Electrical & computer engineering department
ECEG-3203: Introduction to Electrical Machines
Addendum questions
From Assignment 2
1. Given a flux function in a transformer; what would be the primary peak
terminal voltage that is needed to create the flux. The transformer has a 100 primary turn
winding with a 3Ω resistance and 5Ω leakage reactance at the given frequency.
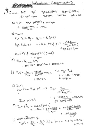
From Assignment 3
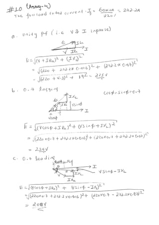
3. A 6-pole, 3-phase induction motor develops a power of 22.38kW, including mechanical losses
which is total of 1.492 kW at a speed of 950 rpm on 550-V, 50-Hz mains. The power factor is
0.88. Calculate for this load;
a. The slip
b. The rotor copper loss
c. The total input if the stator losses are 2000 w
d. The efficiency
e. The line current
f. The number of complete cycles of the rotor electromotive force per minute.
g. The rotor efficiency
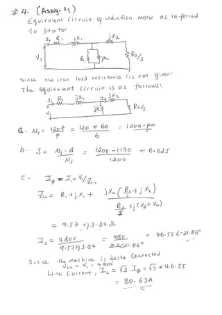
4. A dc test is performed on a 460-V Δ-connected 100-hp
induction motor. If VDC= 21 V and IDC= 72 A, what is the
stator resistance R1?
What will be the stator resistance if the stator of an induction
motor is replaced by Y winding?
=============================================================================
1. The open circuit and short circuit tests on 300/600V,50Hz,single phase transformer gave
the following results
OC test (lv side):300V, 0.8A, 70W
SC test (hv side):20V, 12A, 90W; where lv and hv are the low and high voltage
respectively.
Find the equivalent circuit of the transformer referred to the lv side and also
calculate the secondary voltage when delivering 6KW at 0.8 p.f (power factor)
lagging.
2. A single-phase, 300 kVA, 11 kV/2.2 kV, 60 Hz transformer has the following equivalent circuit
parameters referred to the high-voltage side:
Rc(HV) = 57.6 k Ω Req(HV) = 2.784 Ω Xm(HV) = 16.34 k Ω Xeq(HV) = 8.45 Ω
i. Determine
a. No-load current as a percentage of full-load current.
b. No-load power loss (i.e., core loss).
c. No-load power factor.
d. Full-load copper loss.
ii. If the load impedance on the low-voltage side is Zload = 1 6<60°Ω, determine the voltage
regulation using the approximate equivalent circuit.
3. A single-phase, 100 kVA, 1000/100 V transformer gave the following test results:
Open-circuit test (HV side open): 100 V, 6.0 A, 400 W
Short-circuit test: 50 V, 100 A, 1800 W
a. Determine the rated voltage and rated current for the high-voltage and low- voltage sides.
b. Derive an approximate equivalent circuit referred to the HV side.
c. Determine the voltage regulation at full load, 0.6 PF leading.
d. Draw the phasor diagram for condition (c).
4. A 480V, 60 Hz, 6-pole, three-phase, delta-connected induction motor has the following
parameters: R1=0.461 Ω, R2=0.258 Ω, X1=0.507 Ω, X2=0.309 Ω, Xm=30.74 Ω
Rotational losses are 2450W. The motor drives a mechanical load at a speed of 1170 rpm.
Calculate the following information:
a) Synchronous speed in rpm
b) slip
c) Line Current
d) Input Power
e) Airgap Power
f) Torque Developed
g) Output Power in watts
h) Efficiency
School of Electrical and Computer Engineering
ECEG-3151: Introduction to Electrical Machines
Assignment 4
Deadline: 21 January, 2015
5. A 25 HP,400V,50Hz,4 pole, star connected induction motor has the following
impedances per phase in ohm referred to the stator side:
R1=0.641; R2=0.332; X1=1.106; X2=0.464 and Xmag =26.30
Rotational losses are assumed to be constant and are 1.1KW and core losses are
assumed to be of negligible order (Rc be very large).If the slip 2.2% at rated voltage
and frequency. Find
i. Speed iii.Power factor v.Effiecency of motor
ii. Stator current iv.Output and input power
6. A 3 phase, 25 hp, 460 V, 60 Hz, 1760 rpm, wound-rotor induction motor has the following
equivalent circuit parameters:R1= 0.25 Ω, X1 = 1.2 Ω, X2’ = 1.1 Ω, R2’= 0.2Ω, Xm = 35 Ω
The motor is connected to a 3 phase, 460 V, 60 Hz, supply.
a. Determine the number of poles of the machine.
b. Determine the starting torque.
c. Determine the value of the external resistance required in each phase of the rotor circuit
such that the maximum torque occurs at starting.
7. The armature current of a series DC motor is 60 A when on full-load. If the load is adjusted
to that this current decreases to 40-A, find the new torque expressed as a percentage of
the full-load torque. The flux for a current of 40 A is 70% of that when current is 60 A.
8. A 100-kW, 250-V, 400-A, 1200-r/min dc shunt generator has the magnetization curves
(including armature-reaction effects) of Fig. 1. The armature-circuit resistance, including
brushes, is 0.025 . The generator is driven at a constant speed of 1200 r/min,
and the excitation is adjusted (by varying the shunt-field rheostat) to give rated
voltage at no load.
(a) Determine the terminal voltage at an armature current of 400 A.
(b) A series field of four turns per pole having a resistance of 0.005  is to be
added. There are 1000 turns per pole in the shunt field. The generator is to be flat-
compounded so that the full-load voltage is 250 V when the shunt-field rheostat is
adjusted to give a no-load voltage of 250 V. Show how a resistance across the series
field (referred to as a series-field diverter) can be adjusted to produce the desired
performance.
9. A dc series motor runs at 500r.p.m on 220V supply drawing a current of 50A.The total
resistance of the machine (Ra and Rse) is 0.15 ohm, calculate the value of the extra
resistance to be connected in series with the motor circuit that will reduce the speed to
300r.p.m.The load torque being then half of the previous value. Assume flux is
proportional to current.
10. A 60 –KVA,220 V, 50Hz, 1- alternator has effective armature resistance of 0.016 ohm and
an armature leakage reactance of 0.07 ohm. Compute the voltage induced in the
armature when the alternator is delivering rated current at a load power factor of
a. Unity b. 0.7 lagging, and c. 0.7 leading.
11. A 1000KVA, 6.6KV, 3-phase star connected synchronous generator has a synchronous
reactance of 25 ohm per phase with negligible resistance. It supplies full load current of
0.8 p.f lagging and at rated terminal voltage. Compute the terminal voltage for the same
excitation when the generator supplies full load current at 0.8p.f leading.
12. A 3 -phase, 2300 V, 60 Hz, 12-pole, Y-connected synchronous motor has 4.5 ohms per phase
synchronous reactance and negligible stator winding resistance. The motor is connected to an
infinite bus and draws 250 amperes at 0.8 power factor lagging. Neglect rotational losses.
a. Determine the output power.
b. Determine the power to which the motor can be loaded slowly without losing synchronism.
Determine the torque, stator current, and supply power factor for this condition
Fig 1.
Assignment & solution (selected)
Assignment & solution (selected)
Assignment & solution (selected)
Assignment & solution (selected)
Assignment & solution (selected)
Assignment & solution (selected)
Assignment & solution (selected)
Assignment & solution (selected)
Assignment & solution (selected)
Assignment & solution (selected)
Assignment & solution (selected)
Assignment & solution (selected)
Assignment & solution (selected)
Assignment & solution (selected)
Assignment & solution (selected)
Assignment & solution (selected)
Assignment & solution (selected)
Assignment & solution (selected)
Assignment & solution (selected)
Assignment & solution (selected)
Assignment & solution (selected)
Assignment & solution (selected)
Assignment & solution (selected)
Assignment & solution (selected)
Assignment & solution (selected)
Assignment & solution (selected)

Assignment & solution (selected)

  • 1.
    Electrical & computerengineering department ECEG-3203: Introduction to Electrical Machines Addendum questions From Assignment 2 1. Given a flux function in a transformer; what would be the primary peak terminal voltage that is needed to create the flux. The transformer has a 100 primary turn winding with a 3Ω resistance and 5Ω leakage reactance at the given frequency. From Assignment 3 3. A 6-pole, 3-phase induction motor develops a power of 22.38kW, including mechanical losses which is total of 1.492 kW at a speed of 950 rpm on 550-V, 50-Hz mains. The power factor is 0.88. Calculate for this load; a. The slip b. The rotor copper loss c. The total input if the stator losses are 2000 w d. The efficiency e. The line current f. The number of complete cycles of the rotor electromotive force per minute. g. The rotor efficiency 4. A dc test is performed on a 460-V Δ-connected 100-hp induction motor. If VDC= 21 V and IDC= 72 A, what is the stator resistance R1? What will be the stator resistance if the stator of an induction motor is replaced by Y winding?
  • 2.
    ============================================================================= 1. The opencircuit and short circuit tests on 300/600V,50Hz,single phase transformer gave the following results OC test (lv side):300V, 0.8A, 70W SC test (hv side):20V, 12A, 90W; where lv and hv are the low and high voltage respectively. Find the equivalent circuit of the transformer referred to the lv side and also calculate the secondary voltage when delivering 6KW at 0.8 p.f (power factor) lagging. 2. A single-phase, 300 kVA, 11 kV/2.2 kV, 60 Hz transformer has the following equivalent circuit parameters referred to the high-voltage side: Rc(HV) = 57.6 k Ω Req(HV) = 2.784 Ω Xm(HV) = 16.34 k Ω Xeq(HV) = 8.45 Ω i. Determine a. No-load current as a percentage of full-load current. b. No-load power loss (i.e., core loss). c. No-load power factor. d. Full-load copper loss. ii. If the load impedance on the low-voltage side is Zload = 1 6<60°Ω, determine the voltage regulation using the approximate equivalent circuit. 3. A single-phase, 100 kVA, 1000/100 V transformer gave the following test results: Open-circuit test (HV side open): 100 V, 6.0 A, 400 W Short-circuit test: 50 V, 100 A, 1800 W a. Determine the rated voltage and rated current for the high-voltage and low- voltage sides. b. Derive an approximate equivalent circuit referred to the HV side. c. Determine the voltage regulation at full load, 0.6 PF leading. d. Draw the phasor diagram for condition (c). 4. A 480V, 60 Hz, 6-pole, three-phase, delta-connected induction motor has the following parameters: R1=0.461 Ω, R2=0.258 Ω, X1=0.507 Ω, X2=0.309 Ω, Xm=30.74 Ω Rotational losses are 2450W. The motor drives a mechanical load at a speed of 1170 rpm. Calculate the following information: a) Synchronous speed in rpm b) slip c) Line Current d) Input Power e) Airgap Power f) Torque Developed g) Output Power in watts h) Efficiency School of Electrical and Computer Engineering ECEG-3151: Introduction to Electrical Machines Assignment 4 Deadline: 21 January, 2015
  • 3.
    5. A 25HP,400V,50Hz,4 pole, star connected induction motor has the following impedances per phase in ohm referred to the stator side: R1=0.641; R2=0.332; X1=1.106; X2=0.464 and Xmag =26.30 Rotational losses are assumed to be constant and are 1.1KW and core losses are assumed to be of negligible order (Rc be very large).If the slip 2.2% at rated voltage and frequency. Find i. Speed iii.Power factor v.Effiecency of motor ii. Stator current iv.Output and input power 6. A 3 phase, 25 hp, 460 V, 60 Hz, 1760 rpm, wound-rotor induction motor has the following equivalent circuit parameters:R1= 0.25 Ω, X1 = 1.2 Ω, X2’ = 1.1 Ω, R2’= 0.2Ω, Xm = 35 Ω The motor is connected to a 3 phase, 460 V, 60 Hz, supply. a. Determine the number of poles of the machine. b. Determine the starting torque. c. Determine the value of the external resistance required in each phase of the rotor circuit such that the maximum torque occurs at starting. 7. The armature current of a series DC motor is 60 A when on full-load. If the load is adjusted to that this current decreases to 40-A, find the new torque expressed as a percentage of the full-load torque. The flux for a current of 40 A is 70% of that when current is 60 A. 8. A 100-kW, 250-V, 400-A, 1200-r/min dc shunt generator has the magnetization curves (including armature-reaction effects) of Fig. 1. The armature-circuit resistance, including brushes, is 0.025 . The generator is driven at a constant speed of 1200 r/min, and the excitation is adjusted (by varying the shunt-field rheostat) to give rated voltage at no load. (a) Determine the terminal voltage at an armature current of 400 A. (b) A series field of four turns per pole having a resistance of 0.005  is to be added. There are 1000 turns per pole in the shunt field. The generator is to be flat- compounded so that the full-load voltage is 250 V when the shunt-field rheostat is adjusted to give a no-load voltage of 250 V. Show how a resistance across the series field (referred to as a series-field diverter) can be adjusted to produce the desired performance. 9. A dc series motor runs at 500r.p.m on 220V supply drawing a current of 50A.The total resistance of the machine (Ra and Rse) is 0.15 ohm, calculate the value of the extra resistance to be connected in series with the motor circuit that will reduce the speed to 300r.p.m.The load torque being then half of the previous value. Assume flux is proportional to current. 10. A 60 –KVA,220 V, 50Hz, 1- alternator has effective armature resistance of 0.016 ohm and an armature leakage reactance of 0.07 ohm. Compute the voltage induced in the armature when the alternator is delivering rated current at a load power factor of a. Unity b. 0.7 lagging, and c. 0.7 leading.
  • 4.
    11. A 1000KVA,6.6KV, 3-phase star connected synchronous generator has a synchronous reactance of 25 ohm per phase with negligible resistance. It supplies full load current of 0.8 p.f lagging and at rated terminal voltage. Compute the terminal voltage for the same excitation when the generator supplies full load current at 0.8p.f leading. 12. A 3 -phase, 2300 V, 60 Hz, 12-pole, Y-connected synchronous motor has 4.5 ohms per phase synchronous reactance and negligible stator winding resistance. The motor is connected to an infinite bus and draws 250 amperes at 0.8 power factor lagging. Neglect rotational losses. a. Determine the output power. b. Determine the power to which the motor can be loaded slowly without losing synchronism. Determine the torque, stator current, and supply power factor for this condition Fig 1.