Embed presentation
Download to read offline










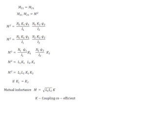
The document discusses different topics related to inductance including: 1) Self-inductance is defined as the ratio of the total flux linkage to the current through a solenoid or coil. 2) The flux density of a toroid coil is proportional to the current through it and inversely proportional to its radius. 3) Mutual inductance is defined as the ability of one coil to produce an emf in a nearby coil when the current in the first coil changes, and is proportional to the flux from the first coil that is coupled to the second coil.








