Embed presentation
Download as PDF, PPTX













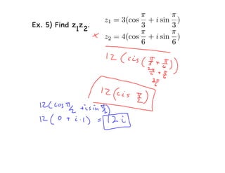
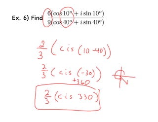
This document provides objectives and examples for converting complex numbers between trigonometric form and rectangular form, and for multiplying and dividing complex numbers in trigonometric form. It includes examples such as graphing and finding the magnitude of a complex number, writing a complex number at a given polar coordinate, and performing operations like multiplication and division on complex numbers expressed in trigonometric form. Students are assigned related practice problems to solidify their understanding.











