A- PROCESSING OF DIETARY LIPIDS IN STOMACH:- Lipid digestion begins in the stomach by  -LINGUAL LIPASE --- acid stable. Primary target ----- fatty acids of short or medium chain length ( milk fat ). -GASTRIC LIPASE ----- acid stable. Both enzymes ---- optimum pH 4 to 6 Particular importance in neonates and in patients with pancreatic insufficiency.
CYSTIC  FIBROSIS:- An autosomal recessive disorder Prevalence of 1:3,000 births Cause ;  decreased secretion of chloride and increased reabsorption of water due to defect in the transmembrane conductance regulator protein.  Result is thickened secretions of glands. In pancreas ---- pancreatic insufficiency
Emulsification increases the surface area of the hydrophobic fat droplets so that digestive enzymes can act effectively. Site is duodenum Done by - peristalsis---- mechanical mixing - Bile salts ----  detergent properties as they decrease the surface tension and cause fat emulsification.
Pancreatic enzymes degrade ---- TAG, cholesteryl esters and phospholipids. 1- Degradation of TAG:- - Pancreatic Lipase ----  removes fatty acids at carbon 1 and 3  and forms  2-monoacylglycerol and free fatty acids
2- Degradation of cholesteryl esters:- Cholesteryl estrase produces cholesterol and free fatty acids. Activity is increased in presence of Bile salts. 3- Degradation of Phospholipids :- Phospholipase A2 in proenzyme form, activated by Trypsin, requires bile salts for activity.  Removes one fatty acid from carbon 2 of a phospholipid  lysophospholipid. Lysophospholipase removes fatty acid at carbon 1 and forms glycerylphosphoryl base that is excreted, degraded or absorbed.
 
Hormonal control Cholecystokinin site of release  ------released in blood from jejunum and lower duodenum  in response to lipids and partially digested proteins entering small intestines. Actions ;  -Gall bladder------- contraction and release of bile - Pancreatic exocrine cells ------ release of digestive enzymes - Decreases gastric motility
Secretin site  -released in blood from other intestinal cells  - in response to low pH of chyme  Actions;  - release of a watery solution by pancreas and liver, high in bicarbonate ------ appropriate pH for action of pancreatic enzymes.
 
Jejunum gets ---- free fatty acids free cholesterol 2-monoacylglycerol Combine with bile and fat soluble vitamins  Formation of micelles ---- soluble in aqueous intestinal environment, absorbed at  the brush border of enterocytes . Fatty acids with short and medium chain length do not need micelles for absorption.
Absorbed lipids move to endoplasmic reticulum  long chain fatty acids converted to fatty acyl coA by fatty acyl Co A synthetase . 2-monoacylglycerols use fatty acyl CoA and converted to TAG by TAG Synthase.--- Acyltransferases Reacylation of lysophospholipids  caused by acyltransferases forms phospholipids. Cholesteryl ester formation by Acyl CoA:cholesteryl  acyltransferase. Free fatty acids with short and medium chains are released into portal circulation.
Steatorrhea ----- increased lipid and fat soluble vitamin excretion in feces. Caused by defects in  lipid digestion and/or  lipid absorption
 
Formation of Chylomicrons :-  Aggregates of TAG and cholesteryl esters are formed,  surrounded by  a thin layer phospholipids  free cholesterol  and  special protein Apolipoprotein B-48 Chylomicrons are released into lacteals by exocytosis. After a lipid rich meal ,  lymph is called chyle. From lymph, chylomicrons finally enter blood.
 
In capillaries of tissues  TAG in chylomicrons  degraded into free fatty acids and glycerol.  Enzyme lipoprotein lipase, formed  mainly by  adipocytes and muscle cells. Fate of free fatty acids ---- direct entry into muscle cells or adipocytes. Used for energy production or reesterify to form TAG in adipocytes. Free fatty acids may be transported in blood with albumin.
Fate of Glycerol ---- used by liver to form glycerol 3- phosphate which can enter glycolysis or gluconeogenesis. Fate of the remaining Chylomicron components ----  endocytosed by liver and the  remnants are hydrolysed to their components.
 
Fatty acids are taken up by cells, where they may serve as  -precursors in the synthesis of other compounds, - as fuels for energy production,  and  -as substrates for ketone body synthesis.  Ketones bodies may then be exported to other tissues, where they can be used for energy production. In addition, some cells synthesize fatty acids for storage or export.
 
Intermediates in Synthetic processes Fatty acids are intermediates in the synthesis of other important compounds. Examples include:  Phospholipids (in membranes).  Eicosanoids, including prostaglandins and leucotrienes, which play a role in physiological regulation.    Energy - Fats are an important source of dietary calories. Typically 30-40% of calories in the American diet are from fat.  - Fat is the major form of energy storage.
Precursors of Acetyl CoA Acetyl CoA is at the center of lipid metabolism. It is produced from:  Fatty acids  Glucose (through pyruvate)  Amino acids  Ketone bodies  Products of Acetyl CoA Metabolism It can be converted to fatty acids, which in turn give rise to:  triglycerides (triacylglycerols)  phospholipids  eicosanoids (e.g., prostaglandins)  ketone bodies  It is the precursor of cholesterol, which can be converted to:  steroid hormones  bile acids  It produces  energy , generated by the complete oxidation of acetyl CoA to carbon dioxide and water through the tricarboxylic acid cycle and oxidative phosphorylation.
 
Structure of Acetyl CoA The structure of Acetyl CoA consists of two parts.  1.  Acetyl group  2.  Coenzyme A  -  Beta-mercaptoethylamine  -  Pantothenic acid (not synthesized in man  -- an essential nutrient)  -  Phosphate  -  3', 5'-adenosine diphosphate
 
  Fatty acid synthesis is the process of combining eight two-carbon fragments (acetyl groups from acetyl CoA) to form a 16-carbon saturated fatty acid, palmitate.  Palmitate  can then be modified to give rise to the other fatty acids. These modifications may include:  -chain elongation to give longer fatty acids, such as the 18-carbon  stearate.  -Desaturation , giving unsaturated fatty acids.
Tissue locations Fatty acid synthesis occurs primarily in :  liver  Adipose  tissue (fat)  lactating mammary glands
Sum of the reactions; 8 acetyl CoA + 7 ATP + 14 (NADPH + H + ) -> palmitate  + 8 CoA + 7 (ADP + P i ) + 14 NADP +  + 6 H 2 O  This is the overall process for fatty acid synthesis. Acetyl CoA for fatty acid synthesis  comes  mostly from glycolytic breakdown of glucose.
 
Glucose is first degraded to pyruvate by aerobic glycolysis in the cytoplasm.  Pyruvate is then transported into the mitochondria, where its oxidation  forms mitochondrial acetyl CoA and other products. Also formed by catabolism of fatty acids, ketone bodies and certain amino acids. Acetyl CoA can then serve as a substrate for citrate synthesis.  Citrate, in turn, can be transported out of the mitochondria to the cytoplasm (where fatty acid synthesis occurs), and there split to generate cytoplasmic acetyl CoA for fatty acid synthesis. Enzyme is ATP Citrate Lyase.
 
  Enzymes and Isolated Reactions Acetyl CoA carboxylase catalyzes the reaction:  acetyl CoA + HCO 3 -  + ATP -> malonyl CoA + ADP + P i
Acetyl CoA carboxylase three important features.  1-It contains the prosthetic group, biotin.  The enzyme, using its biotin prosthetic group as a carrier, transfers CO 2  from bicarbonate to the acetyl group.  Biotin is not synthesized in humans, and is an essential nutrient.
2-The carboxylation reaction is driven to completion by hydrolysis of ATP.  3-The enzyme catalyzes the rate-limiting reaction for fatty acid synthesis, and is under tight short-term control.  DOWN REGULATION ---  long chain fatty acyl coA (end product)  ,  Phosphorylation of enzyme caused by  glucagon  ,  protein kinase activated by AMP UP REGULATION ----- Citrate (allosteric),  dephosphorylation of enzyme  caused by insulin,  high caloric food
To summarize, it is controlled  allosterically ----citrate, fatty acyl CoA  and by covalent modification-------- phosphorylation/dephosphorylation of Enzymes
Multifunctional,  dimeric Each monomer with seven different enzymic activities plus a domain that binds a molecule of phosphopantetheine. Phosphopantetheine  has a terminal SH group. This binding domain is referred to as ACP.
1-In the  first reaction  a molecule of acetate is transferred from acetyl CoA to SH group of the ACP. ----- transacylase 2- This two carbon fragment is shifted to SH group of cysteine residue. 3- ACP is vacant and accepts a three carbon malonate unit from malonyl CoA. ---- transacylase
4- The acetyl group is transferred to malonyl group with the release of carbon dioxide. This results in a four carbon unit attached to the ACP domain. 5- The keto group is reduced to an alcohol. 6- A molecule of water is removed to add a double bond between C 2 and C 3.  7-The double bond is reduced.
In the seventh reaction the double bond is reduced by NADPH, yielding a saturated fatty acyl group two carbons longer than the initial one (an acetyl group was converted to a butyryl group in this case):  2-butenoyl-ACP + NADPH + H +  -> butyryl-ACP + NADP +   The butyryl group is then  transferred  from the ACP sulfhydryl group to the CE sulfhydryl:
The butyryl group is now ready to condense with a new malonyl group to repeat the process.  Each time a two carbon unit is added into the growing fatty acid chain at the carboxyl end  .  When the fatty acyl group becomes 16 carbons long, a thioesterase activity cleaves the  thioester bond, forming free palmitate .
Fatty acid synthetase is essential, but not rate-limiting, for fatty acid synthesis. It is not subject to short term control .
HMP pathway Cytosolic conversion of malate to pyruvate
The palmitate produced by fatty acid synthase is typically modified to give rise to the other fatty acids.  Fatty acids from dietary sources, too, are often modified.  These modifications may include:  -chain elongation to give longer fatty acids  -desaturation, giving unsaturated fatty acids.
Elongation can occur in most tissues; the process differs in the endoplasmic reticulum vs. the mitochondria.  Elongation: Fatty Acid Synthesis in the Endoplasmic Reticulum In endoplasmic reticulum malonyl CoA combines with long chain fatty acyl CoA to form fatty acyl CoA  lenghthened by two carbons.
Mitochondrial elongation: a minor process,  uses  acetyl CoA  for chain elongation.
In endoplasmic reticulum Addition of cis double bonds Use of enzyme Desaturases In humans there are four types of distinct desaturases -----------  for carbon 9, 6, 5 and 4. Double bonds cannot be added from C10 to omega end of the chain. This is the reason of nutritional essentiality of linoleic and linolenic acids.
1- Pyruvate is produced in glycolysis and is used for the synthesis of mito. Acetyl CoA.  2- Mitochondrial oxaloacetate is produced in the first step of gluconeogenesis. 3- Formation of citrate is the first step in TCA cycle. 4- NADH is produced during glycolysis and this NADH causes reduction of NADP to NADPH which is used for palmitoyl CoA synthesis.
Site of fatty acid synthesis -----  liver Starts after a meal rich in carbohydrates Carbons for fatty acid synthesis provided by acetyl CoA Energy provided by ATP Reducing equivaqlents provided by NADPH
Glycerol + three fatty acids  Fatty acids esterified through carboxyl groups resulting in loss of negative charge and thus called Neutral Fats. Low solubility in water Stored in cytosole of adipocytes
1- Synthesis of glycerol phosphate 2- Formation of fatty acyl CoA 3- Formation of a molecule of TAG
Sites ----  liver ( primary site )  and  adipose tissue In both liver and adipose tissue ,  during glycolysis , glucose is converted Dihydroxy acetone phosphate. DHAP is reduced to glycerol phosphate with the help of enzyme Glycerol phosphate dehydrogenase.
In liver ---- free glycerol coming to liver is converted to glycerol phosphate by enzyme Glycerol kinase. In liver this process depends on supply of glucose. In adipose tissue glucose uptake is insulin dependent as it has GLUT-4 receptors .  Low glucose--- low insulin ----- no synthesis of TAG in adipocytes.
 
Long chain fatty acids are converted to fatty acyl CoA .  Enzyme required is Fatty acyl CoA synthase. Fatty acyl CoA  participates in TAG synthesis.
Glycerol phosphate combines with a fatty acyl CoA  and forms Lysophosphatidic acid.  Enzyme is Acyltransferase which removes CoA. Lysophosphatidic acid combines with the second fatty acyl CoA  to form DAG phosphate.  Enzyme is Acyltransferase. Phosphatase removes phosphate and forms DAG.  DAG combines with the third fatty acyl CoA and forms TAG.
Adipose tissue ---- TAG stored in cytosol Liver --- very little stored. Exported out of liver in VLDL , which exports endogenous lipids to peripheral tissues. TAG --- stores of energy ---- energy yield from complete oxidation of fatty acid to carbon dioxide and water is 9 kcal/g of fat.
TAG from diet----- absorbed from intestines ------ transported as chylomicrons TAG from liver ------ transported as VLDL FFA in circulation ----- transported with albumin
Breakdown of TAG ------ Lipolysis Caused by ---- Hormone sensitive Lipase There are three adipolytic lipases 1- Hormone sensitive lipase 2- Diacyl glycerol lipase 3- Monoacyl glycerol lipase
Located in the walls of blood capillaries i.n inactive form. It is activated by phosphorylation  Phosphorylation is caused by ------------- cAMP  Dependent Protein Kinase
Catecholamines ---- epinephrine and norepinephrine Glucagon Growth hormone Glucocorticoids  These hormones bind to receptors on cell membrane in adipocytes and activate Adenylyl Cyclase which produces cAMP and Protein kinase is activated.
Insulin ------ causes dephosphorylation  of Hormone sensitive lipase. This effect is achieved by ------- decreased levels of cAMP  and increased levels of Phosphatase enzyme. High glucose level---- high insulin ----- decreased lipolysis.
 
Phosphorylation  caused by hormones -  inhibits Acetyl CoA carboxylase - activates cAMP mediated cascade Therefore  Fatty acid synthesis is turned off  and TAG degradation is turned on
Not utilized in adipocytes Transported to liver through blood In liver it is phosphorylated to synthesize TAG It can be converted back to DHAP which can take part in Glycolysis and Gluconeogenesis.
Breakdown of TAG releases free or unesterified fatty acids Transported in plasma bound with albumin Enter into cells In cells activated and oxidised to form energy Plasma Free Fatty acids cannot be used by Erythrocytes as they have no mitochondria. Free Fatty acids cannot cross blood brain barrier -- not a source of energy for brain.
Pathway for catabolism of saturated fatty acids Site--- mitochondria Two-carbon fragments are successively removed from carboxyl end of fatty acyl CoA producing acetyl CoA, NADH and FADH2.
Fatty acids inside the cell must be activated before proceeding through metabolism.  Activation consists of conversion of the nonesterified fatty acid to its CoA derivative.  The faty acyl CoA may then be transported into the mitochondrion for energy production.  Transport across the mitochondrial membrane requires a carrier.
Beta oxidation occurs in mitochondrial matrix Mitochondrial membrane is impermeable to CoA Specialized carrier is required to transport long chain acyl groups from cytosol to mitochondria This carrier is CARNITINE It is a rate-limiting transport process and is called CARNITINE  SHUTTLE.
1-In the intermembrane space of the mitochondria, fatty acyl CoA reacts with carnitine in a reaction catalyzed by carnitine acyltransferase I (CAT-I), yielding CoA and fatty acyl carnitine. The resulting  acyl carnitine crosses the inner mitochondrial membrane.
CAT-I is associated with the outer mitochondrial membrane.  CAT-I reaction is rate-limiting; The enzyme is allosterically inhibited by malonyl CoA.  Malonyl CoA concentration would be high during fatty acid synthesis. Inhibition of CAT-I by malonyl CoA prevents simultaneous synthesis and degradation of fatty acids.
2-Fatty acyl carnitine is transported across the inner mitochondrial membrane in exchange for carnitine by carnitine-acylcarnitine translocase.  In the mitochondrial matrix fatty acyl carnitine reacts with CoA in a reaction catalyzed by carnitine acyltransferase II (CAT-II), yielding fatty acyl CoA and carnitine.  The fatty acyl CoA is now ready to undergo beta-oxidation.
 
Diet- meat products Can be synthesized in liver and kidney from amino acids lysine and methionine. Skeletal and heart muscles cannot synthesize carnitine and depend on diet or endogenous synthesis.
PRIMARY CAUSES:- - Genetic CAT-I deficiency --- mainly affects liver. Liver cannot synthesize glucose in a fast , results in hypoglycemia, coma and death. - CAT-II deficiency ---- mainly affects skeletal and cardiac muscles. -Defect in renal tubular reabsorption of carnitine. - Defect in carnitine uptake by cells.
SECONDARY CAUSES :---  -liver diseases----- decreased endogenous synthesis. - malnutrition or strict vegetarian diet - increased metabolic demands - hemodialysis
Carnitine and CAT system not required for fatty acids shorter than 12 carbon length. They are activated to their CoA form inside mitochondrial matrix. Not inhibited by malonyl CoA.
Beta-oxidation is the process by which long chain fatty acyl CoA is degraded. The products of beta-oxidation are:  acetyl CoA  FADH 2 , NADH and H +
There are four individual reactions of beta-oxidation, each catalyzed by a separate enzyme.  1-Dehydrogenation between carbon 2 and 3 in a FAD-linked reaction. Enzyme is acyl CoA dehydrogenase. 2-Hydration of the double bond by enoyl CoA hydratase.
3-A second dehydrogenation in a NAD-linked reaction. Enzyme is 3-hydroxyacyl  CoA dehydrogenase. 4-Thiolytic cleavage of the thioester by beta-ketoacyl CoA thiolase.  This sequence of four steps is repeated until the fatty acyl chain is completely degraded to acetyl CoA
 
Long chain fatty acyl CoA dehydrogenase (LCAD) acts on chains greater than C12.  Medium chain fatty acyl CoA dehydrogenase (MCAD) acts on chains of C6 to C12.  Short chain fatty acyl CoA dehydrogenase (SCAD) acts on chains of C4 to C6.  MCAD deficiency is thought to be one of the most common inborn errors of metabolism.
The products are acetyl CoA and a long chain fatty acyl CoA that is two carbons shorter than the original fatty acyl CoA.  The shortened fatty acyl group is now ready for another round of beta-oxidation. After the fatty acyl CoA has been reduced to acetyl or propionyl CoA, beta-oxidation is complete.
Fate of acetyl CoA  -  Oxidation by the citric acid cycle to CO 2  and H 2 O.  -In liver only, acetyl CoA may be used for ketone body synthesis.  Fate of the FADH 2  and NADH + H +   -  FADH 2  and NADH + H +  are oxidized by the mitochondrial electron transport system, yielding ATP.
Beta-oxidation is regulated as a whole primarily by fatty acid availability; once fatty acids are in the mitochondria they are oxidized as long as there is adequate NAD +  and CoA.
Oxidation of one molecule of palmitoyl CoA  to CO2 and water produces 8 acetyl CoA 7 NADH 7 FADH2
7 FADH2 = 2X 7 = 14 ATP 7 NADH  = 3 X 7 = 21 ATP 8 Acetyl CoA  = 12 x 8 = 96 ATP Total ATP = 131 ATP 2 ATP are utilized during the formation of acyl CoA .  Therefore net yield is 129 ATP.
 
Oxidation of fatty acids with odd number of carbons yield acetyl CoA and one molecule of propionyl CoA ---- a 3 C compound. Propionyl CoA is converted to Methylmalonyl CoA  by carboxylase --- a biotin requiring enzyme. MMCoA is moved within the molecule by MMCoA mutase (vit.B12 coenzyme) to form succinyl CoA… gluconeogenic.
Succinyl CoA enters TCA cycle and then yields energy. Deficiency of vit. B 12 results in urinary excretion of propionate and methylmalonate  as mutase enzyme cannot function.
 
 
Less energy yield Less formation of reducing equivalents as unsaturated F.A are not highly reduced. The action of enoyl CoA isomerase is required to handle double bonds at odd-numbered carbons because beta-oxidation requires pre-existing double bonds at even-numbered carbons.
If there is a double bond at an odd-numbered carbon (e.g., 18:1  9 ), the action of enoyl CoA isomerase is required to move the naturally occurring cis- bond and convert it to the trans- bond used in beta-oxidation.  The product, with a  trans-  double bond, is a substrate for enoyl CoA hydratase, the second enzyme of beta-oxidation.
In case of polyunsaturated fatty acids, e.g linoleic acid that is 18:2(9,12),  NADPH- dependent Dienoyl CoA Reductase is required in addition to isomerase.
Fatty acids with 20 or more carbons  ( VLCFA ) are first oxidized in the peroxisomes. The shortened fatty acid then goes to the mitochondria. The enzyme for initial dehydrogenation is  FAD containing Acyl CoA oxidase. H2O2 is produced during the process which is toxic to cells and is therefore converted to H2O by Catalase.
Zellweger syndrome -----  rare inherited disorder. Absence of peroxisomes. VLCFA cannot be oxidized  Accumulation of VLCFA in brain, blood and other tissues like liver and kidney.
Fatty acids undergo oxidation at the carbon atom farthest from the carboxyl carbon ( ω  carbon). Oxidation of carbon results in the formation of dicarboxylic acid. This dicarboxylic acid then undergoes beta oxidation.
This involves hydroxylation at alpha carbon. Seen in branched chain fatty acid, phytanic acid. Phytanic acid has methyl group on beta carbon and therefore it cannot be a substrate for acyl CoA dehydrogenase. Its alpha carbon is first of all hydroxylated by fatty acid alpha hydroxylase.
Then it is decarboxylated and activated to its CoA derivative. This CoA derivative undergoes beta oxidation.
Refsum disease ------ genetic disorder.  Caused by a deficiency of alpha hydroxylase. There is accumulation of phytanic acid in the plasma and tissues. The symptoms are mainly neurological. Treatment involves dietary restriction of phytanic acid.
 
These are the compounds known as ketone bodies. Notice that beta-hydroxybutyrate is not chemically a ketone. It is considered to be physiologically equivalent to one because beta hydroxybutyrate and acetoacetate are readily interconverted in the body.
When there is a condition of high rate of fatty acid oxidation, large amounts of acetyl CoA are formed which exceed the oxidative capacity of liver and then liver produces large amounts of compounds ( organic acids ) like acetoacetate and beta hydroxy butyric acid , which pass into blood and then to peripheral tissues where they can be utilized.
Soluble in aqueous solution. Skeletal muscles, cardiac muscles, renal cortex and brain can use ketone bodies to get energy.
Ketone bodies are synthesized from acetyl CoA.  Ketone body synthesis from acetyl CoA occurs in hepatic mitochondria.  First, acetoacetate is produced in a three-step process.  Acetoacetate can be reduced to beta-hydroxybutyrate.  Acetone also arises in small amounts as a biologically inert side product.
Ketone body production is regulated primarily by availability of acetyl CoA. If mobilization of fatty acids from adipose tissue is high, hepatic beta-oxidation will occur at a high rate, and so will synthesis of ketone bodies from the resulting acetyl CoA. The rate of ketone body production increases in starvation.
Synthesis from acetyl CoA: Step 1 The first step is formation of acetoacetyl CoA in a reversal of the thiolase step of beta-oxidation.
Reversal of thiolase step:-
Step 2 In the second step, a third molecule of acetyl CoA condenses with the acetoacetyl CoA, forming 3-hydroxy-3-methylglutaryl CoA (HMG CoA) in a reaction catalyzed by HMG CoA synthase… present only in liver. HMG CoA Synthase is the rate limiting enzyme for ketogenesis.
Step 2
Step 3 In the third step HMG CoA is cleaved to yield acetoacetate (a ketone body) in a reaction catalyzed by HMG CoA lyase (HMG CoA cleavage enzyme)… present only in liver.  One molecule of acetyl CoA is also produced.
Step 3
Synthesis of  β  hydroxybutyrate Acetoacetate can be reduced to beta-hydroxybutyrate by beta-hydroxybutyrate dehydrogenase in a NADH-requiring reaction.  The extent of this reaction depends on the state of the NAD pool of the cell; when it is highly reduced, most or all of the ketones can be in the form of beta-hydroxybutyrate.
Synthesis of  β  hydroxybutyrate
Synthesis of Acetone -Some acetoacetate spontaneously decarboxylates to yield acetone. -It cannot be metabolised any further and excreted through lungs.  The odor of acetone can be smelled on the breath of individuals with severe ketosis.
Synthesis of acetone
 
Ketone bodies are utilized exclusively by extrahepatic tissues; particularly heart and skeletal muscle. Brain can also use ketone bodies. If the ketone is beta-hydroxybutyrate, the first step must be conversion to acetoacetate and enzyme is dehydrogenase.
Acetoacetate is activated by transfer of CoA from succinyl CoA in a reaction catalyzed by succinyl CoA: 3-ketoacid CoA transferase also called Thiophrase.
The enzyme catalyzing this reaction is absent from liver;  hence liver, which synthesizes ketone bodies, cannot use them. This places liver in the role of being a net producer of ketones.
The resulting acetoacetyl CoA can be cleaved by thiolase to form two molecules of acetyl CoA, which can then be oxidized by the tricarboxylic acid cycle.
Peripheral tissues use ketone bodies in proportion to their blood levels. They are preferred over glucose and FFA for energy. Ketone bodies can be utilised upto a  blood level of 70mg/dl. After this level the oxidative mechanism is saturated --- ketonemia, ketosis and ketonuria.
In blood of a well fed individual …. Less than  3 mg/dl. In urine … less than 125 mg in 24 hrs.
Ketosis…… accumulation of abnormal amounts of ketone bodies in tissues and body fluids . Urinary excretion of ketone bodies exceeds the normal amounts. Ketonemia …. level of ketone bodies in blood  above normal level. Ketonuria … excretion of ketone bodies in urine.
Ketoacidosis …. Acetoacetic acid and beta hydroxy butyric acid are moderately strong acids. When their synthesis exceeds their utilization, their amount exceeds in blood and tissues. They need to be buffered. There can be progressive loss of buffer cations and this results in ketoacidosis.
1-Starvation ----- no carbohydrate reserves. Mobilization of FFA and their oxidation to get energy…. Exceeds liver capacity to oxidise acetyl CoA….. Ketongenesis. 2 - Uncontrolled insulin dependent diabetes mellitus. 3- High fat intake 4- Strenuous exercise
In uncontrolled type 1 diabetes mellitus ----- severe deficiency or absence of insulin ---- lipolysis ---- very high levels of FFA ---- high levels of acetyl CoA ---- raised ketogenesis. In severe ketosis ---- blood level above 90 mg/dl and urine level above 5000 mg/24 hrs. With each ketone body , one hydrogen atom is released in blood --- lowering of pH…. Acidosis.
 
Polar, ionic compounds alcohol Phosphodiester bridge Diacylglycerol or Sphingosine Types: -Glycerophospholipids -Sphingophospholipids (sphingosine)
Synthesized in smooth endoplasmic reticulum. Transferred to golgi apparatus. Move to membranes of organelles or to the plasma membrane or released out via exocytosis. All cells except mature erythrocytes can synthesize phospholipids.
Phosphatidic acid is the basic component for glycerophospholipid  synthesis which then combines with an alcohol. This may involve two processes, i.e  - phosphatidic acid may be donated from CDP-diacylglycerol to an alcohol  or - CDP- alcohol may donate its phosphomonoester to diacylglycerol.
Diacylglycrol with a phosphate group on the third carbon. Synthesized from glycerol phosphate and two fatty acyl CoAs. Glycerol phosphate combines a fatty acyl CoA at C 1 to form Lysophosphatidic acid. Enzyme is acyltransferase. Second fatty acyl CoA combines at C2 to form PA.
One of the most abundant PL in cells. Substrates required are :- - Choline ---- preexisting obtained from diet or from turnover of PL. - Diacylglycerol --- formed by removal of phosphate from phosphatidic acid. Enzyme is phosphatidate hydrolase. PC can also be formed from PS in the liver.
- Phosphorylation of choline by kinase –---- phosphocholine. Converted to CDP-choline which is the activated form. Enzyme is phosphocholine  citidyl transferase. CDP- choline reacts with diacylglycerol . Enzyme is phosphocholine diacyl glycerol transferase.
Transfer of Phosphocholine  from CDP to diacylglycerol forms Phosphatidylcholine (lecithin) . CMP is left behind. Dipalmitoyl-phosphatidylcholine is formed if there is palmitate on position 1 and 2 of glycerol. DPPC is made by pneumocytes and is the major component of surfactant.
Takes place only in liver. Liver can make PC by this process even when free choline levels are low. PS is converted to PE. Enzyme is PS decarboxylase. PE undergoes methylation . Enzyme is methyltransferase. Result is the formation of phosphatidylcholine.
Formed from preexisting Ethanolamine. Phosphorylation of ethanolamine by Kinase. Formation of CDP-Ethanolamine. Transfer of Ethanolamine Phosphate from CDP to Diacylglycerol forms PE. PS can be converted to PE by reversal of decarboxylation.
Formed from PE. PE reacts with serine to form PS. Enzyme is PE-Serine transferase. This is a base exchange reaction in which ethanolamine of PE is exchanged for free serine. Reversible reaction.
Substrates required are free inositol and CDP-diacylglycerol. Diacylglycerol 3 phosphate (PA) reacts with CTP to form CDP-diacylglycerol. Enzyme is Diacylglycerol-CDP synthase. CDP-Diacylglycerol reacts with inositol and forms Phosphatidyl inositol. Enzyme is PI Synthase. CMP is left behind.
PI plays a role in signal transmission across membranes through the activation of Protein kinase C. Acts as second messenger of hormone action.  Membrane bound PI can have specific proteins attached to it , e.g Alkaline phosphatase and Acetyl choline estrase. PI is unusual phospholipid as it has Arachadonic acid on C2 and thus acts as a source of arachadonic acid for PG synthesis.
Phosphatidylglycerol is present in mitochondria and is a precursor of Cardiolipin. The substrates required are CDP-diacylglycerol and Glycerol-3 phosphate. They react together to form phosphatidylglycerol.
Cardiolipin is di-phosphatidyl glycerol in nature. It is composed of two molecules of phosphatidic acid connected by a molecule of glycerol. CDP- diacylglycerol transfers diacylglycerophosphate to phosphatidylglycerol to form cardiolipin.
Plasmalogens are the PL in which F.A at C1 of glycrol is attached by an ether linkage. Substrates required are di-hydroxy acetone phosphate and acyl CoA.
If alcohol is Choline and Ethanolamine -------- activation of alcohol takes place by CDP. If alcohol is Glycerol and Inositol ------------ activation of Diacylglycerol takes place by CDP.
These are the PL which have sphingosine as their backbone. A long chain F.A attached to the amino group of sphingosine through an amide linkage produces a ceramide. The alcohol group at C1 of sphingosine is esterified to choline through a phosphate group and produces sphingomyelin.
Palmitoyl CoA condenses with Serine. It is an NADPH requiring reaction and results in the formation of Sphinganine. A long chain fatty acid attaches to its amino group and forms a ceramide. Phosphatidylcholine transfers its phosphorylcholine to the ceramide , thus producing Sphingomyelin.
Degradation of glycerophospholipids -------- Phospholipases Degradation of sphingomyelin ------ Sphingomyelinase
Degradation of phosphoglycerides is achieved by the hydrolysis of phosphodiester bonds by phospholipases. Phospholipases remove one fatty acid from C1 or C2 and form lysophosphoglyceride. Lysophospholipases act upon lysophosphoglycerides.
Products of glycerophospholipid degradation are :- Glycerol Fatty acids Phosphate Alcohols
Phospholipase A1:- -found in many mammalian tissues. -removes fatty acid from C1 Phospholipase A2:- -found in many tissues and pancreatic juice  -removes F.A at C2 -when acts on PI, releases arachidonic acid -inhibited by glucocorticoids
Phospholipase C:- - cleaves phosphate group at C3 - found in liver lysosomes and some bacteria - role in producing second messengers. Phospholipase D:- - found primarily in plant tissues. - removes the compound with alcohol group on C3
Enzyme is Sphingomyelinase,  a lysosomal enzyme. It removes phosphorylcholine hydrolytically and ceramide is produced. Ceramide is cleaved by ceramidase and leaves behind sphingosine and a free fatty acid. Sphingosine and ceramide act as intracellular messengers.
Carbohydrate and lipid components Derivatives of ceramide Essential components of all membranes, greatest amount in nerve tissue Interact with the extracellular environment No phospholipid but oligo or mono-saccharide attached to ceramide by O-glycosidic bond.
Neutral glycosphingolipids :- -  cerebrosides -  Globosides Acidic glycosphingolipids:- - Ganglioside - Sulfatides
Site – golgi apparatus Subtrates – Ceramide,  sugar activated by UDP Galactocerobrosides – Ceramide + UDP- galactose Glucocerebrosides – Ceramide + UDP – glucose Enzymes – Glycosyl transferases
Gangliosides --- ceramide + two or more UDP- sugars react together to form Globoside.  NANA combines with globoside to form Ganglioside. Sulfatides ----- galactocerebroside gets a sulphate group from a sulphate carrier with the  help of sulfotransferase and forms a sulfatide.
Done by lysosomal enzymes Different enzymes act on specific bonds hydrolytically ---- the groups added last are acted first.
Lipid storage diseases Accumulation of sphingolipids in lysosomes Partial or total absence of a specific hydrolase Autosomal recessive disorders
Gaucher disease:- - most common lysosomal storage disease - accumulation of glucocerebrosides - enlargement of liver and spleen - osteoprosis of long bones - CNS involvement in infants
Krebbe disease:- - accumulation of galactocerebrosides - mental and motor function defect - blindness and deafness - loss of myelin
Farber disease:- - accumulation of ceramide - joints and skin involvement Niemann pick disease:- - accumulation of sphingomyelin - liver and spleen enlargement - neuronal degeneration
Fabry disease:- - accumulation of globosides - skin rash - kidney and heart failure - burning pain in legs
Tay Sach’s disease:- - accumulation of GM2 gangliosides - neuronal degeneration - eye involvement - muscular weakness - seizures
Sandhoff’s disease:- - accumulation of GM2 and globosides - neurological and visceral involvement GM1 Gangliosidosis Metachromatic Leukodystrophy - sulfatide accumulation
 
Prostaglandins, leukotrienes and thromboxanes ---- eicosanoids. Originate from polyunsatyrated fatty acids with 20 carbons. Physiologic and pathologic roles. Produced in small amounts by almost all tissues , act locally , very short half life.
Linoleic acid is the dietary precursor of PGs. Arachidonic acid is formed by elongation and desaturation of linoleic acid. Membrane bound phospholipids contain arachidonic acid. Phospholipase A2 causes the release of arachidonic acid from membrane phospholipids.
Arachidonic acid undergoes oxidative cyclization to form PGH2. Enzyme is PGH Synthase-- two catalytic activities –--- fatty acid cyclooxygenase and peroxidase PGH synthase has two isoenzymes  - COX 1 ----- made in most tissues. Causes synthesis of PG with physiologic functions . - -COX2 ---- induced in some tissues in pathological conditions.
 
PGs formed through COX1 pathway :- - PGG2 is the first PG formed which is converted into PGH2 by peroxidase. PGH2 is then converted by different enzymes into ;- - Thromboxane A2 - PGI2 ( prostacyclins ) - PGF2 alpha - PGE2 Through COX2 ----- PGG2 is formed.
Cortisol ---- a steroid hormone with anti-inflammatory effects. It inhibits phospholipase activity due to which arachidonic acid is not available and no PGs can be formed. Non- steroidal anti-inflammatory drugs e.g Aspirin, Indomethacin , Phenylbutazone, inhibit COX1 and COX2, thus no PGH2.
Phospholipase A2 is stimulated by trauma and hypoxia. Cyclooxygenase 2 is stimulated by  - cytokines - endotoxins - growth factors - tumor promotors
PGs bind to specific receptors on plasma membrane of target cells This causes changes in concentration of Second Messengers which mediate the biological effects. These second messengers may be  - cyclic AMP - calcium - cyclic GMP
 
Leukotrienes are linear hydroperoxy acids. Mediators of allergic response and inflamm. Synthesized by a separate pathway from Arachidonic acid in leukocytes, macrophages and mast cells. Involves a family of enzymes --- lipoxygenases. Neutrophils contain 5- lipoxygenase
5-lipoxygenase converts Arachidonic acid into 5-HPETE. 5-HPETE is then converted into different leukotrienes. First formed is LTA4 which is then converted into LTC4 which forms LTD4 which forms  LTE4. LTA4 also gets converted into LTB4.
 
LTC4, LTD4, LTE4 cause contraction of smooth muscles and cause bronchospasm. Important role in asthma. LTB4 has role in inflammation and release of lysosomal enzymes.
 
A steroid alcohol of animal tissues. Consists of four fused hydrocarbon rings. Three phenanthrene rings and one cyclopentane ring. Called a sterol --- OH group at carbon no.3, no carboxyl group, contains a hydro- carbon tail ( 8 carbons ) at C 17. Ester form– a fatty acid at OH group at C3. Great physiological and clinical importance.
 
Site--- synthesized in almost all tissues in the body. Liver is the major organ for synthesis.  Cellular site ---- cytoplasm as the enzymes involved are in cytosol and membrane of endoplasmic reticulum. Source of carbon atoms --- acetate Source of reducing equivalents ---- NADPH Source of energy ---- high energy bonds of acetyl CoA and ATP.
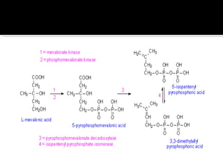
Six major steps:- I- HMGCoA from acetyl CoA.  II-mevalonate (6C) from acetyl CoA. III - isoprenoid units (5C) from mevalonate -- building blocks of steroids. IV - squalene (30 C ) by condensation of 6 isoprenoid units. V- Lanosterol by cyclization of squalene. VI- cholesterol from lanosterol.
Condensation of two acetyl CoA molecules to form acetoacetyl CoA. Enzyme is Thiolase. Addition of another acetyl CoA to form HMGCoA …. A 6 Carbon compound. Enzyme is HMGCoA synthase ( the cytosolic isoenzyme ).
Formed by the reduction of HMGCoA. Enzyme --- HMGCoA reductase. In cytosol. Uses NADPH . Irreversible as CoA is released. Most important, Rate-limiting and the key regulated step in cholesterol synthesis.
 
Mevalonate is phosphorylated twice by ATP to form 5-pyrophosphomevalonate. Enzyme is Kinase. When PO4 and the nearby carboxyl group leave 5-PPM, it results  in the formation of Isopentenyl pyrophosphate (IPP). It is a 5 carbon isoprenoid unit with a double bond. IPP undergoes isomerization to form Dimethyl allyl pyrophosphate-- DPP (5C)… second isoprene.
 
IPP and DPP condense to form 10 carbon compound Geranyl Pyrophosphate – GPP  (10 C ). Enzyme is transferase.  GPP condenses with one more IPP to form a 15 C compound --- Farnesyl Pyrophosphate ----- FPP. Enzyme is transferase. Two FPP condense, releasing pyrophosphate, and form Squalene--- 30 C compound. 18 ATPs are used in this process of squlene synthesis from isoprenes.
Squalene monooxygenase adds an oxygen atom to Squqlene. NADPH reduces this oxygen atom and results in the addition of an OH group at C3 . Hydroxylation of OH group to squalene triggers the cyclization of Squalene and forms Lanostreol. Enzyme is cyclase. Lanosterol is the four ringed structure--- first sterol.
 
Lanosterol is converted to Cholesterol by a series of 20 reactions. During these reactions carbon chain is shortened from 30 carbons to 27 carbons. Removal of methyl groups at C4  migration of double bond from C8 to C5. Reduction of double bond between C24 and C25.
 
Cholesterol synthesis has to be tightly regulated as the imbalance between synthesis/intake and utilization leads to accumulation of cholesterol in blood vessels which have serious consequences ---- atherosclerosis. HMGCoA reductase is the rate limiting enzyme and it is the major control point for cholesterol synthesis.
1- Intracellular cholesterol levels:- I/C cholesterol levels bring changes in the HMGCoA reductase activity. Synthesis of this enzyme can be increased by the transcription of the gene that encodes HMGCoA reductase.  Transcription takes place by the amino terminal ( SRE )of a protein called SREBP. .
SREBP lies in ER membrane and is in complex with a protein called SREBP- cleavage activating protein ( SCAP). SCAP acts as cholesterol sensor. When cholesterol level is high in the cell, SREBP remains within ER membrane with SCAP and is inactive. When cholesterol level decreases, this complex is released and goes to Golgi app.
In Golgi , SREBP is acted upon by proteases. This causes the release of the SRE from the SREBP and this SRE can enter the nucleus. SRE causes transcription of the gene encoding HMGCoA reductase. Synthesis of the enzyme is increased and leads to more cholesterol synthesis.
2- Regulation by cyclic AMP:- Covalent regulation. Done through phosphorylation  of HMGCoA Reductase by cAMP activated protein kinase (AMPK ). Phosphorylated form of the enzyme is inactive. 3- Regulation by Phosphoprotein phosphatase;-  It causes dephosphorylation of the inactive form of enzyme and activates it.
4- Regulation by hormones:- - Insulin---- increases HMGCoA reductase activity and thus increases cholesterol synthesis. - Glucagon---- decreases the enzyme and thus decreases cholesterol synthesis. 5- Cholesterol intake through diet decreases hepatic synthesis of cholesterol by reducing activity of the enzyme while intake of saturated fats increase its synthesis.
6- Inhibition by drugs:- The statin drugs (simvastatin) resemble HMGCoA in structure. They act as competitive inhibitors of HMGCoA reductase and decrease blood cholesterol levels.
Conversion to bile acids and bile salts which are then excreted in feces. Secreted in bile, taken to intestines and then excreted. Conversion to neutral sterols by bacteria in intestines and then excreted. Synthesis of Vit. D . Synthesis of steroid hormones.
Major part is in esterified form and is transporeted in lipoproteins. Highest amount of circulating cholesterol is in the form of LDL which takes cholesterol from liver to all the tissues.
In adults , normal level is  150– 200 mg/100 ml Risk of developing cardiovascular diseases increases when the level is above 200mg/100 ml.
Primary Hypercholesterolemia:- - genetic absence or deficiency of LDL receptors. - decreased entery of LDL in target tissues. - raised plasma LDL levels which means raised plasma cholesterol. - increased incidence of ischemic heart disease and nodules form in skin called xanthomas.
Secondary Hypercholesterolemia:- Primary hypothyroidism Diabetes mellitus Nephrotic syndrome Cholestasis Drugs Raised plasma free fatty acids
 
Composed of neutral lipid core ( TAG and cholesterol esters ) Shell of amphipathic apolipoproteins, phospholipid and unesterified cholesterol. Soluble in aqueous medium Separated from each other by electrophoresis or by ultracentrifugation.
On the basis of density ;- - chylomicrons - VLDL - LDL - HDL On electrophoresis–  - chylomicrons at origin - LDL (beta lipoproteins) - VLDL ( pre-beta lipoproteins)  -HDL ( alpha lipoproteins)
Serve very important functions - recognition site for cell-surface receptors - activators or coenzymes for enzymes of lipoprotein metabolism - some are essential structural component of the lipoprotein particle - transfer between different types of lipoproteins and bring about changes. - Classes from A to E. Some have sub classes.
Assembled in intestinal mucosal cells. Contains about 90% TAG Its apoprotein is apo B-48 which is synthesized in RER. These nascent chylomicrons are released in blood through lymphatic system. In plasma it receives from HDL two more apopreoteins i.e apo C-II and apo-E.
Apo C-II activates the enzyme Lipoprotein lipase, located on the capillary walls. Lipoprotein lipase degrades TAG in chylomicrons and forms free fatty acids and glycerol. Synthesis of this enzyme is increased by insulin ( fed state ). During starvation activity declines in adipocytes while increases in cardiac muscles.
Degradation of TAG leads to decrease in the size of chylomicron particles and increases its density. apoC-II is returned to HDL leaving behind chylomicron remnant which has apoE and apoB48. Liver cells recognize apoE and rapidly take up chylomicron remnants.
In liver cells they are acted upon by lysosomal enzymes and degradation of all the components take place , releasing amino acids, free cholesterol and fatty acids. The receptor is recycled.
60% TAG --- carry from liver to the peripheral tissues --- imbalance results in fatty liver.  20% cholesterol and its esters.  Produced in liver – contain apoB 100 In blood acquire apoC-II and apo E from HDL. apoC-II activates lipoprotein lipase Degradation of TAG causes a decrease in the size of VLDL and increases its density. apoC and apoE are returned to HDL
apoB-100 remains on the particles. An exchange of lipids takes place between VLDL and HDL------ VLDL gives some TAG to HDL and gets some cholesterol esters from HDL. Cholesterol ester transfer protein helps in this exchange. These modifications result in the formation of IDL --- transient state IDL is converted to LDL very rapidly. Some IDL can be taken up by liver directly.
Composed of 50% Cholesterol and its esters and only 8% TAG, 20% protein. It has highest cholesterol content. Formed in circulation by the degradation and modification of VLDL. Smaller diameter and higher density as compared to VLDL and IDL. Function is to provide cholesterol to the peripheral tissues .
Uptake of LDL into the cells takes place through LDL receptors on the cell surface membrane. LDL receptors recognize apo B-100 on the surface of LDL particles. LDL receptors are glycoproteins in nature, clustered in pits on cell membranes. A protein, Clathrin, coats the intracellular side of the pit and stabilizes its shape.
LDL particles bind with the receptor. The LDL and the receptor form a complex. This complex  goes inside the cell by endocytosis of these vesicles. Endosomes are formed by the fusion of many LDL containing vesicles. The receptors get separated from LDL and go back to the cell surface pits. LDL particles get inside the lysosomes.
Lysosomal enzymes degrade LDL contents by hydrolysis. There is release of free cholesterol, amino acids, fatty acids and phospholipids.
Cholesterol derived by the degradation of chylomocrons, IDL and LDL increases cholesterol level in cell and decreases activity of HMGCoA reductase. High cholesterol in cell also inhibits the synthesis of LDL receptors by decreasing the expression of LDL receptor gene, so that no more LDL- cholesterol enters the cells.
If the cholesterol in the cell derived from the lipoproteins is not immediately used for structural and synthetic purposes, it is converted into esterified form and then stored in the cell. Enzyme for this esterification is Acyl CoA-cholesterol acyltransferase ( ACAT ). Activity of ACAT is increased by free cholesterol.
 
Highest protein content i.e 40%,  30% phospholipid,  only 25% cholesterol. Synthesized in liver and intestines. Contains  apo A 1, apo A II, apo C II, apo E. Smallest size highest density.
Newly synthesized HDL is disc shaped and contains cholesterol, PL, apo-A and apo-E. It interacts with chylomicra remnants and acquires cholesterol. It converts free cholesterol into its esterified form with the help of plasma enzyme LCAT. This makes HDL3 .
HDL3 removes free cholesterol from membranes and other tissues. Again LCAT gets into action and HDL2 is formed which has higher content of cholesterol esters. HDL2 transfers cholesterol esters to VLDL and receives TAG from VLDL.
Transfers apoproteins to other lipoproteins. Takes up lipids from other lipoproteins e.g VLDL. Takes up unesterified cholesterol from other lipoproteins and cell membranes. Converts free cholesterol into its esterified form with the help of plasma enzyme Lecithin-cholesterol acyltransferase (LCAT). LCAT is activated by apo A1.
HDL transfers cholesterol esters to other lipoproteins and also carries cholesterol  to liver for bile acid synthesis , excretion via bile and hormone synthesis. This is called “Reverse cholesterol transport”. Uptake of HDL2 by liver takes place through SR-B1 receptors. It is also called “Good cholesterol”.
 
A- PRIMARY HYPERLIPOPROTEINEMIAS;- 1-Type-I: Familial lipoprotein lipase deficiency:- -hypertriglyceridemia  - hyperchylomicronemia--- creamy layer forms on the top of plasma on stagnation. - high VLDL -low LDL and low HDL
2-Type II: Familial Hypercholesterolemia:- - a common disorder - deficiency of LDL receptors and increased cholesterol synthesis - high LDL level - increased incidence of atherosclerosis and cardiovascular diseases.
3- Type III: Familial dys-beta-lipoproteinemia:- -high levels of LDL, VLDL and IDL.  - hypercholesterolemia---- atherosclerosis - defective form of apo E cannot bind to receptors---- chylomicrons and IDL cannot be cleared.
4- Type IV- Familial Hypertriglyceridemia:- - increased endogenous synthesis of TAG - high VLDL level 5- Combined Hyperlipidemias:- - raised cholesterol and TAG - high levels of chylomicrons and VLDL
6- Wolman’s disease :- - deficiency of enzyme cholesterol ester hydrolase in lysososmes - cholesterol ester storage
1- Abetalipoprotenemia:- - defect in synthesis of apo-B - low LDL and low cholesterol - no synthesis of chylomicrons and VLDL, low TAG 2- Familial alpha lipoprotein deficiency:- - low apo A  - low HDL - accumulation of cholesterol esters in tissues

Lipid metabolism

  • 1.
  • 2.
    A- PROCESSING OFDIETARY LIPIDS IN STOMACH:- Lipid digestion begins in the stomach by -LINGUAL LIPASE --- acid stable. Primary target ----- fatty acids of short or medium chain length ( milk fat ). -GASTRIC LIPASE ----- acid stable. Both enzymes ---- optimum pH 4 to 6 Particular importance in neonates and in patients with pancreatic insufficiency.
  • 3.
    CYSTIC FIBROSIS:-An autosomal recessive disorder Prevalence of 1:3,000 births Cause ; decreased secretion of chloride and increased reabsorption of water due to defect in the transmembrane conductance regulator protein. Result is thickened secretions of glands. In pancreas ---- pancreatic insufficiency
  • 4.
    Emulsification increases thesurface area of the hydrophobic fat droplets so that digestive enzymes can act effectively. Site is duodenum Done by - peristalsis---- mechanical mixing - Bile salts ---- detergent properties as they decrease the surface tension and cause fat emulsification.
  • 5.
    Pancreatic enzymes degrade---- TAG, cholesteryl esters and phospholipids. 1- Degradation of TAG:- - Pancreatic Lipase ---- removes fatty acids at carbon 1 and 3 and forms 2-monoacylglycerol and free fatty acids
  • 6.
    2- Degradation ofcholesteryl esters:- Cholesteryl estrase produces cholesterol and free fatty acids. Activity is increased in presence of Bile salts. 3- Degradation of Phospholipids :- Phospholipase A2 in proenzyme form, activated by Trypsin, requires bile salts for activity. Removes one fatty acid from carbon 2 of a phospholipid lysophospholipid. Lysophospholipase removes fatty acid at carbon 1 and forms glycerylphosphoryl base that is excreted, degraded or absorbed.
  • 7.
  • 8.
    Hormonal control Cholecystokininsite of release ------released in blood from jejunum and lower duodenum in response to lipids and partially digested proteins entering small intestines. Actions ; -Gall bladder------- contraction and release of bile - Pancreatic exocrine cells ------ release of digestive enzymes - Decreases gastric motility
  • 9.
    Secretin site -released in blood from other intestinal cells - in response to low pH of chyme Actions; - release of a watery solution by pancreas and liver, high in bicarbonate ------ appropriate pH for action of pancreatic enzymes.
  • 10.
  • 11.
    Jejunum gets ----free fatty acids free cholesterol 2-monoacylglycerol Combine with bile and fat soluble vitamins Formation of micelles ---- soluble in aqueous intestinal environment, absorbed at the brush border of enterocytes . Fatty acids with short and medium chain length do not need micelles for absorption.
  • 12.
    Absorbed lipids moveto endoplasmic reticulum long chain fatty acids converted to fatty acyl coA by fatty acyl Co A synthetase . 2-monoacylglycerols use fatty acyl CoA and converted to TAG by TAG Synthase.--- Acyltransferases Reacylation of lysophospholipids caused by acyltransferases forms phospholipids. Cholesteryl ester formation by Acyl CoA:cholesteryl acyltransferase. Free fatty acids with short and medium chains are released into portal circulation.
  • 13.
    Steatorrhea ----- increasedlipid and fat soluble vitamin excretion in feces. Caused by defects in lipid digestion and/or lipid absorption
  • 14.
  • 15.
    Formation of Chylomicrons:- Aggregates of TAG and cholesteryl esters are formed, surrounded by a thin layer phospholipids free cholesterol and special protein Apolipoprotein B-48 Chylomicrons are released into lacteals by exocytosis. After a lipid rich meal , lymph is called chyle. From lymph, chylomicrons finally enter blood.
  • 16.
  • 17.
    In capillaries oftissues TAG in chylomicrons degraded into free fatty acids and glycerol. Enzyme lipoprotein lipase, formed mainly by adipocytes and muscle cells. Fate of free fatty acids ---- direct entry into muscle cells or adipocytes. Used for energy production or reesterify to form TAG in adipocytes. Free fatty acids may be transported in blood with albumin.
  • 18.
    Fate of Glycerol---- used by liver to form glycerol 3- phosphate which can enter glycolysis or gluconeogenesis. Fate of the remaining Chylomicron components ---- endocytosed by liver and the remnants are hydrolysed to their components.
  • 19.
  • 20.
    Fatty acids aretaken up by cells, where they may serve as -precursors in the synthesis of other compounds, - as fuels for energy production, and -as substrates for ketone body synthesis. Ketones bodies may then be exported to other tissues, where they can be used for energy production. In addition, some cells synthesize fatty acids for storage or export.
  • 21.
  • 22.
    Intermediates in Syntheticprocesses Fatty acids are intermediates in the synthesis of other important compounds. Examples include: Phospholipids (in membranes). Eicosanoids, including prostaglandins and leucotrienes, which play a role in physiological regulation.   Energy - Fats are an important source of dietary calories. Typically 30-40% of calories in the American diet are from fat. - Fat is the major form of energy storage.
  • 23.
    Precursors of AcetylCoA Acetyl CoA is at the center of lipid metabolism. It is produced from: Fatty acids Glucose (through pyruvate) Amino acids Ketone bodies Products of Acetyl CoA Metabolism It can be converted to fatty acids, which in turn give rise to: triglycerides (triacylglycerols) phospholipids eicosanoids (e.g., prostaglandins) ketone bodies It is the precursor of cholesterol, which can be converted to: steroid hormones bile acids It produces energy , generated by the complete oxidation of acetyl CoA to carbon dioxide and water through the tricarboxylic acid cycle and oxidative phosphorylation.
  • 24.
  • 25.
    Structure of AcetylCoA The structure of Acetyl CoA consists of two parts. 1.  Acetyl group 2.  Coenzyme A - Beta-mercaptoethylamine - Pantothenic acid (not synthesized in man -- an essential nutrient) - Phosphate - 3', 5'-adenosine diphosphate
  • 26.
  • 27.
      Fatty acidsynthesis is the process of combining eight two-carbon fragments (acetyl groups from acetyl CoA) to form a 16-carbon saturated fatty acid, palmitate. Palmitate can then be modified to give rise to the other fatty acids. These modifications may include: -chain elongation to give longer fatty acids, such as the 18-carbon stearate. -Desaturation , giving unsaturated fatty acids.
  • 28.
    Tissue locations Fattyacid synthesis occurs primarily in : liver Adipose tissue (fat) lactating mammary glands
  • 29.
    Sum of thereactions; 8 acetyl CoA + 7 ATP + 14 (NADPH + H + ) -> palmitate + 8 CoA + 7 (ADP + P i ) + 14 NADP + + 6 H 2 O This is the overall process for fatty acid synthesis. Acetyl CoA for fatty acid synthesis comes mostly from glycolytic breakdown of glucose.
  • 30.
  • 31.
    Glucose is firstdegraded to pyruvate by aerobic glycolysis in the cytoplasm. Pyruvate is then transported into the mitochondria, where its oxidation forms mitochondrial acetyl CoA and other products. Also formed by catabolism of fatty acids, ketone bodies and certain amino acids. Acetyl CoA can then serve as a substrate for citrate synthesis. Citrate, in turn, can be transported out of the mitochondria to the cytoplasm (where fatty acid synthesis occurs), and there split to generate cytoplasmic acetyl CoA for fatty acid synthesis. Enzyme is ATP Citrate Lyase.
  • 32.
  • 33.
      Enzymes andIsolated Reactions Acetyl CoA carboxylase catalyzes the reaction: acetyl CoA + HCO 3 - + ATP -> malonyl CoA + ADP + P i
  • 34.
    Acetyl CoA carboxylasethree important features. 1-It contains the prosthetic group, biotin. The enzyme, using its biotin prosthetic group as a carrier, transfers CO 2 from bicarbonate to the acetyl group. Biotin is not synthesized in humans, and is an essential nutrient.
  • 35.
    2-The carboxylation reactionis driven to completion by hydrolysis of ATP. 3-The enzyme catalyzes the rate-limiting reaction for fatty acid synthesis, and is under tight short-term control. DOWN REGULATION --- long chain fatty acyl coA (end product) , Phosphorylation of enzyme caused by glucagon , protein kinase activated by AMP UP REGULATION ----- Citrate (allosteric), dephosphorylation of enzyme caused by insulin, high caloric food
  • 36.
    To summarize, itis controlled allosterically ----citrate, fatty acyl CoA and by covalent modification-------- phosphorylation/dephosphorylation of Enzymes
  • 37.
    Multifunctional, dimericEach monomer with seven different enzymic activities plus a domain that binds a molecule of phosphopantetheine. Phosphopantetheine has a terminal SH group. This binding domain is referred to as ACP.
  • 38.
    1-In the first reaction a molecule of acetate is transferred from acetyl CoA to SH group of the ACP. ----- transacylase 2- This two carbon fragment is shifted to SH group of cysteine residue. 3- ACP is vacant and accepts a three carbon malonate unit from malonyl CoA. ---- transacylase
  • 39.
    4- The acetylgroup is transferred to malonyl group with the release of carbon dioxide. This results in a four carbon unit attached to the ACP domain. 5- The keto group is reduced to an alcohol. 6- A molecule of water is removed to add a double bond between C 2 and C 3. 7-The double bond is reduced.
  • 40.
    In the seventhreaction the double bond is reduced by NADPH, yielding a saturated fatty acyl group two carbons longer than the initial one (an acetyl group was converted to a butyryl group in this case): 2-butenoyl-ACP + NADPH + H + -> butyryl-ACP + NADP + The butyryl group is then transferred from the ACP sulfhydryl group to the CE sulfhydryl:
  • 41.
    The butyryl groupis now ready to condense with a new malonyl group to repeat the process. Each time a two carbon unit is added into the growing fatty acid chain at the carboxyl end . When the fatty acyl group becomes 16 carbons long, a thioesterase activity cleaves the thioester bond, forming free palmitate .
  • 42.
    Fatty acid synthetaseis essential, but not rate-limiting, for fatty acid synthesis. It is not subject to short term control .
  • 43.
    HMP pathway Cytosolicconversion of malate to pyruvate
  • 44.
    The palmitate producedby fatty acid synthase is typically modified to give rise to the other fatty acids. Fatty acids from dietary sources, too, are often modified. These modifications may include: -chain elongation to give longer fatty acids -desaturation, giving unsaturated fatty acids.
  • 45.
    Elongation can occurin most tissues; the process differs in the endoplasmic reticulum vs. the mitochondria. Elongation: Fatty Acid Synthesis in the Endoplasmic Reticulum In endoplasmic reticulum malonyl CoA combines with long chain fatty acyl CoA to form fatty acyl CoA lenghthened by two carbons.
  • 46.
    Mitochondrial elongation: aminor process, uses acetyl CoA for chain elongation.
  • 47.
    In endoplasmic reticulumAddition of cis double bonds Use of enzyme Desaturases In humans there are four types of distinct desaturases ----------- for carbon 9, 6, 5 and 4. Double bonds cannot be added from C10 to omega end of the chain. This is the reason of nutritional essentiality of linoleic and linolenic acids.
  • 48.
    1- Pyruvate isproduced in glycolysis and is used for the synthesis of mito. Acetyl CoA. 2- Mitochondrial oxaloacetate is produced in the first step of gluconeogenesis. 3- Formation of citrate is the first step in TCA cycle. 4- NADH is produced during glycolysis and this NADH causes reduction of NADP to NADPH which is used for palmitoyl CoA synthesis.
  • 49.
    Site of fattyacid synthesis ----- liver Starts after a meal rich in carbohydrates Carbons for fatty acid synthesis provided by acetyl CoA Energy provided by ATP Reducing equivaqlents provided by NADPH
  • 50.
    Glycerol + threefatty acids Fatty acids esterified through carboxyl groups resulting in loss of negative charge and thus called Neutral Fats. Low solubility in water Stored in cytosole of adipocytes
  • 51.
    1- Synthesis ofglycerol phosphate 2- Formation of fatty acyl CoA 3- Formation of a molecule of TAG
  • 52.
    Sites ---- liver ( primary site ) and adipose tissue In both liver and adipose tissue , during glycolysis , glucose is converted Dihydroxy acetone phosphate. DHAP is reduced to glycerol phosphate with the help of enzyme Glycerol phosphate dehydrogenase.
  • 53.
    In liver ----free glycerol coming to liver is converted to glycerol phosphate by enzyme Glycerol kinase. In liver this process depends on supply of glucose. In adipose tissue glucose uptake is insulin dependent as it has GLUT-4 receptors . Low glucose--- low insulin ----- no synthesis of TAG in adipocytes.
  • 54.
  • 55.
    Long chain fattyacids are converted to fatty acyl CoA . Enzyme required is Fatty acyl CoA synthase. Fatty acyl CoA participates in TAG synthesis.
  • 56.
    Glycerol phosphate combineswith a fatty acyl CoA and forms Lysophosphatidic acid. Enzyme is Acyltransferase which removes CoA. Lysophosphatidic acid combines with the second fatty acyl CoA to form DAG phosphate. Enzyme is Acyltransferase. Phosphatase removes phosphate and forms DAG. DAG combines with the third fatty acyl CoA and forms TAG.
  • 57.
    Adipose tissue ----TAG stored in cytosol Liver --- very little stored. Exported out of liver in VLDL , which exports endogenous lipids to peripheral tissues. TAG --- stores of energy ---- energy yield from complete oxidation of fatty acid to carbon dioxide and water is 9 kcal/g of fat.
  • 58.
    TAG from diet-----absorbed from intestines ------ transported as chylomicrons TAG from liver ------ transported as VLDL FFA in circulation ----- transported with albumin
  • 59.
    Breakdown of TAG------ Lipolysis Caused by ---- Hormone sensitive Lipase There are three adipolytic lipases 1- Hormone sensitive lipase 2- Diacyl glycerol lipase 3- Monoacyl glycerol lipase
  • 60.
    Located in thewalls of blood capillaries i.n inactive form. It is activated by phosphorylation Phosphorylation is caused by ------------- cAMP Dependent Protein Kinase
  • 61.
    Catecholamines ---- epinephrineand norepinephrine Glucagon Growth hormone Glucocorticoids These hormones bind to receptors on cell membrane in adipocytes and activate Adenylyl Cyclase which produces cAMP and Protein kinase is activated.
  • 62.
    Insulin ------ causesdephosphorylation of Hormone sensitive lipase. This effect is achieved by ------- decreased levels of cAMP and increased levels of Phosphatase enzyme. High glucose level---- high insulin ----- decreased lipolysis.
  • 63.
  • 64.
    Phosphorylation causedby hormones - inhibits Acetyl CoA carboxylase - activates cAMP mediated cascade Therefore Fatty acid synthesis is turned off and TAG degradation is turned on
  • 65.
    Not utilized inadipocytes Transported to liver through blood In liver it is phosphorylated to synthesize TAG It can be converted back to DHAP which can take part in Glycolysis and Gluconeogenesis.
  • 66.
    Breakdown of TAGreleases free or unesterified fatty acids Transported in plasma bound with albumin Enter into cells In cells activated and oxidised to form energy Plasma Free Fatty acids cannot be used by Erythrocytes as they have no mitochondria. Free Fatty acids cannot cross blood brain barrier -- not a source of energy for brain.
  • 67.
    Pathway for catabolismof saturated fatty acids Site--- mitochondria Two-carbon fragments are successively removed from carboxyl end of fatty acyl CoA producing acetyl CoA, NADH and FADH2.
  • 68.
    Fatty acids insidethe cell must be activated before proceeding through metabolism. Activation consists of conversion of the nonesterified fatty acid to its CoA derivative. The faty acyl CoA may then be transported into the mitochondrion for energy production. Transport across the mitochondrial membrane requires a carrier.
  • 69.
    Beta oxidation occursin mitochondrial matrix Mitochondrial membrane is impermeable to CoA Specialized carrier is required to transport long chain acyl groups from cytosol to mitochondria This carrier is CARNITINE It is a rate-limiting transport process and is called CARNITINE SHUTTLE.
  • 70.
    1-In the intermembranespace of the mitochondria, fatty acyl CoA reacts with carnitine in a reaction catalyzed by carnitine acyltransferase I (CAT-I), yielding CoA and fatty acyl carnitine. The resulting acyl carnitine crosses the inner mitochondrial membrane.
  • 71.
    CAT-I is associatedwith the outer mitochondrial membrane. CAT-I reaction is rate-limiting; The enzyme is allosterically inhibited by malonyl CoA. Malonyl CoA concentration would be high during fatty acid synthesis. Inhibition of CAT-I by malonyl CoA prevents simultaneous synthesis and degradation of fatty acids.
  • 72.
    2-Fatty acyl carnitineis transported across the inner mitochondrial membrane in exchange for carnitine by carnitine-acylcarnitine translocase. In the mitochondrial matrix fatty acyl carnitine reacts with CoA in a reaction catalyzed by carnitine acyltransferase II (CAT-II), yielding fatty acyl CoA and carnitine. The fatty acyl CoA is now ready to undergo beta-oxidation.
  • 73.
  • 74.
    Diet- meat productsCan be synthesized in liver and kidney from amino acids lysine and methionine. Skeletal and heart muscles cannot synthesize carnitine and depend on diet or endogenous synthesis.
  • 75.
    PRIMARY CAUSES:- -Genetic CAT-I deficiency --- mainly affects liver. Liver cannot synthesize glucose in a fast , results in hypoglycemia, coma and death. - CAT-II deficiency ---- mainly affects skeletal and cardiac muscles. -Defect in renal tubular reabsorption of carnitine. - Defect in carnitine uptake by cells.
  • 76.
    SECONDARY CAUSES :--- -liver diseases----- decreased endogenous synthesis. - malnutrition or strict vegetarian diet - increased metabolic demands - hemodialysis
  • 77.
    Carnitine and CATsystem not required for fatty acids shorter than 12 carbon length. They are activated to their CoA form inside mitochondrial matrix. Not inhibited by malonyl CoA.
  • 78.
    Beta-oxidation is theprocess by which long chain fatty acyl CoA is degraded. The products of beta-oxidation are: acetyl CoA FADH 2 , NADH and H +
  • 79.
    There are fourindividual reactions of beta-oxidation, each catalyzed by a separate enzyme. 1-Dehydrogenation between carbon 2 and 3 in a FAD-linked reaction. Enzyme is acyl CoA dehydrogenase. 2-Hydration of the double bond by enoyl CoA hydratase.
  • 80.
    3-A second dehydrogenationin a NAD-linked reaction. Enzyme is 3-hydroxyacyl CoA dehydrogenase. 4-Thiolytic cleavage of the thioester by beta-ketoacyl CoA thiolase. This sequence of four steps is repeated until the fatty acyl chain is completely degraded to acetyl CoA
  • 81.
  • 82.
    Long chain fattyacyl CoA dehydrogenase (LCAD) acts on chains greater than C12. Medium chain fatty acyl CoA dehydrogenase (MCAD) acts on chains of C6 to C12. Short chain fatty acyl CoA dehydrogenase (SCAD) acts on chains of C4 to C6. MCAD deficiency is thought to be one of the most common inborn errors of metabolism.
  • 83.
    The products areacetyl CoA and a long chain fatty acyl CoA that is two carbons shorter than the original fatty acyl CoA. The shortened fatty acyl group is now ready for another round of beta-oxidation. After the fatty acyl CoA has been reduced to acetyl or propionyl CoA, beta-oxidation is complete.
  • 84.
    Fate of acetylCoA - Oxidation by the citric acid cycle to CO 2 and H 2 O. -In liver only, acetyl CoA may be used for ketone body synthesis. Fate of the FADH 2 and NADH + H + - FADH 2 and NADH + H + are oxidized by the mitochondrial electron transport system, yielding ATP.
  • 85.
    Beta-oxidation is regulatedas a whole primarily by fatty acid availability; once fatty acids are in the mitochondria they are oxidized as long as there is adequate NAD + and CoA.
  • 86.
    Oxidation of onemolecule of palmitoyl CoA to CO2 and water produces 8 acetyl CoA 7 NADH 7 FADH2
  • 87.
    7 FADH2 =2X 7 = 14 ATP 7 NADH = 3 X 7 = 21 ATP 8 Acetyl CoA = 12 x 8 = 96 ATP Total ATP = 131 ATP 2 ATP are utilized during the formation of acyl CoA . Therefore net yield is 129 ATP.
  • 88.
  • 89.
    Oxidation of fattyacids with odd number of carbons yield acetyl CoA and one molecule of propionyl CoA ---- a 3 C compound. Propionyl CoA is converted to Methylmalonyl CoA by carboxylase --- a biotin requiring enzyme. MMCoA is moved within the molecule by MMCoA mutase (vit.B12 coenzyme) to form succinyl CoA… gluconeogenic.
  • 90.
    Succinyl CoA entersTCA cycle and then yields energy. Deficiency of vit. B 12 results in urinary excretion of propionate and methylmalonate as mutase enzyme cannot function.
  • 91.
  • 92.
  • 93.
    Less energy yieldLess formation of reducing equivalents as unsaturated F.A are not highly reduced. The action of enoyl CoA isomerase is required to handle double bonds at odd-numbered carbons because beta-oxidation requires pre-existing double bonds at even-numbered carbons.
  • 94.
    If there isa double bond at an odd-numbered carbon (e.g., 18:1 9 ), the action of enoyl CoA isomerase is required to move the naturally occurring cis- bond and convert it to the trans- bond used in beta-oxidation. The product, with a trans- double bond, is a substrate for enoyl CoA hydratase, the second enzyme of beta-oxidation.
  • 95.
    In case ofpolyunsaturated fatty acids, e.g linoleic acid that is 18:2(9,12), NADPH- dependent Dienoyl CoA Reductase is required in addition to isomerase.
  • 96.
    Fatty acids with20 or more carbons ( VLCFA ) are first oxidized in the peroxisomes. The shortened fatty acid then goes to the mitochondria. The enzyme for initial dehydrogenation is FAD containing Acyl CoA oxidase. H2O2 is produced during the process which is toxic to cells and is therefore converted to H2O by Catalase.
  • 97.
    Zellweger syndrome ----- rare inherited disorder. Absence of peroxisomes. VLCFA cannot be oxidized Accumulation of VLCFA in brain, blood and other tissues like liver and kidney.
  • 98.
    Fatty acids undergooxidation at the carbon atom farthest from the carboxyl carbon ( ω carbon). Oxidation of carbon results in the formation of dicarboxylic acid. This dicarboxylic acid then undergoes beta oxidation.
  • 99.
    This involves hydroxylationat alpha carbon. Seen in branched chain fatty acid, phytanic acid. Phytanic acid has methyl group on beta carbon and therefore it cannot be a substrate for acyl CoA dehydrogenase. Its alpha carbon is first of all hydroxylated by fatty acid alpha hydroxylase.
  • 100.
    Then it isdecarboxylated and activated to its CoA derivative. This CoA derivative undergoes beta oxidation.
  • 101.
    Refsum disease ------genetic disorder. Caused by a deficiency of alpha hydroxylase. There is accumulation of phytanic acid in the plasma and tissues. The symptoms are mainly neurological. Treatment involves dietary restriction of phytanic acid.
  • 102.
  • 103.
    These are thecompounds known as ketone bodies. Notice that beta-hydroxybutyrate is not chemically a ketone. It is considered to be physiologically equivalent to one because beta hydroxybutyrate and acetoacetate are readily interconverted in the body.
  • 104.
    When there isa condition of high rate of fatty acid oxidation, large amounts of acetyl CoA are formed which exceed the oxidative capacity of liver and then liver produces large amounts of compounds ( organic acids ) like acetoacetate and beta hydroxy butyric acid , which pass into blood and then to peripheral tissues where they can be utilized.
  • 105.
    Soluble in aqueoussolution. Skeletal muscles, cardiac muscles, renal cortex and brain can use ketone bodies to get energy.
  • 106.
    Ketone bodies aresynthesized from acetyl CoA. Ketone body synthesis from acetyl CoA occurs in hepatic mitochondria. First, acetoacetate is produced in a three-step process. Acetoacetate can be reduced to beta-hydroxybutyrate. Acetone also arises in small amounts as a biologically inert side product.
  • 107.
    Ketone body productionis regulated primarily by availability of acetyl CoA. If mobilization of fatty acids from adipose tissue is high, hepatic beta-oxidation will occur at a high rate, and so will synthesis of ketone bodies from the resulting acetyl CoA. The rate of ketone body production increases in starvation.
  • 108.
    Synthesis from acetylCoA: Step 1 The first step is formation of acetoacetyl CoA in a reversal of the thiolase step of beta-oxidation.
  • 109.
  • 110.
    Step 2 Inthe second step, a third molecule of acetyl CoA condenses with the acetoacetyl CoA, forming 3-hydroxy-3-methylglutaryl CoA (HMG CoA) in a reaction catalyzed by HMG CoA synthase… present only in liver. HMG CoA Synthase is the rate limiting enzyme for ketogenesis.
  • 111.
  • 112.
    Step 3 Inthe third step HMG CoA is cleaved to yield acetoacetate (a ketone body) in a reaction catalyzed by HMG CoA lyase (HMG CoA cleavage enzyme)… present only in liver. One molecule of acetyl CoA is also produced.
  • 113.
  • 114.
    Synthesis of β hydroxybutyrate Acetoacetate can be reduced to beta-hydroxybutyrate by beta-hydroxybutyrate dehydrogenase in a NADH-requiring reaction. The extent of this reaction depends on the state of the NAD pool of the cell; when it is highly reduced, most or all of the ketones can be in the form of beta-hydroxybutyrate.
  • 115.
    Synthesis of β hydroxybutyrate
  • 116.
    Synthesis of Acetone-Some acetoacetate spontaneously decarboxylates to yield acetone. -It cannot be metabolised any further and excreted through lungs. The odor of acetone can be smelled on the breath of individuals with severe ketosis.
  • 117.
  • 118.
  • 119.
    Ketone bodies areutilized exclusively by extrahepatic tissues; particularly heart and skeletal muscle. Brain can also use ketone bodies. If the ketone is beta-hydroxybutyrate, the first step must be conversion to acetoacetate and enzyme is dehydrogenase.
  • 120.
    Acetoacetate is activatedby transfer of CoA from succinyl CoA in a reaction catalyzed by succinyl CoA: 3-ketoacid CoA transferase also called Thiophrase.
  • 121.
    The enzyme catalyzingthis reaction is absent from liver; hence liver, which synthesizes ketone bodies, cannot use them. This places liver in the role of being a net producer of ketones.
  • 122.
    The resulting acetoacetylCoA can be cleaved by thiolase to form two molecules of acetyl CoA, which can then be oxidized by the tricarboxylic acid cycle.
  • 123.
    Peripheral tissues useketone bodies in proportion to their blood levels. They are preferred over glucose and FFA for energy. Ketone bodies can be utilised upto a blood level of 70mg/dl. After this level the oxidative mechanism is saturated --- ketonemia, ketosis and ketonuria.
  • 124.
    In blood ofa well fed individual …. Less than 3 mg/dl. In urine … less than 125 mg in 24 hrs.
  • 125.
    Ketosis…… accumulation ofabnormal amounts of ketone bodies in tissues and body fluids . Urinary excretion of ketone bodies exceeds the normal amounts. Ketonemia …. level of ketone bodies in blood above normal level. Ketonuria … excretion of ketone bodies in urine.
  • 126.
    Ketoacidosis …. Acetoaceticacid and beta hydroxy butyric acid are moderately strong acids. When their synthesis exceeds their utilization, their amount exceeds in blood and tissues. They need to be buffered. There can be progressive loss of buffer cations and this results in ketoacidosis.
  • 127.
    1-Starvation ----- nocarbohydrate reserves. Mobilization of FFA and their oxidation to get energy…. Exceeds liver capacity to oxidise acetyl CoA….. Ketongenesis. 2 - Uncontrolled insulin dependent diabetes mellitus. 3- High fat intake 4- Strenuous exercise
  • 128.
    In uncontrolled type1 diabetes mellitus ----- severe deficiency or absence of insulin ---- lipolysis ---- very high levels of FFA ---- high levels of acetyl CoA ---- raised ketogenesis. In severe ketosis ---- blood level above 90 mg/dl and urine level above 5000 mg/24 hrs. With each ketone body , one hydrogen atom is released in blood --- lowering of pH…. Acidosis.
  • 129.
  • 130.
    Polar, ionic compoundsalcohol Phosphodiester bridge Diacylglycerol or Sphingosine Types: -Glycerophospholipids -Sphingophospholipids (sphingosine)
  • 131.
    Synthesized in smoothendoplasmic reticulum. Transferred to golgi apparatus. Move to membranes of organelles or to the plasma membrane or released out via exocytosis. All cells except mature erythrocytes can synthesize phospholipids.
  • 132.
    Phosphatidic acid isthe basic component for glycerophospholipid synthesis which then combines with an alcohol. This may involve two processes, i.e - phosphatidic acid may be donated from CDP-diacylglycerol to an alcohol or - CDP- alcohol may donate its phosphomonoester to diacylglycerol.
  • 133.
    Diacylglycrol with aphosphate group on the third carbon. Synthesized from glycerol phosphate and two fatty acyl CoAs. Glycerol phosphate combines a fatty acyl CoA at C 1 to form Lysophosphatidic acid. Enzyme is acyltransferase. Second fatty acyl CoA combines at C2 to form PA.
  • 134.
    One of themost abundant PL in cells. Substrates required are :- - Choline ---- preexisting obtained from diet or from turnover of PL. - Diacylglycerol --- formed by removal of phosphate from phosphatidic acid. Enzyme is phosphatidate hydrolase. PC can also be formed from PS in the liver.
  • 135.
    - Phosphorylation ofcholine by kinase –---- phosphocholine. Converted to CDP-choline which is the activated form. Enzyme is phosphocholine citidyl transferase. CDP- choline reacts with diacylglycerol . Enzyme is phosphocholine diacyl glycerol transferase.
  • 136.
    Transfer of Phosphocholine from CDP to diacylglycerol forms Phosphatidylcholine (lecithin) . CMP is left behind. Dipalmitoyl-phosphatidylcholine is formed if there is palmitate on position 1 and 2 of glycerol. DPPC is made by pneumocytes and is the major component of surfactant.
  • 137.
    Takes place onlyin liver. Liver can make PC by this process even when free choline levels are low. PS is converted to PE. Enzyme is PS decarboxylase. PE undergoes methylation . Enzyme is methyltransferase. Result is the formation of phosphatidylcholine.
  • 138.
    Formed from preexistingEthanolamine. Phosphorylation of ethanolamine by Kinase. Formation of CDP-Ethanolamine. Transfer of Ethanolamine Phosphate from CDP to Diacylglycerol forms PE. PS can be converted to PE by reversal of decarboxylation.
  • 139.
    Formed from PE.PE reacts with serine to form PS. Enzyme is PE-Serine transferase. This is a base exchange reaction in which ethanolamine of PE is exchanged for free serine. Reversible reaction.
  • 140.
    Substrates required arefree inositol and CDP-diacylglycerol. Diacylglycerol 3 phosphate (PA) reacts with CTP to form CDP-diacylglycerol. Enzyme is Diacylglycerol-CDP synthase. CDP-Diacylglycerol reacts with inositol and forms Phosphatidyl inositol. Enzyme is PI Synthase. CMP is left behind.
  • 141.
    PI plays arole in signal transmission across membranes through the activation of Protein kinase C. Acts as second messenger of hormone action. Membrane bound PI can have specific proteins attached to it , e.g Alkaline phosphatase and Acetyl choline estrase. PI is unusual phospholipid as it has Arachadonic acid on C2 and thus acts as a source of arachadonic acid for PG synthesis.
  • 142.
    Phosphatidylglycerol is presentin mitochondria and is a precursor of Cardiolipin. The substrates required are CDP-diacylglycerol and Glycerol-3 phosphate. They react together to form phosphatidylglycerol.
  • 143.
    Cardiolipin is di-phosphatidylglycerol in nature. It is composed of two molecules of phosphatidic acid connected by a molecule of glycerol. CDP- diacylglycerol transfers diacylglycerophosphate to phosphatidylglycerol to form cardiolipin.
  • 144.
    Plasmalogens are thePL in which F.A at C1 of glycrol is attached by an ether linkage. Substrates required are di-hydroxy acetone phosphate and acyl CoA.
  • 145.
    If alcohol isCholine and Ethanolamine -------- activation of alcohol takes place by CDP. If alcohol is Glycerol and Inositol ------------ activation of Diacylglycerol takes place by CDP.
  • 146.
    These are thePL which have sphingosine as their backbone. A long chain F.A attached to the amino group of sphingosine through an amide linkage produces a ceramide. The alcohol group at C1 of sphingosine is esterified to choline through a phosphate group and produces sphingomyelin.
  • 147.
    Palmitoyl CoA condenseswith Serine. It is an NADPH requiring reaction and results in the formation of Sphinganine. A long chain fatty acid attaches to its amino group and forms a ceramide. Phosphatidylcholine transfers its phosphorylcholine to the ceramide , thus producing Sphingomyelin.
  • 148.
    Degradation of glycerophospholipids-------- Phospholipases Degradation of sphingomyelin ------ Sphingomyelinase
  • 149.
    Degradation of phosphoglyceridesis achieved by the hydrolysis of phosphodiester bonds by phospholipases. Phospholipases remove one fatty acid from C1 or C2 and form lysophosphoglyceride. Lysophospholipases act upon lysophosphoglycerides.
  • 150.
    Products of glycerophospholipiddegradation are :- Glycerol Fatty acids Phosphate Alcohols
  • 151.
    Phospholipase A1:- -foundin many mammalian tissues. -removes fatty acid from C1 Phospholipase A2:- -found in many tissues and pancreatic juice -removes F.A at C2 -when acts on PI, releases arachidonic acid -inhibited by glucocorticoids
  • 152.
    Phospholipase C:- -cleaves phosphate group at C3 - found in liver lysosomes and some bacteria - role in producing second messengers. Phospholipase D:- - found primarily in plant tissues. - removes the compound with alcohol group on C3
  • 153.
    Enzyme is Sphingomyelinase, a lysosomal enzyme. It removes phosphorylcholine hydrolytically and ceramide is produced. Ceramide is cleaved by ceramidase and leaves behind sphingosine and a free fatty acid. Sphingosine and ceramide act as intracellular messengers.
  • 154.
    Carbohydrate and lipidcomponents Derivatives of ceramide Essential components of all membranes, greatest amount in nerve tissue Interact with the extracellular environment No phospholipid but oligo or mono-saccharide attached to ceramide by O-glycosidic bond.
  • 155.
    Neutral glycosphingolipids :-- cerebrosides - Globosides Acidic glycosphingolipids:- - Ganglioside - Sulfatides
  • 156.
    Site – golgiapparatus Subtrates – Ceramide, sugar activated by UDP Galactocerobrosides – Ceramide + UDP- galactose Glucocerebrosides – Ceramide + UDP – glucose Enzymes – Glycosyl transferases
  • 157.
    Gangliosides --- ceramide+ two or more UDP- sugars react together to form Globoside. NANA combines with globoside to form Ganglioside. Sulfatides ----- galactocerebroside gets a sulphate group from a sulphate carrier with the help of sulfotransferase and forms a sulfatide.
  • 158.
    Done by lysosomalenzymes Different enzymes act on specific bonds hydrolytically ---- the groups added last are acted first.
  • 159.
    Lipid storage diseasesAccumulation of sphingolipids in lysosomes Partial or total absence of a specific hydrolase Autosomal recessive disorders
  • 160.
    Gaucher disease:- -most common lysosomal storage disease - accumulation of glucocerebrosides - enlargement of liver and spleen - osteoprosis of long bones - CNS involvement in infants
  • 161.
    Krebbe disease:- -accumulation of galactocerebrosides - mental and motor function defect - blindness and deafness - loss of myelin
  • 162.
    Farber disease:- -accumulation of ceramide - joints and skin involvement Niemann pick disease:- - accumulation of sphingomyelin - liver and spleen enlargement - neuronal degeneration
  • 163.
    Fabry disease:- -accumulation of globosides - skin rash - kidney and heart failure - burning pain in legs
  • 164.
    Tay Sach’s disease:-- accumulation of GM2 gangliosides - neuronal degeneration - eye involvement - muscular weakness - seizures
  • 165.
    Sandhoff’s disease:- -accumulation of GM2 and globosides - neurological and visceral involvement GM1 Gangliosidosis Metachromatic Leukodystrophy - sulfatide accumulation
  • 166.
  • 167.
    Prostaglandins, leukotrienes andthromboxanes ---- eicosanoids. Originate from polyunsatyrated fatty acids with 20 carbons. Physiologic and pathologic roles. Produced in small amounts by almost all tissues , act locally , very short half life.
  • 168.
    Linoleic acid isthe dietary precursor of PGs. Arachidonic acid is formed by elongation and desaturation of linoleic acid. Membrane bound phospholipids contain arachidonic acid. Phospholipase A2 causes the release of arachidonic acid from membrane phospholipids.
  • 169.
    Arachidonic acid undergoesoxidative cyclization to form PGH2. Enzyme is PGH Synthase-- two catalytic activities –--- fatty acid cyclooxygenase and peroxidase PGH synthase has two isoenzymes - COX 1 ----- made in most tissues. Causes synthesis of PG with physiologic functions . - -COX2 ---- induced in some tissues in pathological conditions.
  • 170.
  • 171.
    PGs formed throughCOX1 pathway :- - PGG2 is the first PG formed which is converted into PGH2 by peroxidase. PGH2 is then converted by different enzymes into ;- - Thromboxane A2 - PGI2 ( prostacyclins ) - PGF2 alpha - PGE2 Through COX2 ----- PGG2 is formed.
  • 172.
    Cortisol ---- asteroid hormone with anti-inflammatory effects. It inhibits phospholipase activity due to which arachidonic acid is not available and no PGs can be formed. Non- steroidal anti-inflammatory drugs e.g Aspirin, Indomethacin , Phenylbutazone, inhibit COX1 and COX2, thus no PGH2.
  • 173.
    Phospholipase A2 isstimulated by trauma and hypoxia. Cyclooxygenase 2 is stimulated by - cytokines - endotoxins - growth factors - tumor promotors
  • 174.
    PGs bind tospecific receptors on plasma membrane of target cells This causes changes in concentration of Second Messengers which mediate the biological effects. These second messengers may be - cyclic AMP - calcium - cyclic GMP
  • 175.
  • 176.
    Leukotrienes are linearhydroperoxy acids. Mediators of allergic response and inflamm. Synthesized by a separate pathway from Arachidonic acid in leukocytes, macrophages and mast cells. Involves a family of enzymes --- lipoxygenases. Neutrophils contain 5- lipoxygenase
  • 177.
    5-lipoxygenase converts Arachidonicacid into 5-HPETE. 5-HPETE is then converted into different leukotrienes. First formed is LTA4 which is then converted into LTC4 which forms LTD4 which forms LTE4. LTA4 also gets converted into LTB4.
  • 178.
  • 179.
    LTC4, LTD4, LTE4cause contraction of smooth muscles and cause bronchospasm. Important role in asthma. LTB4 has role in inflammation and release of lysosomal enzymes.
  • 180.
  • 181.
    A steroid alcoholof animal tissues. Consists of four fused hydrocarbon rings. Three phenanthrene rings and one cyclopentane ring. Called a sterol --- OH group at carbon no.3, no carboxyl group, contains a hydro- carbon tail ( 8 carbons ) at C 17. Ester form– a fatty acid at OH group at C3. Great physiological and clinical importance.
  • 182.
  • 183.
    Site--- synthesized inalmost all tissues in the body. Liver is the major organ for synthesis. Cellular site ---- cytoplasm as the enzymes involved are in cytosol and membrane of endoplasmic reticulum. Source of carbon atoms --- acetate Source of reducing equivalents ---- NADPH Source of energy ---- high energy bonds of acetyl CoA and ATP.
  • 184.
    Six major steps:-I- HMGCoA from acetyl CoA. II-mevalonate (6C) from acetyl CoA. III - isoprenoid units (5C) from mevalonate -- building blocks of steroids. IV - squalene (30 C ) by condensation of 6 isoprenoid units. V- Lanosterol by cyclization of squalene. VI- cholesterol from lanosterol.
  • 185.
    Condensation of twoacetyl CoA molecules to form acetoacetyl CoA. Enzyme is Thiolase. Addition of another acetyl CoA to form HMGCoA …. A 6 Carbon compound. Enzyme is HMGCoA synthase ( the cytosolic isoenzyme ).
  • 186.
    Formed by thereduction of HMGCoA. Enzyme --- HMGCoA reductase. In cytosol. Uses NADPH . Irreversible as CoA is released. Most important, Rate-limiting and the key regulated step in cholesterol synthesis.
  • 187.
  • 188.
    Mevalonate is phosphorylatedtwice by ATP to form 5-pyrophosphomevalonate. Enzyme is Kinase. When PO4 and the nearby carboxyl group leave 5-PPM, it results in the formation of Isopentenyl pyrophosphate (IPP). It is a 5 carbon isoprenoid unit with a double bond. IPP undergoes isomerization to form Dimethyl allyl pyrophosphate-- DPP (5C)… second isoprene.
  • 189.
  • 190.
    IPP and DPPcondense to form 10 carbon compound Geranyl Pyrophosphate – GPP (10 C ). Enzyme is transferase. GPP condenses with one more IPP to form a 15 C compound --- Farnesyl Pyrophosphate ----- FPP. Enzyme is transferase. Two FPP condense, releasing pyrophosphate, and form Squalene--- 30 C compound. 18 ATPs are used in this process of squlene synthesis from isoprenes.
  • 191.
    Squalene monooxygenase addsan oxygen atom to Squqlene. NADPH reduces this oxygen atom and results in the addition of an OH group at C3 . Hydroxylation of OH group to squalene triggers the cyclization of Squalene and forms Lanostreol. Enzyme is cyclase. Lanosterol is the four ringed structure--- first sterol.
  • 192.
  • 193.
    Lanosterol is convertedto Cholesterol by a series of 20 reactions. During these reactions carbon chain is shortened from 30 carbons to 27 carbons. Removal of methyl groups at C4 migration of double bond from C8 to C5. Reduction of double bond between C24 and C25.
  • 194.
  • 195.
    Cholesterol synthesis hasto be tightly regulated as the imbalance between synthesis/intake and utilization leads to accumulation of cholesterol in blood vessels which have serious consequences ---- atherosclerosis. HMGCoA reductase is the rate limiting enzyme and it is the major control point for cholesterol synthesis.
  • 196.
    1- Intracellular cholesterollevels:- I/C cholesterol levels bring changes in the HMGCoA reductase activity. Synthesis of this enzyme can be increased by the transcription of the gene that encodes HMGCoA reductase. Transcription takes place by the amino terminal ( SRE )of a protein called SREBP. .
  • 197.
    SREBP lies inER membrane and is in complex with a protein called SREBP- cleavage activating protein ( SCAP). SCAP acts as cholesterol sensor. When cholesterol level is high in the cell, SREBP remains within ER membrane with SCAP and is inactive. When cholesterol level decreases, this complex is released and goes to Golgi app.
  • 198.
    In Golgi ,SREBP is acted upon by proteases. This causes the release of the SRE from the SREBP and this SRE can enter the nucleus. SRE causes transcription of the gene encoding HMGCoA reductase. Synthesis of the enzyme is increased and leads to more cholesterol synthesis.
  • 199.
    2- Regulation bycyclic AMP:- Covalent regulation. Done through phosphorylation of HMGCoA Reductase by cAMP activated protein kinase (AMPK ). Phosphorylated form of the enzyme is inactive. 3- Regulation by Phosphoprotein phosphatase;- It causes dephosphorylation of the inactive form of enzyme and activates it.
  • 200.
    4- Regulation byhormones:- - Insulin---- increases HMGCoA reductase activity and thus increases cholesterol synthesis. - Glucagon---- decreases the enzyme and thus decreases cholesterol synthesis. 5- Cholesterol intake through diet decreases hepatic synthesis of cholesterol by reducing activity of the enzyme while intake of saturated fats increase its synthesis.
  • 201.
    6- Inhibition bydrugs:- The statin drugs (simvastatin) resemble HMGCoA in structure. They act as competitive inhibitors of HMGCoA reductase and decrease blood cholesterol levels.
  • 202.
    Conversion to bileacids and bile salts which are then excreted in feces. Secreted in bile, taken to intestines and then excreted. Conversion to neutral sterols by bacteria in intestines and then excreted. Synthesis of Vit. D . Synthesis of steroid hormones.
  • 203.
    Major part isin esterified form and is transporeted in lipoproteins. Highest amount of circulating cholesterol is in the form of LDL which takes cholesterol from liver to all the tissues.
  • 204.
    In adults ,normal level is 150– 200 mg/100 ml Risk of developing cardiovascular diseases increases when the level is above 200mg/100 ml.
  • 205.
    Primary Hypercholesterolemia:- -genetic absence or deficiency of LDL receptors. - decreased entery of LDL in target tissues. - raised plasma LDL levels which means raised plasma cholesterol. - increased incidence of ischemic heart disease and nodules form in skin called xanthomas.
  • 206.
    Secondary Hypercholesterolemia:- Primaryhypothyroidism Diabetes mellitus Nephrotic syndrome Cholestasis Drugs Raised plasma free fatty acids
  • 207.
  • 208.
    Composed of neutrallipid core ( TAG and cholesterol esters ) Shell of amphipathic apolipoproteins, phospholipid and unesterified cholesterol. Soluble in aqueous medium Separated from each other by electrophoresis or by ultracentrifugation.
  • 209.
    On the basisof density ;- - chylomicrons - VLDL - LDL - HDL On electrophoresis– - chylomicrons at origin - LDL (beta lipoproteins) - VLDL ( pre-beta lipoproteins) -HDL ( alpha lipoproteins)
  • 210.
    Serve very importantfunctions - recognition site for cell-surface receptors - activators or coenzymes for enzymes of lipoprotein metabolism - some are essential structural component of the lipoprotein particle - transfer between different types of lipoproteins and bring about changes. - Classes from A to E. Some have sub classes.
  • 211.
    Assembled in intestinalmucosal cells. Contains about 90% TAG Its apoprotein is apo B-48 which is synthesized in RER. These nascent chylomicrons are released in blood through lymphatic system. In plasma it receives from HDL two more apopreoteins i.e apo C-II and apo-E.
  • 212.
    Apo C-II activatesthe enzyme Lipoprotein lipase, located on the capillary walls. Lipoprotein lipase degrades TAG in chylomicrons and forms free fatty acids and glycerol. Synthesis of this enzyme is increased by insulin ( fed state ). During starvation activity declines in adipocytes while increases in cardiac muscles.
  • 213.
    Degradation of TAGleads to decrease in the size of chylomicron particles and increases its density. apoC-II is returned to HDL leaving behind chylomicron remnant which has apoE and apoB48. Liver cells recognize apoE and rapidly take up chylomicron remnants.
  • 214.
    In liver cellsthey are acted upon by lysosomal enzymes and degradation of all the components take place , releasing amino acids, free cholesterol and fatty acids. The receptor is recycled.
  • 215.
    60% TAG ---carry from liver to the peripheral tissues --- imbalance results in fatty liver. 20% cholesterol and its esters. Produced in liver – contain apoB 100 In blood acquire apoC-II and apo E from HDL. apoC-II activates lipoprotein lipase Degradation of TAG causes a decrease in the size of VLDL and increases its density. apoC and apoE are returned to HDL
  • 216.
    apoB-100 remains onthe particles. An exchange of lipids takes place between VLDL and HDL------ VLDL gives some TAG to HDL and gets some cholesterol esters from HDL. Cholesterol ester transfer protein helps in this exchange. These modifications result in the formation of IDL --- transient state IDL is converted to LDL very rapidly. Some IDL can be taken up by liver directly.
  • 217.
    Composed of 50%Cholesterol and its esters and only 8% TAG, 20% protein. It has highest cholesterol content. Formed in circulation by the degradation and modification of VLDL. Smaller diameter and higher density as compared to VLDL and IDL. Function is to provide cholesterol to the peripheral tissues .
  • 218.
    Uptake of LDLinto the cells takes place through LDL receptors on the cell surface membrane. LDL receptors recognize apo B-100 on the surface of LDL particles. LDL receptors are glycoproteins in nature, clustered in pits on cell membranes. A protein, Clathrin, coats the intracellular side of the pit and stabilizes its shape.
  • 219.
    LDL particles bindwith the receptor. The LDL and the receptor form a complex. This complex goes inside the cell by endocytosis of these vesicles. Endosomes are formed by the fusion of many LDL containing vesicles. The receptors get separated from LDL and go back to the cell surface pits. LDL particles get inside the lysosomes.
  • 220.
    Lysosomal enzymes degradeLDL contents by hydrolysis. There is release of free cholesterol, amino acids, fatty acids and phospholipids.
  • 221.
    Cholesterol derived bythe degradation of chylomocrons, IDL and LDL increases cholesterol level in cell and decreases activity of HMGCoA reductase. High cholesterol in cell also inhibits the synthesis of LDL receptors by decreasing the expression of LDL receptor gene, so that no more LDL- cholesterol enters the cells.
  • 222.
    If the cholesterolin the cell derived from the lipoproteins is not immediately used for structural and synthetic purposes, it is converted into esterified form and then stored in the cell. Enzyme for this esterification is Acyl CoA-cholesterol acyltransferase ( ACAT ). Activity of ACAT is increased by free cholesterol.
  • 223.
  • 224.
    Highest protein contenti.e 40%, 30% phospholipid, only 25% cholesterol. Synthesized in liver and intestines. Contains apo A 1, apo A II, apo C II, apo E. Smallest size highest density.
  • 225.
    Newly synthesized HDLis disc shaped and contains cholesterol, PL, apo-A and apo-E. It interacts with chylomicra remnants and acquires cholesterol. It converts free cholesterol into its esterified form with the help of plasma enzyme LCAT. This makes HDL3 .
  • 226.
    HDL3 removes freecholesterol from membranes and other tissues. Again LCAT gets into action and HDL2 is formed which has higher content of cholesterol esters. HDL2 transfers cholesterol esters to VLDL and receives TAG from VLDL.
  • 227.
    Transfers apoproteins toother lipoproteins. Takes up lipids from other lipoproteins e.g VLDL. Takes up unesterified cholesterol from other lipoproteins and cell membranes. Converts free cholesterol into its esterified form with the help of plasma enzyme Lecithin-cholesterol acyltransferase (LCAT). LCAT is activated by apo A1.
  • 228.
    HDL transfers cholesterolesters to other lipoproteins and also carries cholesterol to liver for bile acid synthesis , excretion via bile and hormone synthesis. This is called “Reverse cholesterol transport”. Uptake of HDL2 by liver takes place through SR-B1 receptors. It is also called “Good cholesterol”.
  • 229.
  • 230.
    A- PRIMARY HYPERLIPOPROTEINEMIAS;-1-Type-I: Familial lipoprotein lipase deficiency:- -hypertriglyceridemia - hyperchylomicronemia--- creamy layer forms on the top of plasma on stagnation. - high VLDL -low LDL and low HDL
  • 231.
    2-Type II: FamilialHypercholesterolemia:- - a common disorder - deficiency of LDL receptors and increased cholesterol synthesis - high LDL level - increased incidence of atherosclerosis and cardiovascular diseases.
  • 232.
    3- Type III:Familial dys-beta-lipoproteinemia:- -high levels of LDL, VLDL and IDL. - hypercholesterolemia---- atherosclerosis - defective form of apo E cannot bind to receptors---- chylomicrons and IDL cannot be cleared.
  • 233.
    4- Type IV-Familial Hypertriglyceridemia:- - increased endogenous synthesis of TAG - high VLDL level 5- Combined Hyperlipidemias:- - raised cholesterol and TAG - high levels of chylomicrons and VLDL
  • 234.
    6- Wolman’s disease:- - deficiency of enzyme cholesterol ester hydrolase in lysososmes - cholesterol ester storage
  • 235.
    1- Abetalipoprotenemia:- -defect in synthesis of apo-B - low LDL and low cholesterol - no synthesis of chylomicrons and VLDL, low TAG 2- Familial alpha lipoprotein deficiency:- - low apo A - low HDL - accumulation of cholesterol esters in tissues