Second Order Perturbations During
         Inflation Beyond Slow-roll

                           Ian Huston
           Astronomy Unit, Queen Mary, University of London




IH, K.A.Malik, arXiv:1103.0912 and 0907.2917 (JCAP 0909:019)
      Software available at http://pyflation.ianhuston.net
Outline


    1
        Perturbation Theory
        1st and 2nd Order Perturbations, Gauge Invariance
    2
        Our Results
        Source term and Second Order results for feature models
    3
        Our Code
        Implementation, properties and future goals
Outline


    1
        Perturbation Theory
        1st and 2nd Order Perturbations, Gauge Invariance
    2
        Our Results
        Source term and Second Order results for feature models
    3
        Our Code
        Implementation, properties and future goals
Outline


    1
        Perturbation Theory
        1st and 2nd Order Perturbations, Gauge Invariance
    2
        Our Results
        Source term and Second Order results for feature models
    3
        Our Code
        Implementation, properties and future goals
Outline


    1
        Perturbation Theory
        1st and 2nd Order Perturbations, Gauge Invariance
    2
        Our Results
        Source term and Second Order results for feature models
    3
        Our Code
        Implementation, properties and future goals
Faucher-Gigure et al., Science 2008
perturbations
         Long review: Malik & Wands 0809.4944
 Short technical review: Malik & Matravers 0804.3276
Separate quantities into
background and
perturbation.
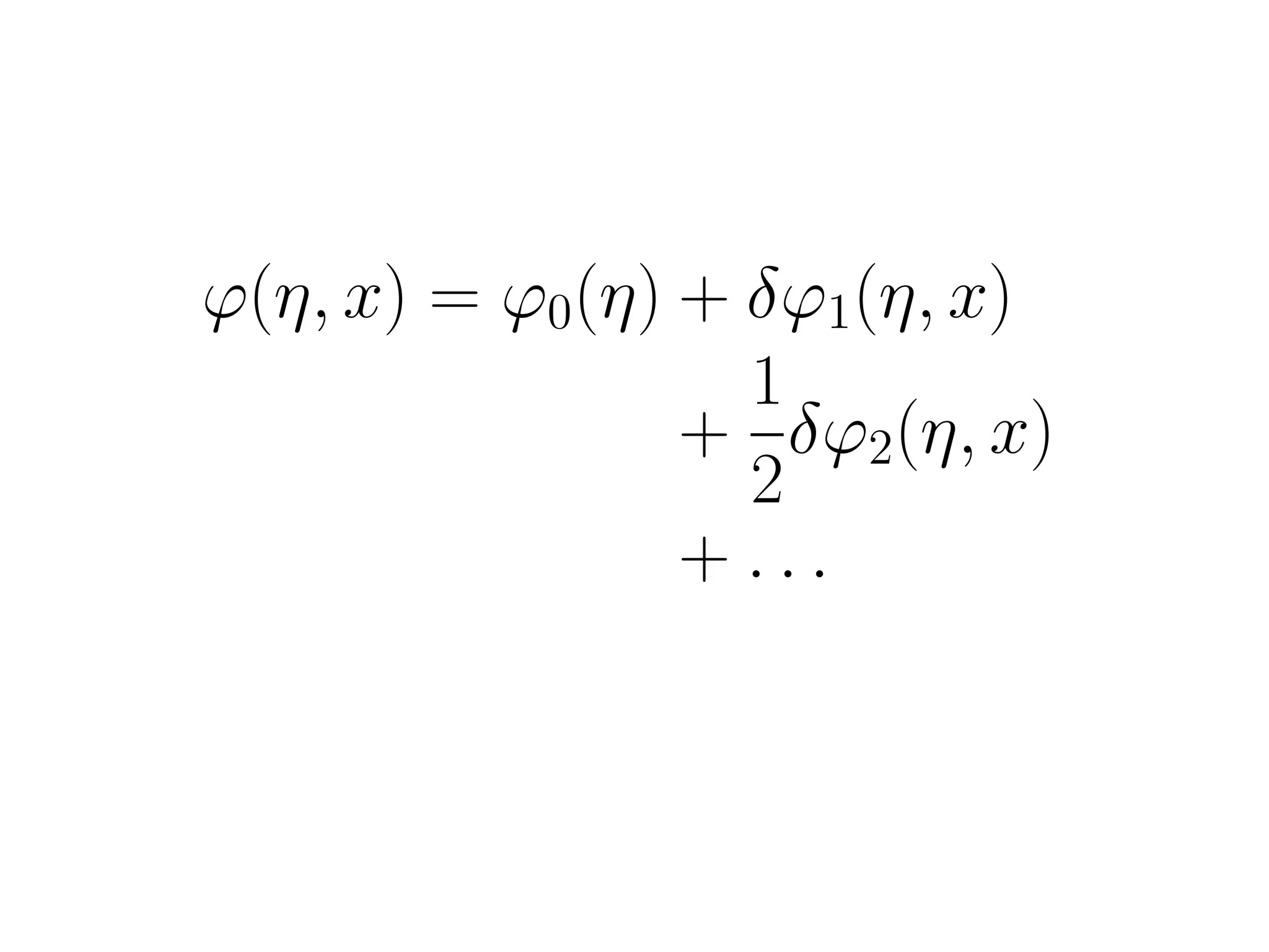
ϕ(η, x) = ϕ0(η) + δϕ(η, x)
                  1
                + δϕ2(η, x)
                  2
ϕ(η, x) = ϕ0(η) + δϕ1(η, x)
                  1
                + δϕ2(η, x)
                  2
                + ...
Gauge Choice Required

   Background split not covariant
   Many possible descriptions
   Should give same physical answers!

⇒ Use Gauge Invariant Variables
Gauge Choice Required

   Background split not covariant
   Many possible descriptions
   Should give same physical answers!

⇒ Use Gauge Invariant Variables
First order transformation
                                 xµ → xµ + ξ µ
between gauges
                 µ
                ξ1 = (α1, β1,i + γ1)
                                  i

                             +
                 T1 = T1 + £ξ1 T0
                             ⇓
                 δϕ1 = δϕ1 + ϕ0α1
Perturbed flat FRW metric at first order



  g00 = −a2 (1 + 2φ1 )

  g0i = a2 (B1,i − S1i )


  gij = a2 (1 − 2ψ)γij + 2E1,ij + 2F1(i,j) + h1ij



                                         Bardeen 1980
Perturbed flat FRW metric at first order



  g00 = −a2 (1 + 2φ1 )

  g0i = a2 (B1,i − S1i )


  gij = a2 (1 − 2ψ)γij + 2E1,ij + 2F1(i,j) + h1ij



                                         Bardeen 1980
Perturbed flat FRW metric at first order



         g00 = −a2 (1 + 2φ1 )

          g0i = a2 (B1,i )


          gij = a2 (1 − 2ψ)δij + 2E1,ij



                                          Bardeen 1980
Choosing a gauge

   Longitudinal: zero shear
   Comoving: zero 3-velocity
   Flat: zero curvature
   Uniform density: zero energy density
   ...
Example for Flat gauge:

Metric transformation:               ψ1 = ψ1 − Hα1

Flat gauge:                              α1 = ψ1 /H

Scalar transformation:          δϕ1 = δϕ1 + ϕ0 α1


Result
                                    ψ1
               δϕ1 flat = δϕ1 + ϕ0
                                    H
                            Sasaki 1986, Mukhanov 1988
Well-known gauge invariant variables

       ζ = ψ1 + H δρ1 Curvature perturbation on uniform
                  ρ0
                      density hypersurfaces

R = ψ1 − H(v1 + B1 ) Curvature perturbation on comoving
                     hypersurfaces

Ψ = ψ1 − H(B1 − E1 ) Curvature perturbation on zero shear
                     hypersurfaces (longitudinal gauge)
1
  ϕ(η, x) = ϕ0(η) + δϕ1(η, x) + δϕ2(η, x)
                               2


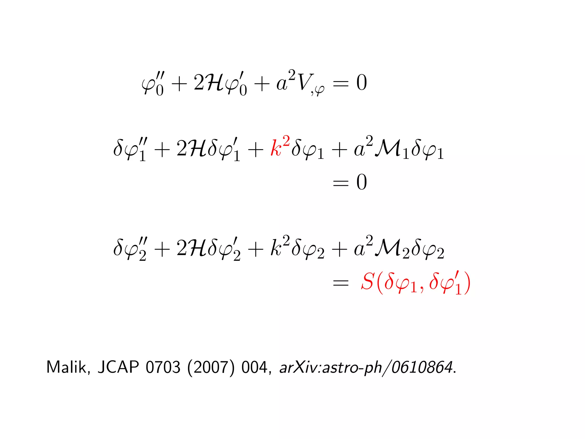
Increasing complexity at second order:
     Terms quadratic in first order quantities
     Coupling of different perturbation types
     “True” second order quantities still decouple
δGµν = 8πGδTµν
       ⇓
 Eqs of Motion
ϕ0 + 2Hϕ0 + a2 V,ϕ = 0

        δϕ1 + 2Hδϕ1 + k 2 δϕ1 + a2 M1 δϕ1
                              =0

        δϕ2 + 2Hδϕ2 + k 2 δϕ2 + a2 M2 δϕ2
                              = S(δϕ1 , δϕ1 )


Malik, JCAP 0703 (2007) 004, arXiv:astro-ph/0610864.
ϕ0 + 2Hϕ0 + a2 V,ϕ = 0

        δϕ1 + 2Hδϕ1 + k 2 δϕ1 + a2 M1 δϕ1
                              =0

        δϕ2 + 2Hδϕ2 + k 2 δϕ2 + a2 M2 δϕ2
                              = S(δϕ1 , δϕ1 )


Malik, JCAP 0703 (2007) 004, arXiv:astro-ph/0610864.
ϕ0 + 2Hϕ0 + a2 V,ϕ = 0

        δϕ1 + 2Hδϕ1 + k 2 δϕ1 + a2 M1 δϕ1
                              =0

        δϕ2 + 2Hδϕ2 + k 2 δϕ2 + a2 M2 δϕ2
                              = S(δϕ1 , δϕ1 )


Malik, JCAP 0703 (2007) 004, arXiv:astro-ph/0610864.
What have perturbations ever done for us?
Can use curvature perturbation ζ (conserved on large scales)
to link observations with primordial origins.

At different orders have different observables and different
phenomena:
 First Order (linear) =⇒        ζ 2 Power Spectrum

                                  ζ 3 Non-Gaussianity
    Second Order      =⇒         Vorticity
                                 Other non-linear effects
Other Approaches:
   δN formalism
   Lyth, Malik, Sasaki a-ph/0411220, etc.
   In-In formalism
   Maldacena a-ph/0210603, etc.
   Moment transport equations
   Mulryne, Seery, Wesley 0909.2256, 1008.3159
   Generalised Slow Roll
   Stewart a-ph/0110322, Adshead et al. 1102.3435
results
Second Order Perturbations During Inflation Beyond Slow-roll,
             Huston & Malik, arXiv:1103.0912
     2nd order equations: Malik, arXiv:astro-ph/0610864
Bump Potential


                     1                       ϕ − ϕb
             Vb (ϕ) = m2 ϕ2 1 + c sech
                     2                         d
                                      Chen et al. arXiv:0801.3295 etc.


      Transient breaking of slow roll around feature
      Asymptotes to quadratic potential away from feature
      Demonstrated step potential in paper

  Plots show result for WMAP pivot scale.
  X-axis is efolds remaining until end of inflation.
Breaking Slow Roll


             2

             0

            −2
       ηV




            −4

            −6        Step Potential
                      Bump Potential
                      Standard Quadratic Potential
            −8
                 57        56        55              54   53
                                  Nend − N
First Order Power Spectrum

                  10−2
                                          Full Bump Potential
                                          Half Bump Potential
                                          Zero Bump Potential
     −1/2




                  10−3
     k 3/2 |δϕ1 |/MPL




                  10−4



                  10−5
                         60   50   40    30  20     10      0
                                    Nend − N
First Order Power Spectrum

                         ×10−5


                   3.1
      −1/2
      k 3/2 |δϕ1 |/MPL




                   3.0

                   2.9

                   2.8                       Full Bump Potential
                                             Half Bump Potential
                                             Zero Bump Potential
                   2.7
                          57     56      55       54         53
                                      Nend − N
Source term S

                δϕ2 (k i ) + 2Hδϕ2 (k i ) + Mδϕ2 (k i ) = S(k i )

              10−1
                                                Full Bump Potential
              10−3                              Half Bump Potential
                                                Zero Bump Potential
              10−5
         −2
    |S|/MPL




              10−7

              10−9

         10−11

         10−13

         10−15
                       60     50      40    30  20         10       0
                                       Nend − N
Second order perturbation δϕ2


                                        Full Bump Potential
                                        Half Bump Potential
                10−5                    Zero Bump Potential
                −2
     |δϕ2 (k)|/MPL




                10−7


                10−9



                       60   50   40    30  20     10      0
                                  Nend − N
Second order perturbation δϕ2

                        ×10−7
                                Full Bump Potential
                 2.60           Half Bump Potential
                 2.55           Zero Bump Potential
                 −2
      |δϕ2 (k)|/MPL




                 2.50
                 2.45
                 2.40
                 2.35
                 2.30
                 2.25
                         57          56        55      54   53
                                            Nend − N
Features Inside and Outside the Horizon


               10−5                   Sub-Horizon Bump
                                      Super-Horizon Bump
                                      Standard Quadratic Potential
               10−7
          −2
     |S|/MPL




               10−9

          10−11

          10−13

                      61   60   59    58 57        56     55     54
                                     Nend − N
Features Inside and Outside the Horizon

                      1.04
                                          Sub-Horizon Bump
                      1.02                Super-Horizon Bump
                                          Standard Quadratic Potential
      |δϕ2 (k)|/|δϕ2quad |



                      1.00

                      0.98

                      0.96

                      0.94

                      0.92

                      0.90
                          70   60   50   40    30      20      10        0
                                         Nend − N
code():
First Order Numerical Reviews: Salopek et al. PRD40 1753,
                               Martin & Ringeval a-ph/0605367
Download at http://pyflation.ianhuston.net

Papers: arXiv:1103.0912, 0907.2917

    Uses Python & Numpy with compiled parts
    Source calculation is parallelisable
    Code is Open Source
Pyflation uses Python



       Quick and easy development
       Boost performance using Cython or linking C/Fortran libs
       Open Source (can see implementation)

 One easy way to get started:
 Enthought Python Distribution
 http://www.enthought.com
 (free for academic use)
Pyflation is Open Source



  Pyflation is released under the (modified) BSD-license.

  Benefits of open source code for scientific projects:
      Source code is available for inspection and testing
      Code can be modified and re-used
      Guaranteed to remain freely accessible
Pyflation is parallelisable




           k j qj δϕ1(q i)δϕ1(k i − q i)d3q

      Numerically intensive calculation
      Can be easily parallelised by timestep
      Can also single out wavenumber of interest
Progress




      Single field slow roll

      Single field full equation

      Multi-field calculation (underway)
Implementation


  Four Stages:
    1 Run background system to find end of inflation
    2 Run first order system for range of wavemodes
    3 Calculate source term convolution integral
    4 Run second order system with source term



                                   Paper plots created with
 Results are saved in HDF5 files          Matplotlib
Future Plans


      Three-point function of δϕ
      Using Green’s function solution from Seery, Malik, Lyth
      arXiv:0802.0588

      Multi-field equation
      Could check δN predictions, ζ conservation etc.

      Tensor & Vorticity similarities
      Similar equations of motion in other non-linear processes
Future Plans


      Three-point function of δϕ
      Using Green’s function solution from Seery, Malik, Lyth
      arXiv:0802.0588

      Multi-field equation
      Could check δN predictions, ζ conservation etc.

      Tensor & Vorticity similarities
      Similar equations of motion in other non-linear processes
Future Plans


      Three-point function of δϕ
      Using Green’s function solution from Seery, Malik, Lyth
      arXiv:0802.0588

      Multi-field equation
      Could check δN predictions, ζ conservation etc.

      Tensor & Vorticity similarities
      Similar equations of motion in other non-linear processes
Other interesting non-linear processes



      Vorticity generation
      (Half-day Vorticity meeting in RAS 14th July)

      Magnetic field generation

      2nd order Gravitational waves
Summary


    Perturbation theory extends beyond linear order

    New phenomena and observables at higher
    orders

    Second Order calculation intensive but possible

    Code available now
    (http://pyflation.ianhuston.net)
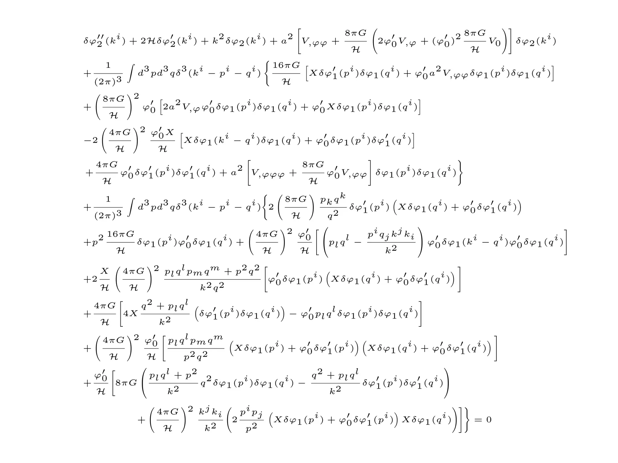
i            i     2      i      2        8πG                                          2 8πG              i
δϕ2 (k ) + 2Hδϕ2 (k ) + k δϕ2 (k ) + a   V,ϕϕ +                               2ϕ0 V,ϕ + (ϕ0 )      V0     δϕ2 (k )
                                                 H                                              H
      1        3  3 3 i     i   i                       16πG           i       i        2           i       i
+             d pd qδ (k − p − q )                              Xδϕ1 (p )δϕ1 (q ) + ϕ0 a V,ϕϕ δϕ1 (p )δϕ1 (q )
    (2π)3                                                H

     8πG      2
                       2             i       i              i       i
+                 ϕ0 2a V,ϕ ϕ0 δϕ1 (p )δϕ1 (q ) + ϕ0 Xδϕ1 (p )δϕ1 (q )
      H
      4πG         2 ϕ X
                     0             i   i       i             i       i
−2                          Xδϕ1 (k − q )δϕ1 (q ) + ϕ0 δϕ1 (p )δϕ1 (q )
          H           H
    4πG            i       i      2         8πG               i       i
+         ϕ0 δϕ1 (p )δϕ1 (q ) + a   V,ϕϕϕ +     ϕ0 V,ϕϕ δϕ1 (p )δϕ1 (q )
     H                                       H

      1        3  3 3 i     i   i                         8πG     pk q k       i            i             i
+             d pd qδ (k − p − q ) 2                                     δϕ1 (p ) Xδϕ1 (q ) + ϕ0 δϕ1 (q )
    (2π)3                                                  H       q2
                                                                                       
     2 16πG         i          i                 4πG      2 ϕ
                                                             0              pi qj kj ki
+p            δϕ1 (p )ϕ0 δϕ1 (q ) +                               p q l −               ϕ δϕ (ki − q i )ϕ δϕ (q i )
                                                                     l                     0  1             0 1
          H                                         H        H                   k2

     X      4πG      2 p q l p q m + p2 q 2
                        l     m                                i         i             i
+2                                                    ϕ0 δϕ1 (p ) Xδϕ1 (q ) + ϕ0 δϕ1 (q )
     H        H                  k2 q 2

    4πG           q 2 + pl q l         i       i           l      i       i
+           4X                   δϕ1 (p )δϕ1 (q ) − ϕ0 pl q δϕ1 (p )δϕ1 (q )
     H                k2

     4πG        pl q l pm q m
              2 ϕ
                 0                    i             i              i        i
+                             Xδϕ1 (p ) + ϕ0 δϕ1 (p ) Xδϕ1 (q ) + ϕ0 δϕ1 (q )
      H   H         p2 q 2
                                                                         
  ϕ0       pl q l + p2 2        i       i    q 2 + pl q l       i       i
+    8πG               q δϕ1 (p )δϕ1 (q ) −              δϕ1 (p )δϕ1 (q )
  H             k2                               k2

                     4πG     2 kj k           pi pj
                                    i                          i             i         i
              +                           2             Xδϕ1 (p ) + ϕ0 δϕ1 (p ) Xδϕ1 (q )         = 0
                       H          k2           p2

Second Order Perturbations During Inflation Beyond Slow-roll

  • 1.
    Second Order PerturbationsDuring Inflation Beyond Slow-roll Ian Huston Astronomy Unit, Queen Mary, University of London IH, K.A.Malik, arXiv:1103.0912 and 0907.2917 (JCAP 0909:019) Software available at http://pyflation.ianhuston.net
  • 2.
    Outline 1 Perturbation Theory 1st and 2nd Order Perturbations, Gauge Invariance 2 Our Results Source term and Second Order results for feature models 3 Our Code Implementation, properties and future goals
  • 3.
    Outline 1 Perturbation Theory 1st and 2nd Order Perturbations, Gauge Invariance 2 Our Results Source term and Second Order results for feature models 3 Our Code Implementation, properties and future goals
  • 4.
    Outline 1 Perturbation Theory 1st and 2nd Order Perturbations, Gauge Invariance 2 Our Results Source term and Second Order results for feature models 3 Our Code Implementation, properties and future goals
  • 5.
    Outline 1 Perturbation Theory 1st and 2nd Order Perturbations, Gauge Invariance 2 Our Results Source term and Second Order results for feature models 3 Our Code Implementation, properties and future goals
  • 6.
  • 7.
    perturbations Long review: Malik & Wands 0809.4944 Short technical review: Malik & Matravers 0804.3276
  • 8.
  • 9.
    ϕ(η, x) =ϕ0(η) + δϕ(η, x) 1 + δϕ2(η, x) 2
  • 10.
    ϕ(η, x) =ϕ0(η) + δϕ1(η, x) 1 + δϕ2(η, x) 2 + ...
  • 11.
    Gauge Choice Required Background split not covariant Many possible descriptions Should give same physical answers! ⇒ Use Gauge Invariant Variables
  • 12.
    Gauge Choice Required Background split not covariant Many possible descriptions Should give same physical answers! ⇒ Use Gauge Invariant Variables
  • 13.
    First order transformation xµ → xµ + ξ µ between gauges µ ξ1 = (α1, β1,i + γ1) i + T1 = T1 + £ξ1 T0 ⇓ δϕ1 = δϕ1 + ϕ0α1
  • 14.
    Perturbed flat FRWmetric at first order g00 = −a2 (1 + 2φ1 ) g0i = a2 (B1,i − S1i ) gij = a2 (1 − 2ψ)γij + 2E1,ij + 2F1(i,j) + h1ij Bardeen 1980
  • 15.
    Perturbed flat FRWmetric at first order g00 = −a2 (1 + 2φ1 ) g0i = a2 (B1,i − S1i ) gij = a2 (1 − 2ψ)γij + 2E1,ij + 2F1(i,j) + h1ij Bardeen 1980
  • 16.
    Perturbed flat FRWmetric at first order g00 = −a2 (1 + 2φ1 ) g0i = a2 (B1,i ) gij = a2 (1 − 2ψ)δij + 2E1,ij Bardeen 1980
  • 17.
    Choosing a gauge Longitudinal: zero shear Comoving: zero 3-velocity Flat: zero curvature Uniform density: zero energy density ...
  • 18.
    Example for Flatgauge: Metric transformation: ψ1 = ψ1 − Hα1 Flat gauge: α1 = ψ1 /H Scalar transformation: δϕ1 = δϕ1 + ϕ0 α1 Result ψ1 δϕ1 flat = δϕ1 + ϕ0 H Sasaki 1986, Mukhanov 1988
  • 19.
    Well-known gauge invariantvariables ζ = ψ1 + H δρ1 Curvature perturbation on uniform ρ0 density hypersurfaces R = ψ1 − H(v1 + B1 ) Curvature perturbation on comoving hypersurfaces Ψ = ψ1 − H(B1 − E1 ) Curvature perturbation on zero shear hypersurfaces (longitudinal gauge)
  • 20.
    1 ϕ(η,x) = ϕ0(η) + δϕ1(η, x) + δϕ2(η, x) 2 Increasing complexity at second order: Terms quadratic in first order quantities Coupling of different perturbation types “True” second order quantities still decouple
  • 21.
    δGµν = 8πGδTµν ⇓ Eqs of Motion
  • 22.
    ϕ0 + 2Hϕ0+ a2 V,ϕ = 0 δϕ1 + 2Hδϕ1 + k 2 δϕ1 + a2 M1 δϕ1 =0 δϕ2 + 2Hδϕ2 + k 2 δϕ2 + a2 M2 δϕ2 = S(δϕ1 , δϕ1 ) Malik, JCAP 0703 (2007) 004, arXiv:astro-ph/0610864.
  • 23.
    ϕ0 + 2Hϕ0+ a2 V,ϕ = 0 δϕ1 + 2Hδϕ1 + k 2 δϕ1 + a2 M1 δϕ1 =0 δϕ2 + 2Hδϕ2 + k 2 δϕ2 + a2 M2 δϕ2 = S(δϕ1 , δϕ1 ) Malik, JCAP 0703 (2007) 004, arXiv:astro-ph/0610864.
  • 24.
    ϕ0 + 2Hϕ0+ a2 V,ϕ = 0 δϕ1 + 2Hδϕ1 + k 2 δϕ1 + a2 M1 δϕ1 =0 δϕ2 + 2Hδϕ2 + k 2 δϕ2 + a2 M2 δϕ2 = S(δϕ1 , δϕ1 ) Malik, JCAP 0703 (2007) 004, arXiv:astro-ph/0610864.
  • 25.
    What have perturbationsever done for us? Can use curvature perturbation ζ (conserved on large scales) to link observations with primordial origins. At different orders have different observables and different phenomena: First Order (linear) =⇒ ζ 2 Power Spectrum ζ 3 Non-Gaussianity Second Order =⇒ Vorticity Other non-linear effects
  • 26.
    Other Approaches: δN formalism Lyth, Malik, Sasaki a-ph/0411220, etc. In-In formalism Maldacena a-ph/0210603, etc. Moment transport equations Mulryne, Seery, Wesley 0909.2256, 1008.3159 Generalised Slow Roll Stewart a-ph/0110322, Adshead et al. 1102.3435
  • 27.
    results Second Order PerturbationsDuring Inflation Beyond Slow-roll, Huston & Malik, arXiv:1103.0912 2nd order equations: Malik, arXiv:astro-ph/0610864
  • 28.
    Bump Potential 1 ϕ − ϕb Vb (ϕ) = m2 ϕ2 1 + c sech 2 d Chen et al. arXiv:0801.3295 etc. Transient breaking of slow roll around feature Asymptotes to quadratic potential away from feature Demonstrated step potential in paper Plots show result for WMAP pivot scale. X-axis is efolds remaining until end of inflation.
  • 29.
    Breaking Slow Roll 2 0 −2 ηV −4 −6 Step Potential Bump Potential Standard Quadratic Potential −8 57 56 55 54 53 Nend − N
  • 30.
    First Order PowerSpectrum 10−2 Full Bump Potential Half Bump Potential Zero Bump Potential −1/2 10−3 k 3/2 |δϕ1 |/MPL 10−4 10−5 60 50 40 30 20 10 0 Nend − N
  • 31.
    First Order PowerSpectrum ×10−5 3.1 −1/2 k 3/2 |δϕ1 |/MPL 3.0 2.9 2.8 Full Bump Potential Half Bump Potential Zero Bump Potential 2.7 57 56 55 54 53 Nend − N
  • 32.
    Source term S δϕ2 (k i ) + 2Hδϕ2 (k i ) + Mδϕ2 (k i ) = S(k i ) 10−1 Full Bump Potential 10−3 Half Bump Potential Zero Bump Potential 10−5 −2 |S|/MPL 10−7 10−9 10−11 10−13 10−15 60 50 40 30 20 10 0 Nend − N
  • 33.
    Second order perturbationδϕ2 Full Bump Potential Half Bump Potential 10−5 Zero Bump Potential −2 |δϕ2 (k)|/MPL 10−7 10−9 60 50 40 30 20 10 0 Nend − N
  • 34.
    Second order perturbationδϕ2 ×10−7 Full Bump Potential 2.60 Half Bump Potential 2.55 Zero Bump Potential −2 |δϕ2 (k)|/MPL 2.50 2.45 2.40 2.35 2.30 2.25 57 56 55 54 53 Nend − N
  • 35.
    Features Inside andOutside the Horizon 10−5 Sub-Horizon Bump Super-Horizon Bump Standard Quadratic Potential 10−7 −2 |S|/MPL 10−9 10−11 10−13 61 60 59 58 57 56 55 54 Nend − N
  • 36.
    Features Inside andOutside the Horizon 1.04 Sub-Horizon Bump 1.02 Super-Horizon Bump Standard Quadratic Potential |δϕ2 (k)|/|δϕ2quad | 1.00 0.98 0.96 0.94 0.92 0.90 70 60 50 40 30 20 10 0 Nend − N
  • 37.
    code(): First Order NumericalReviews: Salopek et al. PRD40 1753, Martin & Ringeval a-ph/0605367
  • 38.
    Download at http://pyflation.ianhuston.net Papers:arXiv:1103.0912, 0907.2917 Uses Python & Numpy with compiled parts Source calculation is parallelisable Code is Open Source
  • 39.
    Pyflation uses Python Quick and easy development Boost performance using Cython or linking C/Fortran libs Open Source (can see implementation) One easy way to get started: Enthought Python Distribution http://www.enthought.com (free for academic use)
  • 40.
    Pyflation is OpenSource Pyflation is released under the (modified) BSD-license. Benefits of open source code for scientific projects: Source code is available for inspection and testing Code can be modified and re-used Guaranteed to remain freely accessible
  • 41.
    Pyflation is parallelisable k j qj δϕ1(q i)δϕ1(k i − q i)d3q Numerically intensive calculation Can be easily parallelised by timestep Can also single out wavenumber of interest
  • 42.
    Progress Single field slow roll Single field full equation Multi-field calculation (underway)
  • 43.
    Implementation FourStages: 1 Run background system to find end of inflation 2 Run first order system for range of wavemodes 3 Calculate source term convolution integral 4 Run second order system with source term Paper plots created with Results are saved in HDF5 files Matplotlib
  • 44.
    Future Plans Three-point function of δϕ Using Green’s function solution from Seery, Malik, Lyth arXiv:0802.0588 Multi-field equation Could check δN predictions, ζ conservation etc. Tensor & Vorticity similarities Similar equations of motion in other non-linear processes
  • 45.
    Future Plans Three-point function of δϕ Using Green’s function solution from Seery, Malik, Lyth arXiv:0802.0588 Multi-field equation Could check δN predictions, ζ conservation etc. Tensor & Vorticity similarities Similar equations of motion in other non-linear processes
  • 46.
    Future Plans Three-point function of δϕ Using Green’s function solution from Seery, Malik, Lyth arXiv:0802.0588 Multi-field equation Could check δN predictions, ζ conservation etc. Tensor & Vorticity similarities Similar equations of motion in other non-linear processes
  • 47.
    Other interesting non-linearprocesses Vorticity generation (Half-day Vorticity meeting in RAS 14th July) Magnetic field generation 2nd order Gravitational waves
  • 48.
    Summary Perturbation theory extends beyond linear order New phenomena and observables at higher orders Second Order calculation intensive but possible Code available now (http://pyflation.ianhuston.net)
  • 49.
    i i 2 i 2 8πG 2 8πG i δϕ2 (k ) + 2Hδϕ2 (k ) + k δϕ2 (k ) + a V,ϕϕ + 2ϕ0 V,ϕ + (ϕ0 ) V0 δϕ2 (k ) H H 1 3 3 3 i i i 16πG i i 2 i i + d pd qδ (k − p − q ) Xδϕ1 (p )δϕ1 (q ) + ϕ0 a V,ϕϕ δϕ1 (p )δϕ1 (q ) (2π)3 H 8πG 2 2 i i i i + ϕ0 2a V,ϕ ϕ0 δϕ1 (p )δϕ1 (q ) + ϕ0 Xδϕ1 (p )δϕ1 (q ) H 4πG 2 ϕ X 0 i i i i i −2 Xδϕ1 (k − q )δϕ1 (q ) + ϕ0 δϕ1 (p )δϕ1 (q ) H H 4πG i i 2 8πG i i + ϕ0 δϕ1 (p )δϕ1 (q ) + a V,ϕϕϕ + ϕ0 V,ϕϕ δϕ1 (p )δϕ1 (q ) H H 1 3 3 3 i i i 8πG pk q k i i i + d pd qδ (k − p − q ) 2 δϕ1 (p ) Xδϕ1 (q ) + ϕ0 δϕ1 (q ) (2π)3 H q2   2 16πG i i 4πG 2 ϕ 0 pi qj kj ki +p δϕ1 (p )ϕ0 δϕ1 (q ) + p q l −  ϕ δϕ (ki − q i )ϕ δϕ (q i ) l 0 1 0 1 H H H k2 X 4πG 2 p q l p q m + p2 q 2 l m i i i +2 ϕ0 δϕ1 (p ) Xδϕ1 (q ) + ϕ0 δϕ1 (q ) H H k2 q 2 4πG q 2 + pl q l i i l i i + 4X δϕ1 (p )δϕ1 (q ) − ϕ0 pl q δϕ1 (p )δϕ1 (q ) H k2 4πG pl q l pm q m 2 ϕ 0 i i i i + Xδϕ1 (p ) + ϕ0 δϕ1 (p ) Xδϕ1 (q ) + ϕ0 δϕ1 (q ) H H p2 q 2   ϕ0 pl q l + p2 2 i i q 2 + pl q l i i + 8πG  q δϕ1 (p )δϕ1 (q ) − δϕ1 (p )δϕ1 (q ) H k2 k2 4πG 2 kj k pi pj i i i i + 2 Xδϕ1 (p ) + ϕ0 δϕ1 (p ) Xδϕ1 (q ) = 0 H k2 p2