Embed presentation
Download to read offline












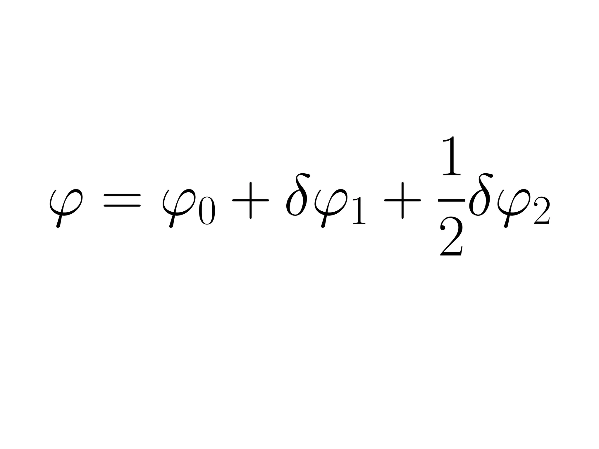
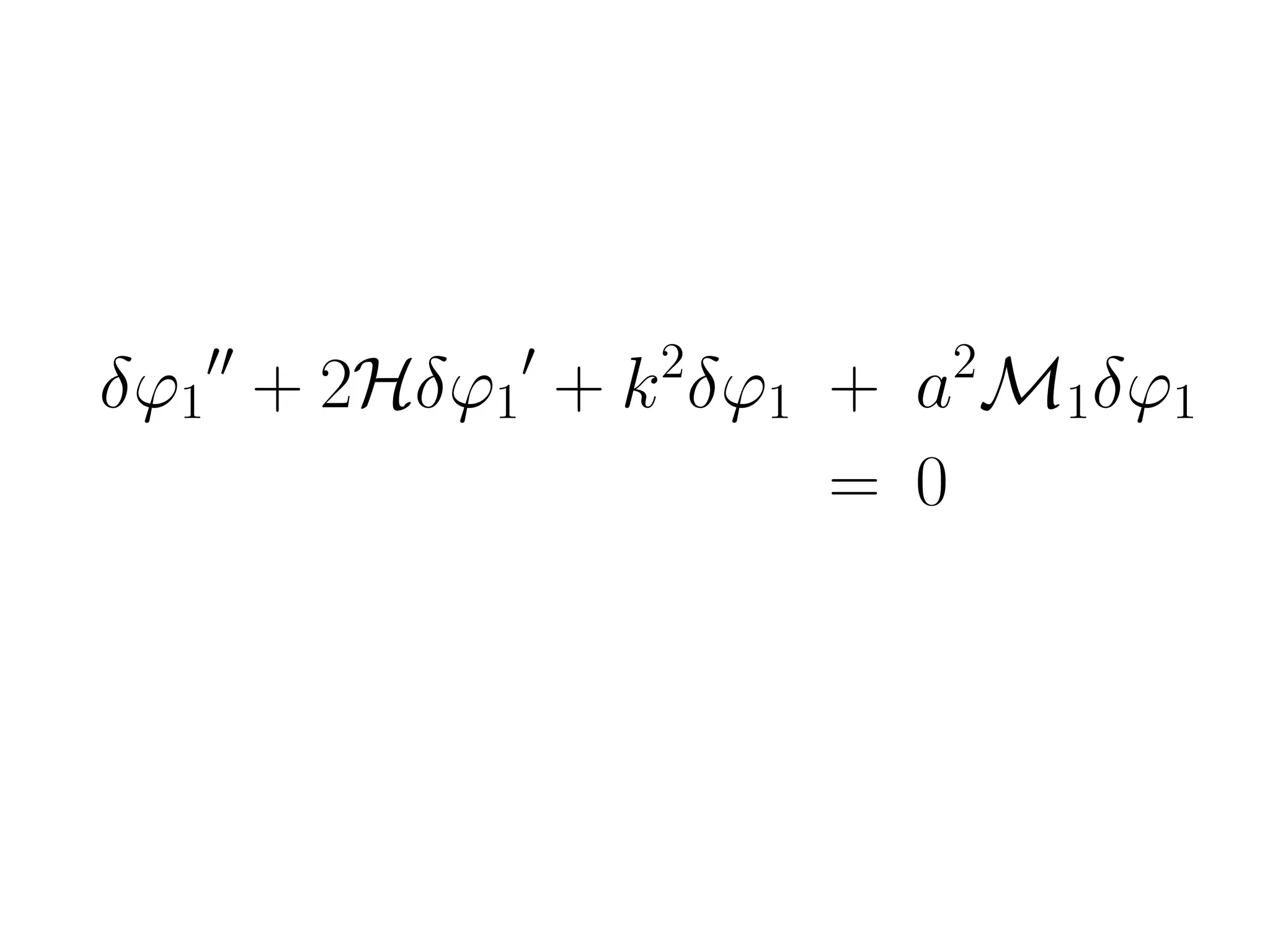
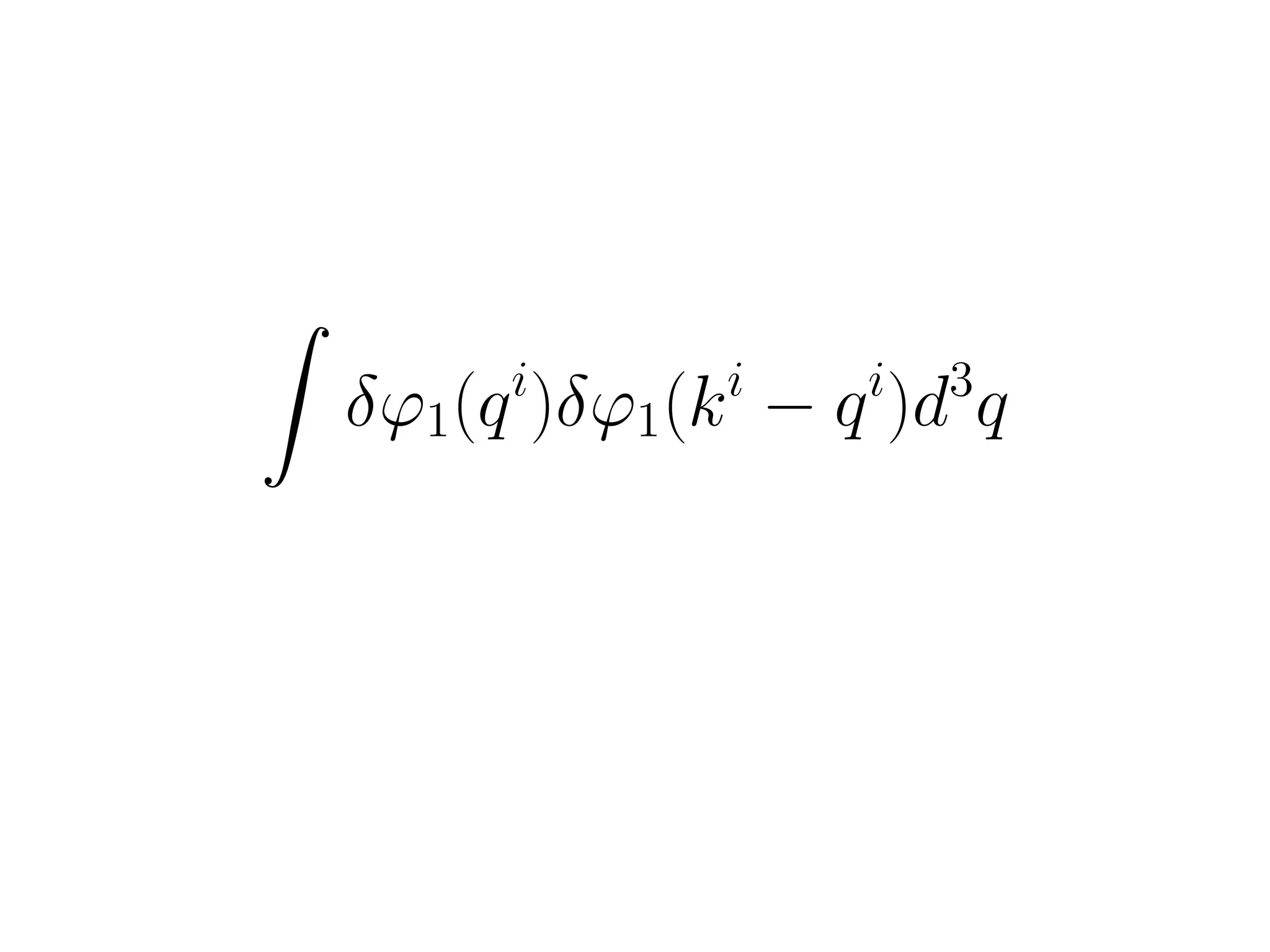
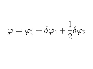
This document discusses numerical calculations of second-order perturbations in cosmological perturbations. It presents equations for the first-order and second-order perturbations δφ1 and δφ2 of a field φ, including a source term S(δφ1, δφ1) coupling the first-order perturbations. Graphs show results for the first-order perturbation √k2δφ1/3 and second-order perturbation k2δφ2/3 from a code implementing these calculations. Future work is needed to go beyond first order, include convolution, and consider multiple fields.










