Embed presentation
Download to read offline








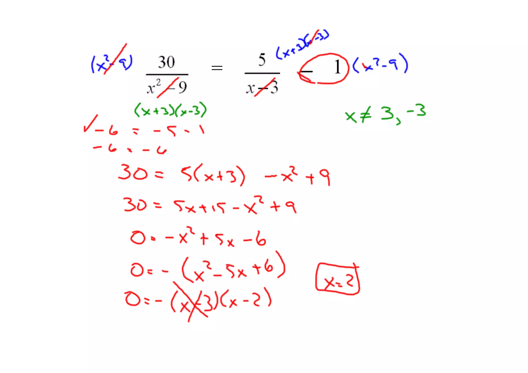
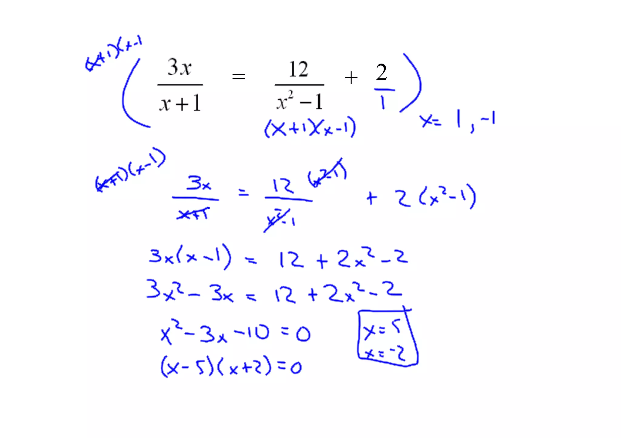
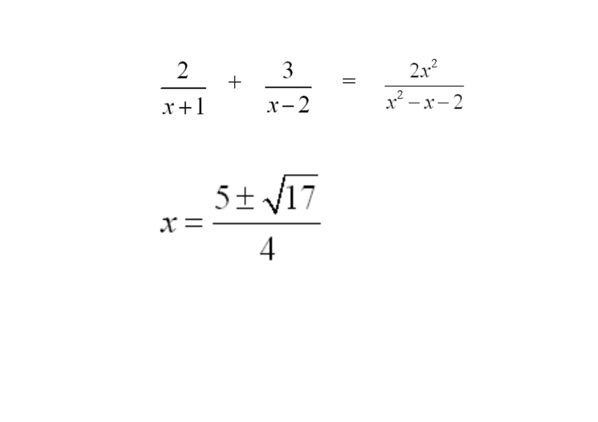
This document discusses solving rational equations by finding the least common denominator, combining like terms, and then solving the resulting equation for the variable. It contains an exercise with questions 1, 6, and 7 about solving rational equations.







