeder 2000, Shick et al. 1999). Only a few species showed a response
in the UVB, and no reports indicate that any species is induced by green or red light.
This study, in its design, did not provide enough variation in the incident light to provide
definitive conclusions with regard to photochemical triggers of individual MAAs.
41
CHAPTER 5. CONCLUSIONS AND FUTURE DIRECTIONS
Gracilaria salicornia is typical of most rhodophytes, in that it 1) expresses the three most
common MAAs found in the division, 2) begins to synthesize MAAs immediately
following an overall increase in the light field, and 3) the concentration of total MAAs is
directly related to the level of effective irradiance. The peak total MAA concentration
measured in this study (20.54 /lmol g-l dw or 6.6 mg g-l dw) is among the highest
concentrations observed among marine algae. As this species is already a well-
established product in the aquaculture industry, G. salicornia remains a strong candidate
for further research into commercial production of MAAs.
During the course of both runs, nutrients were added on a regimen based on industry data
in an attempt to attain optimal growth. This study utilized G. salicornia that had been in
continuous culture for twenty-five years, experiencing a consistent light field,
temperature range and nutrient conditions throughout this time. It was apparent that the
transfer from the production tanks to the experimental tanks caused stress to the samples.
They did not attain growth rates comparable to that of the production tanks, nor to
published rates of wild G. salicornia (Largo et al. 1989). Nevertheless, total MAA
concentration did increase four-fold over the course of each experiment. The
combination of maintaining peak growth rate and conditions that generate high MAA
concentrations maximizes cumulative production, which would be vital in commercial
application. Balancing these factors is an important research topic, if G. salicornia is
ever to be employed for commercial production of MAAs. This study did conclude, as
42
has been seen in other marine autotrophs, under non-limiting growth conditions, that G.
salicornia exposed to higher levels of UVR, and subsequently producing greater
quantities of MAAs, did not exhibit growth rates slower than samples grown under UVR-
shielded conditions. Based on this study, natural sunlight in both the PAR and UV
regions trigger MAA production, with concentrations directly related to the intensity of
the incident light.
This study coarsely investigated the potential of a gradient within an individual sample.
G. salicornia grown in tumble culture develops as a densely packed spheroid, where all
inner tissue experiences some level of self-shading. A strong gradient was apparent, with
much higher concentrations in the apical tips, based on a three-layered analysis. The
gradient was most apparent between the outer and middle layers for porphyra-334 and
mycosporine-glycine, with 320 and 414% higher concentrations, respectively, in the
outer samples. More refined investigations, that divide the outer layer into many thinner
layers, should be conducted to determine if this gradient is even stronger than that
reported here. Because recent studies have hypothesized that mycosporine-glycine is the
precursor of other MAAs, future research could also focus on the kinetics of this
compound in the apical tips.
While increased solar radiation can quickly trigger substantial MAA production, little is
known about the metabolism of MAAs under sustained low light conditions. During Run
B, samples that were maintained in the dark at 4°C for 24 hours showed a 50% reduction
in four of the five MAAs relative to levels seen on the days before and after. Palythene
43
did not exhibit this apparent catabolism. Experiments structured to investigate both
synthesis and catabolism of MAAs may help to understand the pathways and kinetics of
synthesis.
While the science of understanding MAAs is maturing, and some elegant experiments are
now being conducted, there is much still to understand. Whether MAAs' primary
functions are as UV-screening compounds, for nitrogen storage, for some other function,
or a combination of these, is still unknown. We have yet to address whether MAAs could
be synthesized economically and if they have some practical - industrial or consumer -
purpose. These questions should be undertaken by academic researchers in partnership
with the aquaculture industry.
44
REFERENCES
Abbott, Isabella A. Marine Red Algae of the Hawaiian Islands. 1999. Bishop Museum
Press. Honolulu, HI.
Aguilera, J., C. Jimenez, F.L. Figueroa, M. Lebert, and D.-P. Haeder. 1999. Effect of
ultraviolet radiation on thallus absorption and photosynthetic pigments in the red
alga Porphyra umbilicalis. Journal of Photochemistry and Photobiology B:
Biology, vol. 48: 75-82.
Aguilera, J., U. Karsten, H. Lippert, B. Voegele, E. Philipp, D. Hanelt, and C. Wiencke.
1999. Effects of solar radiation on growth, photosynthesis and respiration of
marine macroalgae from the Arctic. Marine Ecology Progress Series, vol.
191:109-119.
Banaszak, A. T. and M.P. Lesser. 1995. Survey of Mycosporine-like amino acids in
macrophytes of Kane'ohe Bay. In: Ultraviolet Radiation and Coral Reefs, D.
Gulko and P. Jokiel (eds.) HIMB Tech. Rpt. #41. UNIHI-Sea Grant-CR-95-03.
Banaszak, A. T., M.P. Lesser, I.B. Kuffner, and M. Ondrusek. 1998. Relationship
between ultraviolet (UV) radiation and mycosporine-like amino acids (MAAs) in
marine organisms. Bulletin of Marine Science, vol. 63: 617-628.
Beach, K.S., H.B. Borgeas, N.J. Nishimura, and C.M. Smith. 1997. In vivo absorbance
spectra and the ecophysiology of reef macroalgae. Coral Reefs, vol. 16: 21-28.
Bidigare, RR, J.L. Iriarte, S.-H. Kang, D. Karentz, M.E. Ondrusek, and G.A.
Fryxell. 1996. Phytoplankton: Quantitative and qualitative assessments. Antarctic
Research Series, vol. 70: 173-198.
Bidigare, R. R., L. Van Heukelem and C. C. Trees. 2004. Analysis of algal pigments by
high-performance liquid chromatography. In: Culturing Methods & Growth
Measurements (R. A. Andersen, Ed.), Academic Press (in press).
Bidigare, RR, O. Schofield, and B.B. Prezelin. 1989. Influence of zeaxanthin on
quantum yield of photosynthesis of Synechococcus clone WH7803 (DC2).
Marine Ecology Progress Series, vol. 56: 177-188.
Bidigare, RR. 1989. Potential effects of UV-B radiation on marine organisms of the
Southern Ocean: Distribution of phytoplankton and krill during the Austral
spring. Photochemistry and Photobiology, vol. 50 (4): 469-477.
Bidigare, R.R 1991. Analysis of algal chlorophylls and carotenoids. In Marine Particles:
Analysis and Characterization, Geophys. Monogr. Ser., vol. 63, D.C. Hurd and
D.W. Spencer (eds.), pp. 119-123. AGU, Washington, D.C.
45
Bird, K.T., M.D. Hanisak, and J. H. Ryther. 1981. Chemical quality and production of
agars extracted from Gracilaria tikvahiae grown in different nitrogen enrichment
conditions. Botanica Marina, vol. 24: 441-444.
Burna, A, A Engelen, and W. Gieskes. 1997. Wavelength-dependent induction of
thymine dimers and growth rate reduction in the marine diatom Cyclotella spp.
exposed to ultraviolet radiation. Marine Ecology Progress Series, vol. 153: 91-97.
Burkholder, P.R.; L.M. Burkholder, and L.R. Almodovar. 1971. Nutritive constituents of
some Caribbean marine algae. Botanica Marina, vol. 14 (2): 132-135.
Caldwell, M.M. 1971. Solar ultraviolet radiation and the growth and development of
higher plants. In Photophysiology, Ae. Giese (ed.), vol. 6: 131-177.
Calkins, J. (ed.). 1982. The role of solar UV radiation in marine ecosystems. Plenum
Press, New York, 724 pp.
Cockell, C.S. 1998. Biological effects of high ultraviolet radiation on early earth - a
theoretical evaluation. Journal of Theoretical Biology, vol. 193: 717-729.
Cockell, C.S. and LJ. Rothschild, 1999. The effects ofUV radiation A and B on diurnal
variation in photosynthesis in three taxonomically and ecologically diverse
microbial mats. Photochemistry and Photobiology, vol. 69 (2): 203-210.
Dring, Matthew J., Andreas Wagner, Jette Boeskov, and Klaus Luening. 1996. Sensitivity
of intertidal and subtidal red algae to UVA and UVB radiation, as monitored by
chlorophyll fluorescence measurements: influence of collection depth, season, and
length of irradiation. European Journal ofPhycology, vol. 31: 293-302.
Dring, Matthew J., Andreas Wagner, and Klaus Luening. 2001. Contribution of the UV
component of natural sunlight to photoinhibition of photosynthesis in six species
of subtidal brown and red seaweeds. Plant, Cell and Environment, vol. 24: 1153-
1164.
Dunlap, W.C., B.E. Chalker, and J.K. Oliver. 1986. Bathymetric adaptations of reef-
building corals at Davies Reef, Great Barrier Reef, Australia. 3. UV-B absorbing
compounds. Journal of Experimental Marine Biology and Ecology, vol. 104: 239-
248.
Dunlap, W.e., D. McB. Williams, B.E. Chalker, and AT. Banaszak. 1989. Biochemical
photoadaptation in vision: UV absorbing pigments in fish eye tissues. Compo
Biochem. Physiol. 93B: 601-607.
Dunlap, W.C., B.E. Chalker, and W.M. Bandarandayake. 1988. New sunscreening agents
derived from tropical marine organisms of the Great Barrier Reef, Australia.
46
Proceedings ofthe 6th
IntI. Coral ReefSymp., J.H. Choat, et al. (eds.), vol. 3: 89-
93.
Dunlap, W.e., K. Masaki, Y. Yamamoto, RM. Larsen, and I. Karube. 1997. A novel
antioxidant derived from seaweed. 4th International Marine Biotechnology
conference - Abstracts, p. 33.
Dunlap, W.e., and J.M. Shick. 1998. Ultraviolet radiation-absorbing mycosporine-like
amino acids in coral reef organisms: a biochemical and environmental
perspective. J. Phycology, vol. 34: 418-430.
EI-Sayed, S.Z., F.e. Stevens, R R. Bidigare, and M.E. Ondrusek. 1990. Effect of
ultraviolet radiation on antarctic marine phytoplankton. Antarctic Ecosystems,
380-385.
Figueroa, FL; Gomez, I. 2001. Photosynthetic acclimation to solar UV radiation of
marine red algae from the warm_temperate coast of southern Spain: A review.
Journal of Applied Phycology, vol. 13 (3): 233-245.
Franklin, L.A. and R.M. Forster. 1997. The changing irradiance environment:
consequences for marine macrophyte physiology, productivity and ecology. Eur.
J. of Phycology, vol. 32: 207-232.
Franklin, L.A., I. Yakovleva, U. Karsten, and K. Luning. 1999. Synthesis of
mycosporine-like amino acids in Chondrus crispus (Florideophyceae) and the
consequences for sensitivity to ultraviolet B radiation. Journal of Phycology, vol.
35: 682-693.
Franklin, L.A., G. Kraebs, and R. Kuhlenkamp. 2001. Blue light and UV-A radiation
control the synthesis of mycosporine-like amino acids in Chondrus crispus
(Florideophyceae) Journal ofPhycology. Vol. 37, no. 2, pp. 257-270
Friedlander, M.~ Dawes, C.J. 1985. In situ uptake kinetics of ammonium and phosphate
and chemical composition of the red seaweed Gracilaria tikvahiae. Journal of
Phycology, vol. 21, no. 3, pp. 448-453.
Gademann Rolf. 2004. PAM-JAM seminar, February 2003. Hawaii Institute of Marine
Biology, University of Hawaii.
Garcia-Pichel, F., and RW. Castenholz. 1993. Occurrence ofUV-absorbing,
mycosporine-like compounds among cyanobacterial isolates and an estimate of
their screening capacity. Appl. Environ. Microbiol., vol. 59: 163-169.
Gulko, Dave. 1995. The ultraviolet radiation environment of Kane'ohe Bay, O'ahu. In
ltraviolet Radiation and Coral Reefs, Gulko and Jokiel (eds.). HIMB Technical
Report #41. UNIHI-Sea Grant-CR-95-03.
47
Gulko, D. and Jokiel, P. (eds.). Ultraviolet Radiation and Coral Reefs, 1995. HIMB
technical report #41. UNIHI-Sea Grant-CR-95-03.
Haeder, D.-P. 1997. Penetration and effects of solar UV-B on phytoplankton and
macroalgae. Plant Ecology. Vol. 128: 4-13.
Halldal, P. 1964. Ultraviolet action spectra of photosynthesis and photosynthetic
inhibition in a green and a red alga. Physiol. Plant., vol. 17: 414-421.
Hanisak, M.D. and Samuel, M.A. 1983. The influence of major environmental factors on
the growth of Gracilaria tikvahiae (Rhodophyceae) in culture. Journal of
Phycology, vol. 19 (2): 6-12.
Helbling, E.W., V. Villafane, M. Ferrario, and O. Holm-Hansen. 1992. Impact of natural
ultraviolet radiation on rates of photosynthesis and on specific marine
phytoplankton species. Marine Ecology Progress Series, vol. 80: 89-100.
Helbling, E.W., B.E. Chalker, W.C. Dunlap, O. Holm-Hansen, and V.E. Villafane. 1996.
Photoacc1imation of Antarctic marine diatoms to solar ultraviolet radiation.
Journal of Experimental Marine Biology and Ecology, vol. 204: 85-101.
Holm-Hansen, 0., D. Lubing and E.W. Hebling. 1993. Ultraviolet radiation and its
effects on organisms in aquatic environments. In: Environmental UV
Photobiology, Young, A.R., L.O. Bjorn, J. Moan, and W. Nultsch (eds.), pp. 379-
425. Plenum Press, New York.
Hoyer, K; Karsten, U; Sawall, T; Wiencke, C. 2001. Photoprotective substances in
Antarctic macroa1gae and their variation with respect to depth distribution,
different tissues and developmental stages. Marine Ecology Progress Series. Vol.
211:117-129.
Hoyer, K., U. Karsten and C. Wiencke, 2002. Induction of sunscreen compounds in
Antarctic macroalgae by different radiation conditions. Marine Biology, vol. 141:
619-627.
Huang, Xiaohang; Wen, Zongcun; Wu, Chaoyuan. 1989. Effect of ammonium-nitrogen
on growth and chemical composition of Gracilaria sjoestedtii Kylin. Oceanologia
et limnologia sinica/Haiyang Yu Huzhao. Qingdao, vol. 20 (6): 493-501.
Huovinen, P., I. Gomez, F.L. Figueroa, N. Ulloa, V. Morales, and C. Lovengreen. 2004.
Ultraviolet-absorbing mycosporine-like amino acids in red macroalgae from
Chile. Botanica Marina, vol. 47: 21-29.
48
Jeffrey, S.M. and M. Vesk. 1997. Introduction to marine phytoplankton and their
signatures. In: Phytoplantkton Pigments in Oceanography; Jeffrey, Mantoura and
Wright (eds.). UNESCO, Paris.
Jerlov, N.G. 1950. Ultra-violet radiation in the sea. Nature, vol. 116: 111-112.
Johansson, G, and P. Snoeijs. 2002. Macroalgal photosynthetic responses to light in
relation to thallus morphology and depth zonation. Marine Ecology Progress
Series, vol. 244: 63-72.
Jokiel, Paul L. 1980. Solar ultraviolet radiation and coral reef epifauna. Science 207:
1069-1071.
Karentz, D. and L.H. Lutze. 1990. Evaluation of biologically harmful ultraviolet radiation
in Antarctica with a biological dosimeter designed for aquatic environments.
Limnol. Oceanogr., 35: 549-561.
Karentz, D., F.S. McEuen, M.e. Land, and W.e. Dunlap. 1991. Survey of mycosporine-
like amino acid compounds in Antarctic marine organisms: Potential protection
from ultraviolet exposure. Marine Biology, vol. 108: 157-166.
Karsten, U., T. Sawall, D. Hanelt, K. Bischof, F.L. Figueroa, A. Flores-Moya, and C.
Wieneke. 1998a. An inventory of UV-absorbing mycosporine-like amino acids in
macroalgae from polar to temperate regions. Botanica Marina, vol. 41: 443-453.
Karsten, U., T. Sawall, and C. Wieneke. 1998b. A survey of the distribution ofUV-
absorbing substances in tropical macroalgae. Phycological Research, vol. 46: 271-
279.
Karsten, U., L.A. Franklin, K. Luning, and C. Wieneke. 1998c. Natural ultraviolet and
photosynthetically active radiation induce formation of MAAs in marine
macroalga Chondrus crispus (Rhodophyta). Planta: 205: 257-262.
Karsten, U. 2000. Occurrence of photoprotective mycosporine-like amino acid
compounds (MAAs) in marine red macroalgae from temperate Australian waters.
Proc. Linn. Soc. N.S.W, vol. 122: 123-129.
Karsten, U., and J. West. 2000. Living in the intertidal zone - seasonal effects on
heterosides and sun-screen compounds in the red alga Bangia atropurpurea
(Bangiales). Journal of Experimental Marine Biology and Ecology, vol. 254 (2):
221-234.
Karsten, U., T. Sawall, J. West, and e. Wieneke. 2000. Ultraviolet sunscreen compounds
in epiphytic red algae from mangroves Hydrobiologia, vol. 432: 159-171.
49
Karsten, U., K. Bischof, and e. Wiencke. 2001. Photosynthetic performance of Arctic
macroalgae after transplantation from deep to shallow waters. Oecologia, vol.
127: 11-20.
Karsten, Ulf. 2002. Effects of salinity and ultraviolet radiation on the concentration of
mycosporine-like amino acids in various isolates of the benthic cyanobacterium
Microcoleus chthonoplastes. Phycological Research, vol. 50 (2): 129-134.
Kinzie, R.A 1993. Effects of ambient levels of solar ultraviolet radiation on
zooxanthellae and photosynthesis of the reef coral Montipora verrucosa. Marine
Biology, vol. 116: 319-327.
Kirk, John T.O. 1994. Light and Photosynthesis in Aquatic Ecosystems. Cambridge
University Press, Cambridge, UK.
Klisch, M; Haeder, D-P. 2000. Mycosporine-like amino acids in the marine dinoflagellate
Gyrodinium dorsum: induction by ultraviolet irradiation. Journal of
Photochemistry and Photobiology B: Biology, vol. 55 (2-3): 178-182.
Kraebs, G, K. Bischof, D. Hanelt, U. Karsten, and C. Wiencke. 2002. Wavelength-
dependent induction of UV-absorbing mycosporine-like amino acids in the red
alga Chondrus crispus under natural solar radiation. Journal of Experimental
Marine Biology and Ecology, vol. 268: 69-82.
Lao, K. and A Glazer. 1996. Ultraviolet-B photodestruction of a light-harvesting
complex. Proc. Natl. Acad. Sci. USA, vol. 93: 5258-5263.
Lapointe, B.E., L.D. Williams, J.e. Goldman, and J.H. Ryther. 1976. The mass outdoor
culture of macroscopic marine algae. Aquaculture, vol. 8: 9-21.
Lapointe, B.E.; Ryther,J.H. 1978. Some aspects of the growth and yield of Gracilaria
tikvahiae in culture. Aquaculture, vol. 15 (3): 185-193.
LaPointe, RE., and J. H. Ryther, 1979. The effects of nitrogen and seawater flowrate on
the growth and biochemical composition of G. foliifera var. angustissima in mass
outdoor cultures. Botanica Marina, vol. 22: 529-537.
Largo, D.R, P.T. Bacolod, M.AV. Cusi, C.A. Orosco, and M. Ohno. 1989. Growth rate
of Gracilaria verrucosa and Gracilaria salicornia (Gracilariales, Rhodophyta) in
an intertidal and semi-enclosed pond system in the Visayas, Philippines. Bulletin
of marine sciences and fisheries, Kochi University, vol. 11:95-100.
Larkum, AW.D., and W.F. Wood. 1993. The effect ofUV-B radiation on photosynthesis
and respiration of phytoplankton, benthic macroalgae and seagrass.
Photosynthesis Research, vol. 36: 17-23.
50
Larkum, A.W.D. 2003. Light Harvesting Systems. In Photsynthesis in Algae, Larkum,
Douglass and Raven (eds.), pp. 277-304.
Lamed, S.T. 1998. Nitrogen- versus phosphorus-limited growth and sources of nutrients
for coral reef macroalgae. Marine Biology, vol. 132 (3): 409-421.
Laurion, I., F. Blouin, and S. Roy. 2003. The quantitative filter technique for measuring
phytoplankton absorbtion: Interference by MAAs in the UV waveband.
Limnology and Oceanography: Methods, vol. 1: 1-9.
Laws, E.A., B.N. Pope, RR Bidigare, M.C. Kennicutt, and S.A. Macko, 1995.
Dependance of phytoplankton carbon isotopic composition on growth rate and
[COZ]aq: theoretical considerations and experimental results. Geochimica et
Cosmochimica Acta, vol. 59: 1131-1138.
Lesser, M.P. 1996. Acclimation of phytoplankton to UV-B radiation: Oxidative stress
and photoinhibition of photosynthesis are not prevented by UV-absorbing
compounds in the dinoflagellate Prorocentrum micans. Marine ecology progress
series, vol. 132 (1-3): 287-297.
Lesser, M.P., and S. Lewis. 1996. Action spectrum for the effects of UV radiation on
photosynthesis in the hermatypic coral Pocillopora damicornis. Marine Ecology
Progress Series, vol. 134: 171-177.
Liu, Jing-Wen; and S.-L. Dong. 2001. Comparative studies on utilizing nitrogen
capacity between two macroalgae Gracilaria tenuistipitata var. liui (Rhodophyta)
and VIva pertusa (Chlorophyta) I. Nitrogen storage under nitrogen enrichment
and starvation. Journal of Environmental Sciences (China). Vol. 13: 318-322.
Lorenzen, C.J. 1979. Ultraviolet radiation and phytoplankton photosynthesis. Limnol.
Oceanogr., vol. 24: 1117-1120.
Lourenco, S.O., E. Barbarino, J.C. De-Paula, L.a. da S. Pereira, and U.M. Marquez.
2002. Amino acid composition, protein content and calculation of nitrogen-to-
protein conversion factors for 19 tropical seaweeds. Phycological Research, vol.
50: 233-241.
Lyons, M.M., P. Aas, J.D. Pakulski, L. VanWaasbergen, RV. Miller, D.L. Mitchell, and
W.H. Jeffrey. 1998. DNA damage induced by ultraviolet radiation in coral reef
microbial communities. Marine Biology, vol. 130: 537-543.
Maegawa, M, M. Kunieda, and W. Kida. 1993. The influence of ultraviolet radiation on
the photosynthetic activity of several red algae from different depths. Japan
Journal of Phycology, vol. 41 (3): 207-214.
51
Moisan, T.A, and B.G. Mitchell. 2001. UV absorption by mycosporine-like amino acids
in Phaeocystis antarctica Karsten induced by photosynthetically available
radiation. Marine Biology, vol. 138: 217-227.
Molina, X and V. Montecino. 1996. Acclimation to UV irradiance in Gracilaria chilensis
Bird, McLachlan & Oliveira (Gigartinales, Rhodophyta). Hydrobiologia, vol.
326-327: 415-420.
Morgan, K.C., J.L.C. Wright, and FJ. Simpson. 1980. Review of chemical constituents
of the red alga Palmaria palmata (Dulse). Econ. Bot., 34 (l): 27-50.
Nakamura, H., J. Kobayashi, and Y. Hirata, 1982. Separation ofmycosporine-like amino
acids in marine organisms using reverse-phase high performance liquid
chromatography. J. Chromatography, vol. 250: 113-118.
Naldi, M. and P. Wheeler. 1999. Changes in nitrogen pools in VIva Jenestrata
(Chlorophyta) and Gracilaria pacifica (Rhodophyta) under nitrate and ammonium
enrichment. Journal ofPhycology, vol. 35: 70-77.
Neale, P.J., JJ. Cullen, M.P. Lessen, and A Melis. 1993. Physiological bases for
detecting and predicting photoinhibition of aquatic photosynthesis by PAR and
UV radiation. In Photosynthetic Responses to the Environment (H.Y. Yamamoto
and C.M. Smith, eds.), pp. 61-77. American Society of Plant Physiologists,
Rockville, MD.
Neale, PJ.; AT. Banaszak, and c.R. Jarriel. 1998. Ultraviolet sunscreens in
Gymnodinium sanguineum (Dinophyceae): Mycosporine-like amino acids protect
against inhibition of photosynthesis. Journal of Phycology, vol. 34 (6): 928-938.
Nultsch, W., J. Pfau, and K. Huppertz. 1990. Photoinhibition of photosynthetic oxygen
production and its recovery in the subtidal red alga Polyneura hilliae. Bot. Acta,
vol. 103: 62-67.
Orduna-Rojas, J.~ Robledo, D.; Dawes, CJ. 2002. Studies on the Tropical Agarophyte
Gracilaria cornea J. Agardh (Rhodophyta, Gracilariales) from Yucatan, Mexico.
I. Seasonal Physiological and Biochemical Responses. Botanica Marina, vol. 45
(5): 453-458.
Osmond, C.B., C.H. Foyer and G. Bock (eds.). 2000. Photoprotection of the
photosynthetic apparatus. Phil Trans Royal Soc London B, 335: 1329-1547.
Pang, S., I. Gomez, and K. Luning. 2001. The red macroalga Delesseria sanguinea as a
UVB-sensitive model organism: selective growth reduction by UVB in outdoor
experiments and rapid recording of growth rate during and after UV pulses.
European Journal of Phycology, vol. 36: 207-216.
52
Peckol, P; DeMeo-Anderson, B; Rivers, J; Valiela, I; Maldonado, M; Yates, J, 1994.
Growth, nutrient uptake capacities and tissue constituents of the macroalgae
Cladophora vagabunda and Gracilaria tikvahiae related to site-specific nitrogen
loading rates. Marine Biology, vol. 121: 175-185.
Penniman, C.A and AC. Mathieson. 1987. Variation in chemical composition of
Gracilaria tikvahiae McLachlan (Gigartinales, Rhodophyta) in the Great Bay
Estuary, New Hampshire. Botanica Marina, vol. 30: 525-534.
Pfander, H. 1992. Carotenoids: an overview. In: Methods in Enzymology, L. Packer (ed.),
vol. 213: 3-13. Carotenoids, Part A Academic Press.
Photsynthesis in Algae. A.W.D. Larkum, S. E. Douglass and J.A. Raven, Eds. 2003.
Kluwer Academic Publishers, Dordrecht, Netherlands.
Phytoplankton Pigments in Oceanography. S.W. Jeffrey, R.F.C. Mantoura, and S.W.
Wright, eds. 1997. UNESCO Publishing, Paris, France.
Poppe, F., R.A. Schmidt, D. Hanelt, and C. Wieneke. 2003. Effects of UV radiation on
the ultrastructure of several red algae. Phycological Research, vol. 51: 11-19.
Poppe, F. D. Hanelt, and C. Wieneke. 2002. Changes in ultrastructure, photosynthetic
activity and pigments in the Antarctic red algae Palmaria decipiens during
acclimation to UV radiation. Botanica Marina, vol. 45: 253-261.
Post, A, and AW.D. Larkum. 1993. UV-absorbing pigments, photosynthesis and UV
exposure in Antarctica: comparison of terrestrial and marine algae. Aquatic
Botany, vol. 45: 21-27.
Renger, G., M. Volker, H.I. Eckert, R. Fromme, S. Holm-Veit, and P. Graeber. 1989. On
the mechanism of photosystem II deterioration by UV-B radiation. Photochem.
Photobiol., vol. 49: 97-105.
Retamales, CA, A Martinez, and AH. Buschmann. 1994. Long term productivity and
agar yield of Gracilaria chilensis tank culture in southern Chile. Revista de
Biologia Marina, vol. 29: 251-261.
Rothschild, Lynn J. 1999. The influence ofUV radiation on Protistan evolution. Journal
of Eukaryotic Microbiology, vol. 46 (5): 548-555.
Ryther, J.H. and RE. LaPointe. 1979. The effects of nitrogen and seawater flowrate on
the growth and biochemical composition of Gracilaria foliifera var. angustissima
in mass outdoor cultures. Botanica Marina, vol. 22: 529-537.
Ryther, J.R.; N. Corwin, T.A DeBusk, and L.D. Williams. 1981. Nitrogen uptake and
storage by the red alga Gracilaria tikvahiae; Aquaculture, vol. 26: 107-115.
53
Sancar, A and G.B. Sancar. 1988. DNA repair enzymes. Annual Review of
Biochemistry, vol. 57: 29-67.
Shibata, K. 1969. Pigments and a UV-absorbing substance in corals and a blue-green alga
living in the Great Barrier Reef. Plant Cell Physiology, vol. 19: 325-335.
Shick, J.M., W.e. Dunlap, B.E. Chalker, AT. Banaszak, and T.K. Rosenzweig. 1992.
Survey of the ultraviolet radiation-absorbing Mycosporine-like amino acids in
organs of coral reef holothurids. Marine Ecology Progress Series, vol. 90: 139-
148.
Shick, JM; Romaine-Lioud, S; Ferrier-Pages, C; Gattuso, J-P. 1999. Ultraviolet-B
radiation stimulates shikimate pathway-dependent accumulation of mycosporine-
like amino acids in the coral Stylophora pistillata despite decreases in its
population of symbiotic dinoflagellates.
Sivalingam, P.M., T. Ikawa, Y. Yokohama, K. Nisizawa. 1974. Distribution of a 334 nm
UV-absorbing substance in algae, with special regard of its possible physiological
roles. Botanica Marina, vol. 17, pp. 23-29.
Sinha, R.P.; Klisch, M.; Groeniger, A; Haeder, D-P. 1998. Ultraviolet absorbing!
screening substances in cyanobacteria, phytoplankton and macroalgae. Journal of
Photochemistry and Photobiology B: Biology, vol. 47: 83-94.
Sinha, R.P.; M. Klisch, A. Groeniger, and D-P Haeder. 2000. Mycosporine-like amino
acids in the marine red alga Gracilaria cornea - effects of UV and heat.
Environmental and Experimental Botany, vol. 43 (1): 33-43.
Smit. AJ. 2002. Nitrogen uptake by Gracilaria gracilis (Rhodophyta): Adaptations to a
temporally variable nitrogen environment. Botanica Marina, vol. 45: 196-209.
Smith, R.e. and K.S. Baker. 1979. Penetration of UV-B and biologically effective dose
rates in natural waters. Photochem. Photobiol., vol. 29: 311-323.
Smith, Re., B.B. Prezelin, K.S. Baker, RR Bidigare, N.P. Boucher, T. Coley, D.
Karentz, S. MacIntyre, H.A Matlick, D. Menzies, M. Ondrusek, Z. Wan, and KJ.
Waters. 1992. Ozone depletion: Ultraviolet radiation and phytoplankton biology
in Antarctic waters. Science, vol. 255: 952-958.
Takano, S., A Nakanishi, D. Uemura, and Y. Hirata. 1979. Isolation and structure of a
334 nm UV absorbing substance, porphyrea-334 from the red alga Porphyra
tenera Kjellman, Chemistry Letters, 1979: 419-420.
54
Takano, S., D. Uemura, and Y. Hirata. 1978a. Isolation and structure of a new amino
acid, palythine, from the zoanthid Palythoa tuberculosa. Tetrahedron Letters, vol.
26: 2299-2300.
Takano, S., D. Uemura, and Y. Hirata. 1978b. Isolation and structure of two new amino
acids, palythinol and palythene, from the zoanthid Palythoa tuberculosa.
Tetrahedron Letters, vol. 49: 4909-4912.
Talarico, L, and G. Maranzana. 2000. Light and adaptive responses in red macroalgae: an
overview. Journal of Photochemistry and Photobiology B: Biology, vol. 56 (1): I-
ll.
Tsujino, I., K. Yabe, and I. Sekikawa. 1980. Isolation and structure of a new amino acid,
shinorine, from the red alga Chondrus yendoi Yamada et Mikami. Botanica
Marina, vol. 23: 65-68.
Vass, Imre. 1997. Adverse effects of UV-B light on the structure and function of the
photosynthetic apparatus. In: Handbook ofPhotosynthesis, M. Pessaraki (Ed.). M.
Dekker Publishing. Pp. 931-949.
Vernet, M; Whitehead, K. 1996. Release of ultraviolet-absorbing compounds by the red-
tide dinoflagellate Lingulodinium polyedra. Marine Biology, vol. 127 (1): 35-44.
Whitehead, K. and J.I. Hedges. 2002. Analysis of mycosporine-like amino acids in
plankton by liquid chromatography electrospray ionization mass spectrometry.
Marine Chemistry, vol. 80 (1): 27-39.
Whitehead, K. and J.I. Hedges. 2002. The Use of Liquid Chromatography-Mass
Spectrometry (LC-MS) in the Identification and Characterization of Mycosporine-
Like Amino Acids (MAAs). Journal ofPhycology, vol. 38 (SI): 37-37.
Wright, S.W., S.W. Jeffrey, R.P.C. Mantoura, C.A. Llewellyn, T. Bjornland, D. Repeta,
and N. Welschmeyer. 1991. Improved HPLC method for the analysis of
chlorophylls and carotenoids from marine phytoplankton. Marine Ecology
Progress Series, vol. 77:183-96.
Wood, W.F. 1987. Effect of solar ultra-violet radiation on the kelp Ecklonia radiata.
Marine Biology, vol. 96: 143-150.
Wood, W.P. 1989. Photoadaptive responses of the tropical red alga Eucheuma striata
Schmitz (Gigartinales) to ultraviolet radiation. Aquatic Botany, vol. 33: 143-150.
Zamzow, Jill P. and George S. Losey. 2002. Ultraviolet radiation absorbance by coral
reef fish mucus: photo-protection and visual communication. Environmental
Biology of Fishes, vol. 63: 41-47.
55
Zudaire, L, and S. Roy. 2000. Photoprotection and long-term acclimation to UV radiation
in the marine diatom Thalassiosira weissflogii. Journal of Photochemistry and
Photobiology B: Biology, vol. 62 (1-2): 26-34.
56

Maa

  • 1.
    UNIVERSITY OF HAWAI'ILIBRARY INFLUENCE OF ULTRAVIOLET RADIATION ON THE PIGMENTATION AND GROWTH OF THE RED ALGA, GRACILARIA sALICORNIA .,. A THESIS SUBMITTED TO THE GRADUATE DIVISION OF THE UNIVERSITY OF HAWAI'I IN PARTIAL FlJLFILUv.fENT OF THE REQUIREMENTS FOR THE DEGREE OF MASTER OF SCIENCE IN OCEANOGRAPHY AUGUST 2005 By Kevin E. Kelly Thesis committee: Edward A. Laws, Chairperson Robert R, Bidigare Robert A. Kinzie
  • 2.
    We certify thatwe have read this thesis and that, in our opinion, it is satisfactory in scope and quality as a thesis for the degree of Master of Science in Oceanography THESIS COMMITTEE Chairperson ii
  • 3.
    ACKNOWLEDGEMENTS I was invitedto interview with the DH Oceanography department in 1997, and was taken by the island and friendly, relaxed atmosphere of the students and professors. I paid less attention to the research being conducted. It became obvious that the program was not a perfect fit as I spent my first two years avoiding lab work and any ideas for a thesis topic. Oh Plan B, why weren't you there for me? I want to thank the department for the OCN 201 TAship that supported me then. I finally ventured into a lab and began a project, only to have my field work trigger an international incident. I thank Rich Radkte for that memorable trip to Greenland. While I always knew I would finish, I lost most believers over the next two years, where my only link to DH was my OCN 699 tuition payment. I want to thank the professor who gave me passing marks for those credits, and kept alive the hope that one day I may graduate. The creation of the Marine Biotechnology and Engineering Center (MarBEC) piqued my interest, motivating me to begin a research project. For one really fun summer, I was supported by NASA and worked at the Ames Research Center in Dr. Lynn Rothschild lab. Dispite returning to Hawaii with a large yet unacceptable data set, I am very appreciative for the chance to experience life at a NASA campus. Through a fortuitous clause in the MarBEC contract with NSF (that prematurely shut down), funding would be available until I graduated. I thank those who would not leave me unfunded after the program closed. I thank my committee for patiently dealing with me for an extremely long time, Fred Mecher and Rick Spencer of Hawaii Marine Enterprises for their generosity, Nancy Koike for her surprised look every time I came by, Steph Christensen for her great attitude and help with my lab analysis, my mom, who will never admit that she lost faith in me, and my wife, Irene, who never did lose faith. iii
  • 4.
    ABSTRACT Physiological damage tomacroalgae from both UVA (320-400 nm) and UVB (280-320 nm) radiation is well documented in the scientific literature. Due to the occurrence of mycosporine-like amino acids (MAAs) in marine algae from the poles to the tropics, and their UV absorption maxima between 310 and 360 nm, it is assumed that MAAs act as sunscreens to counter this stress while allowing the light-harvesting pigments to absorb the maximum photosynthetically active radiation (PAR, 400-700 nm) for growth. This study agrees with previous investigations that MAA concentration is positively correlated with natural doses of UV radiation. In addition, this study addresses the metabolic cost of producing these photoprotective compounds. Specifically, does this metabolic cost impact growth rate? Gracilaria salicornia was grown in both UV transparent (full sunlight) and UV filtered (50% reduced irradiance below 350 nm) 40-liter tanks, and growth rate and intracellular concentrations of photosynthetic pigments were compared during two time-series experiments (14 and 21 days) between June and August, 2003. Of the five MAAs consistently detected, porphra-334 (Amax=334) showed the quickest and most substantial divergence in concentration between the two treatments (full sunlight = higher concentration). Shinorine (Amax=334) and palythine (/"max=320) responses generally lagged by two to three days and were less pronounced. The concentration of palythene (Amax=360) and mycosporine-glycine (Amax=309) also diverged, but differences were very small for most days in each time-series. Pigment responses also diverged midway through the experiment, with carotenoid concentration in the control treatment increasing relative to the experimental treatment. Growth rates between the two treatments were not statistically different. iv
  • 5.
    TABLE OF CONTENTS Acknowledgementsiii Abstract .iv List of Tables vi List of Figures vii Chapter 1: Introduction l Physiological Effects of UV Radiation 2 Mycosporine-like amino acids 4 Description 4 Photoprotective role of MAAs 5 Mechanisms for MAA induction 7 Photoprotective Carotenoids 8 Description of Gracilaria salicornia 9 This Study 13 Chapter 2. Materials and Methods 15 Experimental Design 15 On-site techniques 15 Algal maintenance 15 Irradiance measurements 16 Growth rate measurements 17 Harvest method 18 Analytical methods 18 MAA analysis 18 Pigment analysis 22 Determining dry weight and MAA to protein 23 Statistical Analyses 24 Chapter 3. Results 25 Irradiance 25 Growth Rate 25 Zeaxanthin Concentration 26 MAA Induction and Concentration 28 Total MAA Concentration 28 Individual MAA concentrations 28 Variation of MAA concentrations within individual thalli.. 33 Chapter 4. Discussion 35 Variation in MAA production between control and treatment samples 37 Variation in growth rate between control and treatment samples 39 Variation in concentration of MAAs between control and treatment samples 39 Chapter 5. Conclusions and Future Directions .42 References 45 v
  • 6.
    LIST OF TABLES 1.1UV radiation levels at polar, temperate, and tropicallatitudes 2 1.2 Protein concentration as a percentage of dry weight 11 1.3 Concentrations of seven MAAs from 1994 survey 12 2.1 Irradiance of UV opaque algae as percentage of UV-transparent algae I? 2.2 Publish, measured and calculated data to determine MAA response factors 20 3.1 Two-tailed paired t-test statistics (growth rate) 25 3.2 One-tailed paired t-test statistics (zeaxanthin concentration) 26 3.3 Zeaxanthin concentrations, percent increase and percent difference 26 3.4 P-values for one-tailed paired t-test (MAA concentrations) 30 3.5 Maximum concentration, percent increase and percent difference (Run A) 32 3.6 Maximum concentration, percent increase and percent difference (Run B) 33 4.1 Selected algae with high [MAA] from 11 separate surveys 36 VI
  • 7.
    LIST OF FIGURES FigurePage 1.1 Gracilaria salicomia 9 1.2 Molecular structure of MAAs found in G. salicomia 13 2.1 Irradiance Spectra for Control and Treatment 17 2.2 Linear range of the Beckman-Coulter HPLC 21 2.3 Ratio of wet weight to dry weight for samples of G. salicomia 24 3.1 Comparison of irradiance, growth and photoprotectants 27 3.2 Comparison of concentrations of the major MAAs 29 3.3 Comparison of concentrations of the minor MAAs 31 3.4 Cross-sectional gradient in the concentration of MAAs 34 vii
  • 8.
    CHAPTER 1. INTRODUCTION Allphotosynthetic organisms rely on solar radiation as their primary source of energy. Photosynthetically active radiation (PAR) is the range of the solar spectrum within which oxygenic phototrophs are able to convert the sun's energy into chemical energy. PAR is commonly considered to range from 400 to 700 nm, as there is too little energy to drive photosynthesis at wavelengths longer than 700 nm, and the efficiency of energy transfer in the chloroplast's reaction center is very low at wavelengths shorter than 400 nm (Rothschild 1999). Short wavelength radiation, below 400 nm (i.e., ultraviolet radiation, UVR), contains higher energy per photon and commonly causes photodamage to living organisms. The stratospheric ozone layer has a high absorption coefficient for UVB radiation (280-320 nm) and is primarily responsible for absorbing much of the energy in this waveband. Depletion of the ozone layer by chlorofluorocarbons is likely the cause for increased levels of UVB striking the earth's surface (Smith et al. 1992). UVA (320- 400 nm) and PAR (400-700 nm) are not strongly attenuated by the atmosphere and ozone layer and, thus, are relatively insensitive to ozone thinning (Franklin and Forster 1997). While higher levels of UVA radiation do reach the earth's surface relative to UVB, the energy transmitted per photon is much lower. The energy of incident UV radiation (UVR) is primarily dependent on season and latitude, with the highest levels occurring during the summer months at all locations. At higher latitudes, the reduced flux of UVR is offset by longer summer days, effectively increasing the total daily dose to levels higher than received in the tropics. Nevertheless, 1
  • 9.
    on an annualbasis, the tropics receive 1.5 to three fold higher levels of UVR (Kirk 1994). Table 1.1 provides published data for peak sea level radiation levels across latitudes. . all . d 1dI All measurements taken at noon dunng summer T bIll UV d" I Ia e ra IatlOn eve s at po ar, temperate an tropIC atItu es UVB (280-320) Wm-L UVA (320-400) Wm-L Source Spitsbergen, 0.8-1.2 Wm-2 15-20 Wm-2 Karsten et al1998a. Norway (80 0 N) Bremerhaven, 1.5-2.0 Wm-2 20-35 Wm-2 Karsten et al 1998a. Germany (53°N) Southern Spain 2.0-2.5 Wm-2 35-50Wm-2 Karsten et al 1998a. (35°N) Victoria, 2.2-2.4 Wm-2 70Wm-2 Karsten and West Australia (35°S) 2000. Kaneohe Bay, 2.5-3.1 Wm-2 45-65 Wm-2 Gulko 1995. Oahu (21.5°N) J A. Physiological Effects of UV Radiation While it has been shown that radiation as low as 350 nm can drive photosynthesis in macroalgae (HaldalI1964), the net accumulated damage to the photosynthetic apparatus (i.e., damage in excess of a plant's abiltiy to repair) increases as wavelength of the incident light shifts from the visible to the ultraviolet (Jones and Kok 1966). Furthmore, near UV-photodamage recovers more slowly than that from PAR photoinhibition (Nultsch et al. 1990). While small levels of UVA are necessary to repair DNA dimers and produce vitamin D (Sancar and Sancar 1988), shortwave UVA and UVB radiation (280-340 nm) generally cause serious damage to plants if repair mechanisms are unable to keep pace with the rate of photodamage. Natural waters generally protect aquatic organisms from UVR through rapid attenuation due to dissolved and suspended material, although significant amounts of UVB have been 2
  • 10.
    measured (-1% surfaceintensity) at 15-25 m depth in ideal conditions (Smith and Baker 1979). Jerlov (1950) found that in clear tropical water solar UVR can have significant biological effects to a depth of 20 m, and Karentz and Lutze (1990) observed UVB damage in algae growing at 10 m in Antarctic waters. Prolonged exposure to natural levels of both UVB and shortwave UVA radiation can be fatal to many forms of marine plants and animals (Lorenzen 1979; Calkins 1982). There are several studies investigating the effects of UV radiation on the photosynthetic machinery of macrophytes. These effects fall into two catagories: reductions in photosynthetic performance due to direct damage to photosynthetic components, and damage to DNA. With regards to the first category, laboratory studies have shown that UVR can affect most aspects of PSII, including the water-splitting complex's D1/D2 polypeptide matrix (Renger et al. 1989). Reduced chlorophyll and carotenoid concentrations and subsequent depressed rates of photosynthesis have been observed in red macroalgae exposed for long periods to high levels of natural light (Wood 1989). UVB radiation can cause the formation of thymine dimers in DNA, which could ultimately lead to lethal transcription errors. This has only been observed in laboratory studies, as these dimers are repaired rapidly in the presence of blue light-UVA radiation (Burna et al. 1997). UVR affects DNA and RNA, enzymes, membranes, mitosis, cell size, photosynthesis, growth, orientation and motility, and consequently, productivity (Karsten et al. 1998a). Thus, organisms have evolved a variety of mechanisms that protect them from UV damage. 3
  • 11.
    B. Mycosporine-like AminoAcids 1. Description Mycosporine is the generic name for nitrogenous metabolites of fungi that have strong UV absorption maxima near 310 nm. Mycosporine-like amino acids (MAAs) are water- soluble compounds characterized by a cyclohexenone or cyclohexenimine chromophore conjugated with the nitrogen sustituent of an amino acid or its imino alcohol. MAAs have absorption maxima ranging from 310 to 360 nm and an average molecular weight of- 300 (Nakamura et al. 1982). To date, twenty-five distinct MAA compounds have been described (Whitehead and Hedges 2002). Marine MAAs were first documented in corals and blue-green algae collected from the Great Barrier Reef (Shibata 1969). Photobiologists hypothesized soon thereafter that they were produced to protect marine organisms from damaging UVR, based on their strong absorption coefficients in this range (Sivalingham et al. 1974). Since then, MAAs have been found in species across the marine taxonomic spectrum, including krill (Nakamura et al. 1982), fish (Zamzow and Losey 2002), and holothurids (Shick et al. 1992). In one study (Karentz et al. 1991), researchers surveyed 57 Antarctic species, representing 13 phyla, for the presence of MAAs. MAAs were detected in - 90% of the species in ten of the thirteen phyla screened. Furthermore, MAAs have been detected in microalgae and macroalgae collected throughout the world's oceans (Karsten et al. 1998), and in benthic algae to depths of 20 m (Dunlap et al. 1986). It is accepted that MAAs are synthesized by algae (Karentz et al. 1991) and are incorporated into other phyla either through ingestion (e.g., fish, holothurids) or via a symbiotic relationship (cnidarians). Of 4
  • 12.
    the 80 marinealgal taxa surveyed by Sivalingam (1974), the red algae consistently had the highest concentrations of MAAs. Numerous subsequent studies corroborate this trend. 2. Photoprotective role of MAAs. Because their absorption maxima range from 310-360 nm (Dunlap and Shick 1998), MAAs are believed to provide protection against the damaging effects of UV radiation (280 - 400 nm). In one study of the terrestrial cyanobacterium Gloeocapsa sp., Garcia- Pichel and Castenholz (1993) estimated that MAAs provided at least a 30% effective sunscreen from the harmful effects of UVR. Evidence for the photoprotective function of MAAs was first seen in the relationship between UV dose and MAA concentration in both corals and algae. In vivo MAA concentrations in many species of corals have been shown to decrease with increasing depth (Dunlap et al. 1986, Shick et al. 1995, Banaszak et al. 1998). Studies of benthic macroalgae determined a similar relationship (Karsten et al. 1998a, Huovinen et al. 2004). Transplating the red alga, Chondrus crispus, from the subtidal zone to the intertidal zone triggered the immediate production of MAAs (Franklin et al. 1999). Karsten et al. (1998a) demonstrated that MAA concentrations in rhodophytes from polar (80 0 N) and cold-temperate (53°N) regions are approximately half of those measured in algae from a warm-temperate (35°N) region. MAA concentrations also vary within a single species by season, with minimum levels detected during winter months (Post and Larkum 1993). Finally, microscale variation of MAAs within an individual organism has been observed for the red alga Eucheuma striatum, with higher concentrations in the 5
  • 13.
    apical tips thanthe self-shaded basal regions (Wood 1989). All of these studies suggest that MAA concentrations are usually positively correlated with natural doses of UV radiation. In contrast, under artificial light regimes, certain species of algae exposed to specific wavebands (e.g., PAR, UVA, UVB, or a combinations of wavebands) have exhibited contrary results, with increases in overall radiation causing a decrease in MAA production (Hoyer et al. 2001). Experiments involving the transplantation of deep water species to shallow water did not consistently lead to the production of MAAs and ocassionally caused a decrease in MAA levels (Figueroa and Gomez 2001). In laboratory studies with Antarctic macroalgae, Hoyer et al. (2002) found that less than half of the species tested showed a positive correlation of MAA production with dose, and two of eighteen species exhibited a negative correlation. This provides evidence that MAA induction is not consistent across all species. In an experiment of similar design to the current study, Kinzie (1993) compared the photosynthetic rate, and levels of chlorophyll a and MAAs in PAR and PAR + UV adapted samples of the hermatypic coral Montipora verrucosa. While chlorophyll a concentration did not differ between treatments, total MAA concentrations were higher for the UV + PAR adapted corals. Photosynthesis did not differ if the same light regime was applied during measurement as was used during acclimation. Hebling et al. (1996) conducted laboratory experiments with Antarctic diatoms that were acclimated to high levels of UVR (i.e., allowed to produce MAAs). Those acclimated to high UV showed 6
  • 14.
    similar photosynthetic rates(under high UV) as non-acclimated algae under low UV. They concluded that MAA compounds are synthesized in response to high light conditions and that they decrease the photoinhibitory effects of UVR. Conversely, in algae that lack the capability to produce MAAs (e.g., many deep-water species), prolonged exposure to surface irradiance caused bleaching, reflecting the photodestruction of pigments and/or pigment producing processes (Karsten et al. 2001). 3. Mechanisms for MAA induction. Numerous studies have investigated the relationship between UVR and MAA induction in algae, coral, and a number of other marine organisms (Maegawa et al. 1993, Banaszak et al. 1998). These compounds appear to be derived from the shikimic acid pathway, similar to the synthesis of mycosporine observed in fungi (Dunlap et al. 1997). The diversity of MAA compounds found in a given species and the varying responses to different wavelengths of light within a given species has led to the hypothesis that multiple mechanisms or triggers are responsible for MAA induction. Numerous experiments have demonstrated that the production of specific MAAs is induced by UVB, UVA or PAR (Karsten et al. 1998c) or a combination of these wavelengths (Franklin et al. 2001, Kraebs et al. 2002). Franklin (2001) demonstrated that blue light induces rates of MAA production similar to those obtained with the full PAR spectrum, but red or green light only induced trace amounts of MAAs. Kraebs (2002) showed that palythinol ("'max 332 nm) production was only induced in algae that were subjected to shortwave UVB radiation « 305 nm). Other experiments have demonstrated that the 7
  • 15.
    concentration and possiblythe composition of MAAs is dependent upon the quantity, and not the wavelength, of radiation applied (Karsten et al. 1998b, Franklin et al. 1999). In contrast, no in vivo induction of MAAs was recorded with UV alone or UV + PAR in the red alga, Gracilaria cornea, despite the fact that this species has high natural concentrations of MAAs (Sinha et al. 1998). The diversity of responses from many of the recent studies indicate that each MAA is synthesized by a different variation of the shikimic acid pathway, with each pathway induced by a photoreceptor triggered by a specific waveband (Franklin et al. 2001, Portwich and Garcia-PicheI2000, Riegger and Robinson 1997, Shick et al. 1991). In the red alga, Chondrus crispus, Kraebs hypothesized that, as the simplest structure, mycosporine-glycine is the precursor to other MAAs. One photoreceptor would stimulate palythinol production, which later converts to shinorine. A different photorecptor would stimulate astema-330, which would convert to palythine. The response observed would be dependent on the prevailing irradiance conditions (Kraebs et al.2002). C. Photoprotective Carotenoids Carotenoids protect the light-harvesting complex against singlet oxygen-generated damage created by photosensitized oxidation. Without carotenoids, there would be no photosynthesis in the presence of oxygen. Photoprotective carotenoids (e.g., zeaxanthin) protect algae in high light environments, stabilize chlorophylls, and protect them from bleaching in the presence of oxygen (Borowitzka and Borowitzka 1988). 8
  • 16.
    Carotenoids, apart fromtheir antenna function in photosynthesis, play an important role in the mechanisms protecting the photosynthetic apparatus against various harmful environmental factors. They protect plants against overexcitation in strong light and dissipate the excess of absorbed energy. They scavenge reactive oxygen species formed during photooxidative stress and moderate the effect of extreme temperatures. In the red algae, carotenoids act primarily as sun screens. D. Description of Gracilaria salicomia Gracilaria salicomia is classified in the division Rhodophyta (red algae), class Rhodophyceae, subclass Florideophycidae, order Gracilariales and family Gracilariaceae. Gracilaria is one of six genera in the Gracilariaceae and contains most of the species, of which there are 100 worldwide. All species within the Gracilariales are pseudoparenchymatous throughout, save the narrow 1-2 celled pigmented cortex (Abbott 1999). Relative to the other algal divisions, red algae produce shorter chain polysaccharides that are used for the commercial production of glycocolloids (e.g., agar, agarose). The ability to produce commercial-quality colloidal agar has generated much research on this order of macrophytes. Figure 1.1 Gracilaria salicomia (Photo credit: len Smith) Gracilaria salicomia is characterized by cylindrical branches of 2-5 mm in diameter, usually with distinctive constrictions at branching intersections. It grows from an inconspicuous disklike holdfast in 30 cm- sized clumps. The coloration varies from bright yellow in full sunlight to orange- brown in shady habitats. 9
  • 17.
    G. salicornia isan ubiquitous red alga found in relatively sheltered intertidal and subtidal waters around Hawaii (Figure 1.1). It was first identified on Oahu in 1946, but was introduced to Waikiki and Kaneohe Bay from Hilo Harbor in 1974 for aquaculture as a source of agar (Abbott 1999). All projects were ultimately abandoned, and the algae were left on the reefs. This species is usually sterile and reproduces asexually, although at times it is tetrasporangial and more rarely gametangial. Populations have been sexually and asexually propagating for the past 30 years and have overgrown corals and native algal species in ever increasing locations. It is now the dominant species in Kaneohe Bay and along the south shore of Oahu. The seaweed grows in tidepools and on reef flats, where it forms mats from 1 to 20 cm thick, by itself or tangled with other seaweeds. The morphology is extremely variable, depending on the depth of the surrounding water. It is a hardy species, often fully emergent at low tide, exposed to hours of intense tropical sunlight. Growth studies on several species of Gracilaria showed that algae in this genus have the ability to store nitrogen in intracellular pools during periods of non-limiting supply in the water column (Peckol et al. 1994; Naldi and Wheeler 1999; Smit 2002). In studies of G. salicornia, Largo et al. (1989) noted its ability to out-compete other species of Gracilaria (i.e., G. verrucossa, G. arcuata, G. eucheumoides, and G. coronopijolia) under natural conditions when growth rates are not limited, and pulses of nitrogenous nutrients occur. In a separate study, Lamed (1998) determined that G. salicornia has the ability to take up nitrogen in excess of growth demand and store it in intracellular reserve pools. This represents an important strategy to exploit available nitrogenous nutrients when they are 10
  • 18.
    available intermittently, asin intertidal and shallow subtidal regions where runoff after rainstorms is a major source of nutrients. Based on a review of protein concentration of Gracilaria species in the literature, samples in this study were assumed to be 18% protein as a percentage of dry weight (Table 1.2). Data from Lourenco (2002) showed that free amino acids comprise 96.7% of cellular nitrogenous compounds, while chlorophyll, phycoerythrin, and MAAs comprise the remaining 3.3%. 'hfd Values recalculated based on method In Lourenco 2002. T bl 12 Pt'a e ro em concentratIOn as a percentage 0 ry weIgl t Species % protein Conditions Source Gracilaria cornea 5 Nitrogen limited Orduna-Rojas 2002 Gracilaria spp. 9.3 Natural levels Burkholder 1971 G. tenu~frons 14.2 Natural levels Lourenco 2002 G. dominRensis 10.8 Natural levels Lourenco 2002 G. foli~fera 10 Natural levels Ryther 1979 G. tenuistipitata 181 Nitrogen enrichment Uu 2001 G. pacifica 18.251 Nitrogen enrichment Naldi and Wheeler 1999 ., In the summer of 1994, a survey of MAAs in 41 macrophytes of Kaneohe Bay (Oahu) identified seven distinct MAAs and two unknown UV-absorbing compounds (Banaszak and Lesser 1995). Of these algae, two species of Gracilaria (G. parvispora and G. salicornia) had much higher concentrations of MAAs than the other species screened in the survey. These two species also exhibited a high structural diversity of MAAs, producing relatively high levels of six of the seven MAAs quantified by HPLC (Table 1.3 and Figure 1.2). 11
  • 19.
    1994MAA ff Data fromBanaszak and Lesser, 1995. 2Data from Cockell and Knowland, 1999. 3palythene was detected in substantial concentrations in this experiment. T bl 13 Ca e oncentratlOns 0 seven s rom survey MAA [MAA] in G. parvispora [MAA] in G. salicornia Amax 2 (nmol/mg protein)! (nmol/mg protein)! Mycosporine glycine 5.27 17.46 310nm Shinorine 190.00 60.82 334nm Porphyra-334 322.20 46.97 334nm Palythine 51.28 97.25 320nm Astema-330 0.00 17.77 330nm Palythinol 0.00 0.00 332nm Palythene 532.40 O.ooj 360nm Total [MAA] 1104.35 244.27 I The species with the greatest concentration of MAAs, G. parvispora, known locally as ogo, is endemic to Hawaii. It has been a popular ingredient in Hawaiian and Japanese diets for hundreds of years. Today, this species is rare in Hawaiian waters, in part due to overharvesting. G. parvispora is also difficult to grow in culture. G. salicornia, on the other hand, is an introduced species and is widely distributed throughout the Hawaiian Islands. It is also a popular edible seaweed and is easy to cultivate. A number of local aquaculture companies provide a large supply to local markets. Because of these attributes, G. salicornia was chosen as an ideal species to investigate in this study. 12
  • 20.
    Figure 1.2 Molecularstructures and corresponding absorption maximum of MAAs found in Gracilaria salicornia (adapted from Sinha et al. 1998) ~ I OCR OCH. H H NH H leO'H leO'Hporph)'ra·334 ()....... 334 nm) shinorlne (Aw., ... 334 nm) pal)·thene (),.,... • 360 l'UTI) palydline (A.., ". 320 nm) m)'cosporinc-gly 0..... = 310nm) E. This Study The current study examines the pigmentation and growth of the red macroalgae G. salicornia under varying light conditions. Dozens of thalli were removed from the relatively low light environment of a 20,000 liter aquaculture production tank and evenly distributed into either UV-transparent tanks (control) or UV-filtered tanks (treatment). Samples were otherwise treated identically. Growth rate was measured daily, after which samples were harvested from each tank for pigment analysis. MAA and pigment composition and concentrations were determined, and individual compounds were averaged for each of the sets of tanks. This experiment tests three related hypotheses regarding the relationship between algal MAA production and UV exposure. First, as 13
  • 21.
    MAAs are believedto act primarily as UV sunscreens, removing UVR less than 350 nm will reduce the need to synthesize these photo-protective compounds. Specifically, algae screened from UVR will produce lower concentrations of MAAs than algae exposed to the full solar spectrum. Second, because MAA production likely represents a substantial metabolic investment due to the high nitrogen content and the energy cost of synthesis, algae in control tanks will exhibit lower growth rates than algae shielded from UVR, due to the control tank algae's need to produce significanly higher concentrations of MAAs. The ability to test this hypothesis is dependent on the outcome of the first hypothesis. Third, because individual MAA production may be triggered by specific wavelengths, the production of algae exposed to variable light regimes will express different MAA ratios. Specifically, some MAAs may be produced at high rates, while other MAAs will be produced at depressed rates or not at all. 14
  • 22.
    CHAPTER 2. MATERIALSAND METHODS A. Experimental design Two outdoor grow-out experiments (Run A: 21 June - 5 July, Run B: 25 July - 14 August) were conducted at Hawaii Marine Enterprise's macroalgae mariculture facility (HME) in Kahuku, Oahu during the summer of 2003. Initial screenings of the seven available cultured algae showed that G. salicornia remained healthy for the longest period (- 2 weeks) after transfer to experimental tanks, so this species was chosen as the test alga. Algae were divided and placed in either UV transparent or UV opaque tanks and allowed to grow for 15 (Run A) and 21 days (Run B). Nutrients and trace elements were added at the beginning of each experiment and then weekly. Growth measurements were performed daily. Samples were harvested daily for MAA and pigment analyses. B. On-site techniques 1. Algal maintenance At the beginning of each run, 400 grams of G. salicornia were removed from a production tank, cleaned of epiphytes, and divided evenly into the ten 40-L rectangular experimental tanks. Tanks were flushed with fresh seawater at a rate of 40 L hr-1 to maintain a relatively constant temperature throughout the day (18-20"C). Air was bubbled vigorously from the bottom of each tank, causing vertical circular flow of 30 rpm. Daily tank cleanings were necessary to minimize growth of epiphytic diatoms. 15
  • 23.
    Nutrients and tracemetals were added weekly to each tank based on research by Ryther and LaPointe (1979) and adapted at RME based on confidential data. Seawater flow was shut off, and excess sulfate and nitrate were added to each tank. Algae soaked in this nutrient bath for eight hours. The seawater was then turned back on. Bulk feeding weekly, instead of smaller concentrations daily has been shown to minimize contamination of invasive algae while still providing the necessary nutrients for maximal growth. This is due to the ability of Gracilaria species to store nitrogen intracellularly (Smit 2002). The nutrient bath occurred in the evening to minimize the inevitable increase in temperature in the tanks and to minimize algal stress. 2. Irradiance measurements An initial five to ten fold increase in effective irradiance was experienced by all algae due to the transfer from the 20 m3 production tanks to the 40-L experimental tanks. All ten experimental tanks received direct sunlight between 6 AM and 1 PM (RST), after which they were shaded by the building against which they were placed. Five tanks were chosen at random as control tanks (i.e., full sun) and the five treatment tanks were surrounded with pre-cut Lucite© brand plexiglas, designed to minimize irradiance below 350 nm. Figure 2.1 presents the irradiance spectra for the control and treatment tanks, while Table 2.1 provides an average effective solar irradiance for the treatment algae (i.e, UV opaque) as a percentage of the control (i.e, UV transparent). Measurements were made with an Ocean Optics USB2000 spectroradiometer equipped with a 180 0 cosine corrected sensor, from 300 to 850 nm with a 2 nm resolution. Measurements were taken in the center of each tank on five separate days at random times between 9 AM and 1PM. 16
  • 24.
    Figure 2.1 IrradianceSpectra for Control and Treatment UV-Opaque ~&- uv-Transparent ,'' n ~ "-' . I If ~ ~ '"4 v ....... 0,9 ,0 0.8 OJ 0.2 ~ UV-Opaque I l uv-Transoarent 1!I i I~ R ! fA)I 11 i I ) 'I i tV i i ,,/ /J i ~ 'V ! I ~ /- i 0,1 0.2 0,9 ,0 0,8 ,~ 07 r,6il) 0.5 ,~ ~O.4 ~ 0.3 M M 280 290 300 310 320 330 340 350 360 369 379 389 399 280 320 360 399 438 476 514 551 588 625 661 696 731 766 799 Wavelength (nm) Wavelength (nm) Table 2.1 Irradiance of UV-opaque algae as a percentage of UV-transparent algae, n =25 Wavelength < 350nm 350-400nm 400 -700 nm % of control 32.00% 54.08% 98.27% Daily solar radiation data were obtained from the weather station at the Hawaii Institute of Marine Biology (HIMB) in Kaneohe Bay, 36 km NNW of the study site. A LiCor Li200SZ pyranometer accepting radiation from 280 to 2800 nm recorded total solar radiation (cal cm-Imin-I). A LiCor Q12272 quantum sensor accepting radiation from 400 to 700 nm recorded photosynthetically active radiation (!lE m-2 sec-I). An Eppley TUVR sensor accepting radiation from 290 to 385 nm recorded ultraviolet radiation (mW cm-2 ). 3. Growth rate measurements Daily growth measurements were performed for each tank using a volume displacement method. All algae were removed from each tank and patted dry prior to measurement. A 2000 mL graduated cylinder was filled with seawater, and a 50 mL graduated cylinder was inserted inside this to a specific depth, removing excess water. Algae were placed in 17
  • 25.
    the large graduatedcylinder, and the 50 mL graduated cylinder was reinserted. The seawater that flowed into the 50 mL graduated cylinder equaled the volume of algae. Replicate measurements demonstrated that this technique had a precision of +/- 0.5 mL. Instantaneous growth rate was determined using the equation I..l =lit In (Ft / Fa), where I..l: growth rate (d-I ), Ft : algal volume at time t, and Fa: algal volume at time O. Volume was converted 1.00 mL: 1.01 g wet weight (ww) and data is reported in g dry weight (dw) via the equation dw (g) = 0.0838 *ww (g). Conversion data is provided in section 2.C.3. 4. Harvest method After measuring algal volume, approximately 5 g samples, including inner and outer sections of the thalli, were harvested from each of the ten tanks and placed in individual seawater-filled 20 mL sealable vials. Vials were kept in an ice-filled cooler until analysis. Harvesting occurred at approximately noon (HST). Samples were brought to HIMB and wet weighed to determine total harvest amount. Approximately one gram of sample was used immediately for MAA analysis, and two one-gram samples were stored in separate foil packs in a Zip-loc© freezer bag initially in a _4°C freezer and then transferred to a -80°C freezer for subsequent pigment analysis. The maximum time between harvest and sample preperation was three hours, and averaged about 2 hours. C. Analytical methods 1. MAA analysis MAAs were separated by reverse-phase HPLC on a Brownlee RP-8 column (Spheri-5, 4.6 mm ill x 250 mm), protected by a RP-8 guard column (Spheri-5, 4.6 mm ill x 30 18
  • 26.
    mm). The mobilephase consists of 40% HPLC-grade methanol (v:v), 0.1% glacial acetic acid (v:v) in HPLC-grade water (Fisher Scientific) and run at a flow rate of 0.6 mL min-I. Detection of the peaks was carried out by UV absorbance at 313 nm and 340 nm using a diode array absorption detector. Identities of peaks were confirmed by the ratios of 313 nm to 340 nm absorbances and by the maximal wavelength of absorbance. Prior to the start of the experiment, individual MAA response factors and the linear range of the instrument were determined using pure MAA standards. MAA standards (palythine, porphyra-334 and shinorine) were generously provided by Dr. Kazuo Yabe of Tokai University and have been stored in foil-wrapped vials at -20°C since January 2001. Standards were dissolved in 100% methanol and stored in the dark at 20°C in 500 mL volumetric flasks. Standards were diluted with HPLC-grade water to 40% MeOH immediately prior to all subsequent analyses. Spectrophotometric analyses were performed on samples of each standard to determine their concentrations using the following formula~ c =the concentration of the MAA (mol L-I), A =unitless absorption determined by spectrophotometry, E =the published molar extinction coefficient (L morl cm-I), and b = the pathlength of light through the sample (l cm). 19
  • 27.
    These standards weresimultaneously run on the HPLC system to determine instrument response factors. Data used to determine HPLC response factors are shown in Table 2.2. Response factors are the ratio of the calculated standard concentration to the HPLC area. Concentrations of mycosporine-glycine and palythene were calculated using palythine and shinorine response factors, respectively, as they are most structurally similar (Bidigare et al. 1996). fMAAdd d I I dd ExtInctIOn coeffiCIent from Takano et al. 1978 2Extinction coefficient from Takano et al. 1979 3Extinction coefficient from Tsujino et al. 1980 T bl 2 2 P bl' h da e u IS e ,measure an ca cu ate ata to etermme res Jonse actors MAA Extinction Absorbance concentration HPLC area Response coefficient factor compound (L morl cm-I) reading (f..lM) units (~ area-I) Palythinel 3.62 x 104 1.52 41.99 15084310 2.78 * 10-6 Porphyra-3342 4.23 x 104 1.33 31.44 8392708 3.75 *10-6 Shinorine j 4.65 x 104 1.58 33.98 10860863 3.13 * 10-6 I, Concentration of all compounds greater than 1% of the total MAA concentration are reported and expressed in rnicromoles per gram dw sample (f..lmol g-I dw) based on these HPLC response factors. A dilution series for each standard was prepared to determine the linear range of the HPLC. These data are shown in Figure 2.2. Linear range is assumed to be at least to concentrations of 34 f..lM for all MAAs; R2 values were> 0.995. All subsequent samples that exceeded these limits were diluted appropriately in repeat analyses. Finally, MAA stability for each standard was checked daily on a spectrophotometer for the duration of the experiment (20 June - 14 August, 2003), and no degradation was observed. 20
  • 28.
    Figure 2.2 LinearRange of the Beckman-Coulter HPLC 45 • Palythine a Shinorine ... Porphyra - - Response factors Regr 40 35 -~ 30 :i. -c: 250 ~.... - 20c: Q) 0 c: 0 15 0 10 5 0 0 20 40 60 % Primary Standard 80 100 For sample preparation, l-g samples of whole thalli, rinsed in fresh seawater and cleaned to remove epiphytes, were extracted in 5 mL of 100% methanol for 24 hr in the dark at 4°C. A 1.2 mL aliquot of each extract was transferred to a clean vial and diluted with distilled water to 40% MeOH (final concentration). For each daily run, a sample from one tank was chosen at random to be analyzed in triplicate, to determine the analytical precision for all five MAAs within a single sample (i.e., three l-g samples from the same tank were extracted in separate test tubes). In addition, a sample from one tank was chosen at random for co-injection analysis (i.e., three 0.5 mL aliquots from the same test tube were pipetted into separate amber vials and spiked with a 0.5 mL aliquots of the palythine, porphyra-334 and shinorine primary 21
  • 29.
    standards). This aidedin identification of MAA peaks as well as providing a measure of instrument reproducibility and MAA recovery. 2. Pigment Analysis Samples stored in the -80°C freezer were removed the day before analysis and extracted in the dark for 24 hours in 18 mL of 100% HPLC grade acetone (Fisher Scientific) at 4°C. After extraction, samples were centrifuged (five min, 1500x g) to remove cellular debris. The clear pigment extracts were separated using the HPLC method of Bidigare et al. (2004). Samples of a mixture of 0.3 mL H20 plus 1.0 mL extract were injected onto a Varian 9012 HPLC system equipped with a Varian 9300 autosampler, a Timberline column heater (26°C), and Spherisorb 5 mm ODS2 analytical (4.6 mm ill x 250 mm) column and corresponding guard cartridge. Pigments were detected with a ThermoSeparation UV2000 detector ("-=436 nm). A ternary solvent system was employed for HPLC pigment analysis: eluent A (MeOH: 0.5 M ammonium acetate, 80:20), eluent B (acetonitrile:water, 87.5:12.5) and eluent C (ethyl acetate). The linear gradient used for pigment separation was a modified version of that originally described by Wright et al. (1991): t = 0 min (90%A, lO%B), t = 1 min (lOO%B), t = 11 min (78%B, 22%C), t = 27.5 min (10%B, 90%C), and t = 29 min (lOO%B). Eluents A and B contain 0.01% of 2,6-di-tert-butyl-p-cresol (BHT) (Sigma Chemical Co.) to prevent the conversion of chlorophyll a into chlorophyll a allomers. HPLC grade solvents (Fisher) were used to prepare e1uents A, Band C. The eluent flow rate was held constant at 1 mL min-I. Pigment peaks were identified by comparing their retention times with those of pigment standards and algal extracts, Phaeodactylum tricornutum (diatom) and 22
  • 30.
    Dunaliella sp. (chlorophyte).Pigment identifications were confirmed by online diode array spectroscopy. Extinction coefficients, summarized by Bidigare (1991), were used to calculate concentrations from the raw data. The concentrations of all pigments greater than 1% of the total pigment concentration were determined, but only the screening pigment, zeaxanthin, is reported and expressed in micrograms per gram dw sample. 3. Determining dry weight and MAA to protein Ten samples of G. salicornia were washed in fresh water to remove salts and epiphytes, patted dry with a clean paper towel and placed in aluminum weighing trays. Sample weights varied from 1.0 to 8.3 g wet weight. Samples were placed in a drying oven overnight at 60°C, removed, and reweighed. Wet and dry weights were determined by subtracting tray weight. Data were plotted for linearity (R2 =0.991). Samples were calculated to be 91.7% water. Based on the available literature for algae of this genus, protein constitutes approximately 18% of the dry weight for this species (see Table 1.2 for source data). To compare these results with other research, MAA concentration (in moles per gram algae wet weight) were multiplied by 12 for concentration as a percent of dry weight and by 66.6 for concentration as a percent of protein. To compare data from studies that reported in mg MAA gm-1 dw, an average molecular weight of 321 is used. This was determined using the following equation, based on the average percentage of the total for each MAA multiplied by that MAA's molecular weight. Average molecular weight (321) = (50%*346)porphyra + (25%*332)shinorine + (12%*245)palythine + (1O%*283)palythene + (3%*245)mycosporine-glycine 23
  • 31.
    Figure 2.3 Ratioof wet weight to dry weight for G. salicomia 0.8 -r----------------------~__, 0.7 0.6 '""' 0.500 '-' ..... ..0 .er 0.4(l) ~ e-O 0.3 0.2 0.1 1084 6 Wet weight (g) 2 0.0 r------,,------,-------,------.------i o D. Statistical analyses The results are given as means of five daily duplicates (+/- standard deviation) over the course of each experiment. Daily averages for the control and treatment samples over the course of each run were analyzed using the two-sample paired t-test (SigmaPlot), the null hypothesis being that the pigment concentrations and growth rates were the same in the control and treatment time series. A two-tailed paired t-test was employed for growth rate. A one-tailed t-test was used for pigment and MAA concentrations, the expectation being that the pigment concentrations in the control would be either the same or higher than the treatment. Statistical significance was set to p ::S 0.05. 24
  • 32.
    CHAPTER 3. RESULTS A.Irradiance Total solar irradiance is presented in Figure 3.1. The daily average was 6.46 MJ m-2 and 6.50 MJ m-2 for Run A (21 June 2003 to 5 July 2003) and B (25 July 2003 to 14 August 2003), respectively, with UVR comprising 17.15% and 15.75%. UV filters covering the tanks of the treatment algae reduced experimental dose to 32% of the irradiance below 350 nm, 54% between 350 and 400 nm, and 98.3% of PAR compared to the unfiltered control tanks (Table 2.1). All algae experienced an initial five to ten-fold increase in total irradiance due to the transfer from the production to experimental tanks (data not shown). B. Growth rate Clumps of Gracilaria salicornia were removed from 20-m3 production tanks where they were under steady-state maximal growth rate for the given light field. Self-shading causes sunlight to be the limiting factor in the production tanks. Instantaneous growth rates were measured from change in total biomass from one sampling time to the next. Growth rates (Figure 3.1) show a similar trend between runs, peaking around day seven at approximately 0.16 and declining to 0.00 by day fourteen. Growth rates were not significantly different (paired t-test, P > .30) between treatment and control for either run. 'I d . dT bl 31 Ta e wo-tal e pane t-test statIstIcs Growth Run A RunB T value -0.82483 1.01246 P value 0.433369 0.33307 DF 8 11 25
  • 33.
    C. Zeaxanthin concentration Tables3.2 and 3.3 and Figure 3.1 illustrate both similarities and differences between Runs A and B in the response of zeaxanthin production. Both runs show rapid initial increases in concentration and have similar concentration levels over the duration of each run. In addition, concentrations generally level off after the initial increase. Conversely, divergence between treatment and control occurred by day 6 in Run A, but not until day 15 for Run B. Maximum increase in concentration was much higher for Run B, as was the difference in maximum concentrations between control and treatment. Peak concentrations were 67.03 Jlmol g-l dw in Run A and 81.84 Jlmol g-l dw in Run B, a 22% difference between runs. While concentrations often varied substantially within both treatment and control during both runs, as is illustrated by large standard deviation bars, the average control concentration was significantly greater than the average treatment concentration (P < 0.05) for both Runs A and B. '1 d . dT bl 320a e ne-tal e palre t-test statIstIcs Zeaxanthin Run A RunB P value 0.03151 0.01910 DF 7 9 t d'f£dt .t fthO Data obtamed on day 4 T bl 33 Zea e axan In concen ra Ions, percen Increase an percen I erence [ZEA]H [UVT]oeak Increase DaYmax [UVO]peak Increase DaYmax Diffmax Run A 19.65 67.03 241% 10 49.58 152% 13 35% Run B 16.29 81.84 402% 13 79.47 388% 13 3% 1- 26
  • 34.
    Figure 3.1 Comparisonof irradiance, growth and photoprotectants Run A: 21 June - 5 July Irradiance Run B: 25 July - 14 August Irradiance 10 12 .,-----------------.=====i1 1=0~:1 12 ====0;----------------, J=0~:1 0 0 II 0 12 15 18 21 0 12 15 18 21 Day Day Growth Growth 0.4 0.4 ---+- UV-Transparent ---.- UV-Transparent -0- UV-Opaque 0.3 -0- UV-Opaque 0.3 ";"~ ";" >- 0.2 ~ 0.2 <1> $ 1!! e .t:: 0.1 t 0.1 ~0 0 ~ 0.0 ~ 0.0 16 ~c- enen .().1 -0.1 -0.2.().2 0 12 15 18 21 0 12 15 18 21 D8Y Day Zeaxanthin concentration Zeaxanthin concentration 120 120 ---e--- UV-Transparent -- UV-Transparent '00 -0- UV-Dpaque --0- UV-Opaque100 ! ~ "0 ";" 80 ';" 80 0 Cl 0 Cl :I. ='- " 80 C 80 ~ :c "E ~ 40 ~ 40<1> '"!::!. ~ 20 20 0 0 0 Day 12 15 18 21 0 12 15 18 21 Day Total MAA concentration Total MAA concentration30 30 __ UV Transparent __ UV Transparent --0- UV Opaque --0- UV Opaque 25 25 ~ ~.., 20 .., 20 "'0 "'0 "0 "0 §. '5 E 15:I... .. i • 10 ~ '0~ ~ 0 0 0 Day'2 15 18 21 0 12 15 18 21 Day 27
  • 35.
    D. MAA Inductionand Concentration 1. Total MAA concentration. Samples were harvested on day one of each run directly from the production tanks to determine baseline concentrations of MAAs. The same data were used for control and treatment to begin each time-series. For Run A, average total MAA concentration increased 93% for UV-transparent and 53% for UV-opaque samples 48 hr after transfer from the production tank. The increases for Run B 72 hr following transfer were 107 and 62%, respectively. This difference continued for the duration of each run, averaging 23% for both Runs A and B, although the difference in total concentration (i.e., [MAA]total UVT - [MAA] total uvol[MAA]total uvo) for a given sample day fluctuated between 19 and 37% for Run A and 5 and 34% for Run B. MAA concentrations varied widely within tank replicates, as is indicated by the standard deviation bars in Figure 3.1. Total MAA concentration in Run A remained very consistent between days 3 and 10 dropping slightly and then increasing again at the end of the experiment. Run B concentration remained consistent from days 4 to 13, and then nearly doubled over the next five days, before dropping slightly over the final three days of the experiment. Total MAA concentrations were one-third higher for Run B due to this strong increase. 2. Individual MAA concentrations Porphyra-334 had the highest overall concentration in G. salicornia in this experiment. G. salicornia responded rapidly, doubling the concentration of porphyra-334 within four to six days and constituting roughly 50% of total MAA concentration throughout the 28
  • 36.
    duration of RunsA and B for both UV-opaque and UV-transparent samples. After its early peak, the percentage of porphyra-334 comprised steadily decreased approximately 10% over the course of each run. Peak concentrations were within 4 and 6% between runs for UV transparent and UV opaque treatments, although this occurred after 4 days for Run A and 19 days for Run B. Figure 3.2 Comparison of concentrations of the major MAAs Run A [Porphyra-334] Run B [Porphyra-334] 12r---------r-~-==""'il -.- UV Transparent --0- UV Opaque 10 12rr======;------------, ---.- UV Transparent -0-- UV Opaque 21181512 10 21181512 o+--~-~-~_~_~~_~--J o Day Day Run A [Shinorine] Run B [Shinorine] 10 ___ UV Transparent --0- UV Opaque 12 -,;=======;-------------, --- UV Transparent --0- UV Opaque 10 21181512 o+-~-r--'-~-r--'-~..---~..---~,..........~,..........--"----,--J o Day Day Shinorine was the second most abundant MAA, averaging 20-25% of the total. Concentration of shinorine increased and decreased in patterns similar to porphyra-334 over the course of each run, although the increases in maximum concentrations relative to 29
  • 37.
    initial concentrations weremore than twice that of porphyra-334 (Table 3.5 and 3.6). Shinorine did not demonstrate the immediate divergence between control and treatment as seen for porphyra-334. Rather, it showed a stronger divergence pattern after one-week acclimation in the experimental tanks (Figure 3.2). Average concentrations of porphyra- 334 and shinorine from UV-transparent samples were significantly greater than UV- opaque samples for both runs (Table 3.4). '1 d . dT bl 34 Pa e -va ues or one-tal e pane t-test MAAs Total Porphyra Shinorine Palythine Palythene Mycospo.- MAA glycine Run A 0.000 0.000 0.000 0.008 0.050 0.007 RunB 0.000 0.000 0.000 0.012 0.010 0.000 The minor MAAs, palythine, palythene and mycosporine-glycine (Figure 3.3), comprise the remaining 20 to 30% of the total concentration. While divergences between treatment and control was not as noticeable for these compounds relative to the major MAAs, differences were statistically significant over the course of each run. Differences between treatment and control values were often minor, and non-existent on certain days. For example, the palythene UV-opaque peak concentration was greater than the UV- transparent peak for run A (Table 3.5). Concentrations increased for all samples relative to the baseline. Mycosporine-glycine concentrations peaked between 407 and 750%, due to extremely low levels in the baseline, and not due to high peak concentrations. Mycosporine-glycine also peaked on days 3 and 5 for Runs A and B, respectively, and decreased to double initial concentrations after one week. Palythine and palythene showed strong initial increases and remained stable (Run A) or increased gradually (Run B) over the course of the run. 30
  • 38.
    Figure 3.3 Comparisonof concentrations of the minor MAAs Run A [Palythinel Run B [Palythinel --e- UV Transparent ---e---- VV Transparent -0- UV Opaque -0-- UV Opaque 4 4 ~ ~ "0 ; 3 -: '"'0 §. E :t 'iF 2 12 ~ ~ Ol I::. 0 0 0 6 9 12 15 18 21 0 6 9 12 15 18 21 Day Day Run A [PalytheneJ Run B [Palythenel 5 ---e---- UV Transparent _____ UV Transparent -0- UV Opaque -0- UV Opaque 4 4 ~ ~ "0 '", 3 -: '" ~ 1:t 'iF I! 2 2 Ol Ol I::. I::. 0 0 0 6 9 12 15 18 21 0 6 9 12 15 18 21 Day Day Run B [Mycosporine-glycineJ Run A [Mycosporine-glycinel -+- UV Transparent ---e---- UV Transparent -0- UV Opaque ~ -0- UV Opaque ~ 4 "0 4 -: ';" '" Cl 13 "0 E :t "~ c: t '0 ~ 2 ~ 2c: [ '8- ~ '"8 e ", ~ 0 6 9 12 15 18 21 0 6 9 12 15 18 21 Day Day 31
  • 39.
    In Run A,individual MAAs increased quickly and levels stabilized for the duration of the experiment (Figures 3.2 and 3.3). Slight decreases in individual concentrations with subsequent slight increases in the middle and near the end of the run caused peak values to occur early (days 3, 4, 5, or 6) or late (days 14 or 15). Overall increases in concentration ranged from 62% for UV-opaque porhyra-334, to 750% for UV-transparent mycosporine-glycine. Differences between control and treatment maximum values varied substantially between individual MAAs (Table 3.5). (R A)d [MAA]t=l. ConcentratIOn at start of expenment (J.lmol g dw) [UVT]peak and [UVO]peak: Peak concentration during run (J.lmol g-l dw) Increase: ([MAA]peak - [MAA]t=I)/[MAA]t=1 DaYmax: Day in which concentration peaked Diffmax: ([UVT]max - [UVO]max)/[UVO]max T bl 35M .a e aXlmum concentratIOn, percent Increase an percent 1 erence un [MAA]t=l [UVT]peak Increase DaYmax [UVO]peak Increase DaYmax Diffmax Porphyra 4.42 9.14 107% 4 7.15 62% 4 28% Shinorine 1.2 4.06 238% 15 2.80 133% 15 45% Palythine 1.05 1.99 90% 15 1.75 67% 4 14% Palythene 0.49 1.62 231% 5 1.74 255% 6 -7% Mycospor. 0.14 1.19 750% 3 0.71 407% 15 68% Total 7.3 15.34 110% 6 12.98 78% 4 19% -I For Run B, figures 3.2 and 3.3 show strong fluctuations in individual concentrations, but table 3.6 illustrates the consistency seen across the detected compounds. Peak concentrations were seen on day 18 for all UV-transparent samples and on the following day for UV-opaque samples. Mycosporine-glycine is the single exception, peaking on days 5 and 6, respectively. The difference in the maximum concentrations between treatments also showed consistency, between 10 and 16%, with mycosporine-glycine at 5%. 32
  • 40.
    (R B)d'ffdT bl36M .a e aXlmum concentratIOn, percent Increase an percent 1 erence un [MAA]t=1 [UVT]peak Increase DaYmax [UVO]peak Increase DaYrnax Diffrnax Porphyra 3.13 8.75 180% 18 7.60 143% 19 15% Shinorine 1.05 5.24 399% 18 4.71 349% 19 11% Palythine 1.06 3.87 265% 18 3.35 216% 19 16% Palythene 0.56 2.23 298% 18 2.03 263% 19 10% Mycospor. 0.12 0.77 542% 5 0.73 508% 6 5% Total 5.36 20.54 283% 18 17.92 234% 19 15% 3. Variation of MAA concentrations within individual thalli In tumble culture, the thallus of G. salicornia branches in a densely-packed spherical shape from the central stem. While the change in the light field within a sample was not directly measured, it is reasonable to assume that apical tips experience higher levels of incident light than tissue from the basal region. Samples harvested directly from the production tanks were used to investigate a potential MAA concentration gradient between tissues from the apical tips to the central region. Three separate algal spheres, each approximately 20 cm in diameter, were subdivided into three sections and analyzed for MAA concentrations. As is illustrated in Figure 3.4, apical tips produce 27% more palythine and 45% more shinorine than do the basal regions, while apical tips have 320% more porphyra-334 than does the basal region. In addition, samples analyzed from different thalli but occurring in the same depth zone (i.e., basal, middle, apical) demonstrated more consistency in concentration for a given MAA than samples in which depth zone was not considered. Standard deviation values were consistently about 20% of the average in the time-series experiment and were less than 10% for this experiment. While consisting of only 2 to 7.5% of the total MAA concentration for a given sample, mycosporine-glycine exhibited similar tendencies as those of porphyra-334 in the cross- . 33
  • 41.
    sectional concentration gradient.Apical tips contained 414% greater concentration of mycosporine-glycine (0.443 vs. 0.107 ~mol g-l dw) compared to tissue analyzed from the basal region. Figure 3.4 Cross-sectional gradient in the concentration of MAAs 4.0 3.5 3.0 ~ "0 -' 2.5I ~ '0 §. 2.0 ~ 1.56 1.0 0.5 0.0 - Inner 1",,,,,,,,,,,,,,,,.,,.. ,,,,,,,,"1 Middle - Outer Mycosporine-glycine 0.5 -,------=---=----=--::.-.,,------, ~ 0.4 ...... 00 ] 0.3 .=: 0.2 ~ 6 0.1 0.0 Inner Middle Outer Shinorine Palythine Porphyra-334 34
  • 42.
    CHAPTER 4. DISCUSSION Thisstudy corroborates many previous studies that have documented that MAA concentration is directly related to the intensity of the incident light. As with studies of other algal species, Gracilaria salicornia immediately increased production of MAAs upon transfer from a lower to higher light environment. Intracellular concentrations of MAAs increased between 53 and 107% within 72 hours after transfer from the highly shaded conditions of the production tank to the direct sunlight of the experimental tanks. This is analogous to numerous experiments (e.g., Franklin et al. 1999; Karsten et al. 2001), where the transplantation of macroalgae from the subtidal to the intertidal triggers an immediate production of MAAs. Even though the shortest wavelengths of light were filtered from algae in the treatment tanks, algae in all tanks experienced a substantial increase in light at wavelengths above 350 nm compared with conditions in the production tanks. This triggered substantial increases in MAA concentrations in both control and treatment samples. Numerous surveys have been conducted to investigate the relationship of MAA concentrations and composition across macroalgal divisions as well as across geographical regions and habitats to identify consistent trends and/or relationships (Karentz et al. 1991, Karsten et al. 1998a, Banaszak et al. 1998, Sinha et al. 1998, Hoyer et al. 2001, Huovinen et al. 2004). Based on surveys in polar (Karentz et al. 1991), temperate (Karsten et al. 1998a) and tropical (Karsten et al. 1998b) regions, rhodophytes have both the highest concentrations and the greatest diversity of MAAs within 35
  • 43.
    individual species. Manyred algal species have as many as eight unique compounds, with total concentration in milligrams per gram of algal dry weight (see Table 4.1). Karsten et al. 2000 Karsten et al. 1998b Karsten et al. 2000 Karsten et al. 1998a Huovinen 2004 Karsten et al. 1998a Karsten et al. 1998b Karsten and West 2000 Karentz et al. 1991 Karsten et al. 1998a Source 2.42 mg g-l dw 3.42 mg i 1 dw [MAA]total Palythinol 12.8 mg g-l dw (62%) Porphyra- 10.6 mg g-l dw 334 (NA) Palythine 9.39 mg g-l dw (76%) Palythinol 8.55 mg i 1 dw (76%) Porphyra- 7.1 mg g-l dw 334 (90%) Shinorine 7.79 mg g-l dw (99%) Temperate TropicalGuatemala Baja, Mexico Antarctica Southern Chile Southern S ain Table 4.1 Mexico Tropical Porphyra- >30 mg g-l dw a omelOtlca an ial sori 334 60%) Species *Concentrations were converted from /lmol to mg to allow for comparison Table 4.1 provides data on the species with the highest levels of MAAs from surveys in eleven separate locations. The highest recorded values were reported from each of the study locations. All species are red algae, with natural levels of total MAAs ranging from 2.42 to 12.8 mg g-l dw. The surveys also reported values for scores of other species of red, green, and brown algae, with MAA concentrations for brown algae the lowest (generally < 0.1 mg g-l dw), green algae in the middle (generally 0.0 - 1.0 mg g-l dw) and red algae ranging from 0.0 to 12.8 mg g-l dw (see table for citations). The peak value from Table 3.6 of this study (converted from ~mol g-l dw) is included for comparison. 36
  • 44.
    In a comprehensivesurvey of macroalgae from the poles to the tropics, Banaszak et al. (1998) found that the predominant MAA in rhodophytes, based on frequency of occurrence among species and relative concentration within a given species, is shinorine, followed by mycosporine-glycine. Of the eleven species listed in Table 4.1, porphyra- 334 is the predominant MAA in six. The sample with the highest recorded concentration came from the reproductive tissue (i.e., mature tetrasporangial sori) of Caloglossa apomeiotica. Vegetative tissue from the same sample expressed one-tenth the level observed in the sori (Karsten et al. 2000). In the current study, the five unique UV- absorbing compounds consistently detected were porphyra-334, shinorine, palythine, palythene and mycosporine-glycine, with porphyra-334 accounting for approximately 50% of the total concentration. Shinorine, palythine, palythene and mycosporine-glycine comprised approximately 25, 12, 10 and 3%, respectively. A. Variation in MAA production between control and treatment samples While all samples exhibited increased concentrations of MAAs, control (UV-transparent) algal samples produced significantly higher aggregate levels of MAAs than that found in treatment samples. Total MAA production was, on average, 23% greater in control samples for both Runs A and B. Moreover, concentrations of each of the five individual MAA compounds detected were significantly greater in the control algae over the course of each run. These responses occurred under conditions with similar levels of PAR but reduced UVR for the treatment samples. 37
  • 45.
    Because each ofthe five MAAs has a unique absorption spectrum, intracellular absorption of light by MAAs is dependent on 1) the incident light field, 2) the concentration of each MAA, and 3) the unique absorption spectrum and extinction coefficient of each MAA present. Combining these properties provides a spectrally weighted extinction coefficient (SWEC) for each of the MAAs. Integrating SWEC values over a part of, or the entire UV light field gives the percentage of sunlight absorbed by each MAA. Based upon a SWEC analysis, porphyra-334 is the most important MAA in screening G. salicornia from UVB and UVA radiation, responsible for 41.5 to 54.6% (averaging 47.4%) of the absorbed UV radiation. Because shinorine absorbs with equal effectiveness in the UVA and UVB, its contribution remained relatively constant at 25% in both the UVA and UVB regions and for both the treatment and control algae. Mycosporine-glycine absorbs almost entirely in the UVB, while Palythene absorbs almost entirely in the UVA and is the MAA responsible for almost all of the UV light absorbed above 350 nm. While palythine concentrations were approximately half that of shinorine, due to strong absorption properties in the UVB, it contributed an equivalent level of protection in this region. While MAA synthesis is widespread across algal classes, and therefore likely a conservative trait, phylogenetic trends in the occurrence of MAAs have not been observed. Hoyer et al. (2001) suggest that macroalgae can be separated into three physiologically different groups; (1) species with no capability for MAA biosynthesis; (2) species with a basal MAA concentration that is adjusted relative to changes in environmental radiation; and (3) species with a constant and relatively high MAA 38
  • 46.
    diversity and concentrationirrespective of light conditions. Based on the results of the current study, G. salicornia belongs to the second category of macroalgae. B. Variation in growth rate between control and treatment samples Because the synthesis of MAAs represents a substantial energy and nitrogen cost to the algae, and control samples produced an average of 23% higher concentration of MAAs, the growth rate in the control samples could have been slowed due to this metabolic cost. This was not observed, as growth rates were not significantly different for either run. Because growth was not nitrogen limited, due to weekly supersaturated nutrient baths, excess nitrogen was available for MAA synthesis. In addition, in the shallow, unshaded experimental tanks, all algae were supersaturated with light. These two factors probably masked the additional energy requirements taxing the control algae. Furthermore, the algae appeared stressed within a few days of transfer into the experimental tanks. This could have been due to photoinhibition from PAR, which triggers an entirely separate set of physiological responses to ensure algal health. This stress would likely have been the same for both control and treatment samples and could have caused the depressed growth rates seen in all samples. c. Variation in concentration of MAAs between control and treatment samples The success of recent experiments to induce the production of individual MAAs with specific bands of light (e.g., palythine is synthesized in Chondrus crispus when exposed to blue or white light, but not red or green light) has led to the hypothesis that MAAs are induced by photochemical triggers (Karsten et al. 1998c; Franklin et al. 2001; Kraebs et 39
  • 47.
    al. 2002). Becauseno consistent pattern has emerged among related species, these findings are specific to the MAA, algal species and wavelength of the given experiment. By blocking natural sunlight below 350 nm, the current study investigated this hypothesis for G. salicornia. While the ratio between the concentration of individual MAAs varied over the course of each run, this was primarily caused by the initial increase in the concentration of porphyra-334 followed by a gradual decline. This pattern occurred in both the control and treatment samples. Specifically, relative MAA concentrations were similar for both control and treatment samples throughout each run. Thus, if the production of any of these five MAAs is triggered by a specific wavelength of light, it likely occurs in the spectrum above 350 nm. This may be most surprising for palythine, which absorbs almost entirely below 350 nm, making its synthesis in the treatment samples unnecessary for UV protection. In examining Figure 3.3, it is apparent that palythine levels increased between two and four fold for both treatemnt and control algae over the course of both runs. Furthermore the differences between treatment and control were slight throughout each run, with treatment concentrations greater than that of control algae on two days in each run. Thus, while palythine absorbs almost entirely below 350 nm, its production does not appear to be triggered by a wavelength in its absorption range. The fact that control samples had significantly greater concentrations for all MAAs could be the result of either a general reduction in light levels or specifically from the reduction of UVR in the treatment samples. Most studies that investigated wavelength-specific 40
  • 48.
    induction of MAAsfound that blue light and UVA had the greatest effect (Franklin et al. 2001, Klisch and Haeder 2000, Shick et al. 1999). Only a few species showed a response in the UVB, and no reports indicate that any species is induced by green or red light. This study, in its design, did not provide enough variation in the incident light to provide definitive conclusions with regard to photochemical triggers of individual MAAs. 41
  • 49.
    CHAPTER 5. CONCLUSIONSAND FUTURE DIRECTIONS Gracilaria salicornia is typical of most rhodophytes, in that it 1) expresses the three most common MAAs found in the division, 2) begins to synthesize MAAs immediately following an overall increase in the light field, and 3) the concentration of total MAAs is directly related to the level of effective irradiance. The peak total MAA concentration measured in this study (20.54 /lmol g-l dw or 6.6 mg g-l dw) is among the highest concentrations observed among marine algae. As this species is already a well- established product in the aquaculture industry, G. salicornia remains a strong candidate for further research into commercial production of MAAs. During the course of both runs, nutrients were added on a regimen based on industry data in an attempt to attain optimal growth. This study utilized G. salicornia that had been in continuous culture for twenty-five years, experiencing a consistent light field, temperature range and nutrient conditions throughout this time. It was apparent that the transfer from the production tanks to the experimental tanks caused stress to the samples. They did not attain growth rates comparable to that of the production tanks, nor to published rates of wild G. salicornia (Largo et al. 1989). Nevertheless, total MAA concentration did increase four-fold over the course of each experiment. The combination of maintaining peak growth rate and conditions that generate high MAA concentrations maximizes cumulative production, which would be vital in commercial application. Balancing these factors is an important research topic, if G. salicornia is ever to be employed for commercial production of MAAs. This study did conclude, as 42
  • 50.
    has been seenin other marine autotrophs, under non-limiting growth conditions, that G. salicornia exposed to higher levels of UVR, and subsequently producing greater quantities of MAAs, did not exhibit growth rates slower than samples grown under UVR- shielded conditions. Based on this study, natural sunlight in both the PAR and UV regions trigger MAA production, with concentrations directly related to the intensity of the incident light. This study coarsely investigated the potential of a gradient within an individual sample. G. salicornia grown in tumble culture develops as a densely packed spheroid, where all inner tissue experiences some level of self-shading. A strong gradient was apparent, with much higher concentrations in the apical tips, based on a three-layered analysis. The gradient was most apparent between the outer and middle layers for porphyra-334 and mycosporine-glycine, with 320 and 414% higher concentrations, respectively, in the outer samples. More refined investigations, that divide the outer layer into many thinner layers, should be conducted to determine if this gradient is even stronger than that reported here. Because recent studies have hypothesized that mycosporine-glycine is the precursor of other MAAs, future research could also focus on the kinetics of this compound in the apical tips. While increased solar radiation can quickly trigger substantial MAA production, little is known about the metabolism of MAAs under sustained low light conditions. During Run B, samples that were maintained in the dark at 4°C for 24 hours showed a 50% reduction in four of the five MAAs relative to levels seen on the days before and after. Palythene 43
  • 51.
    did not exhibitthis apparent catabolism. Experiments structured to investigate both synthesis and catabolism of MAAs may help to understand the pathways and kinetics of synthesis. While the science of understanding MAAs is maturing, and some elegant experiments are now being conducted, there is much still to understand. Whether MAAs' primary functions are as UV-screening compounds, for nitrogen storage, for some other function, or a combination of these, is still unknown. We have yet to address whether MAAs could be synthesized economically and if they have some practical - industrial or consumer - purpose. These questions should be undertaken by academic researchers in partnership with the aquaculture industry. 44
  • 52.
    REFERENCES Abbott, Isabella A.Marine Red Algae of the Hawaiian Islands. 1999. Bishop Museum Press. Honolulu, HI. Aguilera, J., C. Jimenez, F.L. Figueroa, M. Lebert, and D.-P. Haeder. 1999. Effect of ultraviolet radiation on thallus absorption and photosynthetic pigments in the red alga Porphyra umbilicalis. Journal of Photochemistry and Photobiology B: Biology, vol. 48: 75-82. Aguilera, J., U. Karsten, H. Lippert, B. Voegele, E. Philipp, D. Hanelt, and C. Wiencke. 1999. Effects of solar radiation on growth, photosynthesis and respiration of marine macroalgae from the Arctic. Marine Ecology Progress Series, vol. 191:109-119. Banaszak, A. T. and M.P. Lesser. 1995. Survey of Mycosporine-like amino acids in macrophytes of Kane'ohe Bay. In: Ultraviolet Radiation and Coral Reefs, D. Gulko and P. Jokiel (eds.) HIMB Tech. Rpt. #41. UNIHI-Sea Grant-CR-95-03. Banaszak, A. T., M.P. Lesser, I.B. Kuffner, and M. Ondrusek. 1998. Relationship between ultraviolet (UV) radiation and mycosporine-like amino acids (MAAs) in marine organisms. Bulletin of Marine Science, vol. 63: 617-628. Beach, K.S., H.B. Borgeas, N.J. Nishimura, and C.M. Smith. 1997. In vivo absorbance spectra and the ecophysiology of reef macroalgae. Coral Reefs, vol. 16: 21-28. Bidigare, RR, J.L. Iriarte, S.-H. Kang, D. Karentz, M.E. Ondrusek, and G.A. Fryxell. 1996. Phytoplankton: Quantitative and qualitative assessments. Antarctic Research Series, vol. 70: 173-198. Bidigare, R. R., L. Van Heukelem and C. C. Trees. 2004. Analysis of algal pigments by high-performance liquid chromatography. In: Culturing Methods & Growth Measurements (R. A. Andersen, Ed.), Academic Press (in press). Bidigare, RR, O. Schofield, and B.B. Prezelin. 1989. Influence of zeaxanthin on quantum yield of photosynthesis of Synechococcus clone WH7803 (DC2). Marine Ecology Progress Series, vol. 56: 177-188. Bidigare, RR. 1989. Potential effects of UV-B radiation on marine organisms of the Southern Ocean: Distribution of phytoplankton and krill during the Austral spring. Photochemistry and Photobiology, vol. 50 (4): 469-477. Bidigare, R.R 1991. Analysis of algal chlorophylls and carotenoids. In Marine Particles: Analysis and Characterization, Geophys. Monogr. Ser., vol. 63, D.C. Hurd and D.W. Spencer (eds.), pp. 119-123. AGU, Washington, D.C. 45
  • 53.
    Bird, K.T., M.D.Hanisak, and J. H. Ryther. 1981. Chemical quality and production of agars extracted from Gracilaria tikvahiae grown in different nitrogen enrichment conditions. Botanica Marina, vol. 24: 441-444. Burna, A, A Engelen, and W. Gieskes. 1997. Wavelength-dependent induction of thymine dimers and growth rate reduction in the marine diatom Cyclotella spp. exposed to ultraviolet radiation. Marine Ecology Progress Series, vol. 153: 91-97. Burkholder, P.R.; L.M. Burkholder, and L.R. Almodovar. 1971. Nutritive constituents of some Caribbean marine algae. Botanica Marina, vol. 14 (2): 132-135. Caldwell, M.M. 1971. Solar ultraviolet radiation and the growth and development of higher plants. In Photophysiology, Ae. Giese (ed.), vol. 6: 131-177. Calkins, J. (ed.). 1982. The role of solar UV radiation in marine ecosystems. Plenum Press, New York, 724 pp. Cockell, C.S. 1998. Biological effects of high ultraviolet radiation on early earth - a theoretical evaluation. Journal of Theoretical Biology, vol. 193: 717-729. Cockell, C.S. and LJ. Rothschild, 1999. The effects ofUV radiation A and B on diurnal variation in photosynthesis in three taxonomically and ecologically diverse microbial mats. Photochemistry and Photobiology, vol. 69 (2): 203-210. Dring, Matthew J., Andreas Wagner, Jette Boeskov, and Klaus Luening. 1996. Sensitivity of intertidal and subtidal red algae to UVA and UVB radiation, as monitored by chlorophyll fluorescence measurements: influence of collection depth, season, and length of irradiation. European Journal ofPhycology, vol. 31: 293-302. Dring, Matthew J., Andreas Wagner, and Klaus Luening. 2001. Contribution of the UV component of natural sunlight to photoinhibition of photosynthesis in six species of subtidal brown and red seaweeds. Plant, Cell and Environment, vol. 24: 1153- 1164. Dunlap, W.C., B.E. Chalker, and J.K. Oliver. 1986. Bathymetric adaptations of reef- building corals at Davies Reef, Great Barrier Reef, Australia. 3. UV-B absorbing compounds. Journal of Experimental Marine Biology and Ecology, vol. 104: 239- 248. Dunlap, W.e., D. McB. Williams, B.E. Chalker, and AT. Banaszak. 1989. Biochemical photoadaptation in vision: UV absorbing pigments in fish eye tissues. Compo Biochem. Physiol. 93B: 601-607. Dunlap, W.C., B.E. Chalker, and W.M. Bandarandayake. 1988. New sunscreening agents derived from tropical marine organisms of the Great Barrier Reef, Australia. 46
  • 54.
    Proceedings ofthe 6th IntI.Coral ReefSymp., J.H. Choat, et al. (eds.), vol. 3: 89- 93. Dunlap, W.e., K. Masaki, Y. Yamamoto, RM. Larsen, and I. Karube. 1997. A novel antioxidant derived from seaweed. 4th International Marine Biotechnology conference - Abstracts, p. 33. Dunlap, W.e., and J.M. Shick. 1998. Ultraviolet radiation-absorbing mycosporine-like amino acids in coral reef organisms: a biochemical and environmental perspective. J. Phycology, vol. 34: 418-430. EI-Sayed, S.Z., F.e. Stevens, R R. Bidigare, and M.E. Ondrusek. 1990. Effect of ultraviolet radiation on antarctic marine phytoplankton. Antarctic Ecosystems, 380-385. Figueroa, FL; Gomez, I. 2001. Photosynthetic acclimation to solar UV radiation of marine red algae from the warm_temperate coast of southern Spain: A review. Journal of Applied Phycology, vol. 13 (3): 233-245. Franklin, L.A. and R.M. Forster. 1997. The changing irradiance environment: consequences for marine macrophyte physiology, productivity and ecology. Eur. J. of Phycology, vol. 32: 207-232. Franklin, L.A., I. Yakovleva, U. Karsten, and K. Luning. 1999. Synthesis of mycosporine-like amino acids in Chondrus crispus (Florideophyceae) and the consequences for sensitivity to ultraviolet B radiation. Journal of Phycology, vol. 35: 682-693. Franklin, L.A., G. Kraebs, and R. Kuhlenkamp. 2001. Blue light and UV-A radiation control the synthesis of mycosporine-like amino acids in Chondrus crispus (Florideophyceae) Journal ofPhycology. Vol. 37, no. 2, pp. 257-270 Friedlander, M.~ Dawes, C.J. 1985. In situ uptake kinetics of ammonium and phosphate and chemical composition of the red seaweed Gracilaria tikvahiae. Journal of Phycology, vol. 21, no. 3, pp. 448-453. Gademann Rolf. 2004. PAM-JAM seminar, February 2003. Hawaii Institute of Marine Biology, University of Hawaii. Garcia-Pichel, F., and RW. Castenholz. 1993. Occurrence ofUV-absorbing, mycosporine-like compounds among cyanobacterial isolates and an estimate of their screening capacity. Appl. Environ. Microbiol., vol. 59: 163-169. Gulko, Dave. 1995. The ultraviolet radiation environment of Kane'ohe Bay, O'ahu. In ltraviolet Radiation and Coral Reefs, Gulko and Jokiel (eds.). HIMB Technical Report #41. UNIHI-Sea Grant-CR-95-03. 47
  • 55.
    Gulko, D. andJokiel, P. (eds.). Ultraviolet Radiation and Coral Reefs, 1995. HIMB technical report #41. UNIHI-Sea Grant-CR-95-03. Haeder, D.-P. 1997. Penetration and effects of solar UV-B on phytoplankton and macroalgae. Plant Ecology. Vol. 128: 4-13. Halldal, P. 1964. Ultraviolet action spectra of photosynthesis and photosynthetic inhibition in a green and a red alga. Physiol. Plant., vol. 17: 414-421. Hanisak, M.D. and Samuel, M.A. 1983. The influence of major environmental factors on the growth of Gracilaria tikvahiae (Rhodophyceae) in culture. Journal of Phycology, vol. 19 (2): 6-12. Helbling, E.W., V. Villafane, M. Ferrario, and O. Holm-Hansen. 1992. Impact of natural ultraviolet radiation on rates of photosynthesis and on specific marine phytoplankton species. Marine Ecology Progress Series, vol. 80: 89-100. Helbling, E.W., B.E. Chalker, W.C. Dunlap, O. Holm-Hansen, and V.E. Villafane. 1996. Photoacc1imation of Antarctic marine diatoms to solar ultraviolet radiation. Journal of Experimental Marine Biology and Ecology, vol. 204: 85-101. Holm-Hansen, 0., D. Lubing and E.W. Hebling. 1993. Ultraviolet radiation and its effects on organisms in aquatic environments. In: Environmental UV Photobiology, Young, A.R., L.O. Bjorn, J. Moan, and W. Nultsch (eds.), pp. 379- 425. Plenum Press, New York. Hoyer, K; Karsten, U; Sawall, T; Wiencke, C. 2001. Photoprotective substances in Antarctic macroa1gae and their variation with respect to depth distribution, different tissues and developmental stages. Marine Ecology Progress Series. Vol. 211:117-129. Hoyer, K., U. Karsten and C. Wiencke, 2002. Induction of sunscreen compounds in Antarctic macroalgae by different radiation conditions. Marine Biology, vol. 141: 619-627. Huang, Xiaohang; Wen, Zongcun; Wu, Chaoyuan. 1989. Effect of ammonium-nitrogen on growth and chemical composition of Gracilaria sjoestedtii Kylin. Oceanologia et limnologia sinica/Haiyang Yu Huzhao. Qingdao, vol. 20 (6): 493-501. Huovinen, P., I. Gomez, F.L. Figueroa, N. Ulloa, V. Morales, and C. Lovengreen. 2004. Ultraviolet-absorbing mycosporine-like amino acids in red macroalgae from Chile. Botanica Marina, vol. 47: 21-29. 48
  • 56.
    Jeffrey, S.M. andM. Vesk. 1997. Introduction to marine phytoplankton and their signatures. In: Phytoplantkton Pigments in Oceanography; Jeffrey, Mantoura and Wright (eds.). UNESCO, Paris. Jerlov, N.G. 1950. Ultra-violet radiation in the sea. Nature, vol. 116: 111-112. Johansson, G, and P. Snoeijs. 2002. Macroalgal photosynthetic responses to light in relation to thallus morphology and depth zonation. Marine Ecology Progress Series, vol. 244: 63-72. Jokiel, Paul L. 1980. Solar ultraviolet radiation and coral reef epifauna. Science 207: 1069-1071. Karentz, D. and L.H. Lutze. 1990. Evaluation of biologically harmful ultraviolet radiation in Antarctica with a biological dosimeter designed for aquatic environments. Limnol. Oceanogr., 35: 549-561. Karentz, D., F.S. McEuen, M.e. Land, and W.e. Dunlap. 1991. Survey of mycosporine- like amino acid compounds in Antarctic marine organisms: Potential protection from ultraviolet exposure. Marine Biology, vol. 108: 157-166. Karsten, U., T. Sawall, D. Hanelt, K. Bischof, F.L. Figueroa, A. Flores-Moya, and C. Wieneke. 1998a. An inventory of UV-absorbing mycosporine-like amino acids in macroalgae from polar to temperate regions. Botanica Marina, vol. 41: 443-453. Karsten, U., T. Sawall, and C. Wieneke. 1998b. A survey of the distribution ofUV- absorbing substances in tropical macroalgae. Phycological Research, vol. 46: 271- 279. Karsten, U., L.A. Franklin, K. Luning, and C. Wieneke. 1998c. Natural ultraviolet and photosynthetically active radiation induce formation of MAAs in marine macroalga Chondrus crispus (Rhodophyta). Planta: 205: 257-262. Karsten, U. 2000. Occurrence of photoprotective mycosporine-like amino acid compounds (MAAs) in marine red macroalgae from temperate Australian waters. Proc. Linn. Soc. N.S.W, vol. 122: 123-129. Karsten, U., and J. West. 2000. Living in the intertidal zone - seasonal effects on heterosides and sun-screen compounds in the red alga Bangia atropurpurea (Bangiales). Journal of Experimental Marine Biology and Ecology, vol. 254 (2): 221-234. Karsten, U., T. Sawall, J. West, and e. Wieneke. 2000. Ultraviolet sunscreen compounds in epiphytic red algae from mangroves Hydrobiologia, vol. 432: 159-171. 49
  • 57.
    Karsten, U., K.Bischof, and e. Wiencke. 2001. Photosynthetic performance of Arctic macroalgae after transplantation from deep to shallow waters. Oecologia, vol. 127: 11-20. Karsten, Ulf. 2002. Effects of salinity and ultraviolet radiation on the concentration of mycosporine-like amino acids in various isolates of the benthic cyanobacterium Microcoleus chthonoplastes. Phycological Research, vol. 50 (2): 129-134. Kinzie, R.A 1993. Effects of ambient levels of solar ultraviolet radiation on zooxanthellae and photosynthesis of the reef coral Montipora verrucosa. Marine Biology, vol. 116: 319-327. Kirk, John T.O. 1994. Light and Photosynthesis in Aquatic Ecosystems. Cambridge University Press, Cambridge, UK. Klisch, M; Haeder, D-P. 2000. Mycosporine-like amino acids in the marine dinoflagellate Gyrodinium dorsum: induction by ultraviolet irradiation. Journal of Photochemistry and Photobiology B: Biology, vol. 55 (2-3): 178-182. Kraebs, G, K. Bischof, D. Hanelt, U. Karsten, and C. Wiencke. 2002. Wavelength- dependent induction of UV-absorbing mycosporine-like amino acids in the red alga Chondrus crispus under natural solar radiation. Journal of Experimental Marine Biology and Ecology, vol. 268: 69-82. Lao, K. and A Glazer. 1996. Ultraviolet-B photodestruction of a light-harvesting complex. Proc. Natl. Acad. Sci. USA, vol. 93: 5258-5263. Lapointe, B.E., L.D. Williams, J.e. Goldman, and J.H. Ryther. 1976. The mass outdoor culture of macroscopic marine algae. Aquaculture, vol. 8: 9-21. Lapointe, B.E.; Ryther,J.H. 1978. Some aspects of the growth and yield of Gracilaria tikvahiae in culture. Aquaculture, vol. 15 (3): 185-193. LaPointe, RE., and J. H. Ryther, 1979. The effects of nitrogen and seawater flowrate on the growth and biochemical composition of G. foliifera var. angustissima in mass outdoor cultures. Botanica Marina, vol. 22: 529-537. Largo, D.R, P.T. Bacolod, M.AV. Cusi, C.A. Orosco, and M. Ohno. 1989. Growth rate of Gracilaria verrucosa and Gracilaria salicornia (Gracilariales, Rhodophyta) in an intertidal and semi-enclosed pond system in the Visayas, Philippines. Bulletin of marine sciences and fisheries, Kochi University, vol. 11:95-100. Larkum, AW.D., and W.F. Wood. 1993. The effect ofUV-B radiation on photosynthesis and respiration of phytoplankton, benthic macroalgae and seagrass. Photosynthesis Research, vol. 36: 17-23. 50
  • 58.
    Larkum, A.W.D. 2003.Light Harvesting Systems. In Photsynthesis in Algae, Larkum, Douglass and Raven (eds.), pp. 277-304. Lamed, S.T. 1998. Nitrogen- versus phosphorus-limited growth and sources of nutrients for coral reef macroalgae. Marine Biology, vol. 132 (3): 409-421. Laurion, I., F. Blouin, and S. Roy. 2003. The quantitative filter technique for measuring phytoplankton absorbtion: Interference by MAAs in the UV waveband. Limnology and Oceanography: Methods, vol. 1: 1-9. Laws, E.A., B.N. Pope, RR Bidigare, M.C. Kennicutt, and S.A. Macko, 1995. Dependance of phytoplankton carbon isotopic composition on growth rate and [COZ]aq: theoretical considerations and experimental results. Geochimica et Cosmochimica Acta, vol. 59: 1131-1138. Lesser, M.P. 1996. Acclimation of phytoplankton to UV-B radiation: Oxidative stress and photoinhibition of photosynthesis are not prevented by UV-absorbing compounds in the dinoflagellate Prorocentrum micans. Marine ecology progress series, vol. 132 (1-3): 287-297. Lesser, M.P., and S. Lewis. 1996. Action spectrum for the effects of UV radiation on photosynthesis in the hermatypic coral Pocillopora damicornis. Marine Ecology Progress Series, vol. 134: 171-177. Liu, Jing-Wen; and S.-L. Dong. 2001. Comparative studies on utilizing nitrogen capacity between two macroalgae Gracilaria tenuistipitata var. liui (Rhodophyta) and VIva pertusa (Chlorophyta) I. Nitrogen storage under nitrogen enrichment and starvation. Journal of Environmental Sciences (China). Vol. 13: 318-322. Lorenzen, C.J. 1979. Ultraviolet radiation and phytoplankton photosynthesis. Limnol. Oceanogr., vol. 24: 1117-1120. Lourenco, S.O., E. Barbarino, J.C. De-Paula, L.a. da S. Pereira, and U.M. Marquez. 2002. Amino acid composition, protein content and calculation of nitrogen-to- protein conversion factors for 19 tropical seaweeds. Phycological Research, vol. 50: 233-241. Lyons, M.M., P. Aas, J.D. Pakulski, L. VanWaasbergen, RV. Miller, D.L. Mitchell, and W.H. Jeffrey. 1998. DNA damage induced by ultraviolet radiation in coral reef microbial communities. Marine Biology, vol. 130: 537-543. Maegawa, M, M. Kunieda, and W. Kida. 1993. The influence of ultraviolet radiation on the photosynthetic activity of several red algae from different depths. Japan Journal of Phycology, vol. 41 (3): 207-214. 51
  • 59.
    Moisan, T.A, andB.G. Mitchell. 2001. UV absorption by mycosporine-like amino acids in Phaeocystis antarctica Karsten induced by photosynthetically available radiation. Marine Biology, vol. 138: 217-227. Molina, X and V. Montecino. 1996. Acclimation to UV irradiance in Gracilaria chilensis Bird, McLachlan & Oliveira (Gigartinales, Rhodophyta). Hydrobiologia, vol. 326-327: 415-420. Morgan, K.C., J.L.C. Wright, and FJ. Simpson. 1980. Review of chemical constituents of the red alga Palmaria palmata (Dulse). Econ. Bot., 34 (l): 27-50. Nakamura, H., J. Kobayashi, and Y. Hirata, 1982. Separation ofmycosporine-like amino acids in marine organisms using reverse-phase high performance liquid chromatography. J. Chromatography, vol. 250: 113-118. Naldi, M. and P. Wheeler. 1999. Changes in nitrogen pools in VIva Jenestrata (Chlorophyta) and Gracilaria pacifica (Rhodophyta) under nitrate and ammonium enrichment. Journal ofPhycology, vol. 35: 70-77. Neale, P.J., JJ. Cullen, M.P. Lessen, and A Melis. 1993. Physiological bases for detecting and predicting photoinhibition of aquatic photosynthesis by PAR and UV radiation. In Photosynthetic Responses to the Environment (H.Y. Yamamoto and C.M. Smith, eds.), pp. 61-77. American Society of Plant Physiologists, Rockville, MD. Neale, PJ.; AT. Banaszak, and c.R. Jarriel. 1998. Ultraviolet sunscreens in Gymnodinium sanguineum (Dinophyceae): Mycosporine-like amino acids protect against inhibition of photosynthesis. Journal of Phycology, vol. 34 (6): 928-938. Nultsch, W., J. Pfau, and K. Huppertz. 1990. Photoinhibition of photosynthetic oxygen production and its recovery in the subtidal red alga Polyneura hilliae. Bot. Acta, vol. 103: 62-67. Orduna-Rojas, J.~ Robledo, D.; Dawes, CJ. 2002. Studies on the Tropical Agarophyte Gracilaria cornea J. Agardh (Rhodophyta, Gracilariales) from Yucatan, Mexico. I. Seasonal Physiological and Biochemical Responses. Botanica Marina, vol. 45 (5): 453-458. Osmond, C.B., C.H. Foyer and G. Bock (eds.). 2000. Photoprotection of the photosynthetic apparatus. Phil Trans Royal Soc London B, 335: 1329-1547. Pang, S., I. Gomez, and K. Luning. 2001. The red macroalga Delesseria sanguinea as a UVB-sensitive model organism: selective growth reduction by UVB in outdoor experiments and rapid recording of growth rate during and after UV pulses. European Journal of Phycology, vol. 36: 207-216. 52
  • 60.
    Peckol, P; DeMeo-Anderson,B; Rivers, J; Valiela, I; Maldonado, M; Yates, J, 1994. Growth, nutrient uptake capacities and tissue constituents of the macroalgae Cladophora vagabunda and Gracilaria tikvahiae related to site-specific nitrogen loading rates. Marine Biology, vol. 121: 175-185. Penniman, C.A and AC. Mathieson. 1987. Variation in chemical composition of Gracilaria tikvahiae McLachlan (Gigartinales, Rhodophyta) in the Great Bay Estuary, New Hampshire. Botanica Marina, vol. 30: 525-534. Pfander, H. 1992. Carotenoids: an overview. In: Methods in Enzymology, L. Packer (ed.), vol. 213: 3-13. Carotenoids, Part A Academic Press. Photsynthesis in Algae. A.W.D. Larkum, S. E. Douglass and J.A. Raven, Eds. 2003. Kluwer Academic Publishers, Dordrecht, Netherlands. Phytoplankton Pigments in Oceanography. S.W. Jeffrey, R.F.C. Mantoura, and S.W. Wright, eds. 1997. UNESCO Publishing, Paris, France. Poppe, F., R.A. Schmidt, D. Hanelt, and C. Wieneke. 2003. Effects of UV radiation on the ultrastructure of several red algae. Phycological Research, vol. 51: 11-19. Poppe, F. D. Hanelt, and C. Wieneke. 2002. Changes in ultrastructure, photosynthetic activity and pigments in the Antarctic red algae Palmaria decipiens during acclimation to UV radiation. Botanica Marina, vol. 45: 253-261. Post, A, and AW.D. Larkum. 1993. UV-absorbing pigments, photosynthesis and UV exposure in Antarctica: comparison of terrestrial and marine algae. Aquatic Botany, vol. 45: 21-27. Renger, G., M. Volker, H.I. Eckert, R. Fromme, S. Holm-Veit, and P. Graeber. 1989. On the mechanism of photosystem II deterioration by UV-B radiation. Photochem. Photobiol., vol. 49: 97-105. Retamales, CA, A Martinez, and AH. Buschmann. 1994. Long term productivity and agar yield of Gracilaria chilensis tank culture in southern Chile. Revista de Biologia Marina, vol. 29: 251-261. Rothschild, Lynn J. 1999. The influence ofUV radiation on Protistan evolution. Journal of Eukaryotic Microbiology, vol. 46 (5): 548-555. Ryther, J.H. and RE. LaPointe. 1979. The effects of nitrogen and seawater flowrate on the growth and biochemical composition of Gracilaria foliifera var. angustissima in mass outdoor cultures. Botanica Marina, vol. 22: 529-537. Ryther, J.R.; N. Corwin, T.A DeBusk, and L.D. Williams. 1981. Nitrogen uptake and storage by the red alga Gracilaria tikvahiae; Aquaculture, vol. 26: 107-115. 53
  • 61.
    Sancar, A andG.B. Sancar. 1988. DNA repair enzymes. Annual Review of Biochemistry, vol. 57: 29-67. Shibata, K. 1969. Pigments and a UV-absorbing substance in corals and a blue-green alga living in the Great Barrier Reef. Plant Cell Physiology, vol. 19: 325-335. Shick, J.M., W.e. Dunlap, B.E. Chalker, AT. Banaszak, and T.K. Rosenzweig. 1992. Survey of the ultraviolet radiation-absorbing Mycosporine-like amino acids in organs of coral reef holothurids. Marine Ecology Progress Series, vol. 90: 139- 148. Shick, JM; Romaine-Lioud, S; Ferrier-Pages, C; Gattuso, J-P. 1999. Ultraviolet-B radiation stimulates shikimate pathway-dependent accumulation of mycosporine- like amino acids in the coral Stylophora pistillata despite decreases in its population of symbiotic dinoflagellates. Sivalingam, P.M., T. Ikawa, Y. Yokohama, K. Nisizawa. 1974. Distribution of a 334 nm UV-absorbing substance in algae, with special regard of its possible physiological roles. Botanica Marina, vol. 17, pp. 23-29. Sinha, R.P.; Klisch, M.; Groeniger, A; Haeder, D-P. 1998. Ultraviolet absorbing! screening substances in cyanobacteria, phytoplankton and macroalgae. Journal of Photochemistry and Photobiology B: Biology, vol. 47: 83-94. Sinha, R.P.; M. Klisch, A. Groeniger, and D-P Haeder. 2000. Mycosporine-like amino acids in the marine red alga Gracilaria cornea - effects of UV and heat. Environmental and Experimental Botany, vol. 43 (1): 33-43. Smit. AJ. 2002. Nitrogen uptake by Gracilaria gracilis (Rhodophyta): Adaptations to a temporally variable nitrogen environment. Botanica Marina, vol. 45: 196-209. Smith, R.e. and K.S. Baker. 1979. Penetration of UV-B and biologically effective dose rates in natural waters. Photochem. Photobiol., vol. 29: 311-323. Smith, Re., B.B. Prezelin, K.S. Baker, RR Bidigare, N.P. Boucher, T. Coley, D. Karentz, S. MacIntyre, H.A Matlick, D. Menzies, M. Ondrusek, Z. Wan, and KJ. Waters. 1992. Ozone depletion: Ultraviolet radiation and phytoplankton biology in Antarctic waters. Science, vol. 255: 952-958. Takano, S., A Nakanishi, D. Uemura, and Y. Hirata. 1979. Isolation and structure of a 334 nm UV absorbing substance, porphyrea-334 from the red alga Porphyra tenera Kjellman, Chemistry Letters, 1979: 419-420. 54
  • 62.
    Takano, S., D.Uemura, and Y. Hirata. 1978a. Isolation and structure of a new amino acid, palythine, from the zoanthid Palythoa tuberculosa. Tetrahedron Letters, vol. 26: 2299-2300. Takano, S., D. Uemura, and Y. Hirata. 1978b. Isolation and structure of two new amino acids, palythinol and palythene, from the zoanthid Palythoa tuberculosa. Tetrahedron Letters, vol. 49: 4909-4912. Talarico, L, and G. Maranzana. 2000. Light and adaptive responses in red macroalgae: an overview. Journal of Photochemistry and Photobiology B: Biology, vol. 56 (1): I- ll. Tsujino, I., K. Yabe, and I. Sekikawa. 1980. Isolation and structure of a new amino acid, shinorine, from the red alga Chondrus yendoi Yamada et Mikami. Botanica Marina, vol. 23: 65-68. Vass, Imre. 1997. Adverse effects of UV-B light on the structure and function of the photosynthetic apparatus. In: Handbook ofPhotosynthesis, M. Pessaraki (Ed.). M. Dekker Publishing. Pp. 931-949. Vernet, M; Whitehead, K. 1996. Release of ultraviolet-absorbing compounds by the red- tide dinoflagellate Lingulodinium polyedra. Marine Biology, vol. 127 (1): 35-44. Whitehead, K. and J.I. Hedges. 2002. Analysis of mycosporine-like amino acids in plankton by liquid chromatography electrospray ionization mass spectrometry. Marine Chemistry, vol. 80 (1): 27-39. Whitehead, K. and J.I. Hedges. 2002. The Use of Liquid Chromatography-Mass Spectrometry (LC-MS) in the Identification and Characterization of Mycosporine- Like Amino Acids (MAAs). Journal ofPhycology, vol. 38 (SI): 37-37. Wright, S.W., S.W. Jeffrey, R.P.C. Mantoura, C.A. Llewellyn, T. Bjornland, D. Repeta, and N. Welschmeyer. 1991. Improved HPLC method for the analysis of chlorophylls and carotenoids from marine phytoplankton. Marine Ecology Progress Series, vol. 77:183-96. Wood, W.F. 1987. Effect of solar ultra-violet radiation on the kelp Ecklonia radiata. Marine Biology, vol. 96: 143-150. Wood, W.P. 1989. Photoadaptive responses of the tropical red alga Eucheuma striata Schmitz (Gigartinales) to ultraviolet radiation. Aquatic Botany, vol. 33: 143-150. Zamzow, Jill P. and George S. Losey. 2002. Ultraviolet radiation absorbance by coral reef fish mucus: photo-protection and visual communication. Environmental Biology of Fishes, vol. 63: 41-47. 55
  • 63.
    Zudaire, L, andS. Roy. 2000. Photoprotection and long-term acclimation to UV radiation in the marine diatom Thalassiosira weissflogii. Journal of Photochemistry and Photobiology B: Biology, vol. 62 (1-2): 26-34. 56