Project Name:
Diminishing Musharakah Contract
(Easy Home Financing)
Presented To:
Sir Arshad Haroon
Presented By:
Israr Ahmad Khan
Ghazanfar Rasool
Shahzaib Khalid
Muhammad Mohsin Nawaz
CONTENT:
 Islamic banking & finance
 Musharakah
 Evidence
 Types of musharakah
 Concept of diminishing musharakah
 Components of diminishing musharakah
 Mode of fix assets financing
 What is easy home financing
 Banks that are providing easy home financing
 Selection of bank
 Benefits of easy home financing
 Basic structure of easy home financing
 Diminishing musharakah FAQs
ISLAMIC BANKING AND FINANCE
Islamic banking (Arabic: ‫مصرفية‬‫إسالمية‬ ) is a banking or
banking activity that is consistent with the principles of
sharia (Islamic law) and its practical application through
the development of Islamic economics. As such, a more
correct term for Islamic banking is sharia compliant
finance.
Islamic finance is a financial system that operates
according to Islamic law (which is called sharia) and is,
therefore, sharia-compliant. Just like
conventional financial systems, Islamic finance features
banks, capital markets, fund managers, investment firms,
and insurance companies.
MUSHARAKAH
 Musharakah is also known as al-sharikah (‫)الشركة‬
 Literally:
 Combination of property whereby one cannot be
differentiated from the other
 Mixing of two properties so that they could not be
distinguished from each other
 Technically:
 An agreement between two or more parties to
combine their assets, labor or liabilities for the
purpose of making a profit.
Al-Qur’an:
Evidence
 Reported by Abi Hurairah R.A that the Prophet S.A.W said
“Allah had said that: “I am the third of the partners, as long as
any one of them does not betray the other. If he/she does betray
the other, I will withdraw (move away) from them”
 Reported by As–Saib Al–Makhzumi R.A that he used to be a
partner of the prophet S.A.W (in business) before his prophet-
hood. During the opening of Mecca he said to the prophet
S.A.W: “Welcome my brother and partner!”
Evidence
Hadith:
TYPES OF MUSHARAKAH
Musharakah is a form of partnership (Shirkat) and
there are two types of Shirkah:
1. Shirkat-ul-Milk : Joint ownership of two or more
persons in a particular property.
2. Shirkat-ul-Aqd : A partnership affected by mutual
contract. It can also be translated as a joint
commercial enterprise.
CONCEPT OF DIMINISHING
MUSHARAKAH
 Diminishing Musharakah is kind of Shirkat-ul-
Milk.
 It involves taking share in the ownership of a
specific asset and then gradually transferring
complete ownership to the other partner.
 This concept is based on Declining ownership of
the bank.
COMPONENTS OF DIMINISHING
MUSHARAKAH
 Joint ownership of the Bank and customer.
 Customer as a lessee uses the share of the bank.
 Redemption of the share of the Bank by the
customer.
MODE OF FIX ASSETS FINANCING
Diminishing musharakah is commonly use for the
purpose of financing of fix assets by various Islamic
banks.
 House financing
 Car financing
 Plant and machinery financing
 All other fix assets
WHAT IS EASY HOME FINANCING?
Easy Home is a Shariah-compliant Home Finance
facility! One that is comprehensive, affordable, and
totally interest-free. The Bank is committed to meet
customers’ needs in a truly Shariah-compliant manner
coupled with dedicated service excellence. Easy Home
not only allows you to own your own home by paying
easy installments but also keeps you safely away from
interest based financing.
BANKS THAT ARE PROVIDING EASY
HOME FINANCING
Meezan Bank
Al Baraka Islamic Bank
Bank Islami
Dubai Islamic Bank
Bank Alfalah
Askari Bank Limited
Habib Bank Limited
SELECTION OF BANK?
Different banks are available that are providing “easy home
financing ” but we select Meezan Bank (The Premier
Islamic bank).
Because the Meezan Bank first time Islamic bank in
Pakistan.
BENEFITS OF EASY HOME FINANCING
(MEEZAN BANK)
 High financing amounts
 Adequate financing against property value
 Flexibility to make partial prepayments
 Minimal processing charges
 Affordable and competitive installment amounts
with a regular reducing monthly rental
 The customer approaches the Bank with the
request for House financing.
 The Bank enters into a Musharakah (Joint
Ownership) agreement with the customer and both
of them pay their respective shares to the seller of
the asset.
 Client promises to purchase Bank’s share (units)
over the tenure of transaction with the help of
Undertaking to Purchase.
CUSTOMERBANK
Joint
Ownership
Musharaka
Rent
 Client promises to purchase Bank’s share (units)
over the tenure of transaction with the help of
Undertaking to Purchase.
 Customer pays rent for the use of banks share in
the property.
 Client purchases the units every month via a
separate offer & acceptance every month and will
eventually become the owner of the property.
CUSTOMERBANK
Joint
Ownership
Musharaka
Gradual Transfer of Ownership
 Ownership of the asset is gradually transferred to
the customer upon payment of asset price. (with the
help of a Sale transaction between bank &
customer at the end of each period)
CustomerBANK
Joint
Ownership
Musharaka
Gradual Transfer of Ownership
1
9
Diminishing Musharakah FAQs
(Frequently Asked Questions )
EASY HOME PAYMENT CALCULATION
Calculations
No. of Units * : 180
*MBL Share in the Property is Divided into
Musharakah Units
Unit Sale Price **
(PKR) :
8333.33
**Price of Units = Total MBL Share / No. Of Units
Monthly Rent Per
Unit (PKR) :
67.08
Total Starting Rent
*** (PKR) :
12075.00
***Total Starting Rent = Rent Per Unit X numbers of
MBL Units outstanding
Starting Month
Payment (PKR) :
20408.33
*Segment
Easy Home
Category
Tenure
**Type of Plan
Property Price (PKR)
Financing Required
(PKR)
Number of Tranches
Salaried
Buyer
15years
UMI
3500000
1500000
1
* SEP includes Doctors, Engineers,
Auditors and Architects.
* Non Resident Pakistanis
** UMI - Unequal Monthly Installment
** SMI - Step-Up Monthly Installment
DIMINISHING MUSHARAKAH FAQS
Payment Plans
 UMI Model
Easy Home is structured under the concept of Diminishing
Musharakah where Meezan Bank and Customer enter into a
Musharakah Agreement whereby both the parties provide their
investments to be utilized for the purposes of purchase the property.
The Joint ownership is created in the property between Bank &
customer by virtue of the Musharakah agreement. (This is based on
the principle of Shirkat ul Milk) Bank’s share is divided into units
and is given to the Client on rent and Client promises to purchase
Bank’s share (units) over the tenure of transaction Client purchases
the units every month and will eventually become the owner of the
property. Rental amount is adjusted according to the bank’s share
(units) remaining in the property. In UMI , the Musharakah unit
price remains constant through out the financing period.
Easy Home Payment Plan Summary
Cost Price: (PKR) 3,500,000 /- Total Units 180
Customer Share: (PKR) 2,000,000 /- Unit Sale Price: (PKR) 8,333 /-
Bank Share: (PKR) 1,500,000 /- Monthly Rent Per Unit: 67 /-
Profit Rate: 9.66 % Total Starting Rent: (PKR) 12,075 /-
Tenure in Years: 15 Starting Month Payment: 20,408 /-
Segment: Salaried Easy Home Category: Buyer (UMI)
Takaful Contribution Rate: 0.298%
Tentative Payment Schedule
Months
Rent
(PKR)
Unit Price
(PKR)
Takaful
Contribution
(PKR)
Monthly
Payment
(PKR)
Balance Unit
Value
(PKR)
Balance Units
0 1,500,000 180
1 12,075 8,333 373 20,781 1,491,667 179
2 12,008 8,333 370 20,712 1,483,333 178
3 11,941 8,333 368 20,643 1,475,000 177
4 11,874 8,333 366 20,573 1,466,667 176
5 11,807 8,333 364 20,504 1,458,333 175
175 403 8,333 12 8,748 41,667 5
176 335 8,333 10 8,679 33,333 4
177 268 8,333 8 8,610 25,000 3
178 201 8,333 6 8,541 16,667 2
179 134 8,333 4 8,472 8,333 1
180 67 8,333 2 8,402 0
DIMINISHING MUSHARAKAH FAQS
Step-up-Model
The Step-up Payment plan is introduced for customers who
intend to avail maximum financing facility with lower
installments. The step up model is based on Shariah-compliant
structure of Diminishing Musharakah. In this model, the
bank’s share is divided into Musharakah units and in the
initial half of the facility tenure, the customer purchases one
Musharakah unit from the bank every month and in the later
half of the facility tenure, the customer purchases two
Musharakah units from the bank every month. Thus the
monthly installment during initial years is comparatively
lower which is easily affordable. This model is a Shariah-
compliant alternative available to the customers who wish to
avail maximum financing facility from the Bank.
Easy Home Payment Plan Summary
Cost Price: (PKR) 3,500,000 /- Total Units 270
Customer Share: (PKR) 2,000,000 /- Unit Sale Price: (PKR) 5,556 /-
Bank Share: (PKR) 1,500,000 /- Monthly Rent Per Unit: 45 /-
Profit Rate: 9.66 % Total Starting Rent: (PKR) 12,075 /-
Tenure in Years: 15 Starting Month Payment: 17,631 /-
Segment: Salaried Easy Home Category: Buyer (SMI)
Takaful Contribution Rate: 0.298%
Tentative Payment Schedule
Months
Rent
(PKR)
Unit Price
(PKR)
Takaful
Contribution
(PKR)
Monthly
Payment
(PKR)
Balance Unit
Value
(PKR)
Balance Units
0 1,500,000 270
1 12,075 5,556 373 18,003 1,494,444 269
2 12,030 5,556 371 17,957 1,488,889 268
3 11,986 5,556 370 17,911 1,483,333 267
4 11,941 5,556 368 17,865 1,477,778 266
5 11,896 5,556 367 17,819 1,472,222 265
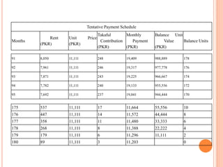
91 8,050 11,111 248 19,409 988,889 178
92 7,961 11,111 246 19,317 977,778 176
93 7,871 11,111 243 19,225 966,667 174
94 7,782 11,111 240 19,133 955,556 172
95 7,692 11,111 237 19,041 944,444 170
175 537 11,111 17 11,664 55,556 10
176 447 11,111 14 11,572 44,444 8
177 358 11,111 11 11,480 33,333 6
178 268 11,111 8 11,388 22,222 4
179 179 11,111 6 11,296 11,111 2
180 89 11,111 3 11,203 0
Tentative Payment Schedule
Months
Rent
(PKR)
Unit Price
(PKR)
Takaful
Contribution
(PKR)
Monthly
Payment
(PKR)
Balance Unit
Value
(PKR)
Balance Units
DIMINISHING MUSHARAKAH FAQS
Profit Calculations
Meezan Bank's Profit margin is correlated to the
conventional market trends. At Meezan Bank, the profit
margin is directly correlated to market trends to provide a
competitive product to our customers. Shariah allows the use
of any conventional market factor as a benchmark to
determine the profit rate of a particular product. The simple
fact that the applied profit rate of our product is based on
similar factors used in determining the applied rate of interest
of a mortgage does not render the transaction or the contract
invalid from the Shariah perspective, and neither does it make
the transaction an interest-bearing one. On the other hand, it is
the underlying structure of the product that determines its
Shariah compliance.
DIMINISHING MUSHARAKAH FAQS
Fatwa
on Housing
Finance
DIMINISHING MUSHARAKAH FAQS
What makes Islamic Housing Finance Shariah
compliant and how does it differ from a
conventional?
 A Shariah compliant house finance product, approved by
Shariah Supervisory Board.
 Based on the concept of Diminishing Musharakah, which is in
conformity to Shariah Laws related to financing , ownership
& trade.
 The nature of the contract is co-ownership in which ownership
is taken through a partnership and then transferring complete
ownership to the consumer instead of simply lending money is
the major factor that makes our product Shariah Compliant.
 The profit is pre determined based on market trends, so the
payments are hence completely Riba-free.
DIMINISHING MUSHARAKAH FAQS
Islamic Housing Finance Vs Conventional Housing Finance
1. OWNERSHIP OF THE PROPERTY
Islamic Housing Finance Conventional Housing Finance
In Islamic Housing Finance, bank is the owner
of the property up to the extent of its share. In
Easy Home, Meezan Bank creates ownership
through Islamic Housing Finance Agreement
into Musharakah property.
Conventional bank does not become the co-
owner of the property. It gives loan to
customer for purchase of property.
2. RISK OF THE PROPERTY
Islamic Housing Finance Conventional Housing Finance
In the event of any loss in the musharakah
property due to any natural disaster, an
Islamic bank shares the loss in the property.
Hence an Islamic Bank takes high risk.
Conventional bank does not share in the
losses in case of any type of damage to
property as it has given loan to the
customer.
DIMINISHING MUSHARAKAH FAQS
3. MONTHLY PAYMENT
Islamic Housing Finance Conventional Housing Finance
Monthly payment consists of two components.
1) Unit price
2) Monthly Rental Payment.
Monthly Installment consists of two following
components.
1) Principal payment
2) Interest / Mark-up
4. MONTHLY PAYMENT STOPPAGE
Islamic Housing Finance Conventional Housing Finance
In case the musharakah property collapse,
Rental payment will be stopped, as due to non-
availability of assets, rent cannot be charged.
In case of Musharakah property collapse,
monthly payments will not be stopped as
bank has lent money and it not an owner in
the financed property.
DIMINISHING MUSHARAKAH FAQS
5. EARLY PAYMENTS / BALOON PAYMENTS
Islamic Housing Finance Conventional Housing Finance
Customers can purchase additional units at
any time during transaction tenure. There is
no restriction on purchase of additional units.
Conventional banks usually restricts
customers to make balloon payments during
the initial 2-3 years. Some bank allows
balloon payments only 2 to 3 times in a
year.
DIMINISHING MUSHARAKAH FAQS
6. EARLY PAYMENTS PROFIT / PANELTY ON BALOON PAYMENTS
Islamic Housing Finance Conventional Housing Finance
The property is re-valuated at the time of
unit purchase to determine its current
market price. If the market price remains the
same than no additional payment is taken
from customer and the additional
musharakah units are sold at face value.
However, if the price of the property
increases, for example 20% or 30%, the
bank increases the unit price by minimal
amount say 3% or 5%. This additional
amount is the true profit of the bank for
selling the musharakah units from the
bank’s share in the property.
The conventional banks charges penalty
over the amount of balloon payment
irrespective of the fact that value of
property is appreciated or not.
DIMINISHING MUSHARAKAH FAQS
Is this profit rate variable or fixed?
The profit rate used for Housing Finance is a combination of
fixed and floating rates. The rentals for Musharakah property are
calculated using a fixed rate applicable for the first year. These
rentals are recalculated annually for the next 12 months at the
first anniversary, using a floating rate formula based on the
average of 12-month KIBOR (Karachi Inter Bank Offer Rate)
announced before the start of each calendar quarter.
DIMINISHING MUSHARAKAH FAQS
As you say that the rate may vary with KIBOR,
approximately how much can it vary?
As the rentals are calculated using KIBOR (Karachi
Inter-bank Offer Rate) as a benchmark the rate may
vary.
DIMINISHING MUSHARAKAH FAQS
Does Islamic Banks allows its customers to sell the
property during the tenure of transaction?
If a customer wants to sell the property he can do so after purchasing
the remaining Bank's share in the property. The option of financing
transfer to a new owner is not available. However, bank can judge
the new owner independently as per their policy for providing
housing facility.
CONCLUSION
 The conclusion is that scholar agreed that it is the
best to implement diminishing musharakah partnership
for house financing can be leased out to agreed rental.
 Joint ownership of house is accepted by all school
of Islamic jurisprudence since the financier sells its
shares to customer.
Islamic finance presentation

Islamic finance presentation

  • 2.
    Project Name: Diminishing MusharakahContract (Easy Home Financing) Presented To: Sir Arshad Haroon Presented By: Israr Ahmad Khan Ghazanfar Rasool Shahzaib Khalid Muhammad Mohsin Nawaz
  • 3.
    CONTENT:  Islamic banking& finance  Musharakah  Evidence  Types of musharakah  Concept of diminishing musharakah  Components of diminishing musharakah  Mode of fix assets financing  What is easy home financing  Banks that are providing easy home financing  Selection of bank  Benefits of easy home financing  Basic structure of easy home financing  Diminishing musharakah FAQs
  • 4.
    ISLAMIC BANKING ANDFINANCE Islamic banking (Arabic: ‫مصرفية‬‫إسالمية‬ ) is a banking or banking activity that is consistent with the principles of sharia (Islamic law) and its practical application through the development of Islamic economics. As such, a more correct term for Islamic banking is sharia compliant finance. Islamic finance is a financial system that operates according to Islamic law (which is called sharia) and is, therefore, sharia-compliant. Just like conventional financial systems, Islamic finance features banks, capital markets, fund managers, investment firms, and insurance companies.
  • 5.
    MUSHARAKAH  Musharakah isalso known as al-sharikah (‫)الشركة‬  Literally:  Combination of property whereby one cannot be differentiated from the other  Mixing of two properties so that they could not be distinguished from each other  Technically:  An agreement between two or more parties to combine their assets, labor or liabilities for the purpose of making a profit.
  • 6.
  • 7.
     Reported byAbi Hurairah R.A that the Prophet S.A.W said “Allah had said that: “I am the third of the partners, as long as any one of them does not betray the other. If he/she does betray the other, I will withdraw (move away) from them”  Reported by As–Saib Al–Makhzumi R.A that he used to be a partner of the prophet S.A.W (in business) before his prophet- hood. During the opening of Mecca he said to the prophet S.A.W: “Welcome my brother and partner!” Evidence Hadith:
  • 8.
    TYPES OF MUSHARAKAH Musharakahis a form of partnership (Shirkat) and there are two types of Shirkah: 1. Shirkat-ul-Milk : Joint ownership of two or more persons in a particular property. 2. Shirkat-ul-Aqd : A partnership affected by mutual contract. It can also be translated as a joint commercial enterprise.
  • 9.
    CONCEPT OF DIMINISHING MUSHARAKAH Diminishing Musharakah is kind of Shirkat-ul- Milk.  It involves taking share in the ownership of a specific asset and then gradually transferring complete ownership to the other partner.  This concept is based on Declining ownership of the bank.
  • 10.
    COMPONENTS OF DIMINISHING MUSHARAKAH Joint ownership of the Bank and customer.  Customer as a lessee uses the share of the bank.  Redemption of the share of the Bank by the customer.
  • 11.
    MODE OF FIXASSETS FINANCING Diminishing musharakah is commonly use for the purpose of financing of fix assets by various Islamic banks.  House financing  Car financing  Plant and machinery financing  All other fix assets
  • 12.
    WHAT IS EASYHOME FINANCING? Easy Home is a Shariah-compliant Home Finance facility! One that is comprehensive, affordable, and totally interest-free. The Bank is committed to meet customers’ needs in a truly Shariah-compliant manner coupled with dedicated service excellence. Easy Home not only allows you to own your own home by paying easy installments but also keeps you safely away from interest based financing.
  • 13.
    BANKS THAT AREPROVIDING EASY HOME FINANCING Meezan Bank Al Baraka Islamic Bank Bank Islami Dubai Islamic Bank Bank Alfalah Askari Bank Limited Habib Bank Limited
  • 14.
    SELECTION OF BANK? Differentbanks are available that are providing “easy home financing ” but we select Meezan Bank (The Premier Islamic bank). Because the Meezan Bank first time Islamic bank in Pakistan.
  • 15.
    BENEFITS OF EASYHOME FINANCING (MEEZAN BANK)  High financing amounts  Adequate financing against property value  Flexibility to make partial prepayments  Minimal processing charges  Affordable and competitive installment amounts with a regular reducing monthly rental
  • 17.
     The customerapproaches the Bank with the request for House financing.  The Bank enters into a Musharakah (Joint Ownership) agreement with the customer and both of them pay their respective shares to the seller of the asset.  Client promises to purchase Bank’s share (units) over the tenure of transaction with the help of Undertaking to Purchase. CUSTOMERBANK Joint Ownership Musharaka Rent
  • 18.
     Client promisesto purchase Bank’s share (units) over the tenure of transaction with the help of Undertaking to Purchase.  Customer pays rent for the use of banks share in the property.  Client purchases the units every month via a separate offer & acceptance every month and will eventually become the owner of the property. CUSTOMERBANK Joint Ownership Musharaka Gradual Transfer of Ownership
  • 19.
     Ownership ofthe asset is gradually transferred to the customer upon payment of asset price. (with the help of a Sale transaction between bank & customer at the end of each period) CustomerBANK Joint Ownership Musharaka Gradual Transfer of Ownership 1 9
  • 20.
  • 21.
    EASY HOME PAYMENTCALCULATION Calculations No. of Units * : 180 *MBL Share in the Property is Divided into Musharakah Units Unit Sale Price ** (PKR) : 8333.33 **Price of Units = Total MBL Share / No. Of Units Monthly Rent Per Unit (PKR) : 67.08 Total Starting Rent *** (PKR) : 12075.00 ***Total Starting Rent = Rent Per Unit X numbers of MBL Units outstanding Starting Month Payment (PKR) : 20408.33 *Segment Easy Home Category Tenure **Type of Plan Property Price (PKR) Financing Required (PKR) Number of Tranches Salaried Buyer 15years UMI 3500000 1500000 1 * SEP includes Doctors, Engineers, Auditors and Architects. * Non Resident Pakistanis ** UMI - Unequal Monthly Installment ** SMI - Step-Up Monthly Installment
  • 22.
    DIMINISHING MUSHARAKAH FAQS PaymentPlans  UMI Model Easy Home is structured under the concept of Diminishing Musharakah where Meezan Bank and Customer enter into a Musharakah Agreement whereby both the parties provide their investments to be utilized for the purposes of purchase the property. The Joint ownership is created in the property between Bank & customer by virtue of the Musharakah agreement. (This is based on the principle of Shirkat ul Milk) Bank’s share is divided into units and is given to the Client on rent and Client promises to purchase Bank’s share (units) over the tenure of transaction Client purchases the units every month and will eventually become the owner of the property. Rental amount is adjusted according to the bank’s share (units) remaining in the property. In UMI , the Musharakah unit price remains constant through out the financing period.
  • 23.
    Easy Home PaymentPlan Summary Cost Price: (PKR) 3,500,000 /- Total Units 180 Customer Share: (PKR) 2,000,000 /- Unit Sale Price: (PKR) 8,333 /- Bank Share: (PKR) 1,500,000 /- Monthly Rent Per Unit: 67 /- Profit Rate: 9.66 % Total Starting Rent: (PKR) 12,075 /- Tenure in Years: 15 Starting Month Payment: 20,408 /- Segment: Salaried Easy Home Category: Buyer (UMI) Takaful Contribution Rate: 0.298% Tentative Payment Schedule Months Rent (PKR) Unit Price (PKR) Takaful Contribution (PKR) Monthly Payment (PKR) Balance Unit Value (PKR) Balance Units 0 1,500,000 180 1 12,075 8,333 373 20,781 1,491,667 179 2 12,008 8,333 370 20,712 1,483,333 178 3 11,941 8,333 368 20,643 1,475,000 177 4 11,874 8,333 366 20,573 1,466,667 176 5 11,807 8,333 364 20,504 1,458,333 175 175 403 8,333 12 8,748 41,667 5 176 335 8,333 10 8,679 33,333 4 177 268 8,333 8 8,610 25,000 3 178 201 8,333 6 8,541 16,667 2 179 134 8,333 4 8,472 8,333 1 180 67 8,333 2 8,402 0
  • 24.
    DIMINISHING MUSHARAKAH FAQS Step-up-Model TheStep-up Payment plan is introduced for customers who intend to avail maximum financing facility with lower installments. The step up model is based on Shariah-compliant structure of Diminishing Musharakah. In this model, the bank’s share is divided into Musharakah units and in the initial half of the facility tenure, the customer purchases one Musharakah unit from the bank every month and in the later half of the facility tenure, the customer purchases two Musharakah units from the bank every month. Thus the monthly installment during initial years is comparatively lower which is easily affordable. This model is a Shariah- compliant alternative available to the customers who wish to avail maximum financing facility from the Bank.
  • 25.
    Easy Home PaymentPlan Summary Cost Price: (PKR) 3,500,000 /- Total Units 270 Customer Share: (PKR) 2,000,000 /- Unit Sale Price: (PKR) 5,556 /- Bank Share: (PKR) 1,500,000 /- Monthly Rent Per Unit: 45 /- Profit Rate: 9.66 % Total Starting Rent: (PKR) 12,075 /- Tenure in Years: 15 Starting Month Payment: 17,631 /- Segment: Salaried Easy Home Category: Buyer (SMI) Takaful Contribution Rate: 0.298% Tentative Payment Schedule Months Rent (PKR) Unit Price (PKR) Takaful Contribution (PKR) Monthly Payment (PKR) Balance Unit Value (PKR) Balance Units 0 1,500,000 270 1 12,075 5,556 373 18,003 1,494,444 269 2 12,030 5,556 371 17,957 1,488,889 268 3 11,986 5,556 370 17,911 1,483,333 267 4 11,941 5,556 368 17,865 1,477,778 266 5 11,896 5,556 367 17,819 1,472,222 265
  • 26.
    91 8,050 11,111248 19,409 988,889 178 92 7,961 11,111 246 19,317 977,778 176 93 7,871 11,111 243 19,225 966,667 174 94 7,782 11,111 240 19,133 955,556 172 95 7,692 11,111 237 19,041 944,444 170 175 537 11,111 17 11,664 55,556 10 176 447 11,111 14 11,572 44,444 8 177 358 11,111 11 11,480 33,333 6 178 268 11,111 8 11,388 22,222 4 179 179 11,111 6 11,296 11,111 2 180 89 11,111 3 11,203 0 Tentative Payment Schedule Months Rent (PKR) Unit Price (PKR) Takaful Contribution (PKR) Monthly Payment (PKR) Balance Unit Value (PKR) Balance Units
  • 27.
    DIMINISHING MUSHARAKAH FAQS ProfitCalculations Meezan Bank's Profit margin is correlated to the conventional market trends. At Meezan Bank, the profit margin is directly correlated to market trends to provide a competitive product to our customers. Shariah allows the use of any conventional market factor as a benchmark to determine the profit rate of a particular product. The simple fact that the applied profit rate of our product is based on similar factors used in determining the applied rate of interest of a mortgage does not render the transaction or the contract invalid from the Shariah perspective, and neither does it make the transaction an interest-bearing one. On the other hand, it is the underlying structure of the product that determines its Shariah compliance.
  • 28.
  • 29.
    DIMINISHING MUSHARAKAH FAQS Whatmakes Islamic Housing Finance Shariah compliant and how does it differ from a conventional?  A Shariah compliant house finance product, approved by Shariah Supervisory Board.  Based on the concept of Diminishing Musharakah, which is in conformity to Shariah Laws related to financing , ownership & trade.  The nature of the contract is co-ownership in which ownership is taken through a partnership and then transferring complete ownership to the consumer instead of simply lending money is the major factor that makes our product Shariah Compliant.  The profit is pre determined based on market trends, so the payments are hence completely Riba-free.
  • 30.
    DIMINISHING MUSHARAKAH FAQS IslamicHousing Finance Vs Conventional Housing Finance 1. OWNERSHIP OF THE PROPERTY Islamic Housing Finance Conventional Housing Finance In Islamic Housing Finance, bank is the owner of the property up to the extent of its share. In Easy Home, Meezan Bank creates ownership through Islamic Housing Finance Agreement into Musharakah property. Conventional bank does not become the co- owner of the property. It gives loan to customer for purchase of property. 2. RISK OF THE PROPERTY Islamic Housing Finance Conventional Housing Finance In the event of any loss in the musharakah property due to any natural disaster, an Islamic bank shares the loss in the property. Hence an Islamic Bank takes high risk. Conventional bank does not share in the losses in case of any type of damage to property as it has given loan to the customer.
  • 31.
    DIMINISHING MUSHARAKAH FAQS 3.MONTHLY PAYMENT Islamic Housing Finance Conventional Housing Finance Monthly payment consists of two components. 1) Unit price 2) Monthly Rental Payment. Monthly Installment consists of two following components. 1) Principal payment 2) Interest / Mark-up 4. MONTHLY PAYMENT STOPPAGE Islamic Housing Finance Conventional Housing Finance In case the musharakah property collapse, Rental payment will be stopped, as due to non- availability of assets, rent cannot be charged. In case of Musharakah property collapse, monthly payments will not be stopped as bank has lent money and it not an owner in the financed property.
  • 32.
    DIMINISHING MUSHARAKAH FAQS 5.EARLY PAYMENTS / BALOON PAYMENTS Islamic Housing Finance Conventional Housing Finance Customers can purchase additional units at any time during transaction tenure. There is no restriction on purchase of additional units. Conventional banks usually restricts customers to make balloon payments during the initial 2-3 years. Some bank allows balloon payments only 2 to 3 times in a year.
  • 33.
    DIMINISHING MUSHARAKAH FAQS 6.EARLY PAYMENTS PROFIT / PANELTY ON BALOON PAYMENTS Islamic Housing Finance Conventional Housing Finance The property is re-valuated at the time of unit purchase to determine its current market price. If the market price remains the same than no additional payment is taken from customer and the additional musharakah units are sold at face value. However, if the price of the property increases, for example 20% or 30%, the bank increases the unit price by minimal amount say 3% or 5%. This additional amount is the true profit of the bank for selling the musharakah units from the bank’s share in the property. The conventional banks charges penalty over the amount of balloon payment irrespective of the fact that value of property is appreciated or not.
  • 34.
    DIMINISHING MUSHARAKAH FAQS Isthis profit rate variable or fixed? The profit rate used for Housing Finance is a combination of fixed and floating rates. The rentals for Musharakah property are calculated using a fixed rate applicable for the first year. These rentals are recalculated annually for the next 12 months at the first anniversary, using a floating rate formula based on the average of 12-month KIBOR (Karachi Inter Bank Offer Rate) announced before the start of each calendar quarter.
  • 35.
    DIMINISHING MUSHARAKAH FAQS Asyou say that the rate may vary with KIBOR, approximately how much can it vary? As the rentals are calculated using KIBOR (Karachi Inter-bank Offer Rate) as a benchmark the rate may vary.
  • 36.
    DIMINISHING MUSHARAKAH FAQS DoesIslamic Banks allows its customers to sell the property during the tenure of transaction? If a customer wants to sell the property he can do so after purchasing the remaining Bank's share in the property. The option of financing transfer to a new owner is not available. However, bank can judge the new owner independently as per their policy for providing housing facility.
  • 37.
    CONCLUSION  The conclusionis that scholar agreed that it is the best to implement diminishing musharakah partnership for house financing can be leased out to agreed rental.  Joint ownership of house is accepted by all school of Islamic jurisprudence since the financier sells its shares to customer.