1
STRUCTURAL ANALYSIS & DESIGN OF STEEL
TRANSMISSION TOWER
A PROJECT REPORT SUBMITTED IN
PARTIAL FULFILLMENT FOR THE AWARD OF THE DEGREE OF
BACHELOR OF TECHNOLOGY (CIVIL ENGINEERING)
SUBMITTED TO
DR. A.P.J. ABDUL KALAM TECHNICAL UNIVERSITY
SUBMITTED BY
ABHIJIT KUMAR (1301000001)
ADIT YADAV (1301000005)
AMIT TIWARI (1301000011)
ASHUTOSH YADAV (1301000022)
DEEPESH PANDEY (1301000031)
UNDER THE SUPERVISION OF
MR. BRAJESH KUMAR SUMAN
ASSISTANT PROFESSOR
DEPT. OF CIVIL ENGINEERING
(MAY, 2017)
UNITED COLLEGE OFENGINEERING AND RESEARCH
A-31 UPSIDC INDUSTRIAL AREA, NAINI ALLAHABAD-211010
2
CERTIFICATE
This is to certify that Mr. Abhijit Kumar, Mr. Adit Yadav, Mr. Amit Tiwari, Mr. Ashutosh
Yadav and Mr. Deepesh Pandey of final year B.Tech, Civil Engineering(2013-2017) completed
their project work on “Analysis and Design of Steel Transmission Tower” assisted under my
supervision and guidance earnestly and diligence. They took keen interest in all the activities
regarding the project. I appreciate their sincerity and efforts.
Dr. Shikha saxena (Mr. B.K. Suman)
Head of Department Assistant Professor
Dept. of Civil Engg. Dept. of Civil Engg.
UCER, Allahabad UCER, Allahabad
3
ACKNOWLEDGEMENT
Every work accomplishment is a pleasure – a sense of satisfaction. However a number of people
always motivate, criticize and appreciated a work with their objective ideas and opinions hence
we would like to use this opportunity to thank all, who have directly or indirectly helped us to
accomplish this project.
Firstly,We would like to thank Dr. Shikha ma’am without whose support, this project
could not be completed, next we would like to thank Mr. B.K. Suman for his great guidance.
Next we would like to thank all the people, who gave their valuable time and feedback to this
project. We would like to thank our college for supporting us.
ABHIJIT KUMAR (1301000001)
ADIT YADAV (1301000005)
AMIT TIWARI (1301000011)
ASHUTOSH YADAV (1301000022)
DEEPESH PANDEY (1301000031)
4
CONTENTS
Chapter No. Title Page No.
Certificate 2
Acknowledgement 3
Content 4
Abstract 5
1 1.1 Introduction 6
1.2 Objective 11
1.3 Scope of project 12
2 Literature Review 13
3 Methodology 15
3.1 Section Property 16
3.2 Support 17
3.3 Types of load 18
3.4 Wind load calculations 21
4 Result and Discussion 23
4.1 post processing mode 23
4.2 End member force 24
4.3 Beam graph 26
4.4 Failure members 29
4.5 Steel take off 34
4.6 Design Result 36
5 Conclusion 48
Reference 50
5
ABSTRACT
In this project, the design of steel lattice tower prescribed for transmission of electricity by the
categorized gravity and lateral loads has been studied and analyzed for the employment of the
project. The analysis has been done by taking different combination of loads and then the design
has been come into picture using the code module IS 800:2007. The present work describes the
analysis and design of transmission line tower of 30 meter height viz. various parameters. In
design of tower for weight optimization some parameters are considered such as; base width,
height of tower, outline of tower. Using STAAD Pro. , analysis of transmission towers has been
carried out as a 3-D structure. The tower members are designed as angle section .Transmission
line tower constitute about 28 to 42 percent of the cost of the transmission power line project.
The increasing demand for electricity can be made more economical by developing different
light weight configuration of transmission line tower. In this study an attempt is made to model,
analyse and design a 220KV transmission line tower using manual calculations. The tower is
designed in wind zone – II with base width 1/6thof total height of the tower. This objective is
made by choosing a 220 KV single circuit transmission line carried by square base self
supporting tower with a view to optimize the existing geometry .Structure is made determinate
by excluding the horizontal members and axial forces are calculated using method of joints and
design is carried out as per IS CODE 800:2007. The desired safety factors have been actuated
contemplating the selected location i.e Allahabad. The various factors including environmental
and materials used for the structure is also considered. The software tool used in the process is
STAAD.Pro 2008. The load calculations were performed manually but the analysis and design
results were obtained through STAAD.Pro 2008. At all stages, the effort is to provide optimally
safe design along with keeping the economic considerations.
6
CHAPTER 1
1.1 INTRODUCTION
India has a large population residing all over the country and the electricity supply need of this
population creates requirement of a large transmission and distribution system. Also, the
disposition of the primary resources for electrical power generation viz., coal, hydro potential is
quite uneven, thus again adding to the transmission requirements. Transmission line is an
integrated system consisting of conductor subsystem, ground wire subsystem and one subsystem
for each category of support structure. Mechanical supports of transmission line represent a
significant portion of the cost of the line and they play an important role in the reliable power
transmission. They are designed and constructed in wide variety of shapes, types, sizes,
Configurations and materials.
The supporting structure types used in transmission lines generally fall into one of the three
categories: lattice, pole and guyed. The supports of EHV transmission lines are normally steel
lattice towers. The cost of towers constitutes about quarter to half of the cost of transmission line
and hence optimum tower design will bring in substantial savings. The selection of an optimum
outline together with right type of bracing system contributes to a large extent in developing an
economical design of transmission line tower. The height of tower is fixed by the user and the
structural designer has the task of designing the general configuration and member and joint
details.
The goal of every designer is to design the best (optimum) systems. But, because of the practical
restrictions this has been achieved through intuition, experience and repeated trials, a process
that has worked well.
7
A steel transmission tower is a tall structure, usually a steel lattice tower, used to support an
overhead power line. They are used in high voltage AC and DC system, and come in a wide
variety of shape and sizes. Typical height ranges from 15 to 55 m (49 to 180 ft) though the tallest
are the 370 m (1214 ft).
In addition to steel other materials may be used, including concrete and wood. The transmission
tower is an important tower accessory and the performance of the transmission line very much
on the design of the transmission tower. The electric transmission tower can be classified several
ways. Here we will try to classify it broadly.
The most obvious and visible owe type tower are-
1. Lattice structure
2. Tubular pole structure
Lattice structure
Lattice steel towers are made up of many different steel structural components connected
together with bolts or welded. Many different types of lattice steel towers exist. These towers
are also called self-supporting transmission towers or free-standing towers, due to their
ability to support themselves. These towers are not always made of steel; they can also be
made of aluminum or galvanized steel. Self- supporting lattice structure are used for
electricity transmission line tower. The lattice structure can be erected easily in very
inaccessible location as the tower member can be easily transported. Lattice structure are
light and cost effective.
Tubular steel poles: Tubular steel poles are another of the major types of transmission
towers. They are made up of hollow steel poles. Tubular steel poles can be manufactured as
one large piece, or as several small pieces which fit together
8
Fig-1.1: Transmission Tower
.
Components of transmission tower
Transmission tower consists of following parts
1- Boom of transmission tower
2- Cage of transmission tower
3- Cross arm of transmission tower
9
4- Peak of transmission tower
5- Transmission tower body
Peak of transmission tower
The Peak of transmission tower is mainly used for lay ground wire in suspension clamp and
tension clamp in suspension and angle tower locations. Peak is a portion of the above vertical
configuration of top cross arm. We can simply say that Peak is the section above the boom in
case of the horizontal section of tower. The peak height depend on the specific angle of shield
and clearance of mid span.
Fig-1. 2: Peak of Transmission Tower
Cross arm of transmission tower
Cross Arm is one of the key components of transmission line and it holds the power conductor.
Cross arm can vary due to the location and power carried by the transmission line. Number of
cross arms depend on the number of circuits consist in Transmission Line
10
Fig- 1.3: Cross Arm of Steel Transmission Tower
The Cage
The area between tower body and peak is known as the cage of the Transmission Tower. The
main vertical section of any transmission tower is named as cage. Normally cross section of cage
takes square shape and the shape is also depending on the height of the transmission line.
Fig-1.4: Cage Of Transmission Tower
Body of Tower
Tower body is the main part of the tower which connects the boom and the cage to tower
foundation on body extension or the leg extension. The shape of the body is square type and
tower body consist two columns which connected ate the end of the foundations.
11
Fig1.5- Tower Body
1.2 OBJECTIVE
The objective of this project is to analyse and design a steel transmission tower using STAAD
Pro.The tower is situated at Allahabad, which comes into wind zone II
1.3 SCOPE OF PRESENT WORK:
Continuous demand due to increasing population in all sectors viz. residential, commercial and
industrial leads to requirement of efficient, consistent and adequate amount of electric power
supply which can only be fulfilled by using the Conventional Transmission Towers.It can be
substituted between the transmission line of wide based tower where narrow width is required for
certain specified distance.
12
Effective static loading on transmission line structure, conductor and ground wire can be
replaced with the actual dynamic loading and the results can be compared. Attempt in changing
the shape of cross arm can lead to wonderful results. Rapid urbanization and increasing demand
for electric, availability of land leads to involve use of tubular shape pole structure. also
restricted area (due to non-availability of land), more supply of electric energy with available
resources and for continuous supply without any interruption in the transmission line, will
demand the use of high altitude narrow based steel lattice transmission.
13
CHAPTER 2
LITERATURE REVIEW
GENERAL
Research work done in the last twenty years in the area of transmission line tower failures, X-
braced panels, K-braced panels, single angle compression members, behavior of bolted
connections, dynamic behavior of towers, local buckling in angle sections have been reviewed in
this chapter and is broadly classified into two phases namely, analytical studies on cross bracing
systems, analytical studies on the failure of transmission line towers in the field and experimental
investigations on cross bracing systems and on the transmission line towers in the laboratory.
(Y. M. Ghugal, U. S. Salunkhe ,2011) Analysis and Design of Three and Four Legged
400KV Steel Transmission Line Towers: The four legged lattice towers are most commonly
used as transmission line towers. Three legged towers only used as telecommunication,
microwaves, radio and guyed towers but not used in power sectors as transmission line towers.
In this study an attempt is made that the three legged towers are designed as 400 KV double
circuit transmission line tower. The present work describes the analysis and design of two self-
supporting 400 KV steel transmission line towers viz three legged and four legged models using
common parameters such as constant height, bracing system, with an angle sections system are
carried out. In this study constant loading parameters including wind forces as per IS: 802 (1995)
are taken into account. After analysis, the comparative study is presented with respective to
slenderness effect, critical sections, forces and deflections of both three legged and four legged
towers. A saving in steel weight up to 21.2% resulted when a three legged tower is compared
with a four legged type.
(V. Lakshmi1, A. Rajagopala Rao,2003) Effect of medium wind intensity on 21m 132kv
transmission tower: The Recommendations of IS 875-1987, Basic wind speeds, Influence of
height above ground and terrain, Design wind speed, Design wind pressure, Design wind force is
explained in detailed. An analysis is carried out for the tower and the performance of the tower
and the member forces in all the vertical, horizontal and diagonal members are evaluated. The
critical elements among each of three groups are identified. In subsequent chapters the
14
performance of tower under abnormal conditions such as localized failures are evaluated. The
details of load calculation, modeling and analysis are discussed. The wind intensity converted
into point loads and loads are applied at panel joints.
(G.Visweswara Rao,1995) Optimum designs for transmission line towers: A method for the
development of optimized tower designs for extra high-voltage transmission lines is presented in
the paper. The optimization is with reference to both tower weight and geometry. It is achieved
by the control of a chosen set of key design parameters. Fuzziness in the definition of these
control variables is also included in the design process. A derivative free method of nonlinear
optimization is incorporated in the program, specially developed for the configuration, analysis
and design of transmission line towers. A few interesting result of both crisp and fuzzy
optimization, relevant to the design of a typical double circuit transmission line tower under
multiple loading condition, are presented.
(S.Christian Johnson 1 G.S.Thirugnanam 2010) Experimental study on corrosion of
transmission line tower foundation and its rehabilitation: In transmission line towers, the
tower legs are usually set in concrete which generally provides good protection to the steel.
However defects and cracks in the concrete can allow water and salts to penetrate with
subsequent corrosion and weakening of the leg. When ferrous materials oxidized to ferrous oxide
(corrosion) its volume is obviously more than original ferrous material hence the chimney
concrete will undergo strain resulting in formation of cracks. The cracks open, draining the water
in to chimney concrete enhancing the corrosion process resulting finally in spelling of chimney
concrete. This form of corrosion of stub angle just above the muffing or within the muffing is
very common in saline areas. If this is not attended at proper time, the tower may collapse under
abnormal climatic conditions. Maintenance and refurbishment of in-service electric power
transmission lines require accurate knowledge of components condition in order to develop cost
effective programs to extend their useful life. Degradation of foundation concrete can be best
assessed by excavation. This is the most rigorous method since it allows determination of the
extent and type of corrosion attack, including possible involvement of microbial induced
corrosion. In this paper, Physical, Chemical and electro chemical parameters, studied on
transmission line tower stubs excavated from inland and coastal areas have been presented. A
methodology for rehabilitation of transmission tower stubs has been discussed.
15
CHAPTER -3
METHODOLOGY
The principle objective of this project is to analyze and design Steel Transmission Tower using
STAAD Pro. The design involves load calculations manually and analyzing the whole structure
by STAAD Pro. The design methods used in STAAD Pro analysis are Limit State Design
confirming to Indian standard code of practice. STAAD Pro features a state of the art user
interface, visualization tools, powerful analysis and design engines with advanced finite elements
and dynamic analysis capabilities. From model generation, analysis and design to visualization
and result verification, STAAD Pro is the professional choice. Initially we started with the
analysis of simple to dimensional frames and manually checked the accuracy of the software
with our results. The results proved to be very accurate. We analyzed & design a Steel
Transmission Tower initially for all possible load combinations (dead, live, wind, and seismic
loads).
STAAD Pro has a very interactive user interface which allows the users to draw the frame and
input the load values and dimensions. Then according to the specified criteria assigned it analysis
the structure and designs the members.
We continued with our work with some more 2D & 3D frames under various loads
combinations. Our final work was the proper analysis & design of Steel Transmission Tower
under various load combinations. The total height of Steel Transmission Tower is 30m and
structure is subjected to self weight, dead load, live load, & wind load under the load case details
of STAAD Pro.
The wind load values are generated by STAAD Pro considering the given wind intensities with
the specifications of IS 875 Part 3.
The materials were specified & cross sections of beams in members were assigned. The supports
at the base of the structure were specified as fixed. Then STAAD Pro was used to analyze the
structure and design the members. In the post processing mode after the completion of design we
can work on structure and study bending moment and shear force values with generated
16
diagrams. We may also check the Deflections of various members under the given loading
combinations.
The design of the Steel Transmission Tower is depend upon the minimum requirements as
prescribed in the Indian Standard codes. Strict conformity loading standards recommended in
this code, it is hoped that it will ensure the structural safety of the tower which are being
designed. Structure and structural elements were normally designed by limit state methods.
3.1 SECTION PROPERTY
There are four types of angle are used in this tower.
1- ISA 200*200*25 (For main legs)
2- ISA 100*100*8 (For diagonal bracing)
3- ISA 130*130*10 (for horizontal bracing)
4- ISA 90*90*12 (For cross arm)
Fig 3.1 Section Properties
3.2 SUPPORT SYSTEM FOR THE TOWER
Supports are arguably one of the most important aspects of a structure, as it specifies how the
forces within the structure are transferred to the ground. This knowledge is required before
solving the model, as it tells us what the boundary conditions are.
17
The support used for this project tower is fixed support.
FIXED SUPPORT
A fixed support is the most rigid type of support or connection. They are also known as rigid
support.
It can resist vertical and horizontal forces as well as moment since they restrain both rotation and
translation.
Fig 3.2 Fix Support
3.3 TYPES OF LOADS FOR ANALYSIS AND DESIGN
For the Transmission tower, analysis was performed and the design done for the following loads:
18
 Self Weight
 Wind load
 Cable load
Self Weight
The self weight is precisely considered as the dead load of the structure as these loads neither
change their position nor do they vary their magnitude. Actually, according to IS 1911:1967, the
density of steel is 7850 kg/m3 but we have assumed the self weight of both super and
substructure of the tower as 1 kN/m2 in downward direction
CABLE LOAD
The weight of the cable wire constitute cable load.
Fig:3.1 Cable Load
The forces at the support ends of the cable can be estimated as
T = (H2
+ (w L / 2)2
)0.5
where T = forces at supports
and, H = mid span force in the cable and can be calculated as:
H = w L2
/ (8 d)
19
Where w = unit weight of the cable
L = cable span
d = cable sag
Since the wires are in sag position, therefore the load is inclined at some angle .
Hence this load is resolved into two components namely horizontal and vertical.
Horizontal components are canceled due to equal and opposite forces acting on tower.
Vertical component adds up to the self weight of the tower.
Fig – 3.2 Cable Load on Tower
WIND LOAD
The term wind denotes almost exclusively to horizontal wind. Wind pressure, therefore, acts
horizontally on the exposed surfaces of towers. Here, we have followed Design wind speed as
per IS: 875-1987.
The design wind speed (Vz) is obtained by multiplying the basic wind speed (Vb) by the factors
k1,k2 and k3.
Vz =Vb×k1×k2 ×k3
Where, Vb= the basic wind speed in m/s at 10 m height
20
K1= probability factor (or risk coefficient)
K2 = terrain, height and structure size factor
K3 = topography factor. The basic wind speed of Allahabad is taken as 47 m/s as per IS-
875:1987 Part-III.
Probability factor (or risk coefficient), k1
The factor k1is based on statistical concept which take account of degree of reliability required a
period of time in years during which there will be exposure to wind. In actual practice the factor
k1 depends on type and importance of structure, design life of structure and basic wind speed in
the region
Terrain, height and structure size factor, k2
This factor takes into account terrain roughness, height and size of structure for determining k2 .
Terrains are classified in to four categories and structures according to their heights into three
classes.
Categories of structure
There are mainly four categories of structure for terrain, height and structure size which are as
follows:
Category 1:
This represents exposed open terrain with few or no obstructions i.e. open sea coasts and flat
treeless plains.
Category 2:
This represents open terrain with well scattered obstructions having height between 1.5 to 10 m.,
i.e. air fields, under developed built-up outskirts of towns and suburbs.
Category 3:
This represents terrain with numerous closely spaced obstructions. This category includes well
wooded areas, shrubs, towns and industrial areas fully or partially developed.
Category 4:
This represents terrain with numerous large high closely spaced obstructions above 25m., i.e.
large city centres.
21
Classes of structure
There are mainly three Classes of structure are as follows:
Class A:
Structures having maximum dimension less than 20m.
Class B:
Structures having maximum dimension between 20m to 50 m
Class C:
Structures having maximum dimension greater than 50m
Fig 3.3 – Wind Load On Tower
.3.2 WIND LOAD CALCULATION
The design wind pressure Pz is calculated by the following equation
Pz = 0.6 xVz
2
Where, Pz = design wind pressure in N/m2
Vz = design wind speed in m/s .
To calculate design wind pressure, Vz= VR×K1×K2
VR = reduced wind speed
VR = Vb/k0
22
Vb = basic wind speed
K0 =1.375 [conversion factor]
K1 = risk coefficient
K2 = terrain roughness coefficient.
Wind Pressure Details:
Basic wind speed Vb = 47 m/s
Wind zone –II
Reliability level –2
Terrain category –2
Reference wind speed VR = Vb/Ko
= 47/1.375
= 34.1818 m/s
Design wind speed Vz = VR x k1 x k2
K1=risk coefficient for wind zone II and return period 50 years =1
K2=Terrain roughness coefficient for open terrain category 2 =1
Therefore, Vz = 34.1818 x 1 x 1
= 34.1818 m/s.
Now, Design wind pressure Pz = 0.6 x Vz
2
= 0.6 x 34.18182
= 701.03 N/m2
23
CHAPTER –4
RESULTS AND DISCUSSION
4.1 POST PROCESSING MODE
Fig-4.1
24
Table – Summery Of Displacement
4.2 ANALYSIS
4.3 END MEMBER FORCE
Table End Member Force
25
4.4 SUMMERY OF END MEMBER FORCES
Table Summery Of End Members Forces
4.5 ENVELOP OF END MEMBER FORCE
Table Envelop Of End Member Force
26
4.6 BEAM GRAPH
Fig-4.2
Fig – 4.3
27
Fig 4.4
Fig 4.5
28
Fig – 4.6
Fig – 4.7
29
4.6 LIST OF FAILURE MEMBER
Bea
m
Analysi
s
Propert
y
Design
Property
Actu
al
Rati
o
Allo
wabl
e
Rati
o (
Ratio
Act./
Allo
w.)
Clause L/
C
Ax
(cm2)
Iz
(cm4)
Iy
(cm4)
Ix
(cm4)5 ISA200X
200
ISA200x2
00
09E
+3
1.00
0
409E
+3
IS-
7.1.1(A)
4 94.100 1.44E+3 5.51E
+3
196.042
110 ISA130X
130
ISA200x2
00
4.57
6
1.00
0
4.57
6
IS-
7.1.1(A)
4 94.100 1.44E+3 5.51E
+3
196.042
116 ISA130X
130
ISA200x2
00
3.69
5
1.00
0
3.69
5
IS-7.1.2 4 94.100 1.44E+3 5.51E
+3
196.042
6 ISA200X
200
ISA200x2
00
3.60
9
1.00
0
3.60
9
IS-
7.1.1(A)
4 94.100 1.44E+3 5.51E
+3
196.042
211 ISA130X
130
ISA200x2
00
3.19
0
1.00
0
3.19
0
IS-7.1.2 4 94.100 1.44E+3 5.51E
+3
196.042
207 ISA130X
130
ISA200x2
00
2.91
5
1.00
0
2.91
5
IS-7.1.2 4 94.100 1.44E+3 5.51E
+3
196.042
114 ISA130X
130
ISA200x2
00
2.91
3
1.00
0
2.91
3
IS-
7.1.1(B)
4 94.100 1.44E+3 5.51E
+3
196.042
209 ISA130X
130
ISA200x2
00
2.86
3
1.00
0
2.86
3
7.1.2
BENDC
4 94.100 1.44E+3 5.51E
+3
196.042
208 ISA130X
130
ISA200x2
00
2.84
5
1.00
0
2.84
5
IS-7.1.2 4 94.100 1.44E+3 5.51E
+3
196.042
112 ISA130X
130
ISA200x2
00
2.76
0
1.00
0
2.76
0
7.1.2
BENDC
4 94.100 1.44E+3 5.51E
+3
196.042
90 ISA200X
200
ISA200x2
00
2.69
0
1.00
0
2.69
0
IS-
7.1.1(A)
4 94.100 1.44E+3 5.51E
+3
196.042
113 ISA130X
130
ISA200x2
00
2.46
3
1.00
0
2.46
3
IS-
7.1.1(B)
4 94.100 1.44E+3 5.51E
+3
196.042
210 ISA130X
130
ISA200x2
00
2.31
8
1.00
0
2.31
8
IS-
7.1.1(B)
4 94.100 1.44E+3 5.51E
+3
196.042
212 ISA130X
130
ISA200x2
00
2.25
0
1.00
0
2.25
0
7.1.2
BENDC
4 94.100 1.44E+3 5.51E
+3
196.042
89 ISA200X
200
ISA200x2
00
2.23
6
1.00
0
2.23
6
IS-
7.1.1(A)
4 94.100 1.44E+3 5.51E
+3
196.042
7 ISA200X
200
ISA200x2
00
2.20
1
1.00
0
2.20
1
IS-
7.1.1(A)
4 94.100 1.44E+3 5.51E
+3
196.042
115 ISA130X
130
ISA200x2
00
2.19
5
1.00
0
2.19
5
7.1.2
BENDC
4 94.100 1.44E+3 5.51E
+3
196.042
8 ISA200X
200
ISA200x2
00
2.18
4
1.00
0
2.18
4
IS-
7.1.1(A)
4 94.100 1.44E+3 5.51E
+3
196.042
109 ISA130X
130
ISA200x2
00
1.93
7
1.00
0
1.93
7
IS-
7.1.1(B)
4 94.100 1.44E+3 5.51E
+3
196.042
206 ISA130X
130
ISA200x2
00
1.93
1
1.00
0
1.93
1
IS-
7.1.1(A)
4 94.100 1.44E+3 5.51E
+3
196.042
123 ISA90X9
0X1
ISA200x2
00
1.81
8
1.00
0
1.81
8
IS-
7.1.1(A)
4 94.100 1.44E+3 5.51E
+3
196.042
3 ISA200X
200
ISA200x2
00
1.80
2
1.00
0
1.80
2
IS-
7.1.1(B)
4 94.100 1.44E+3 5.51E
+3
196.042
2 ISA200X
200
ISA200x2
00
1.73
2
1.00
0
1.73
2
IS-
7.1.1(A)
4 94.100 1.44E+3 5.51E
+3
196.042
92 ISA200X
200
ISA200x2
00
1.65
1
1.00
0
1.65
1
IS-
7.1.1(B)
4 94.100 1.44E+3 5.51E
+3
196.042
91 ISA200X
200
ISA200x2
00
1.63
3
1.00
0
1.63
3
IS-
7.1.1(A)
4 94.100 1.44E+3 5.51E
+3
196.042
119 ISA100X
100
ISA200x2
00
1.47
4
1.00
0
1.47
4
IS-7.1.2 4 94.100 1.44E+3 5.51E
+3
196.042
205 ISA130X
130
ISA200x2
00
1.44
9
1.00
0
1.44
9
IS-
7.1.1(A)
4 94.100 1.44E+3 5.51E
+3
196.042
121 ISA90X9
0X1
ISA200x2
00
1.35
5
1.00
0
1.35
5
IS-7.1.2 4 94.100 1.44E+3 5.51E
+3
196.042
STAAD SPACE -
LOADING 1 LOADTYPE DEAD TITLE LOAD CASE 1-----------
SELFWEIGHT Y -1.000
ACTUAL WEIGHT OF THE STRUCTURE = 129.549 KN
STRUCTURAL ELEMENTS IN LOAD CASE 1 ALONG Y.
THIS COULD BE DUE TO SELFWEIGHT APPLIED TO SPECIFIC
LIST OF MEMBERS/PLATES/SOLIDS/SURFACES.
TOTAL UNFACTORED WEIGHT OF THE STRUCTURE = 137.889 KN
TOTAL UNFACTORED WEIGHT OF THE STRUCTURE APPLIED = 129.549 KN
30
LOADING 2 LOADTYPE LIVE REDUCIBLE TITLE LOAD CASE 2 -----------
JOINT LOAD - UNIT KN METE
JOINT FORCE-X FORCE-Y FORCE-Z MOM-X MOM-Y MOM-Z
13 0.00 -500.00 0.00 0.00 0.00 0.00
80 0.00 -500.00 0.00 0.00 0.00 0.00
81 0.00 -500.00 0.00 0.00 0.00 0.00
LOADING 3 LOADTYPE WIND TITLE LOAD CASE 3 -----------
JOINT LOAD - UNIT KN METE
JOINT FORCE-X FORCE-Y FORCE-Z MOM-X MOM-Y MOM-Z
5 0.53 0.00 0.00 0.00 0.00 0.00
8 0.53 0.00 0.00 0.00 0.00 0.00
9 0.96 0.00 0.00 0.00 0.00 0.00
12 0.96 0.00 0.00 0.00 0.00 0.00
13 0.32 0.00 0.00 0.00 0.00 0.00
14 1.09 0.00 0.00 0.00 0.00 0.00
15 1.24 0.00 0.00 0.00 0.00 0.00
16 1.27 0.00 0.00 0.00 0.00 0.00
17 1.41 0.00 0.00 0.00 0.00 0.00
18 0.46 0.00 0.00 0.00 0.00 0.00
19 1.09 0.00 0.00 0.00 0.00 0.00
20 1.24 0.00 0.00 0.00 0.00 0.00
21 1.27 0.00 0.00 0.00 0.00 0.00
22 1.41 0.00 0.00 0.00 0.00 0.00
23 0.46 0.00 0.00 0.00 0.00 0.00
34 0.64 0.00 0.00 0.00 0.00 0.00
37 0.64 0.00 0.00 0.00 0.00 0.00
42 0.64 0.00 0.00 0.00 0.00 0.00
43 0.64 0.00 0.00 0.00 0.00 0.00
44 0.64 0.00 0.00 0.00 0.00 0.00
45 0.64 0.00 0.00 0.00 0.00 0.00
47 1.37 0.00 0.00 0.00 0.00 0.00
31
48 1.58 0.00 0.00 0.00 0.00 0.00
49 1.67 0.00 0.00 0.00 0.00 0.00
50 1.66 0.00 0.00 0.00 0.00 0.00
CENTER OF FORCE BASED ON Y FORCES ONLY (METE).
(FORCES IN NON-GLOBAL DIRECTIONS WILL INVALIDATE RESULTS)
X = 0.202424988E+01
Y = 0.151283733E+02
Z = 0.202909972E+01
***TOTAL APPLIED LOAD ( KN METE ) SUMMARY (LOADING 1 )
SUMMATION FORCE-X = -0.00
SUMMATION FORCE-Y = -129.55
SUMMATION FORCE-Z = -0.00
SUMMATION OF MOMENTS AROUND THE ORIGINMX=
262.87 MY= 0.00 MZ= -262.24
***TOTAL REACTION LOAD( KN METE ) SUMMARY (LOADING 1 )
SUMMATION FORCE-X = 0.00
SUMMATION FORCE-Y = 129.55
SUMMATION FORCE-Z = 0.00
SUMMATION OF MOMENTS AROUND THE ORIGINMX=
-262.87 MY= -0.00 MZ= 262.24
MAXIMUM DISPLACEMENTS ( CM /RADIANS) (LOADING 1)
MAXIMUMS AT NODE
32
X = -1.05377E-01 78
Y = -2.13147E-01 39
Z = 1.90213E-01 40
RX= 9.16579E-04 81
RY= -8.92220E-04 84
RZ= -8.50960E-04 85
EXTERNAL AND INTERNAL JOINT LOAD SUMMARY ( KN METE )-
JT EXT FX/ EXT FY/ EXT FZ/ EXT MX/ EXT MY/ EXT MZ/
INT FX INT FY INT FZ INT MX INT MY INT MZ
SUPPORT=1
1 -0.00 -0.51 -0.00 0.06 0.00 -0.06
-2.03 -23.06 -2.03 -0.06 0.00 0.06
111000
2 0.00 -1.52 -0.00 0.09 0.00 0.09
3.18 -38.74 -2.43 -0.09 0.00 -0.09
111000
3 0.00 -1.52 0.00 -0.09 0.00 0.09
1.29 -23.78 1.28 0.09 -0.00 -0.09
111000
4 -0.00 -1.52 0.00 -0.09 0.00 -0.09
-2.45 -38.90 3.19 0.09 0.00 0.09
111000
STAAD.Pro CODE CHECKING - (IS-800:1984) v1.1
***********************
ALL UNITS ARE - KN METE (UNLESS OTHERWISE Noted)
MEMBER TABLE RESULT/ CRITICAL COND/ RATIO/ LOADING/
FX MY MZ LOCATION
33
====================================================================
===
1 ST ISA200X200X25 (INDIAN SECTIONS)
PASS IS-7.1.1(A) 0.824 4
523.21 C -10.69 -9.75 0.00
2 ST ISA200X200X25 (INDIAN SECTIONS)
FAIL IS-7.1.1(A) 1.732 4
688.54 C 50.08 -28.78 0.00
3 ST ISA200X200X25 (INDIAN SECTIONS)
FAIL IS-7.1.1(B) 1.802 4
525.16 C -54.80 -35.10 0.00
4 ST ISA200X200X25 (INDIAN SECTIONS)
FAIL IS-7.1.1(A) 1.071 4
676.35 C 33.31 -10.94 0.00
EQN. 7.1.1(A) CANNOT BE CHECKED PROPERLY.
5 ST ISA200X200X25 (INDIAN SECTIONS)
FAIL IS-7.1.1(A) ******* 4
1199.25 C 4.59 -24.83 0.00
6 ST ISA200X200X25 (INDIAN SECTIONS)
FAIL IS-7.1.1(A) 3.609 4
902.66 C -4.79 -24.72 4.00
7 ST ISA200X200X25 (INDIAN SECTIONS)
FAIL IS-7.1.1(A) 2.201 4
581.29 C -2.13 -39.55 0.00
8 ST ISA200X200X25 (INDIAN SECTIONS)
FAIL IS-7.1.1(A) 2.184 4
580.67 C -12.61 -39.15 4.00
34
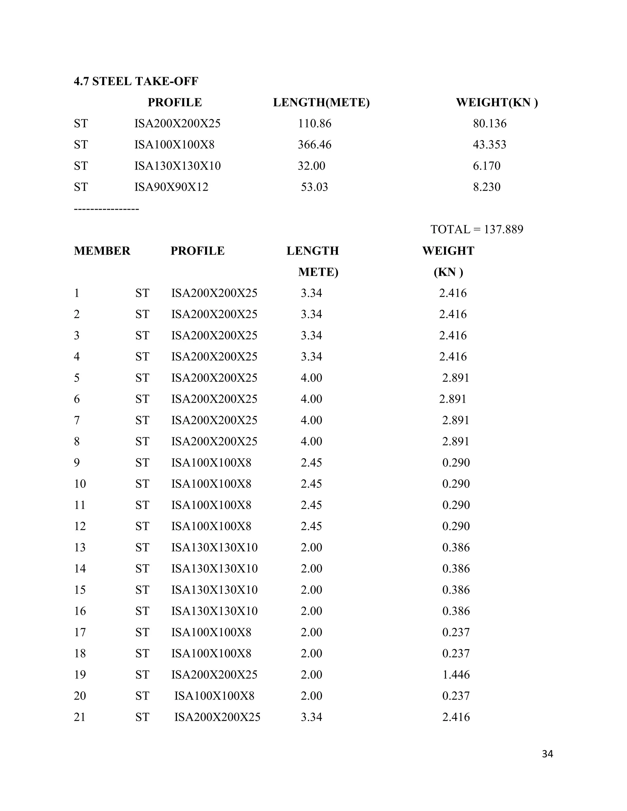
4.7 STEEL TAKE-OFF
PROFILE LENGTH(METE) WEIGHT(KN )
ST ISA200X200X25 110.86 80.136
ST ISA100X100X8 366.46 43.353
ST ISA130X130X10 32.00 6.170
ST ISA90X90X12 53.03 8.230
----------------
TOTAL = 137.889
MEMBER PROFILE LENGTH WEIGHT
METE) (KN )
1 ST ISA200X200X25 3.34 2.416
2 ST ISA200X200X25 3.34 2.416
3 ST ISA200X200X25 3.34 2.416
4 ST ISA200X200X25 3.34 2.416
5 ST ISA200X200X25 4.00 2.891
6 ST ISA200X200X25 4.00 2.891
7 ST ISA200X200X25 4.00 2.891
8 ST ISA200X200X25 4.00 2.891
9 ST ISA100X100X8 2.45 0.290
10 ST ISA100X100X8 2.45 0.290
11 ST ISA100X100X8 2.45 0.290
12 ST ISA100X100X8 2.45 0.290
13 ST ISA130X130X10 2.00 0.386
14 ST ISA130X130X10 2.00 0.386
15 ST ISA130X130X10 2.00 0.386
16 ST ISA130X130X10 2.00 0.386
17 ST ISA100X100X8 2.00 0.237
18 ST ISA100X100X8 2.00 0.237
19 ST ISA200X200X25 2.00 1.446
20 ST ISA100X100X8 2.00 0.237
21 ST ISA200X200X25 3.34 2.416
35
22 ST ISA200X200X25 3.34 2.416
23 ST ISA200X200X25 3.34 2.416
24 ST ISA200X200X25 3.34 2.416
25 ST ISA100X100X8 3.34 0.395
26 ST ISA200X200X25 3.34 2.416
27 ST ISA200X200X25 3.34 2.416
28 ST ISA200X200X25 3.34 2.416
29 ST ISA200X200X25 3.34 2.416
30 ST ISA200X200X25 3.34 2.416
31 ST ISA200X200X25 3.34 2.416
32 ST ISA200X200X25 3.34 2.416
33 ST ISA200X200X25 3.34 2.416
34 ST ISA200X200X25 3.34 2.416
35 ST ISA200X200X25 3.34 2.416
36 ST ISA200X200X25 3.34 2.416
37 ST ISA200X200X25 3.34 2.416
38 ST ISA200X200X25 3.34 2.416
39 ST ISA200X200X25 3.34 2.416
40 ST ISA200X200X25 3.34 2.416
41 ST ISA100X100X8 2.65 0.314
42 ST ISA100X100X8 2.53 0.300
43 ST ISA100X100X8 2.42 0.286
44 ST ISA100X100X8 2.32 0.274
45 ST ISA100X100X8 2.22 0.263
46 ST ISA100X100X8 2.14 0.253
47 ST ISA100X100X8 2.65 0.314
48 ST ISA100X100X8 2.53 0.300
49 ST ISA100X100X8 2.42 0.286
50 ST ISA100X100X8 2.32 0.274
51 ST ISA100X100X8 2.22 0.263
52 ST ISA100X100X8 2.14 0.253
36
53 ST ISA100X100X8 2.65 0.314
54 ST ISA100X100X8 2.53 0.300
55 ST ISA100X100X8 2.42 0.286
56 ST ISA100X100X8 2.32 0.274
57 ST ISA100X100X8 2.22 0.263
58 ST ISA100X100X8 2.14 0.253
59 ST ISA100X100X8 1.84 0.217
60 ST ISA100X100X8 1.95 0.230
61 ST ISA100X100X8 2.06 0.244
62 ST ISA100X100X8 2.18 0.258
63 ST ISA100X100X8 2.30 0.272
64 ST ISA100X100X8 2.43 0.288
65 ST ISA100X100X8 2.65 0.314
66 ST ISA100X100X8 2.53 0.300
67 ST ISA100X100X8 2.42 0.286
68 ST ISA100X100X8 2.32 0.274
69 ST ISA100X100X8 2.22 0.263
70 ST ISA100X100X8 2.14 0.253
71 ST ISA100X100X8 1.84 0.217
DESIGN RESULTS
Beam Analysis Design Actual Allowable Ratio Clause L/C Ax Iz Iy Ix
2 4 4 4
Property Property Ratio Ratio (Act./Allow.) (cm ) (cm )
(cm )
(cm )
1 ISA200X200
ISA200x200
x 0.864 1.000 0.864 IS-7.1.1(A) 4 90.600 1.38E+3 5.34E+3 173.952
2 ISA200X200
ISA200x200
x 1.732 1.000 1.732 IS-7.1.1(A) 4 94.100 1.44E+3 5.51E+3 196.042
3 ISA200X200
ISA200x200
x 1.802 1.000 1.802 IS-7.1.1(B) 4 94.100 1.44E+3 5.51E+3 196.042
37
4 ISA200X200
ISA200x200
x 1.071 1.000 1.071 IS-7.1.1(A) 4 94.100 1.44E+3 5.51E+3 196.042
5 ISA200X200
ISA200x200
x 09E+3 1.000 409E+3 IS-7.1.1(A) 4 94.100 1.44E+3 5.51E+3 196.042
6 ISA200X200
ISA200x200
x 3.609 1.000 3.609 IS-7.1.1(A) 4 94.100 1.44E+3 5.51E+3 196.042
7 ISA200X200
ISA200x200
x 2.201 1.000 2.201 IS-7.1.1(A) 4 94.100 1.44E+3 5.51E+3 196.042
8 ISA200X200
ISA200x200
x 2.184 1.000 2.184 IS-7.1.1(A) 4 94.100 1.44E+3 5.51E+3 196.042
9 ISA100X100
ISA200x150
x 0.910 1.000 0.910 IS-7.1.1(A) 4 34.300 369.013 1.74E+3 11.433
10 ISA100X100
ISA150x150
x 1.000 1.000 1.000 IS-7.1.1(A) 4 29.200 259.308 1.02E+3 9.733
11 ISA100X100
ISA200x150
x 0.884 1.000 0.884 IS-7.1.1(A) 4 34.300 369.013 1.74E+3 11.433
12 ISA100X100
ISA150x150
x 0.991 1.000 0.991 IS-7.1.1(A) 4 29.200 259.308 1.02E+3 9.733
13 ISA130X130
ISA200x200
x 1.263 1.000 1.263 IS-7.1.1(B) 4 94.100 1.44E+3 5.51E+3 196.042
14 ISA130X130
ISA200x200
x 0.969 1.000 0.969 IS-7.1.1(B) 4 94.100 1.44E+3 5.51E+3 196.042
15 ISA130X130
ISA150x150
x 0.969 1.000 0.969 IS-7.1.1(A) 4 34.800 304.904 1.2E+3 16.704
16 ISA130X130
ISA130x130
x 0.949 1.000 0.949 7.1.2 BEND C 4 25.100 165.783 651.674 8.367
17 ISA100X100
ISA135x65x
1 0.985 1.000 0.985 IS-7.1.1(B) 4 22.700 41.986 442.645 10.896
38
18 ISA100X100
ISA200x150
x 0.920 1.000 0.920 IS-7.1.1(A) 4 34.300 369.013 1.74E+3 11.433
19 ISA200X200
ISA200x150
x 0.977 1.000 0.977 IS-7.1.2 4 34.300 369.013 1.74E+3 11.433
20 ISA100X100
ISA125x95x
8 0.936 1.000 0.936 IS-7.1.2 4 17.000 71.442 336.605 3.627
21 ISA200X200
ISA200x200
x 0.871 1.000 0.871 IS-7.1.1(A) 4 90.600 1.38E+3 5.34E+3 173.952
22 ISA200X200
ISA200x200
x 0.939 1.000 0.939 IS-7.1.1(A) 4 76.400 1.18E+3 4.58E+3 101.867
23 ISA200X200
ISA200x200
x 0.898 1.000 0.898 IS-7.1.1(A) 4 76.400 1.18E+3 4.58E+3 101.867
24 ISA200X200
ISA200x200
x 0.946 1.000 0.946 IS-7.1.1(A) 4 76.400 1.18E+3 4.58E+3 101.867
25 ISA100X100
ISA200x200
x 0.855 1.000 0.855 IS-7.1.1(A) 4 61.800 969.123 3.77E+3 52.736
26 ISA200X200
ISA200x200
x 1.175 1.000 1.175 IS-7.1.1(A) 4 94.100 1.44E+3 5.51E+3 196.042
27 ISA200X200
ISA200x200
x 1.013 1.000 1.013 IS-7.1.1(A) 4 94.100 1.44E+3 5.51E+3 196.042
28 ISA200X200
ISA200x200
x 1.018 1.000 1.018 IS-7.1.1(A) 4 94.100 1.44E+3 5.51E+3 196.042
Beam Analysis Design Actual Allowable Ratio Clause L/C Ax Iz Iy Ix
29 ISA200X200 ISA200x200x 1.088 1.000 1.088 IS-7.1.1(A) 4 94.100 1.44E+3 5.51E+3 196.042
30 ISA200X200 ISA200x200x 1.135 1.000 1.135 IS-7.1.1(A) 4 94.100 1.44E+3 5.51E+3 196.042
31 ISA200X200 ISA200x200x 0.978 1.000 0.978 IS-7.1.1(A) 4 94.100 1.44E+3 5.51E+3 196.042
39
32 ISA200X200 ISA200x200x 0.891 1.000 0.891 IS-7.1.1(A) 4 76.400 1.18E+3 4.58E+3 101.867
33 ISA200X200 ISA200x200x 0.830 1.000 0.830 IS-7.1.1(A) 4 76.400 1.18E+3 4.58E+3 101.867
34 ISA200X200 ISA200x200x 0.995 1.000 0.995 IS-7.1.1(A) 4 61.800 969.123 3.77E+3 52.736
35 ISA200X200 ISA200x200x 0.809 1.000 0.809 IS-7.1.1(A) 4 76.400 1.18E+3 4.58E+3 101.867
36 ISA200X200 ISA200x200x 1.122 1.000 1.122 IS-7.1.1(A) 4 94.100 1.44E+3 5.51E+3 196.042
37 ISA200X200 ISA200x200x 1.015 1.000 1.015 IS-7.1.1(A) 4 94.100 1.44E+3 5.51E+3 196.042
38 ISA200X200 ISA200x200x 1.046 1.000 1.046 IS-7.1.1(A) 4 94.100 1.44E+3 5.51E+3 196.042
39 ISA200X200 ISA200x200x 1.085 1.000 1.085 IS-7.1.1(A) 4 94.100 1.44E+3 5.51E+3 196.042
40 ISA200X200 ISA200x200x 1.141 1.000 1.141 IS-7.1.1(A) 4 94.100 1.44E+3 5.51E+3 196.042
41 ISA100X100 ISA80x80x6 0.925 1.000 0.925 IS-7.1.1(A) 4 9.290 22.899 91.722 1.115
42 ISA100X100 ISA75x75x5 0.811 1.000 0.811 7.1.2 BEND C 10 7.270 15.924 63.732 0.606
43 ISA100X100 ISA75x75x5 0.896 1.000 0.896 IS-7.1.1(B) 10 7.270 15.924 63.732 0.606
44 ISA100X100 ISA75x75x5 0.957 1.000 0.957 IS-7.1.1(B) 10 7.270 15.924 63.732 0.606
45 ISA100X100 ISA65x65x5 0.945 1.000 0.945 7.1.2 BEND C 10 6.250 10.081 41.010 0.521
46 ISA100X100 ISA65x65x5 0.890 1.000 0.890 IS-7.1.1(A) 10 6.250 10.081 41.010 0.521
47 ISA100X100 ISA90x90x6 0.818 1.000 0.818 IS-7.1.1(A) 4 10.500 33.268 131.910 1.260
48 ISA100X100 ISA75x75x5 0.698 1.000 0.698 IS-7.1.2 10 7.270 15.924 63.732 0.606
49 ISA100X100 ISA75x75x5 0.872 1.000 0.872 IS-7.1.1(A) 4 7.270 15.924 63.732 0.606
50 ISA100X100 ISA75x75x6 0.892 1.000 0.892 7.1.2 BEND C 4 8.660 18.713 75.052 1.039
51 ISA100X100 ISA65x65x5 0.911 1.000 0.911 IS-7.1.1(A) 8 6.250 10.081 41.010 0.521
40
52 ISA100X100 ISA100x100x 0.841 1.000 0.841 IS-7.1.1(A) 4 11.700 45.869 182.915 1.404
53 ISA100X100 ISA75x75x5 0.925 1.000 0.925 IS-7.1.1(A) 10 7.270 15.924 63.732 0.606
54 ISA100X100 ISA75x75x5 0.720 1.000 0.720 IS-7.1.1(A) 7 7.270 15.924 63.732 0.606
55 ISA100X100 ISA75x75x6 0.891 1.000 0.891 IS-7.1.1(A) 10 8.660 18.713 75.052 1.039
56 ISA100X100 ISA70x70x5 0.724 1.000 0.724 7.1.2 BEND C 4 6.770 12.893 51.426 0.564
89 ISA200X200 ISA200x200x 2.236 1.000 2.236 IS-7.1.1(A) 4 94.100 1.44E+3 5.51E+3 196.042
90 ISA200X200 ISA200x200x 2.690 1.000 2.690 IS-7.1.1(A) 4 94.100 1.44E+3 5.51E+3 196.042
91 ISA200X200 ISA200x200x 1.633 1.000 1.633 IS-7.1.1(A) 4 94.100 1.44E+3 5.51E+3 196.042
92 ISA200X200 ISA200x200x 1.651 1.000 1.651 IS-7.1.1(B) 4 94.100 1.44E+3 5.51E+3 196.042
93 ISA100X100 ISA125x75x6 0.992 1.000 0.992 7.1.2 BEND C 4 11.600 30.820 215.563 1.392
94 ISA100X100 ISA200x150x 0.925 1.000 0.925 IS-7.1.1(A) 4 40.900 434.669 2.05E+3 19.632
95 ISA100X100 ISA200x150x 0.893 1.000 0.893 IS-7.1.2 4 34.300 369.013 1.74E+3 11.433
96 ISA100X100 ISA200x150x 0.941 1.000 0.941 IS-7.1.2 4 40.900 434.669 2.05E+3 19.632
97 ISA100X100 ISA200x150x 0.983 1.000 0.983 7.1.2 BEND C 4 40.900 434.669 2.05E+3 19.632
98 ISA100X100 ISA120x120x 0.974 1.000 0.974 IS-7.1.2 4 34.000 186.170 714.832 25.500
99 ISA100X100 ISA150x90x1 0.960 1.000 0.960 IS-7.1.2 4 27.500 103.499 702.636 13.200
100 ISA100X100 ISA130x130x 0.874 1.000 0.874 IS-7.1.1(B) 4 20.300 135.125 533.572 4.331
101 ISA100X100 ISA150x75x9 0.996 1.000 0.996 7.1.2 BEND C 4 19.600 50.805 488.265 5.292
41
102 ISA100X100 ISA200x150x 0.933 1.000 0.933 IS-7.1.1(A) 4 66.300 683.162 3.2E+3 88.400
103 ISA100X100 ISA200x150x 0.843 1.000 0.843 IS-7.1.1(B) 4 40.900 434.669 2.05E+3 19.632
104 ISA100X100 ISA200x200x 0.831 1.000 0.831 IS-7.1.2 4 76.400 1.18E+3 4.58E+3 101.867
105 ISA100X100 ISA200x200x 0.998 1.000 0.998 IS-7.1.2 4 61.800 969.123 3.77E+3 52.736
106 ISA100X100 ISA180x180x 0.975 1.000 0.975 IS-7.1.2 4 68.300 841.463 3.29E+3 91.067
107 ISA100X100 ISA200x150x 0.963 1.000 0.963 IS-7.1.2 4 60.000 618.246 2.93E+3 64.800
108 ISA100X100 ISA200x150x 0.975 1.000 0.975 IS-7.1.2 4 66.300 683.162 3.2E+3 88.400
109 ISA130X130 ISA200x200x 1.937 1.000 1.937 IS-7.1.1(B) 4 94.100 1.44E+3 5.51E+3 196.042
110 ISA130X130 ISA200x200x 4.576 1.000 4.576 IS-7.1.1(A) 4 94.100 1.44E+3 5.51E+3 196.042
11
1 ISA130X130 ISA200x200x 1.258 1.000 1.258 7.1.2 BEND C 4 94.100 1.44E+3 5.51E+3 196.042
113 ISA130X130 ISA200x200x 2.463 1.000 2.463 IS-7.1.1(B) 4 94.100 1.44E+3 5.51E+3 196.042
114 ISA130X130 ISA200x200x 2.913 1.000 2.913 IS-7.1.1(B) 4 94.100 1.44E+3 5.51E+3 196.042
115 ISA130X130 ISA200x200x 2.195 1.000 2.195 7.1.2 BEND C 4 94.100 1.44E+3 5.51E+3 196.042
116 ISA130X130 ISA200x200x 3.695 1.000 3.695 IS-7.1.2 4 94.100 1.44E+3 5.51E+3 196.042
117 ISA90X90X1 ISA200x200x 0.834 1.000 0.834 IS-7.1.1(A) 4 76.400 1.18E+3 4.58E+3 101.867
118 ISA100X100 ISA150x150x 0.945 1.000 0.945 IS-7.1.2 4 34.800 304.904 1.2E+3 16.704
119 ISA100X100 ISA200x200x 1.474 1.000 1.474 IS-7.1.2 4 94.100 1.44E+3 5.51E+3 196.042
120 ISA90X90X1 ISA180x180x 0.998 1.000 0.998 IS-7.1.1(B) 4 68.300 841.463 3.29E+3 91.067
121 ISA90X90X1 ISA200x200x 1.355 1.000 1.355 IS-7.1.2 4 94.100 1.44E+3 5.51E+3 196.042
42
122 ISA90X90X1 ISA200x200x 0.968 1.000 0.968 7.1.2 BEND C 4 61.800 969.123 3.77E+3 52.736
123 ISA90X90X1 ISA200x200x 1.818 1.000 1.818 IS-7.1.1(A) 4 94.100 1.44E+3 5.51E+3 196.042
124 ISA90X90X1 ISA150x115x 0.835 1.000 0.835 7.1.2 BEND C 4 25.700 158.065 728.681 8.567
125 ISA90X90X1 ISA200x200x 1.085 1.000 1.085 IS-7.1.2 4 94.100 1.44E+3 5.51E+3 196.042
126 ISA90X90X1 ISA180x180x 0.919 1.000 0.919 IS-7.1.1(A) 4 52.100 652.896 2.57E+3 39.075
127 ISA90X90X1 ISA200x200x 0.863 1.000 0.863 IS-7.1.2 4 90.600 1.38E+3 5.34E+3 173.952
128 ISA90X90X1 ISA200x150x 0.959 1.000 0.959 IS-7.1.1(B) 4 60.000 618.246 2.93E+3 64.800
129 ISA100X100 ISA80x80x6 0.889 1.000 0.889 IS-7.1.1(A) 4 9.290 22.899 91.722 1.115
130 ISA100X100 ISA70x70x5 0.674 1.000 0.674 IS-7.1.1(A) 7 6.770 12.893 51.426 0.564
131 ISA100X100 ISA75x75x6 0.990 1.000 0.990 IS-7.1.1(A) 10 8.660 18.713 75.052 1.039
132 ISA100X100 ISA60x60x5 0.988 1.000 0.988 IS-7.1.1(A) 8 5.750 7.871 31.944 0.479
133 ISA100X100 ISA75x75x6 0.953 1.000 0.953 7.1.2 BEND C 10 8.660 18.713 75.052 1.039
134 ISA100X100 ISA125x95x6 0.911 1.000 0.911 IS-7.1.1(A) 4 12.900 54.742 259.355 1.548
135 ISA100X100 ISA90x90x6 0.906 1.000 0.906 IS-7.1.1(A) 4 10.500 33.268 131.910 1.260
137 ISA100X100 ISA70x70x6 0.925 1.000 0.925 IS-7.1.1(B) 9 8.060 15.128 60.485 0.967
138 ISA100X100 ISA70x70x5 0.918 1.000 0.918 7.1.2 BEND C 10 6.770 12.893 51.426 0.564
139 ISA100X100 ISA90x65x6 0.966 1.000 0.966 IS-7.1.2 4 9.010 17.913 89.384 1.081
140 ISA100X100 ISA130x130x 0.991 1.000 0.991 IS-7.1.1(A) 4 20.300 135.125 533.572 4.331
141 ISA100X100 ISA70x70x5 0.860 1.000 0.860 IS-7.1.1(A) 10 6.770 12.893 51.426 0.564
43
142 ISA100X100 ISA70x70x5 0.876 1.000 0.876 IS-7.1.1(A) 7 6.770 12.893 51.426 0.564
143 ISA100X100 ISA70x70x5 0.879 1.000 0.879 IS-7.1.1(A) 10 6.770 12.893 51.426 0.564
144 ISA100X100 ISA70x70x5 0.884 1.000 0.884 IS-7.1.2 10 6.770 12.893 51.426 0.564
145 ISA100X100 ISA90x90x6 0.942 1.000 0.942 IS-7.1.1(A) 4 10.500 33.268 131.910 1.260
146 ISA100X100 ISA110x110x 0.940 1.000 0.940 IS-7.1.1(B) 4 25.100 116.025 451.661 12.048
147 ISA100X100 ISA125x95x6 0.915 1.000 0.915 IS-7.1.1(A) 4 12.900 54.742 259.355 1.548
148 ISA100X100 ISA65x65x5 0.857 1.000 0.857 7.1.2 BEND C 4 6.250 10.081 41.010 0.521
149 ISA100X100 ISA70x70x5 0.757 1.000 0.757 IS-7.1.1(A) 8 6.770 12.893 51.426 0.564
150 ISA100X100 ISA70x70x5 0.817 1.000 0.817 IS-7.1.1(A) 7 6.770 12.893 51.426 0.564
151 ISA100X100 ISA75x75x5 0.717 1.000 0.717 IS-7.1.1(A) 8 7.270 15.924 63.732 0.606
152 ISA100X100 ISA75x75x5 0.787 1.000 0.787 IS-7.1.1(A) 7 7.270 15.924 63.732 0.606
153 ISA100X100 ISA70x70x5 0.662 1.000 0.662 IS-7.1.1(A) 4 6.770 12.893 51.426 0.564
154 ISA100X100 ISA60x60x4 0.778 1.000 0.778 7.1.2 BEND C 4 4.710 6.558 26.074 0.251
155 ISA100X100 ISA65x65x5 0.750 1.000 0.750 IS-7.1.1(A) 4 6.250 10.081 41.010 0.521
156 ISA100X100 ISA60x60x5 0.978 1.000 0.978 IS-7.1.1(B) 4 5.750 7.871 31.944 0.479
157 ISA100X100 ISA70x70x6 0.959 1.000 0.959 IS-7.1.2 4 8.060 15.128 60.485 0.967
158 ISA100X100 ISA125x95x8 0.960 1.000 0.960 IS-7.1.1(A) 4 17.000 71.442 336.605 3.627
159 ISA100X100 ISA75x75x5 0.998 1.000 0.998 IS-7.1.1(B) 4 7.270 15.924 63.732 0.606
160 ISA100X100 ISA65x65x5 0.720 1.000 0.720 7.1.2 BEND C 4 6.250 10.081 41.010 0.521
161 ISA100X100 ISA75x75x5 0.837 1.000 0.837 IS-7.1.1(A) 4 7.270 15.924 63.732 0.606
44
162 ISA100X100 ISA70x70x5 0.421 1.000 0.421 7.1.2 BEND C 4 6.770 12.893 51.426 0.564
163 ISA100X100 ISA75x75x5 0.518 1.000 0.518 IS-7.1.1(A) 4 7.270 15.924 63.732 0.606
164 ISA100X100 ISA75x75x5 0.288 1.000 0.288 IS-7.1.1(A) 7 7.270 15.924 63.732 0.606
165 ISA100X100 ISA80x80x6 0.956 1.000 0.956 IS-7.1.1(A) 10 9.290 22.899 91.722 1.115
166 ISA100X100 ISA70x70x5 0.892 1.000 0.892 IS-7.1.1(A) 7 6.770 12.893 51.426 0.564
167 ISA100X100 ISA75x75x5 0.938 1.000 0.938 IS-7.1.1(A) 4 7.270 15.924 63.732 0.606
168 ISA100X100 ISA70x70x5 0.972 1.000 0.972 IS-7.1.1(A) 9 6.770 12.893 51.426 0.564
169 ISA100X100 ISA90x90x6 0.823 1.000 0.823 IS-7.1.2 4 10.500 33.268 131.910 1.260
170 ISA100X100 ISA100x100x 0.916 1.000 0.916 IS-7.1.1(A) 4 13.700 53.709 209.396 2.238
171 ISA100X100 ISA100x100x 0.889 1.000 0.889 IS-7.1.1(A) 4 13.700 53.709 209.396 2.238
172 ISA100X100 ISA65x65x5 0.795 1.000 0.795 7.1.2 BEND C 4 6.250 10.081 41.010 0.521
173 ISA100X100 ISA75x75x6 0.895 1.000 0.895 7.1.2 BEND C 4 8.660 18.713 75.052 1.039
174 ISA100X100 ISA75x75x5 0.802 1.000 0.802 IS-7.1.1(A) 9 7.270 15.924 63.732 0.606
175 ISA100X100 ISA75x75x5 0.517 1.000 0.517 7.1.2 BEND C 4 7.270 15.924 63.732 0.606
176 ISA100X100 ISA90x90x6 0.802 1.000 0.802 IS-7.1.1(A) 4 10.500 33.268 131.910 1.260
177 ISA100X100 ISA200x150x 0.924 1.000 0.924 7.1.2 BEND C 4 40.900 434.669 2.05E+3 19.632
178 ISA100X100 ISA125x75x8 0.967 1.000 0.967 IS-7.1.1(B) 4 15.400 40.416 279.159 3.285
179 ISA100X100 ISA200x150x 0.893 1.000 0.893 7.1.2 BEND C 4 60.000 618.246 2.93E+3 64.800
45
180 ISA100X100 ISA200x150x 0.864 1.000 0.864 IS-7.1.2 4 40.900 434.669 2.05E+3 19.632
181 ISA100X100 ISA150x90x1 0.973 1.000 0.973 7.1.2 BEND C 4 23.200 88.218 598.971 7.733
182 ISA100X100 ISA200x150x 0.985 1.000 0.985 IS-7.1.2 4 40.900 434.669 2.05E+3 19.632
183 ISA100X100 ISA125x75x6 0.988 1.000 0.988 IS-7.1.2 4 11.600 30.820 215.563 1.392
184 ISA100X100 ISA110x110x 0.877 1.000 0.877 IS-7.1.1(A) 4 17.100 80.522 318.087 3.648
185 ISA100X100 ISA200x200x 0.863 1.000 0.863 7.1.2 BEND C 4 61.800 969.123 3.77E+3 52.736
186 ISA100X100 ISA130x130x 0.957 1.000 0.957 IS-7.1.1(A) 4 22.900 152.432 591.589 6.183
187 ISA100X100 ISA150x150x 0.924 1.000 0.924 IS-7.1.1(A) 4 29.200 259.308 1.02E+3 9.733
188 ISA100X100 ISA150x90x1 0.985 1.000 0.985 IS-7.1.2 4 27.500 103.499 702.636 13.200
189 ISA100X100 ISA200x200x 0.894 1.000 0.894 IS-7.1.2 4 76.400 1.18E+3 4.58E+3 101.867
190 ISA100X100 ISA200x200x 0.993 1.000 0.993 IS-7.1.2 4 61.800 969.123 3.77E+3 52.736
191 ISA100X100 ISA200x150x 0.948 1.000 0.948 IS-7.1.2 4 60.000 618.246 2.93E+3 64.800
192 ISA100X100 ISA200x200x 1.129 1.000 1.129 IS-7.1.2 4 94.100 1.44E+3 5.51E+3 196.042
193 ISA90X90X1 ISA150x150x 0.837 1.000 0.837 IS-7.1.1(A) 4 29.200 259.308 1.02E+3 9.733
194 ISA90X90X1 ISA200x150x 0.916 1.000 0.916 IS-7.1.1(B) 4 60.000 618.246 2.93E+3 64.800
195 ISA90X90X1 ISA200x200x 0.964 1.000 0.964 IS-7.1.2 4 76.400 1.18E+3 4.58E+3 101.867
196 ISA90X90X1 ISA200x200x 1.177 1.000 1.177 IS-7.1.1(B) 4 94.100 1.44E+3 5.51E+3 196.042
197 ISA90X90X1
ISA200x150
x 0.871 1.000 0.871 IS-7.1.2 4 40.900 434.669 2.05E+3 19.632
198 ISA90X90X1
ISA200x200
0.909 1.000 0.909 IS-7.1.1(B) 4 61.800 969.123 3.77E+3 52.736
46
x
199 ISA90X90X1
ISA150x150
x 0.959 1.000 0.959 IS-7.1.1(A) 4 43.000 369.151 1.45E+3 32.250
200 ISA90X90X1
ISA200x200
x 0.869 1.000 0.869 7.1.2 BEND C 4 61.800 969.123 3.77E+3 52.736
201 ISA90X90X1
ISA150x150
x 0.934 1.000 0.934 7.1.2 BEND C 4 43.000 369.151 1.45E+3 32.250
202 ISA100X100
ISA110x110
x 0.937 1.000 0.937 IS-7.1.1(B) 4 17.100 80.522 318.087 3.648
203 ISA90X90X1
ISA200x200
x 0.939 1.000 0.939 IS-7.1.1(A) 4 61.800 969.123 3.77E+3 52.736
204 ISA90X90X1
ISA200x200
x 0.956 1.000 0.956 IS-7.1.2 4 61.800 969.123 3.77E+3 52.736
205 ISA130X130
ISA200x200
x 1.449 1.000 1.449 IS-7.1.1(A) 4 94.100 1.44E+3 5.51E+3 196.042
206 ISA130X130
ISA200x200
x 1.931 1.000 1.931 IS-7.1.1(A) 4 94.100 1.44E+3 5.51E+3 196.042
207 ISA130X130
ISA200x200
x 2.915 1.000 2.915 IS-7.1.2 4 94.100 1.44E+3 5.51E+3 196.042
208 ISA130X130
ISA200x200
x 2.845 1.000 2.845 IS-7.1.2 4 94.100 1.44E+3 5.51E+3 196.042
209 ISA130X130
ISA200x200
x 2.863 1.000 2.863 7.1.2 BEND C 4 94.100 1.44E+3 5.51E+3 196.042
210 ISA130X130
ISA200x200
x 2.318 1.000 2.318 IS-7.1.1(B) 4 94.100 1.44E+3 5.51E+3 196.042
211 ISA130X130
ISA200x200
x 3.190 1.000 3.190 IS-7.1.2 4 94.100 1.44E+3 5.51E+3 196.042
47
212 ISA130X130
ISA200x200
x 2.250 1.000 2.250 7.1.2 BEND C 4 94.100 1.44E+3 5.51E+3 196.042
214 ISA100X100
ISA200x200
x 1.317 1.000 1.317 IS-7.1.1(A) 4 94.100 1.44E+3 5.51E+3 196.042
216 ISA100X100
ISA200x200
x 1.067 1.000 1.067 7.1.2 BEND C 4 94.100 1.44E+3 5.51E+3 196.042
217 ISA100X100
ISA200x200
x 1.054 1.000 1.054 IS-7.1.1(A) 4 94.100 1.44E+3 5.51E+3 196.042
218 ISA100X100
ISA200x200
x 0.819 1.000 0.819 IS-7.1.2 4 61.800 969.123 3.77E+3 52.736
219 ISA100X100
ISA200x150
x 0.871 1.000 0.871 7.1.2 BEND C 4 40.900 434.669 2.05E+3 19.632
220 ISA100X100
ISA200x200
x 0.858 1.000 0.858 IS-7.1.1(A) 4 76.400 1.18E+3 4.58E+3 101.867
221 ISA100X100
ISA200x150
x 0.985 1.000 0.985 IS-7.1.2 4 60.000 618.246 2.93E+3 64.800
222 ISA100X100
ISA200x200
x 0.963 1.000 0.963 IS-7.1.1(A) 4 90.600 1.38E+3 5.34E+3 173.952
223 ISA100X100
ISA200x200
x 1.175 1.000 1.175 7.1.2 BEND C 4 94.100 1.44E+3 5.51E+3 196.042
225 ISA100X100
ISA200x200
x 0.941 1.000 0.941 IS-7.1.1(A) 4 46.900 746.653 2.91E+3 22.512
226 ISA100X100
ISA200x200
x 0.851 1.000 0.851 IS-7.1.1(B) 4 61.800 969.123 3.77E+3 52.736
227 ISA100X100
ISA200x150
x 0.957 1.000 0.957 IS-7.1.2 4 53.700 560.247 2.65E+3 45.824
48
CHAPTER 5 CONCLUSION
It has been revealed that the load combinations involving wind-forces were critical amongst all
combinations. Hence the design was carried out for those combinations.The design given by
STAAD.Pro has been found to be complying with IS-800: 1984 and all the members were safe.
Steel lattice transmission tower considered in this paper can safely withstand the design wind
load and actually load acting on tower. The bottom tier members have more role in performance
of the tower in taking axial forces. The vertical members are more prominent in taking the loads
of the tower than the horizontal and diagonal members, the members supporting the cables at
higher elevations are likely to have larger influence on the behavior of the tower structure. The
effect of twisting moment of the intact structure is not significant.
Maximum displacements ( cm /radians)
Maximums at node
X = -1.05377E-01 78
Y = -2.13147E-01 39
Z = 1.90213E-01 40
Summation of moments around the origin Mx=
MX=262.87 MY= 0.00 MZ = -262.24
Forces on supports
RX= 9.16579E-04 81
RY= -8.92220E-04 84
RZ= -8.50960E-04
Total length required for the section ISA200X200X25 =110.86 mt
The total length required for the section ISA130X130X10 = 32 mt
The total length required for the section ISA100X100X8 = 366.46 mt
The total length required for the section ISA90X90X12 = 53.03 mt
49
List of critical beam
110,116,6,211,5,207,114,209,208,112,90,113,210,212,89,7,115,8,109,206,123,32,
92,91,119,205 and 121
50
REFERENCES
1- Ch. Sudheer; K. Rajashekar; P. Padmanabha Reddy; Y. Bhargava Gopi Krishna, (2013)
Analysis And Design Of 220kv. Transmission line tower in different zones I & V with different
base widths- A comparative study, ISSN 2347-4289.
2- Gopi Sudam Punse, (2014) Analysis and Design of Transmission Tower
3- C. Preeti; K. Jagan Mohan, (2013) Analysis of Transmission Towers with different
configurations, Jordan Journal of Civil Engineering, Volume 7, No. 4
4-IS 800:1984
5-IS 875:1987
6- Y. M. Ghugal, U. S. Salunkhe “Analysis and Design of Three and Four Legged 400KV Steel
Transmission Line Tower
7-V. Lakshmi1, A. Rajagopala Rao “ Effect Of Medium Wind Intensity On 21M 132kV
Transmission Tower”
ISSN: 2250
8- M.Selvaraj, S.M.Kulkarni, R.Ramesh Babu “Behavioral Analysis of built up transmission line
tower 2012
9-S.Christian Johnson 1 G.S.Thirugnanam “Experimental study on corrosion of transmission line
tower foundation and its rehabilitation” International Journal Of Civil And Structural
Engineering ISSN 0976
.

Design and Analysis of Transmission Tower at Allahabad

  • 1.
    1 STRUCTURAL ANALYSIS &DESIGN OF STEEL TRANSMISSION TOWER A PROJECT REPORT SUBMITTED IN PARTIAL FULFILLMENT FOR THE AWARD OF THE DEGREE OF BACHELOR OF TECHNOLOGY (CIVIL ENGINEERING) SUBMITTED TO DR. A.P.J. ABDUL KALAM TECHNICAL UNIVERSITY SUBMITTED BY ABHIJIT KUMAR (1301000001) ADIT YADAV (1301000005) AMIT TIWARI (1301000011) ASHUTOSH YADAV (1301000022) DEEPESH PANDEY (1301000031) UNDER THE SUPERVISION OF MR. BRAJESH KUMAR SUMAN ASSISTANT PROFESSOR DEPT. OF CIVIL ENGINEERING (MAY, 2017) UNITED COLLEGE OFENGINEERING AND RESEARCH A-31 UPSIDC INDUSTRIAL AREA, NAINI ALLAHABAD-211010
  • 2.
    2 CERTIFICATE This is tocertify that Mr. Abhijit Kumar, Mr. Adit Yadav, Mr. Amit Tiwari, Mr. Ashutosh Yadav and Mr. Deepesh Pandey of final year B.Tech, Civil Engineering(2013-2017) completed their project work on “Analysis and Design of Steel Transmission Tower” assisted under my supervision and guidance earnestly and diligence. They took keen interest in all the activities regarding the project. I appreciate their sincerity and efforts. Dr. Shikha saxena (Mr. B.K. Suman) Head of Department Assistant Professor Dept. of Civil Engg. Dept. of Civil Engg. UCER, Allahabad UCER, Allahabad
  • 3.
    3 ACKNOWLEDGEMENT Every work accomplishmentis a pleasure – a sense of satisfaction. However a number of people always motivate, criticize and appreciated a work with their objective ideas and opinions hence we would like to use this opportunity to thank all, who have directly or indirectly helped us to accomplish this project. Firstly,We would like to thank Dr. Shikha ma’am without whose support, this project could not be completed, next we would like to thank Mr. B.K. Suman for his great guidance. Next we would like to thank all the people, who gave their valuable time and feedback to this project. We would like to thank our college for supporting us. ABHIJIT KUMAR (1301000001) ADIT YADAV (1301000005) AMIT TIWARI (1301000011) ASHUTOSH YADAV (1301000022) DEEPESH PANDEY (1301000031)
  • 4.
    4 CONTENTS Chapter No. TitlePage No. Certificate 2 Acknowledgement 3 Content 4 Abstract 5 1 1.1 Introduction 6 1.2 Objective 11 1.3 Scope of project 12 2 Literature Review 13 3 Methodology 15 3.1 Section Property 16 3.2 Support 17 3.3 Types of load 18 3.4 Wind load calculations 21 4 Result and Discussion 23 4.1 post processing mode 23 4.2 End member force 24 4.3 Beam graph 26 4.4 Failure members 29 4.5 Steel take off 34 4.6 Design Result 36 5 Conclusion 48 Reference 50
  • 5.
    5 ABSTRACT In this project,the design of steel lattice tower prescribed for transmission of electricity by the categorized gravity and lateral loads has been studied and analyzed for the employment of the project. The analysis has been done by taking different combination of loads and then the design has been come into picture using the code module IS 800:2007. The present work describes the analysis and design of transmission line tower of 30 meter height viz. various parameters. In design of tower for weight optimization some parameters are considered such as; base width, height of tower, outline of tower. Using STAAD Pro. , analysis of transmission towers has been carried out as a 3-D structure. The tower members are designed as angle section .Transmission line tower constitute about 28 to 42 percent of the cost of the transmission power line project. The increasing demand for electricity can be made more economical by developing different light weight configuration of transmission line tower. In this study an attempt is made to model, analyse and design a 220KV transmission line tower using manual calculations. The tower is designed in wind zone – II with base width 1/6thof total height of the tower. This objective is made by choosing a 220 KV single circuit transmission line carried by square base self supporting tower with a view to optimize the existing geometry .Structure is made determinate by excluding the horizontal members and axial forces are calculated using method of joints and design is carried out as per IS CODE 800:2007. The desired safety factors have been actuated contemplating the selected location i.e Allahabad. The various factors including environmental and materials used for the structure is also considered. The software tool used in the process is STAAD.Pro 2008. The load calculations were performed manually but the analysis and design results were obtained through STAAD.Pro 2008. At all stages, the effort is to provide optimally safe design along with keeping the economic considerations.
  • 6.
    6 CHAPTER 1 1.1 INTRODUCTION Indiahas a large population residing all over the country and the electricity supply need of this population creates requirement of a large transmission and distribution system. Also, the disposition of the primary resources for electrical power generation viz., coal, hydro potential is quite uneven, thus again adding to the transmission requirements. Transmission line is an integrated system consisting of conductor subsystem, ground wire subsystem and one subsystem for each category of support structure. Mechanical supports of transmission line represent a significant portion of the cost of the line and they play an important role in the reliable power transmission. They are designed and constructed in wide variety of shapes, types, sizes, Configurations and materials. The supporting structure types used in transmission lines generally fall into one of the three categories: lattice, pole and guyed. The supports of EHV transmission lines are normally steel lattice towers. The cost of towers constitutes about quarter to half of the cost of transmission line and hence optimum tower design will bring in substantial savings. The selection of an optimum outline together with right type of bracing system contributes to a large extent in developing an economical design of transmission line tower. The height of tower is fixed by the user and the structural designer has the task of designing the general configuration and member and joint details. The goal of every designer is to design the best (optimum) systems. But, because of the practical restrictions this has been achieved through intuition, experience and repeated trials, a process that has worked well.
  • 7.
    7 A steel transmissiontower is a tall structure, usually a steel lattice tower, used to support an overhead power line. They are used in high voltage AC and DC system, and come in a wide variety of shape and sizes. Typical height ranges from 15 to 55 m (49 to 180 ft) though the tallest are the 370 m (1214 ft). In addition to steel other materials may be used, including concrete and wood. The transmission tower is an important tower accessory and the performance of the transmission line very much on the design of the transmission tower. The electric transmission tower can be classified several ways. Here we will try to classify it broadly. The most obvious and visible owe type tower are- 1. Lattice structure 2. Tubular pole structure Lattice structure Lattice steel towers are made up of many different steel structural components connected together with bolts or welded. Many different types of lattice steel towers exist. These towers are also called self-supporting transmission towers or free-standing towers, due to their ability to support themselves. These towers are not always made of steel; they can also be made of aluminum or galvanized steel. Self- supporting lattice structure are used for electricity transmission line tower. The lattice structure can be erected easily in very inaccessible location as the tower member can be easily transported. Lattice structure are light and cost effective. Tubular steel poles: Tubular steel poles are another of the major types of transmission towers. They are made up of hollow steel poles. Tubular steel poles can be manufactured as one large piece, or as several small pieces which fit together
  • 8.
    8 Fig-1.1: Transmission Tower . Componentsof transmission tower Transmission tower consists of following parts 1- Boom of transmission tower 2- Cage of transmission tower 3- Cross arm of transmission tower
  • 9.
    9 4- Peak oftransmission tower 5- Transmission tower body Peak of transmission tower The Peak of transmission tower is mainly used for lay ground wire in suspension clamp and tension clamp in suspension and angle tower locations. Peak is a portion of the above vertical configuration of top cross arm. We can simply say that Peak is the section above the boom in case of the horizontal section of tower. The peak height depend on the specific angle of shield and clearance of mid span. Fig-1. 2: Peak of Transmission Tower Cross arm of transmission tower Cross Arm is one of the key components of transmission line and it holds the power conductor. Cross arm can vary due to the location and power carried by the transmission line. Number of cross arms depend on the number of circuits consist in Transmission Line
  • 10.
    10 Fig- 1.3: CrossArm of Steel Transmission Tower The Cage The area between tower body and peak is known as the cage of the Transmission Tower. The main vertical section of any transmission tower is named as cage. Normally cross section of cage takes square shape and the shape is also depending on the height of the transmission line. Fig-1.4: Cage Of Transmission Tower Body of Tower Tower body is the main part of the tower which connects the boom and the cage to tower foundation on body extension or the leg extension. The shape of the body is square type and tower body consist two columns which connected ate the end of the foundations.
  • 11.
    11 Fig1.5- Tower Body 1.2OBJECTIVE The objective of this project is to analyse and design a steel transmission tower using STAAD Pro.The tower is situated at Allahabad, which comes into wind zone II 1.3 SCOPE OF PRESENT WORK: Continuous demand due to increasing population in all sectors viz. residential, commercial and industrial leads to requirement of efficient, consistent and adequate amount of electric power supply which can only be fulfilled by using the Conventional Transmission Towers.It can be substituted between the transmission line of wide based tower where narrow width is required for certain specified distance.
  • 12.
    12 Effective static loadingon transmission line structure, conductor and ground wire can be replaced with the actual dynamic loading and the results can be compared. Attempt in changing the shape of cross arm can lead to wonderful results. Rapid urbanization and increasing demand for electric, availability of land leads to involve use of tubular shape pole structure. also restricted area (due to non-availability of land), more supply of electric energy with available resources and for continuous supply without any interruption in the transmission line, will demand the use of high altitude narrow based steel lattice transmission.
  • 13.
    13 CHAPTER 2 LITERATURE REVIEW GENERAL Researchwork done in the last twenty years in the area of transmission line tower failures, X- braced panels, K-braced panels, single angle compression members, behavior of bolted connections, dynamic behavior of towers, local buckling in angle sections have been reviewed in this chapter and is broadly classified into two phases namely, analytical studies on cross bracing systems, analytical studies on the failure of transmission line towers in the field and experimental investigations on cross bracing systems and on the transmission line towers in the laboratory. (Y. M. Ghugal, U. S. Salunkhe ,2011) Analysis and Design of Three and Four Legged 400KV Steel Transmission Line Towers: The four legged lattice towers are most commonly used as transmission line towers. Three legged towers only used as telecommunication, microwaves, radio and guyed towers but not used in power sectors as transmission line towers. In this study an attempt is made that the three legged towers are designed as 400 KV double circuit transmission line tower. The present work describes the analysis and design of two self- supporting 400 KV steel transmission line towers viz three legged and four legged models using common parameters such as constant height, bracing system, with an angle sections system are carried out. In this study constant loading parameters including wind forces as per IS: 802 (1995) are taken into account. After analysis, the comparative study is presented with respective to slenderness effect, critical sections, forces and deflections of both three legged and four legged towers. A saving in steel weight up to 21.2% resulted when a three legged tower is compared with a four legged type. (V. Lakshmi1, A. Rajagopala Rao,2003) Effect of medium wind intensity on 21m 132kv transmission tower: The Recommendations of IS 875-1987, Basic wind speeds, Influence of height above ground and terrain, Design wind speed, Design wind pressure, Design wind force is explained in detailed. An analysis is carried out for the tower and the performance of the tower and the member forces in all the vertical, horizontal and diagonal members are evaluated. The critical elements among each of three groups are identified. In subsequent chapters the
  • 14.
    14 performance of towerunder abnormal conditions such as localized failures are evaluated. The details of load calculation, modeling and analysis are discussed. The wind intensity converted into point loads and loads are applied at panel joints. (G.Visweswara Rao,1995) Optimum designs for transmission line towers: A method for the development of optimized tower designs for extra high-voltage transmission lines is presented in the paper. The optimization is with reference to both tower weight and geometry. It is achieved by the control of a chosen set of key design parameters. Fuzziness in the definition of these control variables is also included in the design process. A derivative free method of nonlinear optimization is incorporated in the program, specially developed for the configuration, analysis and design of transmission line towers. A few interesting result of both crisp and fuzzy optimization, relevant to the design of a typical double circuit transmission line tower under multiple loading condition, are presented. (S.Christian Johnson 1 G.S.Thirugnanam 2010) Experimental study on corrosion of transmission line tower foundation and its rehabilitation: In transmission line towers, the tower legs are usually set in concrete which generally provides good protection to the steel. However defects and cracks in the concrete can allow water and salts to penetrate with subsequent corrosion and weakening of the leg. When ferrous materials oxidized to ferrous oxide (corrosion) its volume is obviously more than original ferrous material hence the chimney concrete will undergo strain resulting in formation of cracks. The cracks open, draining the water in to chimney concrete enhancing the corrosion process resulting finally in spelling of chimney concrete. This form of corrosion of stub angle just above the muffing or within the muffing is very common in saline areas. If this is not attended at proper time, the tower may collapse under abnormal climatic conditions. Maintenance and refurbishment of in-service electric power transmission lines require accurate knowledge of components condition in order to develop cost effective programs to extend their useful life. Degradation of foundation concrete can be best assessed by excavation. This is the most rigorous method since it allows determination of the extent and type of corrosion attack, including possible involvement of microbial induced corrosion. In this paper, Physical, Chemical and electro chemical parameters, studied on transmission line tower stubs excavated from inland and coastal areas have been presented. A methodology for rehabilitation of transmission tower stubs has been discussed.
  • 15.
    15 CHAPTER -3 METHODOLOGY The principleobjective of this project is to analyze and design Steel Transmission Tower using STAAD Pro. The design involves load calculations manually and analyzing the whole structure by STAAD Pro. The design methods used in STAAD Pro analysis are Limit State Design confirming to Indian standard code of practice. STAAD Pro features a state of the art user interface, visualization tools, powerful analysis and design engines with advanced finite elements and dynamic analysis capabilities. From model generation, analysis and design to visualization and result verification, STAAD Pro is the professional choice. Initially we started with the analysis of simple to dimensional frames and manually checked the accuracy of the software with our results. The results proved to be very accurate. We analyzed & design a Steel Transmission Tower initially for all possible load combinations (dead, live, wind, and seismic loads). STAAD Pro has a very interactive user interface which allows the users to draw the frame and input the load values and dimensions. Then according to the specified criteria assigned it analysis the structure and designs the members. We continued with our work with some more 2D & 3D frames under various loads combinations. Our final work was the proper analysis & design of Steel Transmission Tower under various load combinations. The total height of Steel Transmission Tower is 30m and structure is subjected to self weight, dead load, live load, & wind load under the load case details of STAAD Pro. The wind load values are generated by STAAD Pro considering the given wind intensities with the specifications of IS 875 Part 3. The materials were specified & cross sections of beams in members were assigned. The supports at the base of the structure were specified as fixed. Then STAAD Pro was used to analyze the structure and design the members. In the post processing mode after the completion of design we can work on structure and study bending moment and shear force values with generated
  • 16.
    16 diagrams. We mayalso check the Deflections of various members under the given loading combinations. The design of the Steel Transmission Tower is depend upon the minimum requirements as prescribed in the Indian Standard codes. Strict conformity loading standards recommended in this code, it is hoped that it will ensure the structural safety of the tower which are being designed. Structure and structural elements were normally designed by limit state methods. 3.1 SECTION PROPERTY There are four types of angle are used in this tower. 1- ISA 200*200*25 (For main legs) 2- ISA 100*100*8 (For diagonal bracing) 3- ISA 130*130*10 (for horizontal bracing) 4- ISA 90*90*12 (For cross arm) Fig 3.1 Section Properties 3.2 SUPPORT SYSTEM FOR THE TOWER Supports are arguably one of the most important aspects of a structure, as it specifies how the forces within the structure are transferred to the ground. This knowledge is required before solving the model, as it tells us what the boundary conditions are.
  • 17.
    17 The support usedfor this project tower is fixed support. FIXED SUPPORT A fixed support is the most rigid type of support or connection. They are also known as rigid support. It can resist vertical and horizontal forces as well as moment since they restrain both rotation and translation. Fig 3.2 Fix Support 3.3 TYPES OF LOADS FOR ANALYSIS AND DESIGN For the Transmission tower, analysis was performed and the design done for the following loads:
  • 18.
    18  Self Weight Wind load  Cable load Self Weight The self weight is precisely considered as the dead load of the structure as these loads neither change their position nor do they vary their magnitude. Actually, according to IS 1911:1967, the density of steel is 7850 kg/m3 but we have assumed the self weight of both super and substructure of the tower as 1 kN/m2 in downward direction CABLE LOAD The weight of the cable wire constitute cable load. Fig:3.1 Cable Load The forces at the support ends of the cable can be estimated as T = (H2 + (w L / 2)2 )0.5 where T = forces at supports and, H = mid span force in the cable and can be calculated as: H = w L2 / (8 d)
  • 19.
    19 Where w =unit weight of the cable L = cable span d = cable sag Since the wires are in sag position, therefore the load is inclined at some angle . Hence this load is resolved into two components namely horizontal and vertical. Horizontal components are canceled due to equal and opposite forces acting on tower. Vertical component adds up to the self weight of the tower. Fig – 3.2 Cable Load on Tower WIND LOAD The term wind denotes almost exclusively to horizontal wind. Wind pressure, therefore, acts horizontally on the exposed surfaces of towers. Here, we have followed Design wind speed as per IS: 875-1987. The design wind speed (Vz) is obtained by multiplying the basic wind speed (Vb) by the factors k1,k2 and k3. Vz =Vb×k1×k2 ×k3 Where, Vb= the basic wind speed in m/s at 10 m height
  • 20.
    20 K1= probability factor(or risk coefficient) K2 = terrain, height and structure size factor K3 = topography factor. The basic wind speed of Allahabad is taken as 47 m/s as per IS- 875:1987 Part-III. Probability factor (or risk coefficient), k1 The factor k1is based on statistical concept which take account of degree of reliability required a period of time in years during which there will be exposure to wind. In actual practice the factor k1 depends on type and importance of structure, design life of structure and basic wind speed in the region Terrain, height and structure size factor, k2 This factor takes into account terrain roughness, height and size of structure for determining k2 . Terrains are classified in to four categories and structures according to their heights into three classes. Categories of structure There are mainly four categories of structure for terrain, height and structure size which are as follows: Category 1: This represents exposed open terrain with few or no obstructions i.e. open sea coasts and flat treeless plains. Category 2: This represents open terrain with well scattered obstructions having height between 1.5 to 10 m., i.e. air fields, under developed built-up outskirts of towns and suburbs. Category 3: This represents terrain with numerous closely spaced obstructions. This category includes well wooded areas, shrubs, towns and industrial areas fully or partially developed. Category 4: This represents terrain with numerous large high closely spaced obstructions above 25m., i.e. large city centres.
  • 21.
    21 Classes of structure Thereare mainly three Classes of structure are as follows: Class A: Structures having maximum dimension less than 20m. Class B: Structures having maximum dimension between 20m to 50 m Class C: Structures having maximum dimension greater than 50m Fig 3.3 – Wind Load On Tower .3.2 WIND LOAD CALCULATION The design wind pressure Pz is calculated by the following equation Pz = 0.6 xVz 2 Where, Pz = design wind pressure in N/m2 Vz = design wind speed in m/s . To calculate design wind pressure, Vz= VR×K1×K2 VR = reduced wind speed VR = Vb/k0
  • 22.
    22 Vb = basicwind speed K0 =1.375 [conversion factor] K1 = risk coefficient K2 = terrain roughness coefficient. Wind Pressure Details: Basic wind speed Vb = 47 m/s Wind zone –II Reliability level –2 Terrain category –2 Reference wind speed VR = Vb/Ko = 47/1.375 = 34.1818 m/s Design wind speed Vz = VR x k1 x k2 K1=risk coefficient for wind zone II and return period 50 years =1 K2=Terrain roughness coefficient for open terrain category 2 =1 Therefore, Vz = 34.1818 x 1 x 1 = 34.1818 m/s. Now, Design wind pressure Pz = 0.6 x Vz 2 = 0.6 x 34.18182 = 701.03 N/m2
  • 23.
    23 CHAPTER –4 RESULTS ANDDISCUSSION 4.1 POST PROCESSING MODE Fig-4.1
  • 24.
    24 Table – SummeryOf Displacement 4.2 ANALYSIS 4.3 END MEMBER FORCE Table End Member Force
  • 25.
    25 4.4 SUMMERY OFEND MEMBER FORCES Table Summery Of End Members Forces 4.5 ENVELOP OF END MEMBER FORCE Table Envelop Of End Member Force
  • 26.
  • 27.
  • 28.
  • 29.
    29 4.6 LIST OFFAILURE MEMBER Bea m Analysi s Propert y Design Property Actu al Rati o Allo wabl e Rati o ( Ratio Act./ Allo w.) Clause L/ C Ax (cm2) Iz (cm4) Iy (cm4) Ix (cm4)5 ISA200X 200 ISA200x2 00 09E +3 1.00 0 409E +3 IS- 7.1.1(A) 4 94.100 1.44E+3 5.51E +3 196.042 110 ISA130X 130 ISA200x2 00 4.57 6 1.00 0 4.57 6 IS- 7.1.1(A) 4 94.100 1.44E+3 5.51E +3 196.042 116 ISA130X 130 ISA200x2 00 3.69 5 1.00 0 3.69 5 IS-7.1.2 4 94.100 1.44E+3 5.51E +3 196.042 6 ISA200X 200 ISA200x2 00 3.60 9 1.00 0 3.60 9 IS- 7.1.1(A) 4 94.100 1.44E+3 5.51E +3 196.042 211 ISA130X 130 ISA200x2 00 3.19 0 1.00 0 3.19 0 IS-7.1.2 4 94.100 1.44E+3 5.51E +3 196.042 207 ISA130X 130 ISA200x2 00 2.91 5 1.00 0 2.91 5 IS-7.1.2 4 94.100 1.44E+3 5.51E +3 196.042 114 ISA130X 130 ISA200x2 00 2.91 3 1.00 0 2.91 3 IS- 7.1.1(B) 4 94.100 1.44E+3 5.51E +3 196.042 209 ISA130X 130 ISA200x2 00 2.86 3 1.00 0 2.86 3 7.1.2 BENDC 4 94.100 1.44E+3 5.51E +3 196.042 208 ISA130X 130 ISA200x2 00 2.84 5 1.00 0 2.84 5 IS-7.1.2 4 94.100 1.44E+3 5.51E +3 196.042 112 ISA130X 130 ISA200x2 00 2.76 0 1.00 0 2.76 0 7.1.2 BENDC 4 94.100 1.44E+3 5.51E +3 196.042 90 ISA200X 200 ISA200x2 00 2.69 0 1.00 0 2.69 0 IS- 7.1.1(A) 4 94.100 1.44E+3 5.51E +3 196.042 113 ISA130X 130 ISA200x2 00 2.46 3 1.00 0 2.46 3 IS- 7.1.1(B) 4 94.100 1.44E+3 5.51E +3 196.042 210 ISA130X 130 ISA200x2 00 2.31 8 1.00 0 2.31 8 IS- 7.1.1(B) 4 94.100 1.44E+3 5.51E +3 196.042 212 ISA130X 130 ISA200x2 00 2.25 0 1.00 0 2.25 0 7.1.2 BENDC 4 94.100 1.44E+3 5.51E +3 196.042 89 ISA200X 200 ISA200x2 00 2.23 6 1.00 0 2.23 6 IS- 7.1.1(A) 4 94.100 1.44E+3 5.51E +3 196.042 7 ISA200X 200 ISA200x2 00 2.20 1 1.00 0 2.20 1 IS- 7.1.1(A) 4 94.100 1.44E+3 5.51E +3 196.042 115 ISA130X 130 ISA200x2 00 2.19 5 1.00 0 2.19 5 7.1.2 BENDC 4 94.100 1.44E+3 5.51E +3 196.042 8 ISA200X 200 ISA200x2 00 2.18 4 1.00 0 2.18 4 IS- 7.1.1(A) 4 94.100 1.44E+3 5.51E +3 196.042 109 ISA130X 130 ISA200x2 00 1.93 7 1.00 0 1.93 7 IS- 7.1.1(B) 4 94.100 1.44E+3 5.51E +3 196.042 206 ISA130X 130 ISA200x2 00 1.93 1 1.00 0 1.93 1 IS- 7.1.1(A) 4 94.100 1.44E+3 5.51E +3 196.042 123 ISA90X9 0X1 ISA200x2 00 1.81 8 1.00 0 1.81 8 IS- 7.1.1(A) 4 94.100 1.44E+3 5.51E +3 196.042 3 ISA200X 200 ISA200x2 00 1.80 2 1.00 0 1.80 2 IS- 7.1.1(B) 4 94.100 1.44E+3 5.51E +3 196.042 2 ISA200X 200 ISA200x2 00 1.73 2 1.00 0 1.73 2 IS- 7.1.1(A) 4 94.100 1.44E+3 5.51E +3 196.042 92 ISA200X 200 ISA200x2 00 1.65 1 1.00 0 1.65 1 IS- 7.1.1(B) 4 94.100 1.44E+3 5.51E +3 196.042 91 ISA200X 200 ISA200x2 00 1.63 3 1.00 0 1.63 3 IS- 7.1.1(A) 4 94.100 1.44E+3 5.51E +3 196.042 119 ISA100X 100 ISA200x2 00 1.47 4 1.00 0 1.47 4 IS-7.1.2 4 94.100 1.44E+3 5.51E +3 196.042 205 ISA130X 130 ISA200x2 00 1.44 9 1.00 0 1.44 9 IS- 7.1.1(A) 4 94.100 1.44E+3 5.51E +3 196.042 121 ISA90X9 0X1 ISA200x2 00 1.35 5 1.00 0 1.35 5 IS-7.1.2 4 94.100 1.44E+3 5.51E +3 196.042 STAAD SPACE - LOADING 1 LOADTYPE DEAD TITLE LOAD CASE 1----------- SELFWEIGHT Y -1.000 ACTUAL WEIGHT OF THE STRUCTURE = 129.549 KN STRUCTURAL ELEMENTS IN LOAD CASE 1 ALONG Y. THIS COULD BE DUE TO SELFWEIGHT APPLIED TO SPECIFIC LIST OF MEMBERS/PLATES/SOLIDS/SURFACES. TOTAL UNFACTORED WEIGHT OF THE STRUCTURE = 137.889 KN TOTAL UNFACTORED WEIGHT OF THE STRUCTURE APPLIED = 129.549 KN
  • 30.
    30 LOADING 2 LOADTYPELIVE REDUCIBLE TITLE LOAD CASE 2 ----------- JOINT LOAD - UNIT KN METE JOINT FORCE-X FORCE-Y FORCE-Z MOM-X MOM-Y MOM-Z 13 0.00 -500.00 0.00 0.00 0.00 0.00 80 0.00 -500.00 0.00 0.00 0.00 0.00 81 0.00 -500.00 0.00 0.00 0.00 0.00 LOADING 3 LOADTYPE WIND TITLE LOAD CASE 3 ----------- JOINT LOAD - UNIT KN METE JOINT FORCE-X FORCE-Y FORCE-Z MOM-X MOM-Y MOM-Z 5 0.53 0.00 0.00 0.00 0.00 0.00 8 0.53 0.00 0.00 0.00 0.00 0.00 9 0.96 0.00 0.00 0.00 0.00 0.00 12 0.96 0.00 0.00 0.00 0.00 0.00 13 0.32 0.00 0.00 0.00 0.00 0.00 14 1.09 0.00 0.00 0.00 0.00 0.00 15 1.24 0.00 0.00 0.00 0.00 0.00 16 1.27 0.00 0.00 0.00 0.00 0.00 17 1.41 0.00 0.00 0.00 0.00 0.00 18 0.46 0.00 0.00 0.00 0.00 0.00 19 1.09 0.00 0.00 0.00 0.00 0.00 20 1.24 0.00 0.00 0.00 0.00 0.00 21 1.27 0.00 0.00 0.00 0.00 0.00 22 1.41 0.00 0.00 0.00 0.00 0.00 23 0.46 0.00 0.00 0.00 0.00 0.00 34 0.64 0.00 0.00 0.00 0.00 0.00 37 0.64 0.00 0.00 0.00 0.00 0.00 42 0.64 0.00 0.00 0.00 0.00 0.00 43 0.64 0.00 0.00 0.00 0.00 0.00 44 0.64 0.00 0.00 0.00 0.00 0.00 45 0.64 0.00 0.00 0.00 0.00 0.00 47 1.37 0.00 0.00 0.00 0.00 0.00
  • 31.
    31 48 1.58 0.000.00 0.00 0.00 0.00 49 1.67 0.00 0.00 0.00 0.00 0.00 50 1.66 0.00 0.00 0.00 0.00 0.00 CENTER OF FORCE BASED ON Y FORCES ONLY (METE). (FORCES IN NON-GLOBAL DIRECTIONS WILL INVALIDATE RESULTS) X = 0.202424988E+01 Y = 0.151283733E+02 Z = 0.202909972E+01 ***TOTAL APPLIED LOAD ( KN METE ) SUMMARY (LOADING 1 ) SUMMATION FORCE-X = -0.00 SUMMATION FORCE-Y = -129.55 SUMMATION FORCE-Z = -0.00 SUMMATION OF MOMENTS AROUND THE ORIGINMX= 262.87 MY= 0.00 MZ= -262.24 ***TOTAL REACTION LOAD( KN METE ) SUMMARY (LOADING 1 ) SUMMATION FORCE-X = 0.00 SUMMATION FORCE-Y = 129.55 SUMMATION FORCE-Z = 0.00 SUMMATION OF MOMENTS AROUND THE ORIGINMX= -262.87 MY= -0.00 MZ= 262.24 MAXIMUM DISPLACEMENTS ( CM /RADIANS) (LOADING 1) MAXIMUMS AT NODE
  • 32.
    32 X = -1.05377E-0178 Y = -2.13147E-01 39 Z = 1.90213E-01 40 RX= 9.16579E-04 81 RY= -8.92220E-04 84 RZ= -8.50960E-04 85 EXTERNAL AND INTERNAL JOINT LOAD SUMMARY ( KN METE )- JT EXT FX/ EXT FY/ EXT FZ/ EXT MX/ EXT MY/ EXT MZ/ INT FX INT FY INT FZ INT MX INT MY INT MZ SUPPORT=1 1 -0.00 -0.51 -0.00 0.06 0.00 -0.06 -2.03 -23.06 -2.03 -0.06 0.00 0.06 111000 2 0.00 -1.52 -0.00 0.09 0.00 0.09 3.18 -38.74 -2.43 -0.09 0.00 -0.09 111000 3 0.00 -1.52 0.00 -0.09 0.00 0.09 1.29 -23.78 1.28 0.09 -0.00 -0.09 111000 4 -0.00 -1.52 0.00 -0.09 0.00 -0.09 -2.45 -38.90 3.19 0.09 0.00 0.09 111000 STAAD.Pro CODE CHECKING - (IS-800:1984) v1.1 *********************** ALL UNITS ARE - KN METE (UNLESS OTHERWISE Noted) MEMBER TABLE RESULT/ CRITICAL COND/ RATIO/ LOADING/ FX MY MZ LOCATION
  • 33.
    33 ==================================================================== === 1 ST ISA200X200X25(INDIAN SECTIONS) PASS IS-7.1.1(A) 0.824 4 523.21 C -10.69 -9.75 0.00 2 ST ISA200X200X25 (INDIAN SECTIONS) FAIL IS-7.1.1(A) 1.732 4 688.54 C 50.08 -28.78 0.00 3 ST ISA200X200X25 (INDIAN SECTIONS) FAIL IS-7.1.1(B) 1.802 4 525.16 C -54.80 -35.10 0.00 4 ST ISA200X200X25 (INDIAN SECTIONS) FAIL IS-7.1.1(A) 1.071 4 676.35 C 33.31 -10.94 0.00 EQN. 7.1.1(A) CANNOT BE CHECKED PROPERLY. 5 ST ISA200X200X25 (INDIAN SECTIONS) FAIL IS-7.1.1(A) ******* 4 1199.25 C 4.59 -24.83 0.00 6 ST ISA200X200X25 (INDIAN SECTIONS) FAIL IS-7.1.1(A) 3.609 4 902.66 C -4.79 -24.72 4.00 7 ST ISA200X200X25 (INDIAN SECTIONS) FAIL IS-7.1.1(A) 2.201 4 581.29 C -2.13 -39.55 0.00 8 ST ISA200X200X25 (INDIAN SECTIONS) FAIL IS-7.1.1(A) 2.184 4 580.67 C -12.61 -39.15 4.00
  • 34.
    34 4.7 STEEL TAKE-OFF PROFILELENGTH(METE) WEIGHT(KN ) ST ISA200X200X25 110.86 80.136 ST ISA100X100X8 366.46 43.353 ST ISA130X130X10 32.00 6.170 ST ISA90X90X12 53.03 8.230 ---------------- TOTAL = 137.889 MEMBER PROFILE LENGTH WEIGHT METE) (KN ) 1 ST ISA200X200X25 3.34 2.416 2 ST ISA200X200X25 3.34 2.416 3 ST ISA200X200X25 3.34 2.416 4 ST ISA200X200X25 3.34 2.416 5 ST ISA200X200X25 4.00 2.891 6 ST ISA200X200X25 4.00 2.891 7 ST ISA200X200X25 4.00 2.891 8 ST ISA200X200X25 4.00 2.891 9 ST ISA100X100X8 2.45 0.290 10 ST ISA100X100X8 2.45 0.290 11 ST ISA100X100X8 2.45 0.290 12 ST ISA100X100X8 2.45 0.290 13 ST ISA130X130X10 2.00 0.386 14 ST ISA130X130X10 2.00 0.386 15 ST ISA130X130X10 2.00 0.386 16 ST ISA130X130X10 2.00 0.386 17 ST ISA100X100X8 2.00 0.237 18 ST ISA100X100X8 2.00 0.237 19 ST ISA200X200X25 2.00 1.446 20 ST ISA100X100X8 2.00 0.237 21 ST ISA200X200X25 3.34 2.416
  • 35.
    35 22 ST ISA200X200X253.34 2.416 23 ST ISA200X200X25 3.34 2.416 24 ST ISA200X200X25 3.34 2.416 25 ST ISA100X100X8 3.34 0.395 26 ST ISA200X200X25 3.34 2.416 27 ST ISA200X200X25 3.34 2.416 28 ST ISA200X200X25 3.34 2.416 29 ST ISA200X200X25 3.34 2.416 30 ST ISA200X200X25 3.34 2.416 31 ST ISA200X200X25 3.34 2.416 32 ST ISA200X200X25 3.34 2.416 33 ST ISA200X200X25 3.34 2.416 34 ST ISA200X200X25 3.34 2.416 35 ST ISA200X200X25 3.34 2.416 36 ST ISA200X200X25 3.34 2.416 37 ST ISA200X200X25 3.34 2.416 38 ST ISA200X200X25 3.34 2.416 39 ST ISA200X200X25 3.34 2.416 40 ST ISA200X200X25 3.34 2.416 41 ST ISA100X100X8 2.65 0.314 42 ST ISA100X100X8 2.53 0.300 43 ST ISA100X100X8 2.42 0.286 44 ST ISA100X100X8 2.32 0.274 45 ST ISA100X100X8 2.22 0.263 46 ST ISA100X100X8 2.14 0.253 47 ST ISA100X100X8 2.65 0.314 48 ST ISA100X100X8 2.53 0.300 49 ST ISA100X100X8 2.42 0.286 50 ST ISA100X100X8 2.32 0.274 51 ST ISA100X100X8 2.22 0.263 52 ST ISA100X100X8 2.14 0.253
  • 36.
    36 53 ST ISA100X100X82.65 0.314 54 ST ISA100X100X8 2.53 0.300 55 ST ISA100X100X8 2.42 0.286 56 ST ISA100X100X8 2.32 0.274 57 ST ISA100X100X8 2.22 0.263 58 ST ISA100X100X8 2.14 0.253 59 ST ISA100X100X8 1.84 0.217 60 ST ISA100X100X8 1.95 0.230 61 ST ISA100X100X8 2.06 0.244 62 ST ISA100X100X8 2.18 0.258 63 ST ISA100X100X8 2.30 0.272 64 ST ISA100X100X8 2.43 0.288 65 ST ISA100X100X8 2.65 0.314 66 ST ISA100X100X8 2.53 0.300 67 ST ISA100X100X8 2.42 0.286 68 ST ISA100X100X8 2.32 0.274 69 ST ISA100X100X8 2.22 0.263 70 ST ISA100X100X8 2.14 0.253 71 ST ISA100X100X8 1.84 0.217 DESIGN RESULTS Beam Analysis Design Actual Allowable Ratio Clause L/C Ax Iz Iy Ix 2 4 4 4 Property Property Ratio Ratio (Act./Allow.) (cm ) (cm ) (cm ) (cm ) 1 ISA200X200 ISA200x200 x 0.864 1.000 0.864 IS-7.1.1(A) 4 90.600 1.38E+3 5.34E+3 173.952 2 ISA200X200 ISA200x200 x 1.732 1.000 1.732 IS-7.1.1(A) 4 94.100 1.44E+3 5.51E+3 196.042 3 ISA200X200 ISA200x200 x 1.802 1.000 1.802 IS-7.1.1(B) 4 94.100 1.44E+3 5.51E+3 196.042
  • 37.
    37 4 ISA200X200 ISA200x200 x 1.0711.000 1.071 IS-7.1.1(A) 4 94.100 1.44E+3 5.51E+3 196.042 5 ISA200X200 ISA200x200 x 09E+3 1.000 409E+3 IS-7.1.1(A) 4 94.100 1.44E+3 5.51E+3 196.042 6 ISA200X200 ISA200x200 x 3.609 1.000 3.609 IS-7.1.1(A) 4 94.100 1.44E+3 5.51E+3 196.042 7 ISA200X200 ISA200x200 x 2.201 1.000 2.201 IS-7.1.1(A) 4 94.100 1.44E+3 5.51E+3 196.042 8 ISA200X200 ISA200x200 x 2.184 1.000 2.184 IS-7.1.1(A) 4 94.100 1.44E+3 5.51E+3 196.042 9 ISA100X100 ISA200x150 x 0.910 1.000 0.910 IS-7.1.1(A) 4 34.300 369.013 1.74E+3 11.433 10 ISA100X100 ISA150x150 x 1.000 1.000 1.000 IS-7.1.1(A) 4 29.200 259.308 1.02E+3 9.733 11 ISA100X100 ISA200x150 x 0.884 1.000 0.884 IS-7.1.1(A) 4 34.300 369.013 1.74E+3 11.433 12 ISA100X100 ISA150x150 x 0.991 1.000 0.991 IS-7.1.1(A) 4 29.200 259.308 1.02E+3 9.733 13 ISA130X130 ISA200x200 x 1.263 1.000 1.263 IS-7.1.1(B) 4 94.100 1.44E+3 5.51E+3 196.042 14 ISA130X130 ISA200x200 x 0.969 1.000 0.969 IS-7.1.1(B) 4 94.100 1.44E+3 5.51E+3 196.042 15 ISA130X130 ISA150x150 x 0.969 1.000 0.969 IS-7.1.1(A) 4 34.800 304.904 1.2E+3 16.704 16 ISA130X130 ISA130x130 x 0.949 1.000 0.949 7.1.2 BEND C 4 25.100 165.783 651.674 8.367 17 ISA100X100 ISA135x65x 1 0.985 1.000 0.985 IS-7.1.1(B) 4 22.700 41.986 442.645 10.896
  • 38.
    38 18 ISA100X100 ISA200x150 x 0.9201.000 0.920 IS-7.1.1(A) 4 34.300 369.013 1.74E+3 11.433 19 ISA200X200 ISA200x150 x 0.977 1.000 0.977 IS-7.1.2 4 34.300 369.013 1.74E+3 11.433 20 ISA100X100 ISA125x95x 8 0.936 1.000 0.936 IS-7.1.2 4 17.000 71.442 336.605 3.627 21 ISA200X200 ISA200x200 x 0.871 1.000 0.871 IS-7.1.1(A) 4 90.600 1.38E+3 5.34E+3 173.952 22 ISA200X200 ISA200x200 x 0.939 1.000 0.939 IS-7.1.1(A) 4 76.400 1.18E+3 4.58E+3 101.867 23 ISA200X200 ISA200x200 x 0.898 1.000 0.898 IS-7.1.1(A) 4 76.400 1.18E+3 4.58E+3 101.867 24 ISA200X200 ISA200x200 x 0.946 1.000 0.946 IS-7.1.1(A) 4 76.400 1.18E+3 4.58E+3 101.867 25 ISA100X100 ISA200x200 x 0.855 1.000 0.855 IS-7.1.1(A) 4 61.800 969.123 3.77E+3 52.736 26 ISA200X200 ISA200x200 x 1.175 1.000 1.175 IS-7.1.1(A) 4 94.100 1.44E+3 5.51E+3 196.042 27 ISA200X200 ISA200x200 x 1.013 1.000 1.013 IS-7.1.1(A) 4 94.100 1.44E+3 5.51E+3 196.042 28 ISA200X200 ISA200x200 x 1.018 1.000 1.018 IS-7.1.1(A) 4 94.100 1.44E+3 5.51E+3 196.042 Beam Analysis Design Actual Allowable Ratio Clause L/C Ax Iz Iy Ix 29 ISA200X200 ISA200x200x 1.088 1.000 1.088 IS-7.1.1(A) 4 94.100 1.44E+3 5.51E+3 196.042 30 ISA200X200 ISA200x200x 1.135 1.000 1.135 IS-7.1.1(A) 4 94.100 1.44E+3 5.51E+3 196.042 31 ISA200X200 ISA200x200x 0.978 1.000 0.978 IS-7.1.1(A) 4 94.100 1.44E+3 5.51E+3 196.042
  • 39.
    39 32 ISA200X200 ISA200x200x0.891 1.000 0.891 IS-7.1.1(A) 4 76.400 1.18E+3 4.58E+3 101.867 33 ISA200X200 ISA200x200x 0.830 1.000 0.830 IS-7.1.1(A) 4 76.400 1.18E+3 4.58E+3 101.867 34 ISA200X200 ISA200x200x 0.995 1.000 0.995 IS-7.1.1(A) 4 61.800 969.123 3.77E+3 52.736 35 ISA200X200 ISA200x200x 0.809 1.000 0.809 IS-7.1.1(A) 4 76.400 1.18E+3 4.58E+3 101.867 36 ISA200X200 ISA200x200x 1.122 1.000 1.122 IS-7.1.1(A) 4 94.100 1.44E+3 5.51E+3 196.042 37 ISA200X200 ISA200x200x 1.015 1.000 1.015 IS-7.1.1(A) 4 94.100 1.44E+3 5.51E+3 196.042 38 ISA200X200 ISA200x200x 1.046 1.000 1.046 IS-7.1.1(A) 4 94.100 1.44E+3 5.51E+3 196.042 39 ISA200X200 ISA200x200x 1.085 1.000 1.085 IS-7.1.1(A) 4 94.100 1.44E+3 5.51E+3 196.042 40 ISA200X200 ISA200x200x 1.141 1.000 1.141 IS-7.1.1(A) 4 94.100 1.44E+3 5.51E+3 196.042 41 ISA100X100 ISA80x80x6 0.925 1.000 0.925 IS-7.1.1(A) 4 9.290 22.899 91.722 1.115 42 ISA100X100 ISA75x75x5 0.811 1.000 0.811 7.1.2 BEND C 10 7.270 15.924 63.732 0.606 43 ISA100X100 ISA75x75x5 0.896 1.000 0.896 IS-7.1.1(B) 10 7.270 15.924 63.732 0.606 44 ISA100X100 ISA75x75x5 0.957 1.000 0.957 IS-7.1.1(B) 10 7.270 15.924 63.732 0.606 45 ISA100X100 ISA65x65x5 0.945 1.000 0.945 7.1.2 BEND C 10 6.250 10.081 41.010 0.521 46 ISA100X100 ISA65x65x5 0.890 1.000 0.890 IS-7.1.1(A) 10 6.250 10.081 41.010 0.521 47 ISA100X100 ISA90x90x6 0.818 1.000 0.818 IS-7.1.1(A) 4 10.500 33.268 131.910 1.260 48 ISA100X100 ISA75x75x5 0.698 1.000 0.698 IS-7.1.2 10 7.270 15.924 63.732 0.606 49 ISA100X100 ISA75x75x5 0.872 1.000 0.872 IS-7.1.1(A) 4 7.270 15.924 63.732 0.606 50 ISA100X100 ISA75x75x6 0.892 1.000 0.892 7.1.2 BEND C 4 8.660 18.713 75.052 1.039 51 ISA100X100 ISA65x65x5 0.911 1.000 0.911 IS-7.1.1(A) 8 6.250 10.081 41.010 0.521
  • 40.
    40 52 ISA100X100 ISA100x100x0.841 1.000 0.841 IS-7.1.1(A) 4 11.700 45.869 182.915 1.404 53 ISA100X100 ISA75x75x5 0.925 1.000 0.925 IS-7.1.1(A) 10 7.270 15.924 63.732 0.606 54 ISA100X100 ISA75x75x5 0.720 1.000 0.720 IS-7.1.1(A) 7 7.270 15.924 63.732 0.606 55 ISA100X100 ISA75x75x6 0.891 1.000 0.891 IS-7.1.1(A) 10 8.660 18.713 75.052 1.039 56 ISA100X100 ISA70x70x5 0.724 1.000 0.724 7.1.2 BEND C 4 6.770 12.893 51.426 0.564 89 ISA200X200 ISA200x200x 2.236 1.000 2.236 IS-7.1.1(A) 4 94.100 1.44E+3 5.51E+3 196.042 90 ISA200X200 ISA200x200x 2.690 1.000 2.690 IS-7.1.1(A) 4 94.100 1.44E+3 5.51E+3 196.042 91 ISA200X200 ISA200x200x 1.633 1.000 1.633 IS-7.1.1(A) 4 94.100 1.44E+3 5.51E+3 196.042 92 ISA200X200 ISA200x200x 1.651 1.000 1.651 IS-7.1.1(B) 4 94.100 1.44E+3 5.51E+3 196.042 93 ISA100X100 ISA125x75x6 0.992 1.000 0.992 7.1.2 BEND C 4 11.600 30.820 215.563 1.392 94 ISA100X100 ISA200x150x 0.925 1.000 0.925 IS-7.1.1(A) 4 40.900 434.669 2.05E+3 19.632 95 ISA100X100 ISA200x150x 0.893 1.000 0.893 IS-7.1.2 4 34.300 369.013 1.74E+3 11.433 96 ISA100X100 ISA200x150x 0.941 1.000 0.941 IS-7.1.2 4 40.900 434.669 2.05E+3 19.632 97 ISA100X100 ISA200x150x 0.983 1.000 0.983 7.1.2 BEND C 4 40.900 434.669 2.05E+3 19.632 98 ISA100X100 ISA120x120x 0.974 1.000 0.974 IS-7.1.2 4 34.000 186.170 714.832 25.500 99 ISA100X100 ISA150x90x1 0.960 1.000 0.960 IS-7.1.2 4 27.500 103.499 702.636 13.200 100 ISA100X100 ISA130x130x 0.874 1.000 0.874 IS-7.1.1(B) 4 20.300 135.125 533.572 4.331 101 ISA100X100 ISA150x75x9 0.996 1.000 0.996 7.1.2 BEND C 4 19.600 50.805 488.265 5.292
  • 41.
    41 102 ISA100X100 ISA200x150x0.933 1.000 0.933 IS-7.1.1(A) 4 66.300 683.162 3.2E+3 88.400 103 ISA100X100 ISA200x150x 0.843 1.000 0.843 IS-7.1.1(B) 4 40.900 434.669 2.05E+3 19.632 104 ISA100X100 ISA200x200x 0.831 1.000 0.831 IS-7.1.2 4 76.400 1.18E+3 4.58E+3 101.867 105 ISA100X100 ISA200x200x 0.998 1.000 0.998 IS-7.1.2 4 61.800 969.123 3.77E+3 52.736 106 ISA100X100 ISA180x180x 0.975 1.000 0.975 IS-7.1.2 4 68.300 841.463 3.29E+3 91.067 107 ISA100X100 ISA200x150x 0.963 1.000 0.963 IS-7.1.2 4 60.000 618.246 2.93E+3 64.800 108 ISA100X100 ISA200x150x 0.975 1.000 0.975 IS-7.1.2 4 66.300 683.162 3.2E+3 88.400 109 ISA130X130 ISA200x200x 1.937 1.000 1.937 IS-7.1.1(B) 4 94.100 1.44E+3 5.51E+3 196.042 110 ISA130X130 ISA200x200x 4.576 1.000 4.576 IS-7.1.1(A) 4 94.100 1.44E+3 5.51E+3 196.042 11 1 ISA130X130 ISA200x200x 1.258 1.000 1.258 7.1.2 BEND C 4 94.100 1.44E+3 5.51E+3 196.042 113 ISA130X130 ISA200x200x 2.463 1.000 2.463 IS-7.1.1(B) 4 94.100 1.44E+3 5.51E+3 196.042 114 ISA130X130 ISA200x200x 2.913 1.000 2.913 IS-7.1.1(B) 4 94.100 1.44E+3 5.51E+3 196.042 115 ISA130X130 ISA200x200x 2.195 1.000 2.195 7.1.2 BEND C 4 94.100 1.44E+3 5.51E+3 196.042 116 ISA130X130 ISA200x200x 3.695 1.000 3.695 IS-7.1.2 4 94.100 1.44E+3 5.51E+3 196.042 117 ISA90X90X1 ISA200x200x 0.834 1.000 0.834 IS-7.1.1(A) 4 76.400 1.18E+3 4.58E+3 101.867 118 ISA100X100 ISA150x150x 0.945 1.000 0.945 IS-7.1.2 4 34.800 304.904 1.2E+3 16.704 119 ISA100X100 ISA200x200x 1.474 1.000 1.474 IS-7.1.2 4 94.100 1.44E+3 5.51E+3 196.042 120 ISA90X90X1 ISA180x180x 0.998 1.000 0.998 IS-7.1.1(B) 4 68.300 841.463 3.29E+3 91.067 121 ISA90X90X1 ISA200x200x 1.355 1.000 1.355 IS-7.1.2 4 94.100 1.44E+3 5.51E+3 196.042
  • 42.
    42 122 ISA90X90X1 ISA200x200x0.968 1.000 0.968 7.1.2 BEND C 4 61.800 969.123 3.77E+3 52.736 123 ISA90X90X1 ISA200x200x 1.818 1.000 1.818 IS-7.1.1(A) 4 94.100 1.44E+3 5.51E+3 196.042 124 ISA90X90X1 ISA150x115x 0.835 1.000 0.835 7.1.2 BEND C 4 25.700 158.065 728.681 8.567 125 ISA90X90X1 ISA200x200x 1.085 1.000 1.085 IS-7.1.2 4 94.100 1.44E+3 5.51E+3 196.042 126 ISA90X90X1 ISA180x180x 0.919 1.000 0.919 IS-7.1.1(A) 4 52.100 652.896 2.57E+3 39.075 127 ISA90X90X1 ISA200x200x 0.863 1.000 0.863 IS-7.1.2 4 90.600 1.38E+3 5.34E+3 173.952 128 ISA90X90X1 ISA200x150x 0.959 1.000 0.959 IS-7.1.1(B) 4 60.000 618.246 2.93E+3 64.800 129 ISA100X100 ISA80x80x6 0.889 1.000 0.889 IS-7.1.1(A) 4 9.290 22.899 91.722 1.115 130 ISA100X100 ISA70x70x5 0.674 1.000 0.674 IS-7.1.1(A) 7 6.770 12.893 51.426 0.564 131 ISA100X100 ISA75x75x6 0.990 1.000 0.990 IS-7.1.1(A) 10 8.660 18.713 75.052 1.039 132 ISA100X100 ISA60x60x5 0.988 1.000 0.988 IS-7.1.1(A) 8 5.750 7.871 31.944 0.479 133 ISA100X100 ISA75x75x6 0.953 1.000 0.953 7.1.2 BEND C 10 8.660 18.713 75.052 1.039 134 ISA100X100 ISA125x95x6 0.911 1.000 0.911 IS-7.1.1(A) 4 12.900 54.742 259.355 1.548 135 ISA100X100 ISA90x90x6 0.906 1.000 0.906 IS-7.1.1(A) 4 10.500 33.268 131.910 1.260 137 ISA100X100 ISA70x70x6 0.925 1.000 0.925 IS-7.1.1(B) 9 8.060 15.128 60.485 0.967 138 ISA100X100 ISA70x70x5 0.918 1.000 0.918 7.1.2 BEND C 10 6.770 12.893 51.426 0.564 139 ISA100X100 ISA90x65x6 0.966 1.000 0.966 IS-7.1.2 4 9.010 17.913 89.384 1.081 140 ISA100X100 ISA130x130x 0.991 1.000 0.991 IS-7.1.1(A) 4 20.300 135.125 533.572 4.331 141 ISA100X100 ISA70x70x5 0.860 1.000 0.860 IS-7.1.1(A) 10 6.770 12.893 51.426 0.564
  • 43.
    43 142 ISA100X100 ISA70x70x50.876 1.000 0.876 IS-7.1.1(A) 7 6.770 12.893 51.426 0.564 143 ISA100X100 ISA70x70x5 0.879 1.000 0.879 IS-7.1.1(A) 10 6.770 12.893 51.426 0.564 144 ISA100X100 ISA70x70x5 0.884 1.000 0.884 IS-7.1.2 10 6.770 12.893 51.426 0.564 145 ISA100X100 ISA90x90x6 0.942 1.000 0.942 IS-7.1.1(A) 4 10.500 33.268 131.910 1.260 146 ISA100X100 ISA110x110x 0.940 1.000 0.940 IS-7.1.1(B) 4 25.100 116.025 451.661 12.048 147 ISA100X100 ISA125x95x6 0.915 1.000 0.915 IS-7.1.1(A) 4 12.900 54.742 259.355 1.548 148 ISA100X100 ISA65x65x5 0.857 1.000 0.857 7.1.2 BEND C 4 6.250 10.081 41.010 0.521 149 ISA100X100 ISA70x70x5 0.757 1.000 0.757 IS-7.1.1(A) 8 6.770 12.893 51.426 0.564 150 ISA100X100 ISA70x70x5 0.817 1.000 0.817 IS-7.1.1(A) 7 6.770 12.893 51.426 0.564 151 ISA100X100 ISA75x75x5 0.717 1.000 0.717 IS-7.1.1(A) 8 7.270 15.924 63.732 0.606 152 ISA100X100 ISA75x75x5 0.787 1.000 0.787 IS-7.1.1(A) 7 7.270 15.924 63.732 0.606 153 ISA100X100 ISA70x70x5 0.662 1.000 0.662 IS-7.1.1(A) 4 6.770 12.893 51.426 0.564 154 ISA100X100 ISA60x60x4 0.778 1.000 0.778 7.1.2 BEND C 4 4.710 6.558 26.074 0.251 155 ISA100X100 ISA65x65x5 0.750 1.000 0.750 IS-7.1.1(A) 4 6.250 10.081 41.010 0.521 156 ISA100X100 ISA60x60x5 0.978 1.000 0.978 IS-7.1.1(B) 4 5.750 7.871 31.944 0.479 157 ISA100X100 ISA70x70x6 0.959 1.000 0.959 IS-7.1.2 4 8.060 15.128 60.485 0.967 158 ISA100X100 ISA125x95x8 0.960 1.000 0.960 IS-7.1.1(A) 4 17.000 71.442 336.605 3.627 159 ISA100X100 ISA75x75x5 0.998 1.000 0.998 IS-7.1.1(B) 4 7.270 15.924 63.732 0.606 160 ISA100X100 ISA65x65x5 0.720 1.000 0.720 7.1.2 BEND C 4 6.250 10.081 41.010 0.521 161 ISA100X100 ISA75x75x5 0.837 1.000 0.837 IS-7.1.1(A) 4 7.270 15.924 63.732 0.606
  • 44.
    44 162 ISA100X100 ISA70x70x50.421 1.000 0.421 7.1.2 BEND C 4 6.770 12.893 51.426 0.564 163 ISA100X100 ISA75x75x5 0.518 1.000 0.518 IS-7.1.1(A) 4 7.270 15.924 63.732 0.606 164 ISA100X100 ISA75x75x5 0.288 1.000 0.288 IS-7.1.1(A) 7 7.270 15.924 63.732 0.606 165 ISA100X100 ISA80x80x6 0.956 1.000 0.956 IS-7.1.1(A) 10 9.290 22.899 91.722 1.115 166 ISA100X100 ISA70x70x5 0.892 1.000 0.892 IS-7.1.1(A) 7 6.770 12.893 51.426 0.564 167 ISA100X100 ISA75x75x5 0.938 1.000 0.938 IS-7.1.1(A) 4 7.270 15.924 63.732 0.606 168 ISA100X100 ISA70x70x5 0.972 1.000 0.972 IS-7.1.1(A) 9 6.770 12.893 51.426 0.564 169 ISA100X100 ISA90x90x6 0.823 1.000 0.823 IS-7.1.2 4 10.500 33.268 131.910 1.260 170 ISA100X100 ISA100x100x 0.916 1.000 0.916 IS-7.1.1(A) 4 13.700 53.709 209.396 2.238 171 ISA100X100 ISA100x100x 0.889 1.000 0.889 IS-7.1.1(A) 4 13.700 53.709 209.396 2.238 172 ISA100X100 ISA65x65x5 0.795 1.000 0.795 7.1.2 BEND C 4 6.250 10.081 41.010 0.521 173 ISA100X100 ISA75x75x6 0.895 1.000 0.895 7.1.2 BEND C 4 8.660 18.713 75.052 1.039 174 ISA100X100 ISA75x75x5 0.802 1.000 0.802 IS-7.1.1(A) 9 7.270 15.924 63.732 0.606 175 ISA100X100 ISA75x75x5 0.517 1.000 0.517 7.1.2 BEND C 4 7.270 15.924 63.732 0.606 176 ISA100X100 ISA90x90x6 0.802 1.000 0.802 IS-7.1.1(A) 4 10.500 33.268 131.910 1.260 177 ISA100X100 ISA200x150x 0.924 1.000 0.924 7.1.2 BEND C 4 40.900 434.669 2.05E+3 19.632 178 ISA100X100 ISA125x75x8 0.967 1.000 0.967 IS-7.1.1(B) 4 15.400 40.416 279.159 3.285 179 ISA100X100 ISA200x150x 0.893 1.000 0.893 7.1.2 BEND C 4 60.000 618.246 2.93E+3 64.800
  • 45.
    45 180 ISA100X100 ISA200x150x0.864 1.000 0.864 IS-7.1.2 4 40.900 434.669 2.05E+3 19.632 181 ISA100X100 ISA150x90x1 0.973 1.000 0.973 7.1.2 BEND C 4 23.200 88.218 598.971 7.733 182 ISA100X100 ISA200x150x 0.985 1.000 0.985 IS-7.1.2 4 40.900 434.669 2.05E+3 19.632 183 ISA100X100 ISA125x75x6 0.988 1.000 0.988 IS-7.1.2 4 11.600 30.820 215.563 1.392 184 ISA100X100 ISA110x110x 0.877 1.000 0.877 IS-7.1.1(A) 4 17.100 80.522 318.087 3.648 185 ISA100X100 ISA200x200x 0.863 1.000 0.863 7.1.2 BEND C 4 61.800 969.123 3.77E+3 52.736 186 ISA100X100 ISA130x130x 0.957 1.000 0.957 IS-7.1.1(A) 4 22.900 152.432 591.589 6.183 187 ISA100X100 ISA150x150x 0.924 1.000 0.924 IS-7.1.1(A) 4 29.200 259.308 1.02E+3 9.733 188 ISA100X100 ISA150x90x1 0.985 1.000 0.985 IS-7.1.2 4 27.500 103.499 702.636 13.200 189 ISA100X100 ISA200x200x 0.894 1.000 0.894 IS-7.1.2 4 76.400 1.18E+3 4.58E+3 101.867 190 ISA100X100 ISA200x200x 0.993 1.000 0.993 IS-7.1.2 4 61.800 969.123 3.77E+3 52.736 191 ISA100X100 ISA200x150x 0.948 1.000 0.948 IS-7.1.2 4 60.000 618.246 2.93E+3 64.800 192 ISA100X100 ISA200x200x 1.129 1.000 1.129 IS-7.1.2 4 94.100 1.44E+3 5.51E+3 196.042 193 ISA90X90X1 ISA150x150x 0.837 1.000 0.837 IS-7.1.1(A) 4 29.200 259.308 1.02E+3 9.733 194 ISA90X90X1 ISA200x150x 0.916 1.000 0.916 IS-7.1.1(B) 4 60.000 618.246 2.93E+3 64.800 195 ISA90X90X1 ISA200x200x 0.964 1.000 0.964 IS-7.1.2 4 76.400 1.18E+3 4.58E+3 101.867 196 ISA90X90X1 ISA200x200x 1.177 1.000 1.177 IS-7.1.1(B) 4 94.100 1.44E+3 5.51E+3 196.042 197 ISA90X90X1 ISA200x150 x 0.871 1.000 0.871 IS-7.1.2 4 40.900 434.669 2.05E+3 19.632 198 ISA90X90X1 ISA200x200 0.909 1.000 0.909 IS-7.1.1(B) 4 61.800 969.123 3.77E+3 52.736
  • 46.
    46 x 199 ISA90X90X1 ISA150x150 x 0.9591.000 0.959 IS-7.1.1(A) 4 43.000 369.151 1.45E+3 32.250 200 ISA90X90X1 ISA200x200 x 0.869 1.000 0.869 7.1.2 BEND C 4 61.800 969.123 3.77E+3 52.736 201 ISA90X90X1 ISA150x150 x 0.934 1.000 0.934 7.1.2 BEND C 4 43.000 369.151 1.45E+3 32.250 202 ISA100X100 ISA110x110 x 0.937 1.000 0.937 IS-7.1.1(B) 4 17.100 80.522 318.087 3.648 203 ISA90X90X1 ISA200x200 x 0.939 1.000 0.939 IS-7.1.1(A) 4 61.800 969.123 3.77E+3 52.736 204 ISA90X90X1 ISA200x200 x 0.956 1.000 0.956 IS-7.1.2 4 61.800 969.123 3.77E+3 52.736 205 ISA130X130 ISA200x200 x 1.449 1.000 1.449 IS-7.1.1(A) 4 94.100 1.44E+3 5.51E+3 196.042 206 ISA130X130 ISA200x200 x 1.931 1.000 1.931 IS-7.1.1(A) 4 94.100 1.44E+3 5.51E+3 196.042 207 ISA130X130 ISA200x200 x 2.915 1.000 2.915 IS-7.1.2 4 94.100 1.44E+3 5.51E+3 196.042 208 ISA130X130 ISA200x200 x 2.845 1.000 2.845 IS-7.1.2 4 94.100 1.44E+3 5.51E+3 196.042 209 ISA130X130 ISA200x200 x 2.863 1.000 2.863 7.1.2 BEND C 4 94.100 1.44E+3 5.51E+3 196.042 210 ISA130X130 ISA200x200 x 2.318 1.000 2.318 IS-7.1.1(B) 4 94.100 1.44E+3 5.51E+3 196.042 211 ISA130X130 ISA200x200 x 3.190 1.000 3.190 IS-7.1.2 4 94.100 1.44E+3 5.51E+3 196.042
  • 47.
    47 212 ISA130X130 ISA200x200 x 2.2501.000 2.250 7.1.2 BEND C 4 94.100 1.44E+3 5.51E+3 196.042 214 ISA100X100 ISA200x200 x 1.317 1.000 1.317 IS-7.1.1(A) 4 94.100 1.44E+3 5.51E+3 196.042 216 ISA100X100 ISA200x200 x 1.067 1.000 1.067 7.1.2 BEND C 4 94.100 1.44E+3 5.51E+3 196.042 217 ISA100X100 ISA200x200 x 1.054 1.000 1.054 IS-7.1.1(A) 4 94.100 1.44E+3 5.51E+3 196.042 218 ISA100X100 ISA200x200 x 0.819 1.000 0.819 IS-7.1.2 4 61.800 969.123 3.77E+3 52.736 219 ISA100X100 ISA200x150 x 0.871 1.000 0.871 7.1.2 BEND C 4 40.900 434.669 2.05E+3 19.632 220 ISA100X100 ISA200x200 x 0.858 1.000 0.858 IS-7.1.1(A) 4 76.400 1.18E+3 4.58E+3 101.867 221 ISA100X100 ISA200x150 x 0.985 1.000 0.985 IS-7.1.2 4 60.000 618.246 2.93E+3 64.800 222 ISA100X100 ISA200x200 x 0.963 1.000 0.963 IS-7.1.1(A) 4 90.600 1.38E+3 5.34E+3 173.952 223 ISA100X100 ISA200x200 x 1.175 1.000 1.175 7.1.2 BEND C 4 94.100 1.44E+3 5.51E+3 196.042 225 ISA100X100 ISA200x200 x 0.941 1.000 0.941 IS-7.1.1(A) 4 46.900 746.653 2.91E+3 22.512 226 ISA100X100 ISA200x200 x 0.851 1.000 0.851 IS-7.1.1(B) 4 61.800 969.123 3.77E+3 52.736 227 ISA100X100 ISA200x150 x 0.957 1.000 0.957 IS-7.1.2 4 53.700 560.247 2.65E+3 45.824
  • 48.
    48 CHAPTER 5 CONCLUSION Ithas been revealed that the load combinations involving wind-forces were critical amongst all combinations. Hence the design was carried out for those combinations.The design given by STAAD.Pro has been found to be complying with IS-800: 1984 and all the members were safe. Steel lattice transmission tower considered in this paper can safely withstand the design wind load and actually load acting on tower. The bottom tier members have more role in performance of the tower in taking axial forces. The vertical members are more prominent in taking the loads of the tower than the horizontal and diagonal members, the members supporting the cables at higher elevations are likely to have larger influence on the behavior of the tower structure. The effect of twisting moment of the intact structure is not significant. Maximum displacements ( cm /radians) Maximums at node X = -1.05377E-01 78 Y = -2.13147E-01 39 Z = 1.90213E-01 40 Summation of moments around the origin Mx= MX=262.87 MY= 0.00 MZ = -262.24 Forces on supports RX= 9.16579E-04 81 RY= -8.92220E-04 84 RZ= -8.50960E-04 Total length required for the section ISA200X200X25 =110.86 mt The total length required for the section ISA130X130X10 = 32 mt The total length required for the section ISA100X100X8 = 366.46 mt The total length required for the section ISA90X90X12 = 53.03 mt
  • 49.
    49 List of criticalbeam 110,116,6,211,5,207,114,209,208,112,90,113,210,212,89,7,115,8,109,206,123,32, 92,91,119,205 and 121
  • 50.
    50 REFERENCES 1- Ch. Sudheer;K. Rajashekar; P. Padmanabha Reddy; Y. Bhargava Gopi Krishna, (2013) Analysis And Design Of 220kv. Transmission line tower in different zones I & V with different base widths- A comparative study, ISSN 2347-4289. 2- Gopi Sudam Punse, (2014) Analysis and Design of Transmission Tower 3- C. Preeti; K. Jagan Mohan, (2013) Analysis of Transmission Towers with different configurations, Jordan Journal of Civil Engineering, Volume 7, No. 4 4-IS 800:1984 5-IS 875:1987 6- Y. M. Ghugal, U. S. Salunkhe “Analysis and Design of Three and Four Legged 400KV Steel Transmission Line Tower 7-V. Lakshmi1, A. Rajagopala Rao “ Effect Of Medium Wind Intensity On 21M 132kV Transmission Tower” ISSN: 2250 8- M.Selvaraj, S.M.Kulkarni, R.Ramesh Babu “Behavioral Analysis of built up transmission line tower 2012 9-S.Christian Johnson 1 G.S.Thirugnanam “Experimental study on corrosion of transmission line tower foundation and its rehabilitation” International Journal Of Civil And Structural Engineering ISSN 0976 .