External Flows (Unit- V)
• Fluid mechanics
• Prof. S. B. Powar
• Mechanical Engineering Department
• Boundary layer formation for flow over Flat plate, boundary
layer thickness:-displacement, momentum and energy.
• Separation of Boundary Layer and Methods of Controlling.
• Drag force on flat plate due to boundary layer formation
(Von-Karman momentum integral equation)
• Forces on immersed bodies: -Lift and Drag, types of bodies-
Bluff, streamline. Terminal velocity, drag and lift on stationary
and rotating cylinder. Drag on sphere.
Content
External Flows
• Flows around the object which is completely surrounded by
the fluid
e.g. Fluid motion over a flat plate.
Air flowing around aeroplane.
Water flowing around submarines.
Boundary layer theory
Boundary Layer
• A thin layer of fluid in the vicinity of boundary whose velocity
is affected due to viscous shear is called as Boundary Layer
• The region normal to the surface, in which velocity gradient
exists is known as Boundary Layer.
Velocity Distribution
Development of boundary layer on a flat plate
Factors affecting the growth of boundary layer
• The distance from the leading edge
• Viscosity of fluid
• The free stream velocity
• Density of fluid
Importance of boundary layer theory
• Calculation of friction drag of bodies in a flow.
• Calculation of pressure drag formed because of boundary
layer separation.
• Answers the important question of what shape a body
must have in order to avoid separation.
Nominal thickness
• It is defined as that distance from the boundary in which the
velocity reaches 99% of the main stream velocity
• Nominal thickness gives an approximate value of the boundary
layer thickness.
• For greater accuracy the boundary layer thickness is defined in
terms of certain mathematical expressions which are the
measures of the effect of boundary layer on the flow.
Displacement Thickness
• It is defined as the distance measured perpendicular from the
actual boundary such that the discharge through this distance
is equal to the reduction in discharge due to boundary layer
formation
Displacement Thickness
Reduction in mass flow rate due
to boundary layer formation
=
Reduction in mass flow rate due
to movement of surface
Consider a strip of height ‘dy’ and width ‘b’
Mass flow rate through the strip =
If there is no surface then Mass
flow rate through the strip =
Reduction in Mass flow rate
through the strip =
Displacement Thickness
Momentum Thickness
• It is defined as the distance measured perpendicular from the
actual boundary such that the momentum through this
distance is equal to the reduction in momentum due to
boundary layer formation
Momentum Thickness
Reduction in momentum flux
due to boundary layer formation
=
Reduction in momentum flux due
to movement of surface
MOMENTUM THICKNESS
Momentum Thickness
Energy Thickness
• It is defined as the distance measured perpendicular from the
actual boundary such that the kinetic energy through this
distance is equal to the reduction in kinetic energy due to
boundary layer formation
Convergent flow- negative pressure gradient
Boundary layer separation
Divergent flow-positive pressure gradient
• Convergent flow-negative
pressure gradient
• Favourable pressure
gradient
• Pressure decreases and
velocity increases
• Fluid particles are
accelerated
• Boundary layer is held in
place
• Divergent flow-positive
pressure gradient
• Adverse pressure gradient
• Pressure increases and
velocity decreases
• Fluid particles are
deaccelerated
• Adverse pressure gradient
may lead to negative
velocity or flow reversal
gradientpressure
favorable,0


x
P
0, adverse
pressure gradient
P
x



Boundary layer separation
Boundary Layer and separation
gradientpressure
favorable,0


x
P
gradientno,0


x
P
0, adverse
pressure gradient
P
x



Flow accelerates Flow decelerates
Constant flow
Flow reversal
free shear layer
highly unstable
Separation point
Effects of separation
• Large amount of energy is lost
• Pressure drag is increased and hence additional resistance to
movement of the body is developed
• Bodies are subjected to lateral vibrations
Methods of avoiding separation
Making slot, suction,blowing
Examples of boundary layer separation
Numerical on Boundary layer
separation
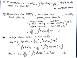
Von-Karman Momentum Integral
Equation
Flow around immersed bodies
Expression for Drag and Lift
Pressure Drag
(or)
Form Drag
Friction Drag
(or)
Skin Drag
(or)
Shear Drag
Skin friction drag and pressure drag
Pressure drag is nearly zero Friction drag is nearly zero
Bluff Body and Streamlined Body
Bluff Body –
The body whose surface does not coincide with the
streamlines when placed in the flow is known as Bluff Body
Flow separation take place much ahead of trailing edge.
Large wake formation zone
Bluff Body and Streamlined Body
Streamlined Body –
The body whose surface coincides with the streamlines when
placed in the flow is known as Streamlined Body
Flow separation take place near the trailing edge.
small wake formation zone
Pressure drag is small
Bluff body
Pressure
Drag
Maximum
Streamline
Body
Pressure
Drag
Minimum
• Drag Coeff For Different Body
Shapes
Terminal Velocity
The maximum constant velocity of a falling body with which
body is travelling is known as terminal velocity
Example- Sphere falling from sufficient height, Parachute with
man
At Terminal velocity
Weight of Body = Drag Force + Buoyant Force
W = FD + FB
A parachutist has a mass of 90 kg and a projected frontal area of 0.30
m2 in free fall. The drag coefficient based on frontal area is found to be
0.75. If the air density is 1.28 kg/m3, the terminal velocity of the
parachutist will be: [IES-1999]
(a) 104.4 m/s (b) 78.3 m/s
(b) (c) 25 m/s (d) 18.5 m/s
Thank You
Questions?

External flows01

  • 1.
    External Flows (Unit-V) • Fluid mechanics • Prof. S. B. Powar • Mechanical Engineering Department
  • 2.
    • Boundary layerformation for flow over Flat plate, boundary layer thickness:-displacement, momentum and energy. • Separation of Boundary Layer and Methods of Controlling. • Drag force on flat plate due to boundary layer formation (Von-Karman momentum integral equation) • Forces on immersed bodies: -Lift and Drag, types of bodies- Bluff, streamline. Terminal velocity, drag and lift on stationary and rotating cylinder. Drag on sphere. Content
  • 3.
    External Flows • Flowsaround the object which is completely surrounded by the fluid e.g. Fluid motion over a flat plate. Air flowing around aeroplane. Water flowing around submarines.
  • 4.
  • 5.
    Boundary Layer • Athin layer of fluid in the vicinity of boundary whose velocity is affected due to viscous shear is called as Boundary Layer • The region normal to the surface, in which velocity gradient exists is known as Boundary Layer.
  • 6.
  • 8.
    Development of boundarylayer on a flat plate
  • 10.
    Factors affecting thegrowth of boundary layer • The distance from the leading edge • Viscosity of fluid • The free stream velocity • Density of fluid
  • 11.
    Importance of boundarylayer theory • Calculation of friction drag of bodies in a flow. • Calculation of pressure drag formed because of boundary layer separation. • Answers the important question of what shape a body must have in order to avoid separation.
  • 12.
    Nominal thickness • Itis defined as that distance from the boundary in which the velocity reaches 99% of the main stream velocity
  • 14.
    • Nominal thicknessgives an approximate value of the boundary layer thickness. • For greater accuracy the boundary layer thickness is defined in terms of certain mathematical expressions which are the measures of the effect of boundary layer on the flow.
  • 15.
    Displacement Thickness • Itis defined as the distance measured perpendicular from the actual boundary such that the discharge through this distance is equal to the reduction in discharge due to boundary layer formation
  • 16.
    Displacement Thickness Reduction inmass flow rate due to boundary layer formation = Reduction in mass flow rate due to movement of surface
  • 17.
    Consider a stripof height ‘dy’ and width ‘b’ Mass flow rate through the strip = If there is no surface then Mass flow rate through the strip = Reduction in Mass flow rate through the strip =
  • 19.
  • 20.
    Momentum Thickness • Itis defined as the distance measured perpendicular from the actual boundary such that the momentum through this distance is equal to the reduction in momentum due to boundary layer formation
  • 21.
    Momentum Thickness Reduction inmomentum flux due to boundary layer formation = Reduction in momentum flux due to movement of surface
  • 22.
  • 23.
  • 24.
    Energy Thickness • Itis defined as the distance measured perpendicular from the actual boundary such that the kinetic energy through this distance is equal to the reduction in kinetic energy due to boundary layer formation
  • 28.
    Convergent flow- negativepressure gradient Boundary layer separation
  • 29.
  • 30.
    • Convergent flow-negative pressuregradient • Favourable pressure gradient • Pressure decreases and velocity increases • Fluid particles are accelerated • Boundary layer is held in place • Divergent flow-positive pressure gradient • Adverse pressure gradient • Pressure increases and velocity decreases • Fluid particles are deaccelerated • Adverse pressure gradient may lead to negative velocity or flow reversal gradientpressure favorable,0   x P 0, adverse pressure gradient P x   
  • 31.
  • 33.
    Boundary Layer andseparation gradientpressure favorable,0   x P gradientno,0   x P 0, adverse pressure gradient P x    Flow accelerates Flow decelerates Constant flow Flow reversal free shear layer highly unstable Separation point
  • 34.
    Effects of separation •Large amount of energy is lost • Pressure drag is increased and hence additional resistance to movement of the body is developed • Bodies are subjected to lateral vibrations
  • 35.
  • 37.
  • 38.
    Examples of boundarylayer separation
  • 39.
    Numerical on Boundarylayer separation
  • 41.
  • 47.
  • 48.
  • 51.
    Pressure Drag (or) Form Drag FrictionDrag (or) Skin Drag (or) Shear Drag
  • 54.
    Skin friction dragand pressure drag Pressure drag is nearly zero Friction drag is nearly zero
  • 56.
    Bluff Body andStreamlined Body Bluff Body – The body whose surface does not coincide with the streamlines when placed in the flow is known as Bluff Body Flow separation take place much ahead of trailing edge. Large wake formation zone
  • 57.
    Bluff Body andStreamlined Body Streamlined Body – The body whose surface coincides with the streamlines when placed in the flow is known as Streamlined Body Flow separation take place near the trailing edge. small wake formation zone Pressure drag is small
  • 58.
  • 59.
    • Drag CoeffFor Different Body Shapes
  • 60.
    Terminal Velocity The maximumconstant velocity of a falling body with which body is travelling is known as terminal velocity Example- Sphere falling from sufficient height, Parachute with man At Terminal velocity Weight of Body = Drag Force + Buoyant Force W = FD + FB A parachutist has a mass of 90 kg and a projected frontal area of 0.30 m2 in free fall. The drag coefficient based on frontal area is found to be 0.75. If the air density is 1.28 kg/m3, the terminal velocity of the parachutist will be: [IES-1999] (a) 104.4 m/s (b) 78.3 m/s (b) (c) 25 m/s (d) 18.5 m/s
  • 61.