Signal Degradation
            in
      Optical Fiber
(Attenuation & Dispersion)
Linear effects are the effects do not dependent on the power.

Attenuation and dispersion are the power independent effects.

Nonlinear effects are power dependent effects.
    In this Chapter we are going to see,

    1. What are the loss or signal attenuation mechanisms in a
       fiber? (How Far?)

    2. Why and to what degree do optical signals get distorted as
       they propagate along a fiber? (How Fast?)

    Signal attenuation (also known as fiber loss or signal loss) is
     one of the most important properties of an optical fiber, because it
     largely determines the maximum unamplified or repeater less
     separation between a transmitter and a receiver.

    The distortion mechanisms in a fiber cause optical signal pulses
     to broaden as they travel along a fiber.

    The signal distortion mechanisms thus limit the information-
     carrying capacity of a fiber.
:: NONLINEAR SCATTERING ::




                                                               DWDM




   Interaction of light waves with phonons in the silica medium.

   Energy gets transferred from lower λ to higher wavelength λ.
:: SELF & CROSS PHASE MODULATION ::




                                                 DWDM




   Phase angle depends on light intensity.

   Φ= γ Pin Leff for SPM.

   Φ1= γ (Pin1+ Pin2+ Pin3) Leff for CPM/XPM.
:: FOUR WAVE MIXING ::




                                                       DWDM




 FWM gives rise to new frequencies.
 These signals appear as crosstalk to existing signals.
 Effect is higher when ∆λ is less.
 FWM increases as CWDM – WDM – DWDM
Attenuation
:: ATTENUATION ::




                                                                    DWDM




                                  Effect of Attenuation and Noise



 Reduces the signal power during transmission.
 Limits the Link Length.
 i.e. How FAR ?
Attenuation (fiber loss):

    Power loss along a fiber:




         Z=0                                      Z= l
                                                           p l
         P(0) mW                          P(l )  P(0)e            mw



                                        p z
               P( z )  P(0)e                                           [3-1]



    The parameter  p is called fiber attenuation coefficient in a units
     of for example [1/km] or [nepers /km]. A more common unit is
     [dB/km] that is defined by:
                   10      P(0) 
     [dB/km]        log          4.343 p [1 / km]                 [3-2]
                    l      P(l ) 
Fiber loss in dB/km:



            z=0                                   Z=l
     P(0)[dBm]

P(l )[dBm]  P(0)[dBm]  [dB/km]  l[km]               [3-3]

   Where [dBm] or dB milli watt is 10 log (P [mW]).
Attenuation Units:
 As light travels along a fiber, its power decreases exponentially with
  distance.
 P(O) is the optical power in a fiber at the origin (at z = 0),then the
  power P(z) at distance z further down the fiber is,




   αp is the fiber attenuation coefficient given in units of, km-1.
   Other units for αp can also be designated by nepers .
   For simplicity in calculating optical signal attenuation in a fiber, the
    attenuation coefficient is expressed in dB/km.



   This parameter is generally referred to as the fiber loss
    or fiber attenuation.
Basic attenuation mechanisms in a fiber:
          Absorption (Intrinsic & Extrinsic)
          Scattering ( Linear & Non linear)
          Bending losses (Micro bending & Macro bending)
   Attenuation is wavelength dependent hence proper
    selection of operating wavelength is required.
(1) Absorption: (Material Absorption)

   Material absorption is a loss mechanism related to the
    material composition and fiber fabrication process.

   This results in the dissipation of some of the transmitted
    optical power as heat in the waveguide.

   Absorption is classified into two basic categories:
    Intrinsic and extrinsic.

Intrinsic Absorption:

   It is caused due to the interaction of free electrons
    within the fiber material and the light wavelength.

   This wavelength spectrum interacts differently with
    the atoms of the fiber material.
Extrinsic Absorption:

   It is mainly due to the impurities injected into the
    optical fiber mix during the fabrication process.

   The metal ions are the most undesirable impurity in an
    optical fiber mix because the presence of metal ions
    influence and alter the transmission properties of the fiber.

   This results the loss of optical power.
(2) SCATTERING LOSS:

   Scattering loss is the loss associated with the
    interaction of the light with density fluctuations in
    the fiber.

   Small (compared to wavelength) variation in material
    density,   chemical     composition,      and    structural
    inhomogeneity scatter light in other directions and absorb
    energy from guided optical wave.
Linear scattering:

   Here the amount of optical power transferred from a
    wave is proportional to the power in the wave. There is
    no frequency change in the scattered wave.
         Rayleigh scattering
         Mie Scattering

Rayleigh scattering:

   It results from the interaction of the light with the
    inhomogeneties in the medium that are one-tenth of the
    wavelength of the light. Rayleigh scattering in a fiber can
    be expressed as :


   It means that a system operating at longer wavelengths
    have lower intrinsic loss.
Mie Scattering:

   If the defects in optical fibers are larger than λ/10 the
    scattering mechanism is known as 'Mie scattering'.

   These large defect sites are developed by the
    inhomogeneities in the fiber and are associated with in
    complete mixing of waveguide dopants or defects formed
    in the fabrication process.

   These defects physically scatter the light out of the fiber
    core.

   Mie scattering is rarely seen in commercially
    available silica-based fibers due to the high level of
    manufacturing expertise.
Non-linear scattering:

   High electric fields within the fiber leads to the non-linear
    scattering mechanism.

   It causes the scattering of significant power in the forward,
    backward or sideways depending upon the nature of the
    interaction.

   This scattering is accomplished by a frequency shift of
    the scattered light.

Raman scattering: (forward light scattering or SRS)

   It is caused by molecular vibrations of phonons in the
    glass matrix.

   This scattering is dependent on the temperature of
    the material.
Brillouin scattering: (backward light scattering or SBS ).

    It is induced by acoustic waves as opposed to
    thermal phonons.

   Brillouin scattering is a backscatter phenomenon.

   The importance of SRS and SBS is that they can be the
    limiting factor in high-power system designs.

   Raman scattering loss is unaffected by spectral source
    width but requires at least an order of magnitude more
    power for onset.

   Brillouin scattering loss can be decreased by using a light
    source with a broad spectral width. A broad spectral
    width reduces the light-material interaction.
Absorption & scattering losses in fibers:
Typical spectral absorption
                       &
scattering attenuations for a single mode-fiber
(3) RADIATIVE LOSS (BENDING LOSS):

   Radiative losses occur whenever an optical fiber
    undergoes a bend of finite radius of curvature.

   Fibers can be subjected to two types of bends :
    macroscopic bend and the microscopic bend.

Macro bending losses :

   It occur due to the bends of radii larger than the
    fiber diameter.

   These losses are also called 'large-curvature radiation
    losses'.
   For slight bends, the excess loss is extremely small. As the
    radius of curvature decreases, the loss increases
    exponentially until a certain critical radius occurs. At this
    point the macro bend losses are significant.

   These losses become extremely large when the bend
    crosses the critical/threshold point.

   The macro bend losses occur when optical fibers are
    packed for transportation to the field of installation
    during installation process.
Micro bend losses:
   These losses are associated with small perturbations of the fiber,
    induced by the factors like uneven coating application or cabling
    induced stresses.
   The results of the perturbations is to cause the coupling of propagating
    modes in the fiber by changing the optical path length. This de
    stabilisation of the modal distribution causes the lower-order modes to
    couple to the higher-order modes which are lossy in nature.
Dispersion
Dispersion in Optical Fibers:

• Dispersion: Any phenomenon in which the
  velocity of propagation of any electromagnetic
  wave is wavelength dependent.

• In communication, dispersion is used to describe
  any process by which any electromagnetic signal
  propagating in a physical medium is degraded
  because the various wave characteristics (i.e.,
  frequencies) of the signal have different
  propagation velocities within the physical
  medium.
Signal Distortion in Fiber:

   The optical signal that propagates through
    an optical fiber suffers from distortion (i.e.
    change in shape). This effect of pulse
    broadening in fiber is known as Dispersion.




 Different frequency components travel at different
  velocities in fiber, arriving at different times at the
  receiver.
 Broadening of Pulse.
Information Capacity determination:
•A measure of information capacity of an optical fiber for digital transmission
is usually specified by the bandwidth distance product        BW  L         in
GHz.km.

•For multi-mode step index fiber this quantity is about 20 MHz.km, for graded
index fiber is about 2.5 GHz.km & for single mode fibers are higher than 10
GHz.km.
   Types of Dispersion:

   (A) Intermodal dispersion
   (B) Intramodal Dispersion:
    ◦ (i) Material Dispersion
    ◦ (ii) Waveguide Dispersion
    (C) Polarization Mode Dispersion (PMD)

   This distortion effects are due to
    intramodal dispersion and intermodal
    delay effects, which can be explained by
    the group velocities of the guided modes.

   'Group velocity' is the speed at which the
    energy in a particular mode travels along
    the fiber.
Inter-modal (or) Modal dispersion (or) Group delay:

   Pulse broadening due to intermodal dispersion results
    from the propagation delay differences between the
    modes within a mu1timode fiber.

   The pulse in different modes travel along the channel
    with different group velocities.

   The pulse width at the output depends on the
    transmission times of the slowest and the fastest modes.

   This dispersion creates the fundamental difference in
    the overall dispersion for the different fiber types.

   Hence SI multimode fibers exhibit a large amount of
    intermodal dispersion giving the greatest pulse
    broadening.
Inter-modal (or) Modal dispersion (or) Group delay:

   The intermodal dispersion in multimode fibers can be
    minimized by adopting optimum refractive index profile
    provided by the near parabolic profile of most GI fibers.

   So, the overall pulse broadening in multimode GI fibers
    is less than that of the SI fibers.

   Thus GI fibers used with a multimode source gives a
    tremendous bandwidth advantage over multimode SI
    fibers.

   To eliminate the Intermodal Dispersion SMF is the best
    solution.
Group Velocity
• Wave Velocities:
• 1- Plane wave velocity: For a plane wave propagating along z-axis in an
  unbounded homogeneous region of refractive index              n1 , which is
  represented by exp( jωt  jk1 z ) , the velocity of constant phase plane is:

         c
   v                         [3-4]
        k1 n1
• 2- Modal wave phase velocity: For a modal wave propagating along z-axis
  represented byexp( jωt  jz ) , the velocity of constant phase plane is:
          ω
   vp 
           
                            [3-5]


  3- For transmission system operation, the most important & useful type of
   velocity is the group velocity, V g . This is the actual velocity which the
   signal information & energy is traveling down the fiber. It is always less
   than the speed of light in the medium. The observable delay experiences by
   the optical signal waveform & energy, when traveling a length of l along
   the fiber is commonly referred to as group delay.
Group Velocity & Group Delay
• The group velocity is given by:

                             dω
                        Vg                                 [3-6]

                             d
• The group delay is given by:

                           l   d
                      g   l                             [3-7]

                          Vg   dω
• It is important to note that all above quantities depend both on frequency
  & the propagation mode.
• In order to see the effect of these parameters on group velocity and delay,
  the following analysis would be helpful.
Input/Output signals in Fiber Transmission
                     System
• The optical signal (complex) waveform at the input of fiber of length l is
  f(t). The propagation constant of a particular modal wave carrying the
  signal is  (ω). Let us find the output signal waveform g(t).
    is the optical signal bandwidth.




                                                         Z=l
                    z-=0


                     c  
                             ~
         f (t ) 
                    
                           f ( )e jt d                [3-8]


                      c 


                   c  
                            ~
       g (t ) 
                  
                          f ( )e jt  j ( ) l d     [3-9]


                     c 
If    c
                    d                                     1 d 2
 ( )   ( c )                            (   c )                                  (   c ) 2  ...
                    d
                                                                                                                                   [3-10]

                                         c              2 d 2                   c


             c   / 2                                         c   / 2                             d
                                                                                  jt  j [  ( c )                  (  c )] l
                   ~                                                   ~                                 d
 g (t )          f ( )e jt  j ( )l d                         f ( )e                                                        d
                                                                                                                c


             c   / 2                                         c   / 2

                              c   / 2                  d
                                              j ( t  l                 )
                                    ~                      d
       e  j ( c )l             f ( )e                                  d
                                                                  c


                              c   / 2

              j ( c ) l            d
      e                     f (t  l                  )  e  j ( c )l f (t   g )
                                      d
                                                                                                                               [3-11]

                                                c


                                        d                         l
                                 g  l                                                                           [3-14]

                                        d          c          Vg
How to characterize dispersion?
• Group delay per unit length can be defined as:

                g   d   1 d    2 d
                             
                                  2c d
                                                                       [3-15]
                 L   dω   c dk
• If the spectral width of the optical source is not too wide, then the delay
                                                                              d g
  difference per unit wavelength along the propagation path is approximately
  For spectral components which are  apart, symmetrical around center       d
  wavelength, the total delay difference  over a distance L is:

                     d g       L      d    2 d  
                                                 2
                             2
                                                  
                                                   2 
                     d        2c     d      d 
                     d       d    L          d 2   
                                     L        
                     d      d   V           d 2             [3-16]

                                   g                 
d 2
•    2        is called GVD parameter, and shows how much a light pulse
          d 2
    broadens as it travels along an optical fiber. The more common parameter
    is called Dispersion, and can be defined as the delay difference per unit
    length per unit wavelength as follows:

                    1 d g    d  1
                                
                                               
                                                  2c  2
                 D        
                             d  V g          
                                                                           [3-17]

                    L d                           2

• In the case of optical pulse, if the spectral width of the optical source is
  characterized by its rms value of the Gaussian pulse   , the pulse
  spreading over the length of L,  g can be well approximated by:

                             d g
                    g                DL                            [3-18]

                             d
• D has a typical unit of [ps/(nm.km)].
Intramodal dispersion:

   It is pulse spreading that occurs within a single mode
    of light source. It is due to the group velocity which is a
    function of the wavelength.

   As the intramodal dispersion is dependent on the
    wavelength, its effect on signal distortion increases
    with the spectral width of the optical source. It is
    normally characterized by the RMS spectral width.

   The LEDs have an RMS spectral width of about 5% of
    the central wavelength, whereas the LASER diodes
    have much narrower spectral widths of 1 to 2 nm.

   The main causes of intramodal dispersion are :
    Material & Waveguide dispersion.
Material or Chromatic Dispersion:

   In SMF due to the diffraction property, there is spread of narrow pulses in
    the constant refractive index core material is called intramodal dispersion.


   This dispersion arises due to the variation of the
    refractive index of the core material as a function of
    optical wavelength.

   This causes a wavelength dependence of the group
    velocity of any given mode; that is, pulse spreading
    occurs even when different optical wavelengths follow
    the same optical path.
Material Dispersion
                       Input                             Cla dding
                                            v g ( 1 )
                                                             Core         Output
            Emitter                             v g ( 2 )
                 Very short
                 light puls e

Intensity                       Intensity                            Intensity

       Spectrum, ² 
                                                                                     Spread, ² 


                                           t                                                      t
      1    o   2                0                                             

 All excitation sources are inherently non-monochromatic and emit within a
 spectrum, ², of wavelengt hs. W aves in t he guide wit h different free space
 wavelengths travel at different group velocities due t o the wavelength dependenc
 of n1. T he waves arrive at t he end of the fiber at different t imes and hence result
 a broadened output pulse.
  © 1999 S.O. K asap,Optoelectronics rentice H all)
                                   (P
Material Dispersion
• The refractive index of the material varies as a function of wavelength, n( )
• Material-induced dispersion for a plane wave propagation in homogeneous
  medium of refractive index n:

                    d     2 d     2   d  2       
          mat   L        L        L        n( ) 
                    dω    2c d    2c d  
                                                      
                     L     dn 
                      n                                        [3-19]

                     c     d 
• The pulse spread due to material dispersion is therefore:

              d mat      L  d 2 n
         g                2  L  Dmat ( )
               d              d
                                                                     [3-20]
                           c

    Dmat ( )
                 is material dispersion
Waveguide Dispersion:
       Waveguide dispersion occurs since the propagation of light in the core and cladding
                                           layers differ.
        Considering the ray theory approach, it is equivalent to the angle between the ray
                             and the fiber axis vary with wavelength.

       This leads to variation in the transmission time of the rays and hence the dispersion.

       If β is the propagation constant for a SM fiber, then
        the fiber exhibits the waveguide dispersion if

 In multimode fibers, the majority of modes propagate
  far from the cut-off.
 They are almost free of waveguide dispersion and is
  negligible when compared to the material dispersion.
Polarization Mode dispersion
                                                                          Intensity
                                                                                         t
                                                          Output light puls e
                                                                           z     
                           n1 y // y                 Core                 Ex

                                                                     = P ulse spread
                                                     Ex        Ey
              n1 x // x                    Ey

                 t
                     E
                Input light pulse


Suppose that the core refractive index has different values along two orthogonal
directions corresponding to electric field oscillation direction (polarizations). We can
take x and y axes along these directions. An input light will travel along the fiber with    Ex
and Ey polarizations having different group velocities and hence arrive at the output at
different times

© 1999 S.O. K asap,Optoelectronics rentice H all)
                                 (P
Modal Dispersion
• Dispersion means the difference in arrival time of the light
  rays at the output end of an optical fiber.
• Modal dispersion is caused by the difference in rays path
  (with equal wave length) due to variation in light incidence
  angles at the input end. It occurs only in multimode fibers
• Material dispersion is related to the variation of light
  velocity in a given fiber material due to the difference in
  propagated light wave.

                       Number of modes

                                               2
                     ( Diameter of core  NA  )
  Number of mod es                           
                                         2              47
A
        Input pulse

                                   Output pulse


                                                                 LMax
                                                  t




                                       Critical
                                                                         LMin
                                       angle


For instance, if n1 = 1.5 and  = 0.01, then the numerical aperture is
0.212 and the critical angle  r,cr, is about 12.5 degrees.
                                                                         48
• i = 0 and path length=L (fiber length).
• The longest path occurs for  i = i, CR and can be estimated as:
                            L
              LMAX 
                       sin   CR 
                               
              L           1L      L      1                                      n2
T                 
     sin   CR   1  1
                                   
                            n1                1
                                                              sin   CR
                                                                              
                          c        sin   CR 
                                                                                n1
    L        n1   L n1   2
T   n1  
             n 1  c  n 
                  
    c        2           2

     1
TB    ;           B is the bit rate in bits per second
     B                                                              n2 c
                                                              BL  2 
                      1                                             n1 
 T  TB       ; T    ; therefore B  T  1
                      B
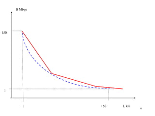
   For  = 0.002 in a small-step index optical fiber:

                                                    Mb
                                      B  L  150       km                      49
                                                    s
B Mbps




150




 1



         1     150   L km
                            50
Bandwidth of a Multimode Optical Fiber
• To estimate the bandwidth of an optical fiber, we can convert from a
   bit transfer rate to a bandwidth. In one signal period, two bits can be
   transferred, so the maximum signal frequency is simply one-half the
   bit transfer rate.
            B                    c  n2                 c  n2
 f MAX        ; f MAX                       W 
            2                2  n1    L
                                  2
                                                    2  n1    L
                                                         2



• Light frequencies used in fiber optic systems use a carrier frequency between 1014 and 1015 Hz     5
                                                                                                 (10 to
  6
10 GHz). The theoretical bandwidth of a fiber optic system is about 10% of the carrier frequency, or up to
10,000-100,000 GHz!




                                                                                                   51
Fiber  signal degradation final
Fiber  signal degradation final
Fiber  signal degradation final
Fiber  signal degradation final
Fiber  signal degradation final
Fiber  signal degradation final
Fiber  signal degradation final

Fiber signal degradation final

  • 1.
    Signal Degradation in Optical Fiber (Attenuation & Dispersion)
  • 2.
    Linear effects arethe effects do not dependent on the power. Attenuation and dispersion are the power independent effects. Nonlinear effects are power dependent effects.
  • 3.
    In this Chapter we are going to see, 1. What are the loss or signal attenuation mechanisms in a fiber? (How Far?) 2. Why and to what degree do optical signals get distorted as they propagate along a fiber? (How Fast?)  Signal attenuation (also known as fiber loss or signal loss) is one of the most important properties of an optical fiber, because it largely determines the maximum unamplified or repeater less separation between a transmitter and a receiver.  The distortion mechanisms in a fiber cause optical signal pulses to broaden as they travel along a fiber.  The signal distortion mechanisms thus limit the information- carrying capacity of a fiber.
  • 4.
    :: NONLINEAR SCATTERING:: DWDM  Interaction of light waves with phonons in the silica medium.  Energy gets transferred from lower λ to higher wavelength λ.
  • 5.
    :: SELF &CROSS PHASE MODULATION :: DWDM  Phase angle depends on light intensity.  Φ= γ Pin Leff for SPM.  Φ1= γ (Pin1+ Pin2+ Pin3) Leff for CPM/XPM.
  • 6.
    :: FOUR WAVEMIXING :: DWDM  FWM gives rise to new frequencies.  These signals appear as crosstalk to existing signals.  Effect is higher when ∆λ is less.  FWM increases as CWDM – WDM – DWDM
  • 7.
  • 8.
    :: ATTENUATION :: DWDM Effect of Attenuation and Noise  Reduces the signal power during transmission.  Limits the Link Length.  i.e. How FAR ?
  • 9.
    Attenuation (fiber loss):  Power loss along a fiber: Z=0 Z= l  p l P(0) mW P(l )  P(0)e mw  p z P( z )  P(0)e [3-1]  The parameter  p is called fiber attenuation coefficient in a units of for example [1/km] or [nepers /km]. A more common unit is [dB/km] that is defined by: 10  P(0)   [dB/km]  log    4.343 p [1 / km] [3-2] l  P(l ) 
  • 10.
    Fiber loss indB/km: z=0 Z=l P(0)[dBm] P(l )[dBm]  P(0)[dBm]  [dB/km]  l[km] [3-3]  Where [dBm] or dB milli watt is 10 log (P [mW]).
  • 11.
    Attenuation Units:  Aslight travels along a fiber, its power decreases exponentially with distance.  P(O) is the optical power in a fiber at the origin (at z = 0),then the power P(z) at distance z further down the fiber is,  αp is the fiber attenuation coefficient given in units of, km-1.  Other units for αp can also be designated by nepers .  For simplicity in calculating optical signal attenuation in a fiber, the attenuation coefficient is expressed in dB/km.  This parameter is generally referred to as the fiber loss or fiber attenuation.
  • 12.
    Basic attenuation mechanismsin a fiber:  Absorption (Intrinsic & Extrinsic)  Scattering ( Linear & Non linear)  Bending losses (Micro bending & Macro bending)  Attenuation is wavelength dependent hence proper selection of operating wavelength is required.
  • 13.
    (1) Absorption: (MaterialAbsorption)  Material absorption is a loss mechanism related to the material composition and fiber fabrication process.  This results in the dissipation of some of the transmitted optical power as heat in the waveguide.  Absorption is classified into two basic categories: Intrinsic and extrinsic. Intrinsic Absorption:  It is caused due to the interaction of free electrons within the fiber material and the light wavelength.  This wavelength spectrum interacts differently with the atoms of the fiber material.
  • 14.
    Extrinsic Absorption:  It is mainly due to the impurities injected into the optical fiber mix during the fabrication process.  The metal ions are the most undesirable impurity in an optical fiber mix because the presence of metal ions influence and alter the transmission properties of the fiber.  This results the loss of optical power.
  • 15.
    (2) SCATTERING LOSS:  Scattering loss is the loss associated with the interaction of the light with density fluctuations in the fiber.  Small (compared to wavelength) variation in material density, chemical composition, and structural inhomogeneity scatter light in other directions and absorb energy from guided optical wave.
  • 16.
    Linear scattering:  Here the amount of optical power transferred from a wave is proportional to the power in the wave. There is no frequency change in the scattered wave.  Rayleigh scattering  Mie Scattering Rayleigh scattering:  It results from the interaction of the light with the inhomogeneties in the medium that are one-tenth of the wavelength of the light. Rayleigh scattering in a fiber can be expressed as :  It means that a system operating at longer wavelengths have lower intrinsic loss.
  • 17.
    Mie Scattering:  If the defects in optical fibers are larger than λ/10 the scattering mechanism is known as 'Mie scattering'.  These large defect sites are developed by the inhomogeneities in the fiber and are associated with in complete mixing of waveguide dopants or defects formed in the fabrication process.  These defects physically scatter the light out of the fiber core.  Mie scattering is rarely seen in commercially available silica-based fibers due to the high level of manufacturing expertise.
  • 18.
    Non-linear scattering:  High electric fields within the fiber leads to the non-linear scattering mechanism.  It causes the scattering of significant power in the forward, backward or sideways depending upon the nature of the interaction.  This scattering is accomplished by a frequency shift of the scattered light. Raman scattering: (forward light scattering or SRS)  It is caused by molecular vibrations of phonons in the glass matrix.  This scattering is dependent on the temperature of the material.
  • 19.
    Brillouin scattering: (backwardlight scattering or SBS ).  It is induced by acoustic waves as opposed to thermal phonons.  Brillouin scattering is a backscatter phenomenon.  The importance of SRS and SBS is that they can be the limiting factor in high-power system designs.  Raman scattering loss is unaffected by spectral source width but requires at least an order of magnitude more power for onset.  Brillouin scattering loss can be decreased by using a light source with a broad spectral width. A broad spectral width reduces the light-material interaction.
  • 20.
    Absorption & scatteringlosses in fibers:
  • 21.
    Typical spectral absorption & scattering attenuations for a single mode-fiber
  • 22.
    (3) RADIATIVE LOSS(BENDING LOSS):  Radiative losses occur whenever an optical fiber undergoes a bend of finite radius of curvature.  Fibers can be subjected to two types of bends : macroscopic bend and the microscopic bend. Macro bending losses :  It occur due to the bends of radii larger than the fiber diameter.  These losses are also called 'large-curvature radiation losses'.
  • 24.
    For slight bends, the excess loss is extremely small. As the radius of curvature decreases, the loss increases exponentially until a certain critical radius occurs. At this point the macro bend losses are significant.  These losses become extremely large when the bend crosses the critical/threshold point.  The macro bend losses occur when optical fibers are packed for transportation to the field of installation during installation process.
  • 25.
    Micro bend losses:  These losses are associated with small perturbations of the fiber, induced by the factors like uneven coating application or cabling induced stresses.  The results of the perturbations is to cause the coupling of propagating modes in the fiber by changing the optical path length. This de stabilisation of the modal distribution causes the lower-order modes to couple to the higher-order modes which are lossy in nature.
  • 26.
  • 27.
    Dispersion in OpticalFibers: • Dispersion: Any phenomenon in which the velocity of propagation of any electromagnetic wave is wavelength dependent. • In communication, dispersion is used to describe any process by which any electromagnetic signal propagating in a physical medium is degraded because the various wave characteristics (i.e., frequencies) of the signal have different propagation velocities within the physical medium.
  • 28.
    Signal Distortion inFiber:  The optical signal that propagates through an optical fiber suffers from distortion (i.e. change in shape). This effect of pulse broadening in fiber is known as Dispersion.  Different frequency components travel at different velocities in fiber, arriving at different times at the receiver.  Broadening of Pulse.
  • 29.
  • 30.
    •A measure ofinformation capacity of an optical fiber for digital transmission is usually specified by the bandwidth distance product BW  L in GHz.km. •For multi-mode step index fiber this quantity is about 20 MHz.km, for graded index fiber is about 2.5 GHz.km & for single mode fibers are higher than 10 GHz.km.
  • 31.
    Types of Dispersion:  (A) Intermodal dispersion  (B) Intramodal Dispersion: ◦ (i) Material Dispersion ◦ (ii) Waveguide Dispersion (C) Polarization Mode Dispersion (PMD)  This distortion effects are due to intramodal dispersion and intermodal delay effects, which can be explained by the group velocities of the guided modes.  'Group velocity' is the speed at which the energy in a particular mode travels along the fiber.
  • 32.
    Inter-modal (or) Modaldispersion (or) Group delay:  Pulse broadening due to intermodal dispersion results from the propagation delay differences between the modes within a mu1timode fiber.  The pulse in different modes travel along the channel with different group velocities.  The pulse width at the output depends on the transmission times of the slowest and the fastest modes.  This dispersion creates the fundamental difference in the overall dispersion for the different fiber types.  Hence SI multimode fibers exhibit a large amount of intermodal dispersion giving the greatest pulse broadening.
  • 33.
    Inter-modal (or) Modaldispersion (or) Group delay:  The intermodal dispersion in multimode fibers can be minimized by adopting optimum refractive index profile provided by the near parabolic profile of most GI fibers.  So, the overall pulse broadening in multimode GI fibers is less than that of the SI fibers.  Thus GI fibers used with a multimode source gives a tremendous bandwidth advantage over multimode SI fibers.  To eliminate the Intermodal Dispersion SMF is the best solution.
  • 34.
    Group Velocity • WaveVelocities: • 1- Plane wave velocity: For a plane wave propagating along z-axis in an unbounded homogeneous region of refractive index n1 , which is represented by exp( jωt  jk1 z ) , the velocity of constant phase plane is:  c v  [3-4] k1 n1 • 2- Modal wave phase velocity: For a modal wave propagating along z-axis represented byexp( jωt  jz ) , the velocity of constant phase plane is: ω vp   [3-5] 3- For transmission system operation, the most important & useful type of velocity is the group velocity, V g . This is the actual velocity which the signal information & energy is traveling down the fiber. It is always less than the speed of light in the medium. The observable delay experiences by the optical signal waveform & energy, when traveling a length of l along the fiber is commonly referred to as group delay.
  • 35.
    Group Velocity &Group Delay • The group velocity is given by: dω Vg  [3-6] d • The group delay is given by: l d g   l [3-7] Vg dω • It is important to note that all above quantities depend both on frequency & the propagation mode. • In order to see the effect of these parameters on group velocity and delay, the following analysis would be helpful.
  • 36.
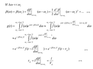
    Input/Output signals inFiber Transmission System • The optical signal (complex) waveform at the input of fiber of length l is f(t). The propagation constant of a particular modal wave carrying the signal is  (ω). Let us find the output signal waveform g(t).  is the optical signal bandwidth. Z=l z-=0  c   ~ f (t )    f ( )e jt d [3-8] c   c   ~ g (t )    f ( )e jt  j ( ) l d [3-9] c 
  • 37.
    If   c d 1 d 2  ( )   ( c )  (   c )  (   c ) 2  ... d [3-10]   c 2 d 2   c  c   / 2  c   / 2 d jt  j [  ( c )  (  c )] l ~ ~ d g (t )   f ( )e jt  j ( )l d   f ( )e d   c  c   / 2  c   / 2  c   / 2 d j ( t  l ) ~ d  e  j ( c )l  f ( )e d   c  c   / 2  j ( c ) l d e f (t  l )  e  j ( c )l f (t   g ) d [3-11]   c d l g  l  [3-14] d   c Vg
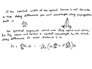
  • 38.
    How to characterizedispersion? • Group delay per unit length can be defined as: g d 1 d 2 d    2c d [3-15] L dω c dk • If the spectral width of the optical source is not too wide, then the delay d g difference per unit wavelength along the propagation path is approximately For spectral components which are  apart, symmetrical around center d wavelength, the total delay difference  over a distance L is: d g L  d 2 d   2       2    2  d 2c  d d  d d  L   d 2        L  d d V   d 2  [3-16]  g   
  • 39.
    d 2 • 2  is called GVD parameter, and shows how much a light pulse d 2 broadens as it travels along an optical fiber. The more common parameter is called Dispersion, and can be defined as the delay difference per unit length per unit wavelength as follows: 1 d g d  1      2c  2 D  d  V g  [3-17] L d   2 • In the case of optical pulse, if the spectral width of the optical source is characterized by its rms value of the Gaussian pulse   , the pulse spreading over the length of L,  g can be well approximated by: d g g     DL  [3-18] d • D has a typical unit of [ps/(nm.km)].
  • 40.
    Intramodal dispersion:  It is pulse spreading that occurs within a single mode of light source. It is due to the group velocity which is a function of the wavelength.  As the intramodal dispersion is dependent on the wavelength, its effect on signal distortion increases with the spectral width of the optical source. It is normally characterized by the RMS spectral width.  The LEDs have an RMS spectral width of about 5% of the central wavelength, whereas the LASER diodes have much narrower spectral widths of 1 to 2 nm.  The main causes of intramodal dispersion are : Material & Waveguide dispersion.
  • 41.
    Material or ChromaticDispersion:  In SMF due to the diffraction property, there is spread of narrow pulses in the constant refractive index core material is called intramodal dispersion.  This dispersion arises due to the variation of the refractive index of the core material as a function of optical wavelength.  This causes a wavelength dependence of the group velocity of any given mode; that is, pulse spreading occurs even when different optical wavelengths follow the same optical path.
  • 42.
    Material Dispersion Input Cla dding v g ( 1 ) Core Output Emitter v g ( 2 ) Very short light puls e Intensity Intensity Intensity Spectrum, ²  Spread, ²   t t 1 o 2 0  All excitation sources are inherently non-monochromatic and emit within a spectrum, ², of wavelengt hs. W aves in t he guide wit h different free space wavelengths travel at different group velocities due t o the wavelength dependenc of n1. T he waves arrive at t he end of the fiber at different t imes and hence result a broadened output pulse. © 1999 S.O. K asap,Optoelectronics rentice H all) (P
  • 43.
    Material Dispersion • Therefractive index of the material varies as a function of wavelength, n( ) • Material-induced dispersion for a plane wave propagation in homogeneous medium of refractive index n: d 2 d 2 d  2   mat L  L  L n( )  dω 2c d 2c d     L dn    n  [3-19] c d  • The pulse spread due to material dispersion is therefore: d mat L  d 2 n g     2  L  Dmat ( ) d d [3-20] c Dmat ( ) is material dispersion
  • 44.
    Waveguide Dispersion:  Waveguide dispersion occurs since the propagation of light in the core and cladding layers differ.  Considering the ray theory approach, it is equivalent to the angle between the ray and the fiber axis vary with wavelength.  This leads to variation in the transmission time of the rays and hence the dispersion.  If β is the propagation constant for a SM fiber, then the fiber exhibits the waveguide dispersion if  In multimode fibers, the majority of modes propagate far from the cut-off.  They are almost free of waveguide dispersion and is negligible when compared to the material dispersion.
  • 46.
    Polarization Mode dispersion Intensity t Output light puls e z  n1 y // y Core Ex  = P ulse spread Ex Ey n1 x // x Ey t E Input light pulse Suppose that the core refractive index has different values along two orthogonal directions corresponding to electric field oscillation direction (polarizations). We can take x and y axes along these directions. An input light will travel along the fiber with Ex and Ey polarizations having different group velocities and hence arrive at the output at different times © 1999 S.O. K asap,Optoelectronics rentice H all) (P
  • 47.
    Modal Dispersion • Dispersionmeans the difference in arrival time of the light rays at the output end of an optical fiber. • Modal dispersion is caused by the difference in rays path (with equal wave length) due to variation in light incidence angles at the input end. It occurs only in multimode fibers • Material dispersion is related to the variation of light velocity in a given fiber material due to the difference in propagated light wave. Number of modes  2 ( Diameter of core  NA  ) Number of mod es   2 47
  • 48.
    A Input pulse Output pulse LMax t Critical LMin angle For instance, if n1 = 1.5 and  = 0.01, then the numerical aperture is 0.212 and the critical angle  r,cr, is about 12.5 degrees. 48
  • 49.
    • i =0 and path length=L (fiber length). • The longest path occurs for  i = i, CR and can be estimated as: L LMAX  sin   CR   L 1L L 1  n2 T    sin   CR   1  1    n1   1  sin   CR     c  sin   CR    n1 L  n1  L n1 2 T   n1    n 1  c  n   c  2  2 1 TB  ; B is the bit rate in bits per second B n2 c BL  2  1 n1  T  TB ; T  ; therefore B  T  1 B For  = 0.002 in a small-step index optical fiber: Mb B  L  150  km 49 s
  • 50.
    B Mbps 150 1 1 150 L km 50
  • 51.
    Bandwidth of aMultimode Optical Fiber • To estimate the bandwidth of an optical fiber, we can convert from a bit transfer rate to a bandwidth. In one signal period, two bits can be transferred, so the maximum signal frequency is simply one-half the bit transfer rate. B c  n2 c  n2 f MAX  ; f MAX  W  2 2  n1    L 2 2  n1    L 2 • Light frequencies used in fiber optic systems use a carrier frequency between 1014 and 1015 Hz 5 (10 to 6 10 GHz). The theoretical bandwidth of a fiber optic system is about 10% of the carrier frequency, or up to 10,000-100,000 GHz! 51