ї
- 1 -
Агуулга
Дадлага ажил №1 /Windows Explorer програм/ 2
Дадлага ажил №2 /Microsoft Word програм/ 3
Дадлага ажил №3 /Microsoft PowerPoint програм/ 17
Тестүүд 21
ї
- 2 -
Дадлага ажил №1
Зорилго: Оюутнуудыг компьютерийн бүтэцтэй танилцуулж, асаах
унтраах ажиллагааг дадлагажуулна. Мөн компьютерийн товчлууртай
танилцуулна.
Windows XP систем дээр ажиллаж сургах, desktop, taskbar-г өөрчлөх,
мөн системийн тохируулга хийх, файл хуулах, зөөх, нэрийг нь өөрчлөх,
хавтас үүсгэх, устгах зэрэг дадлагуудыг эзэмшинэ.
Даалгавар: Доорх үйлдлүүдийг хийж гүйцэтгэ.
1. Start цэснээс taskbar-г сонго
2. Taskbar-н тохиргооноос taskbar-г нуу
3. Start цэсийг жижиг/classic start menu/ хэлбэрээр харуул
4. Programs цэсд шинээр файл оруул
5. Programs цэснээс оруулсан файлаа устга
6esktop-н background-г өөрчил
7. Screen saver-г өөрчил
8. Компьютерийг аюулгүй унтрааж асаа.
1. Desktop дээрх дүрслэлүүдийг нэрээр нь өөрчилж үз
2. Desktop дээрх дүрслэлүүдийг эрэмбэлж харуул
3. Windows Explorer програмыг ажиллуул /2 аргаар/
4. Windows Explorer програм дээр шинээр хавтас үүсгэ /C:>My documents/
5. Үүсгэсэн хавтасныхаа нэрийг өөрчил /өөрийн нэрээр/
6. Ямар нэгэн файл сонгон түүнийгээ өөрийн үүсгэсэн хавтас руу хуул
7. Уг програм дээр файлын харагдах байдлыг өөрчил.
1. Цонхны хэмжээг өөрчил
2. Цонхыг өөр байрлалд шилжүүл
3. Цонхыг taskbar руу шилжүүл
4. Taskbar-т шилжсэн цонхыг дэлгэцэнд харуул
5. N үсгээр эхэлсэн дурын өргөтгөлтэй файл нээж үзэх
6. Start цэсний Documents сонголтоос файл нээж үзэх
7. *.docx өргөтгөлтэй файлуудыг хайж олох
ї
- 3 -
Дадлага ажил №2
Зорилго: Бичиг баримттай ажилладаг Microsoft office-н Word програм дээр
ажиллаж сурах. Энэхүү хичээлийг үзэж судласнаар оюутан үсгийн фондуудын
хэлбэр хэмжээг таниж мэдэхээс гадна дээрх өөрчлөлтүүдийг хулгана
ашиглахгүйгээр гарын товчлуур ашиглан хийж чаддаг болно.
Даалгавар: Microsoft Word програмыг ажиллуулан доорх дасгалыг хийж
гүйцэтгэ.
MS Word №1
Үйлдлийн систем MS-DOS
Тооцоолох электрон машин нэг талаас техник хангамж, нөгөө
талаас програм хангамжийн салшгүй нэгдэл юм. хэрэв техник
хангамжийг хүний биетэй зүйрэлвэл програм хангамж нь оюун ухаан,
мэдлэг чадвар болно. /Font - Arial, Size – 13/
Програм хангамжийн системийг үндсэнд нь 3 ангилдаг.
Үүнд: /Font - Arial, Size – 13, Bold, Italic/
Үйлдлийн систем - (Operating system) /Color Red/
Програмчлалын хэл - (Programming language) /Color Green/
Хэрэглээний програм - (Application program) /Color Blue/
/Font - Arial, Size – 13, Bold, Italic/
Эдгээрээс үйдлийн систем програм хангамжийн үндсэн
нөхцлийг бүрдүүлэх орчин болдог бөгөөд хэрэглэгчийг
компьютертэй холбож түүнд холбогдсон гадаад төхөөрөмжүүдийг
гараас оруулах командаар удирдах боломж олгодог. Нөгөө
талаас хэрэглээний програмууд болон оролт гаралтын
өгөгдлүүдийг удирдаж ажиллахад туслана.
/Font – Courier New, Size – 12/
MS-DOS нь үйлдлийн систем юм.
/Font – Courier New Mon, Size – 12, Bold, Italic, Underline/
MS-DOS гэдэг нь /Microsoft-Disk Operating System/
Microsoft-оос гаргасан дискний үйлдлийн систем гэсэн үг юм.
/Font–Times New Roman, Size–15/
Энэ үйдлийн систем нь хэд хэдэн хувилбартай.
/Font – Times New Roman, Size–10, Bold, Italic, Underline/
MS-DOS системийн програмуудыг агуулж байгаа дискийг системийн
диск гэх бөгөөд энэ нь уян болон хатуу диск дээр бэлтгэгдсэн байдаг.
/Font – Times New Roman, Size–13/
MS-DOS үйдлийн системийг уян дискнээс ачаалсан бол
А:>_ тэмдэг гарах бөгөөд хатуу дискнээс ачааллавал С:>_ гэж
гарна.
/Font – Courier New, Size–11/
MS-DOS үйдлийн систем ачаалсаны дараа түүний командын
процесс болох Command.com файл санах ойд уншигдсан байдаг.
/Font –Arial, Size–11, Bold, Italic, Underline/
Дээрхи текстийг бичээд C:My documentsАнгиНэрWordHicheel1 гэж хадгална.
Жич: Анги - Єєрийн ангийн нэр бїхий хавтас їїсгэнэ. Нэр – Дээрх хавтасан дотор
єєрийн нэрээр хавтас їїсгэнэ.
MS Word №1-ийг хадгалаад дараа нь дээрх материалыг хийхэд шаардагдсан хэрэгсэл
болон командуудыг яаж ашигласнаа дэвтэртээ тоочиж бичнэ.
ї
- 4 -
Даалгавар: Дараах дасгалыг хамгийн хялбар аргаар хий. Мөн хэсэг тус бүрийг
өөр өөр өнгөөр буд. Мөн бүх файл гэдэг үгийг file гэдэг үгээр соль.
MS Word №2
MS-DOS үйдлийн системийн командууд
1-р хэсэг.
MS-DOS үйдлийн системд гадаад, дотоод 2 төрлийн командууд байх бөгөөд
дотоод командууд нь файл болон каталогтой ажилладаг командууд байдаг. Харин гадаад
командууд нь дисктэй ажилладаг командууд байдаг.
Дотоод командууд нь Command.com файлын хэсэг болж анх
ачааллах үед санах ойд байрласан байдаг. Дотоод командын нэрүүд
системийн дискний каталог дотор харагддаггүй. Харин гадаад командууд
нь системийн дискэн дотор байх файлуудаар ажиллана.
/Color Red/
2-р хэсэг.
MS-DOS үйдлийн системд гадаад, дотоод 2 төрлийн командууд байх
бөгөөд дотоод командууд нь файл болон каталогтой ажилладаг командууд
байдаг. Харин гадаад командууд нь дисктэй ажилладаг командууд байдаг.
Дотоод командууд нь Command.com файлын хэсэг болж анх ачааллах үед санах
ойд байрласан байдаг. Дотоод командын нэрүүд системийн дискний каталог дотор
харагддаггүй. Харин гадаад командууд нь системийн дискэн дотор байх файлуудаар
ажиллана.
/Color Blue/
3-р хэсэг.
MS-DOS үйдлийн системд гадаад, дотоод 2 төрлийн командууд байх бөгөөд
дотоод командууд нь файл болон каталогтой ажилладаг командууд байдаг. Харин гадаад
командууд нь дисктэй ажилладаг командууд байдаг.
Дотоод командууд нь Command.com файлын хэсэг болж анх
ачааллах үед санах ойд байрласан байдаг. Дотоод командын нэрүүд
системийн дискний каталог дотор харагддаггүй. Харин гадаад командууд
нь системийн дискэн дотор байх файлуудаар ажиллана.
/Color Pink/
4-р хэсэг.
MS-DOS үйдлийн системд гадаад, дотоод 2 төрлийн командууд
байх бөгөөд дотоод командууд нь файл болон каталогтой ажилладаг
командууд байдаг. Харин гадаад командууд нь дисктэй ажилладаг
командууд байдаг.
Дотоод командууд нь Command.com файлын хэсэг болж анх
ачааллах үед санах ойд байрласан байдаг. Дотоод командын
нэрүүд системийн дискний каталог дотор харагддаггүй. Харин
гадаад командууд нь системийн дискэн дотор байх файлуудаар
ажиллана.
/Color Yellow/
Жич: MS Word№2-ыг ємнєх хичээлийн адилаар Hicheel2 нэртэйгээр хадгалаад
дараа нь дээрх материалыг яаж хийснээ тайлбарлаж дэвтэртээ бич..
Paper size A4. Top-3 см, Bottom-3 см,
Left-4 см , Right-4 см.
ї
- 5 -
Даалгавар: Дараах дасгалыг хийж гүйцэтгэ. Он, сар, өдөр, тэмдэгтүүдийг бэлэн
командаар оруул.
MS Word №3
 Borland1
фирмийн шинэ хэл зохиох групп 1993 онд байгуулсан бөгөөд тэр
группын анхны бүтээгдэхүүн 1995 онд Delphi2
1.0 гэсэн нэртэйгээр гарсан байна.
“Visual” программчлалын үндэс 1990 оноос гарч ирсэн бөгөөд энэ үед хамгийн
түгээмэл дэлгэрсэн хэл нь Visual Basic байсан ба контролуудын тусламжтайгаар
хялбархан программчилж болдог.
 Delphi нь Visual Basic3
–тэй төстэй боловч программчлалын хүчирхэг
хэрэгслүүдтэй юм. Өөрөөр хэлбэл Delphi нь программчлалын бүх хүрээг хамарсан
хэл юм. Программчлалын хэл Delphi нь Windows- ын болон Windows NT
үйлдлийн системүүдэд зориулж программ зохиох объект хандалтат, визуаль
программчлалын хэл юм. Программчлалын хэл Delphi–г ашиглан ерөнхий
зориулалттай программуудаас эхлээд өгөгдлийн баазтай ажилладаг client / server
программуудыг ч зохиож болно.
 Borland фирмийн шинэ хэл зохиох групп 1993 онд байгуулсан бөгөөд тэр
группын анхны бүтээгдэхүүн 1995 онд Delphi 1.0 гэсэн нэртэйгээр гарсан байна.
“Visual” программчлалын үндэс 1990 оноос гарч ирсэн бөгөөд энэ үед хамгийн
түгээмэл дэлгэрсэн хэл нь Visual Basic байсан ба контролуудын тусламжтайгаар
хялбархан программчилж болдог.
Friday, September 23, 2011
September 23, 2011
9/23/2011 5:59 AM
6:00:03 AM
                    
                        
                  
1
Программчлалых хэл зохиодог пїїс
2
Borland-оос гаргасан программчлалын хэл
3
Программчлалын хэл
Дээрхи текстийг бичээд C:My documentsАнгиНэрWordHicheel3 гэж хадгалана
Тараах материал №3-ийг хадгалаад дараа нь дээрх материалыг хийхэд шаардагдсан
хэрэгсэл болон командуудыг яаж ашигласнаа дэвтэртээ тоочиж бичнэ.
Рaper size A4. Top-3 см, Bottom-3 см,
Left34 см , Right-3 см.
ї
- 6 -
Даалгавар: Дараах дасгалыг хийж гүйцэтгэ. Текстийг багананд хуваах, толгой
үсэг оруулах зэрэг командуудыг ашиглаж гүйцэтгэнэ. Анхаарах зүйл эхлээд бүх
текстээ хамгийн хурдаг аргаар бичнэ. Дараа нь командуудаа биелүүлнэ.
MS Word №4
Хулганыг цэвэрлэх
Комьпютерээ унтраагаад,
хулганаа салгаж ав. Хулганыг
онгойлгож, шарикийг гаргаж аваад
савантай усаар угаа. Комьпютерээ
унтраагаад, хулганаа салгаж ав. Хулганыг
онгойлгож, шарикийг гаргаж аваад савантай
усааругаа
Комьпютерээ унтраагаад, хулганаа салгаж ав. Хулганыг онгойлгож,
шарикийг гаргаж аваад савантай усаар угаа.
Комьпютерээ унтраагаад, хулганаа салгаж ав. Хулганыг онгойлгож,
шарикийг гаргаж аваад савантай усаар угаа.
Комьпютерээ унтраагаад, хулганаа салгаж ав. Хулганыг онгойлгож,
шарикийг гаргаж аваад савантай усаар угаа.
Комьпютерээ
унтраагаад, хулганаа
салгаж ав. Хулганыг
онгойлгож, шарикийг гаргаж аваад савантай усаар угаа.
Комьпютерээ унтраагаад, хулганаа салгаж ав. Хулганыг
онгойлгож, шарикийг гаргаж аваад савантай усаар угаа.
Комьпютерээунтраагаад,хулганаасалгажав.Хулганыгонгойлгож,шарикийггаргажаваадсавантай
усааругаа.Комьпютерээунтраагаад,хулганаасалгажав.Хулганыгонгойлгож,шарикийггаргажаваадсавантай
усааругаа.
К о м ь п ю т е р э э у н т р а а г а а д , х у л г а н а а с а л г а ж а в .
Х у л г а н ы г о н г о й л г о ж , ш а р и к и й г г а р г а ж а в а а д с а в а н т а й у с а а р
у г а а . К о м ь п ю т е р э э у н т р а а г а а д , х у л г а н а а с а л г а ж а в .
Х у л г а н ы г о н г о й л г о ж , ш а р и к и й г г а р г а ж а в а а д с а в а н т а й у с а а р
у г а а .
Хатуу дискийг хамгаалах
ооммппььююттееррииййнн дурын эд анги
эвдэрсэн тохиолдолд
шинээр сольж болно.
ХАРИН хатуу дискэн
Юуны түрүүнд
аваарын ачаалах диск
бэлтгэх нь зүйтэй. ЯЯЯмммаааррр нннэээгггэээннн
шшшааалллтттгггаааааанннааааааррр үүүйййлллдддлллииийййннн сссиииссстттееемммииийййггг
хххааатттуууууу дддиииссскккээээээссс ачааллахад энэ диск
шаардагдана
омпьютерийн дурын
эд анги
эвдэрсэн
тохиолдолд
шинээр сольж болно.
ХАРИН ХАТУУ ДИСКЭН
ДЭЭР БИЧСЭН МЭДЭЭЛЛЭЭ
АЛДСАН ТОХИОЛДОЛД ТАНЬД БҮГДИЙГ
эхнээс нь хийх
шаардлага тулгарна
Компьютерийн дурын эд анги
ээввддээррссээнн ттооххииооллддооллдд
шинээр сольж
болно.
Компьютерийн дурын эд анги
ээввддээррссээнн ттооххииооллддооллдд
шинээр сольж
болно.
КК
К
ї
- 7 -
Даалгавар: Дараах дасгалыг хийж гүйцэтгэ. Хуудсанд хүрээ оруулах, зураг оруулах,
хүрээнд текст бичих зэрэг командуудыг ашиглаж хийнэ.
MS Word №5
1. Монгол Улсын Үндэсний Статистикийн газрын Мэдээлэл
боловсруулах , Программ хангамжийн газарт 6 долоон хоног
дадлага хийлээ. Энэ хугацаанд би тус газрын үйл ажиллагааны
дагуу
2. болон өөрийн дадлагын ажлын зорилго , зорилтын дагуу Delphi 5.0
хэл дээр Бизнес регистрийн программ , Мал тооллогын программ,
инстолл CD-ний Auto run , мөн ҮСГ-ын вэб хуудасны сар бүр
шинэчилдэг бюллетенийг шинэчилж өгсөн. Мөн ҮСГ-ын даргын
1998 оны 62-
3. р тушаалын дагуу аймгуудын статистикийн газрын мэдлэгийн сангийн
бүтцийг байгуулж өгсөн. Иймээс дадлага хийсэн газрынхаа үйл
                 
               
товч
танилцуулъя
газрынхааїйл
ажиллагааны
Иймээс
дадлага
хийсэн
газрынхаа
їйл
ажиллагаа
ны
ї
- 8 -
Даалгавар: Дараах дасгалыг хийж гүйцэтгэ. Multilevel list командыг ашиглаж
дугаарлалт хийнэ.
MS Word №6
1. Техник хангамж /Hardware/
a. Оруулах төхөөрөмж
 Keyboard
 Mouse
 Scanner…
b. Боловсруулах төхөөрөмж
 CPU
 RAM
 ROM
 Motherboard…
c. Хадгалах төхөөрөмж
 Floppy Disk
 Hard Disk
 Compact Disk
 Flash Disk…
d. Гаргах төхөөрөмж
 Monitor
 Printer
 Speaker
 LCD Projector
2. Програм хангамж /Software/
I. Үйлдлийн систем /Operating system/
II. Програмчлалын хэл /Programming language/
III. Хэрэглээний програм /Application program/
a) Стандарт
i. Paint
ii. Wordpad
iii. Notepad…
b) Стандарт бус
A. Word
B. Excel
C. PageMaker
D. PhotoShop…
Улаанбаатарын Их Сургууль
Технологийн Факультет
Математик програм хангамжийн тэнхим
Математик програм хангамжийн тэнхим
ї
- 9 -
Даалгавар: Дараах дасгалыг хийж гүйцэтгэ. Хүснэгт оруулах командыг ашиглаж хийнэ.
MS Word №7
2006-2007 оны хичээлийн жилийн II улирал
УЛААНБААТАРЫН ИХ СУРГУУЛИЙН
МАГИСТРАНТУРЫН ШАЛГАЛТЫН ХУУДАС
Факультет салбар.............................. анги..............................
Магистрант ............................... овогтой .....................................
№
Хичээлийн
нэрс
Хичээлийнкод
Сарөдөр
Улиралын
рейтинг оноо
Баталгаат
шалгалтын
үнэлгээ
Ерөнхий
рейтингоноо
Үсгэндүн
Голчдүн
Багшийн
гарын үсэг
Ирц
10оноо
Семинар
20оноо
Биедаалт
20оноо
Мэргэжлийн суурь хичээл
1.
Интернет
программчлал
CS
713
2.
Мэдээллийн бааз
удирдах
CS
709
3.
Динамик
программчлал ба
Оновчтой
удирдлагын онол
MA
719
4.
Объект хандалтат
программчлал
CS
717
Сонгон суралцах хичээл
5.
Шугаман бус
процесс
MA
712
6.
Параллель
программчлал
CS
716
7. Дискрет математик
CS
704
8. Үйлдлийн систем II
CS
708
Үнэлгээг хянасан:
Магистр доктор (Ph)-ын сургалт хариуцсан мэргэжилтэн
...........................................Батаа
ї
- 10 -
Даалгавар: Дараах дасгалыг хийж гүйцэтгэ. Хүснэгтийн төрөл командыг ашиглаж
хийнэ. Мөн хүснэгт ашиглан график оруулна.
MS Word №8
Name
Database
Basic
C++
Delphi
Bat 75 93 65 40
Dulam 98 85 90 89
Suren 75 70 30 90
Dorj 86 65 88 65
Name
Database
Basic
C++
Delphi
Bat 75 93 65 40
Dulam 98 85 90 89
Suren 75 70 30 90
Dorj 86 65 88 65
Ners X/n Too Une Niit
1. Max Kg 5 2000 10000
2. Nogoo Kg 3 500 1500
3. Suu L 2 600 1200
4. Talx Sh 1 300 300
Bugd une 13000
0
50
100
Database Delphi
Bat
Dorj
Bat
Dulam
Suren
Dorj
0
20
40
60
80
100
Database C++ Avarage
Bat
Dulam
Suren
Dorj
0
20
40
60
80
100
120
D
atabase
B
asic
C
++
D
elphi
A
varage
Bat
Dulam
Suren
Dorj
ї
- 11 -
Даалгавар: Дараах дасгалыг хийж гүйцэтгэ.
MS Word №9
онгол Улсын Үндэсний Статистикийн газрын Мэдээлэл
боловсруулах , Программ хангамжийн газарт 6 долоон
хоног дадлага хийлээ.
ККооммппььююттееррииййнн
дурын эд анги
эвдэрсэн тохиолдолд шинээр сольж
болно, ХАРИН хатуу дискэн
I love you I love you I love you I love you Ilove you
Would you like to eat a chanasan tolgoi.
 Процессор
 Дэлгэц
 Гар
 Хулгана
 Хэвлэгч
Format цэс
1. Font
2. Paragraph
3. Bullets and numbering
4. Borders and shading
5. Columns
6. Drop cap
7. Text direction
М
Would you like to eat a
………..
ї
- 12 -
Даалгавар: Дараах дасгалыг хийж гүйцэтгэ. Хүснэгтийн төрөл командыг ашиглаж
хийнэ. Мөн хүснэгт ашиглан график оруулна.
MS Word №10
Word программын цонх нь дараах элементүүдээс бүрдэнэ.
1. Title bar- Гарчгийн мөр. Энэ хэсэгт тухайн идэвхитэй байгаа программ
болон файлын нэр байрласан байна.
2. Menu bar- Цэсний мөр. Энэ хэсэгт баримт боловсруулахад шаардагдах
бүхий цэсүүд байрласан байна.
3. Toolbars- Командын хэрэгслийн мөр- Word программд байнга хэрэглэгддэг
командуудыг командын хэрэгсэл болгон тавьсан байдаг. Хмагийн их
хэрэглэгддэг нь Formatting, Standart, Drawing, Picture хэргслүүд юм. Мөн
өөрийн хүссэн командуудаар хэрэгсэл үүсгэж болно. Хэрэгслүүдийг дэлгэц
дээр гаргахдаа View/Toolbars командаар сонгоно.
4. Ruler- удирдлагын шугам.
5. Workplace- Баримтын цонх. Баримтын цонхонд мэдээллээ боловсруулдаг
ба баримтын цонх нь гарчгийн хэсэг, цонх удирдах цэс, Ruler, Vertical and
Horizontal bar, ажлын талбар, цонхны хэмжээг өөрчлөх товчлууруудаас
бүрдэнэ.
6. Control Menu- Цонх удирдах цэс. Цонх удирдах цэсэнд цонхыг удирдах
үүрэг бүхий командууд байдаг. Ж.нь: Restore, Size, Move, Minimize,
Maximize
7. Scroll bars- / Vertical scroll bar, horizantal scroll bar/- гүйлгэх муж
8. Status bar- Төлөв байдлын мөр. Энэ хэсэгт баримтын хуудасны тоо,
баганы тоо, мөрийн тоо зэрэг мэдээлэлийг харуулдаг .Үүнийг дэлгэц дээр
идэвхитэй байлгахдаа Tools/Options/View/Status bar-ыг идэвхжүүлнэ.
ї
- 13 -
Даалгавар: Дараах дасгалыг хийж гүйцэтгэ. Схем ашиглан хий.
MS Word №11
Аймгуудын мэдээллийн санг байгуулах заавар
Монгол улсын ҮСГ-ын даргын 1998-4-21ний өдрийн 65-р тушаалын дагуу аймгийн засаг даргын
дэргэдэх статистикийн хэлтсийн мэдээллийн санг байгуулах доорх зааврыг явууллаа.
Директоруудынхаа нэрийг ард нь бичсэнээр өгөөрэй:
МЭДЭЭЛЛИЙН ЖАГСААЛТЫН БҮТЭЦ
Директори бүхэнд байгаа мэдээлэл он, улирал, сараар байх нь зүйтэй. Жишээлбэл:
Social гэсэн директорид 1997, 1998, 1999, 2000, 2001 гэх зэрэг дэд директориуд, 2001
дотор 1-12 сарууд(улирлаар гардаг мэдээлэлд I, II, III, IV байж болох юм) байвал олоход хялбар.
Бүх аймаг ZIP дисктэй, 1 дискэнд архивлаад хадгалсан тохиолдолд бүх мэдээлэл багтах
боломжтой.Директорийн бүтцийн талаар саналаа ҮСГ-ын БПХГ-т ирүүлж байхыг хүсье. Манай
хаяг: mail_nso@statis.pmis.gov.mn, mail_nso@yahoo.com
Мэдлэгийн сан KB
Мэдээллийн
технологи ICT
Англи хэл
English
Статистикийн
ухаан
Мэ дэ э лэ л
Info
Гарын авлага
Manual
Толь Dict Гарын авлага
Manual
E-mail
Тушаал Tush
Ирсэн бичиг
inDoc
Явсан бичиг
outDoc
Графикт мэдээ Баримт бичгїїд
Бизнес Busstat
Хїн ам Pop
Нийгэм Social
Їндэсн. Тооцоо NA
NA
Тайлан Rep
Тєлєвлєгєє Plan
Бусад Bus
Бусад Other
Но му у дын
э х
Book
Бу с а д
Busad
Бу с а д
Busad
Бу с а д
Busad
ХАА
Agro
Тэ э в э р ,
х о лб о о
TC
Ба н к ,
с а н х ї ї
Fin
Бу с а д
Busad
Яв с а н
out
Ир с э н in
Ху у ль Law
ї
- 14 -
Даалгавар: Дараах дасгалыг хийж гүйцэтгэ.
MS Word №12
Офицерууды
нордон
Шинжлэх
ухаанууды
нхүрээлэн
ХоШиМи-
ний
нэрэмжит
14-рдунд
сургууль
Шатахуу
нтүгээх
станц
“Цэ цэ э
Г үн”
Ме не жме
нт ийн
Дэ э д
Су рг у у л
ь
Батлан
хамгаалахяам
МонголРосцветмет
ї
- 15 -
Даалгавар: Дараах дасгалыг хийж гүйцэтгэ.
MS Word №13
Зургийг зөөх, хуулах, хэмжээг өөрчлөх, тайрах, арилгах, эргүүлэх зэрэг
зурагтай ажиын тулд юуны өмнө тухайн зургаа сонгон идэвхижүүлэх
шаардлагатай. Сонгон идэвхижүүлэх зургийнхаа дурын хэсэгт хулганы
заагуурыг байрлуулаад нэг даралт хийнэ. Сонгогдсон зургийн хажуу талууд
болон өнцгүүдэд жижигхэн квадрат (8 ширхэг) бий болно.
Зургийг хүрээлэх, бусад зурагтай давхцан
байрлуулалгүйгээр курсорын байрлаж буй газарт шууд
оруулах тохиолдолд дээрх квадратууд нь хар өнгөтэй байна.
Зургийн сонголтыг арилгахын тулд зургийн гадна дурын
газарт нэг даралт хийнэ.
Зургийн командын хэрэглүүрүүд
 Picture бүлгийн командын хэрэглүүрүүд
 Drawing бүлгийн командын хэрэглүүрүүд
Picture бүлгийн командын хэрэглүүрүүд
Зурагтай ажиллах явцад Picture бүлгийн (Зураг 1.93.) командын
хэрэглүүрүүдийг ашиглана. Уг бүлэг дэлгэц дээр байхгүй байвал
View/Toolbars/Picture командаар гаргана.
1. Insert Picture - баримтанд зургийн
файлаас зураг оруулах,
2. Image Control - зургийн өнгийг тохируулах,
3. More Contrast - зургийн өнгөний ялгарлыг сайжруулах,
4. Less Contrast - зургийн өнгөний ялгарлыг багасгах,
5. More Brightness - зургийн тод байдлыг ихэсгэх,
6. Less Brightness - зургийн тод байдлыг багасгах,
7. Crop - зургийг тайрах,
8. Line Style - шугамны хэлбэр тодорхойлох,
9. Text Wrapping - зургийг текстэн дунд байрлуулах,
10.Format Object - зургийг форматлах харилцах цонхыг нээх,
11.Set Transparent Color - зургийн дэвсгэр өнгийг тунгалаг болгох,
ї
- 16 -
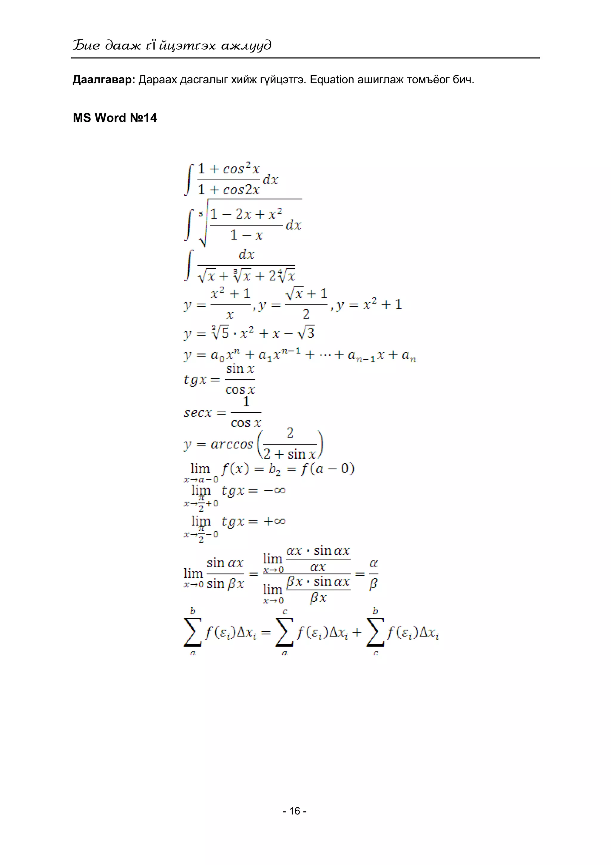
Даалгавар: Дараах дасгалыг хийж гүйцэтгэ. Equation ашиглаж томъѐог бич.
MS Word №14
ї
- 17 -
Дадлага ажил №3
Зорилго: Үзүүлэн танилцуулга бэлддэг Microsoft office-н PowerPoint програм
дээр ажиллаж сурах.
Microsoft PowerPoint
Энэхүү програм нь Microsoft Office-ийн илтгэл, үзүүлэн бэлтгэхэд зориулагдсан
стандарт бус хэрэглээний программ юм. PowerPoint програм хангамжийн тусламжтай
дараах зүйлүүдийг хийх боломжтой.
 Танилцуулга, илтгэл, лекц, ярианы үзүүлэн таниулах материал бэлтгэх,
тэдгээрийг тунгалаг хальс(overhead), бичгийн цаас, 35 мм-ийн слайдад буулгах
болон компьютерийн дэлгэц дээр гаргах
 Дээрхи материалтай холбогдсон тэмдэглэл хийх, илтгэлийн ерөнхий дизайн
гаргах
 Microsoft Word, Microsoft Exсel програм хангамжийг ашиглан бэлтгэсэн
материалаар үзүүлэн таниулах материал бэлтгэх зэрэг болно.
ї
- 18 -
Даалгавар: Тус програм шинээр файл нээж түүндээ олон янзын хэлбэртэй слайд
үүсгэж өгөгдөл оруул. Өгөгдөл нь: Текст, хүснэгт, зураг, дүрс байх ѐстой. Үүсгэсэн
файлаа slide show болгож тоглуулж үз.
MS-PowerPoint №1
MS-PowerPoint №2
Дээрх үүсгэсэн Slide Show-ний слайд тус бүрийн өнгө, тоглох явцын хөдөлгөөн өөр өөр
байхаар тохируул. Энэ үйлдлийг тус програмын background болон slide transition
командууд ашиглан гүйцэтгэнэ.
ї
- 19 -
MS-PowerPoint №3
Дээрх үүсгэсэн Slide Show-ний слайдыг өөр өөр хөдөлгөөнд оруулж үз. Тухайн
үйлдлйиг animation бүлгийн Transition to this slide командаар гүйцэтгэнэ.
MS-PowerPoint №4
Дээрх үүсгэсэн Slide Show-ний слайд тус бүрийн дээр байгаа обьектуудыг /текст, зураг,
хүснэгт/ шилжих хөдөлгөөн болон слайдны шилжих хөдөлгөөнд хугацаа ашиглаж сурах.
 Хөдөлгөөний янз бүрийн хэлбэр
 Хөдөлгөөний үргэлжлэх хугацаа
 Хөдөлгөөн хийгдэх үед гарах авиа
 Хөдөлгөөн хийгдэх хурд
 Хөдөлгөөн автоматаар эсвэл удирдлагаар хийгдэх зэрэг тохиргоог хийж байгаа
зүйлээсээ хамааран янз бүрээр тохируулах боломжтой.
ї
- 20 -
MS-PowerPoint №5
Дээрх үүсгэсэн Slide Show-ний слайд тус бүрийн аль нэг хэсэгт үгээр болон дүрсээр
удирдах товч хий. Энэ нь Slide Show тоглуулах явцыг хялбар удирдахад хэрэглэгдэнэ.
MS-PowerPoint №6
Дараах цогц дасгал хий. Ингэхдээ тус програмын бүх командыг ашиглаж хийгээрэй.
Эцэст нь нийт хэлбэр хэмжээ, хөдөлгөөн бүх зүйлээ хийж дуусаад түүнийгээ Slide Show
хэлбэрээр хадгалаарай. Ингэж хадгалсан файл нь PowerPoint програм байхгүй
компьютер дээр ч тоглууах боломжтой.
ї
- 21 -
Тест 1-1
1. Компьютерийн үндсэн төхөөрмжид юу юу орох вэ?
a. Процессор
b. Гар
c. Хулгана
d. Дэлгэц
e. Хэвлэгч
f. Скайнер
2. Компьютерийн нэмэлт төхөөрөмжид аль нь багтах вэ?
a. Процессор
b. Гар
c. Хулгана
d. Дэлгэц
e. Хэвлэгч
f. Скайнер
3. Санах ой ямар үүрэгтэй вэ? Ямар нэгжээр хэмждэг вэ?
………………………………………………………………………..……………………
……………………………………………………………….
4. Диск ямар үүрэгтэй вэ? Ямар нэгжээр хэмждэг вэ? Юу гэж
ангилдаг вэ?
……………………………………………………………………………………………….
………………………
5. Эх хавтан гэж юу вэ? Ямар үүрэгтэй вэ?
………………………………………………………………………………………………
………………………………………………………………
6. Компьютерт мэдээлэл оруулах төхөөрөмжид аль аль багтах вэ?
a. гар
b. хэвлэгч
c. скайнер
d. хулгана
7. Компьютерт мэдээлэл гаргах төхөөрөмжид аль аль багтах вэ?
a. гар
b. хэвлэгч
c. скайнер
d. дэлгэц
8. Компьютерийн шинжлэх ухааныг ямар ямар хэсгүүдэд хуваах вэ?
1. ..........................................................................
.................................................................
2. ..................................................... .................................................................
9. Компьютерийн техник хангамжийн төхөөрөмжүүдийг 3 үндсэн
хэсэгт хуваадаг.Юу гэж хуваадаг вэ?
1. ............................................ ...................................... ..
2. .......................................... ........................................ ..
3. ..............................................................................
10.Main Processor боловсруулах төхөөрөмж мөн үү?
a. Мөн
b. Биш
ї
- 22 -
1
3
2
4
Тест 1-2
Windows-ийн үндсэн дэлгэцийн үүргийг бич
13. Компьютерийн
шинжлэх ухааныг ямар
ямар хэсгүүдэд хуваах вэ
……………………………….
……………………………….
……………………………….
14. Windows үйлдлийн
систем программ хангамж
мөн үү?
А. Мөн
Б. Биш
15. Компьютерийн
программ хангамж гэж юу
вэ, юу гэж ангилдаг вэ?
……………………………….
……………………………….
16. Завсрын санах ой гэж юу вэ? Ямар үүрэгтэй вэ?
…………………………………………………………………………………………………
…………………………………………………………………………………………………
17. файл гэж юу вэ?
…………………………………………………………………………………………………
18. фолдер гэж юу вэ?
…………………………………………………………………………………………………
Доорхи цонхны үндсэн элементүүдийг нэрлэ
.11
5 6
7
8
9
.10
.12
ї
- 23 -
Тест 1-3
1. Хулганы тохиргоо хийхдээ
А. Control panel-mouse Б. My сomputer-mouse
В. Taskbar Г. Desktop-mouse
2. Windows -д цонхыг зөөхдөө
А. Гарчгийн мөрөн дээр хулганы заагчийг байрлуулан хөдөлгөнө
Б. Гарчгийн мөрөн дээр хулганы заагчийг байрлуулан зүүн товчийг
дараастай хөдөлгөнө
В. Гарчгийн мөрөн дээр хулганы заагчийг байрлуулан команд биелүүлж
буй хулганы товчийг дараастай хөдөлгөнө
3. Folder нэр хэдэн тэмдэгтийн урттай байдаг вэ
А. 8 Б. 255 В. 256
4. Taskbar мөрийг ямар цонхонд харагдахгүйгээр тохируулах
А. Auto hide Б. Always on top В. Show small icons in start menu
5. Windows систем дэх бичиг баримт боловсруулахад зориулагдсан
стандарт хэрэглээний програмыг нэрлэнэ үү
А. Programs-accessories-paragraph Б. Programs-accessories-word
pad
В. Programs-start up-word pad Г. Programs-accessories-character
map
6. Windows гэж юу вэ
А. Үйлдлийн систем Б. Хэрэглээний програм В. Тоглоом
7. Windows-д идэвхгүй програмыг идэвхжүүлэхдээ
А. Идэвхгүй байгаа файлыг дахин ажиллуулна
Б. Жижгэрсэн хэлбэр дээр хулганы заагчийг байрлуулж зүүн товчийг нэг
дарна
В. Жижгэрсэн хэлбэр дээр хулганы заагчийг байрлуулж баруун товчийг 2
дарна
8. Windows-н орчинд хулгана ашиглан файл, фолдер нээхдээ:
А. Програмын дүрсэнд хулганы заагчийг байрлуулан хулганы товчийг
дарна
Б. Програмын нэрэн дээр аваачин хулганы товчийг 2 дарна
В. Програмын дүрсэнд хулганы заагчийг байрлуулан хулганы товчийг 2
дарна
9. Хулганагүй үед цэсний мөрөнд шилжихдээ ямар товчийг хэрэглэдэг
вэ
А. Alt Б. Shift В. Ctrl
10. Windows-н орчинд файл хайхдаа
А. Start-find-file or folder Б. Start-settings-control panel
ї
- 24 -
11. Цонхны хэмжээг хэрхэн өөрчлөх вэ?
А. Цонхны хүрээн байрлуулан хулганы зүүн товчийг дарна.
Б. Цонхны хүрээн дээр байрлуулж хулганы зүүн товчийг дараастай
хөдөлгөнө.
12. Командын хэрэгслийг дэлгэц дээр гаргахдаа …
А. Edit цэсний Layout Б. File цэсний page setup
В. View цэсний toolbars Г. Edit цэсний toolbars
13. Taskbar мөрөнд цаг хугацааг гаргах
А. Start-setiings- taskbar- show clock
Б. Start-setiings- control panel- date and time
В. Start-setiings- control panel- show clock
14. Windows- д программыг дуудаж ажиллуулахдаа
А.start- programs Б.start- run В. Start- shut down
15. Windows- д катологийг юу гэж нэрлэдэг вэ?
А.desktop Б.taskbar В.folder Г.shortcut
16. Start цэсэнд программ нэмэхдээ
А.start- settings- control panel- add/remove
Б. Start- settings- taskbar- start menu programs- add
В. Start- settings- taskbar- start menu programs- add/remove
17.Windows- ийн wordpad программ ямар үүрэгтэй вэ?
А.зургийн прорамм Б.бичиг баримт боловсруулах
В.тоглоомын программ
18. Дэлгэцэнд амралт хийх
А.control panel- display- background Б. Control panel- display-
screensaver
В. Control panel- display- settings
19. Windows- д фолдерийг зөөхдөө
А. Дүрсэн дээр хулганы заагчийг байрлуулан зүүн товчийг дараастай
хөдөлгөнө
Б. Дүрсэн дээр хулганы заагчийг байрлуулан хөдөлгөнө.
В. Дүрсэн дээр хулганы заагчийг байрлуулан зүүн товчийг 2 дарна.
20.Windows- ын орчны программд завсрын санах ойд мэдээлэл
оруулах
А. Cut, copy Б. Cut, paste В. Copy, paste Г. Paste
21. Windows үйлдлийн систем программ хангамж мөн үү?
А. Мөн Б. Биш
22. Windows прораммд mouse бүлгээр юуг тохируулах вэ?
А.Компьютерийн тоноглолууд, прораммын тохиргоо
Б.Уян хатуу дискны төхөөрөмжүүдийн тохиргоо
В.Дэлгэцийн ажиллагааны тохиргоо
Г.Хулганы ажиллагааны тохиргоо
ї
- 25 -
23. Windows Explorer программд хуулах үйлдлийг ямар командаар
биелүүлэх вэ?
А. Cut Б. Save В. Copy Г. Paste
24. Paint программаар юу хийж болох вэ?
А. Зөвхөн зураг үзнэ. Б. Текст бичнэ.
В. Зураг зурна, зурагтай ажиллана. Г. Аль ч биш
25. Windows үйлдлийн системийн давуу тал
…………………………………………………..…………………………………………
…………………………………………………………………………………………….
ї
- 26 -
Тест 2
1. Microsoft Word нь баримт бичиг боловсруулдаг windows –н стандарт
хэрэглээний програм юм.
А. Үнэн
Б. Худал
2. Параграф гэж юу вэ?
…………………………….…………………………….…………………………….
…………………………….…………………………….…………………………….
…………………………….…………………………….…………………………….
3. Мэдээллийг завсрын санах ой руу хуулах команд
А. Copy Б. Close
В. Cut Г. Exit
4. Идэвхижүүлсэн текстийг устгах команд
А. Copy Б. Clear
В. Cut Г. exit
5. Үсгийн хэлбэр хэмжээг өөрчлөх команд
А. Font Б. Font size
В. Cut Г. exit
6. Microsoft word програмд баримтыг хадгалахдаа ямар команд
хэрэглэдэг вэ?
А. Save Б. New
В. Undo Г. Save As
7. Microsoft word програмд текстийг ямар командаар хайрцаглах вэ?
А. Undo Б. new
В. Text box Г. Borders and shading
8. Microsoft word програмд баримтыг яаж хаах вэ?
А. Copy Б. close
В. Cut Г. exit
9. Microsoft word програмд парагафыг ямар командаар дугаарладаг вэ?
А. Bullets and numbering
Б. Page number
В. Paragraph
Г. Borders and shading
10.Баримтын нэрийг өөрчилж хадгалахдаа
А. Save Б. New
В. Undo Г. Save as
11.Хэвлэхийн өмнөх байдлаар харах команд аль нь вэ?
А. Save Б. Print
В. Print preview Г. Save as
12.Microsoft word програмд хуудсыг ямар командаар дугаарладаг вэ?
А. Paragraph
Б. Page number
В. Bullets and numbering
Г. Borders and shading
13.Microsoft word програмд хуудсыг хүрээлэхэд ямар команд хэрэгдэх
вэ?
А. Page number
ї
- 27 -
Б. Paragraph
В. Bullets and numbering
Г. Page Borders
14.Microsoft word програмд хүснэгт оруулахад ямар команд хэрэглэх вэ?
А. Table Б. Insert
В. Insert table Г. Merge table
15.Microsoft word програмд хүснэгтийг форматлахдаа ямар команд
хэрэглэх вэ?
А. Тable auto format
Б. Auto format
В. Insert format
Г. Merge table
16.Баримтанд зураг оруулахад ямар команд хэрэглэх вэ?
А. Picture Б. Clip art В. Word art Г. Art
17.Баримтанд дүрс оруулахад ямар команд хэрэглэх вэ?
А. Picture Б. Clip art
В. Word art Г. Autoshapes
18.Цаасны тохиргоо хийх команд ?
…………………………….
19.Баримтанд хөл толгой оруулахдаа ямар команд хэрэглэдэг вэ?
…………………………….
Доорх командууд ямар үүрэгтэй вэ? Ямар цэсэнд байрладаг вэ?
20.Font
…………………………….
21.Copy
…………………………….
22.Footnote
…………………………….
23.Find
…………………………….
24.Replace
…………………………….
25.Go to
……………………………
26.Text direction
…………………………….
27.Break
…………………………….
28.Change case
…………………………….
29.Columns
…………………………….
30.Symbol
…………………………….
31.Undo
…………………………….
32.Select all
…………………………….
33.Drop cap
…………………………….
34.Split cells
…………………………….
35.Merge cells
…………………………….
36.Word art
…………………………….
Доорх текстийн үнэн худлыг
тодорхойл
37. Мэдээллийг хайхдаа том жижиг
үсгийг ялгаагүй хайдаг
[Ү,Х]
38. Хуудсыг дурын дугаараас эхлэн
дугаарлаж болно
[Ү,Х]
39. Үгийн үсэг бүрийг өөр өөр өнгөөр
бичиж болно
[Ү,Х]
40. Хэвлэх байдлыг харах цонхонд
засварлалт хийдэггүй
[Ү,Х]
41. Хуудасны дугаарлалтыг тоогоор л
хийдэг
[Ү,Х]
ї
- 28 -
42. Ямарч фонд сонгосон монголоор
бичиж болно
[Ү,Х]
43. Word дээр график зурж болно
[Ү,Х]
44. Текст бичсэний дараа үсгийн
фондыг өөрчилж болно
[Ү,Х]
45. Мэдээлэл бичсэний дараа
дугаарлалт тавьж болохгүй
[Ү,Х]
ї
- 29 -
Тест 3
Нөхөж бичнэ үү?
1. Microsoft Powerpoint програм нь .................... боловсруулдаг
стандарт бус хэрэглээний програм юм.
2. Шинээр илтгэлийн файл үүсгэхдээ
А. File/New
Б. File/Open
B. File/Start
3. Edit цэсний Repeat командаар
А. Хийсэн үйлдлийг буцаана
Б. Хийсэн үйлдлийг давтана
В. Буцаасан үйлдлийг сэргээнэ
4. Slide Show цэсний Custom Animation команд нь
А. Хуудас дахь хөдөлгөөнийг харуулах
Б. Хуудас хоорондын шилжилтэд хөдөлгөөн оруулна.
В. Хуудас дахь текст зурганд хөдөлгөөн оруулна.
5. Илтгэлийг ажлуулахдаа
А. Slide show
Б. Run
B. View show
6. MS-PowerPoint програм слайдын загварыг сонгоход ямар команд
хэрэглэх бэ?
.................................................
7. Хөдөлгөөнт зураг болон дуу чимээ оруулахдаа ямар команд хэрэглэх
бэ?
..................................................
8. MS-PowerPoint дээр текстийг хөдөлгөөнд оруулахад ямар команд
хэрэглэх бэ?
.................................................. ..................................................
.................................................. ..................................................
9. Слайд гэж юу вэ? ..................................................
.................................................. ..................................................
.................................................. ..................................................
10. Илтгэлийн хуудаснууд
А. Зөвхөн дараалсан байдлаар ажиллана.
Б. Холболтын тусламжтайгаар дарааллыг өөрчилж болно.
В. Тус тусдаа нэг файл хэлбэрээр хадгалагддаг.
- 30 -
- 31 -
- 32 -

ITON100

  • 1.
    ї - 1 - Агуулга Дадлагаажил №1 /Windows Explorer програм/ 2 Дадлага ажил №2 /Microsoft Word програм/ 3 Дадлага ажил №3 /Microsoft PowerPoint програм/ 17 Тестүүд 21
  • 2.
    ї - 2 - Дадлагаажил №1 Зорилго: Оюутнуудыг компьютерийн бүтэцтэй танилцуулж, асаах унтраах ажиллагааг дадлагажуулна. Мөн компьютерийн товчлууртай танилцуулна. Windows XP систем дээр ажиллаж сургах, desktop, taskbar-г өөрчлөх, мөн системийн тохируулга хийх, файл хуулах, зөөх, нэрийг нь өөрчлөх, хавтас үүсгэх, устгах зэрэг дадлагуудыг эзэмшинэ. Даалгавар: Доорх үйлдлүүдийг хийж гүйцэтгэ. 1. Start цэснээс taskbar-г сонго 2. Taskbar-н тохиргооноос taskbar-г нуу 3. Start цэсийг жижиг/classic start menu/ хэлбэрээр харуул 4. Programs цэсд шинээр файл оруул 5. Programs цэснээс оруулсан файлаа устга 6esktop-н background-г өөрчил 7. Screen saver-г өөрчил 8. Компьютерийг аюулгүй унтрааж асаа. 1. Desktop дээрх дүрслэлүүдийг нэрээр нь өөрчилж үз 2. Desktop дээрх дүрслэлүүдийг эрэмбэлж харуул 3. Windows Explorer програмыг ажиллуул /2 аргаар/ 4. Windows Explorer програм дээр шинээр хавтас үүсгэ /C:>My documents/ 5. Үүсгэсэн хавтасныхаа нэрийг өөрчил /өөрийн нэрээр/ 6. Ямар нэгэн файл сонгон түүнийгээ өөрийн үүсгэсэн хавтас руу хуул 7. Уг програм дээр файлын харагдах байдлыг өөрчил. 1. Цонхны хэмжээг өөрчил 2. Цонхыг өөр байрлалд шилжүүл 3. Цонхыг taskbar руу шилжүүл 4. Taskbar-т шилжсэн цонхыг дэлгэцэнд харуул 5. N үсгээр эхэлсэн дурын өргөтгөлтэй файл нээж үзэх 6. Start цэсний Documents сонголтоос файл нээж үзэх 7. *.docx өргөтгөлтэй файлуудыг хайж олох
  • 3.
    ї - 3 - Дадлагаажил №2 Зорилго: Бичиг баримттай ажилладаг Microsoft office-н Word програм дээр ажиллаж сурах. Энэхүү хичээлийг үзэж судласнаар оюутан үсгийн фондуудын хэлбэр хэмжээг таниж мэдэхээс гадна дээрх өөрчлөлтүүдийг хулгана ашиглахгүйгээр гарын товчлуур ашиглан хийж чаддаг болно. Даалгавар: Microsoft Word програмыг ажиллуулан доорх дасгалыг хийж гүйцэтгэ. MS Word №1 Үйлдлийн систем MS-DOS Тооцоолох электрон машин нэг талаас техник хангамж, нөгөө талаас програм хангамжийн салшгүй нэгдэл юм. хэрэв техник хангамжийг хүний биетэй зүйрэлвэл програм хангамж нь оюун ухаан, мэдлэг чадвар болно. /Font - Arial, Size – 13/ Програм хангамжийн системийг үндсэнд нь 3 ангилдаг. Үүнд: /Font - Arial, Size – 13, Bold, Italic/ Үйлдлийн систем - (Operating system) /Color Red/ Програмчлалын хэл - (Programming language) /Color Green/ Хэрэглээний програм - (Application program) /Color Blue/ /Font - Arial, Size – 13, Bold, Italic/ Эдгээрээс үйдлийн систем програм хангамжийн үндсэн нөхцлийг бүрдүүлэх орчин болдог бөгөөд хэрэглэгчийг компьютертэй холбож түүнд холбогдсон гадаад төхөөрөмжүүдийг гараас оруулах командаар удирдах боломж олгодог. Нөгөө талаас хэрэглээний програмууд болон оролт гаралтын өгөгдлүүдийг удирдаж ажиллахад туслана. /Font – Courier New, Size – 12/ MS-DOS нь үйлдлийн систем юм. /Font – Courier New Mon, Size – 12, Bold, Italic, Underline/ MS-DOS гэдэг нь /Microsoft-Disk Operating System/ Microsoft-оос гаргасан дискний үйлдлийн систем гэсэн үг юм. /Font–Times New Roman, Size–15/ Энэ үйдлийн систем нь хэд хэдэн хувилбартай. /Font – Times New Roman, Size–10, Bold, Italic, Underline/ MS-DOS системийн програмуудыг агуулж байгаа дискийг системийн диск гэх бөгөөд энэ нь уян болон хатуу диск дээр бэлтгэгдсэн байдаг. /Font – Times New Roman, Size–13/ MS-DOS үйдлийн системийг уян дискнээс ачаалсан бол А:>_ тэмдэг гарах бөгөөд хатуу дискнээс ачааллавал С:>_ гэж гарна. /Font – Courier New, Size–11/ MS-DOS үйдлийн систем ачаалсаны дараа түүний командын процесс болох Command.com файл санах ойд уншигдсан байдаг. /Font –Arial, Size–11, Bold, Italic, Underline/ Дээрхи текстийг бичээд C:My documentsАнгиНэрWordHicheel1 гэж хадгална. Жич: Анги - Єєрийн ангийн нэр бїхий хавтас їїсгэнэ. Нэр – Дээрх хавтасан дотор єєрийн нэрээр хавтас їїсгэнэ. MS Word №1-ийг хадгалаад дараа нь дээрх материалыг хийхэд шаардагдсан хэрэгсэл болон командуудыг яаж ашигласнаа дэвтэртээ тоочиж бичнэ.
  • 4.
    ї - 4 - Даалгавар:Дараах дасгалыг хамгийн хялбар аргаар хий. Мөн хэсэг тус бүрийг өөр өөр өнгөөр буд. Мөн бүх файл гэдэг үгийг file гэдэг үгээр соль. MS Word №2 MS-DOS үйдлийн системийн командууд 1-р хэсэг. MS-DOS үйдлийн системд гадаад, дотоод 2 төрлийн командууд байх бөгөөд дотоод командууд нь файл болон каталогтой ажилладаг командууд байдаг. Харин гадаад командууд нь дисктэй ажилладаг командууд байдаг. Дотоод командууд нь Command.com файлын хэсэг болж анх ачааллах үед санах ойд байрласан байдаг. Дотоод командын нэрүүд системийн дискний каталог дотор харагддаггүй. Харин гадаад командууд нь системийн дискэн дотор байх файлуудаар ажиллана. /Color Red/ 2-р хэсэг. MS-DOS үйдлийн системд гадаад, дотоод 2 төрлийн командууд байх бөгөөд дотоод командууд нь файл болон каталогтой ажилладаг командууд байдаг. Харин гадаад командууд нь дисктэй ажилладаг командууд байдаг. Дотоод командууд нь Command.com файлын хэсэг болж анх ачааллах үед санах ойд байрласан байдаг. Дотоод командын нэрүүд системийн дискний каталог дотор харагддаггүй. Харин гадаад командууд нь системийн дискэн дотор байх файлуудаар ажиллана. /Color Blue/ 3-р хэсэг. MS-DOS үйдлийн системд гадаад, дотоод 2 төрлийн командууд байх бөгөөд дотоод командууд нь файл болон каталогтой ажилладаг командууд байдаг. Харин гадаад командууд нь дисктэй ажилладаг командууд байдаг. Дотоод командууд нь Command.com файлын хэсэг болж анх ачааллах үед санах ойд байрласан байдаг. Дотоод командын нэрүүд системийн дискний каталог дотор харагддаггүй. Харин гадаад командууд нь системийн дискэн дотор байх файлуудаар ажиллана. /Color Pink/ 4-р хэсэг. MS-DOS үйдлийн системд гадаад, дотоод 2 төрлийн командууд байх бөгөөд дотоод командууд нь файл болон каталогтой ажилладаг командууд байдаг. Харин гадаад командууд нь дисктэй ажилладаг командууд байдаг. Дотоод командууд нь Command.com файлын хэсэг болж анх ачааллах үед санах ойд байрласан байдаг. Дотоод командын нэрүүд системийн дискний каталог дотор харагддаггүй. Харин гадаад командууд нь системийн дискэн дотор байх файлуудаар ажиллана. /Color Yellow/ Жич: MS Word№2-ыг ємнєх хичээлийн адилаар Hicheel2 нэртэйгээр хадгалаад дараа нь дээрх материалыг яаж хийснээ тайлбарлаж дэвтэртээ бич.. Paper size A4. Top-3 см, Bottom-3 см, Left-4 см , Right-4 см.
  • 5.
    ї - 5 - Даалгавар:Дараах дасгалыг хийж гүйцэтгэ. Он, сар, өдөр, тэмдэгтүүдийг бэлэн командаар оруул. MS Word №3  Borland1 фирмийн шинэ хэл зохиох групп 1993 онд байгуулсан бөгөөд тэр группын анхны бүтээгдэхүүн 1995 онд Delphi2 1.0 гэсэн нэртэйгээр гарсан байна. “Visual” программчлалын үндэс 1990 оноос гарч ирсэн бөгөөд энэ үед хамгийн түгээмэл дэлгэрсэн хэл нь Visual Basic байсан ба контролуудын тусламжтайгаар хялбархан программчилж болдог.  Delphi нь Visual Basic3 –тэй төстэй боловч программчлалын хүчирхэг хэрэгслүүдтэй юм. Өөрөөр хэлбэл Delphi нь программчлалын бүх хүрээг хамарсан хэл юм. Программчлалын хэл Delphi нь Windows- ын болон Windows NT үйлдлийн системүүдэд зориулж программ зохиох объект хандалтат, визуаль программчлалын хэл юм. Программчлалын хэл Delphi–г ашиглан ерөнхий зориулалттай программуудаас эхлээд өгөгдлийн баазтай ажилладаг client / server программуудыг ч зохиож болно.  Borland фирмийн шинэ хэл зохиох групп 1993 онд байгуулсан бөгөөд тэр группын анхны бүтээгдэхүүн 1995 онд Delphi 1.0 гэсэн нэртэйгээр гарсан байна. “Visual” программчлалын үндэс 1990 оноос гарч ирсэн бөгөөд энэ үед хамгийн түгээмэл дэлгэрсэн хэл нь Visual Basic байсан ба контролуудын тусламжтайгаар хялбархан программчилж болдог. Friday, September 23, 2011 September 23, 2011 9/23/2011 5:59 AM 6:00:03 AM                                                                  1 Программчлалых хэл зохиодог пїїс 2 Borland-оос гаргасан программчлалын хэл 3 Программчлалын хэл Дээрхи текстийг бичээд C:My documentsАнгиНэрWordHicheel3 гэж хадгалана Тараах материал №3-ийг хадгалаад дараа нь дээрх материалыг хийхэд шаардагдсан хэрэгсэл болон командуудыг яаж ашигласнаа дэвтэртээ тоочиж бичнэ. Рaper size A4. Top-3 см, Bottom-3 см, Left34 см , Right-3 см.
  • 6.
    ї - 6 - Даалгавар:Дараах дасгалыг хийж гүйцэтгэ. Текстийг багананд хуваах, толгой үсэг оруулах зэрэг командуудыг ашиглаж гүйцэтгэнэ. Анхаарах зүйл эхлээд бүх текстээ хамгийн хурдаг аргаар бичнэ. Дараа нь командуудаа биелүүлнэ. MS Word №4 Хулганыг цэвэрлэх Комьпютерээ унтраагаад, хулганаа салгаж ав. Хулганыг онгойлгож, шарикийг гаргаж аваад савантай усаар угаа. Комьпютерээ унтраагаад, хулганаа салгаж ав. Хулганыг онгойлгож, шарикийг гаргаж аваад савантай усааругаа Комьпютерээ унтраагаад, хулганаа салгаж ав. Хулганыг онгойлгож, шарикийг гаргаж аваад савантай усаар угаа. Комьпютерээ унтраагаад, хулганаа салгаж ав. Хулганыг онгойлгож, шарикийг гаргаж аваад савантай усаар угаа. Комьпютерээ унтраагаад, хулганаа салгаж ав. Хулганыг онгойлгож, шарикийг гаргаж аваад савантай усаар угаа. Комьпютерээ унтраагаад, хулганаа салгаж ав. Хулганыг онгойлгож, шарикийг гаргаж аваад савантай усаар угаа. Комьпютерээ унтраагаад, хулганаа салгаж ав. Хулганыг онгойлгож, шарикийг гаргаж аваад савантай усаар угаа. Комьпютерээунтраагаад,хулганаасалгажав.Хулганыгонгойлгож,шарикийггаргажаваадсавантай усааругаа.Комьпютерээунтраагаад,хулганаасалгажав.Хулганыгонгойлгож,шарикийггаргажаваадсавантай усааругаа. К о м ь п ю т е р э э у н т р а а г а а д , х у л г а н а а с а л г а ж а в . Х у л г а н ы г о н г о й л г о ж , ш а р и к и й г г а р г а ж а в а а д с а в а н т а й у с а а р у г а а . К о м ь п ю т е р э э у н т р а а г а а д , х у л г а н а а с а л г а ж а в . Х у л г а н ы г о н г о й л г о ж , ш а р и к и й г г а р г а ж а в а а д с а в а н т а й у с а а р у г а а . Хатуу дискийг хамгаалах ооммппььююттееррииййнн дурын эд анги эвдэрсэн тохиолдолд шинээр сольж болно. ХАРИН хатуу дискэн Юуны түрүүнд аваарын ачаалах диск бэлтгэх нь зүйтэй. ЯЯЯмммаааррр нннэээгггэээннн шшшааалллтттгггаааааанннааааааррр үүүйййлллдддлллииийййннн сссиииссстттееемммииийййггг хххааатттуууууу дддиииссскккээээээссс ачааллахад энэ диск шаардагдана омпьютерийн дурын эд анги эвдэрсэн тохиолдолд шинээр сольж болно. ХАРИН ХАТУУ ДИСКЭН ДЭЭР БИЧСЭН МЭДЭЭЛЛЭЭ АЛДСАН ТОХИОЛДОЛД ТАНЬД БҮГДИЙГ эхнээс нь хийх шаардлага тулгарна Компьютерийн дурын эд анги ээввддээррссээнн ттооххииооллддооллдд шинээр сольж болно. Компьютерийн дурын эд анги ээввддээррссээнн ттооххииооллддооллдд шинээр сольж болно. КК К
  • 7.
    ї - 7 - Даалгавар:Дараах дасгалыг хийж гүйцэтгэ. Хуудсанд хүрээ оруулах, зураг оруулах, хүрээнд текст бичих зэрэг командуудыг ашиглаж хийнэ. MS Word №5 1. Монгол Улсын Үндэсний Статистикийн газрын Мэдээлэл боловсруулах , Программ хангамжийн газарт 6 долоон хоног дадлага хийлээ. Энэ хугацаанд би тус газрын үйл ажиллагааны дагуу 2. болон өөрийн дадлагын ажлын зорилго , зорилтын дагуу Delphi 5.0 хэл дээр Бизнес регистрийн программ , Мал тооллогын программ, инстолл CD-ний Auto run , мөн ҮСГ-ын вэб хуудасны сар бүр шинэчилдэг бюллетенийг шинэчилж өгсөн. Мөн ҮСГ-ын даргын 1998 оны 62- 3. р тушаалын дагуу аймгуудын статистикийн газрын мэдлэгийн сангийн бүтцийг байгуулж өгсөн. Иймээс дадлага хийсэн газрынхаа үйл                                   товч танилцуулъя газрынхааїйл ажиллагааны Иймээс дадлага хийсэн газрынхаа їйл ажиллагаа ны
  • 8.
    ї - 8 - Даалгавар:Дараах дасгалыг хийж гүйцэтгэ. Multilevel list командыг ашиглаж дугаарлалт хийнэ. MS Word №6 1. Техник хангамж /Hardware/ a. Оруулах төхөөрөмж  Keyboard  Mouse  Scanner… b. Боловсруулах төхөөрөмж  CPU  RAM  ROM  Motherboard… c. Хадгалах төхөөрөмж  Floppy Disk  Hard Disk  Compact Disk  Flash Disk… d. Гаргах төхөөрөмж  Monitor  Printer  Speaker  LCD Projector 2. Програм хангамж /Software/ I. Үйлдлийн систем /Operating system/ II. Програмчлалын хэл /Programming language/ III. Хэрэглээний програм /Application program/ a) Стандарт i. Paint ii. Wordpad iii. Notepad… b) Стандарт бус A. Word B. Excel C. PageMaker D. PhotoShop… Улаанбаатарын Их Сургууль Технологийн Факультет Математик програм хангамжийн тэнхим Математик програм хангамжийн тэнхим
  • 9.
    ї - 9 - Даалгавар:Дараах дасгалыг хийж гүйцэтгэ. Хүснэгт оруулах командыг ашиглаж хийнэ. MS Word №7 2006-2007 оны хичээлийн жилийн II улирал УЛААНБААТАРЫН ИХ СУРГУУЛИЙН МАГИСТРАНТУРЫН ШАЛГАЛТЫН ХУУДАС Факультет салбар.............................. анги.............................. Магистрант ............................... овогтой ..................................... № Хичээлийн нэрс Хичээлийнкод Сарөдөр Улиралын рейтинг оноо Баталгаат шалгалтын үнэлгээ Ерөнхий рейтингоноо Үсгэндүн Голчдүн Багшийн гарын үсэг Ирц 10оноо Семинар 20оноо Биедаалт 20оноо Мэргэжлийн суурь хичээл 1. Интернет программчлал CS 713 2. Мэдээллийн бааз удирдах CS 709 3. Динамик программчлал ба Оновчтой удирдлагын онол MA 719 4. Объект хандалтат программчлал CS 717 Сонгон суралцах хичээл 5. Шугаман бус процесс MA 712 6. Параллель программчлал CS 716 7. Дискрет математик CS 704 8. Үйлдлийн систем II CS 708 Үнэлгээг хянасан: Магистр доктор (Ph)-ын сургалт хариуцсан мэргэжилтэн ...........................................Батаа
  • 10.
    ї - 10 - Даалгавар:Дараах дасгалыг хийж гүйцэтгэ. Хүснэгтийн төрөл командыг ашиглаж хийнэ. Мөн хүснэгт ашиглан график оруулна. MS Word №8 Name Database Basic C++ Delphi Bat 75 93 65 40 Dulam 98 85 90 89 Suren 75 70 30 90 Dorj 86 65 88 65 Name Database Basic C++ Delphi Bat 75 93 65 40 Dulam 98 85 90 89 Suren 75 70 30 90 Dorj 86 65 88 65 Ners X/n Too Une Niit 1. Max Kg 5 2000 10000 2. Nogoo Kg 3 500 1500 3. Suu L 2 600 1200 4. Talx Sh 1 300 300 Bugd une 13000 0 50 100 Database Delphi Bat Dorj Bat Dulam Suren Dorj 0 20 40 60 80 100 Database C++ Avarage Bat Dulam Suren Dorj 0 20 40 60 80 100 120 D atabase B asic C ++ D elphi A varage Bat Dulam Suren Dorj
  • 11.
    ї - 11 - Даалгавар:Дараах дасгалыг хийж гүйцэтгэ. MS Word №9 онгол Улсын Үндэсний Статистикийн газрын Мэдээлэл боловсруулах , Программ хангамжийн газарт 6 долоон хоног дадлага хийлээ. ККооммппььююттееррииййнн дурын эд анги эвдэрсэн тохиолдолд шинээр сольж болно, ХАРИН хатуу дискэн I love you I love you I love you I love you Ilove you Would you like to eat a chanasan tolgoi.  Процессор  Дэлгэц  Гар  Хулгана  Хэвлэгч Format цэс 1. Font 2. Paragraph 3. Bullets and numbering 4. Borders and shading 5. Columns 6. Drop cap 7. Text direction М Would you like to eat a ………..
  • 12.
    ї - 12 - Даалгавар:Дараах дасгалыг хийж гүйцэтгэ. Хүснэгтийн төрөл командыг ашиглаж хийнэ. Мөн хүснэгт ашиглан график оруулна. MS Word №10 Word программын цонх нь дараах элементүүдээс бүрдэнэ. 1. Title bar- Гарчгийн мөр. Энэ хэсэгт тухайн идэвхитэй байгаа программ болон файлын нэр байрласан байна. 2. Menu bar- Цэсний мөр. Энэ хэсэгт баримт боловсруулахад шаардагдах бүхий цэсүүд байрласан байна. 3. Toolbars- Командын хэрэгслийн мөр- Word программд байнга хэрэглэгддэг командуудыг командын хэрэгсэл болгон тавьсан байдаг. Хмагийн их хэрэглэгддэг нь Formatting, Standart, Drawing, Picture хэргслүүд юм. Мөн өөрийн хүссэн командуудаар хэрэгсэл үүсгэж болно. Хэрэгслүүдийг дэлгэц дээр гаргахдаа View/Toolbars командаар сонгоно. 4. Ruler- удирдлагын шугам. 5. Workplace- Баримтын цонх. Баримтын цонхонд мэдээллээ боловсруулдаг ба баримтын цонх нь гарчгийн хэсэг, цонх удирдах цэс, Ruler, Vertical and Horizontal bar, ажлын талбар, цонхны хэмжээг өөрчлөх товчлууруудаас бүрдэнэ. 6. Control Menu- Цонх удирдах цэс. Цонх удирдах цэсэнд цонхыг удирдах үүрэг бүхий командууд байдаг. Ж.нь: Restore, Size, Move, Minimize, Maximize 7. Scroll bars- / Vertical scroll bar, horizantal scroll bar/- гүйлгэх муж 8. Status bar- Төлөв байдлын мөр. Энэ хэсэгт баримтын хуудасны тоо, баганы тоо, мөрийн тоо зэрэг мэдээлэлийг харуулдаг .Үүнийг дэлгэц дээр идэвхитэй байлгахдаа Tools/Options/View/Status bar-ыг идэвхжүүлнэ.
  • 13.
    ї - 13 - Даалгавар:Дараах дасгалыг хийж гүйцэтгэ. Схем ашиглан хий. MS Word №11 Аймгуудын мэдээллийн санг байгуулах заавар Монгол улсын ҮСГ-ын даргын 1998-4-21ний өдрийн 65-р тушаалын дагуу аймгийн засаг даргын дэргэдэх статистикийн хэлтсийн мэдээллийн санг байгуулах доорх зааврыг явууллаа. Директоруудынхаа нэрийг ард нь бичсэнээр өгөөрэй: МЭДЭЭЛЛИЙН ЖАГСААЛТЫН БҮТЭЦ Директори бүхэнд байгаа мэдээлэл он, улирал, сараар байх нь зүйтэй. Жишээлбэл: Social гэсэн директорид 1997, 1998, 1999, 2000, 2001 гэх зэрэг дэд директориуд, 2001 дотор 1-12 сарууд(улирлаар гардаг мэдээлэлд I, II, III, IV байж болох юм) байвал олоход хялбар. Бүх аймаг ZIP дисктэй, 1 дискэнд архивлаад хадгалсан тохиолдолд бүх мэдээлэл багтах боломжтой.Директорийн бүтцийн талаар саналаа ҮСГ-ын БПХГ-т ирүүлж байхыг хүсье. Манай хаяг: mail_nso@statis.pmis.gov.mn, mail_nso@yahoo.com Мэдлэгийн сан KB Мэдээллийн технологи ICT Англи хэл English Статистикийн ухаан Мэ дэ э лэ л Info Гарын авлага Manual Толь Dict Гарын авлага Manual E-mail Тушаал Tush Ирсэн бичиг inDoc Явсан бичиг outDoc Графикт мэдээ Баримт бичгїїд Бизнес Busstat Хїн ам Pop Нийгэм Social Їндэсн. Тооцоо NA NA Тайлан Rep Тєлєвлєгєє Plan Бусад Bus Бусад Other Но му у дын э х Book Бу с а д Busad Бу с а д Busad Бу с а д Busad ХАА Agro Тэ э в э р , х о лб о о TC Ба н к , с а н х ї ї Fin Бу с а д Busad Яв с а н out Ир с э н in Ху у ль Law
  • 14.
    ї - 14 - Даалгавар:Дараах дасгалыг хийж гүйцэтгэ. MS Word №12 Офицерууды нордон Шинжлэх ухаанууды нхүрээлэн ХоШиМи- ний нэрэмжит 14-рдунд сургууль Шатахуу нтүгээх станц “Цэ цэ э Г үн” Ме не жме нт ийн Дэ э д Су рг у у л ь Батлан хамгаалахяам МонголРосцветмет
  • 15.
    ї - 15 - Даалгавар:Дараах дасгалыг хийж гүйцэтгэ. MS Word №13 Зургийг зөөх, хуулах, хэмжээг өөрчлөх, тайрах, арилгах, эргүүлэх зэрэг зурагтай ажиын тулд юуны өмнө тухайн зургаа сонгон идэвхижүүлэх шаардлагатай. Сонгон идэвхижүүлэх зургийнхаа дурын хэсэгт хулганы заагуурыг байрлуулаад нэг даралт хийнэ. Сонгогдсон зургийн хажуу талууд болон өнцгүүдэд жижигхэн квадрат (8 ширхэг) бий болно. Зургийг хүрээлэх, бусад зурагтай давхцан байрлуулалгүйгээр курсорын байрлаж буй газарт шууд оруулах тохиолдолд дээрх квадратууд нь хар өнгөтэй байна. Зургийн сонголтыг арилгахын тулд зургийн гадна дурын газарт нэг даралт хийнэ. Зургийн командын хэрэглүүрүүд  Picture бүлгийн командын хэрэглүүрүүд  Drawing бүлгийн командын хэрэглүүрүүд Picture бүлгийн командын хэрэглүүрүүд Зурагтай ажиллах явцад Picture бүлгийн (Зураг 1.93.) командын хэрэглүүрүүдийг ашиглана. Уг бүлэг дэлгэц дээр байхгүй байвал View/Toolbars/Picture командаар гаргана. 1. Insert Picture - баримтанд зургийн файлаас зураг оруулах, 2. Image Control - зургийн өнгийг тохируулах, 3. More Contrast - зургийн өнгөний ялгарлыг сайжруулах, 4. Less Contrast - зургийн өнгөний ялгарлыг багасгах, 5. More Brightness - зургийн тод байдлыг ихэсгэх, 6. Less Brightness - зургийн тод байдлыг багасгах, 7. Crop - зургийг тайрах, 8. Line Style - шугамны хэлбэр тодорхойлох, 9. Text Wrapping - зургийг текстэн дунд байрлуулах, 10.Format Object - зургийг форматлах харилцах цонхыг нээх, 11.Set Transparent Color - зургийн дэвсгэр өнгийг тунгалаг болгох,
  • 16.
    ї - 16 - Даалгавар:Дараах дасгалыг хийж гүйцэтгэ. Equation ашиглаж томъѐог бич. MS Word №14
  • 17.
    ї - 17 - Дадлагаажил №3 Зорилго: Үзүүлэн танилцуулга бэлддэг Microsoft office-н PowerPoint програм дээр ажиллаж сурах. Microsoft PowerPoint Энэхүү програм нь Microsoft Office-ийн илтгэл, үзүүлэн бэлтгэхэд зориулагдсан стандарт бус хэрэглээний программ юм. PowerPoint програм хангамжийн тусламжтай дараах зүйлүүдийг хийх боломжтой.  Танилцуулга, илтгэл, лекц, ярианы үзүүлэн таниулах материал бэлтгэх, тэдгээрийг тунгалаг хальс(overhead), бичгийн цаас, 35 мм-ийн слайдад буулгах болон компьютерийн дэлгэц дээр гаргах  Дээрхи материалтай холбогдсон тэмдэглэл хийх, илтгэлийн ерөнхий дизайн гаргах  Microsoft Word, Microsoft Exсel програм хангамжийг ашиглан бэлтгэсэн материалаар үзүүлэн таниулах материал бэлтгэх зэрэг болно.
  • 18.
    ї - 18 - Даалгавар:Тус програм шинээр файл нээж түүндээ олон янзын хэлбэртэй слайд үүсгэж өгөгдөл оруул. Өгөгдөл нь: Текст, хүснэгт, зураг, дүрс байх ѐстой. Үүсгэсэн файлаа slide show болгож тоглуулж үз. MS-PowerPoint №1 MS-PowerPoint №2 Дээрх үүсгэсэн Slide Show-ний слайд тус бүрийн өнгө, тоглох явцын хөдөлгөөн өөр өөр байхаар тохируул. Энэ үйлдлийг тус програмын background болон slide transition командууд ашиглан гүйцэтгэнэ.
  • 19.
    ї - 19 - MS-PowerPoint№3 Дээрх үүсгэсэн Slide Show-ний слайдыг өөр өөр хөдөлгөөнд оруулж үз. Тухайн үйлдлйиг animation бүлгийн Transition to this slide командаар гүйцэтгэнэ. MS-PowerPoint №4 Дээрх үүсгэсэн Slide Show-ний слайд тус бүрийн дээр байгаа обьектуудыг /текст, зураг, хүснэгт/ шилжих хөдөлгөөн болон слайдны шилжих хөдөлгөөнд хугацаа ашиглаж сурах.  Хөдөлгөөний янз бүрийн хэлбэр  Хөдөлгөөний үргэлжлэх хугацаа  Хөдөлгөөн хийгдэх үед гарах авиа  Хөдөлгөөн хийгдэх хурд  Хөдөлгөөн автоматаар эсвэл удирдлагаар хийгдэх зэрэг тохиргоог хийж байгаа зүйлээсээ хамааран янз бүрээр тохируулах боломжтой.
  • 20.
    ї - 20 - MS-PowerPoint№5 Дээрх үүсгэсэн Slide Show-ний слайд тус бүрийн аль нэг хэсэгт үгээр болон дүрсээр удирдах товч хий. Энэ нь Slide Show тоглуулах явцыг хялбар удирдахад хэрэглэгдэнэ. MS-PowerPoint №6 Дараах цогц дасгал хий. Ингэхдээ тус програмын бүх командыг ашиглаж хийгээрэй. Эцэст нь нийт хэлбэр хэмжээ, хөдөлгөөн бүх зүйлээ хийж дуусаад түүнийгээ Slide Show хэлбэрээр хадгалаарай. Ингэж хадгалсан файл нь PowerPoint програм байхгүй компьютер дээр ч тоглууах боломжтой.
  • 21.
    ї - 21 - Тест1-1 1. Компьютерийн үндсэн төхөөрмжид юу юу орох вэ? a. Процессор b. Гар c. Хулгана d. Дэлгэц e. Хэвлэгч f. Скайнер 2. Компьютерийн нэмэлт төхөөрөмжид аль нь багтах вэ? a. Процессор b. Гар c. Хулгана d. Дэлгэц e. Хэвлэгч f. Скайнер 3. Санах ой ямар үүрэгтэй вэ? Ямар нэгжээр хэмждэг вэ? ………………………………………………………………………..…………………… ………………………………………………………………. 4. Диск ямар үүрэгтэй вэ? Ямар нэгжээр хэмждэг вэ? Юу гэж ангилдаг вэ? ………………………………………………………………………………………………. ……………………… 5. Эх хавтан гэж юу вэ? Ямар үүрэгтэй вэ? ……………………………………………………………………………………………… ……………………………………………………………… 6. Компьютерт мэдээлэл оруулах төхөөрөмжид аль аль багтах вэ? a. гар b. хэвлэгч c. скайнер d. хулгана 7. Компьютерт мэдээлэл гаргах төхөөрөмжид аль аль багтах вэ? a. гар b. хэвлэгч c. скайнер d. дэлгэц 8. Компьютерийн шинжлэх ухааныг ямар ямар хэсгүүдэд хуваах вэ? 1. .......................................................................... ................................................................. 2. ..................................................... ................................................................. 9. Компьютерийн техник хангамжийн төхөөрөмжүүдийг 3 үндсэн хэсэгт хуваадаг.Юу гэж хуваадаг вэ? 1. ............................................ ...................................... .. 2. .......................................... ........................................ .. 3. .............................................................................. 10.Main Processor боловсруулах төхөөрөмж мөн үү? a. Мөн b. Биш
  • 22.
    ї - 22 - 1 3 2 4 Тест1-2 Windows-ийн үндсэн дэлгэцийн үүргийг бич 13. Компьютерийн шинжлэх ухааныг ямар ямар хэсгүүдэд хуваах вэ ………………………………. ………………………………. ………………………………. 14. Windows үйлдлийн систем программ хангамж мөн үү? А. Мөн Б. Биш 15. Компьютерийн программ хангамж гэж юу вэ, юу гэж ангилдаг вэ? ………………………………. ………………………………. 16. Завсрын санах ой гэж юу вэ? Ямар үүрэгтэй вэ? ………………………………………………………………………………………………… ………………………………………………………………………………………………… 17. файл гэж юу вэ? ………………………………………………………………………………………………… 18. фолдер гэж юу вэ? ………………………………………………………………………………………………… Доорхи цонхны үндсэн элементүүдийг нэрлэ .11 5 6 7 8 9 .10 .12
  • 23.
    ї - 23 - Тест1-3 1. Хулганы тохиргоо хийхдээ А. Control panel-mouse Б. My сomputer-mouse В. Taskbar Г. Desktop-mouse 2. Windows -д цонхыг зөөхдөө А. Гарчгийн мөрөн дээр хулганы заагчийг байрлуулан хөдөлгөнө Б. Гарчгийн мөрөн дээр хулганы заагчийг байрлуулан зүүн товчийг дараастай хөдөлгөнө В. Гарчгийн мөрөн дээр хулганы заагчийг байрлуулан команд биелүүлж буй хулганы товчийг дараастай хөдөлгөнө 3. Folder нэр хэдэн тэмдэгтийн урттай байдаг вэ А. 8 Б. 255 В. 256 4. Taskbar мөрийг ямар цонхонд харагдахгүйгээр тохируулах А. Auto hide Б. Always on top В. Show small icons in start menu 5. Windows систем дэх бичиг баримт боловсруулахад зориулагдсан стандарт хэрэглээний програмыг нэрлэнэ үү А. Programs-accessories-paragraph Б. Programs-accessories-word pad В. Programs-start up-word pad Г. Programs-accessories-character map 6. Windows гэж юу вэ А. Үйлдлийн систем Б. Хэрэглээний програм В. Тоглоом 7. Windows-д идэвхгүй програмыг идэвхжүүлэхдээ А. Идэвхгүй байгаа файлыг дахин ажиллуулна Б. Жижгэрсэн хэлбэр дээр хулганы заагчийг байрлуулж зүүн товчийг нэг дарна В. Жижгэрсэн хэлбэр дээр хулганы заагчийг байрлуулж баруун товчийг 2 дарна 8. Windows-н орчинд хулгана ашиглан файл, фолдер нээхдээ: А. Програмын дүрсэнд хулганы заагчийг байрлуулан хулганы товчийг дарна Б. Програмын нэрэн дээр аваачин хулганы товчийг 2 дарна В. Програмын дүрсэнд хулганы заагчийг байрлуулан хулганы товчийг 2 дарна 9. Хулганагүй үед цэсний мөрөнд шилжихдээ ямар товчийг хэрэглэдэг вэ А. Alt Б. Shift В. Ctrl 10. Windows-н орчинд файл хайхдаа А. Start-find-file or folder Б. Start-settings-control panel
  • 24.
    ї - 24 - 11.Цонхны хэмжээг хэрхэн өөрчлөх вэ? А. Цонхны хүрээн байрлуулан хулганы зүүн товчийг дарна. Б. Цонхны хүрээн дээр байрлуулж хулганы зүүн товчийг дараастай хөдөлгөнө. 12. Командын хэрэгслийг дэлгэц дээр гаргахдаа … А. Edit цэсний Layout Б. File цэсний page setup В. View цэсний toolbars Г. Edit цэсний toolbars 13. Taskbar мөрөнд цаг хугацааг гаргах А. Start-setiings- taskbar- show clock Б. Start-setiings- control panel- date and time В. Start-setiings- control panel- show clock 14. Windows- д программыг дуудаж ажиллуулахдаа А.start- programs Б.start- run В. Start- shut down 15. Windows- д катологийг юу гэж нэрлэдэг вэ? А.desktop Б.taskbar В.folder Г.shortcut 16. Start цэсэнд программ нэмэхдээ А.start- settings- control panel- add/remove Б. Start- settings- taskbar- start menu programs- add В. Start- settings- taskbar- start menu programs- add/remove 17.Windows- ийн wordpad программ ямар үүрэгтэй вэ? А.зургийн прорамм Б.бичиг баримт боловсруулах В.тоглоомын программ 18. Дэлгэцэнд амралт хийх А.control panel- display- background Б. Control panel- display- screensaver В. Control panel- display- settings 19. Windows- д фолдерийг зөөхдөө А. Дүрсэн дээр хулганы заагчийг байрлуулан зүүн товчийг дараастай хөдөлгөнө Б. Дүрсэн дээр хулганы заагчийг байрлуулан хөдөлгөнө. В. Дүрсэн дээр хулганы заагчийг байрлуулан зүүн товчийг 2 дарна. 20.Windows- ын орчны программд завсрын санах ойд мэдээлэл оруулах А. Cut, copy Б. Cut, paste В. Copy, paste Г. Paste 21. Windows үйлдлийн систем программ хангамж мөн үү? А. Мөн Б. Биш 22. Windows прораммд mouse бүлгээр юуг тохируулах вэ? А.Компьютерийн тоноглолууд, прораммын тохиргоо Б.Уян хатуу дискны төхөөрөмжүүдийн тохиргоо В.Дэлгэцийн ажиллагааны тохиргоо Г.Хулганы ажиллагааны тохиргоо
  • 25.
    ї - 25 - 23.Windows Explorer программд хуулах үйлдлийг ямар командаар биелүүлэх вэ? А. Cut Б. Save В. Copy Г. Paste 24. Paint программаар юу хийж болох вэ? А. Зөвхөн зураг үзнэ. Б. Текст бичнэ. В. Зураг зурна, зурагтай ажиллана. Г. Аль ч биш 25. Windows үйлдлийн системийн давуу тал …………………………………………………..………………………………………… …………………………………………………………………………………………….
  • 26.
    ї - 26 - Тест2 1. Microsoft Word нь баримт бичиг боловсруулдаг windows –н стандарт хэрэглээний програм юм. А. Үнэн Б. Худал 2. Параграф гэж юу вэ? …………………………….…………………………….……………………………. …………………………….…………………………….……………………………. …………………………….…………………………….……………………………. 3. Мэдээллийг завсрын санах ой руу хуулах команд А. Copy Б. Close В. Cut Г. Exit 4. Идэвхижүүлсэн текстийг устгах команд А. Copy Б. Clear В. Cut Г. exit 5. Үсгийн хэлбэр хэмжээг өөрчлөх команд А. Font Б. Font size В. Cut Г. exit 6. Microsoft word програмд баримтыг хадгалахдаа ямар команд хэрэглэдэг вэ? А. Save Б. New В. Undo Г. Save As 7. Microsoft word програмд текстийг ямар командаар хайрцаглах вэ? А. Undo Б. new В. Text box Г. Borders and shading 8. Microsoft word програмд баримтыг яаж хаах вэ? А. Copy Б. close В. Cut Г. exit 9. Microsoft word програмд парагафыг ямар командаар дугаарладаг вэ? А. Bullets and numbering Б. Page number В. Paragraph Г. Borders and shading 10.Баримтын нэрийг өөрчилж хадгалахдаа А. Save Б. New В. Undo Г. Save as 11.Хэвлэхийн өмнөх байдлаар харах команд аль нь вэ? А. Save Б. Print В. Print preview Г. Save as 12.Microsoft word програмд хуудсыг ямар командаар дугаарладаг вэ? А. Paragraph Б. Page number В. Bullets and numbering Г. Borders and shading 13.Microsoft word програмд хуудсыг хүрээлэхэд ямар команд хэрэгдэх вэ? А. Page number
  • 27.
    ї - 27 - Б.Paragraph В. Bullets and numbering Г. Page Borders 14.Microsoft word програмд хүснэгт оруулахад ямар команд хэрэглэх вэ? А. Table Б. Insert В. Insert table Г. Merge table 15.Microsoft word програмд хүснэгтийг форматлахдаа ямар команд хэрэглэх вэ? А. Тable auto format Б. Auto format В. Insert format Г. Merge table 16.Баримтанд зураг оруулахад ямар команд хэрэглэх вэ? А. Picture Б. Clip art В. Word art Г. Art 17.Баримтанд дүрс оруулахад ямар команд хэрэглэх вэ? А. Picture Б. Clip art В. Word art Г. Autoshapes 18.Цаасны тохиргоо хийх команд ? ……………………………. 19.Баримтанд хөл толгой оруулахдаа ямар команд хэрэглэдэг вэ? ……………………………. Доорх командууд ямар үүрэгтэй вэ? Ямар цэсэнд байрладаг вэ? 20.Font ……………………………. 21.Copy ……………………………. 22.Footnote ……………………………. 23.Find ……………………………. 24.Replace ……………………………. 25.Go to …………………………… 26.Text direction ……………………………. 27.Break ……………………………. 28.Change case ……………………………. 29.Columns ……………………………. 30.Symbol ……………………………. 31.Undo ……………………………. 32.Select all ……………………………. 33.Drop cap ……………………………. 34.Split cells ……………………………. 35.Merge cells ……………………………. 36.Word art ……………………………. Доорх текстийн үнэн худлыг тодорхойл 37. Мэдээллийг хайхдаа том жижиг үсгийг ялгаагүй хайдаг [Ү,Х] 38. Хуудсыг дурын дугаараас эхлэн дугаарлаж болно [Ү,Х] 39. Үгийн үсэг бүрийг өөр өөр өнгөөр бичиж болно [Ү,Х] 40. Хэвлэх байдлыг харах цонхонд засварлалт хийдэггүй [Ү,Х] 41. Хуудасны дугаарлалтыг тоогоор л хийдэг [Ү,Х]
  • 28.
    ї - 28 - 42.Ямарч фонд сонгосон монголоор бичиж болно [Ү,Х] 43. Word дээр график зурж болно [Ү,Х] 44. Текст бичсэний дараа үсгийн фондыг өөрчилж болно [Ү,Х] 45. Мэдээлэл бичсэний дараа дугаарлалт тавьж болохгүй [Ү,Х]
  • 29.
    ї - 29 - Тест3 Нөхөж бичнэ үү? 1. Microsoft Powerpoint програм нь .................... боловсруулдаг стандарт бус хэрэглээний програм юм. 2. Шинээр илтгэлийн файл үүсгэхдээ А. File/New Б. File/Open B. File/Start 3. Edit цэсний Repeat командаар А. Хийсэн үйлдлийг буцаана Б. Хийсэн үйлдлийг давтана В. Буцаасан үйлдлийг сэргээнэ 4. Slide Show цэсний Custom Animation команд нь А. Хуудас дахь хөдөлгөөнийг харуулах Б. Хуудас хоорондын шилжилтэд хөдөлгөөн оруулна. В. Хуудас дахь текст зурганд хөдөлгөөн оруулна. 5. Илтгэлийг ажлуулахдаа А. Slide show Б. Run B. View show 6. MS-PowerPoint програм слайдын загварыг сонгоход ямар команд хэрэглэх бэ? ................................................. 7. Хөдөлгөөнт зураг болон дуу чимээ оруулахдаа ямар команд хэрэглэх бэ? .................................................. 8. MS-PowerPoint дээр текстийг хөдөлгөөнд оруулахад ямар команд хэрэглэх бэ? .................................................. .................................................. .................................................. .................................................. 9. Слайд гэж юу вэ? .................................................. .................................................. .................................................. .................................................. .................................................. 10. Илтгэлийн хуудаснууд А. Зөвхөн дараалсан байдлаар ажиллана. Б. Холболтын тусламжтайгаар дарааллыг өөрчилж болно. В. Тус тусдаа нэг файл хэлбэрээр хадгалагддаг.
  • 30.
  • 31.
  • 32.