1
2
Influence Line
It is the diagram showing the variation in the shear,
moment, reaction, stress in a truss member or any other
direct function due to a unit load moving across the
structure. An influence line is constructed by plotting
direct under the point, where the unit load is placed. An
ordinate the height of which represents to some scale the
value of the particular function being studied when the
load is in that position.
For determinate structures influence lines are always
straight lines.
 First>>> Decide how the stress is to be
calculated.
 Second>> Move the unit load along the span and
observe the effect on the stress in question.
 Third>>> Calculate the controlling ordinates on
the influence line and complete the diagram.
3
Influence Line
4
 
 
0; ,
1 0
1
B
A
A
M clockwise ve
R L L x
L x x
R
L L
 
   

   

 0; ,
1 0
1 1 0
BA
B
B
V upward ve
R R
x
R
L
x
R
L
 
  
    
 

Influence Line of Beam
5
 0; ,
1 0
, 1
A
B
B
A
M clockwise ve
a R L
a
R
L
a
and R
L
 
   
 
 

 0; ,
0BC
BC
V upward ve
V R
V R
 
 
  

 0; ,
0C A
C A
V upward ve
V R
V R
 
  
 

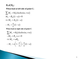
IL of VC:
When load at left side of point C;
When load at right side of point C;
6
 
 
 
 
0; ,
0
C
B
C
BC
C
M L a
R L a
a
M L a
L
M clockwise ve
R
M
 

  
 

 

 
 1
0; ,
0
C
C
C A
BC
a
a a
M a L a
L L
M clockwise ve
M R
M aR

 
     
 
 
  
 

IL of MC:
When load at left side of point C;
When load at right side of point C;
Muller-Breslau Principle :
The ordinates of an influence line for any force are proportional to
the deflected shape of the structure produce by removing the
capacity of the structure to carry the force and then introducing
into the modified structure. A displacement the corresponds to the
restrained removed.
7
8
9
10
Calculation
11
12
Calculation
13
14
15
Calculation
16
17
18
Calculation
19
20
21
More in PDF File (Influence line of girder & Truss).
22
Influence Lines of Truss
23
24
Calculation
Calculation (Cont’d)
25
Calculation (Cont’d)
26
27
Calculation
28
29
Calculation (Cont’d)
30
Calculation (Cont’d)
31
Calculation (Cont’d)
32
Calculation
33
34
Calculation (Cont’d)
More problems in PDF File (Influence line of girder & Truss).

Lecture 4 (cen 309) IUBAT

  • 1.
  • 2.
    2 Influence Line It isthe diagram showing the variation in the shear, moment, reaction, stress in a truss member or any other direct function due to a unit load moving across the structure. An influence line is constructed by plotting direct under the point, where the unit load is placed. An ordinate the height of which represents to some scale the value of the particular function being studied when the load is in that position. For determinate structures influence lines are always straight lines.
  • 3.
     First>>> Decidehow the stress is to be calculated.  Second>> Move the unit load along the span and observe the effect on the stress in question.  Third>>> Calculate the controlling ordinates on the influence line and complete the diagram. 3 Influence Line
  • 4.
    4     0;, 1 0 1 B A A M clockwise ve R L L x L x x R L L              0; , 1 0 1 1 0 BA B B V upward ve R R x R L x R L              Influence Line of Beam
  • 5.
    5  0; , 10 , 1 A B B A M clockwise ve a R L a R L a and R L             0; , 0BC BC V upward ve V R V R          0; , 0C A C A V upward ve V R V R         IL of VC: When load at left side of point C; When load at right side of point C;
  • 6.
    6        0; , 0 C B C BC C M L a R L a a M L a L M clockwise ve R M                1 0; , 0 C C C A BC a a a M a L a L L M clockwise ve M R M aR                    IL of MC: When load at left side of point C; When load at right side of point C;
  • 7.
    Muller-Breslau Principle : Theordinates of an influence line for any force are proportional to the deflected shape of the structure produce by removing the capacity of the structure to carry the force and then introducing into the modified structure. A displacement the corresponds to the restrained removed. 7
  • 8.
  • 9.
  • 10.
  • 11.
  • 12.
  • 13.
  • 14.
  • 15.
  • 16.
  • 17.
  • 18.
  • 19.
  • 20.
  • 21.
    21 More in PDFFile (Influence line of girder & Truss).
  • 22.
  • 23.
  • 24.
  • 25.
  • 26.
  • 27.
  • 28.
  • 29.
  • 30.
  • 31.
  • 32.
  • 33.
  • 34.
    34 Calculation (Cont’d) More problemsin PDF File (Influence line of girder & Truss).