Further Pure Mathematics II
Polar Co-ordinates
- Lesson 1 -
Key Learning Points/Vocabulary:
● Plotting curves given in polar form.
● Investigating the shape of curves given in polar
form with a graphical calculator or computer.
Theory
An equation in polar form is given in the r = f(θ)
where θ is an angle measured anti-clockwise from
the origin/positive x-axis and r is the distance from
the origin.
e.g. If we are working with r = 2 + sin θ when θ = π/2,
r = 3.
Example I
Plot the curve r = θ
r 0 π/12 π/6 π/4 π/3 … 2π
θ
Example II
Plot the curve r = 2 sin(θ)
r 0 π/12 π/6 π/4 π/3 … 2π
θ
Practice
Construct tables showing value of θ between 0
and 2π in steps of π/12. Use these tables to
plot the following curves on polar paper.
• r = θ + sin (2θ)
• r = 2 + cos (θ)
• r = 3 sin (θ)
• r = 1 + sin (θ) + cos (θ)
• r = 1 + sin (θ) + cos (2θ)
• r = 2 + sin (θ) + cos (2θ)
Polar Co-ordinates
Experiment to learn the ‘classic’ curve shapes:
cos _( . ._ sin )
sin 2
(1 cos )
(1 2cos )
cos
sin cos
r a
r a c f r a
r a
r a
r a
r a
r a b
r a a
θ α
θ θ
θ
θ
θ
θ
θ
θ θ
=
=
= =
=
= +
= +
=
=
=
Polar Co-ordinates
Experiment to learn the ‘classic’ curve shapes:
cos _( . ._ sin )
sin 2
(1 cos )
(1 2cos )
cos
sin cos
r a
r a c f r a
r a
r a
r a
r a
r a b
r a a
θ α
θ θ
θ
θ
θ
θ
θ
θ θ
=
=
= =
=
= +
= +
=
=
=
Ray from origin
Circle, centred on the origin, radius a
Circle
Four-leafed clover
Cardioid
Limaçon
Spiral
Rose curve – see investigation
Lemniscate? Daisy
Further Pure Mathematics II
Polar Co-ordinates
- Lesson 2 -
Key Learning Points/Vocabulary:
● Converting between Cartesian and Polar Co-
ordinates.
To start with …
Polar equations/graphs matching activity.
Theory
The 2π convention refers to when all angles are
given as a positive number between 0 and 2π e.g. all
angles are measured anti-clockwise from the
origin/positive x-axis.
The π convention refers to when all angles are
given as a positive or negative number between -π
and +π e.g. all angles are at most half a turn either
way from the origin/positive x-axis.
Examples
1.) Using a.) 2π and b.) π convention, express the
Cartesian point (3, -2) in polar form.
2.) Express the polar co-ordinate (2, 3π/4) in
Cartesian form.
Practice
1.) Using a.) 2π and b.) π convention, express the
Cartesian point (-2, -4) in polar form.
2.) Express the polar co-ordinate (3, -π/4) in
Cartesian form.
3.) Find the area of the triangle form by the origin and
the polar co-ordinates (2, π/4) and (4, 3π/8).
4.) FP2&3, page 96, questions 7 and 8.
Homework
See ‘Homework 1’ posted online.
Further Pure Mathematics II
Polar Co-ordinates
- Lesson 3 -
Key Learning Points/Vocabulary:
● Polar co-ordinates and the use of symmetry.
- 4 - 2 2 4 6
- 2
2
4
x
y
r = 2 + cos θ
If f(θ) = f(-θ) for all values of θ, the graph with polar
equation r = f(θ) is symmetrical about the line θ = 0.
Theory
More generally if f(2α – θ) = f(θ) for all values of θ,
then graph with equations r = f(θ) is symmetrical
about the line θ = α.
Example
Plot the graph r = 2 sin 2θ for 0 ≤ θ ≤ π/2. Prove that
the graph is symmetrical about the line θ = π/4.
Practice
Further Pure Mathematics 2 and 3
Exercise 6C
Questions 1, 3 and 4
Further Pure Mathematics II
Polar Co-ordinates
- Lesson 4 -
Key Learning Points/Vocabulary:
● Determining the maximum and minimum values of
curves given in Polar form.
Derivates from Core 4
Function Derivative
sin (ax) a cos (ax)
cos (ax) - a sin (ax)
tan (ax) a sec2
(ax)
sec (ax) a sec (ax) tan (ax)
- 4 - 2 2 4 6
- 2
2
4
x
y
Example
Determine the maximum and minimum values of
r = 2 + cos θ.
Example II
- 4 - 2 2 4 6
-2
2
4
x
yDetermine the maximum and minimum values of
r = 1 + cos 2θ.
Practice
Further Pure Mathematics 2 and 3
Exercise 6D
Questions 2 – part ii.) of each question only
Further Pure Mathematics II
Polar Co-ordinates
- Lesson 5 -
Key Learning Points/Vocabulary:
● Finding the equations of tangents at the pole
(origin).
Theory
If f(α) = 0 but f(α) > 0 in an interval α < θ < … or
… < θ < α then the line θ = α is a tangent to the graph
r = f(θ) at the pole (origin)
- 6 - 4 - 2 2 4 6
- 4
- 3
- 2
- 1
1
2
3
4
x
yExample
Find the equations of the tangents of r = 1 + cos 3θ
at the pole using the π convention.
Practice
Further Pure Mathematics 2 and 3
Exercise 6D
Questions 2 – part iii.) of each question only
Further Pure Mathematics II
Polar Co-ordinates
- Lesson 6 -
Key Learning Points/Vocabulary:
● Converting between Cartesian and Polar
Equations.
sin θ = y/r
→ y = r sin θ
cos θ = x/r
→ x = r cos θ
x2
+ y2
= r2
Theory
Examples
Convert the following equations into polar form:
i.) y = x2
ii.) (x2
+ y2
)2
= 4xy
Examples (continued)
Convert the following equations into Cartesian form:
iii.) r = 2a cos θ
iv.) r2
= a2
sin 2θ
Practice
Further Pure Mathematics 2 and 3
Exercise 6E
Questions 1 and 2
Homework
See ‘Homework 2’ posted online.
Further Pure Mathematics II
Polar Co-ordinates
- Lesson 7 -
Key Learning Points/Vocabulary:
● Review of Double Angle Formulae from Core 3:
e.g. cos2
θ = … and sin2
θ = …
● Finding areas using Polar co-ordinates.
Integrals from Core 4
Function Derivative
sin (ax) - (1/a) . cos (ax)
cos (ax) (1/a) . sin (ax)
… see next slide for more detail …
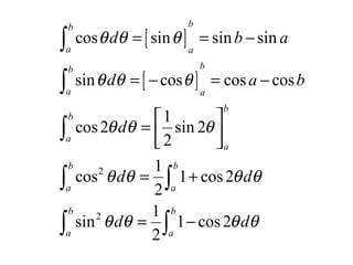
[ ]
[ ]
2
2
cos sin sin sin
sin cos cos cos
1
cos2 sin 2
2
1
cos 1 cos2
2
1
sin 1 cos2
2
bb
a a
bb
a a
b
b
a
a
b b
a a
b b
a a
d b a
d a b
d
d d
d d
θ θ θ
θ θ θ
θ θ θ
θ θ θ θ
θ θ θ θ
= = −
= − = −
 
=   
= +
= −
∫
∫
∫
∫ ∫
∫ ∫
Theory
The area of the region bounded by the graph r = f(θ)
and the radii θ = α and θ = β is given by
θθθ
β
α
β
α
dfdr 22
)]([
2
1
2
1
∫∫ =
Example
- 4 - 2 2 4 6
- 4
- 2
2
x
y
Find the area enclosed by the curve r = aθ for
0 < θ < 2π.
Example II
- 4 - 2 2 4 6
- 4
- 2
2
x
y
Find the area enclosed by the curve r = 2 + cos θ for
- π < θ < π.
Practice
Further Pure Mathematics 2 and 3
Exercise 6F
Questions 1 onwards
Homework
See ‘Homework 3’ posted online.
Further Pure Mathematics II
Polar Co-ordinates
- Lesson 8 -
Key Learning Points/Vocabulary:
● End of Topic Test based on FMN OCR FP2
materials.
● Learning Summary.
● Past Exam Questions.

Lecture 5(polar coordinates)

  • 1.
    Further Pure MathematicsII Polar Co-ordinates - Lesson 1 - Key Learning Points/Vocabulary: ● Plotting curves given in polar form. ● Investigating the shape of curves given in polar form with a graphical calculator or computer.
  • 2.
    Theory An equation inpolar form is given in the r = f(θ) where θ is an angle measured anti-clockwise from the origin/positive x-axis and r is the distance from the origin. e.g. If we are working with r = 2 + sin θ when θ = π/2, r = 3.
  • 3.
    Example I Plot thecurve r = θ r 0 π/12 π/6 π/4 π/3 … 2π θ
  • 5.
    Example II Plot thecurve r = 2 sin(θ) r 0 π/12 π/6 π/4 π/3 … 2π θ
  • 7.
    Practice Construct tables showingvalue of θ between 0 and 2π in steps of π/12. Use these tables to plot the following curves on polar paper. • r = θ + sin (2θ) • r = 2 + cos (θ) • r = 3 sin (θ) • r = 1 + sin (θ) + cos (θ) • r = 1 + sin (θ) + cos (2θ) • r = 2 + sin (θ) + cos (2θ)
  • 8.
    Polar Co-ordinates Experiment tolearn the ‘classic’ curve shapes: cos _( . ._ sin ) sin 2 (1 cos ) (1 2cos ) cos sin cos r a r a c f r a r a r a r a r a r a b r a a θ α θ θ θ θ θ θ θ θ θ = = = = = = + = + = = =
  • 9.
    Polar Co-ordinates Experiment tolearn the ‘classic’ curve shapes: cos _( . ._ sin ) sin 2 (1 cos ) (1 2cos ) cos sin cos r a r a c f r a r a r a r a r a r a b r a a θ α θ θ θ θ θ θ θ θ θ = = = = = = + = + = = = Ray from origin Circle, centred on the origin, radius a Circle Four-leafed clover Cardioid Limaçon Spiral Rose curve – see investigation Lemniscate? Daisy
  • 10.
    Further Pure MathematicsII Polar Co-ordinates - Lesson 2 - Key Learning Points/Vocabulary: ● Converting between Cartesian and Polar Co- ordinates.
  • 11.
    To start with… Polar equations/graphs matching activity.
  • 12.
    Theory The 2π conventionrefers to when all angles are given as a positive number between 0 and 2π e.g. all angles are measured anti-clockwise from the origin/positive x-axis. The π convention refers to when all angles are given as a positive or negative number between -π and +π e.g. all angles are at most half a turn either way from the origin/positive x-axis.
  • 13.
    Examples 1.) Using a.)2π and b.) π convention, express the Cartesian point (3, -2) in polar form. 2.) Express the polar co-ordinate (2, 3π/4) in Cartesian form.
  • 14.
    Practice 1.) Using a.)2π and b.) π convention, express the Cartesian point (-2, -4) in polar form. 2.) Express the polar co-ordinate (3, -π/4) in Cartesian form. 3.) Find the area of the triangle form by the origin and the polar co-ordinates (2, π/4) and (4, 3π/8). 4.) FP2&3, page 96, questions 7 and 8.
  • 15.
  • 16.
    Further Pure MathematicsII Polar Co-ordinates - Lesson 3 - Key Learning Points/Vocabulary: ● Polar co-ordinates and the use of symmetry.
  • 17.
    - 4 -2 2 4 6 - 2 2 4 x y r = 2 + cos θ If f(θ) = f(-θ) for all values of θ, the graph with polar equation r = f(θ) is symmetrical about the line θ = 0.
  • 18.
    Theory More generally iff(2α – θ) = f(θ) for all values of θ, then graph with equations r = f(θ) is symmetrical about the line θ = α.
  • 19.
    Example Plot the graphr = 2 sin 2θ for 0 ≤ θ ≤ π/2. Prove that the graph is symmetrical about the line θ = π/4.
  • 21.
    Practice Further Pure Mathematics2 and 3 Exercise 6C Questions 1, 3 and 4
  • 22.
    Further Pure MathematicsII Polar Co-ordinates - Lesson 4 - Key Learning Points/Vocabulary: ● Determining the maximum and minimum values of curves given in Polar form.
  • 23.
    Derivates from Core4 Function Derivative sin (ax) a cos (ax) cos (ax) - a sin (ax) tan (ax) a sec2 (ax) sec (ax) a sec (ax) tan (ax)
  • 24.
    - 4 -2 2 4 6 - 2 2 4 x y Example Determine the maximum and minimum values of r = 2 + cos θ.
  • 25.
    Example II - 4- 2 2 4 6 -2 2 4 x yDetermine the maximum and minimum values of r = 1 + cos 2θ.
  • 26.
    Practice Further Pure Mathematics2 and 3 Exercise 6D Questions 2 – part ii.) of each question only
  • 27.
    Further Pure MathematicsII Polar Co-ordinates - Lesson 5 - Key Learning Points/Vocabulary: ● Finding the equations of tangents at the pole (origin).
  • 28.
    Theory If f(α) =0 but f(α) > 0 in an interval α < θ < … or … < θ < α then the line θ = α is a tangent to the graph r = f(θ) at the pole (origin)
  • 29.
    - 6 -4 - 2 2 4 6 - 4 - 3 - 2 - 1 1 2 3 4 x yExample Find the equations of the tangents of r = 1 + cos 3θ at the pole using the π convention.
  • 30.
    Practice Further Pure Mathematics2 and 3 Exercise 6D Questions 2 – part iii.) of each question only
  • 31.
    Further Pure MathematicsII Polar Co-ordinates - Lesson 6 - Key Learning Points/Vocabulary: ● Converting between Cartesian and Polar Equations.
  • 32.
    sin θ =y/r → y = r sin θ cos θ = x/r → x = r cos θ x2 + y2 = r2 Theory
  • 33.
    Examples Convert the followingequations into polar form: i.) y = x2 ii.) (x2 + y2 )2 = 4xy
  • 34.
    Examples (continued) Convert thefollowing equations into Cartesian form: iii.) r = 2a cos θ iv.) r2 = a2 sin 2θ
  • 35.
    Practice Further Pure Mathematics2 and 3 Exercise 6E Questions 1 and 2
  • 36.
  • 37.
    Further Pure MathematicsII Polar Co-ordinates - Lesson 7 - Key Learning Points/Vocabulary: ● Review of Double Angle Formulae from Core 3: e.g. cos2 θ = … and sin2 θ = … ● Finding areas using Polar co-ordinates.
  • 38.
    Integrals from Core4 Function Derivative sin (ax) - (1/a) . cos (ax) cos (ax) (1/a) . sin (ax) … see next slide for more detail …
  • 39.
    [ ] [ ] 2 2 cossin sin sin sin cos cos cos 1 cos2 sin 2 2 1 cos 1 cos2 2 1 sin 1 cos2 2 bb a a bb a a b b a a b b a a b b a a d b a d a b d d d d d θ θ θ θ θ θ θ θ θ θ θ θ θ θ θ θ θ = = − = − = −   =    = + = − ∫ ∫ ∫ ∫ ∫ ∫ ∫
  • 40.
    Theory The area ofthe region bounded by the graph r = f(θ) and the radii θ = α and θ = β is given by θθθ β α β α dfdr 22 )]([ 2 1 2 1 ∫∫ =
  • 41.
    Example - 4 -2 2 4 6 - 4 - 2 2 x y Find the area enclosed by the curve r = aθ for 0 < θ < 2π.
  • 42.
    Example II - 4- 2 2 4 6 - 4 - 2 2 x y Find the area enclosed by the curve r = 2 + cos θ for - π < θ < π.
  • 43.
    Practice Further Pure Mathematics2 and 3 Exercise 6F Questions 1 onwards
  • 44.
  • 45.
    Further Pure MathematicsII Polar Co-ordinates - Lesson 8 - Key Learning Points/Vocabulary: ● End of Topic Test based on FMN OCR FP2 materials. ● Learning Summary. ● Past Exam Questions.