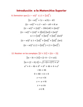
Introducción a la Matemática Superior
8. Demostrar que || 𝑧 − 𝑤||2
≤ (1 + || 𝑧||
2
)
|| 𝑧 − 𝑤||
2
= ( 𝑧 − 𝑤)( 𝑧 − 𝑤̅)
|| 𝑧 − 𝑤||2
= 𝑧. 𝑧̅ − 𝑤𝑧̅ − 𝑧𝑤̅ + 𝑤̅. 𝑤
|| 𝑧 − 𝑤||2
= || 𝑧||2
− 2𝑅𝑒( 𝑧𝑤̅) + || 𝑤||2
|| 𝑧 − 𝑤||2
= || 𝑧||2
+ 2|| 𝑧||.|| 𝑤|| + || 𝑤||2
≤ 1 + || 𝑧||
2
+ || 𝑤||
2
+ || 𝑧||
2
.|| 𝑤||2
|| 𝑧 − 𝑤||2
≤ 1 + || 𝑧||
2
+ || 𝑤||
2
+ || 𝑧||
2
.|| 𝑤||
|| 𝑧 − 𝑤||2
≤ (1 + || 𝑧||
2
) + (1 + || 𝑤||
2
)
12. Resolver en los complejos: || 𝑧̅ + 2𝑖|| = || 𝑖𝑧 − 2||
|| 𝑎 − 𝑏𝑖 + 2𝑖|| = ||−𝑏 − 2 + 𝑎𝑖||
|| 𝑎 + (2 − 𝑏) 𝑖|| = √(−( 𝑏 + 2)2) + 𝑎2
𝑎2
+ 4 − 4𝑏 + 𝑏2
= 𝑏2
+ 4𝑏 + 4 + 𝑎2
−4𝑏 = 4𝑏
0 = 8𝑏 → 𝑏 = 0
𝑧 = 𝑎 + 𝑏𝑖
𝑧 = 𝑎 + 0𝑖
𝑧 = 𝑎 𝑐𝑡𝑒
𝑧 ∈ ℝ
13.
a)𝑹 = {𝒛 ∈ ℂ/|| 𝒛 + 𝟏|| ≤ 𝟒 − || 𝒛 − 𝟏||}
𝑍 = 𝑥 + 𝑦𝑖
|| 𝑧 + 1|| ≤ 𝑘 − || 𝑧 − 1||
||( 𝑥 + 1) + 𝑦𝑖|| ≤ 4 − ||( 𝑥 − 1) + 𝑦𝑖||
√(𝑥 + 1)2 + 𝑦2 ≤ 4 − √(𝑥 − 1)2 + 𝑦2
( 𝑥 + 1) 2
+ 𝑦2
≤ 16 − 8√( 𝑥 − 1)2 + 𝑦2 + ( 𝑥 − 1)2
+ 𝑦2
(𝑥 + 1)2
− ( 𝑥 − 1)2
≤ 16 − 8√(𝑥 − 1)2 + 𝑦2
𝑥 ≤ 4 − 2√(𝑥 − 1)2 + 𝑦2
2√(𝑥 − 1)2 + 𝑦2 ≤ 4 − 𝑥
4[( 𝑥 − 1)2
+ 𝑦2] ≤ 16 − 8𝑥 + 𝑥2
4( 𝑥2
− 2𝑥 + 1) + 4𝑦2
≤ 16 − 8𝑥 + 𝑥2
4𝑥2
− 8𝑥 + 4 + 4𝑦2
≤ 16 − 8𝑥 + 𝑥2
3𝑥2
+ 4𝑦2
≤ 12
𝑥2
4
+
𝑦2
3
≤ 1
b) 𝑹 = { 𝒛 ∈ ℂ / || 𝒛 + 𝟏 − 𝟐𝒊|| + || 𝒊𝒛 + 𝟐 − 𝟑𝒊|| ≤ 𝟔}
𝒛 = 𝒂 + 𝒃𝒊
|| 𝒛 + 𝟏 − 𝟐𝒊|| + || 𝒊𝒛 + 𝟐 − 𝟑𝒊|| ≤ 𝟔 … … 𝑰
𝒛(𝟏 − 𝟐𝒊 = 𝒂 + 𝒃𝒊 + 𝟏 − 𝟐𝒊 = ( 𝒂 + 𝟏) + ( 𝒃− 𝟐) 𝒊
𝒊𝒛 + 𝟐 − 𝟑𝒊 = 𝒊( 𝒂 + 𝒃𝒊) + 𝟐 − 𝟑𝒊 = 𝒊𝒂 − 𝒃 + 𝟐 − 𝟑𝒊 = ( 𝟐 − 𝒃) + ( 𝒂 − 𝟑) 𝒊
𝑬𝒏 𝑰
||( 𝒂 + 𝟏) + (𝒃 − 𝟐) 𝒊 || + ||( 𝟐 − 𝒃) + ( 𝒂 − 𝟑) 𝒊|| ≤ 𝟔
||( 𝒂 + 𝟏) + ( 𝒃 − 𝟐) 𝒊|| ≤ 𝟔 − ||( 𝟐 − 𝒃) + ( 𝒂 − 𝟑) 𝒊||
𝒆𝒍𝒆𝒗𝒂𝒏𝒅𝒐 𝒂𝒍 𝒄𝒖𝒂𝒅𝒓𝒂𝒅𝒐
(𝒂 + 𝟏) 𝟐
+ (𝒃 − 𝟐) 𝟐
≤ 𝟑𝟔 − 𝟏𝟐 √( 𝟐 − 𝒃) 𝟐 + ( 𝒂 − 𝟑) 𝟐 + ( 𝟐 − 𝒃) 𝟐
+ (𝒂 − 𝟑) 𝟐
(𝒂 + 𝟏) 𝟐
− ( 𝒂 − 𝟑) 𝟐
+ (𝒃− 𝟐) 𝟐
− (𝒃 − 𝟐) 𝟐
≤ 𝟑𝟔 − 𝟏𝟐√( 𝟐 − 𝒃) 𝟐 + (𝒂 − 𝟑) 𝟐
𝒂 𝟐
+ 𝟐𝒂 + 𝟏)− ( 𝒂 𝟐
− 𝟔𝒂 + 𝟗) ≤ 𝟑𝟔 − 𝟏𝟐√( 𝟐 − 𝒃) 𝟐 + (𝒂 − 𝟑) 𝟐
𝟖𝒂 − 𝟖 ≤ 𝟑𝟔 − 𝟏𝟐√(𝟐 − 𝒃) 𝟐 + (𝒂 − 𝟑) 𝟐
𝟐𝒂 − 𝟐 ≤ 𝟗 − 𝟑√(𝟐 − 𝒃) 𝟐 + (𝒂 − 𝟑) 𝟐
𝟑√(𝟐 − 𝒃) 𝟐 + (𝒂 − 𝟑) 𝟐 ≤ 𝟏𝟏 − 𝟐𝒂
𝒆𝒍𝒆𝒗𝒂𝒏𝒅𝒐 𝒂𝒍 𝒄𝒖𝒂𝒅𝒓𝒂𝒅𝒐
𝟗[(( 𝟐 − 𝒃) 𝟐
+ ( 𝒂 − 𝟑) 𝟐] ≤ 𝟏𝟐𝟏 − 𝟒𝟒𝒂+ 𝟒𝒂 𝟐
𝟗[( 𝟒 − 𝟒𝒃+ 𝒃 𝟐)+ ( 𝒂 𝟐
− 𝟔𝒂 + 𝟗)] ≤ 𝟏𝟐𝟏 − 𝟒𝟒𝒂 + 𝟒𝒂 𝟐
𝟗[ 𝒃 𝟐
− 𝟒𝒃 + 𝒂 𝟐
− 𝟔𝒂 + 𝟏𝟑] ≤ 𝟏𝟐𝟏 − 𝟒𝟒𝒂 + 𝟒𝒂 𝟐
𝟗𝒃 𝟐
− 𝟑𝟔𝒃 + 𝟗𝒂 𝟐
− 𝟓𝟒𝒂 + 𝟏𝟏𝟕 ≤ 𝟏𝟐𝟏 − 𝟒𝟒𝒂 + 𝟒𝒂 𝟐
𝟗𝒃 𝟐
− 𝟑𝟔𝒃 + 𝟓𝒂 𝟐
− 𝟏𝟎𝒂 − 𝟒 ≤ 𝟎
𝟗𝒃 𝟐
− 𝟑𝟔𝒃+ 𝟓𝒂 𝟐
− 𝟏𝟎𝒂 ≤ 𝟒
𝟗( 𝒃 𝟐
− 𝟒𝒃+ 𝟒) − 𝟑𝟔 + 𝟓( 𝒂 𝟐
− 𝟐𝒂 + 𝟏)− 𝟓 ≤ 𝟒
𝟗( 𝒃 − 𝟐) 𝟐
+ 𝟓(𝒂 − 𝟏) 𝟐
≤ 𝟒𝟓
( 𝒃 − 𝟐) 𝟐
𝟓
+
(𝒂 − 𝟏) 𝟐
𝟗
≤ 𝟏
c) 𝑹 = {𝒛 ∈ ℂ/𝑰𝒎 ( 𝒛 𝟐) = 𝟗}
𝑧 = 𝑎 + 𝑏𝑖 → 𝑧2
= 𝑎2
+ 2𝑎𝑏𝑖 − 𝑏
𝑎2
= 𝑏
2𝑎𝑏 = 9
𝑎𝑏 =
9
2
→ 𝑎3
=
9
2
→ 𝑎 = √9/2
3
→ 𝑎 = 1.65
Reemplazando: 𝑍 = √9/23
+ √9/223
e) 𝑴 = {𝒛 𝝐 ℂ/𝟎 < 𝑹𝒆(𝒊𝒛) ≤ 𝟏}
𝑧 = 𝑎 + 𝑖
𝑧𝑖 = −𝑏 + 𝑎𝑖
𝑧𝑖 = −
𝑏
𝑅𝑒
+ 𝑎𝑖
0 < −𝑏 ≤ 1
−1 < 𝑏 ≤ 0
f) 𝑆 = {𝑧 𝜖 ℂ/2𝑧𝑧̅ + (2 + 𝑖) 𝑧 + (2 − 𝑖) 𝑧̅ = 2}
2(x + yi)(x –yi) + (2 + i)(x +yi) + (2 – i)(x – yi) = 2
2(x2
–y2
i2
) + 2x + 2yi + xi + yi2
+2x-2yi – xi + yi2
=2
2(x2
+ y2
) +4x + 2yi2
= 2
X2
+y2
+ 2x – y = 1
(X+1)2
-1+ (y- ½)2
– ¼ = 1
(X+1)2
+ (y- ½)2
= 9/4
H= -1 k= ½ R= 3/2
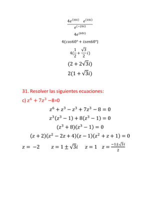
18. 𝑅𝑒𝑑𝑢𝑐𝑖𝑟
6𝑐𝑖𝑠30°∗2𝑐𝑖𝑠10°
3𝑐𝑖𝑠(−20°)
4 ( 𝑐𝑜𝑠30°+ 𝑖𝑠𝑒𝑛30°)( 𝑐𝑜𝑠10° + 𝑖𝑠𝑒𝑛10°)
𝑐𝑜𝑠20° − 𝑖𝑠𝑒𝑛20°
4𝑒(30𝑖)
𝑒(10𝑖)
𝑒(−20𝑖)
4𝑒(60𝑖)
4(𝑐𝑜𝑠60° + 𝑖𝑠𝑒𝑛60°)
4(
1
2
+
√3
2
𝑖)
(2 + 2√3𝑖)
2(1 + √3𝑖)
31. Resolver las siguientes ecuaciones:
c) 𝑧6
+ 7𝑧3
−8=0
𝑧6
+ 𝑧3
− 𝑧3
+ 7𝑧3
− 8 = 0
𝑧3( 𝑧3
− 1) + 8( 𝑧3
− 1) = 0
(𝑧3
+ 8)( 𝑧3
− 1) = 0
( 𝑧 + 2)( 𝑧2
− 2𝑧 + 4)( 𝑧 − 1)( 𝑧2
+ 𝑧 + 1) = 0
𝑧 = −2 𝑧 = 1 ± √3𝑖 𝑧 = 1 𝑧 =
−1±√3𝑖
2

Ims

  • 1.
    Introducción a laMatemática Superior 8. Demostrar que || 𝑧 − 𝑤||2 ≤ (1 + || 𝑧|| 2 ) || 𝑧 − 𝑤|| 2 = ( 𝑧 − 𝑤)( 𝑧 − 𝑤̅) || 𝑧 − 𝑤||2 = 𝑧. 𝑧̅ − 𝑤𝑧̅ − 𝑧𝑤̅ + 𝑤̅. 𝑤 || 𝑧 − 𝑤||2 = || 𝑧||2 − 2𝑅𝑒( 𝑧𝑤̅) + || 𝑤||2 || 𝑧 − 𝑤||2 = || 𝑧||2 + 2|| 𝑧||.|| 𝑤|| + || 𝑤||2 ≤ 1 + || 𝑧|| 2 + || 𝑤|| 2 + || 𝑧|| 2 .|| 𝑤||2 || 𝑧 − 𝑤||2 ≤ 1 + || 𝑧|| 2 + || 𝑤|| 2 + || 𝑧|| 2 .|| 𝑤|| || 𝑧 − 𝑤||2 ≤ (1 + || 𝑧|| 2 ) + (1 + || 𝑤|| 2 ) 12. Resolver en los complejos: || 𝑧̅ + 2𝑖|| = || 𝑖𝑧 − 2|| || 𝑎 − 𝑏𝑖 + 2𝑖|| = ||−𝑏 − 2 + 𝑎𝑖|| || 𝑎 + (2 − 𝑏) 𝑖|| = √(−( 𝑏 + 2)2) + 𝑎2 𝑎2 + 4 − 4𝑏 + 𝑏2 = 𝑏2 + 4𝑏 + 4 + 𝑎2 −4𝑏 = 4𝑏 0 = 8𝑏 → 𝑏 = 0 𝑧 = 𝑎 + 𝑏𝑖 𝑧 = 𝑎 + 0𝑖 𝑧 = 𝑎 𝑐𝑡𝑒 𝑧 ∈ ℝ
  • 2.
    13. a)𝑹 = {𝒛∈ ℂ/|| 𝒛 + 𝟏|| ≤ 𝟒 − || 𝒛 − 𝟏||} 𝑍 = 𝑥 + 𝑦𝑖 || 𝑧 + 1|| ≤ 𝑘 − || 𝑧 − 1|| ||( 𝑥 + 1) + 𝑦𝑖|| ≤ 4 − ||( 𝑥 − 1) + 𝑦𝑖|| √(𝑥 + 1)2 + 𝑦2 ≤ 4 − √(𝑥 − 1)2 + 𝑦2 ( 𝑥 + 1) 2 + 𝑦2 ≤ 16 − 8√( 𝑥 − 1)2 + 𝑦2 + ( 𝑥 − 1)2 + 𝑦2 (𝑥 + 1)2 − ( 𝑥 − 1)2 ≤ 16 − 8√(𝑥 − 1)2 + 𝑦2 𝑥 ≤ 4 − 2√(𝑥 − 1)2 + 𝑦2 2√(𝑥 − 1)2 + 𝑦2 ≤ 4 − 𝑥 4[( 𝑥 − 1)2 + 𝑦2] ≤ 16 − 8𝑥 + 𝑥2 4( 𝑥2 − 2𝑥 + 1) + 4𝑦2 ≤ 16 − 8𝑥 + 𝑥2 4𝑥2 − 8𝑥 + 4 + 4𝑦2 ≤ 16 − 8𝑥 + 𝑥2 3𝑥2 + 4𝑦2 ≤ 12 𝑥2 4 + 𝑦2 3 ≤ 1 b) 𝑹 = { 𝒛 ∈ ℂ / || 𝒛 + 𝟏 − 𝟐𝒊|| + || 𝒊𝒛 + 𝟐 − 𝟑𝒊|| ≤ 𝟔} 𝒛 = 𝒂 + 𝒃𝒊 || 𝒛 + 𝟏 − 𝟐𝒊|| + || 𝒊𝒛 + 𝟐 − 𝟑𝒊|| ≤ 𝟔 … … 𝑰 𝒛(𝟏 − 𝟐𝒊 = 𝒂 + 𝒃𝒊 + 𝟏 − 𝟐𝒊 = ( 𝒂 + 𝟏) + ( 𝒃− 𝟐) 𝒊 𝒊𝒛 + 𝟐 − 𝟑𝒊 = 𝒊( 𝒂 + 𝒃𝒊) + 𝟐 − 𝟑𝒊 = 𝒊𝒂 − 𝒃 + 𝟐 − 𝟑𝒊 = ( 𝟐 − 𝒃) + ( 𝒂 − 𝟑) 𝒊 𝑬𝒏 𝑰 ||( 𝒂 + 𝟏) + (𝒃 − 𝟐) 𝒊 || + ||( 𝟐 − 𝒃) + ( 𝒂 − 𝟑) 𝒊|| ≤ 𝟔
  • 3.
    ||( 𝒂 +𝟏) + ( 𝒃 − 𝟐) 𝒊|| ≤ 𝟔 − ||( 𝟐 − 𝒃) + ( 𝒂 − 𝟑) 𝒊|| 𝒆𝒍𝒆𝒗𝒂𝒏𝒅𝒐 𝒂𝒍 𝒄𝒖𝒂𝒅𝒓𝒂𝒅𝒐 (𝒂 + 𝟏) 𝟐 + (𝒃 − 𝟐) 𝟐 ≤ 𝟑𝟔 − 𝟏𝟐 √( 𝟐 − 𝒃) 𝟐 + ( 𝒂 − 𝟑) 𝟐 + ( 𝟐 − 𝒃) 𝟐 + (𝒂 − 𝟑) 𝟐 (𝒂 + 𝟏) 𝟐 − ( 𝒂 − 𝟑) 𝟐 + (𝒃− 𝟐) 𝟐 − (𝒃 − 𝟐) 𝟐 ≤ 𝟑𝟔 − 𝟏𝟐√( 𝟐 − 𝒃) 𝟐 + (𝒂 − 𝟑) 𝟐 𝒂 𝟐 + 𝟐𝒂 + 𝟏)− ( 𝒂 𝟐 − 𝟔𝒂 + 𝟗) ≤ 𝟑𝟔 − 𝟏𝟐√( 𝟐 − 𝒃) 𝟐 + (𝒂 − 𝟑) 𝟐 𝟖𝒂 − 𝟖 ≤ 𝟑𝟔 − 𝟏𝟐√(𝟐 − 𝒃) 𝟐 + (𝒂 − 𝟑) 𝟐 𝟐𝒂 − 𝟐 ≤ 𝟗 − 𝟑√(𝟐 − 𝒃) 𝟐 + (𝒂 − 𝟑) 𝟐 𝟑√(𝟐 − 𝒃) 𝟐 + (𝒂 − 𝟑) 𝟐 ≤ 𝟏𝟏 − 𝟐𝒂 𝒆𝒍𝒆𝒗𝒂𝒏𝒅𝒐 𝒂𝒍 𝒄𝒖𝒂𝒅𝒓𝒂𝒅𝒐 𝟗[(( 𝟐 − 𝒃) 𝟐 + ( 𝒂 − 𝟑) 𝟐] ≤ 𝟏𝟐𝟏 − 𝟒𝟒𝒂+ 𝟒𝒂 𝟐 𝟗[( 𝟒 − 𝟒𝒃+ 𝒃 𝟐)+ ( 𝒂 𝟐 − 𝟔𝒂 + 𝟗)] ≤ 𝟏𝟐𝟏 − 𝟒𝟒𝒂 + 𝟒𝒂 𝟐 𝟗[ 𝒃 𝟐 − 𝟒𝒃 + 𝒂 𝟐 − 𝟔𝒂 + 𝟏𝟑] ≤ 𝟏𝟐𝟏 − 𝟒𝟒𝒂 + 𝟒𝒂 𝟐 𝟗𝒃 𝟐 − 𝟑𝟔𝒃 + 𝟗𝒂 𝟐 − 𝟓𝟒𝒂 + 𝟏𝟏𝟕 ≤ 𝟏𝟐𝟏 − 𝟒𝟒𝒂 + 𝟒𝒂 𝟐 𝟗𝒃 𝟐 − 𝟑𝟔𝒃 + 𝟓𝒂 𝟐 − 𝟏𝟎𝒂 − 𝟒 ≤ 𝟎 𝟗𝒃 𝟐 − 𝟑𝟔𝒃+ 𝟓𝒂 𝟐 − 𝟏𝟎𝒂 ≤ 𝟒 𝟗( 𝒃 𝟐 − 𝟒𝒃+ 𝟒) − 𝟑𝟔 + 𝟓( 𝒂 𝟐 − 𝟐𝒂 + 𝟏)− 𝟓 ≤ 𝟒 𝟗( 𝒃 − 𝟐) 𝟐 + 𝟓(𝒂 − 𝟏) 𝟐 ≤ 𝟒𝟓 ( 𝒃 − 𝟐) 𝟐 𝟓 + (𝒂 − 𝟏) 𝟐 𝟗 ≤ 𝟏 c) 𝑹 = {𝒛 ∈ ℂ/𝑰𝒎 ( 𝒛 𝟐) = 𝟗} 𝑧 = 𝑎 + 𝑏𝑖 → 𝑧2 = 𝑎2 + 2𝑎𝑏𝑖 − 𝑏 𝑎2 = 𝑏 2𝑎𝑏 = 9 𝑎𝑏 = 9 2 → 𝑎3 = 9 2 → 𝑎 = √9/2 3 → 𝑎 = 1.65 Reemplazando: 𝑍 = √9/23 + √9/223
  • 4.
    e) 𝑴 ={𝒛 𝝐 ℂ/𝟎 < 𝑹𝒆(𝒊𝒛) ≤ 𝟏} 𝑧 = 𝑎 + 𝑖 𝑧𝑖 = −𝑏 + 𝑎𝑖 𝑧𝑖 = − 𝑏 𝑅𝑒 + 𝑎𝑖 0 < −𝑏 ≤ 1 −1 < 𝑏 ≤ 0 f) 𝑆 = {𝑧 𝜖 ℂ/2𝑧𝑧̅ + (2 + 𝑖) 𝑧 + (2 − 𝑖) 𝑧̅ = 2} 2(x + yi)(x –yi) + (2 + i)(x +yi) + (2 – i)(x – yi) = 2 2(x2 –y2 i2 ) + 2x + 2yi + xi + yi2 +2x-2yi – xi + yi2 =2 2(x2 + y2 ) +4x + 2yi2 = 2 X2 +y2 + 2x – y = 1 (X+1)2 -1+ (y- ½)2 – ¼ = 1 (X+1)2 + (y- ½)2 = 9/4 H= -1 k= ½ R= 3/2 18. 𝑅𝑒𝑑𝑢𝑐𝑖𝑟 6𝑐𝑖𝑠30°∗2𝑐𝑖𝑠10° 3𝑐𝑖𝑠(−20°) 4 ( 𝑐𝑜𝑠30°+ 𝑖𝑠𝑒𝑛30°)( 𝑐𝑜𝑠10° + 𝑖𝑠𝑒𝑛10°) 𝑐𝑜𝑠20° − 𝑖𝑠𝑒𝑛20°
  • 5.
    4𝑒(30𝑖) 𝑒(10𝑖) 𝑒(−20𝑖) 4𝑒(60𝑖) 4(𝑐𝑜𝑠60° + 𝑖𝑠𝑒𝑛60°) 4( 1 2 + √3 2 𝑖) (2+ 2√3𝑖) 2(1 + √3𝑖) 31. Resolver las siguientes ecuaciones: c) 𝑧6 + 7𝑧3 −8=0 𝑧6 + 𝑧3 − 𝑧3 + 7𝑧3 − 8 = 0 𝑧3( 𝑧3 − 1) + 8( 𝑧3 − 1) = 0 (𝑧3 + 8)( 𝑧3 − 1) = 0 ( 𝑧 + 2)( 𝑧2 − 2𝑧 + 4)( 𝑧 − 1)( 𝑧2 + 𝑧 + 1) = 0 𝑧 = −2 𝑧 = 1 ± √3𝑖 𝑧 = 1 𝑧 = −1±√3𝑖 2