Embed presentation
Download to read offline











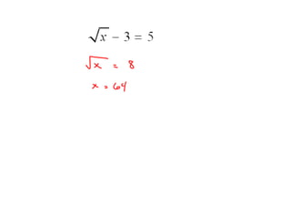
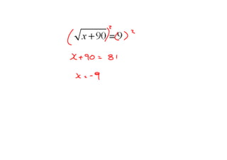
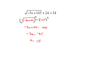
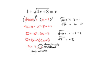
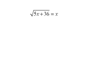
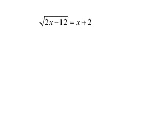
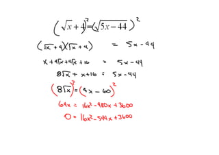
An equation containing a radical is called a radical equation. This document refers to exercises 18 questions 1 through 5 and also questions 8 and 9 which involve solving or working with radical equations. The goal is to extract the key essential information about radical equations from the given document in 3 sentences or less.










