Embed presentation
Download to read offline









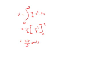
The document discusses calculating the volume of solids of revolution using integrals. It provides the formula for finding the volume of a solid rotated about the x-axis between x=a and x=b using a cross-sectional area function A(x). It then works through an example of finding the volume of a right circular cone of height 4 and base radius 1, and confirms the result matches the standard volume formula for a cone.








