Embed presentation








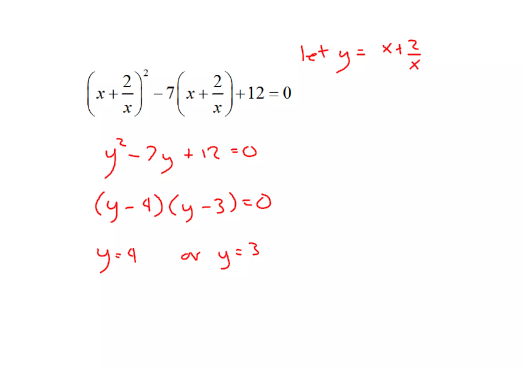
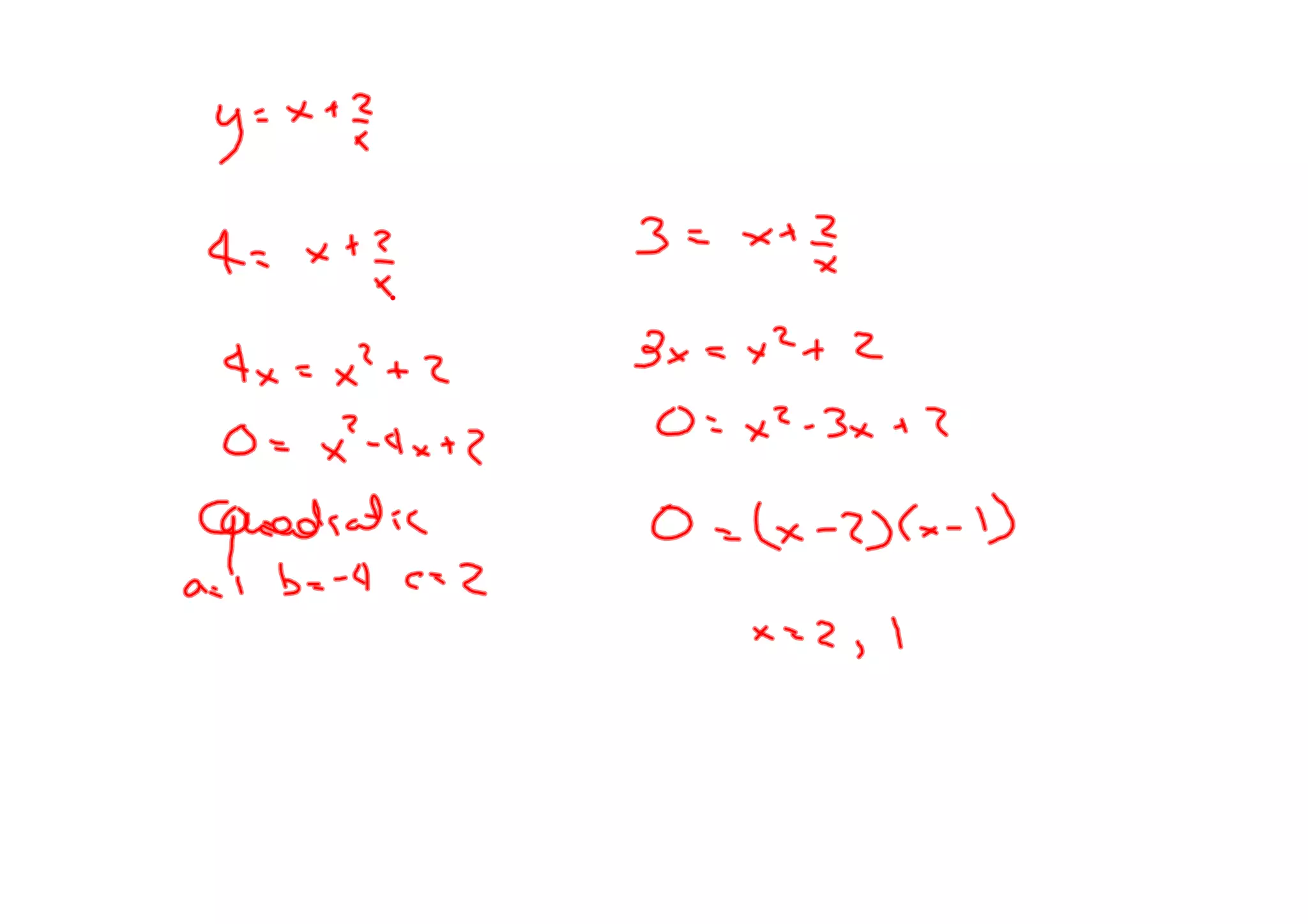
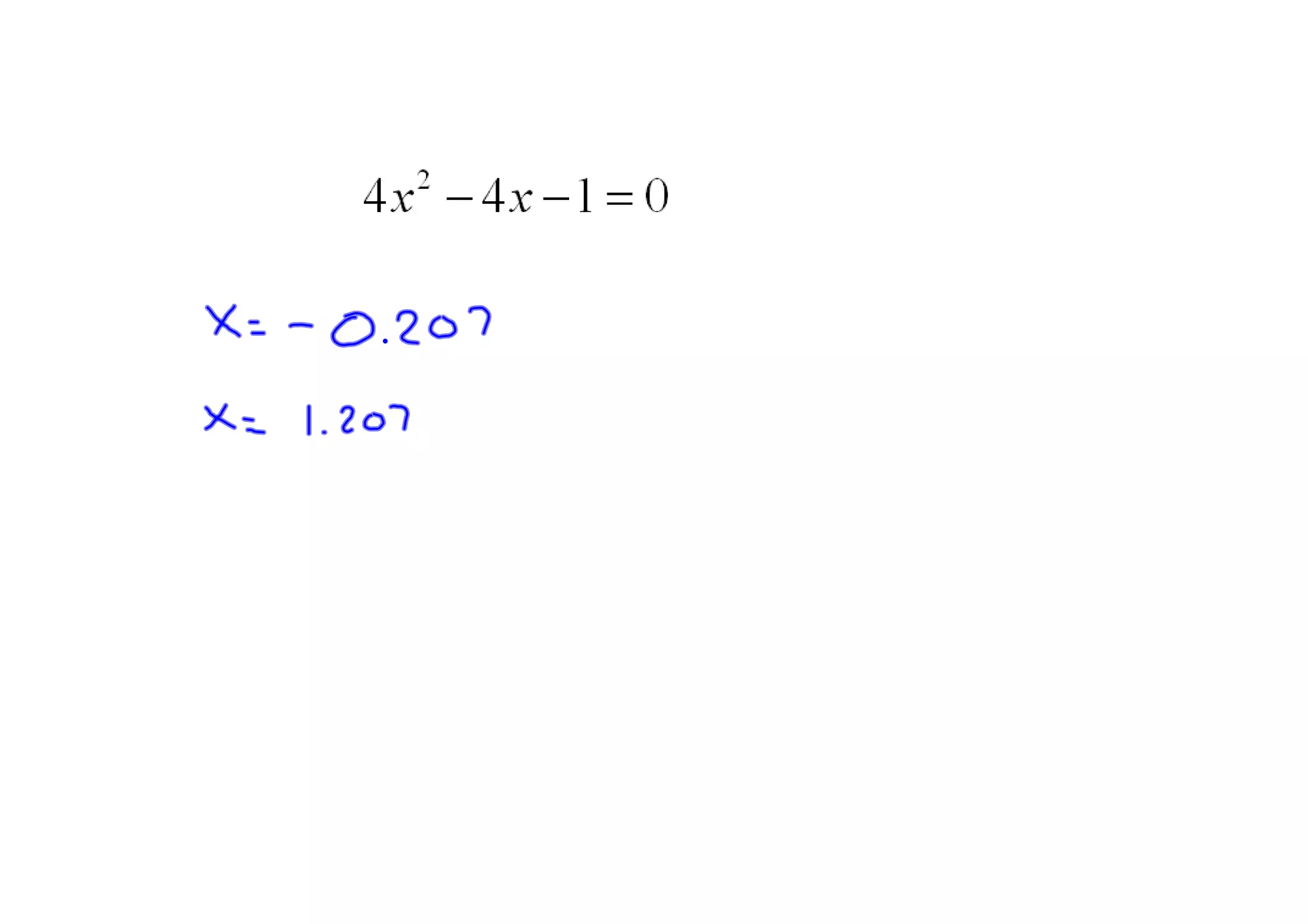
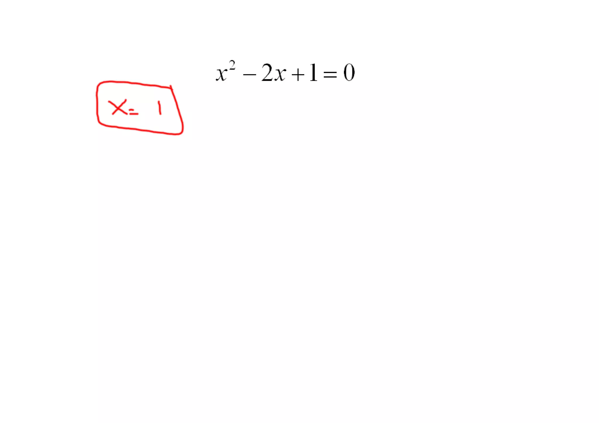
This document provides instructions to solve equations by graphing them. The reader is directed to graph two or more equations simultaneously and find the point(s) of intersection, which will represent the solution(s) to the system of equations. The document references exercise problems 15 questions 1 through 3, which likely involve graphing and solving systems of equations.







