Embed presentation
Downloaded 32 times






























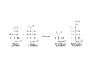
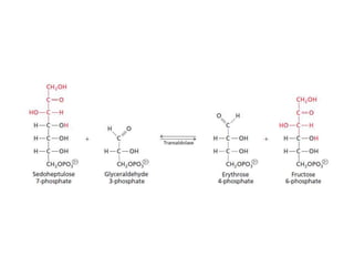
The HMP shunt involves oxidative and non-oxidative phases, with the oxidative phase consisting of 4 steps to produce NADPH and pentose sugars, and the non-oxidative phase rearranging phosphates. The shunt provides reducing power in the form of NADPH for antioxidant functions like maintaining red blood cell integrity, and produces pentose sugars used for nucleotide synthesis. Clinical significance includes G6PD deficiency causing hemolytic anemia and favism when exposed to oxidative stress, as well as other conditions related to NADPH levels like methemoglobinemia and Wernicke-Korsakoff syndrome.





























