TUGAS RENCANA GARIS
PERENCANAAN KAPAL TANKER
MT ” T ALITAN” 4000 BRT LINES PLAN
PERHITUNGAN RENCANA GARIS
( LINES PLAIN )
A. PERHITUNGAN DASAR
1. Panjang Garis Air Muat (Lwl)
Lwl = Lpp + 2 % x Lpp
= 97,00 + 2 % x 97,00
= 98,94 m
2. Panjang Displacement (L Displ)
L Displ = 0,5 x ( Lwl + Lpp )
= 0,5 x ( 98,94 + 97,00 )
= 97,97 m
3. Coefisien Midship (Cm) Formula Arkent Bont Shocker.
Cm = 0,90 + 0,10 x √Cb
= 0,90 + 0,10 x 0,74
= 0,986 Memenuhi Syarat kapal barang sedang
Cm = 0,94 - 0,98
4. Coefisien Prismatik (Cp) Formula Troast
Cp = Cb / Cm
= 0,74 / 0,986
= 0,750 Memenuhi Syarat kapal barang sedang
Cp = 0,68 – 0,82
1
TUGAS RENCANA GARIS
PERENCANAAN KAPAL TANKER
MT ” T ALITAN” 4000 BRT LINES PLAN
5. Coefisien Garis Air (Cw) Formula Troast
Cw = 025,0−Cb
= 025,074,0 −
= 0,846 Memenuhi Syarat kapal barang sedang
Cw = 0,80 – 0,87
2
TUGAS RENCANA GARIS
PERENCANAAN KAPAL TANKER
MT ” T ALITAN” 4000 BRT LINES PLAN
6. Luas Garis Air (Awl )
Awl = Lwl x B x Cw
= 98,94 x 15,1 x 0.846
= 1263,287 m2
7. Luas Midship (Am)
Am = B x T x Cm
= 15,1 x 6,83 x 0,986
= 101,692 m2
8. Volume Displacement (C Displ)
V Displ = Lpp x B x T x Cb
= 97,00 x 15,1 x 6,83 x 0,74
= 7402,887 m2
9. Coefisien Prismatik Displacement (Cp Displ)
Cp Displ = Lpp / L Displ x Cp
= 97,00 / 97,97x 0,75
= 0,743
10. Displacement (D)
D = Vol Displ x γ x c
Dimana :
γ = 1,025 Berat jenis air laut
c = 1,004 Berat jenis air laut
= 7402,887 x 1,025 x 1,004
= 7618,311 Ton
3
TUGAS RENCANA GARIS
PERENCANAAN KAPAL TANKER
MT ” T ALITAN” 4000 BRT LINES PLAN
B. MENENTUKAN LETAK LCB
B.1. Dengan menggunakan Cp Displacement pada grafik NSP pada Cp
Displacement = 0,685 Didapat letak titik LCB (Longitudinal Centre
Bouyancy ) = 1,5 % x L Displ,
Dimana L Displ = 97,97m
Cp Displ = Lpp / L Displ x Cp
= 97,00 / 97,97 x 0,75
= 0,743
B.1.1. Letak LCB Displ menurut grafik NSP
LCB Displ = 1,5 % x L Displ
= 1,5 % x 97,97
= 1,763 m ( Di depan midship Lpp)
B.1.2. Jarak midship ( ) L Displ ke FP
Displ = 0,5 x L Displ
= 0,5 x 97,97
= 48,985 m
B.1.3. Jarak midship ( ) Lpp ke FP
Lpp = 0,5 x Lpp
= 0,5 x 97,00
= 48,5 m
B.1.4. Jarak antara midship ( ) L Displ dengan midship ( )
Lpp
= Displ - Lpp
= 48,985- 48,5
= 0,485 m
B.1.5. Jarak antara LCB terhadap midship ( ) Lpp
= 1,763 - 0,485
= 1,278 m ( Di depan Lpp)
4
TUGAS RENCANA GARIS
PERENCANAAN KAPAL TANKER
MT ” T ALITAN” 4000 BRT LINES PLAN
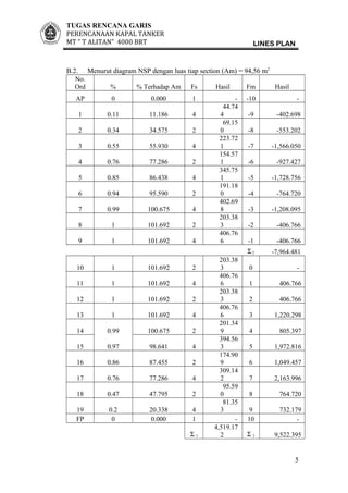
B.2. Menurut diagram NSP dengan luas tiap section (Am) = 94,56 m2
No.
Ord % % Terhadap Am Fs Hasil Fm Hasil
AP 0 0.000 1 - -10 -
1 0.11 11.186 4
44.74
4 -9 -402.698
2 0.34 34.575 2
69.15
0 -8 -553.202
3 0.55 55.930 4
223.72
1 -7 -1,566.050
4 0.76 77.286 2
154.57
1 -6 -927.427
5 0.85 86.438 4
345.75
1 -5 -1,728.756
6 0.94 95.590 2
191.18
0 -4 -764.720
7 0.99 100.675 4
402.69
8 -3 -1,208.095
8 1 101.692 2
203.38
3 -2 -406.766
9 1 101.692 4
406.76
6 -1 -406.766
Σ2 -7,964.481
10 1 101.692 2
203.38
3 0 -
11 1 101.692 4
406.76
6 1 406.766
12 1 101.692 2
203.38
3 2 406.766
13 1 101.692 4
406.76
6 3 1,220.298
14 0.99 100.675 2
201.34
9 4 805.397
15 0.97 98.641 4
394.56
3 5 1,972.816
16 0.86 87.455 2
174.90
9 6 1,049.457
17 0.76 77.286 4
309.14
2 7 2,163.996
18 0.47 47.795 2
95.59
0 8 764.720
19 0.2 20.338 4
81.35
3 9 732.179
FP 0 0.000 1 - 10 -
Σ 1
4,519.17
2 Σ 3 9,522.395
5
TUGAS RENCANA GARIS
PERENCANAAN KAPAL TANKER
MT ” T ALITAN” 4000 BRT LINES PLAN
B.2.1. h = L Displ / 20
= 97,97 / 20
= 4,899 m
B.2.2. Volume Displacement
V Displ = 1/3 x h x
1∑
= 1/3 x 4,899 x 4.519,172
= 7379,172 m3
B.2.3. Letak LCB NSP
LCB NSP =
1
32
∑
∑+∑
x
20
DisplL
= 172,4519
522,39597964,481+−
x
20
97,97
= 1,689 m
B.2.4. Koreksi prosentase penyimpangan LCB
= DisplL
NSPLCB-DisplLCB
x 100 %
= 97,97
1,689-1,7635
x 100 %
= 0,00076 x 100 %
= 0,076 % < 0,1 % ( Memenuhi )
B.2.5. Koreksi prosentase penyimpangan untuk volume Displ
= AwalDisplVol
NSPDisplVol-AwalDisplVol
x 100 %
= 7402,887
7379,054-7402,887
x 100 %
= 0,00322 x 100 %
= 0,322 % < 0,5 % ( Memenuhi )
6
TUGAS RENCANA GARIS
PERENCANAAN KAPAL TANKER
MT ” T ALITAN” 4000 BRT LINES PLAN
B.3. Perhitungan prismatik depan ( Qf ) dan koefisien prismatik
belakang (Qa) berdasarkan Tabel “Van Lamerent”
Dimana :
Qf = Koefisien prismatik bagian depan midship Lpp
Qa = Koefisien prismatik bagian belakang midship Lpp
e = Perbandingan jarak LCB terhadap Lpp
= ( LCB Lpp / Lpp ) x 100 %
= ( 1,278 / 97,00 ) x 100 %
= 0,01318
Dengan rumus tersebut diatas dapat dihitung harga Qa dan Qf dengan rumus
berikut :
Qa = Qf = Cp ± (1,4 + Cp) x e
Dimana :
Qf = Cp + ( 1,40 + Cp ) x e
= 0,75 + ( 1,40 + 0,75) x 0,01318
= 0,779
Qa = Cp - ( 1,40 + Cp ) x e
= 0,75 - ( 1,40 + 0,75) x 0,01318
= 0,7221
7
TUGAS RENCANA GARIS
PERENCANAAN KAPAL TANKER
MT ” T ALITAN” 4000 BRT LINES PLAN
Tabel CSA lama menurut Van Lamerent ( Lama )
Am = 101,692 m2
No. Ord Luas Station Luas Station Terhadap Am
AP 0 0
0,25 0.086 8.745
0,5 0.182 18.508
0,75 0.285 28.982
1 0.388 39.456
1,5 0.586 59.591
2 0.75 76.269
2,5 0.873 88.777
3 0.95 96.607
4 0.998 101.488
5 1 101.692
6 1 101.692
7 0.989 100.573
7,5 0.948 96.404
8 0.859 87.353
8,5 0.713 72.506
9 0.502 51.049
9,25 0.38 38.643
9,5 0.251 25.525
9,75 0.121 12.305
FP 0 0
∑ 1206.163
P = LCB Displacemen = 1,7635
Q = LCB NSP = 1,689
b = (3Cp-1) / 4 Cp = 0,2348
tb = 23,88
8
TUGAS RENCANA GARIS
PERENCANAAN KAPAL TANKER
MT ” T ALITAN” 4000 BRT LINES PLAN
Tabel luas tiap section terhadap Am menurut Van Lamerent ( Baru )
Am = 101,692m2
No % Luas
Luas
Station
FS Hasil Fm Hasil
ORD Station
terhadap
Am
AP 0.067
6.81
3
0.2
5
1.70
3 -5
-8.51
7
0.25 0.139
14.13
5 1
14.13
5 -4.75
-67.14
2
0.5 0.198
20.13
5 0.5
10.06
7 -4.5
-45.30
4
0.75 0.398
40.47
3 1
40.47
3 -4.25
-172.01
1
1 0.432
43.93
1
0.7
5
32.94
8 -4
-131.79
2
1.5 0.658
66.91
3 2
133.82
6 -3.5
-468.39
1
2 0.831
84.50
6 1
84.50
6 -3
-253.51
7
2.5 0.89
90.50
5 2
181.01
1 -2.5
-452.52
7
3 0.834
84.81
1 1.5
127.21
6 -2
-254.43
2
4 0.862
87.65
8 4
350.63
2 -1
-350.63
2
5 1
101.69
2 2
203.38
3 0 -
- Σ 2
-2,204.26
6
6 0.999
101.59
0 4
406.35
9 1
406.35
9
7 0.98
99.65
8 1.5
149.48
7 2
298.97
3
7.5 0.957
97.31
9 2
194.63
8 2.5
486.59
4
8 0.932
94.77
7 1
94.77
7 3
284.33
0
8.5 0.612
62.23
5 2
124.47
0 3.5
435.64
7
9 0.421
42.81
2
0.7
5
32.10
9 4
128.43
6
9.25 0.412
41.89
7 1
41.89
7 4.25
178.06
2
9.5 0.379
38.54
1 0.5
19.27
1 4.5
86.71
7
9.75 0.348
35.38
9 1
35.38
9 4.75
168.09
6
FP 0 -
0.2
5 - 0 -
Σ 1
2,278.29
7 Σ3
2,473.21
4
9
TUGAS RENCANA GARIS
PERENCANAAN KAPAL TANKER
MT ” T ALITAN” 4000 BRT LINES PLAN
h = L pp / 10
= 97,00 / 10
= 9,7 m
Volume Displacement pada Main Part
V Displ = 1/3 x Lpp / 10 x
1∑
= 1/3 x 97,00/ 10 x 2278,297
= 7366,494 m3
Letak LCB pada Main Part
LCB =
1
32
∑
∑+∑
x h
= 214,2473
214,2473266,2204 +−
x 9,7
= 1,145 m
Perhitungan pada Cant Part
No Ord Luas
Station
FS Hasil FM Hasil
AP
½ AP
0
0
3,407
6,813
1
4
1
0
13,627
6,814
0
1
2
0
13,627
13,627
1∑
=
20,440
2∑
=
27,253
e =
2
Lpp-Lwl
=
2
00,9794,98 −
= 0,97 m
10
TUGAS RENCANA GARIS
PERENCANAAN KAPAL TANKER
MT ” T ALITAN” 4000 BRT LINES PLAN
Volume Cant Part
= 1/3 x e x
1∑
= 1/3 x 0,97 x 20,440
= 6,609 m3
LCB Cant Part terhadap ( ) AP
=
1
2
∑
∑
x e
= 440,20
253,27
x 0,97
= 1,293m
Jarak LCB Cant Part terhadap ( ) AP
= 1/2 x Lpp + LCB Cant Part
= 1/2 x 97,00 + 1,293
= 49,793 m
Volume Displacement total
V Displ Total = V Displ MP + V Displ Cp
= 7366,494 + 6,609
= 7373,103 m
LCB total terhadap ( ) Lpp
=
AwalntDisplecemaVol
CPVolxCPLCBMPVolxMPLCB
..
.).....(..).....(. +
=
103,7373
)609,67933,49()494,7366145,1( xx +
= 1,189 m
B.4. Koreksi Hasil Perhitungan
a. Koreksi untuk Volume Displacement
= AwalntDisplacemeVolume
AwalntDisplacemeVolumeTotalVolume
..
..... +
x 100 %
= 054,7379
103,7373054,7379 −
x 100 %
11
TUGAS RENCANA GARIS
PERENCANAAN KAPAL TANKER
MT ” T ALITAN” 4000 BRT LINES PLAN
= 0,0807 % < 0,5 % (Memenuhi)
b. Koreksi untuk prosentase penyimpangan LCB
= Lpp
dshipLppTerhadapMiTotalLCBAwalLCB ... −
x 100 %
= 00,97
189,1278,1 −
x 100 %
= 0,093 % < 0,1 % (Memenuhi)
12
TUGAS RENCANA GARIS
PERENCANAAN KAPAL TANKER
MT ” T ALITAN” 4000 BRT LINES PLAN
C. RENCANA BENTUK GARIS AIR
C.1. Perhitungan Besarnya Sudut Masuk ( α )
Untuk menghitung besarnya sudut masuk garis air berdasarkan Coefisien
Prismatik Depan
( Qf ).
Dimana :
Pada perhitungan penentuan letak LCB, Cp = 0,779
Dari grafik Latsiun sudut masuk = 18 o
Penyimpangan = + 3 atau – 3, di ambil + 3
Maka besarnya sudut masuk yang diperoleh = 18˚ + 3˚ = 21˚
C.2. Perhitungan Luas Bidang Garis Air
No. Ord. Y=1/2 B FS Hasil
AP 1.270 0.25 0.318
0.25 2.810 1 2.810
0.5 4.230 0.5 2.115
0.75 5.590 1 5.590
1 6.680 0.75 5.010
1.5 7.550 2 15.100
2 7.550 1 7.550
2.5 7.550 2 15.100
3 7.550 1.5 11.325
4 7.550 4 30.200
5 7.550 2 15.100
6 7.550 4 30.200
7 7.55 1.5 11.325
7.5 7.550 2 15.100
8 6.970 1 6.970
8.5 5.960 2 11.920
9 4.310 0.75 3.233
9.25 3.290 1 3.290
9.5 2.130 0.5 1.065
9.75 0.900 1 0.900
FP 0.000 0.25 0.000
Σ 194.220
13
TUGAS RENCANA GARIS
PERENCANAAN KAPAL TANKER
MT ” T ALITAN” 4000 BRT LINES PLAN
C.2.1 Luas garis air pada Main Part
AWL MP = 2 x 1/3 x ( LPP / 10 ) x
1∑
= 2 x 1/3 x ( 97,00 / 10 ) x 194,22
= 1255,956 m²
C.2.2 Rencana bentuk garis air pada Cant Part
No Ord Luas Station FS Hasil
AP
½ AP
0
1,270
0,635
0
1
4
1
1,270
2,540
0
1∑ =
3,81
=
2
Lpp-Lwl
=
2
00,9794,98 −
= 0,97 m
C.2.3 Luas garis air pada Cant Part (Awl Cp)
Awl Cp = 2 x e x
1∑
= 2 x 0,97 x 3,81
= 7,3914 m²
C.2.4 Luas total garis air (Awl Total)
Awl Total = Luas Main Part + Luas Cant Part
= 1255,956 + 7,3914
= 1263,347 m2
C.2.5 Koreksi luas garis air
=
AwalLuas
AwalLuasTotalLuas
.
.... −
x 100 %
14
TUGAS RENCANA GARIS
PERENCANAAN KAPAL TANKER
MT ” T ALITAN” 4000 BRT LINES PLAN
= 29,1263
347,126329,1263 −
x 100 %
= 0,00482 % < 0,5 % (Memenuhi Syarat)
D. PERHITUNGAN RADIUS BILGA
Dimana : B = 15,1 m
H = 7,8 m
T = 6,83 m
A = Rise Of Floor
= 0,01 x B
= 0,01 x 15,1
= 0,151 m
R = Jari – jari Bilga
M = Titik pusat kelelngkungan bilga
D.1. Dalam Segitiga ABC
Tg α2 =
BC
AB
= 151,0
55,7
α2 = 88,850º
α1 = 0,5 x (180 - a2)
= 0,5 x 91,15
= 45,58 º
D.2. Perhitungan
D.2.1. Luas Trapesium AFEHCD
= ½ B x ( AD + CE )
= 0,5 x 15,1 x ( 6,83 + 6,679 )
= 50,996 m2
D.2.2. Luas AFGHCD
= ½ Luas Midship
= ½ x B x T x Cm (m2
)
= ½ x 15,1 x 6,83 x 0,986
= 50,846 m2
D.2.3. Luas FGHCF
15
TUGAS RENCANA GARIS
PERENCANAAN KAPAL TANKER
MT ” T ALITAN” 4000 BRT LINES PLAN
= Luas trapesium ACED - Luas AFHEDA
= 50,996 – 50,846
= 0,151 m2
D.2.4. Luas FCG
= ½ x Luas FGHCF
= ½ x 0,151
= 0,075 m2
D.2.5. Luas MFC
= ½ x MF x FC
= ½ x R x R Tg α1
Luas juring MFG = α1 / 360 x лR2
= Luas MFC - Luas juring MFG
= 0,428 R2
Jadi Luas ACED - Luas AFHEDA = Luas MFC - Luas
juring MFG
50,996 – 50,846 = ( 0,5 R2
Tg α1) – ( α1 / 360 x лR2
)
0,151 = 0,5 R2
x 0,428 R2
0,151 = 0,147 R2
R2
= 1,022
R = 1,011 m
16
TUGAS RENCANA GARIS
PERENCANAAN KAPAL TANKER
MT ” T ALITAN” 4000 BRT LINES PLAN
E. MERENCANAKAN BENTUK BODY PLAN
1. Merencanakan bentuk body plan adalah
Merencanakan atau membuat bentuk garis air lengkung padapotongan
ordinat.
2. Langkah – langkah
 Membuat empat persegi panjang dengan sisi ½ B dan T
 Pada garis air T diukurkan garis b yang besarnya = ½ luas station
dibagi T.
 Dibuat persegi panjang ABCD
 Diukurkan pada garis air T garis air Y = ½ lebar garis air pada
station yang bersangkutan.
 Dari titik E kita merencanakan bentuk station sedemikian sehingga
luas ODE = luas OAB letak titik O dari station – station harus
merupakan garis lengkung yang stream line.
 Setelah bentuk station selesai dibuat, dilakukan pengecekan
volume displacement dari bentuk-bentuk station.
 Kebenaran dari lengkung – lengkung dapat dicek dengan
menggunakan Planimeter.
17
C
ED
BA
TUGAS RENCANA GARIS
PERENCANAAN KAPAL TANKER
MT ” T ALITAN” 4000 BRT LINES PLAN
E.1. Rencana Bentuk Body Plan
T = 6,83 m
2 T = 13,66 m
No. Ord Y = 1/2 B b = ls/2t Luas station
AP 1.270 0.499 6.813
0.25 2.810 1.035 14.135
0.5 4.230 1.474 20.135
0.75 5.590 2.963 40.473
1 6.680 3.216 43.931
1.5 7.550 4.898 66.913
2 7.550 6.186 84.506
2.5 7.550 6.626 90.505
3 7.550 6.209 84.811
4 7.550 6.417 87.658
5 7.550 7.444 101.692
6 7.550 7.437 101.590
7 7.550 7.296 99.658
7.5 7.550 7.124 97.319
8 6.970 6.938 94.777
8.5 5.960 4.556 62.235
9 4.310 3.134 42.812
9.25 3.290 3.067 41.897
9.5 2.130 2.821 38.541
9.75 0.900 2.591 35.389
FP 0 0 0
18
TUGAS RENCANA GARIS
PERENCANAAN KAPAL TANKER
MT ” T ALITAN” 4000 BRT LINES PLAN
E.2. Perhitungan Koreksi Volume Displacement Rencana Body Plan
Pada Main Part “Menggunakan CSA BARU”
No.
Ord Luas Station FS Hasil
AP 6.813 0.25 1.703
0.25 14.135 1 14.135
0.5 20.135 0.5 10.067
0.75 40.473 1 40.473
1 43.931 0.75 32.948
1.5 66.913 2 133.826
2 84.506 1 84.506
2.5 90.505 2 181.011
3 84.811 1.5 127.216
4 87.658 4 350.632
5 101.692 2 203.383
6 101.590 4 406.359
7 99.658 1.5 149.487
7.5 97.319 2 194.638
8 94.777 1 94.777
8.5 62.235 2 124.470
9 42.812 0.75 32.109
9.25 41.897 1 41.897
9.5 38.541 0.5 19.271
9.75 35.389 1 35.389
FP 0 0.25 0
Σ 2278.297
E.2.1 Displasment perhitungan
= Lpp x B x T x Cb
= 97,00 x 15,1 x 6,83 x 0,74
= 7402,887 m3
19
TUGAS RENCANA GARIS
PERENCANAAN KAPAL TANKER
MT ” T ALITAN” 4000 BRT LINES PLAN
E.2.2. Volume displasment main part
= 1/3 x Lpp/10 x
1∑
= 1/3 x 97,00/ 10 x 2278,297
= 7366,4936 m3
E.2. Perhitungan Koreksi Volume Displacement Rencana Body Plan
Pada Cant Part
No.
Ord Luas Station Fs Hasil Fm Hasil
0 0 1 0.000 0 0
1/2
AP
3.40
7 4 13.627 1 13.627
AP 6.813 1 6.813 2 13.627
∑ 20.440 ∑ 27.253
E.2.1. e =
2
.. LPPLWL −
=
2
00,9794,98 −
= 0,970 m
E.2.2. Volume Cant Part
= 1/3 x e x
1∑
= 1/3 x 0,970 x 20,440
= 6,6089 m3
E.2.3. Volume Displacement perencanaan Total
= Vol Displ MP + Vol Displ CP
= 7366,4936 + 6,6089
= 7373,1025 m3
20
TUGAS RENCANA GARIS
PERENCANAAN KAPAL TANKER
MT ” T ALITAN” 4000 BRT LINES PLAN
E.2.3. Koreksi penyimpangan volume displacement body plan
=
%100
..
....
x
AwalDisplVol
awalDisplVontotalPerencanaaDisplVol −
=
887,7402
1025,7373887,7402 −
x 100 %
= 0,173 % < 0,5 % (Memenuhi Syarat)
21
TUGAS RENCANA GARIS
PERENCANAAN KAPAL TANKER
MT ” T ALITAN” 4000 BRT LINES PLAN
F. PERHITUNGAN CHAMBER, SHEER DAN BANGUNAN ATAS
F.1. Perhitungan Chamber
Chamber = 1/50 x B
= 1/50 x 15,1
= 0,302 m
F.2. Tinggi Bulwark = 1,000 m
F.3. Perhitungan Sheer
F.3.1. Bagian Buritan (Belakang)
F.3.1.1. AP = 25 ( Lpp / 3 + 10 )
= 25 ( 97,00/ 3 + 10 )
= 1058,33 mm
F.3.1.2. 1/6 Lpp dari AP = 11,1 ( Lpp / 3 + 10 )
= 11,1 (97,00/ 3 + 10 )
= 469,9 mm
F.3.1.3. 1/3 Lpp dari AP = 2,8 ( Lpp / 3 + 10 )
= 2,8 (97,00/ 3 + 10 )
= 118,53 mm
F.3.2. Bagian Midship (Tengan) = 0 m
F.3.3. Bagian Haluan (Depan)
F.3.3.1. FP = 50 ( Lpp / 3 + 10 )
= 50 (97,00 / 3 + 10 )
= 2116,67 mm
F.3.3.2. 1/6 Lpp dari FP = 22,2 ( Lpp / 3 + 10 )
= 22,2 (97,00 / 3 + 10 )
= 939,8 mm
F.3.3.3. 1/3 Lpp dari FP = 5,6 ( Lpp / 3 + 10 )
= 5,6 (97,00/ 3 + 10 )
= 237,07 mm
22
TUGAS RENCANA GARIS
PERENCANAAN KAPAL TANKER
MT ” T ALITAN” 4000 BRT LINES PLAN
F.4. Bangunan Atas (Menurut Methode Varian)
F.4.1. Perhitungan Jumlah Gading
Jarak gading (a)
a = Lpp / 500 + 0,48
= 97,00 / 500 + 0,48
= 0,674 m
Jarak yang diambil = 0,670 m
Untuk Lpp = 97,00 m
Maka 0,67 x 144 jarak gading = 96,48 m
0,52 x 1 jarak gading = 0,52 m
145 jarak gading = 97,00 m
F.4.2. Poop Deck (Geladak Kimbul)
Panjang Poop Deck (20 % - 30 %) Lpp dari AP, di ambil 25%
Panjang = 20 % x Lpp
= 20 % x 97,00m
= 26,19 m dari AP di ambil 26,8 m
Rencana letak gading
40 jarak gading x 0,67 = 26,8 m dari AP
Sedang tinggi poop deck 2,0 s/d 2,4 m diambil 2,2 m dari main
deck bentuk disesuaikan dengan bentuk buttock line.
F.4.3. Fore Castle Deck (Deck Akil)
Panjang fore castle deck (10 % - 15 %) Lpp dari FP, di ambil
15%
Panjang = 10 % x Lpp
= 10 % x 97,00m
= 9,7 m
Tinggi deck akil (1,9 – 2,2) diambil dari 2,2 dari main deck
23
TUGAS RENCANA GARIS
PERENCANAAN KAPAL TANKER
MT ” T ALITAN” 4000 BRT LINES PLAN
F.4.4. Jarak Gading pada Main Deck
Panjang Main Deck
LPP – (PanjangFC Deck + ( Panjang Poop Deck )
= 97,00 – ( 9,7 + 26,8 )
= 60,5 m
Jarak gading pada Main Deck
0,67 x 91 jarak gading = 60 m
F.4.5. Jarak Sekat Tubrukan
Jarak minimum = 0,05 x Lpp
= 0,05 x 97,00
= 4,85 m
Jarak maximum = 0,08 x Lpp
= 0,08 x 97,00
= 7,76 m
Jarak sekat tubrukan di ambil 6,7 m
24
TUGAS RENCANA GARIS
PERENCANAAN KAPAL TANKER
MT ” T ALITAN” 4000 BRT LINES PLAN
G. PERHITUNGAN UKURAN DAUN KEMUDI
Perhitungan ukuran daun kemudi
Perhitungan kemudi menurut BKI 2001 Vol II (hal 14 Sec. 14-1. A.3)
A = C1 x C2 x C3 x C4 x
100
TxLx1,75
(m2
)
Dimana :
A = Luas daun kemudi dalam m2
L = Panjang kapal = 97,00 m
T = Sarat kapal = 6,83 m
C1 = Faktor untuk type kapal = 1,0
C2 = Faktor untuk type kemudi = 1,0
C3 = Faktor untuk profil kemudi = 1,0
C4 = Faktor untuk rancangan type kemudi = 1, untuk kemudi dengan jet
propeller.
Jadi :
A = 1,0 x 1,0 x 1,0 x 1,0 x
100
83,600,9775,1 xx
(m2
)
= 11,594 m2
Koreksi luas daun kemudi (Buku Perlengkapan kapal ITS hal 51)
= 3 6,2-
BxCb
Lpp
0,023
< TxLpp
A
< 3 7,2-
BxCb
Lpp
0,03
= 2,6
1,1574,0
00,97
023,0
−
x
<
83,600,97
594,11
x
<
2,7
1,1574,0
00,97
03,0
−
x
= 0,017 < 0,018 < 0,026
25
TUGAS RENCANA GARIS
PERENCANAAN KAPAL TANKER
MT ” T ALITAN” 4000 BRT LINES PLAN
G.1. Ukuran Daun Kemudi
A = h x b Dimana h = Tinggi daun kemudi
b = Lebar daun kemudi
Menurut ketentuan perlengkapan kapal ITS halaman 53 harga perbandingan
h / b = 1,5 – 2,0
Diambil 1,8 sehingga 1,8 = h / b  h = 1,8 x b
A = h x b
A = 1,6 x b x b
11,594 = 1,8 x b2
b = 6,1/594,11
= 2,692 m
h = A / b Maka b = 2,692 m
= 11,594 / 2, 692 h = 4,307 m
= 4,307 m
Luas bagian yang dibalansir dianjurkan < 35 %, diambil 23 % dari
Seluruh luas kemudi ( buku perlengkapan kapal hal 52 )
A’ = 20 % x A
= 20 % x 11,594
= 2,319 m2
Lebar bagian yang dibalansir pada potongan sembarang horizontal
< 35% dari lebar sayap kemudi ( buku perlengkapan kapal hal 52 )
Di ambil 21,5 %
b’ = 30 % x b
= 30 % x 2,69
= 0,808 m
Dari ukuran diatas dapat diambil ukuran daun kemudi :
 Luas daun kemudi (A) = 11,594 m2
 Luas bagian balansir (A’) = 2,319 m2
 Tinggi daun kemudi (h’) = 4,3 m
26
TUGAS RENCANA GARIS
PERENCANAAN KAPAL TANKER
MT ” T ALITAN” 4000 BRT LINES PLAN
 Lebar daun kemudi (b’) = 2,69 m
 Lebar bagian balansir = 0,808 m
G.2. Perhitungan Gaya Kemudi
G.2.1. Menurut BKI 2001 Vol II (hal 14-3 Sec B.1.1) tentang gaya
kemudi adalah :
CR = 132 x A x V2
x k1 x k2 x k3 x kt (N)
Dimana :
A = Luas daun kemudi m² = 11,594 m²
V = Kecepatan dinas kapal = 13 Knots
K1 = Koefisien yang bergantung pada aspek ratio ( Δ )
Δ = h² = (4,3)²
A 11,594
= 1,6
K1 =
3
2+∆
=
3
26,1 +
, dimana besarnya Δ tidak
boleh lebih dari 2
= 1,2
k2 = Koefisien yang tergantung dari type kemudi = 1,1
k3 = 1,15 untuk kemudi dibelakang propeller
kt = 1,0 (normal)
Jadi :
CR = 132 x 11,594 x (13)2
x 1,2 x 1,1 x 1,15 x 1,0
= 392611,389 N
27
TUGAS RENCANA GARIS
PERENCANAAN KAPAL TANKER
MT ” T ALITAN” 4000 BRT LINES PLAN
H. PERHITUNGAN SEPATU KEMUDI
Modulus penampang dari sepatu kemudi terhadap sumbu Z, menurut BKI
2001 Vol II hal 13-3
Dimana :
Bl = Gaya kemudi dalam resultan
B1 = CR / 2
CR = Gaya Kemudi
CR = 392611,389 N
B1 = 392611,389 / 2
= 196305,695 N
x = Jarak masing-masing irisan penampang yang bersangkutan terhadap
sumbu kemudi
x = 0,5 x L50 (x minimum)
L50 = (x maximum), dimana :
L50 = 3
R
10Pr x
C
Dimana Pr = 3
10
R
10xL
C
;
L10 = Tinggi daun kemudi h = 4,445 m
Pr = 3
4,307x10
392611,389
= 91,157 N/m
L50 = 3
R
10Pr x
C
L50 = 3
91,157x10
392611,389
= 4,307 m, di ambil 2,68 = 4 jarak gading
X min = 0,5 x L50
= 0,5 x 2,68
= 1,34 m
k = Faktor bahan = 1,0
28
TUGAS RENCANA GARIS
PERENCANAAN KAPAL TANKER
MT ” T ALITAN” 4000 BRT LINES PLAN
WZ =
80
kxXxB1
=
80
0,134,1695,196305 xx
= 3288,1088 cm3
WY = 1/3 x WZ
= 1/3 x 3288,1088
= 1094,94 cm3
Perencanaan profil sepatu kemudi dengan plat dengan ukuran
sebagai berikut :
Tinggi ( h ) = 325 mm
Tebal ( s ) = 120 mm
Lebar ( b ) = 305 mm
No B H F = b x h a F x a 2
Iz = 1/12 x b x h3
I 30.5 8.13 247.8125 0 0 1363.291
II 12.0 16.25 195.0 9.25 16684.688 4291.016
III 12.0 16.3 195.0 0 0 4291.016
IV 12.0 16.3 195.0 9.25 16684.688 4291.016
V 30.5 8.1 247.8125 0 0 1363.291
Σ 1 33369.375 Σ 2 15599.6297
IZ =
1∑ +
2∑
= 33369,375 + 15599,6297
= 48969,005 cm4
Harga Wz yang akan direncanakan
WZ’ = IZ / Amax
= 48969,005 / 9,25
= 5293,946 cm3
Wy’ = WZ’/ 3
= 5293,946 / 3
= 1764,648 cm3
29
TUGAS RENCANA GARIS
PERENCANAAN KAPAL TANKER
MT ” T ALITAN” 4000 BRT LINES PLAN
. Koreksi perhitungan Wz
= %100
.
....
x
nPerhitungaWz
nPerhitungaWznPerencanaaWz −
= %100
946,5293
946,5293308,5284
x
−
= 0,00182 x 100%
= 0,182 % < 0,5 % (Memenuhi Syarat)
I. STERN CLEARANCE
Ukuran diameter propeller ideal adalah (0,6 – 0,7) T, dimana T = Sarat kapal
Diambil 0,65 x T
D Propeller Ideal adalah
= 0,6 x T
= 0,6 x 6,83
= 4,098 m diambil 4,1 m
R (Jari – jari Propeller)
= 0,5 x D Propeller
= 0,5 x 4,1
= 2,05 m
Diameter Boss Propeller
= 1/6 x D
= 1/6 x 4,1
= 0,683 m
Menurut konstruksi lambung BKI, untuk kapal baling - baling tunggal jarak
minimal antara baling – baling dengan linggi buritan menurut aturan
konstruksi BKI 2001 Vol II Sec 13 – 1 adalah sebagai berikut :
a. 0,1 x D = 0,1 x 4,1
= 0,41 m
b. 0,09 x D = 0,09 x 4,1
= 0,369 m
c. 0,17 x D = 0,17 x 4,1
30
TUGAS RENCANA GARIS
PERENCANAAN KAPAL TANKER
MT ” T ALITAN” 4000 BRT LINES PLAN
= 0,697 m
d. 0,15 x D = 0,15 x 4,1
= 0,615 m
e. 0,18 x D = 0,18 x 4,1
= 0,738 m
f. 0,04 x D = 0,04 x 4,1
= 0,164 m
g. 2” – 3” Diambil 3” = 3 x 4,1
= 0,0762
Jarak poros propeller dengan Base Line adalah
R Propeller + f + Tinggi sepatu kemudi
= 2,05 + 0,164 + 0,325
= 2,539 m
31

LINES PLAN TANKER SHIP MT ALITAN

  • 1.
    TUGAS RENCANA GARIS PERENCANAANKAPAL TANKER MT ” T ALITAN” 4000 BRT LINES PLAN PERHITUNGAN RENCANA GARIS ( LINES PLAIN ) A. PERHITUNGAN DASAR 1. Panjang Garis Air Muat (Lwl) Lwl = Lpp + 2 % x Lpp = 97,00 + 2 % x 97,00 = 98,94 m 2. Panjang Displacement (L Displ) L Displ = 0,5 x ( Lwl + Lpp ) = 0,5 x ( 98,94 + 97,00 ) = 97,97 m 3. Coefisien Midship (Cm) Formula Arkent Bont Shocker. Cm = 0,90 + 0,10 x √Cb = 0,90 + 0,10 x 0,74 = 0,986 Memenuhi Syarat kapal barang sedang Cm = 0,94 - 0,98 4. Coefisien Prismatik (Cp) Formula Troast Cp = Cb / Cm = 0,74 / 0,986 = 0,750 Memenuhi Syarat kapal barang sedang Cp = 0,68 – 0,82 1
  • 2.
    TUGAS RENCANA GARIS PERENCANAANKAPAL TANKER MT ” T ALITAN” 4000 BRT LINES PLAN 5. Coefisien Garis Air (Cw) Formula Troast Cw = 025,0−Cb = 025,074,0 − = 0,846 Memenuhi Syarat kapal barang sedang Cw = 0,80 – 0,87 2
  • 3.
    TUGAS RENCANA GARIS PERENCANAANKAPAL TANKER MT ” T ALITAN” 4000 BRT LINES PLAN 6. Luas Garis Air (Awl ) Awl = Lwl x B x Cw = 98,94 x 15,1 x 0.846 = 1263,287 m2 7. Luas Midship (Am) Am = B x T x Cm = 15,1 x 6,83 x 0,986 = 101,692 m2 8. Volume Displacement (C Displ) V Displ = Lpp x B x T x Cb = 97,00 x 15,1 x 6,83 x 0,74 = 7402,887 m2 9. Coefisien Prismatik Displacement (Cp Displ) Cp Displ = Lpp / L Displ x Cp = 97,00 / 97,97x 0,75 = 0,743 10. Displacement (D) D = Vol Displ x γ x c Dimana : γ = 1,025 Berat jenis air laut c = 1,004 Berat jenis air laut = 7402,887 x 1,025 x 1,004 = 7618,311 Ton 3
  • 4.
    TUGAS RENCANA GARIS PERENCANAANKAPAL TANKER MT ” T ALITAN” 4000 BRT LINES PLAN B. MENENTUKAN LETAK LCB B.1. Dengan menggunakan Cp Displacement pada grafik NSP pada Cp Displacement = 0,685 Didapat letak titik LCB (Longitudinal Centre Bouyancy ) = 1,5 % x L Displ, Dimana L Displ = 97,97m Cp Displ = Lpp / L Displ x Cp = 97,00 / 97,97 x 0,75 = 0,743 B.1.1. Letak LCB Displ menurut grafik NSP LCB Displ = 1,5 % x L Displ = 1,5 % x 97,97 = 1,763 m ( Di depan midship Lpp) B.1.2. Jarak midship ( ) L Displ ke FP Displ = 0,5 x L Displ = 0,5 x 97,97 = 48,985 m B.1.3. Jarak midship ( ) Lpp ke FP Lpp = 0,5 x Lpp = 0,5 x 97,00 = 48,5 m B.1.4. Jarak antara midship ( ) L Displ dengan midship ( ) Lpp = Displ - Lpp = 48,985- 48,5 = 0,485 m B.1.5. Jarak antara LCB terhadap midship ( ) Lpp = 1,763 - 0,485 = 1,278 m ( Di depan Lpp) 4
  • 5.
    TUGAS RENCANA GARIS PERENCANAANKAPAL TANKER MT ” T ALITAN” 4000 BRT LINES PLAN B.2. Menurut diagram NSP dengan luas tiap section (Am) = 94,56 m2 No. Ord % % Terhadap Am Fs Hasil Fm Hasil AP 0 0.000 1 - -10 - 1 0.11 11.186 4 44.74 4 -9 -402.698 2 0.34 34.575 2 69.15 0 -8 -553.202 3 0.55 55.930 4 223.72 1 -7 -1,566.050 4 0.76 77.286 2 154.57 1 -6 -927.427 5 0.85 86.438 4 345.75 1 -5 -1,728.756 6 0.94 95.590 2 191.18 0 -4 -764.720 7 0.99 100.675 4 402.69 8 -3 -1,208.095 8 1 101.692 2 203.38 3 -2 -406.766 9 1 101.692 4 406.76 6 -1 -406.766 Σ2 -7,964.481 10 1 101.692 2 203.38 3 0 - 11 1 101.692 4 406.76 6 1 406.766 12 1 101.692 2 203.38 3 2 406.766 13 1 101.692 4 406.76 6 3 1,220.298 14 0.99 100.675 2 201.34 9 4 805.397 15 0.97 98.641 4 394.56 3 5 1,972.816 16 0.86 87.455 2 174.90 9 6 1,049.457 17 0.76 77.286 4 309.14 2 7 2,163.996 18 0.47 47.795 2 95.59 0 8 764.720 19 0.2 20.338 4 81.35 3 9 732.179 FP 0 0.000 1 - 10 - Σ 1 4,519.17 2 Σ 3 9,522.395 5
  • 6.
    TUGAS RENCANA GARIS PERENCANAANKAPAL TANKER MT ” T ALITAN” 4000 BRT LINES PLAN B.2.1. h = L Displ / 20 = 97,97 / 20 = 4,899 m B.2.2. Volume Displacement V Displ = 1/3 x h x 1∑ = 1/3 x 4,899 x 4.519,172 = 7379,172 m3 B.2.3. Letak LCB NSP LCB NSP = 1 32 ∑ ∑+∑ x 20 DisplL = 172,4519 522,39597964,481+− x 20 97,97 = 1,689 m B.2.4. Koreksi prosentase penyimpangan LCB = DisplL NSPLCB-DisplLCB x 100 % = 97,97 1,689-1,7635 x 100 % = 0,00076 x 100 % = 0,076 % < 0,1 % ( Memenuhi ) B.2.5. Koreksi prosentase penyimpangan untuk volume Displ = AwalDisplVol NSPDisplVol-AwalDisplVol x 100 % = 7402,887 7379,054-7402,887 x 100 % = 0,00322 x 100 % = 0,322 % < 0,5 % ( Memenuhi ) 6
  • 7.
    TUGAS RENCANA GARIS PERENCANAANKAPAL TANKER MT ” T ALITAN” 4000 BRT LINES PLAN B.3. Perhitungan prismatik depan ( Qf ) dan koefisien prismatik belakang (Qa) berdasarkan Tabel “Van Lamerent” Dimana : Qf = Koefisien prismatik bagian depan midship Lpp Qa = Koefisien prismatik bagian belakang midship Lpp e = Perbandingan jarak LCB terhadap Lpp = ( LCB Lpp / Lpp ) x 100 % = ( 1,278 / 97,00 ) x 100 % = 0,01318 Dengan rumus tersebut diatas dapat dihitung harga Qa dan Qf dengan rumus berikut : Qa = Qf = Cp ± (1,4 + Cp) x e Dimana : Qf = Cp + ( 1,40 + Cp ) x e = 0,75 + ( 1,40 + 0,75) x 0,01318 = 0,779 Qa = Cp - ( 1,40 + Cp ) x e = 0,75 - ( 1,40 + 0,75) x 0,01318 = 0,7221 7
  • 8.
    TUGAS RENCANA GARIS PERENCANAANKAPAL TANKER MT ” T ALITAN” 4000 BRT LINES PLAN Tabel CSA lama menurut Van Lamerent ( Lama ) Am = 101,692 m2 No. Ord Luas Station Luas Station Terhadap Am AP 0 0 0,25 0.086 8.745 0,5 0.182 18.508 0,75 0.285 28.982 1 0.388 39.456 1,5 0.586 59.591 2 0.75 76.269 2,5 0.873 88.777 3 0.95 96.607 4 0.998 101.488 5 1 101.692 6 1 101.692 7 0.989 100.573 7,5 0.948 96.404 8 0.859 87.353 8,5 0.713 72.506 9 0.502 51.049 9,25 0.38 38.643 9,5 0.251 25.525 9,75 0.121 12.305 FP 0 0 ∑ 1206.163 P = LCB Displacemen = 1,7635 Q = LCB NSP = 1,689 b = (3Cp-1) / 4 Cp = 0,2348 tb = 23,88 8
  • 9.
    TUGAS RENCANA GARIS PERENCANAANKAPAL TANKER MT ” T ALITAN” 4000 BRT LINES PLAN Tabel luas tiap section terhadap Am menurut Van Lamerent ( Baru ) Am = 101,692m2 No % Luas Luas Station FS Hasil Fm Hasil ORD Station terhadap Am AP 0.067 6.81 3 0.2 5 1.70 3 -5 -8.51 7 0.25 0.139 14.13 5 1 14.13 5 -4.75 -67.14 2 0.5 0.198 20.13 5 0.5 10.06 7 -4.5 -45.30 4 0.75 0.398 40.47 3 1 40.47 3 -4.25 -172.01 1 1 0.432 43.93 1 0.7 5 32.94 8 -4 -131.79 2 1.5 0.658 66.91 3 2 133.82 6 -3.5 -468.39 1 2 0.831 84.50 6 1 84.50 6 -3 -253.51 7 2.5 0.89 90.50 5 2 181.01 1 -2.5 -452.52 7 3 0.834 84.81 1 1.5 127.21 6 -2 -254.43 2 4 0.862 87.65 8 4 350.63 2 -1 -350.63 2 5 1 101.69 2 2 203.38 3 0 - - Σ 2 -2,204.26 6 6 0.999 101.59 0 4 406.35 9 1 406.35 9 7 0.98 99.65 8 1.5 149.48 7 2 298.97 3 7.5 0.957 97.31 9 2 194.63 8 2.5 486.59 4 8 0.932 94.77 7 1 94.77 7 3 284.33 0 8.5 0.612 62.23 5 2 124.47 0 3.5 435.64 7 9 0.421 42.81 2 0.7 5 32.10 9 4 128.43 6 9.25 0.412 41.89 7 1 41.89 7 4.25 178.06 2 9.5 0.379 38.54 1 0.5 19.27 1 4.5 86.71 7 9.75 0.348 35.38 9 1 35.38 9 4.75 168.09 6 FP 0 - 0.2 5 - 0 - Σ 1 2,278.29 7 Σ3 2,473.21 4 9
  • 10.
    TUGAS RENCANA GARIS PERENCANAANKAPAL TANKER MT ” T ALITAN” 4000 BRT LINES PLAN h = L pp / 10 = 97,00 / 10 = 9,7 m Volume Displacement pada Main Part V Displ = 1/3 x Lpp / 10 x 1∑ = 1/3 x 97,00/ 10 x 2278,297 = 7366,494 m3 Letak LCB pada Main Part LCB = 1 32 ∑ ∑+∑ x h = 214,2473 214,2473266,2204 +− x 9,7 = 1,145 m Perhitungan pada Cant Part No Ord Luas Station FS Hasil FM Hasil AP ½ AP 0 0 3,407 6,813 1 4 1 0 13,627 6,814 0 1 2 0 13,627 13,627 1∑ = 20,440 2∑ = 27,253 e = 2 Lpp-Lwl = 2 00,9794,98 − = 0,97 m 10
  • 11.
    TUGAS RENCANA GARIS PERENCANAANKAPAL TANKER MT ” T ALITAN” 4000 BRT LINES PLAN Volume Cant Part = 1/3 x e x 1∑ = 1/3 x 0,97 x 20,440 = 6,609 m3 LCB Cant Part terhadap ( ) AP = 1 2 ∑ ∑ x e = 440,20 253,27 x 0,97 = 1,293m Jarak LCB Cant Part terhadap ( ) AP = 1/2 x Lpp + LCB Cant Part = 1/2 x 97,00 + 1,293 = 49,793 m Volume Displacement total V Displ Total = V Displ MP + V Displ Cp = 7366,494 + 6,609 = 7373,103 m LCB total terhadap ( ) Lpp = AwalntDisplecemaVol CPVolxCPLCBMPVolxMPLCB .. .).....(..).....(. + = 103,7373 )609,67933,49()494,7366145,1( xx + = 1,189 m B.4. Koreksi Hasil Perhitungan a. Koreksi untuk Volume Displacement = AwalntDisplacemeVolume AwalntDisplacemeVolumeTotalVolume .. ..... + x 100 % = 054,7379 103,7373054,7379 − x 100 % 11
  • 12.
    TUGAS RENCANA GARIS PERENCANAANKAPAL TANKER MT ” T ALITAN” 4000 BRT LINES PLAN = 0,0807 % < 0,5 % (Memenuhi) b. Koreksi untuk prosentase penyimpangan LCB = Lpp dshipLppTerhadapMiTotalLCBAwalLCB ... − x 100 % = 00,97 189,1278,1 − x 100 % = 0,093 % < 0,1 % (Memenuhi) 12
  • 13.
    TUGAS RENCANA GARIS PERENCANAANKAPAL TANKER MT ” T ALITAN” 4000 BRT LINES PLAN C. RENCANA BENTUK GARIS AIR C.1. Perhitungan Besarnya Sudut Masuk ( α ) Untuk menghitung besarnya sudut masuk garis air berdasarkan Coefisien Prismatik Depan ( Qf ). Dimana : Pada perhitungan penentuan letak LCB, Cp = 0,779 Dari grafik Latsiun sudut masuk = 18 o Penyimpangan = + 3 atau – 3, di ambil + 3 Maka besarnya sudut masuk yang diperoleh = 18˚ + 3˚ = 21˚ C.2. Perhitungan Luas Bidang Garis Air No. Ord. Y=1/2 B FS Hasil AP 1.270 0.25 0.318 0.25 2.810 1 2.810 0.5 4.230 0.5 2.115 0.75 5.590 1 5.590 1 6.680 0.75 5.010 1.5 7.550 2 15.100 2 7.550 1 7.550 2.5 7.550 2 15.100 3 7.550 1.5 11.325 4 7.550 4 30.200 5 7.550 2 15.100 6 7.550 4 30.200 7 7.55 1.5 11.325 7.5 7.550 2 15.100 8 6.970 1 6.970 8.5 5.960 2 11.920 9 4.310 0.75 3.233 9.25 3.290 1 3.290 9.5 2.130 0.5 1.065 9.75 0.900 1 0.900 FP 0.000 0.25 0.000 Σ 194.220 13
  • 14.
    TUGAS RENCANA GARIS PERENCANAANKAPAL TANKER MT ” T ALITAN” 4000 BRT LINES PLAN C.2.1 Luas garis air pada Main Part AWL MP = 2 x 1/3 x ( LPP / 10 ) x 1∑ = 2 x 1/3 x ( 97,00 / 10 ) x 194,22 = 1255,956 m² C.2.2 Rencana bentuk garis air pada Cant Part No Ord Luas Station FS Hasil AP ½ AP 0 1,270 0,635 0 1 4 1 1,270 2,540 0 1∑ = 3,81 = 2 Lpp-Lwl = 2 00,9794,98 − = 0,97 m C.2.3 Luas garis air pada Cant Part (Awl Cp) Awl Cp = 2 x e x 1∑ = 2 x 0,97 x 3,81 = 7,3914 m² C.2.4 Luas total garis air (Awl Total) Awl Total = Luas Main Part + Luas Cant Part = 1255,956 + 7,3914 = 1263,347 m2 C.2.5 Koreksi luas garis air = AwalLuas AwalLuasTotalLuas . .... − x 100 % 14
  • 15.
    TUGAS RENCANA GARIS PERENCANAANKAPAL TANKER MT ” T ALITAN” 4000 BRT LINES PLAN = 29,1263 347,126329,1263 − x 100 % = 0,00482 % < 0,5 % (Memenuhi Syarat) D. PERHITUNGAN RADIUS BILGA Dimana : B = 15,1 m H = 7,8 m T = 6,83 m A = Rise Of Floor = 0,01 x B = 0,01 x 15,1 = 0,151 m R = Jari – jari Bilga M = Titik pusat kelelngkungan bilga D.1. Dalam Segitiga ABC Tg α2 = BC AB = 151,0 55,7 α2 = 88,850º α1 = 0,5 x (180 - a2) = 0,5 x 91,15 = 45,58 º D.2. Perhitungan D.2.1. Luas Trapesium AFEHCD = ½ B x ( AD + CE ) = 0,5 x 15,1 x ( 6,83 + 6,679 ) = 50,996 m2 D.2.2. Luas AFGHCD = ½ Luas Midship = ½ x B x T x Cm (m2 ) = ½ x 15,1 x 6,83 x 0,986 = 50,846 m2 D.2.3. Luas FGHCF 15
  • 16.
    TUGAS RENCANA GARIS PERENCANAANKAPAL TANKER MT ” T ALITAN” 4000 BRT LINES PLAN = Luas trapesium ACED - Luas AFHEDA = 50,996 – 50,846 = 0,151 m2 D.2.4. Luas FCG = ½ x Luas FGHCF = ½ x 0,151 = 0,075 m2 D.2.5. Luas MFC = ½ x MF x FC = ½ x R x R Tg α1 Luas juring MFG = α1 / 360 x лR2 = Luas MFC - Luas juring MFG = 0,428 R2 Jadi Luas ACED - Luas AFHEDA = Luas MFC - Luas juring MFG 50,996 – 50,846 = ( 0,5 R2 Tg α1) – ( α1 / 360 x лR2 ) 0,151 = 0,5 R2 x 0,428 R2 0,151 = 0,147 R2 R2 = 1,022 R = 1,011 m 16
  • 17.
    TUGAS RENCANA GARIS PERENCANAANKAPAL TANKER MT ” T ALITAN” 4000 BRT LINES PLAN E. MERENCANAKAN BENTUK BODY PLAN 1. Merencanakan bentuk body plan adalah Merencanakan atau membuat bentuk garis air lengkung padapotongan ordinat. 2. Langkah – langkah  Membuat empat persegi panjang dengan sisi ½ B dan T  Pada garis air T diukurkan garis b yang besarnya = ½ luas station dibagi T.  Dibuat persegi panjang ABCD  Diukurkan pada garis air T garis air Y = ½ lebar garis air pada station yang bersangkutan.  Dari titik E kita merencanakan bentuk station sedemikian sehingga luas ODE = luas OAB letak titik O dari station – station harus merupakan garis lengkung yang stream line.  Setelah bentuk station selesai dibuat, dilakukan pengecekan volume displacement dari bentuk-bentuk station.  Kebenaran dari lengkung – lengkung dapat dicek dengan menggunakan Planimeter. 17 C ED BA
  • 18.
    TUGAS RENCANA GARIS PERENCANAANKAPAL TANKER MT ” T ALITAN” 4000 BRT LINES PLAN E.1. Rencana Bentuk Body Plan T = 6,83 m 2 T = 13,66 m No. Ord Y = 1/2 B b = ls/2t Luas station AP 1.270 0.499 6.813 0.25 2.810 1.035 14.135 0.5 4.230 1.474 20.135 0.75 5.590 2.963 40.473 1 6.680 3.216 43.931 1.5 7.550 4.898 66.913 2 7.550 6.186 84.506 2.5 7.550 6.626 90.505 3 7.550 6.209 84.811 4 7.550 6.417 87.658 5 7.550 7.444 101.692 6 7.550 7.437 101.590 7 7.550 7.296 99.658 7.5 7.550 7.124 97.319 8 6.970 6.938 94.777 8.5 5.960 4.556 62.235 9 4.310 3.134 42.812 9.25 3.290 3.067 41.897 9.5 2.130 2.821 38.541 9.75 0.900 2.591 35.389 FP 0 0 0 18
  • 19.
    TUGAS RENCANA GARIS PERENCANAANKAPAL TANKER MT ” T ALITAN” 4000 BRT LINES PLAN E.2. Perhitungan Koreksi Volume Displacement Rencana Body Plan Pada Main Part “Menggunakan CSA BARU” No. Ord Luas Station FS Hasil AP 6.813 0.25 1.703 0.25 14.135 1 14.135 0.5 20.135 0.5 10.067 0.75 40.473 1 40.473 1 43.931 0.75 32.948 1.5 66.913 2 133.826 2 84.506 1 84.506 2.5 90.505 2 181.011 3 84.811 1.5 127.216 4 87.658 4 350.632 5 101.692 2 203.383 6 101.590 4 406.359 7 99.658 1.5 149.487 7.5 97.319 2 194.638 8 94.777 1 94.777 8.5 62.235 2 124.470 9 42.812 0.75 32.109 9.25 41.897 1 41.897 9.5 38.541 0.5 19.271 9.75 35.389 1 35.389 FP 0 0.25 0 Σ 2278.297 E.2.1 Displasment perhitungan = Lpp x B x T x Cb = 97,00 x 15,1 x 6,83 x 0,74 = 7402,887 m3 19
  • 20.
    TUGAS RENCANA GARIS PERENCANAANKAPAL TANKER MT ” T ALITAN” 4000 BRT LINES PLAN E.2.2. Volume displasment main part = 1/3 x Lpp/10 x 1∑ = 1/3 x 97,00/ 10 x 2278,297 = 7366,4936 m3 E.2. Perhitungan Koreksi Volume Displacement Rencana Body Plan Pada Cant Part No. Ord Luas Station Fs Hasil Fm Hasil 0 0 1 0.000 0 0 1/2 AP 3.40 7 4 13.627 1 13.627 AP 6.813 1 6.813 2 13.627 ∑ 20.440 ∑ 27.253 E.2.1. e = 2 .. LPPLWL − = 2 00,9794,98 − = 0,970 m E.2.2. Volume Cant Part = 1/3 x e x 1∑ = 1/3 x 0,970 x 20,440 = 6,6089 m3 E.2.3. Volume Displacement perencanaan Total = Vol Displ MP + Vol Displ CP = 7366,4936 + 6,6089 = 7373,1025 m3 20
  • 21.
    TUGAS RENCANA GARIS PERENCANAANKAPAL TANKER MT ” T ALITAN” 4000 BRT LINES PLAN E.2.3. Koreksi penyimpangan volume displacement body plan = %100 .. .... x AwalDisplVol awalDisplVontotalPerencanaaDisplVol − = 887,7402 1025,7373887,7402 − x 100 % = 0,173 % < 0,5 % (Memenuhi Syarat) 21
  • 22.
    TUGAS RENCANA GARIS PERENCANAANKAPAL TANKER MT ” T ALITAN” 4000 BRT LINES PLAN F. PERHITUNGAN CHAMBER, SHEER DAN BANGUNAN ATAS F.1. Perhitungan Chamber Chamber = 1/50 x B = 1/50 x 15,1 = 0,302 m F.2. Tinggi Bulwark = 1,000 m F.3. Perhitungan Sheer F.3.1. Bagian Buritan (Belakang) F.3.1.1. AP = 25 ( Lpp / 3 + 10 ) = 25 ( 97,00/ 3 + 10 ) = 1058,33 mm F.3.1.2. 1/6 Lpp dari AP = 11,1 ( Lpp / 3 + 10 ) = 11,1 (97,00/ 3 + 10 ) = 469,9 mm F.3.1.3. 1/3 Lpp dari AP = 2,8 ( Lpp / 3 + 10 ) = 2,8 (97,00/ 3 + 10 ) = 118,53 mm F.3.2. Bagian Midship (Tengan) = 0 m F.3.3. Bagian Haluan (Depan) F.3.3.1. FP = 50 ( Lpp / 3 + 10 ) = 50 (97,00 / 3 + 10 ) = 2116,67 mm F.3.3.2. 1/6 Lpp dari FP = 22,2 ( Lpp / 3 + 10 ) = 22,2 (97,00 / 3 + 10 ) = 939,8 mm F.3.3.3. 1/3 Lpp dari FP = 5,6 ( Lpp / 3 + 10 ) = 5,6 (97,00/ 3 + 10 ) = 237,07 mm 22
  • 23.
    TUGAS RENCANA GARIS PERENCANAANKAPAL TANKER MT ” T ALITAN” 4000 BRT LINES PLAN F.4. Bangunan Atas (Menurut Methode Varian) F.4.1. Perhitungan Jumlah Gading Jarak gading (a) a = Lpp / 500 + 0,48 = 97,00 / 500 + 0,48 = 0,674 m Jarak yang diambil = 0,670 m Untuk Lpp = 97,00 m Maka 0,67 x 144 jarak gading = 96,48 m 0,52 x 1 jarak gading = 0,52 m 145 jarak gading = 97,00 m F.4.2. Poop Deck (Geladak Kimbul) Panjang Poop Deck (20 % - 30 %) Lpp dari AP, di ambil 25% Panjang = 20 % x Lpp = 20 % x 97,00m = 26,19 m dari AP di ambil 26,8 m Rencana letak gading 40 jarak gading x 0,67 = 26,8 m dari AP Sedang tinggi poop deck 2,0 s/d 2,4 m diambil 2,2 m dari main deck bentuk disesuaikan dengan bentuk buttock line. F.4.3. Fore Castle Deck (Deck Akil) Panjang fore castle deck (10 % - 15 %) Lpp dari FP, di ambil 15% Panjang = 10 % x Lpp = 10 % x 97,00m = 9,7 m Tinggi deck akil (1,9 – 2,2) diambil dari 2,2 dari main deck 23
  • 24.
    TUGAS RENCANA GARIS PERENCANAANKAPAL TANKER MT ” T ALITAN” 4000 BRT LINES PLAN F.4.4. Jarak Gading pada Main Deck Panjang Main Deck LPP – (PanjangFC Deck + ( Panjang Poop Deck ) = 97,00 – ( 9,7 + 26,8 ) = 60,5 m Jarak gading pada Main Deck 0,67 x 91 jarak gading = 60 m F.4.5. Jarak Sekat Tubrukan Jarak minimum = 0,05 x Lpp = 0,05 x 97,00 = 4,85 m Jarak maximum = 0,08 x Lpp = 0,08 x 97,00 = 7,76 m Jarak sekat tubrukan di ambil 6,7 m 24
  • 25.
    TUGAS RENCANA GARIS PERENCANAANKAPAL TANKER MT ” T ALITAN” 4000 BRT LINES PLAN G. PERHITUNGAN UKURAN DAUN KEMUDI Perhitungan ukuran daun kemudi Perhitungan kemudi menurut BKI 2001 Vol II (hal 14 Sec. 14-1. A.3) A = C1 x C2 x C3 x C4 x 100 TxLx1,75 (m2 ) Dimana : A = Luas daun kemudi dalam m2 L = Panjang kapal = 97,00 m T = Sarat kapal = 6,83 m C1 = Faktor untuk type kapal = 1,0 C2 = Faktor untuk type kemudi = 1,0 C3 = Faktor untuk profil kemudi = 1,0 C4 = Faktor untuk rancangan type kemudi = 1, untuk kemudi dengan jet propeller. Jadi : A = 1,0 x 1,0 x 1,0 x 1,0 x 100 83,600,9775,1 xx (m2 ) = 11,594 m2 Koreksi luas daun kemudi (Buku Perlengkapan kapal ITS hal 51) = 3 6,2- BxCb Lpp 0,023 < TxLpp A < 3 7,2- BxCb Lpp 0,03 = 2,6 1,1574,0 00,97 023,0 − x < 83,600,97 594,11 x < 2,7 1,1574,0 00,97 03,0 − x = 0,017 < 0,018 < 0,026 25
  • 26.
    TUGAS RENCANA GARIS PERENCANAANKAPAL TANKER MT ” T ALITAN” 4000 BRT LINES PLAN G.1. Ukuran Daun Kemudi A = h x b Dimana h = Tinggi daun kemudi b = Lebar daun kemudi Menurut ketentuan perlengkapan kapal ITS halaman 53 harga perbandingan h / b = 1,5 – 2,0 Diambil 1,8 sehingga 1,8 = h / b  h = 1,8 x b A = h x b A = 1,6 x b x b 11,594 = 1,8 x b2 b = 6,1/594,11 = 2,692 m h = A / b Maka b = 2,692 m = 11,594 / 2, 692 h = 4,307 m = 4,307 m Luas bagian yang dibalansir dianjurkan < 35 %, diambil 23 % dari Seluruh luas kemudi ( buku perlengkapan kapal hal 52 ) A’ = 20 % x A = 20 % x 11,594 = 2,319 m2 Lebar bagian yang dibalansir pada potongan sembarang horizontal < 35% dari lebar sayap kemudi ( buku perlengkapan kapal hal 52 ) Di ambil 21,5 % b’ = 30 % x b = 30 % x 2,69 = 0,808 m Dari ukuran diatas dapat diambil ukuran daun kemudi :  Luas daun kemudi (A) = 11,594 m2  Luas bagian balansir (A’) = 2,319 m2  Tinggi daun kemudi (h’) = 4,3 m 26
  • 27.
    TUGAS RENCANA GARIS PERENCANAANKAPAL TANKER MT ” T ALITAN” 4000 BRT LINES PLAN  Lebar daun kemudi (b’) = 2,69 m  Lebar bagian balansir = 0,808 m G.2. Perhitungan Gaya Kemudi G.2.1. Menurut BKI 2001 Vol II (hal 14-3 Sec B.1.1) tentang gaya kemudi adalah : CR = 132 x A x V2 x k1 x k2 x k3 x kt (N) Dimana : A = Luas daun kemudi m² = 11,594 m² V = Kecepatan dinas kapal = 13 Knots K1 = Koefisien yang bergantung pada aspek ratio ( Δ ) Δ = h² = (4,3)² A 11,594 = 1,6 K1 = 3 2+∆ = 3 26,1 + , dimana besarnya Δ tidak boleh lebih dari 2 = 1,2 k2 = Koefisien yang tergantung dari type kemudi = 1,1 k3 = 1,15 untuk kemudi dibelakang propeller kt = 1,0 (normal) Jadi : CR = 132 x 11,594 x (13)2 x 1,2 x 1,1 x 1,15 x 1,0 = 392611,389 N 27
  • 28.
    TUGAS RENCANA GARIS PERENCANAANKAPAL TANKER MT ” T ALITAN” 4000 BRT LINES PLAN H. PERHITUNGAN SEPATU KEMUDI Modulus penampang dari sepatu kemudi terhadap sumbu Z, menurut BKI 2001 Vol II hal 13-3 Dimana : Bl = Gaya kemudi dalam resultan B1 = CR / 2 CR = Gaya Kemudi CR = 392611,389 N B1 = 392611,389 / 2 = 196305,695 N x = Jarak masing-masing irisan penampang yang bersangkutan terhadap sumbu kemudi x = 0,5 x L50 (x minimum) L50 = (x maximum), dimana : L50 = 3 R 10Pr x C Dimana Pr = 3 10 R 10xL C ; L10 = Tinggi daun kemudi h = 4,445 m Pr = 3 4,307x10 392611,389 = 91,157 N/m L50 = 3 R 10Pr x C L50 = 3 91,157x10 392611,389 = 4,307 m, di ambil 2,68 = 4 jarak gading X min = 0,5 x L50 = 0,5 x 2,68 = 1,34 m k = Faktor bahan = 1,0 28
  • 29.
    TUGAS RENCANA GARIS PERENCANAANKAPAL TANKER MT ” T ALITAN” 4000 BRT LINES PLAN WZ = 80 kxXxB1 = 80 0,134,1695,196305 xx = 3288,1088 cm3 WY = 1/3 x WZ = 1/3 x 3288,1088 = 1094,94 cm3 Perencanaan profil sepatu kemudi dengan plat dengan ukuran sebagai berikut : Tinggi ( h ) = 325 mm Tebal ( s ) = 120 mm Lebar ( b ) = 305 mm No B H F = b x h a F x a 2 Iz = 1/12 x b x h3 I 30.5 8.13 247.8125 0 0 1363.291 II 12.0 16.25 195.0 9.25 16684.688 4291.016 III 12.0 16.3 195.0 0 0 4291.016 IV 12.0 16.3 195.0 9.25 16684.688 4291.016 V 30.5 8.1 247.8125 0 0 1363.291 Σ 1 33369.375 Σ 2 15599.6297 IZ = 1∑ + 2∑ = 33369,375 + 15599,6297 = 48969,005 cm4 Harga Wz yang akan direncanakan WZ’ = IZ / Amax = 48969,005 / 9,25 = 5293,946 cm3 Wy’ = WZ’/ 3 = 5293,946 / 3 = 1764,648 cm3 29
  • 30.
    TUGAS RENCANA GARIS PERENCANAANKAPAL TANKER MT ” T ALITAN” 4000 BRT LINES PLAN . Koreksi perhitungan Wz = %100 . .... x nPerhitungaWz nPerhitungaWznPerencanaaWz − = %100 946,5293 946,5293308,5284 x − = 0,00182 x 100% = 0,182 % < 0,5 % (Memenuhi Syarat) I. STERN CLEARANCE Ukuran diameter propeller ideal adalah (0,6 – 0,7) T, dimana T = Sarat kapal Diambil 0,65 x T D Propeller Ideal adalah = 0,6 x T = 0,6 x 6,83 = 4,098 m diambil 4,1 m R (Jari – jari Propeller) = 0,5 x D Propeller = 0,5 x 4,1 = 2,05 m Diameter Boss Propeller = 1/6 x D = 1/6 x 4,1 = 0,683 m Menurut konstruksi lambung BKI, untuk kapal baling - baling tunggal jarak minimal antara baling – baling dengan linggi buritan menurut aturan konstruksi BKI 2001 Vol II Sec 13 – 1 adalah sebagai berikut : a. 0,1 x D = 0,1 x 4,1 = 0,41 m b. 0,09 x D = 0,09 x 4,1 = 0,369 m c. 0,17 x D = 0,17 x 4,1 30
  • 31.
    TUGAS RENCANA GARIS PERENCANAANKAPAL TANKER MT ” T ALITAN” 4000 BRT LINES PLAN = 0,697 m d. 0,15 x D = 0,15 x 4,1 = 0,615 m e. 0,18 x D = 0,18 x 4,1 = 0,738 m f. 0,04 x D = 0,04 x 4,1 = 0,164 m g. 2” – 3” Diambil 3” = 3 x 4,1 = 0,0762 Jarak poros propeller dengan Base Line adalah R Propeller + f + Tinggi sepatu kemudi = 2,05 + 0,164 + 0,325 = 2,539 m 31