Bariatric surgery and Pregnancy:
a critical review
Roland Devlieger, MD, PhD
Department of obestetrics and gynaecology
University hospitals KU Leuven, Belgium
Overview
• Maternal obesity: management options
• Bariatric surgery
– Indications & procedures
– Effects on fertility
– Effects on pregnancy outcomes
– Effects on later life
• Clinical recommendations
• Research gaps
“Venus in front of the mirror”
PP Rubens, 1613
Treatment of obesity
Treatment of obesity during pregnancy
Physical
activity1
Diet²
MedicationObesity • No registerd safe
products
• Metformin?
• Poor diet, especially in the obese
• Intervention studies show benifit
• Motivation and psychological factors
important
• Reduced in pregnancy
• Some PA contra-indicated
• Intervention studies show some benefit
Pudevigne et al. 2006; ²Guelinckx et al. 2007;Rifas-Shiman et al. 2009; Thangaratinam et al, 2012; Bogaerts et al. 2012
Treatment of obesity before/between pregnancies
Physical
activity1
Diet²
MedicationObesity
Pudevigne et al. 2006; ²Guelinckx et al. 2007;Rifas-Shiman et al. 2009; Thangaratinam et al, 2012; Vinter et al, 2012; Bogaerts et al. 2012
Bariatric
surgery
-Is it safe?
-Who should benefit?
Classification of BS procedures
Le Roux et al. Int J obesitas 2009
Procedure type Restrictive procedures Malabsorptive procedures Mixed procedures
Operation examples Laparoscopic adjustable
gastric banding (LAGB)
Bilio-pancreatic diversion
(BPD)
Roux –en Y- gastric bypass
(RYGB)
Sleeve gastrectomy Bilio-pancreatic diversion with
duodenal switch (BPD-DS)
Vertical banded gastroplasty Jejuno-ileal bypass
Mechanism of weight loss Reduced food intake
• Reduced gastric capacity
• Early satiety
Reduced nutritient absorption
• Small intestine bypassed
Reduced intake and uptake
Schematic examples LAGB BPD-DS RYGB
Mechanism of weight loss after BS
• Complex
• Reduced appetite: changes in gut hormons
– Ghrelin, PYY, GLP-1
• Effects on the reward system of the brain
– Changes in food preferences
– Neural pathways: Arcuate nucleus, Dopamine
Raghavendra et al, Obes Reviews 2012
Bariatric surgery
Indications
• National Heart, Lung, and Blood Institute Expert Panel on the identification, evaluation, and
treatment of obesity for adults
– bariatric surgery be an option for carefully selected patients with clinically severe
obesity (BMI >40 or >35 with comorbid conditions) when less invasive methods of
weight loss have failed and the patient is at high risk for obesity-associated morbidity
and mortality.
• The American Gastroenterological Association (AGA) medical position statement on obesity
– most effective approach for achieving long-term weight loss.
– recommends surgery for patients with a BMI >40, or those with BMI >35 and 1 or more
severe obesity-related medical complication (eg, hypertension, heart failure, or sleep
apnea) if they have been unable to achieve or maintain weight loss with conventional
therapy, have acceptable operative risks, and are able to comply with long-term
treatment and follow-up.
• American College of Preventive Medicine
– policy statement on weight management counseling
– recomments limiting surgical therapy for obesity to severely obese patients, defined as
BMI >40.
Pentin et al. 2005
Bariatric surgery Indications
• Country-specific different reimbursement criteria
• Most often used
– Morbidly obese BMI > 40 kg/m²
– BMI > 35 kg/m² with co-morbidities
– Lifestyle interventions not succesfull
– Operative risk acceptable
• Commercial circuit
Trends in numbers of procedures worldwide
Buchwald & Oien (2009)
Trends in percentages of procedures
- Europe -
0
10
20
30
40
50
60
70
2003 2008 2011
RYGB
AGB
SG
Buchwald & Oien. Obes surg. 2013
Trends in percentages of procedures
- USA/Canada -
0
10
20
30
40
50
60
70
80
90
100
2003 2008 2011
RYGB
AGB
SG
Buchwald & Oien. Obes surg. 2013
Bariatric surgery
• USA 125.000 procedures per year
• About 85 % → women of reproductive age1
• An increasing number of
adolescents, predominantly female²-³
1Samuel at al. 2006; ²Schilling et al. 2008; 3Pallati et al. 2012
Bariatric surgery in adolescents
Pallati et al. 2012
Bariatric Surgery
Effects in a general population
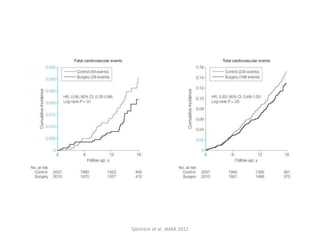
Long term consequences of bariatric surgery
The SOS-study
• Swedish Obese Subject-study
• Non-randomized, prospective controlled study 1987-2001
• Study population: Obese Men and Women
– Bariatric Surgery group (N=2 010)
– Conventional treatment group (N= 2 037)
• End points:
– Primary: overall mortality
– Secondary: myocardial infarction, stroke, cancer, self-reported
sleep apnea, hypertension, dyslipidemia, hyperuricemia
Sjöström et al. NEJM 2007
Weight loss
Sjöström et al. JAMA 2012
Sjöström et al. Lancet Oncol 2009
SOS-study
• Besides weight loss → improvement of co-
morbidities (independently of the type of
surgery)
– Cardiovascular events
– Recover from diabetes
– Hypertension
– Dyslipidemia
– Obstructive sleep apnea
– hyperuricemia
Sjöström et al. N Engl J Med 2007
Cost-utility of BS for morbid obesity in Finland
Mäklin et al. BJS 2011
33.870 vs. 50.495 Euro
Bariatric surgery
complications
• RYGB
– Operative mortalities: 0.5 %1
– Long-term: dumping, stomal stenosis, marginal
ulcers, staple line disruption, internal hernias²
– Nutritional deficiencies: more common³
• Vit B12, B1, C, folate, A, D and K
• Calcium, iron, selenium, zinc and copper
1Buchwald. 2005; ²Woodard. 2004; ³Shankar et al. Nutrition 2010; Stocker. Endocrinol Metab Clin North Am 2003
More recently:
Increased prevalence after bariatric surgery of:
• Substance abuse
• Psychiatric disorders
• Suicide deaths
Suicide rate of 4.1/10,000 person-years (P = 0.03).
Therefore, there is a great need to identify persons at risk and
post-operative psychological monitoring is recommended.
Peterhänsel et al, Obes Rev 2013, King et al, JAMA 2012; Raghavendra et al, 2012
Bariatric surgery
Effects on fertility
Effects on fertility
• In general, weight loss reverses the adverse
effects of obesityand adiposity on fertility
• 50% anovulatory rate of women undergoing BS
up to 71 % regained cyclicity of menstrual blood loss1
• Most cohort studies or case control series →
improvement in spontaneous pregnancy rates
after BS1
Teitelman et al. 2006
Effects on fertility
Abbreviations: FSH Follicular Stimulating Hormone, GnRH Gonadotropin Releasing Hormone, LH Lutenising Hormone, MIS
Müllerian Inhibiting Substance, SHBG Sex Hormone Binding Globuline.
BARIATRIC SURGERY
WEIGHT LOSS
IMPROVED FERTILITY
IMPROVED OVARIAN
FUNCTION
↓MIS
IMPROVED
SELF IMAGE
IMPROVED
SEXUAL ACTIVITY
↓ADIPOSE TISSUE
↓ESTRADIOL ↓INSULIN
↑GnRH
↑LH, FSH
↑SHBG
↓TESTOSTERONE
DECREASED
CONTRACEPTIVE
EFFICACY
Authors (reference) Sample size Design Summary of findings
Bastounis et al. (38) 38 Prospective study Normalization of menstrual cycle irregularities
Rochester et al. (41) 25 Prospective study Partial recovery of luteal function
Merhi et al. (48) 18 Prospective study Drop in plasma BDNF
Manco et al. (49) 10 Prospective study
Increase in free cortisol, FCI, and insulin sensitivity. Decrease in CBG and insulin
secretion
Chikunguwo et al. (51) 86 Prospective study Decrease in TSH. No change in free T4
Moulin de Moraes et al. (52) 72 Prospective study Decrease in TSH. No change in free T4
Eid et al. (66) 24 Historical cohort Spontaneous conception in 5 PCOS women
Deitel et al. (62) 30 Case series Spontaneous conception in 9 women and regulation of the menstrual cycle
Martin et al. (64) 20 Clinical trial Spontaneous conception in 5 women. No obvious fetal or neonatal effects
Bilenka et al. (63) 6 Retrospective study Spontaneous conception in 5 women and reduction in the risk of miscarriage
Friedman et al. (89) 1,136 Retrospective study Reduction in the risk of miscarriage and decrease in pregnancy complications
Marceau et al. (65) 783 Cross-sectional study Normalization of gestational weight changes and reduction of fetal macrosomia
Sheiner et al. (67) 28 Historical cohort
No difference in obstetric characteristics, pregnancy outcome, or perinatal
outcome. Higher rates of fertility treatments
Merhi et al. (73) 16 Prospective study Drop in plasma MIS
Gerrits et al. (39) 40 Prospective study Unintended pregnancies in 2 of 9 morbidly obese women despite OCP use
Victor et al. (40) 7 Prospective study Lower plasma OCP metabolites levels
Kinzl et al. (98) 82 Cross-sectional study Enhanced sexual function
Camps et al. (99) 94 Cross-sectional study Enhanced sexual function
Hafner et al. (100) 83 Cross-sectional study Enhanced sexual function
Merhi et al. Fert Ster 2009
Bariatric surgery and contraception effectiveness
Author Design N Surgery Findings
Gerrits et al. 2003 Prospective study 40 Biliopancreatic diversion 2/9 unplanned pregnancies in OAC
using group
Weiss et al. 2001 Descriptive study 215 LAGB No unplanned pregnancies
Victor et al. 1987 Prospective study 7 Jejuno-ileal bypass Lower OAC serum levels
Anderson et al. 1987 Pharmacokinetic 18 Jejuno-ileal bypass Obesity → reduces steroid levels
Ciangura et al. 2011 Case series 3 RYGB Decreased ENG after implanon
Ciangura et al. 2011 Case series 44 mixed 92% had an IUD placed at time of BS
→ high acceptance
No results on safety
Paulen et al. Contraception 2007
Increased
fertility
Increased
sexual activity
Uncertain
contraceptive
effectiveness
Unplanned
pregnancies
Effects on pregnancy outcomes
Interpretation of the available literature
• Different types of surgery
• Surgical vs. obstetric or neonatal literature
• Varying designs, small study groups, different control
groups
Reviews on the subject
1) Pregnancy and Fertility following bariatric surgery: A systematic review
JAMA 2008; 300:2286-2296
Maggard MA, Yermilov I, Li Z, et al.
2) Pregnancy after bariatric surgery: A comprehensive review
Arch Gynecol Obstet 2008; 277:381-388
Karmon A, Sheiner E.
3) Reproductive outcome after bariatric surgery: A critical review
Human Reproduction Update 2009; 15:189-201
Guelinckx I, Devlieger R, Vansant G.
4) Pregnancy after bariatric surgery: A review
Journal of obesity 2011,
Hezelgrave & Oteng-Ntim.
Bariatric surgery and preeclampsia
Reference Procedure N %
Skull et al. (2004) LAGB 49 vs
same with 31 preoperative pregancies
0.0 6.4 ↘
Dixon et al. (2005) LAGB 79 vs
1) pre-LAGB pregnancies
2) Obese matched controls
5.0 1) 28.0
2) 25.0
↘
Ducarme et al. (2007) LAGB 13 vs
414 non LAGB obese
0.0 3.1 ↘
Patel et al. (2008) RYGB 25 vs
188 non-obese
39 obese
2 severly obese
=
Lapolla et al. (2010) LAGB 83 vs
1) 120 morbidly obese
2) 858 normal weight
27 vs
27 pre-LAGB in same women
34 morbidly obese vs
45 post-LAGB no longer morbidly obsese
12.0
7.4
14.7
1) 20.8
2) 2.3
14.8
11.1
↘
Bariatric surgery and GDM
Reference Procedure N %
Skull et al. (2004) LAGB 49 vs
same with 31 preoperative pregnancies
8.0 27.0 ↘
Dixon et al. (2005) LAGB 79 vs
1) pre-LAGB pregnancies
2) Obese matched controls
6.3 1) 15.0
2) 19.0
↘
Ducarme et al. (2007) LAGB 13 vs
414 non LAGB obese
0.0 22.1 ↘
Patel et al. (2008) RYGB 25 vs
188 non-obese
39 obese
2 severly obese
=
Lapolla et al. (2010) LAGB - 83 vs
1) 120 morbidly obese
2) 858 normal weight
- 27 vs
27 pre-LAGV in same women
- 34 morbidly obese vs
45 post-LAGB no longer morbidly obese
6.0
7.4
11.8
1) 50.0
2) /
7.4
2.2
↘
Lesko et al. (2012) Mixture 70 vs
1) 140 (BMI within 6 points of average
presurgery weight)
2) 140 (BMI within 6 points of average
prepregnancy BMI)
0 1) 16.4
2) 9.3
↘
Bariatric surgery and macrosomia
Reference Procedure N %
Sheiner et al. (2004) Mixture 298 vs
158 912 no BS
9.4 4.6 ↗
Marceau et al. (2004) BPD 251 vs
1 577 before surgery
7.7 34.8 ↘
Dixon et al. (2005) LAGB 79 vs
1) pre-LAGB pregnancies
2) Obese matched controls
11.4 17.7 ↘
Ducarme et al. (2007) LAGB 13 vs
414 non LAGB obese
7.7 14.6 ↘
Patel et al. (2008) RYGB 26 vs
1) 188 non-obese
2) 39 obese
3) 2 severly obese
↘
Weintraub et al. (2008) Mixture 354 vs
301
3.2 7.6 ↘
Lesko et al. (2012) Mixture 70 vs
1) 140 (BMI within 6 points of average
presurgery weight)
2) 140 (BMI within 6 points of average
prepregnancy BMI)
4.3 1) 18.1
2) 12.9
↘
Bariatric surgery and C-section
Reference Procedure N %
Sheiner et al. (2004) Mixture 298 vs
158 912 no BS
9.4 4.6 ↗
Marceau et al. (2004) BPD 251 vs
1 577 before surgery
7.7 34.8 ↘
Ducarme et al. (2007) LAGB 13 vs
414 non LAGB obese
7.7 14.6 ↘
Patel et al. (2008) RYGB 26 vs
188 non-obese
39 obese
2 severly obese
12.4 15.2 =
Bariatric surgery and IUGR
Reference Procedure N %
Sheiner et al. (2004) Mixture 298 vs
158 912 no BS
5.0 2.0 ↗
Weintraub et al. (2008) Mixture 354 vs
301
3.9 2.3 ↗
Santulli et al. (2010) RYGB 24 vs
1) 120 normal BMI group
2) 120 BMI matched control group
4.2 1) 0
2) 0
↗
Kjaer et al, unpublished RYGB 286 vs 1070 matched controls 7.7 2.8 ↗
Bariatric surgery and prematurity
Reference Procedure N %
Marceau et al. (2004) BPD 251 vs
1 577 before surgery
16.7 13.6 =
Skull et al. (2004) LAGB 49 vs
31 previous non-LAGB
4 3 =
Dixon et al. (2005) LAGB 79 first postoperative pregnancies vs
1) 40 penultimate preoperative pregnancies
2) 79 obese women, matched for parity, age
and BMI
3) 61 000 community controls
6.3 1) NR
2) 12.7
3) 7.8
=
Ducarme et al. (2007) LAGB 13 vs
414 obese
7.7 7.1 =
Patel et al. (2008) RYGB 25 vs
1) 188 non-obese
2) 39 obese
3) 2 severly obese
26.9 1) 20.2
2) 17.9
3) 25.9
=
Wax et al. (2008) GB 38 vs
76 matched for age and prior CS
26.3 22.4 =
Lapolla et al. (2010) LAGB 83 vs
1) 120 no LAGB obese
2) 858 normal controls
17.6 1) NS
2) 3.6
↗
Bariatric surgery and miscarriage
Reference Procedure N %
Bilenka et al. (1995) VBG 14 vs
18 pre-operative
7 39 ↘
Friedman et al. (1995) BPD 239 vs
124 pre-operative
28 21 ↘
Marceau et al. (2004) BPD 251 vs
1 577 before surgery
21.6 26 =
Bariatric surgery and offspring obesity
Reference Procedure N Severe obesity
%
Smith et al, 2009 BPD 49 mothers
111 Children 2.5-25y
54 Before BS
57 After BS
11 35 ↘
Summary
Complication Effect of bariatric surgery
Pre-eclampsia ↘
Gestational diabetes ↘
Macrosomia ↘
Childhood obesity (↘)
IUGR ↗
Miscarriage =
Prematurity =
C-section =
Transgenerational effects of maternal obesity and the effect of BS
Obese mother
Macrosomic Baby
Obese Child
Obese adolescent SGA baby
Increased metabolic risk Increased metabolic risk
Postnatal Overnutrition
Risk Factors for IUGR following
bariatric surgery
• Insufficient weight gain (<IOM)
• Persistent vomiting
• Pregnancy during period of rapid weight loss
• BPD>RYGB>LAGB
Bariatric surgery and pregnancy:
(potential) risks
• IUGR/SGA
• Surgical complications
• Nutritional deficiencies
• Psychological problems and substance abuse
Surgical complications
• Small bowel obstruction due to internal herniation, volvulus, leak, …
• Not unfrequent (2-11%)
Delay in diagnosis and treatment
• Symptomatology frequent in pregnancy
• Diagnostic procedures delayed in pregnancy
• Changed anatomy
High mortality
Guelinckx et al, 2009 ; Wax JR et al, 2013
Reference Type of
surgery
Interval Maternal
complication
Fetal
complication
Long-term outcome
Wang et al. (2007) RYGB 2 months Internal hernia Uncomplicated
Wax et al. (2007a,
b)
RYGB 12 months Intussusception Uncomplicated
Bellanger et al.
(2006)
RYGB 24 months Small bowel obstruction Uncomplicated
Ahmed and
O’Malley (2006)
RYGB 8 months Internal hernia Uncomplicated
Baker and Kothari
(2005)
RYGB 4 months Internal hernia Uncomplicated
Loar et al. (2005) RYGB NA Small bowel volvulus Preterm delivery Maternal death
Kakarla et al. (2005)RYGB 9 months Internal herniation Preterm delivery Uncomplicated
Kakarla et al. (2005)RYGB 30 months Small bowel herniation Uncomplicated
Charles et al. (2005)RYGB 6 months Small bowel herniation Uncomplicated
Moore et al. (2004) RYGB 18 months Small bowel herniation Maternal + fetal deaths
Graubard et al.
(1988)
BPD 3 years Small bowel obstruction Fetal death Maternal + fetal deaths
Guelinckx et al, Hum Reprod Update 2009
Renault KM et al, Acta Obstet Gynecol Scand 2012
• Lap RYGB
• 35 weeks: abdominal pain, nausea, vomiting,
diarrhea
• S/C and exploration
• Maternal mortality 2 days post-caesarean
• COD: Small bowel necrosis due to internal
herniation with massive septic shock
Maternal mortality in Denmark
Surgical complications:
recommendations for care of women with history of RYGB
• Increase awareness of patients and staff
• Abdominal complaints should be considered SBO
unless proven otherwise.
• Usually surgical management required
• Inspect entire small bowel in case of surgery or C-
section for abdominal complaints
• CT with contrast is preferred imaging method
Wax JR AJOG 2013
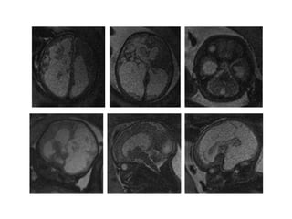
Vitamin K deficient ICH: Cases UH Leuven
Case 1 Case 2 Case 3 Case 4 Case 5 Case 6
Type of bariatric surgery Gastric banding Gastric banding Gastric banding Biliopancreatic diversion Duodenal switch Gastric banding
Laboratory values mother
PT 46.8% (70–150%) Pseudo-Bartter
Vitamin K 0.0008 nmol/L
(0.8–5.3 nmol/L)
PT 12 s (9.0-12.0)
aPTT 29.3 s (24–31 s)
K+ 2.29 mmol/L (3.5–5.1
mmol/L)
aPTT 29 s (24–31 s)
f II 56% (70–130%)
HCO3
− 29.7 mmol/L (22–
29 mmol/L)
f II 56% (70–130%)
f V 121% (70–130%)
f VII 40% (70–130%) f VII 40% (70–130%)
f IX 75 % (70–130%)
f X 27% (70–130%) f X 27% (70–130%)
Vitamin K1 0.2 nmol/L Vitamin K1 0.2 nmol/L
(0.8–5.3 nmol/L) (0.8–5.3 nmol/L)
Laboratory values infants
PT < 10% (70–100%) Pseudo-Bartter PT 16.8% (70–100%) PT 53% (70–100%) PT 75 s (70–100%)
aPTT 121.2 s (24–38 s)
K+ 2.42 mmol/L (3.5–5.1
mmol/L)
aPTT 93.4 s (24–38 s) aPTT 38 s (24–38 s) aPTT 121 s (24–38 s)
Fibrinogen 1.29 g/L (2.00–
3.80 g/L)
Fibrinogen 0.93 g/L (2.00–
3.80 g/L)
f II 13% (70–130%)
HCO3
− 27.8 mmol/L (22–
29 mmol/L)
f II 18% (70–130%) f II
f V 78% (70–130%) f V 50% (70–130%)
f VII 2.9% (70–130%) f VII 2.6% (70–130%)
f VII 1-13%
(70–130%)
f IX 0.8% (70–130%) f IX 8% (70–130%) f IX
f X 4.2% (70–130%) f X 13% (70–130%) f X
Neonatal outcome Died Died Mental retardation Mental retardation Died Died
Eerdekens A, Eur J Pediatr 2010;169(2):191-6
Van Mieghem T, Obstet Gynecol 2008;112:434-6
*
*
* *
*
PABAS Study design
• Prospective, multicenter trial
• Inclusion: pregnant women with a history of
bariatric surgery
– singleton pregnancy
– ≤14+6 weeks GA
– Informed consent
• April 2009- Janary 2011
PABAS-study: aims
• Life style during pregnancy
• Diet: 7 days records, Healthy eating index (HEI)
• Physical activity: Kaiser questionnaire
• Nutritional deficiencies
• Effects of tailored substitution
• Comparison with contemporary controls
Guelinckx et al, 2009
Results:
dietary habits, nutritient level, 1st trimester
DRI
Restrictive category
N =19
Malabsorption category
N =32
P-value
Energy intake (kcal/day) - 1915 ± 399 1794 ± 317 0.369
Protein intake (E%) 9-10 15.2 ± 1.5 15.6 ± 2.3 0.544
Carbohydrate intake (E%) > 55 48.5 ± 5.5 46.2 ± 3.9 0.196
Fat intake (E%) 30-35 36.8 ± 4.7 38.2 ± 3.8 0.363
Saturated fat intake (E%) < 10 14.0 ± 2.6 14.3 ± 2.1 0.732
Dietary fibre (g/day) 30 17.8 ± 4.0 17.0 ± 5.0 0.623
Calcium intake (mg/day) 1200 771 ± 296 686 ± 220 0.385
Iron intake (mg/day) 10 10 ± 2 9 ± 2 0.171
Fruits (pieces/day) 2-3 0.8 ± 0.4 0.8 ± 0.7 0.995
Vegetables (g/day) 300 161 ± 54 132 ± 40 0.116
Continues variables: ANOVA; Mean ± SD
Results: dietary habits
0
10
20
30
40
50
60
70
80
90
Restrictive cat. Malabsorption cat.
Healthy Eating Index
1st trimester
2nd trimester
No sign difference
according to repeated measures ANOVA with surgery group and trimester
as between- and within-subject variable respectively
1st 1st2nd 2nd
0
10
20
30
40
50
60
70
80
90
100
Vit A deficient Vit E deficient Vit D deficient < 7 µg/l Vit D 7-20 µg/l Vit K deficient
1st trimester
Results: fat soluble vitamins
Proportion of patients with FS vitamin deficiency
1st trimester
2nd trimester
3rd trimester
0
10
20
30
40
50
60
70
80
90
100
Vit A
Vit E
Vit D < 7 µg/l
Vit D 7-20 µg/l
Vit K
Restrictive types
1st trimester
2nd trimester
3rd trimester
0
10
20
30
40
50
60
70
80
90
100
Vit A
Vit E
Vit D < 7 µg/l
Vit D 7-20 µg/l
Vit K
Malabsorption types
Proportion of patients with FS vitamin deficiency
Results: Pregnancy outcome
Restrictive
category
N =19
Malabsorption
category
N =32
Obese control category
N = 32
P-value
GWG 13.4 ± 7.2 13.2 ± 6.6 9.0 7.1 0.046
Birth weight 3.4 ± 0.5 3.0 ± 0.6 3.4 0.5 0.007
Macrosomia (%) 3 (16) 1 (3) 2 (6) ns
IUGR 0 (0) 1 (3) 0 (0) ns
Chronic HT 0 (0) 0 (0) 8 (26) 0.001
PIH 2 (12) 3 (13) 9 (29) 0.001
PET 0 (0) 1 (3) 2 (6) ns
GDM 1 4) 1 (3) 2 (6) ns
Intestinal hernia 0 (0) 1 (3) 0 (0) ns
Miscarriages 1 (4) (TOP NTD) 1 (3) 2 (6) ns
ICH 0 (0) 0 (0) 0 (0) ns
Nutritional deficiencies
Nutritional deficiencies Maternal complications Fetal/neonatal
complications
Iron Anemia IUGR
Proteins Odema, weight loss IUGR
Vit B12 Anemia Pancytopenia,
developmental delay
Folic acid Anemia Neural tube defects
Vit D Osteomalacia Hypocalcemia, rickets
Vit A Microphthalmia, retinal
damage
Vit K Coagulation disorders Cerebral hemorrhage,
IUD
Calcium Hypocalcemia Hypocalcemia
Devlieger & Guelinckx, Maternal obesity 2012
NTD after Bariatric surgery
• Over 15 cases in the literature!
• More frequent than in the obese?
• Relation with folic acid deficiency?
Pelizzo et al, Prenat Diagn 2013; Fonte et al, IASO-TOS 2013
Case Age
(y)
GA
(w)
Defect Family
History
DM Antiseizure
Medication
Malnutrition
Fonte
2013
27 20 Spine dysraphia with
sacral bone agenesis
no no no yes
Pelizzo
2013
40 22 Spinal dysraphia with
sacral bone agenesis
no no no yes
Substance abuse in pregnancy
Bariatric procedure
N = 54 (43.5%)
Control group
N = 70 (56.5%)
P-value
Maternal age 30.0 ± 4.8 29.1 ± 4.3 0.154
BMI 28.3 ± 5.5 28.1 ±2.5 0.274
Nulliparae 21 (39.6%) 32 (45.7%) 0.585
Smoking 13 (24.5%) 4 (5.7%) 0.003
Alcohol use
Trimester 1
Trimester 2
5 (9.4%)
5 (9.4%)
11 (15.7%)
11 (15.7%)
0.305
0.950
G. Jans et al, ECO 2013
Recommendations for clinical care
• Preconception
• Pregnancy
– Early
– Late
• Postpartum period
Devlieger and Guelinckx, 2012
Preconception
• Delay pregnancy until after period of rapid weight loss
(1 year minimum)
• Provide effective contraception
• Involve lifestyle coach
• Evaluate nutritional state, correct where necessary
• Start folic acid (4mg)
• Advice rapid pregnancy test if sec amenorrhea
Devlieger and Guelinckx 2012
Clinical recommendations
First trimester
• Involve lifestyle coach
• Evaluate nutritional state, correct where
necessary
• Continue folic acid (4mg if obese) untill 12 weeks
• Adjustable balloon: not systematically open, open
if vomiting regularly (DD morning sickness) →
active band management
Devlieger and Guelinckx 2012
Clinical recommendations
Pregnancy
• Advice GWG according to IOM guidelines for preconception BMI
– Overweight: 7,0 to 11,5 kg (15 to 25 lbs)
– Obesity: 5,0 to 9,0 kg (11 to 20 lbs)
• Pay attention to symptoms of surgical complications
• Detailed morphologic scanning at 12-20-30 weeks
– Attention for growth, ossification, ICH
• Screen for GDM
– GCT-OGTT: dumping syndrome (50-95 %)
– Fasting glucose
– Day-profile
• Re-evaluate nutritional deficiencies every trimester
Devlieger and Guelinckx 2012
Clinical recommendations
Postpartum
• Advice and support breastfeeding?
• Inform pediatrician
• Follow-up and correction of nutritional deficiencies
• Evaluate for signs of depression and alcohol abusus
• Advice life-long coaching of lifestyle
Devlieger and Guelinckx, 2012
Research Gaps Include:
• Micronutrient deficiencies and
supplementation
• Link with congenital malformations esp NTD
• Breast feeding composition
• Contraception efficacy
• Timing of pregnancy after surgery
• Long term effects on the offspring
Devlieger and Guelinckx, 2012
AURORA study
• Design
– Multicentric prospective cohort study
• Study population
– Women of reproductive age (18-45 yr)
– Planning BS or had BS
Contact www.aurorastudy.org
roland.devlieger@uzleuven.be
Thank you
Goele Jans
Isabelle Guelinckx
Annick Bogaerts
Sarah Bel
Sander Galjaard
Sarah Pauwels
Rivka Turcksin
Annelies Matheussen
Guy Martens
Evelien Martens
Greet Vansant
Andre Van Assche
Dirk Timmerman
Participating centres, care-givers and patients
Studiecentrum
Perinatale Epidemiologie (SPE)

Devlieger o&p2013

  • 1.
    Bariatric surgery andPregnancy: a critical review Roland Devlieger, MD, PhD Department of obestetrics and gynaecology University hospitals KU Leuven, Belgium
  • 2.
    Overview • Maternal obesity:management options • Bariatric surgery – Indications & procedures – Effects on fertility – Effects on pregnancy outcomes – Effects on later life • Clinical recommendations • Research gaps “Venus in front of the mirror” PP Rubens, 1613
  • 3.
  • 4.
    Treatment of obesityduring pregnancy Physical activity1 Diet² MedicationObesity • No registerd safe products • Metformin? • Poor diet, especially in the obese • Intervention studies show benifit • Motivation and psychological factors important • Reduced in pregnancy • Some PA contra-indicated • Intervention studies show some benefit Pudevigne et al. 2006; ²Guelinckx et al. 2007;Rifas-Shiman et al. 2009; Thangaratinam et al, 2012; Bogaerts et al. 2012
  • 5.
    Treatment of obesitybefore/between pregnancies Physical activity1 Diet² MedicationObesity Pudevigne et al. 2006; ²Guelinckx et al. 2007;Rifas-Shiman et al. 2009; Thangaratinam et al, 2012; Vinter et al, 2012; Bogaerts et al. 2012 Bariatric surgery -Is it safe? -Who should benefit?
  • 6.
    Classification of BSprocedures Le Roux et al. Int J obesitas 2009 Procedure type Restrictive procedures Malabsorptive procedures Mixed procedures Operation examples Laparoscopic adjustable gastric banding (LAGB) Bilio-pancreatic diversion (BPD) Roux –en Y- gastric bypass (RYGB) Sleeve gastrectomy Bilio-pancreatic diversion with duodenal switch (BPD-DS) Vertical banded gastroplasty Jejuno-ileal bypass Mechanism of weight loss Reduced food intake • Reduced gastric capacity • Early satiety Reduced nutritient absorption • Small intestine bypassed Reduced intake and uptake Schematic examples LAGB BPD-DS RYGB
  • 7.
    Mechanism of weightloss after BS • Complex • Reduced appetite: changes in gut hormons – Ghrelin, PYY, GLP-1 • Effects on the reward system of the brain – Changes in food preferences – Neural pathways: Arcuate nucleus, Dopamine Raghavendra et al, Obes Reviews 2012
  • 8.
    Bariatric surgery Indications • NationalHeart, Lung, and Blood Institute Expert Panel on the identification, evaluation, and treatment of obesity for adults – bariatric surgery be an option for carefully selected patients with clinically severe obesity (BMI >40 or >35 with comorbid conditions) when less invasive methods of weight loss have failed and the patient is at high risk for obesity-associated morbidity and mortality. • The American Gastroenterological Association (AGA) medical position statement on obesity – most effective approach for achieving long-term weight loss. – recommends surgery for patients with a BMI >40, or those with BMI >35 and 1 or more severe obesity-related medical complication (eg, hypertension, heart failure, or sleep apnea) if they have been unable to achieve or maintain weight loss with conventional therapy, have acceptable operative risks, and are able to comply with long-term treatment and follow-up. • American College of Preventive Medicine – policy statement on weight management counseling – recomments limiting surgical therapy for obesity to severely obese patients, defined as BMI >40. Pentin et al. 2005
  • 9.
    Bariatric surgery Indications •Country-specific different reimbursement criteria • Most often used – Morbidly obese BMI > 40 kg/m² – BMI > 35 kg/m² with co-morbidities – Lifestyle interventions not succesfull – Operative risk acceptable • Commercial circuit
  • 10.
    Trends in numbersof procedures worldwide Buchwald & Oien (2009)
  • 11.
    Trends in percentagesof procedures - Europe - 0 10 20 30 40 50 60 70 2003 2008 2011 RYGB AGB SG Buchwald & Oien. Obes surg. 2013
  • 12.
    Trends in percentagesof procedures - USA/Canada - 0 10 20 30 40 50 60 70 80 90 100 2003 2008 2011 RYGB AGB SG Buchwald & Oien. Obes surg. 2013
  • 13.
    Bariatric surgery • USA125.000 procedures per year • About 85 % → women of reproductive age1 • An increasing number of adolescents, predominantly female²-³ 1Samuel at al. 2006; ²Schilling et al. 2008; 3Pallati et al. 2012
  • 14.
    Bariatric surgery inadolescents Pallati et al. 2012
  • 15.
    Bariatric Surgery Effects ina general population
  • 16.
    Long term consequencesof bariatric surgery The SOS-study • Swedish Obese Subject-study • Non-randomized, prospective controlled study 1987-2001 • Study population: Obese Men and Women – Bariatric Surgery group (N=2 010) – Conventional treatment group (N= 2 037) • End points: – Primary: overall mortality – Secondary: myocardial infarction, stroke, cancer, self-reported sleep apnea, hypertension, dyslipidemia, hyperuricemia
  • 17.
    Sjöström et al.NEJM 2007 Weight loss
  • 18.
  • 19.
    Sjöström et al.Lancet Oncol 2009
  • 20.
    SOS-study • Besides weightloss → improvement of co- morbidities (independently of the type of surgery) – Cardiovascular events – Recover from diabetes – Hypertension – Dyslipidemia – Obstructive sleep apnea – hyperuricemia Sjöström et al. N Engl J Med 2007
  • 21.
    Cost-utility of BSfor morbid obesity in Finland Mäklin et al. BJS 2011 33.870 vs. 50.495 Euro
  • 22.
    Bariatric surgery complications • RYGB –Operative mortalities: 0.5 %1 – Long-term: dumping, stomal stenosis, marginal ulcers, staple line disruption, internal hernias² – Nutritional deficiencies: more common³ • Vit B12, B1, C, folate, A, D and K • Calcium, iron, selenium, zinc and copper 1Buchwald. 2005; ²Woodard. 2004; ³Shankar et al. Nutrition 2010; Stocker. Endocrinol Metab Clin North Am 2003
  • 23.
    More recently: Increased prevalenceafter bariatric surgery of: • Substance abuse • Psychiatric disorders • Suicide deaths Suicide rate of 4.1/10,000 person-years (P = 0.03). Therefore, there is a great need to identify persons at risk and post-operative psychological monitoring is recommended. Peterhänsel et al, Obes Rev 2013, King et al, JAMA 2012; Raghavendra et al, 2012
  • 24.
  • 25.
    Effects on fertility •In general, weight loss reverses the adverse effects of obesityand adiposity on fertility • 50% anovulatory rate of women undergoing BS up to 71 % regained cyclicity of menstrual blood loss1 • Most cohort studies or case control series → improvement in spontaneous pregnancy rates after BS1 Teitelman et al. 2006
  • 26.
    Effects on fertility Abbreviations:FSH Follicular Stimulating Hormone, GnRH Gonadotropin Releasing Hormone, LH Lutenising Hormone, MIS Müllerian Inhibiting Substance, SHBG Sex Hormone Binding Globuline. BARIATRIC SURGERY WEIGHT LOSS IMPROVED FERTILITY IMPROVED OVARIAN FUNCTION ↓MIS IMPROVED SELF IMAGE IMPROVED SEXUAL ACTIVITY ↓ADIPOSE TISSUE ↓ESTRADIOL ↓INSULIN ↑GnRH ↑LH, FSH ↑SHBG ↓TESTOSTERONE DECREASED CONTRACEPTIVE EFFICACY
  • 27.
    Authors (reference) Samplesize Design Summary of findings Bastounis et al. (38) 38 Prospective study Normalization of menstrual cycle irregularities Rochester et al. (41) 25 Prospective study Partial recovery of luteal function Merhi et al. (48) 18 Prospective study Drop in plasma BDNF Manco et al. (49) 10 Prospective study Increase in free cortisol, FCI, and insulin sensitivity. Decrease in CBG and insulin secretion Chikunguwo et al. (51) 86 Prospective study Decrease in TSH. No change in free T4 Moulin de Moraes et al. (52) 72 Prospective study Decrease in TSH. No change in free T4 Eid et al. (66) 24 Historical cohort Spontaneous conception in 5 PCOS women Deitel et al. (62) 30 Case series Spontaneous conception in 9 women and regulation of the menstrual cycle Martin et al. (64) 20 Clinical trial Spontaneous conception in 5 women. No obvious fetal or neonatal effects Bilenka et al. (63) 6 Retrospective study Spontaneous conception in 5 women and reduction in the risk of miscarriage Friedman et al. (89) 1,136 Retrospective study Reduction in the risk of miscarriage and decrease in pregnancy complications Marceau et al. (65) 783 Cross-sectional study Normalization of gestational weight changes and reduction of fetal macrosomia Sheiner et al. (67) 28 Historical cohort No difference in obstetric characteristics, pregnancy outcome, or perinatal outcome. Higher rates of fertility treatments Merhi et al. (73) 16 Prospective study Drop in plasma MIS Gerrits et al. (39) 40 Prospective study Unintended pregnancies in 2 of 9 morbidly obese women despite OCP use Victor et al. (40) 7 Prospective study Lower plasma OCP metabolites levels Kinzl et al. (98) 82 Cross-sectional study Enhanced sexual function Camps et al. (99) 94 Cross-sectional study Enhanced sexual function Hafner et al. (100) 83 Cross-sectional study Enhanced sexual function Merhi et al. Fert Ster 2009
  • 28.
    Bariatric surgery andcontraception effectiveness Author Design N Surgery Findings Gerrits et al. 2003 Prospective study 40 Biliopancreatic diversion 2/9 unplanned pregnancies in OAC using group Weiss et al. 2001 Descriptive study 215 LAGB No unplanned pregnancies Victor et al. 1987 Prospective study 7 Jejuno-ileal bypass Lower OAC serum levels Anderson et al. 1987 Pharmacokinetic 18 Jejuno-ileal bypass Obesity → reduces steroid levels Ciangura et al. 2011 Case series 3 RYGB Decreased ENG after implanon Ciangura et al. 2011 Case series 44 mixed 92% had an IUD placed at time of BS → high acceptance No results on safety Paulen et al. Contraception 2007 Increased fertility Increased sexual activity Uncertain contraceptive effectiveness Unplanned pregnancies
  • 29.
    Effects on pregnancyoutcomes Interpretation of the available literature • Different types of surgery • Surgical vs. obstetric or neonatal literature • Varying designs, small study groups, different control groups
  • 30.
    Reviews on thesubject 1) Pregnancy and Fertility following bariatric surgery: A systematic review JAMA 2008; 300:2286-2296 Maggard MA, Yermilov I, Li Z, et al. 2) Pregnancy after bariatric surgery: A comprehensive review Arch Gynecol Obstet 2008; 277:381-388 Karmon A, Sheiner E. 3) Reproductive outcome after bariatric surgery: A critical review Human Reproduction Update 2009; 15:189-201 Guelinckx I, Devlieger R, Vansant G. 4) Pregnancy after bariatric surgery: A review Journal of obesity 2011, Hezelgrave & Oteng-Ntim.
  • 31.
    Bariatric surgery andpreeclampsia Reference Procedure N % Skull et al. (2004) LAGB 49 vs same with 31 preoperative pregancies 0.0 6.4 ↘ Dixon et al. (2005) LAGB 79 vs 1) pre-LAGB pregnancies 2) Obese matched controls 5.0 1) 28.0 2) 25.0 ↘ Ducarme et al. (2007) LAGB 13 vs 414 non LAGB obese 0.0 3.1 ↘ Patel et al. (2008) RYGB 25 vs 188 non-obese 39 obese 2 severly obese = Lapolla et al. (2010) LAGB 83 vs 1) 120 morbidly obese 2) 858 normal weight 27 vs 27 pre-LAGB in same women 34 morbidly obese vs 45 post-LAGB no longer morbidly obsese 12.0 7.4 14.7 1) 20.8 2) 2.3 14.8 11.1 ↘
  • 32.
    Bariatric surgery andGDM Reference Procedure N % Skull et al. (2004) LAGB 49 vs same with 31 preoperative pregnancies 8.0 27.0 ↘ Dixon et al. (2005) LAGB 79 vs 1) pre-LAGB pregnancies 2) Obese matched controls 6.3 1) 15.0 2) 19.0 ↘ Ducarme et al. (2007) LAGB 13 vs 414 non LAGB obese 0.0 22.1 ↘ Patel et al. (2008) RYGB 25 vs 188 non-obese 39 obese 2 severly obese = Lapolla et al. (2010) LAGB - 83 vs 1) 120 morbidly obese 2) 858 normal weight - 27 vs 27 pre-LAGV in same women - 34 morbidly obese vs 45 post-LAGB no longer morbidly obese 6.0 7.4 11.8 1) 50.0 2) / 7.4 2.2 ↘ Lesko et al. (2012) Mixture 70 vs 1) 140 (BMI within 6 points of average presurgery weight) 2) 140 (BMI within 6 points of average prepregnancy BMI) 0 1) 16.4 2) 9.3 ↘
  • 33.
    Bariatric surgery andmacrosomia Reference Procedure N % Sheiner et al. (2004) Mixture 298 vs 158 912 no BS 9.4 4.6 ↗ Marceau et al. (2004) BPD 251 vs 1 577 before surgery 7.7 34.8 ↘ Dixon et al. (2005) LAGB 79 vs 1) pre-LAGB pregnancies 2) Obese matched controls 11.4 17.7 ↘ Ducarme et al. (2007) LAGB 13 vs 414 non LAGB obese 7.7 14.6 ↘ Patel et al. (2008) RYGB 26 vs 1) 188 non-obese 2) 39 obese 3) 2 severly obese ↘ Weintraub et al. (2008) Mixture 354 vs 301 3.2 7.6 ↘ Lesko et al. (2012) Mixture 70 vs 1) 140 (BMI within 6 points of average presurgery weight) 2) 140 (BMI within 6 points of average prepregnancy BMI) 4.3 1) 18.1 2) 12.9 ↘
  • 34.
    Bariatric surgery andC-section Reference Procedure N % Sheiner et al. (2004) Mixture 298 vs 158 912 no BS 9.4 4.6 ↗ Marceau et al. (2004) BPD 251 vs 1 577 before surgery 7.7 34.8 ↘ Ducarme et al. (2007) LAGB 13 vs 414 non LAGB obese 7.7 14.6 ↘ Patel et al. (2008) RYGB 26 vs 188 non-obese 39 obese 2 severly obese 12.4 15.2 =
  • 35.
    Bariatric surgery andIUGR Reference Procedure N % Sheiner et al. (2004) Mixture 298 vs 158 912 no BS 5.0 2.0 ↗ Weintraub et al. (2008) Mixture 354 vs 301 3.9 2.3 ↗ Santulli et al. (2010) RYGB 24 vs 1) 120 normal BMI group 2) 120 BMI matched control group 4.2 1) 0 2) 0 ↗ Kjaer et al, unpublished RYGB 286 vs 1070 matched controls 7.7 2.8 ↗
  • 36.
    Bariatric surgery andprematurity Reference Procedure N % Marceau et al. (2004) BPD 251 vs 1 577 before surgery 16.7 13.6 = Skull et al. (2004) LAGB 49 vs 31 previous non-LAGB 4 3 = Dixon et al. (2005) LAGB 79 first postoperative pregnancies vs 1) 40 penultimate preoperative pregnancies 2) 79 obese women, matched for parity, age and BMI 3) 61 000 community controls 6.3 1) NR 2) 12.7 3) 7.8 = Ducarme et al. (2007) LAGB 13 vs 414 obese 7.7 7.1 = Patel et al. (2008) RYGB 25 vs 1) 188 non-obese 2) 39 obese 3) 2 severly obese 26.9 1) 20.2 2) 17.9 3) 25.9 = Wax et al. (2008) GB 38 vs 76 matched for age and prior CS 26.3 22.4 = Lapolla et al. (2010) LAGB 83 vs 1) 120 no LAGB obese 2) 858 normal controls 17.6 1) NS 2) 3.6 ↗
  • 37.
    Bariatric surgery andmiscarriage Reference Procedure N % Bilenka et al. (1995) VBG 14 vs 18 pre-operative 7 39 ↘ Friedman et al. (1995) BPD 239 vs 124 pre-operative 28 21 ↘ Marceau et al. (2004) BPD 251 vs 1 577 before surgery 21.6 26 =
  • 38.
    Bariatric surgery andoffspring obesity Reference Procedure N Severe obesity % Smith et al, 2009 BPD 49 mothers 111 Children 2.5-25y 54 Before BS 57 After BS 11 35 ↘
  • 39.
    Summary Complication Effect ofbariatric surgery Pre-eclampsia ↘ Gestational diabetes ↘ Macrosomia ↘ Childhood obesity (↘) IUGR ↗ Miscarriage = Prematurity = C-section =
  • 40.
    Transgenerational effects ofmaternal obesity and the effect of BS Obese mother Macrosomic Baby Obese Child Obese adolescent SGA baby Increased metabolic risk Increased metabolic risk Postnatal Overnutrition
  • 41.
    Risk Factors forIUGR following bariatric surgery • Insufficient weight gain (<IOM) • Persistent vomiting • Pregnancy during period of rapid weight loss • BPD>RYGB>LAGB
  • 42.
    Bariatric surgery andpregnancy: (potential) risks • IUGR/SGA • Surgical complications • Nutritional deficiencies • Psychological problems and substance abuse
  • 43.
    Surgical complications • Smallbowel obstruction due to internal herniation, volvulus, leak, … • Not unfrequent (2-11%) Delay in diagnosis and treatment • Symptomatology frequent in pregnancy • Diagnostic procedures delayed in pregnancy • Changed anatomy High mortality Guelinckx et al, 2009 ; Wax JR et al, 2013
  • 44.
    Reference Type of surgery IntervalMaternal complication Fetal complication Long-term outcome Wang et al. (2007) RYGB 2 months Internal hernia Uncomplicated Wax et al. (2007a, b) RYGB 12 months Intussusception Uncomplicated Bellanger et al. (2006) RYGB 24 months Small bowel obstruction Uncomplicated Ahmed and O’Malley (2006) RYGB 8 months Internal hernia Uncomplicated Baker and Kothari (2005) RYGB 4 months Internal hernia Uncomplicated Loar et al. (2005) RYGB NA Small bowel volvulus Preterm delivery Maternal death Kakarla et al. (2005)RYGB 9 months Internal herniation Preterm delivery Uncomplicated Kakarla et al. (2005)RYGB 30 months Small bowel herniation Uncomplicated Charles et al. (2005)RYGB 6 months Small bowel herniation Uncomplicated Moore et al. (2004) RYGB 18 months Small bowel herniation Maternal + fetal deaths Graubard et al. (1988) BPD 3 years Small bowel obstruction Fetal death Maternal + fetal deaths Guelinckx et al, Hum Reprod Update 2009
  • 45.
    Renault KM etal, Acta Obstet Gynecol Scand 2012 • Lap RYGB • 35 weeks: abdominal pain, nausea, vomiting, diarrhea • S/C and exploration • Maternal mortality 2 days post-caesarean • COD: Small bowel necrosis due to internal herniation with massive septic shock Maternal mortality in Denmark
  • 46.
    Surgical complications: recommendations forcare of women with history of RYGB • Increase awareness of patients and staff • Abdominal complaints should be considered SBO unless proven otherwise. • Usually surgical management required • Inspect entire small bowel in case of surgery or C- section for abdominal complaints • CT with contrast is preferred imaging method Wax JR AJOG 2013
  • 50.
    Vitamin K deficientICH: Cases UH Leuven Case 1 Case 2 Case 3 Case 4 Case 5 Case 6 Type of bariatric surgery Gastric banding Gastric banding Gastric banding Biliopancreatic diversion Duodenal switch Gastric banding Laboratory values mother PT 46.8% (70–150%) Pseudo-Bartter Vitamin K 0.0008 nmol/L (0.8–5.3 nmol/L) PT 12 s (9.0-12.0) aPTT 29.3 s (24–31 s) K+ 2.29 mmol/L (3.5–5.1 mmol/L) aPTT 29 s (24–31 s) f II 56% (70–130%) HCO3 − 29.7 mmol/L (22– 29 mmol/L) f II 56% (70–130%) f V 121% (70–130%) f VII 40% (70–130%) f VII 40% (70–130%) f IX 75 % (70–130%) f X 27% (70–130%) f X 27% (70–130%) Vitamin K1 0.2 nmol/L Vitamin K1 0.2 nmol/L (0.8–5.3 nmol/L) (0.8–5.3 nmol/L) Laboratory values infants PT < 10% (70–100%) Pseudo-Bartter PT 16.8% (70–100%) PT 53% (70–100%) PT 75 s (70–100%) aPTT 121.2 s (24–38 s) K+ 2.42 mmol/L (3.5–5.1 mmol/L) aPTT 93.4 s (24–38 s) aPTT 38 s (24–38 s) aPTT 121 s (24–38 s) Fibrinogen 1.29 g/L (2.00– 3.80 g/L) Fibrinogen 0.93 g/L (2.00– 3.80 g/L) f II 13% (70–130%) HCO3 − 27.8 mmol/L (22– 29 mmol/L) f II 18% (70–130%) f II f V 78% (70–130%) f V 50% (70–130%) f VII 2.9% (70–130%) f VII 2.6% (70–130%) f VII 1-13% (70–130%) f IX 0.8% (70–130%) f IX 8% (70–130%) f IX f X 4.2% (70–130%) f X 13% (70–130%) f X Neonatal outcome Died Died Mental retardation Mental retardation Died Died Eerdekens A, Eur J Pediatr 2010;169(2):191-6 Van Mieghem T, Obstet Gynecol 2008;112:434-6
  • 51.
    * * * * * PABAS Studydesign • Prospective, multicenter trial • Inclusion: pregnant women with a history of bariatric surgery – singleton pregnancy – ≤14+6 weeks GA – Informed consent • April 2009- Janary 2011
  • 52.
    PABAS-study: aims • Lifestyle during pregnancy • Diet: 7 days records, Healthy eating index (HEI) • Physical activity: Kaiser questionnaire • Nutritional deficiencies • Effects of tailored substitution • Comparison with contemporary controls Guelinckx et al, 2009
  • 53.
    Results: dietary habits, nutritientlevel, 1st trimester DRI Restrictive category N =19 Malabsorption category N =32 P-value Energy intake (kcal/day) - 1915 ± 399 1794 ± 317 0.369 Protein intake (E%) 9-10 15.2 ± 1.5 15.6 ± 2.3 0.544 Carbohydrate intake (E%) > 55 48.5 ± 5.5 46.2 ± 3.9 0.196 Fat intake (E%) 30-35 36.8 ± 4.7 38.2 ± 3.8 0.363 Saturated fat intake (E%) < 10 14.0 ± 2.6 14.3 ± 2.1 0.732 Dietary fibre (g/day) 30 17.8 ± 4.0 17.0 ± 5.0 0.623 Calcium intake (mg/day) 1200 771 ± 296 686 ± 220 0.385 Iron intake (mg/day) 10 10 ± 2 9 ± 2 0.171 Fruits (pieces/day) 2-3 0.8 ± 0.4 0.8 ± 0.7 0.995 Vegetables (g/day) 300 161 ± 54 132 ± 40 0.116 Continues variables: ANOVA; Mean ± SD
  • 54.
    Results: dietary habits 0 10 20 30 40 50 60 70 80 90 Restrictivecat. Malabsorption cat. Healthy Eating Index 1st trimester 2nd trimester No sign difference according to repeated measures ANOVA with surgery group and trimester as between- and within-subject variable respectively 1st 1st2nd 2nd
  • 55.
    0 10 20 30 40 50 60 70 80 90 100 Vit A deficientVit E deficient Vit D deficient < 7 µg/l Vit D 7-20 µg/l Vit K deficient 1st trimester Results: fat soluble vitamins
  • 56.
    Proportion of patientswith FS vitamin deficiency 1st trimester 2nd trimester 3rd trimester 0 10 20 30 40 50 60 70 80 90 100 Vit A Vit E Vit D < 7 µg/l Vit D 7-20 µg/l Vit K Restrictive types
  • 57.
    1st trimester 2nd trimester 3rdtrimester 0 10 20 30 40 50 60 70 80 90 100 Vit A Vit E Vit D < 7 µg/l Vit D 7-20 µg/l Vit K Malabsorption types Proportion of patients with FS vitamin deficiency
  • 58.
    Results: Pregnancy outcome Restrictive category N=19 Malabsorption category N =32 Obese control category N = 32 P-value GWG 13.4 ± 7.2 13.2 ± 6.6 9.0 7.1 0.046 Birth weight 3.4 ± 0.5 3.0 ± 0.6 3.4 0.5 0.007 Macrosomia (%) 3 (16) 1 (3) 2 (6) ns IUGR 0 (0) 1 (3) 0 (0) ns Chronic HT 0 (0) 0 (0) 8 (26) 0.001 PIH 2 (12) 3 (13) 9 (29) 0.001 PET 0 (0) 1 (3) 2 (6) ns GDM 1 4) 1 (3) 2 (6) ns Intestinal hernia 0 (0) 1 (3) 0 (0) ns Miscarriages 1 (4) (TOP NTD) 1 (3) 2 (6) ns ICH 0 (0) 0 (0) 0 (0) ns
  • 59.
    Nutritional deficiencies Nutritional deficienciesMaternal complications Fetal/neonatal complications Iron Anemia IUGR Proteins Odema, weight loss IUGR Vit B12 Anemia Pancytopenia, developmental delay Folic acid Anemia Neural tube defects Vit D Osteomalacia Hypocalcemia, rickets Vit A Microphthalmia, retinal damage Vit K Coagulation disorders Cerebral hemorrhage, IUD Calcium Hypocalcemia Hypocalcemia Devlieger & Guelinckx, Maternal obesity 2012
  • 60.
    NTD after Bariatricsurgery • Over 15 cases in the literature! • More frequent than in the obese? • Relation with folic acid deficiency? Pelizzo et al, Prenat Diagn 2013; Fonte et al, IASO-TOS 2013 Case Age (y) GA (w) Defect Family History DM Antiseizure Medication Malnutrition Fonte 2013 27 20 Spine dysraphia with sacral bone agenesis no no no yes Pelizzo 2013 40 22 Spinal dysraphia with sacral bone agenesis no no no yes
  • 61.
    Substance abuse inpregnancy Bariatric procedure N = 54 (43.5%) Control group N = 70 (56.5%) P-value Maternal age 30.0 ± 4.8 29.1 ± 4.3 0.154 BMI 28.3 ± 5.5 28.1 ±2.5 0.274 Nulliparae 21 (39.6%) 32 (45.7%) 0.585 Smoking 13 (24.5%) 4 (5.7%) 0.003 Alcohol use Trimester 1 Trimester 2 5 (9.4%) 5 (9.4%) 11 (15.7%) 11 (15.7%) 0.305 0.950 G. Jans et al, ECO 2013
  • 62.
    Recommendations for clinicalcare • Preconception • Pregnancy – Early – Late • Postpartum period Devlieger and Guelinckx, 2012
  • 63.
    Preconception • Delay pregnancyuntil after period of rapid weight loss (1 year minimum) • Provide effective contraception • Involve lifestyle coach • Evaluate nutritional state, correct where necessary • Start folic acid (4mg) • Advice rapid pregnancy test if sec amenorrhea Devlieger and Guelinckx 2012
  • 64.
    Clinical recommendations First trimester •Involve lifestyle coach • Evaluate nutritional state, correct where necessary • Continue folic acid (4mg if obese) untill 12 weeks • Adjustable balloon: not systematically open, open if vomiting regularly (DD morning sickness) → active band management Devlieger and Guelinckx 2012
  • 65.
    Clinical recommendations Pregnancy • AdviceGWG according to IOM guidelines for preconception BMI – Overweight: 7,0 to 11,5 kg (15 to 25 lbs) – Obesity: 5,0 to 9,0 kg (11 to 20 lbs) • Pay attention to symptoms of surgical complications • Detailed morphologic scanning at 12-20-30 weeks – Attention for growth, ossification, ICH • Screen for GDM – GCT-OGTT: dumping syndrome (50-95 %) – Fasting glucose – Day-profile • Re-evaluate nutritional deficiencies every trimester Devlieger and Guelinckx 2012
  • 66.
    Clinical recommendations Postpartum • Adviceand support breastfeeding? • Inform pediatrician • Follow-up and correction of nutritional deficiencies • Evaluate for signs of depression and alcohol abusus • Advice life-long coaching of lifestyle Devlieger and Guelinckx, 2012
  • 67.
    Research Gaps Include: •Micronutrient deficiencies and supplementation • Link with congenital malformations esp NTD • Breast feeding composition • Contraception efficacy • Timing of pregnancy after surgery • Long term effects on the offspring Devlieger and Guelinckx, 2012
  • 68.
  • 69.
    • Design – Multicentricprospective cohort study • Study population – Women of reproductive age (18-45 yr) – Planning BS or had BS
  • 73.
  • 74.
    Thank you Goele Jans IsabelleGuelinckx Annick Bogaerts Sarah Bel Sander Galjaard Sarah Pauwels Rivka Turcksin Annelies Matheussen Guy Martens Evelien Martens Greet Vansant Andre Van Assche Dirk Timmerman Participating centres, care-givers and patients Studiecentrum Perinatale Epidemiologie (SPE)