EM 203 Thermodynamics//EM208 Thermodynamics I

                                      January 2013 Semester

                                          Mid-Term Test

                    Instruction: Three (3) questions set. Attempt any two (2).

1 (a)    (a) A 0.6 m3 rigid tank initially contains saturated refrigerant-134a vapor at 1100 kPa.
         As a result of heat transfer from the refrigerant, the pressure drops to 360 kPa.
         Determine

         (i) the final temperature, and
         (ii) the amount of refrigerant that has condensed.

b.       Steam flows steadily through a turbine at a rate of 20,000 kg/h, entering at 6 MPa and
         480°C and leaving at 35 kPa as saturated vapor. If the power generated by the turbine
         is 4 MW, determine the rate of heat loss from the steam.

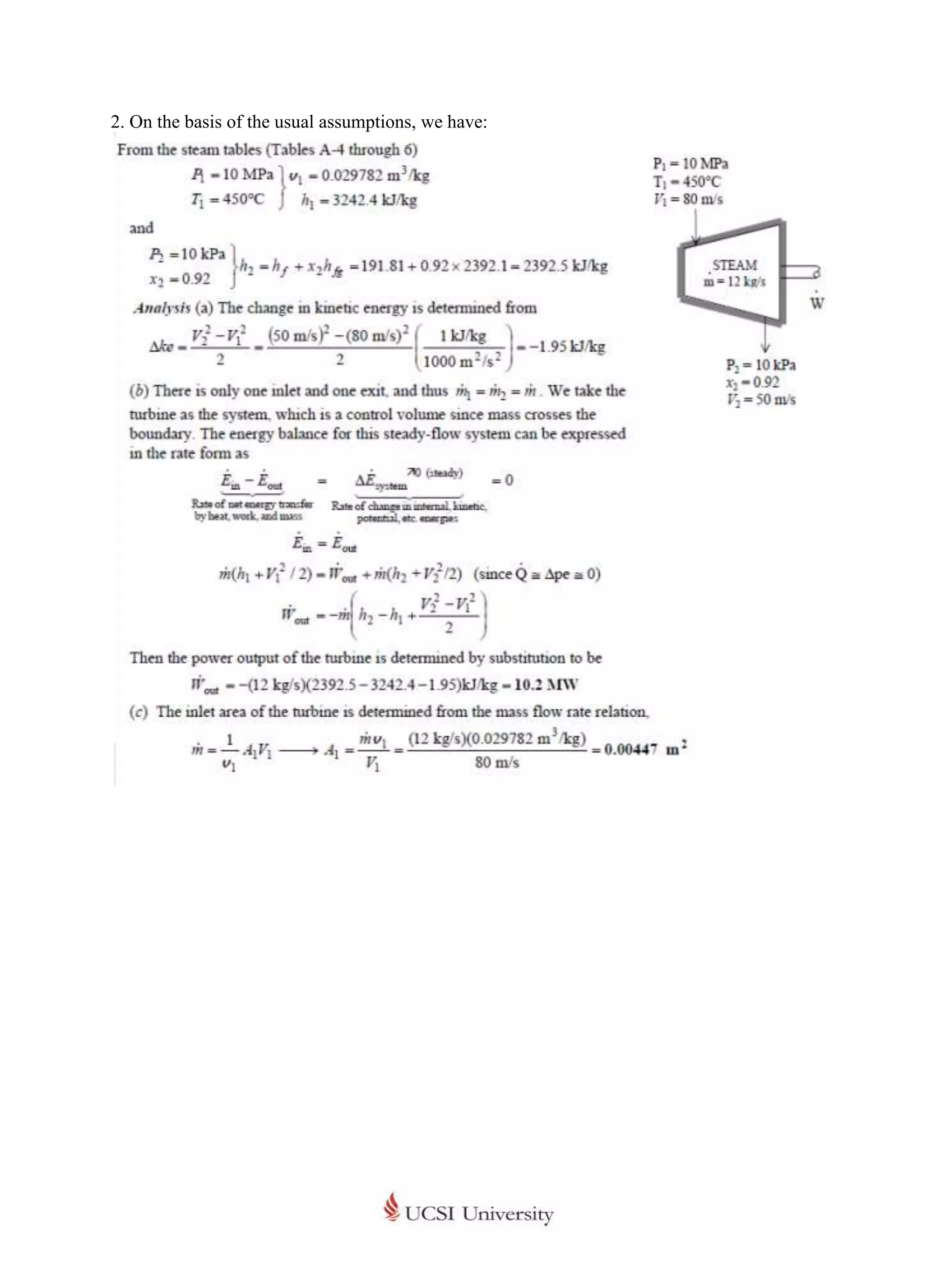
2.       Steam flows steadily through an adiabatic turbine. The inlet conditions of the steam
         are 10 MPa, 450°C, and 80 m/s, and the exit conditions are 10 kPa, 92 percent quality,
         and 50 m/s. The mass flow rate of the steam is 12 kg/s. Determine

         (a) the change in kinetic energy,
         (b) the power output, and
         (c) the turbine inlet area.

3. (a) With the help of a sketch, discuss the proof of the first Carnot principle.

     (b) A Carnot heat engine receives 650 kJ of heat from a source of unknown temperature
     and rejects 250 kJ of it to a sink at 24°C. Determine the temperature of the source and the
     thermal efficiency of the heat engine.
Solution

1. (a) Using data from the refrigerant tables, the properties of R-134a are determined to be

State 1: P = 1100 kPa, saturated vapaor v1 = vg@1100 kPa = (0.020313+0.016715)/2
= 0.01851 m3/kg, u1 = (250.68+253.81)/2 = 252.25 kJ/kg.

State 2: P = 360 kPa, v2 = v1 = 0.01851 m3/kg
vf@360 kPa = 0.0007841 m3/kg, vg@360 kPa = 0.056738 m3/kg

Hence the final state is saturated mixture at 360 kPa. Thus T = 5.8°C

(b) m = V/v = 0.6/0.01851 = 32.4 kg
x2 = (v – vf)/vfg = (0.01851 – 0.0007841)/(0.056738-0.0007841) = 0.32
mf = (1-x)m = 0.32 32.4 = 10.4 kg

b. State 1: 6 MPa, 480°C         h1 = 3375 kJ/kg (Table A-6)




State 2: 35 kPa, saturated vapour       h2 = 2630.4 kJ/kg (Table A-5).

   For a non-adiabatic turbine,



        =    (h1 – h2) –   out


   Substituting

        = (20000/3600) kg/s        (3375 – 2630.4) kJ/kg – 4000 kW

     = 137 kW
2. On the basis of the usual assumptions, we have:
3. (a)




(b)

Em 203 em208_-_midterm_test_solution

  • 1.
    EM 203 Thermodynamics//EM208Thermodynamics I January 2013 Semester Mid-Term Test Instruction: Three (3) questions set. Attempt any two (2). 1 (a) (a) A 0.6 m3 rigid tank initially contains saturated refrigerant-134a vapor at 1100 kPa. As a result of heat transfer from the refrigerant, the pressure drops to 360 kPa. Determine (i) the final temperature, and (ii) the amount of refrigerant that has condensed. b. Steam flows steadily through a turbine at a rate of 20,000 kg/h, entering at 6 MPa and 480°C and leaving at 35 kPa as saturated vapor. If the power generated by the turbine is 4 MW, determine the rate of heat loss from the steam. 2. Steam flows steadily through an adiabatic turbine. The inlet conditions of the steam are 10 MPa, 450°C, and 80 m/s, and the exit conditions are 10 kPa, 92 percent quality, and 50 m/s. The mass flow rate of the steam is 12 kg/s. Determine (a) the change in kinetic energy, (b) the power output, and (c) the turbine inlet area. 3. (a) With the help of a sketch, discuss the proof of the first Carnot principle. (b) A Carnot heat engine receives 650 kJ of heat from a source of unknown temperature and rejects 250 kJ of it to a sink at 24°C. Determine the temperature of the source and the thermal efficiency of the heat engine.
  • 2.
    Solution 1. (a) Usingdata from the refrigerant tables, the properties of R-134a are determined to be State 1: P = 1100 kPa, saturated vapaor v1 = vg@1100 kPa = (0.020313+0.016715)/2 = 0.01851 m3/kg, u1 = (250.68+253.81)/2 = 252.25 kJ/kg. State 2: P = 360 kPa, v2 = v1 = 0.01851 m3/kg vf@360 kPa = 0.0007841 m3/kg, vg@360 kPa = 0.056738 m3/kg Hence the final state is saturated mixture at 360 kPa. Thus T = 5.8°C (b) m = V/v = 0.6/0.01851 = 32.4 kg x2 = (v – vf)/vfg = (0.01851 – 0.0007841)/(0.056738-0.0007841) = 0.32 mf = (1-x)m = 0.32 32.4 = 10.4 kg b. State 1: 6 MPa, 480°C h1 = 3375 kJ/kg (Table A-6) State 2: 35 kPa, saturated vapour h2 = 2630.4 kJ/kg (Table A-5). For a non-adiabatic turbine, = (h1 – h2) – out Substituting = (20000/3600) kg/s (3375 – 2630.4) kJ/kg – 4000 kW = 137 kW
  • 3.
    2. On thebasis of the usual assumptions, we have:
  • 4.