Theory of Automata
         &
 Formal Languages



                     1
BOOKS
Theory of computer Science: K.L.P.Mishra &
                           N.Chandrasekharan

Intro to Automata theory, Formal languages and
  computation:            Ullman,Hopcroft
                         Motwani

Elements of theory of computation Lewis &
                               papadimitrou

                                                 2
Syllabus
Introduction
Deterministic and non deterministic Finite
  Automata, Regular Expression,Two way
  finite automata,Finite automata with
  output,properties of regular sets,pumping
  lemma, closure properties,Myhill nerode
  theorem

                                              3
Context free Grammar: Derivation trees,
 Simplification forms
Pushdown automata: Def, Relationship
 between PDA and context free
 language,Properties, decision algorithms
Turing Machines: Turing machine
 model,Modification of turing
 machines,Church’s
 thesis,Undecidability,Recursive and
 recursively enumerable languages Post
 correspondence problems recursive
 functions
                                            4
Chomsky Hierarchy: Regular grammars,
 unrestricted grammar, context sensitive
 language, relationship among languages




                                           5
6
7
Finite Automaton
       Input
•     String

                   Output
    Finite             String
    Automaton



                                8
Finite Accepter
      Input
•     String
                    Output
                   “Accept”
    Finite
                      or
    Automaton
                   “Reject”


                              9
Transition Graph
                                   a,b
    Abba -Finite Accepter
•                                   q5
                a                        a,b
       b             a    b
      q0 a     q1 b q2 b q3 a            q4

    initial                           final
    state                             state
                      transition
              state                  “accept”
                                                10
Initial Configuration
           Input String
a b b a
•
                          a,b

                           q5
             a                  a,b
     b            a    b
    q0 a    q1 b q2 b q3 a      q4

                                      11
Reading the Input
a b b a
•
                         a,b

                          q5
            a                  a,b
     b           a    b
    q0 a   q1 b q2 b q3 a      q4

                                     12
a b b a

                      a,b

                       q5
           a                a,b
   b            a    b
  q0 a    q1 b q2 b q3 a    q4

                                  13
a b b a

                      a,b

                       q5
           a                a,b
   b            a    b
  q0 a    q1 b q2 b q3 a    q4

                                  14
a b b a

                      a,b

                       q5
           a                a,b
   b            a    b
  q0 a    q1 b q2 b q3 a    q4

                                  15
Input finished

a b b a

                        a,b

                          q5
           a                   a,b
   b            a    b
  q0 a    q1 b q2 b q3 a       q4

                    Output: “accept”16
Rejection
a b a
•
                         a,b

                          q5
            a                  a,b
     b           a    b
    q0 a   q1 b q2 b q3 a      q4

                                     17
a b a
•
                       a,b

                        q5
            a                a,b
     b           a    b
    q0 a   q1 b q2 b q3 a    q4

                                   18
a b a
•
                       a,b

                        q5
            a                a,b
     b           a    b
    q0 a   q1 b q2 b q3 a    q4

                                   19
a b a
•
                       a,b

                        q5
            a                a,b
     b           a    b
    q0 a   q1 b q2 b q3 a    q4

                                   20
Input finished

a b a

                     a,b
                         Output:
                      q5 “reject”
          a              a,b
   b           a    b
  q0 a   q1 b q2 b q3 a    q4

                                21
Another Example
a a b


  a                       a,b


  q0    b           a,b
               q1         q2


                                22
a a b


  a                    a,b


  q0    b        a,b
            q1         q2


                             23
a a b


  a                    a,b


  q0    b        a,b
            q1         q2


                             24
a a b


  a                    a,b


  q0    b        a,b
            q1         q2


                             25
Input finished

a a b


  a                            a,b
            Output: “accept”

  q0    b               a,b
                   q1          q2


                                     26
Rejection
b a b


  a                           a,b


  q0    b               a,b
                q1            q2


                                    27
b a b


  a                    a,b


  q0    b        a,b
            q1         q2


                             28
b a b


  a                    a,b


  q0    b        a,b
            q1         q2


                             29
b a b


  a                    a,b


  q0    b        a,b
            q1         q2


                             30
Input finished

b a b


  a                            a,b


  q0    b              a,b
                  q1           q2

                       Output: “reject”
                                     31
• Deterministic Finite Accepter (DFA)

             M     Q, , , q0 , F


Q : Finite set of states
     : input alphabet

     : transition function
                             :Q X       Q
q0   : initial state is a member of Q

F    : set of final states
                                        32
Input Alphabet
       a, b

                    a,b

                     q5
 b       a                a,b
              a    b
q0 a    q1 b q2 b q3 a    q4
                                33
Set of States Q
Q    q0 , q1, q2 , q3 , q4 , q5
                                  a,b

                                   q5
            a                           a,b
     b           a    b
    q0 a   q1 b q2 b q3 a               q4

                                              34
Initial State q0

                    a,b

                     q5
        a                  a,b
 b           a    b
q0 a   q1 b q2 b q3 a      q4

                                 35
Set of Final States F
F     q4

                          a,b

                           q5
             a                  a,b
     b            a    b
    q0 a    q1 b q2 b q3 a      q4

                                      36
Transition Function
        :Q      Q

                    a,b

                     q5
 b      a                 a,b
             a    b
q0 a   q1 b q2 b q3 a     q4
                                37
q0 , a   q1

                      a,b

                       q5
 b      a                   a,b
             a    b
q0 a   q1 b q2 b q3 a       q4
                                  38
q0 , b   q5

                      a,b

                       q5
 b      a                   a,b
             a    b
q0 a   q1 b q2 b q3 a       q4
                                  39
q2 , b   q3

                      a,b

                       q5
 b      a                   a,b
             a    b
q0 a   q1 b q2 b q3 a       q4
                                  40
a    b      Transition Function
q0    q1   q5
q1•   q5   q2
q2    q2   q3
q3    q4   q5                      a,b
q4    q5   q5
q5    q5   q5                       q5
                 b      a                 a,b
                             a    b
                q0 a   q1 b q2 b q3 a     q4
                                         41
Extended Transition Function *

         *: Q   *   Q

                        a,b

                         q5
   b      a                   a,b
               a    b
  q0 a   q1 b q2 b q3 a       q4
                                    42
* q0 , ab   q2

                        a,b

                         q5
 b      a                     a,b
             a    b
q0 a   q1 b q2 b q3 a         q4
                                    43
* q0 , abba   q4

                      a,b

                          q5
 b      a                      a,b
             a    b
q0 a   q1 b q2 b q3 a          q4
                                     44
* q0 , abbbaa   q5

                    a,b

                        q5
 b      a                    a,b
             a    b
q0 a   q1 b q2 b q3 a        q4
                                   45
Observation: There is a walk from q0 to q 5
             with label abbbaa

            * q0 , abbbaa    q5
                                  a,b

                                   q5
         b      a                       a,b
                     a    b
        q0 a   q1 b q2 b q3 a           q4
                                              46
Recursive Definition
    * q,    q
•   * q, wa   ( * (q, w), a )
                          a,b

                           q5
     b      a                   a,b
                 a    b
    q0 a   q1 b q2 b q3 a       q4
                                      47
* q0 , ab
     * (q0 , a ), b
       * q0 ,     ,a ,b
    q0 , a , b
 q1 , b
q2                        a,b

                           q5
       b      a                 a,b
                   a    b
      q0 a   q1 b q2 b q3 a     q4
                                      48
Languages Accepted by DFAs
• Take DFA    M

• Definition:
  – The language L M contains
  – all input strings accepted by M


LM
 –        = { strings that drive M to a final state}

                                                   49
Example
LM     abba                        M
•                       a,b

                         q5
      b      a                a,b
                  a    b
     q0 a   q1 b q2 b q3 a    q4
                             accept
                                       50
Another Example
LM          , ab, abba                    M
•                             a,b

                               q5
        b        a       a          a,b
                           b
       q0 a     q1 b q2 b q3 a      q4
     accept          accept      accept
                                          51
Formally

• For a DFA Language accepted by M :

  LM       w     * : * q0 , w         F
   M           Q,       ,    , q0 , F
alphabet   transition       initial   final
           function         state     states
                                          52
Observation
• Language accepted by M:
   LM        w      * : * q0 , w   F



• Language rejected by M :
  LM         w     * : * q0 , w    F
                                       53
•        More Examples
                n
         LM   {a b : n 0}

    a                         a,b


    q0   b             a,b
                q1            q2

              accept     trap state
                          or dead state
                                   54
LM       = { all strings with prefix   ab }
•                                        a,b



    q0        a         q1      b         q2

               b         a              accept

                       q3       a,b
                                               55
L M = { all strings without
            substring 001 }
•

      1                   0           0,1
           1
                     0            1
                0         00          001

           0
                                            56
Regular Languages

• A language L is regular if there is
• a DFA M such that L L M

• All regular languages form a language
  family
  –
                                          57
Example
            L awa : w           a, b *
                                         a
• The language             b
• is regular:
                                 b
             q0       a    q2            q3
•
                 b               a
             q4

                     a,b                      58
Non Deterministic
   Automata



                    59
Non Deterministic Finite
          Accepter

M        Q, , , q0 , F
                           Q
      :Q                2
                               60
Nondeterministic Finite Accepter (NFA)

Alphabet = {a}



                 q1 a   q2
           a
      q0
           a
                 q3

                                  61
Nondeterministic Finite Accepter (NFA)

Alphabet = {a}


  Two choices    q1 a   q2
           a
      q0
           a
                 q3

                                  62
Nondeterministic Finite Accepter (NFA)

Alphabet = {a}


  Two choices    q1 a     q2   No transition
           a
      q0
           a
                 q3 No transition

                                        63
First Choice

a a


                 q1 a    q2
           a
      q0
           a
                 q3

                              64
First Choice

a a


                 q1 a    q2
           a
      q0
           a
                 q3

                              65
First Choice

a a


                 q1 a    q2
           a
      q0
           a
                 q3

                              66
First Choice

 a a
All input is consumed

                  q1 a    q2   “accept”
            a
       q0
            a
                  q3

                                          67
Second Choice

a a


                 q1 a   q2
           a
      q0
           a
                 q3

                               68
Second Choice

a a


                 q1 a   q2
           a
      q0
           a
                 q3

                               69
Second Choice

a a


                 q1 a    q2
           a
      q0
           a
                      No transition:
                 q3
                      the automaton hangs
                                      70
Second Choice

 a a
Input cannot be consumed

                  q1 a     q2
            a
       q0
            a
                  q3   “reject”

                                  71
An NFA accepts a string:

when there is a computation of the NFA
that accepts the string


•All the input is consumed and the automaton
 is in a final state



                                         72
An NFA rejects a string:

when there is no computation of the NFA
that accepts the string

  • All the input is consumed and the
    automaton is in a non final state


  • The input cannot be consumed
                                          73
Example

  aa is accepted by the NFA:
                 “accept”
            q1 a   q2                      q1 a   q2
        a                              a
   q0                             q0
        a                              a
            q3                             q3   “reject”
because this computation
accepts aa                                         74
Rejection example

a


              q1 a    q2
         a
    q0
         a
              q3

                             75
First Choice

a


               q1 a    q2
         a
    q0
         a
               q3

                            76
First Choice

a
             “reject”
                q1 a    q2
         a
    q0
         a
                q3

                             77
Second Choice

a


               q1 a   q2
         a
    q0
         a
               q3

                             78
Second Choice

a


               q1 a   q2
         a
    q0
         a
               q3

                             79
Second Choice

a


               q1 a      q2
         a
    q0
         a
               q3   “reject”

                               80
Example
     a is rejected by the NFA:
                                 “reject”
         q1 a    q2                  q1 a   q2
     a                           a
q0                          q0
     a                           a
         q3   “reject”               q3



All possible computations lead to rejection
                                       81
Rejection example

a a a


             q1 a    q2
        a
   q0
        a
             q3

                            82
First Choice

a a a


              q1 a    q2
        a
   q0
        a
              q3

                           83
First Choice

a a a


              q1 a    q2
        a
   q0
        a            No transition:
                     the automaton hangs
              q3

                                   84
First Choice

 a a a
Input cannot be consumed

                q1 a    q2   “reject”
          a
     q0
          a
                q3

                                        85
Second Choice

a a a


              q1 a   q2
        a
   q0
        a
              q3

                            86
Second Choice

a a a


              q1 a   q2
        a
   q0
        a
              q3

                            87
Second Choice

a a a


              q1 a    q2
        a
   q0
        a
                   No transition:
              q3
                   the automaton hangs
                                   88
Second Choice

 a a a
Input cannot be consumed

                q1 a     q2
          a
     q0
          a
                q3   “reject”

                                89
aaa is rejected by the NFA:

               “reject”
          q1 a   q2                q1 a   q2
      a                        a
 q0                       q0
      a                        a
          q3                       q3   “reject”


All possible computations lead to rejection
                                       90
Language accepted:   L {aa}


           q1 a      q2
       a
  q0
       a
           q3

                              91
Lambda →Transitions




q0 a   q1   q2 a   q3


                        92
a a




      q0 a   q1   q2 a   q3


                              93
a a




      q0 a   q1   q2 a   q3


                              94
(read head doesn’t move)

a a




      q0 a    q1      q2 a         q3


                                        95
a a




      q0 a   q1   q2 a   q3


                              96
all input is consumed

 a a



                                 “accept”

       q0 a     q1        q2 a     q3


String   aa is accepted                     97
Rejection Example


a a a




   q0 a     q1      q2 a    q3


                                 98
a a a




   q0 a   q1   q2 a   q3


                           99
(read head doesn’t move)

a a a




   q0 a       q1      q2 a         q3


                                        100
a a a




   q0 a   q1     q2 a      q3

               No transition:
               the automaton hangs
                                101
Input cannot be consumed

 a a a



                              “reject”

     q0 a      q1      q2 a     q3


String   aaa is rejected                 102
Language accepted:   L {aa}



 q0 a     q1         q2 a     q3


                                   103
Another NFA Example




q0    a   q1   b   q2      q3


                                104
a b




 q0   a   q1   b   q2   q3


                             105
a b




 q0   a   q1   b   q2   q3


                             106
a b




 q0   a   q1   b   q2   q3


                             107
a b



                   “accept”

 q0   a   q1   b      q2      q3


                                   108
Another String

a b a b




 q0   a     q1   b    q2   q3


                                109
a b a b




 q0   a   q1   b   q2   q3


                             110
a b a b




 q0   a   q1   b   q2   q3


                             111
a b a b




 q0   a   q1   b   q2   q3


                             112
a b a b




 q0   a   q1   b   q2   q3


                             113
a b a b




 q0   a   q1   b   q2   q3


                             114
a b a b




 q0   a   q1   b   q2   q3


                             115
a b a b



                   “accept”

 q0   a   q1   b      q2      q3


                                   116
Language accepted

     L       ab, abab, ababab, ...
             ab


q0       a        q1   b   q2        q3


                                          117
Another NFA Example



     0
q0       q1   0, 1 q2
     1


                        118
Language accepted

L(M ) = {λ, 10, 1010, 101010, ...}
      = {10}*
           0
   q0          q1   0, 1 q2
           1


                                     119
Remarks:
    •The      symbol never appears on the
     input tape

    •Extreme automata:

           M1                     M2
           q0                      q0

    L(M1 ) = {}              L(M 2 ) = {λ}
                                        120
•NFAs are interesting because we can
 express languages easier than DFAs


                                            a,b
   NFA     M1         DFA         M2
                                       q2
 q0    a    q1                b
                                            a,b

                         q0        a   q1

 L( M1 ) = {a}           L( M 2 ) = {a} 121
Formal Definition of NFAs
     M      Q,     ,
                   , q0 , F
Q : Set of states, i.e. q0 , q1, q2
  : Input alphabet, i.e. a, b
  : Transition function
q0 : Initial state

F : Final states                      122
Transition Function


     q0 , 1        q1


     0
q0            q1    0, 1 q
                          2
      1

                              123
(q1,0) {q0 , q2}


        0
q0          q1   0, 1 q
                       2
        1

                           124
(q0 , ) {q0 , q2}


        0
q0          q1   0, 1 q
                       2
        1

                           125
(q2 ,1)


     0
q0        q1   0, 1 q
                     2
     1

                         126
Extended Transition Function *
               * q0 , a       q1
•



           q4          q5
                 a a
      q0   a      q1      b   q2   q3
                                        127
* q0 , aa        q4 , q5


      q4         q5
           a a
q0   a     q1    b      q2      q3
                                     128
* q0 , ab      q2 , q3 , q0


        q4         q5
             a a
q0     a     q1    b     q2        q3
                                        129
Formally
             qj       * qi , w

It holds
if and only if

       there is a walk from   qi to q j
       with label w
                                          130
The Language of an NFA M
F       q0 ,q5
                        q4           q5
    •                          a a
                q0     a       q1    b     q2        q3




    * q0 , aa        q4 , q5              aa L(M )
                                                 131
F   q0 ,q5
                    q4         q5
                         a a
             q0    a     q1    b     q2        q3




* q0 , ab     q2 , q3 , q0          ab L M
                                             132
F       q0 ,q5
                       q4         q5
    •                       a a
                 q0    a    q1    b      q2      q3




* q0 , abaa           q4 , q5          aaba L(M )
                                               133
F    q0 ,q5
                   q4         q5
                        a a
              q0   a    q1    b     q2         q3




    * q0 , aba     q1              aba L M
                                             134
q4         q5
                    a a
     q0        a    q1     b   q2          q3




LM        aa        ab *       ab   aa
                                         135
Formally

• The language accepted by NFA      M is:
           LM         w1, w2 , w3 ,...
          * (q0 , wm ) {qi , q j ,...}

• where
                     qk    F      (final state)
                                            136
w LM                * (q0 , w)

 •                    qi
            w
                      qk         qk     F
       q0   w
                w     qj


                                      137
Equivalence of NFAs and DFAs




                           138
Equivalence of Machines

• For DFAs or NFAs:

• Machine   M1   is equivalent to machine M
                                              2

• if    L M1      L M2
•                                         139
NFA   M1
L M1   {10} *        0
                q0        q1    0, 1         q2
  •
                     1


                         DFA   M2        0,1
L M2   {10}*         0
                q0        q1    1        q2
                     1
                           0           140
• Since   L M1    L M2           10 *

• machines   M1   and    M 2are equivalent

                             0
     NFA     M1         q0        q1    0, 1   q2
                             1


                                               0,1
                             0
      DFA    M2         q0        q1     1     q2
                             1
                                   0                 141
Equivalence of NFAs and DFAs
Question:      NFAs   =   DFAs ?



            Same power?
            Accept the same languages?


                                         142
Equivalence of NFAs and DFAs


Question:      NFAs   =   DFAs ?   YES!


            Same power?
            Accept the same languages?


                                         143
We will prove:


Languages                Languages
accepted                 accepted
by NFAs                  by DFAs



  NFAs and DFAs have the same
  computation power

                                     144
Step 1


  Languages               Languages
  accepted                accepted
  by NFAs                 by DFAs

Proof: Every DFA is trivially an NFA



      A language accepted by a DFA
      is also accepted by an NFA       145
Step 2


  Languages             Languages
  accepted              accepted
  by NFAs               by DFAs

Proof: Any NFA can be converted to an
       equivalent DFA

       A language accepted by an NFA
       is also accepted by a DFA        146
NFA to DFA
NFA   M                   a
          q0   a     q1         q2
 •                        b


DFA   M
          q0


                                     147
NFA   M                     a
          q0   a       q1                q2
 •                          b


DFA   M
          q0       a
                                q1, q2


                                              148
NFA   M                     a
          q0   a       q1                q2
 •                          b


DFA   M
          q0       a
                                q1, q2
               b

                                              149
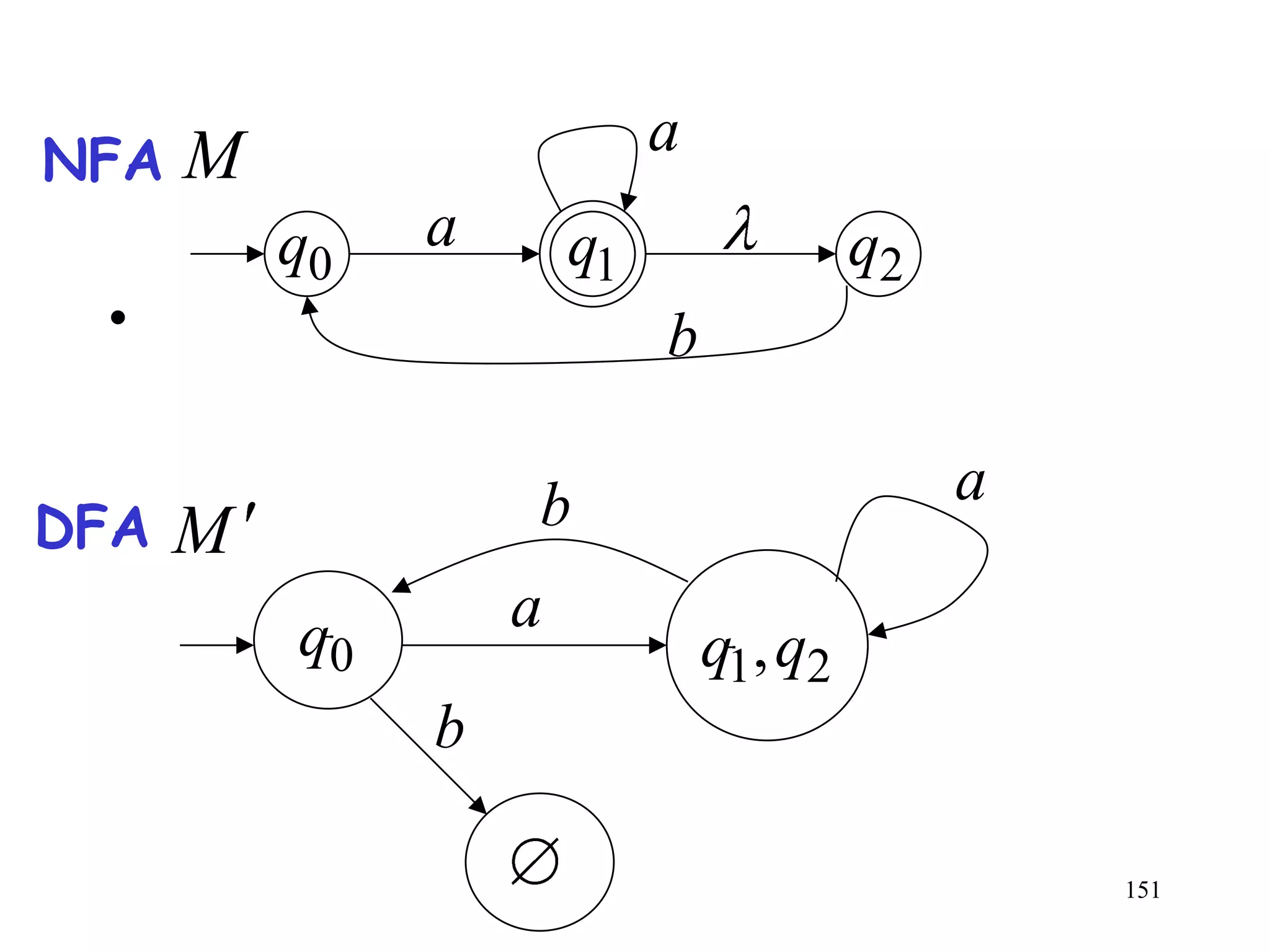
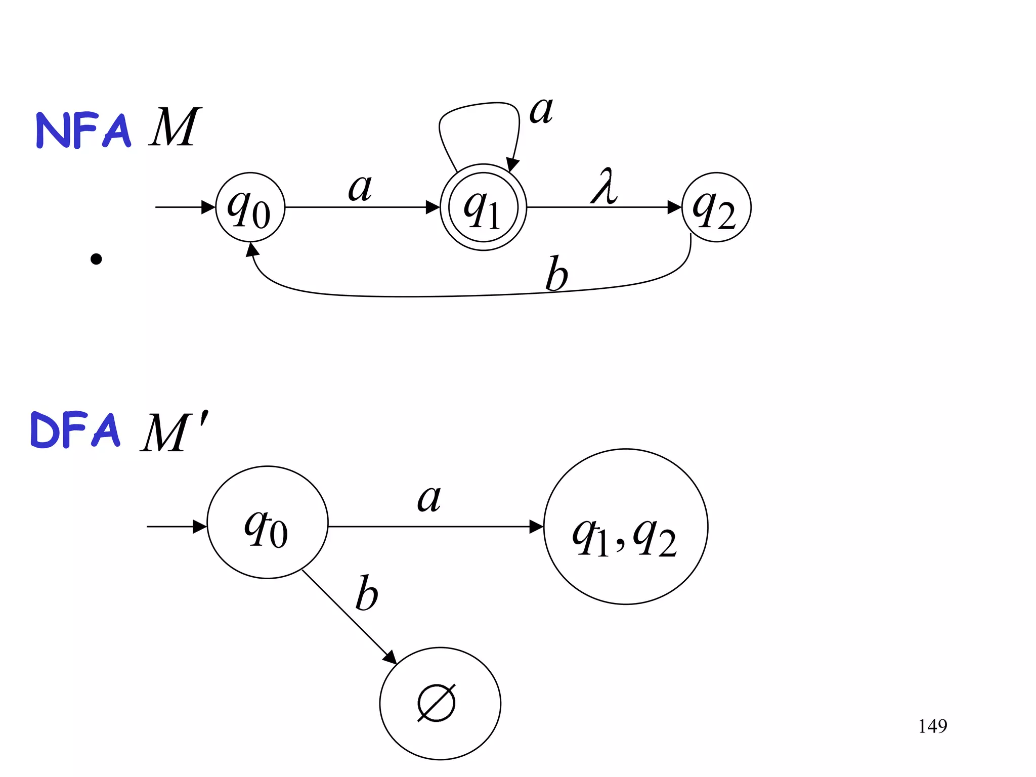
NFA   M                     a
          q0   a       q1                q2
 •                          b

                                              a
DFA   M
          q0       a
                                q1, q2
               b

                                                  150
NFA   M                     a
          q0   a       q1                q2
 •                          b

                   b                          a
DFA   M
          q0       a
                                q1, q2
               b

                                                  151
NFA   M                     a
          q0   a       q1                q2
 •                          b

                   b                          a
DFA   M
          q0       a
                                q1, q2
               b
                                  a, b
                                                  152
NFA   M                     a            LM       L(M )
          q0   a       q1                q2
 •                          b
                                              a
DFA   M            b

          q0       a
                                q1, q2
               b
                                  a, b
                                                    153
NFA to DFA: Remarks

• We are given an NFA   M


• We want to convert it to an equivalent DFA M

      LM       L(M )
                                          154
• If the NFA has states


              q0 , q1, q2 ,...

• the DFA has states in the power set
•

    , q0 , q1 , q1, q2 , q3 , q4 , q7 ,....
                                              155
Procedure NFA to DFA
•


• 1.   Initial state of NFA:   q0

•

•      Initial state of DFA:   q0
                                    156
NFA   M                 a
          q0   a   q1       q2
 •                      b


DFA   M
          q0


                                 157
Procedure NFA to DFA


•   2. For every DFA’s state {qi , q j ,..., qm}

•      Compute in the NFA
            * qi , a ,
              * q j,a ,        {qi , q j ,..., qm}
•
              ...
      {qi , q j ,..., qm}, a   {qi , q j ,..., qm}
•
                                              158
       Add transition to DFA
NFA   M                        a
          q0     a       q1                 q2
 •                           b
               * (q0 , a ) {q1, q2 }

DFA M

          q0         a
                                   q1, q2

               q0 , a         q1, q2             159
Procedure NFA to DFA



• Repeat Step 2 for all letters in alphabet,
•                 until
• no more transitions can be added.



                                               160
NFA   M                     a
          q0   a       q1                q2
 •                          b

                   b                          a
DFA   M
          q0       a
                                q1, q2
               b
                                  a, b
                                                  161
Procedure NFA to DFA

•   3. For any DFA state {qi , q j ,..., qm}


•      If some   q j is a final state in the NFA


•      Then, {qi , q j ,..., qm }
•
                                                   162
       is a final state in the DFA
NFA   M                     a
          q0   a       q1                q2       q1         F
 •                          b
                                              a
DFA   M            b

          q0       a
                                q1, q2
               b                              q1, q2         F
                                  a, b
                                                       163
Theorem
 Take NFA M
  •
Apply procedure to obtain DFA   M


Then   M    and     M     are equivalent :

            LM       LM
                                        164
Finally
        We have proven
Languages             Languages
accepted              accepted
by NFAs               by DFAs




                                  165
We have proven

Languages            Languages
accepted             accepted
by NFAs              by DFAs

                  Regular Languages


                                 166
We have proven

   Languages             Languages
   accepted              accepted
   by NFAs               by DFAs

Regular Languages     Regular Languages


                                     167
We have proven

   Languages              Languages
   accepted               accepted
   by NFAs                by DFAs

Regular Languages      Regular Languages

 Thus, NFAs accept the regular languages
                                      168
Single Final State
for NFAs and DFAs



                      169
Observation


• Any Finite Automaton (NFA or DFA)

• can be converted to an equivalent NFA

• with a single final state
                                          170
Example
    a                 NFA
a         b

b


    a             Equivalent NFA

a         b

b
                             171
In General
NFA




Equivalent NFA

                        Single
                        final state
                              172
Extreme Case

NFA without final state




                      Add a final state
                      Without transitions



                                    173
Some Properties of
Regular Languages



                     174
properties

For regular languages    L1 and L
                                 2
we will prove that:
           Union:   L1     L2

   Concatenation:   L1L2         Are regular
                                 Languages
            Star:   L1 *
                                         175
We Say:
Regular languages are closed under

          Union:   L1     L2

  Concatenation:   L1L2


           Star:   L1 *
                                     176
Properties
 For regular languages   L1   and   L2
 we will prove that:
        Union:   L1     L2
                                Are regular
Concatenation:   L1L2
                                Languages


        Star:    L1 *
                                         177
Regular language    L1   Regular language     L2

     L M1      L1          L M2      L2

     NFA    M1              NFA    M2



 Single final state      Single final state
                                          178
Example
            a
     n                   M1
L1 {a b}        b


                    M2
L2   ba         b    a

                              179
L1    L2 Union
                M1
• NFA for



                M2


                       180
n
          L1   L2 {a b} {ba}
NFA for
                        n
  •            L1 {a b}
               a
                    b


                   L2 {ba}
                    b       a
                                181
Concatenation
       L1L2

• NFA for
       M1             M2




                            182
Example
                  n           n
       L1L2 {a b}{ba} {a bba}
•
• NFA for
            n
  L1 {a b}
  a                L2 {ba}
      b             b     a


                                  183
Star Operation
• NFA for L *
           1

                            L1 *
                M1




                             184
Example
                 n
       L1* {a b} *

• NFA for
                       n
            L1       {a N>=}
                         b0
            a
                 b


                               185
Procedure: NFA to DFA
1   Create a graph with vertex {q0}.Identify this vertex as
    initial vertex of DFA.
2   Repeat the following steps until no more edges are
    missing.Take any vertex {qi,qj,….qk} of G that has no
    outgoing edge for some symbol a of the alphabet.
    Compute *(qi, a), * (qj, a)…. *(qk, a)
    Then form the union of all these yielding the set *{ql,
    qm, …qn}.
    Create a vertex for G labeled {ql, qm,…qn} if it does not
    already exist.
    Add to G an edge from {qi, qj,…qk} to {ql,qm…qn} and
    label it with a.
3   Every state of G whose label contains any qf of F is
    identified as a final vertex of DFA.
4   If NFA accepts then vertex {q0} in G is also made a
                                                     186
    final vertex.
1
     0

q0         q1         q2
     0,1        0,1




                               187
Start
Equivalent                    q0       1
                        0
DFA                                         q
                 {q0,                       1
                 q1}                                                1
                                                     0,1
                               1                           q2
             0
                                                    0,1         0

                   q0,q1,q2        1        q1,q2

      0                                                             0,1

                                                                    188

Finite automata

  • 1.
    Theory of Automata & Formal Languages 1
  • 2.
    BOOKS Theory of computerScience: K.L.P.Mishra & N.Chandrasekharan Intro to Automata theory, Formal languages and computation: Ullman,Hopcroft Motwani Elements of theory of computation Lewis & papadimitrou 2
  • 3.
    Syllabus Introduction Deterministic and nondeterministic Finite Automata, Regular Expression,Two way finite automata,Finite automata with output,properties of regular sets,pumping lemma, closure properties,Myhill nerode theorem 3
  • 4.
    Context free Grammar:Derivation trees, Simplification forms Pushdown automata: Def, Relationship between PDA and context free language,Properties, decision algorithms Turing Machines: Turing machine model,Modification of turing machines,Church’s thesis,Undecidability,Recursive and recursively enumerable languages Post correspondence problems recursive functions 4
  • 5.
    Chomsky Hierarchy: Regulargrammars, unrestricted grammar, context sensitive language, relationship among languages 5
  • 6.
  • 7.
  • 8.
    Finite Automaton Input • String Output Finite String Automaton 8
  • 9.
    Finite Accepter Input • String Output “Accept” Finite or Automaton “Reject” 9
  • 10.
    Transition Graph a,b Abba -Finite Accepter • q5 a a,b b a b q0 a q1 b q2 b q3 a q4 initial final state state transition state “accept” 10
  • 11.
    Initial Configuration Input String a b b a • a,b q5 a a,b b a b q0 a q1 b q2 b q3 a q4 11
  • 12.
    Reading the Input ab b a • a,b q5 a a,b b a b q0 a q1 b q2 b q3 a q4 12
  • 13.
    a b ba a,b q5 a a,b b a b q0 a q1 b q2 b q3 a q4 13
  • 14.
    a b ba a,b q5 a a,b b a b q0 a q1 b q2 b q3 a q4 14
  • 15.
    a b ba a,b q5 a a,b b a b q0 a q1 b q2 b q3 a q4 15
  • 16.
    Input finished a bb a a,b q5 a a,b b a b q0 a q1 b q2 b q3 a q4 Output: “accept”16
  • 17.
    Rejection a b a • a,b q5 a a,b b a b q0 a q1 b q2 b q3 a q4 17
  • 18.
    a b a • a,b q5 a a,b b a b q0 a q1 b q2 b q3 a q4 18
  • 19.
    a b a • a,b q5 a a,b b a b q0 a q1 b q2 b q3 a q4 19
  • 20.
    a b a • a,b q5 a a,b b a b q0 a q1 b q2 b q3 a q4 20
  • 21.
    Input finished a ba a,b Output: q5 “reject” a a,b b a b q0 a q1 b q2 b q3 a q4 21
  • 22.
    Another Example a ab a a,b q0 b a,b q1 q2 22
  • 23.
    a a b a a,b q0 b a,b q1 q2 23
  • 24.
    a a b a a,b q0 b a,b q1 q2 24
  • 25.
    a a b a a,b q0 b a,b q1 q2 25
  • 26.
    Input finished a ab a a,b Output: “accept” q0 b a,b q1 q2 26
  • 27.
    Rejection b a b a a,b q0 b a,b q1 q2 27
  • 28.
    b a b a a,b q0 b a,b q1 q2 28
  • 29.
    b a b a a,b q0 b a,b q1 q2 29
  • 30.
    b a b a a,b q0 b a,b q1 q2 30
  • 31.
    Input finished b ab a a,b q0 b a,b q1 q2 Output: “reject” 31
  • 32.
    • Deterministic FiniteAccepter (DFA) M Q, , , q0 , F Q : Finite set of states : input alphabet : transition function :Q X Q q0 : initial state is a member of Q F : set of final states 32
  • 33.
    Input Alphabet a, b a,b q5 b a a,b a b q0 a q1 b q2 b q3 a q4 33
  • 34.
    Set of StatesQ Q q0 , q1, q2 , q3 , q4 , q5 a,b q5 a a,b b a b q0 a q1 b q2 b q3 a q4 34
  • 35.
    Initial State q0 a,b q5 a a,b b a b q0 a q1 b q2 b q3 a q4 35
  • 36.
    Set of FinalStates F F q4 a,b q5 a a,b b a b q0 a q1 b q2 b q3 a q4 36
  • 37.
    Transition Function :Q Q a,b q5 b a a,b a b q0 a q1 b q2 b q3 a q4 37
  • 38.
    q0 , a q1 a,b q5 b a a,b a b q0 a q1 b q2 b q3 a q4 38
  • 39.
    q0 , b q5 a,b q5 b a a,b a b q0 a q1 b q2 b q3 a q4 39
  • 40.
    q2 , b q3 a,b q5 b a a,b a b q0 a q1 b q2 b q3 a q4 40
  • 41.
    a b Transition Function q0 q1 q5 q1• q5 q2 q2 q2 q3 q3 q4 q5 a,b q4 q5 q5 q5 q5 q5 q5 b a a,b a b q0 a q1 b q2 b q3 a q4 41
  • 42.
    Extended Transition Function* *: Q * Q a,b q5 b a a,b a b q0 a q1 b q2 b q3 a q4 42
  • 43.
    * q0 ,ab q2 a,b q5 b a a,b a b q0 a q1 b q2 b q3 a q4 43
  • 44.
    * q0 ,abba q4 a,b q5 b a a,b a b q0 a q1 b q2 b q3 a q4 44
  • 45.
    * q0 ,abbbaa q5 a,b q5 b a a,b a b q0 a q1 b q2 b q3 a q4 45
  • 46.
    Observation: There isa walk from q0 to q 5 with label abbbaa * q0 , abbbaa q5 a,b q5 b a a,b a b q0 a q1 b q2 b q3 a q4 46
  • 47.
    Recursive Definition * q, q • * q, wa ( * (q, w), a ) a,b q5 b a a,b a b q0 a q1 b q2 b q3 a q4 47
  • 48.
    * q0 ,ab * (q0 , a ), b * q0 , ,a ,b q0 , a , b q1 , b q2 a,b q5 b a a,b a b q0 a q1 b q2 b q3 a q4 48
  • 49.
    Languages Accepted byDFAs • Take DFA M • Definition: – The language L M contains – all input strings accepted by M LM – = { strings that drive M to a final state} 49
  • 50.
    Example LM abba M • a,b q5 b a a,b a b q0 a q1 b q2 b q3 a q4 accept 50
  • 51.
    Another Example LM , ab, abba M • a,b q5 b a a a,b b q0 a q1 b q2 b q3 a q4 accept accept accept 51
  • 52.
    Formally • For aDFA Language accepted by M : LM w * : * q0 , w F M Q, , , q0 , F alphabet transition initial final function state states 52
  • 53.
    Observation • Language acceptedby M: LM w * : * q0 , w F • Language rejected by M : LM w * : * q0 , w F 53
  • 54.
    More Examples n LM {a b : n 0} a a,b q0 b a,b q1 q2 accept trap state or dead state 54
  • 55.
    LM = { all strings with prefix ab } • a,b q0 a q1 b q2 b a accept q3 a,b 55
  • 56.
    L M ={ all strings without substring 001 } • 1 0 0,1 1 0 1 0 00 001 0 56
  • 57.
    Regular Languages • Alanguage L is regular if there is • a DFA M such that L L M • All regular languages form a language family – 57
  • 58.
    Example L awa : w a, b * a • The language b • is regular: b q0 a q2 q3 • b a q4 a,b 58
  • 59.
    Non Deterministic Automata 59
  • 60.
    Non Deterministic Finite Accepter M Q, , , q0 , F Q :Q 2 60
  • 61.
    Nondeterministic Finite Accepter(NFA) Alphabet = {a} q1 a q2 a q0 a q3 61
  • 62.
    Nondeterministic Finite Accepter(NFA) Alphabet = {a} Two choices q1 a q2 a q0 a q3 62
  • 63.
    Nondeterministic Finite Accepter(NFA) Alphabet = {a} Two choices q1 a q2 No transition a q0 a q3 No transition 63
  • 64.
    First Choice a a q1 a q2 a q0 a q3 64
  • 65.
    First Choice a a q1 a q2 a q0 a q3 65
  • 66.
    First Choice a a q1 a q2 a q0 a q3 66
  • 67.
    First Choice aa All input is consumed q1 a q2 “accept” a q0 a q3 67
  • 68.
    Second Choice a a q1 a q2 a q0 a q3 68
  • 69.
    Second Choice a a q1 a q2 a q0 a q3 69
  • 70.
    Second Choice a a q1 a q2 a q0 a No transition: q3 the automaton hangs 70
  • 71.
    Second Choice aa Input cannot be consumed q1 a q2 a q0 a q3 “reject” 71
  • 72.
    An NFA acceptsa string: when there is a computation of the NFA that accepts the string •All the input is consumed and the automaton is in a final state 72
  • 73.
    An NFA rejectsa string: when there is no computation of the NFA that accepts the string • All the input is consumed and the automaton is in a non final state • The input cannot be consumed 73
  • 74.
    Example aais accepted by the NFA: “accept” q1 a q2 q1 a q2 a a q0 q0 a a q3 q3 “reject” because this computation accepts aa 74
  • 75.
    Rejection example a q1 a q2 a q0 a q3 75
  • 76.
    First Choice a q1 a q2 a q0 a q3 76
  • 77.
    First Choice a “reject” q1 a q2 a q0 a q3 77
  • 78.
    Second Choice a q1 a q2 a q0 a q3 78
  • 79.
    Second Choice a q1 a q2 a q0 a q3 79
  • 80.
    Second Choice a q1 a q2 a q0 a q3 “reject” 80
  • 81.
    Example a is rejected by the NFA: “reject” q1 a q2 q1 a q2 a a q0 q0 a a q3 “reject” q3 All possible computations lead to rejection 81
  • 82.
    Rejection example a aa q1 a q2 a q0 a q3 82
  • 83.
    First Choice a aa q1 a q2 a q0 a q3 83
  • 84.
    First Choice a aa q1 a q2 a q0 a No transition: the automaton hangs q3 84
  • 85.
    First Choice aa a Input cannot be consumed q1 a q2 “reject” a q0 a q3 85
  • 86.
    Second Choice a aa q1 a q2 a q0 a q3 86
  • 87.
    Second Choice a aa q1 a q2 a q0 a q3 87
  • 88.
    Second Choice a aa q1 a q2 a q0 a No transition: q3 the automaton hangs 88
  • 89.
    Second Choice aa a Input cannot be consumed q1 a q2 a q0 a q3 “reject” 89
  • 90.
    aaa is rejectedby the NFA: “reject” q1 a q2 q1 a q2 a a q0 q0 a a q3 q3 “reject” All possible computations lead to rejection 90
  • 91.
    Language accepted: L {aa} q1 a q2 a q0 a q3 91
  • 92.
  • 93.
    a a q0 a q1 q2 a q3 93
  • 94.
    a a q0 a q1 q2 a q3 94
  • 95.
    (read head doesn’tmove) a a q0 a q1 q2 a q3 95
  • 96.
    a a q0 a q1 q2 a q3 96
  • 97.
    all input isconsumed a a “accept” q0 a q1 q2 a q3 String aa is accepted 97
  • 98.
    Rejection Example a aa q0 a q1 q2 a q3 98
  • 99.
    a a a q0 a q1 q2 a q3 99
  • 100.
    (read head doesn’tmove) a a a q0 a q1 q2 a q3 100
  • 101.
    a a a q0 a q1 q2 a q3 No transition: the automaton hangs 101
  • 102.
    Input cannot beconsumed a a a “reject” q0 a q1 q2 a q3 String aaa is rejected 102
  • 103.
    Language accepted: L {aa} q0 a q1 q2 a q3 103
  • 104.
    Another NFA Example q0 a q1 b q2 q3 104
  • 105.
    a b q0 a q1 b q2 q3 105
  • 106.
    a b q0 a q1 b q2 q3 106
  • 107.
    a b q0 a q1 b q2 q3 107
  • 108.
    a b “accept” q0 a q1 b q2 q3 108
  • 109.
    Another String a ba b q0 a q1 b q2 q3 109
  • 110.
    a b ab q0 a q1 b q2 q3 110
  • 111.
    a b ab q0 a q1 b q2 q3 111
  • 112.
    a b ab q0 a q1 b q2 q3 112
  • 113.
    a b ab q0 a q1 b q2 q3 113
  • 114.
    a b ab q0 a q1 b q2 q3 114
  • 115.
    a b ab q0 a q1 b q2 q3 115
  • 116.
    a b ab “accept” q0 a q1 b q2 q3 116
  • 117.
    Language accepted L ab, abab, ababab, ... ab q0 a q1 b q2 q3 117
  • 118.
    Another NFA Example 0 q0 q1 0, 1 q2 1 118
  • 119.
    Language accepted L(M )= {λ, 10, 1010, 101010, ...} = {10}* 0 q0 q1 0, 1 q2 1 119
  • 120.
    Remarks: •The symbol never appears on the input tape •Extreme automata: M1 M2 q0 q0 L(M1 ) = {} L(M 2 ) = {λ} 120
  • 121.
    •NFAs are interestingbecause we can express languages easier than DFAs a,b NFA M1 DFA M2 q2 q0 a q1 b a,b q0 a q1 L( M1 ) = {a} L( M 2 ) = {a} 121
  • 122.
    Formal Definition ofNFAs M Q, , , q0 , F Q : Set of states, i.e. q0 , q1, q2 : Input alphabet, i.e. a, b : Transition function q0 : Initial state F : Final states 122
  • 123.
    Transition Function q0 , 1 q1 0 q0 q1 0, 1 q 2 1 123
  • 124.
    (q1,0) {q0 ,q2} 0 q0 q1 0, 1 q 2 1 124
  • 125.
    (q0 , ){q0 , q2} 0 q0 q1 0, 1 q 2 1 125
  • 126.
    (q2 ,1) 0 q0 q1 0, 1 q 2 1 126
  • 127.
    Extended Transition Function* * q0 , a q1 • q4 q5 a a q0 a q1 b q2 q3 127
  • 128.
    * q0 ,aa q4 , q5 q4 q5 a a q0 a q1 b q2 q3 128
  • 129.
    * q0 ,ab q2 , q3 , q0 q4 q5 a a q0 a q1 b q2 q3 129
  • 130.
    Formally qj * qi , w It holds if and only if there is a walk from qi to q j with label w 130
  • 131.
    The Language ofan NFA M F q0 ,q5 q4 q5 • a a q0 a q1 b q2 q3 * q0 , aa q4 , q5 aa L(M ) 131
  • 132.
    F q0 ,q5 q4 q5 a a q0 a q1 b q2 q3 * q0 , ab q2 , q3 , q0 ab L M 132
  • 133.
    F q0 ,q5 q4 q5 • a a q0 a q1 b q2 q3 * q0 , abaa q4 , q5 aaba L(M ) 133
  • 134.
    F q0 ,q5 q4 q5 a a q0 a q1 b q2 q3 * q0 , aba q1 aba L M 134
  • 135.
    q4 q5 a a q0 a q1 b q2 q3 LM aa ab * ab aa 135
  • 136.
    Formally • The languageaccepted by NFA M is: LM w1, w2 , w3 ,... * (q0 , wm ) {qi , q j ,...} • where qk F (final state) 136
  • 137.
    w LM * (q0 , w) • qi w qk qk F q0 w w qj 137
  • 138.
    Equivalence of NFAsand DFAs 138
  • 139.
    Equivalence of Machines •For DFAs or NFAs: • Machine M1 is equivalent to machine M 2 • if L M1 L M2 • 139
  • 140.
    NFA M1 L M1 {10} * 0 q0 q1 0, 1 q2 • 1 DFA M2 0,1 L M2 {10}* 0 q0 q1 1 q2 1 0 140
  • 141.
    • Since L M1 L M2 10 * • machines M1 and M 2are equivalent 0 NFA M1 q0 q1 0, 1 q2 1 0,1 0 DFA M2 q0 q1 1 q2 1 0 141
  • 142.
    Equivalence of NFAsand DFAs Question: NFAs = DFAs ? Same power? Accept the same languages? 142
  • 143.
    Equivalence of NFAsand DFAs Question: NFAs = DFAs ? YES! Same power? Accept the same languages? 143
  • 144.
    We will prove: Languages Languages accepted accepted by NFAs by DFAs NFAs and DFAs have the same computation power 144
  • 145.
    Step 1 Languages Languages accepted accepted by NFAs by DFAs Proof: Every DFA is trivially an NFA A language accepted by a DFA is also accepted by an NFA 145
  • 146.
    Step 2 Languages Languages accepted accepted by NFAs by DFAs Proof: Any NFA can be converted to an equivalent DFA A language accepted by an NFA is also accepted by a DFA 146
  • 147.
    NFA to DFA NFA M a q0 a q1 q2 • b DFA M q0 147
  • 148.
    NFA M a q0 a q1 q2 • b DFA M q0 a q1, q2 148
  • 149.
    NFA M a q0 a q1 q2 • b DFA M q0 a q1, q2 b 149
  • 150.
    NFA M a q0 a q1 q2 • b a DFA M q0 a q1, q2 b 150
  • 151.
    NFA M a q0 a q1 q2 • b b a DFA M q0 a q1, q2 b 151
  • 152.
    NFA M a q0 a q1 q2 • b b a DFA M q0 a q1, q2 b a, b 152
  • 153.
    NFA M a LM L(M ) q0 a q1 q2 • b a DFA M b q0 a q1, q2 b a, b 153
  • 154.
    NFA to DFA:Remarks • We are given an NFA M • We want to convert it to an equivalent DFA M LM L(M ) 154
  • 155.
    • If theNFA has states q0 , q1, q2 ,... • the DFA has states in the power set • , q0 , q1 , q1, q2 , q3 , q4 , q7 ,.... 155
  • 156.
    Procedure NFA toDFA • • 1. Initial state of NFA: q0 • • Initial state of DFA: q0 156
  • 157.
    NFA M a q0 a q1 q2 • b DFA M q0 157
  • 158.
    Procedure NFA toDFA • 2. For every DFA’s state {qi , q j ,..., qm} • Compute in the NFA * qi , a , * q j,a , {qi , q j ,..., qm} • ... {qi , q j ,..., qm}, a {qi , q j ,..., qm} • 158 Add transition to DFA
  • 159.
    NFA M a q0 a q1 q2 • b * (q0 , a ) {q1, q2 } DFA M q0 a q1, q2 q0 , a q1, q2 159
  • 160.
    Procedure NFA toDFA • Repeat Step 2 for all letters in alphabet, • until • no more transitions can be added. 160
  • 161.
    NFA M a q0 a q1 q2 • b b a DFA M q0 a q1, q2 b a, b 161
  • 162.
    Procedure NFA toDFA • 3. For any DFA state {qi , q j ,..., qm} • If some q j is a final state in the NFA • Then, {qi , q j ,..., qm } • 162 is a final state in the DFA
  • 163.
    NFA M a q0 a q1 q2 q1 F • b a DFA M b q0 a q1, q2 b q1, q2 F a, b 163
  • 164.
    Theorem Take NFAM • Apply procedure to obtain DFA M Then M and M are equivalent : LM LM 164
  • 165.
    Finally We have proven Languages Languages accepted accepted by NFAs by DFAs 165
  • 166.
    We have proven Languages Languages accepted accepted by NFAs by DFAs Regular Languages 166
  • 167.
    We have proven Languages Languages accepted accepted by NFAs by DFAs Regular Languages Regular Languages 167
  • 168.
    We have proven Languages Languages accepted accepted by NFAs by DFAs Regular Languages Regular Languages Thus, NFAs accept the regular languages 168
  • 169.
    Single Final State forNFAs and DFAs 169
  • 170.
    Observation • Any FiniteAutomaton (NFA or DFA) • can be converted to an equivalent NFA • with a single final state 170
  • 171.
    Example a NFA a b b a Equivalent NFA a b b 171
  • 172.
    In General NFA Equivalent NFA Single final state 172
  • 173.
    Extreme Case NFA withoutfinal state Add a final state Without transitions 173
  • 174.
  • 175.
    properties For regular languages L1 and L 2 we will prove that: Union: L1 L2 Concatenation: L1L2 Are regular Languages Star: L1 * 175
  • 176.
    We Say: Regular languagesare closed under Union: L1 L2 Concatenation: L1L2 Star: L1 * 176
  • 177.
    Properties For regularlanguages L1 and L2 we will prove that: Union: L1 L2 Are regular Concatenation: L1L2 Languages Star: L1 * 177
  • 178.
    Regular language L1 Regular language L2 L M1 L1 L M2 L2 NFA M1 NFA M2 Single final state Single final state 178
  • 179.
    Example a n M1 L1 {a b} b M2 L2 ba b a 179
  • 180.
    L1 L2 Union M1 • NFA for M2 180
  • 181.
    n L1 L2 {a b} {ba} NFA for n • L1 {a b} a b L2 {ba} b a 181
  • 182.
    Concatenation L1L2 • NFA for M1 M2 182
  • 183.
    Example n n L1L2 {a b}{ba} {a bba} • • NFA for n L1 {a b} a L2 {ba} b b a 183
  • 184.
    Star Operation • NFAfor L * 1 L1 * M1 184
  • 185.
    Example n L1* {a b} * • NFA for n L1 {a N>=} b0 a b 185
  • 186.
    Procedure: NFA toDFA 1 Create a graph with vertex {q0}.Identify this vertex as initial vertex of DFA. 2 Repeat the following steps until no more edges are missing.Take any vertex {qi,qj,….qk} of G that has no outgoing edge for some symbol a of the alphabet. Compute *(qi, a), * (qj, a)…. *(qk, a) Then form the union of all these yielding the set *{ql, qm, …qn}. Create a vertex for G labeled {ql, qm,…qn} if it does not already exist. Add to G an edge from {qi, qj,…qk} to {ql,qm…qn} and label it with a. 3 Every state of G whose label contains any qf of F is identified as a final vertex of DFA. 4 If NFA accepts then vertex {q0} in G is also made a 186 final vertex.
  • 187.
    1 0 q0 q1 q2 0,1 0,1 187
  • 188.
    Start Equivalent q0 1 0 DFA q {q0, 1 q1} 1 0,1 1 q2 0 0,1 0 q0,q1,q2 1 q1,q2 0 0,1 188